Главная // Актуальные документы // МетодикаСПРАВКА
Источник публикации
Ростов-на-Дону, 2006
Примечание к документу
Документ утратил силу с 01.03.2024 для учреждений Росгидромета, осуществляющих работы по определению массовой концентрации меди и цинка в воде, в связи с изданием
Приказа Росгидромета от 24.11.2022 N 728. Взамен введен в действие
РД 52.24.516-2022.
Действие данного документа продлено до 01.03.2024
Приказом Росгидромета от 02.12.2022 N 771.
Документ
введен в действие с 01.04.2006.
Название документа
"РД 52.24.516-2006. Руководящий документ. Массовая концентрация меди и цинка в водах. Методика выполнения измерений фотометрическим методом из одной пробы"
(утв. Росгидрометом 27.03.2006)
"РД 52.24.516-2006. Руководящий документ. Массовая концентрация меди и цинка в водах. Методика выполнения измерений фотометрическим методом из одной пробы"
(утв. Росгидрометом 27.03.2006)
Заместителем Руководителя
Росгидромета
27 марта 2006 года
РУКОВОДЯЩИЙ ДОКУМЕНТ
МАССОВАЯ КОНЦЕНТРАЦИЯ МЕДИ И ЦИНКА В ВОДАХ. МЕТОДИКА
ВЫПОЛНЕНИЯ ИЗМЕРЕНИЙ ФОТОМЕТРИЧЕСКИМ МЕТОДОМ
ИЗ ОДНОЙ ПРОБЫ
РД 52.24.516-2006
Дата введения
1 апреля 2006 года
1. РАЗРАБОТАН ГУ "Гидрохимический институт"
2. РАЗРАБОТЧИКИ Л.В. Боева, канд. хим. наук (руководитель разработки), Е.Л. Селютина.
3. УТВЕРЖДЕН Заместителем Руководителя Росгидромета 27 марта 2006 г.
4. СВИДЕТЕЛЬСТВО ОБ АТТЕСТАЦИИ МВИ Выдано метрологической службой ГУ "Гидрохимический институт" 10.08.2005 г. N 170.24-2005
5. ЗАРЕГИСТРИРОВАН ЦКБ ГМП за номером РД 52.24.516-2006 от 30.03.2006 г.
Внесен в Федеральный реестр методик выполнения измерений, применяемых в сферах распространения государственного метрологического контроля и надзора за номером ФР.1.31.2006.02521
6. РАЗРАБОТАН ВПЕРВЫЕ
Медь и цинк относятся к довольно распространенным элементам и входят в состав большого числа минералов. Наиболее распространенными из них являются халькопирит CuFeS2, халькозин (медный блеск) Cu2S, ковеллин CuS, малахит Cu2(OH)2CO3, благородный галмей (смитсонит) ZnCO3, сфалерит (цинковая обманка) ZnS, цинкит ZnO.
Основным природным источником поступления меди и цинка в поверхностные воды являются процессы химического выветривания горных пород и минералов, сопровождающиеся их растворением.
Антропогенное загрязнение водных объектов соединениями меди и цинка обусловлено их выносом со сточными водами многих отраслей промышленности, прежде всего горнодобывающих (рудообогатительных), металлургических, химических предприятий. Значительные количества меди могут поступать с сельскохозяйственных угодий, особенно в районах развитого садоводства и виноградарства.
Соединения меди и цинка могут присутствовать в водах в растворенной и взвешенной формах. Соотношение между ними в значительной степени определяется величиной pH и составом воды, прежде всего, наличием органических веществ гумусовой природы (гуминовых и фульвокислот), а также других органических соединений, способных образовывать комплексные соединения с данными металлами. Растворенные формы меди и цинка могут быть представлены как гидратированными ионами и гидроксокомплексами типа [MeOH]+, [Me(OH)2]0, [Me(OH)3]-, [Me(OH)4]2-, так и комплексными соединениями с минеральными и органическими веществами вод (преимущественно комплексными соединениями с гуминовыми и фульвокислотами). Для меди характерна очень высокая степень (до 90%) закомплексованности гуминовыми и фульвокислотами, поэтому в гумифицированных водах значительная часть ее находится в растворенной форме. Комплексы цинка с гуминовыми и фульвокислотами менее прочные, поэтому он в большей степени представлен взвешенными частицами.
Хотя для меди возможны две степени окисления - Cu(I) и Cu(II), в условиях природных вод существуют преимущественно соединения Cu(II); Cu(I) может иногда обнаруживаться лишь в виде нерастворимых прочных соединений, например Cu2S.
В малозагрязненных поверхностных водах суши концентрация растворенных форм меди и цинка в большинстве случаев находится в пределах от долей до единиц микрограммов в кубическом дециметре. Более высокие концентрации растворенных форм, можно обнаружить в районах залегания соответствующих руд и при наличии в воде значительного количества гуминовых и фульвокислот.
Как медь, так и цинк являются физиологически активными микроэлементами. Они входят в состав некоторых важнейших энзимов и участвуют в процессах синтеза и обмена белков, жиров, углеводов и др., однако повышенные концентрации этих металлов являются токсичными для гидробионтов. В связи с этим содержание меди и цинка в поверхностных водах суши нормируется. ПДК растворенных форм меди в воде водных объектов рыбохозяйственного назначения составляет 0,001 мг/дм3, цинка - 0,01 мг/дм3. В водных объектах хозяйственно-питьевого и культурно-бытового назначения ПДК и меди и цинка составляет 1,0 мг/дм3.
1.1. Настоящий руководящий документ устанавливает методику выполнения измерений (далее - методика) массовой концентрации растворенных форм меди и цинка в пробах природных и очищенных сточных вод в диапазоне от 2 до 80 мкг/дм3 фотометрическим методом из одной пробы.
При анализе проб воды с массовой концентрацией меди или цинка, превышающей 80 мкг/дм3, допускается выполнение измерений после соответствующего разбавления пробы очищенной водой.
1.2. Настоящий руководящий документ предназначен для использования в лабораториях, осуществляющих анализ природных и очищенных сточных вод.
В настоящем руководящем документе использованы ссылки на следующие нормативные документы:
ГОСТ 12.1.005-88 ССБТ. Общие санитарно-гигиенические требования к воздуху рабочей зоны
ГОСТ 12.1.007-76 ССБТ. Вредные вещества. Классификация и общие требования безопасности
ГОСТ 17.1.5.04-81 Охрана природы. Гидросфера. Приборы и устройства для отбора, первичной обработки и хранения проб природных вод. Общие технические условия
ГОСТ 17.1.5.05-85 Охрана природы. Гидросфера. Общие требования к отбору проб поверхностных и морских вод, льда и атмосферных осадков
ГОСТ Р ИСО 5725-6-2002 Точность (правильность и прецизионность) методов и результатов измерений. Часть 6. Использование значений точности на практике
МИ 2881-2004 Рекомендация. ГСИ. Методики количественного химического анализа. Процедуры проверки приемлемости результатов анализа.
3. Приписанные характеристики погрешности измерения
3.1. При соблюдении всех регламентируемых методикой условий проведения измерений характеристики погрешности результата измерения с вероятностью 0,95 не должны превышать значений, приведенных в таблицах 1 и
2.
Таблица 1
Диапазон измерений, значения характеристик погрешности
и ее составляющих при выполнении измерений массовой
концентрации меди
Диапазон измерений массовой концентрации меди X, мкг/дм3 | Показатель повторяемости (среднеквадратическое отклонение повторяемости)  , мкг/дм 3 | Показатель воспроизводимости (среднеквадратическое отклонение воспроизводимости)  , мкг/дм 3 | Показатель правильности (границы систематической погрешности при вероятности P = 0,95)  , мкг/дм 3 | Показатель точности (границы погрешности при вероятности P = 0,95)  , мкг/дм 3 |
От 2,0 до 5,0 включ. | 0,5 + 0,011 X | 0,6 | 0,3 | 1,3 |
Св. 5,0 до 80,0 включ. | 0,5 + 0,011 X | 1,0 + 0,038 X | 0,2 + 0,074 X | 1,7 + 0,13 X |
Таблица 2
Диапазон измерений, значения характеристик погрешности
и ее составляющих при выполнении измерений массовой
концентрации цинка
Диапазон измерений массовой концентрации цинка X, мкг/дм3 | Показатель повторяемости (среднеквадратическое отклонение повторяемости)  , мкг/дм 3 | Показатель воспроизводимости (среднеквадратическое отклонение воспроизводимости)  , мкг/дм 3 | Показатель правильности (границы систематической погрешности при вероятности P = 0,95)  , мкг/дм 3 | Показатель точности (границы погрешности при вероятности P = 0,95)  , мкг/дм 3 |
От 2,0 до 50,0 включ. | 0,5 + 0,017 X | 0,3 + 0,069 X | 0,08 + 0,041 X | 0,6 + 0,14 X |
Св. 50,0 до 80,0 включ. | 0,5 + 0,017 X | 3,7 | 2,2 | 7,5 |
При выполнении измерений в пробах с массовой концентрацией меди или цинка свыше 80 мкг/дм
3 после соответствующего разбавления погрешность измерения не превышает величины

, где

- погрешность измерения массовой концентрации меди или цинка в разбавленной пробе;

- степень разбавления.
Предел обнаружения меди и цинка составляет 1 мкг/дм3.
3.2. Значения показателя точности методики используют при:
- оформлении результатов измерений, выдаваемых лабораторией;
- оценке деятельности лабораторий на качество проведения измерений;
- оценке возможности использования результатов измерений при реализации методики в конкретной лаборатории.
4. Средства измерений, вспомогательные устройства, материалы, реактивы
4.1. Средства измерений, вспомогательные устройства
При выполнении измерений применяют следующие средства измерений и другие технические средства:
4.1.1. Фотометр или спектрофотометр любого типа (КФК-3, КФК-2, СФ-46, СФ-56 и др.).
4.1.3. Весы лабораторные обычного (IV) класса точности по
ГОСТ 29329-92 с наибольшим пределом взвешивания 200 г и 500 г.
4.1.4. pH-метр или иономер любого типа (pH-150, pH-155, Экотест-2000, Анион-410 и др.) с измерительным стеклянным и хлорсеребряным вспомогательными электродами.
4.1.5. Государственный стандартный образец состава водных растворов ионов меди ГСО 7255-96.
4.1.6. Государственный стандартный образец состава водных растворов ионов цинка ГСО 7256-96.
4.1.7. Термометр лабораторный по
ГОСТ 29224-91 с диапазоном от 0 до 100 °C.
4.1.8. Колбы мерные 2 класса точности, исполнение 2, 2а по
ГОСТ 1770-74
вместимостью:

- 3 шт.

- 1 шт.
4.1.9. Пробирки градуированные исполнения 2 с притертой стеклянной
4.1.10. Пипетки градуированные 2 класса точности исполнения 1,2 по

- 2 шт.

- 5 шт.
4.1.11. Пипетки с одной отметкой 2 класса точности исполнения 2 по
4.1.12. Цилиндры мерные исполнения 1,3 по
ГОСТ 1770-74 вместимостью:

- 7 шт.

- 4 шт.

- 3 шт.
вместимостью:

- 6 шт.

- 6 шт.

- 1 шт.
вместимостью:

- 7 шт.

- 7 шт.

- 5 шт.

- 3 шт.

- 3 шт.
4.1.16. Стаканчики для взвешивания (бюксы) СВ-19/9 и СВ-14/8 по
4.1.17. Чашки выпарительные N 2, N 3, N 4 по
ГОСТ 9147-80 вместимостью:

- 1 шт.

- 2 шт.

- 7 шт.

- 1 шт.
4.1.19. Палочки стеклянные - 7 шт.
4.1.20. Эксикаторы исполнения 2, диаметром 190 мм по
ГОСТ 25336-82
- 3 шт.
4.1.21. Колба с тубусом (Бунзена) исполнения 1,2 по
ГОСТ 25336-82 вместимостью 0,5 - 1,0 дм
3.
4.1.24. Воронка фильтрующая исполнения 1 с пористой пластиной (пор 100 - 160), диаметром 37 - 46 мм по
ГОСТ 25336-82.
4.1.25. Установка из термически стойкого стекла для перегонки растворителей (круглодонная колба К-1 вместимостью 1 дм
3 со взаимозаменяемым конусом 29/32, елочный дефлегматор длиной не менее 250 мм со взаимозаменяемыми конусами 19/26-29/32, холодильник прямой ХПТ исполнения 1 со взаимозаменяемыми конусами 14/23 длиной 300 мм или 400 мм и аллонж АИ-14/23) по
ГОСТ 25336-82.
4.1.26. Склянки для хранения растворов и растворителей из светлого и темного стекла с завинчивающимися или притертыми пробками вместимостью 100 см3, 250 см3, 500 см3, 1000 см3.
4.1.27. Посуда полиэтиленовая (полипропиленовая) для хранения проб и растворов вместимостью 100 см3, 500 см3, 1000 см3.
4.1.28. Холодильник бытовой.
4.1.29. Насос вакуумный лабораторный любого типа.
4.1.30. Электроплитка с регулируемой мощностью нагрева по
ГОСТ 14919-83.
4.1.31. Баня водяная.
4.1.32. Устройство для фильтрования проб с использованием мембранных фильтров.
Допускается использование других типов средств измерений, вспомогательных устройств, в том числе импортных, с характеристиками не хуже, чем у приведенных в
4.1.
4.2. Реактивы и материалы
При выполнении измерений применяют следующие реактивы и материалы:
4.2.1. Медь сернокислая 5-водная (сульфат меди) по
ГОСТ 4165-78, х.ч. (при отсутствии ГСО).
4.2.2. Цинк гранулированный по ТУ 6-09-5294-86, х.ч. (при отсутствии ГСО)
4.2.3. Аммоний надсернокислый (персульфат аммония) по
ГОСТ 20478-75, х.ч. или ч.д.а., перекристаллизованный.
4.2.4. Кальций углекислый (карбонат кальция) по
ГОСТ 4530-76, х.ч.
4.2.6. Кислота соляная по ГОСТ 1426-77, ос.ч. или по
ГОСТ 3118-77, х.ч.
4.2.10. Кислота аскорбиновая фармакопейная.
4.2.11. Калий-натрий виннокислый 4-водный (тартрат калия-натрия) по
ГОСТ 5845-79, ч.д.а.
4.2.12. Натрий уксуснокислый 3-водный (ацетат натрия) по ГОСТ 199-68, ч.д.а.
4.2.14. Углерод четыреххлористый (тетрахлорметан) по
ГОСТ 20288-74, х.ч.
| | ИС МЕГАНОРМ: примечание. Пункт 4.2.15 дан в соответствии с официальным текстом документа. | |
4.2.15. Натрия N,N-диэтилдитиокарбамат 3-водный по
ГОСТ 8864-71, ч.д.а. и свинец уксуснокислый 3-водный по ТУ 6-09-03-444-77, ч.д.а.
или свинца N,N-диэтилдитиокарбамат по ТУ 6-09-3901-75, ч.
4.2.16. Дифенилдитиокарбазон (дитизон), ч.д.а.
4.2.17. Натрий серноватистокислый 5-водный (тиосульфат натрия) по ТУ 6-09-01-313-75, ч.д.а.
4.2.18. Гидроксиламин солянокислый (гидроксиламина гидрохлорид) по
ГОСТ 5456-79, ч.д.а.
4.2.20. Универсальная индикаторная бумага по ТУ 6-09-1181-76.
4.2.21. Фильтры бумажные обеззоленные "белая лента" по ТУ 6-09-1678-86.
4.2.22. Фильтры мембранные "Владипор МФАС-ОС-2", 0,45 мкм, по ТУ 6-55-221-1-29-89 или другого типа, равноценные по характеристикам.
Допускается использование реактивов, изготовленных по другой нормативно-технической документации, в том числе импортных, с квалификацией не ниже указанной в
4.2.
Измерение массовой концентрации меди фотометрическим методом основано на взаимодействии диэтилдитиокарбамата свинца с содержащимися в воде ионами меди с образованием окрашенного в желтый цвет диэтилдитиокарбамата меди и экстракции последнего из воды хлороформом. Максимум оптической плотности в спектре поглощения образовавшегося соединения наблюдается при 436 нм.
Измерение массовой концентрации цинка фотометрическим методом основано на взаимодействии ионов цинка с дитизоном в той же пробе воды после отделения меди с образованием окрашенного в красный цвет дитизоната цинка, экстрагируемого из воды четыреххлористым углеродом. Максимум оптической плотности в спектре поглощения образовавшегося соединения наблюдается при 535 нм.
6. Требования безопасности, охраны окружающей среды
6.1. При выполнении измерений массовой концентрации меди и цинка в пробах природных и очищенных сточных вод соблюдают требования безопасности, установленные в национальных стандартах и соответствующих нормативных документах.
6.2. По степени воздействия на организм вредные вещества, используемые при выполнении измерений, относятся ко 2, 3 классам опасности по
ГОСТ 12.1.007.
6.3. Содержание используемых вредных веществ в воздухе рабочей зоны не должно превышать установленных предельно допустимых концентраций в соответствии с
ГОСТ 12.1.005.
6.4. Хлороформные экстракты диэтилдитиокарбамата меди и экстракты дитизоната цинка в четыреххлористом углероде, а также прочие сливы указанных растворителей, следует собрать в отдельные склянки с этикетками "Слив хлороформа" и "Слив четыреххлористого углерода" и регенерировать в соответствии с
приложением А или утилизировать согласно установленным правилам.
6.5. Дополнительных требований по экологической безопасности не предъявляется.
7. Требования к квалификации операторов
К выполнению измерений и обработке их результатов допускаются лица с высшим или средним профессиональным образованием, имеющие стаж работы в лаборатории не менее года, освоившие методику.
8. Условия выполнения измерений
8.1. При выполнении измерений в лаборатории должны быть соблюдены следующие условия:
- температура окружающего воздуха (22 +/- 5) °C;
- атмосферное давление от 84,0 до 106,7 кПа (от 630 до 800 мм рт. ст.);
- влажность воздуха не более 80% при 25 °C;
- напряжение в сети (220 +/- 10) В;
- частота переменного тока в сети питания (50 +/- 1) Гц.
8.2. В помещении, где выполняют измерения, недопустимо присутствие оцинкованных поверхностей (труб, аппаратов и пр.).
Отбор и хранение проб производят в соответствии с
ГОСТ 17.1.5.05 и
ГОСТ Р 51592. Оборудование для отбора проб должно соответствовать
ГОСТ 17.1.5.04 и
ГОСТ Р 51592. Объем отбираемой пробы должен быть не менее 0,6 дм
3. Пробу фильтруют через мембранный фильтр 0,45 мкм, очищенный кипячением в течение 20 мин в 1%-ном растворе соляной кислоты и в течение 10 мин в очищенной дистиллированной воде (см.
10.1.1). Первую порцию фильтрата отбрасывают.
Фильтрат подкисляют раствором соляной кислотой (1:1) из расчета 10 см3 раствора кислоты на 500 см3 воды. Пробы хранят до анализа в полиэтиленовой или полипропиленовой посуде не более 1 мес.
10. Подготовка к выполнению измерений
10.1. Приготовление растворов и реактивов
10.1.1. Очистка дистиллированной воды
В полиэтиленовой или полипропиленовой посуде к дистиллированной воде прибавляют карбонат кальция из расчета 5 г CaCO3 на 1 дм3 воды. Полученную смесь встряхивают в течение 1 мин и затем отстаивают 3 дня. Для приготовления растворов и выполнения анализа используют воду, профильтрованную через бумажный фильтр "белая лента". Фильтр предварительно промывают той же очищенной водой. Первую порцию фильтрата отбрасывают, предварительно ополоснув ею приемную склянку. Очищенную воду хранят в полиэтиленовой или полипропиленовой посуде при комнатной температуре в течение месяца.
10.1.2. Очистка бумажных фильтров
Для очистки 10 - 15 бумажных фильтров "белая лента" помещают в воронку Бюхнера, соединенную с вакуумным насосом, промывают их 500 см
3 раствора соляной кислоты (1:20), а затем дистиллированной водой, очищенной согласно
10.1.1, до нейтральной реакции (контроль промывной воды по универсальной индикаторной бумаге). После промывания фильтров остатки воды следует отсосать с помощью вакуумного насоса, высушить фильтры на воздухе и хранить в чашке Петри или чистом полиэтиленовом пакете.
10.1.3. Раствор диэтилдитиокарбамата свинца
40 мг диэтилдитиокарбамата свинца растворяют в стакане в 250 см
3 хлороформа. Раствор переносят в делительную воронку и промывают 50 см
3 воды, очищенной согласно
10.1.1. Промывную воду отбрасывают, раствор диэтилдитиокарбамата свинца сливают в склянку с притертой пробкой и используют в течение недели.
Если нет готового диэтилдитиокарбамата свинца, то его готовят следующим образом:
а) 100 мг ацетата свинца подкисляют одной каплей концентрированной азотной кислоты и растворяют в 10 см
3 дистиллированной воды, очищенной согласно
10.1.1;
б) 500 мг диэтилдитиокарбамата натрия растворяют в 100 см
3 очищенной дистиллированной воды. Раствор помещают в делительную воронку вместимостью 250 см
3, приливают 10 см
3 хлороформа и содержимое воронки встряхивают в течение 2 мин. После расслоения жидкостей хлороформный слой сливают и отбрасывают. Эту операцию повторяют дважды. Затем водный раствор фильтруют через очищенный бумажный фильтр "белая лента";
в) в делительную воронку вместимостью 500 см
3 приливают 250 см
3 хлороформа, раствор ацетата свинца, приготовленный в соответствии с
перечислением а), и 50 см
3 раствора диэтилдитиокарбамата натрия, приготовленного в соответствии с
перечислением б). При этом образуется белый осадок N,N-диэтилдитиокарбамата свинца. Содержимое воронки встряхивают до растворения белого осадка.
После расслоения жидкостей приливают еще 10 см
3 раствора N,N-диэтилдитиокарбамата натрия. Если при этом в водном слое образуется осадок, содержимое воронки снова встряхивают до полного растворения осадка в хлороформе. Эту операцию повторяют до тех пор, пока после приливания раствора N,N-диэтилдитиокарбамата натрия не прекратится образование осадка. Раствор N,N-диэтилдитиокарбамата свинца в хлороформе переносят в другую делительную воронку вместимостью 250 см
3 и промывают 50 см
3 воды, очищенной согласно
10.1.1. Промывную воду отбрасывают, раствор диэтилдитиокарбамата свинца сливают в склянку с притертой пробкой и используют в течение недели.
10.1.4. Очистка дитизона
10 г дитизона растворяют в 100 см
3 хлороформа. Раствор переносят в делительную воронку вместимостью 500 см
3, приливают 100 см
3 раствора аммиака (1 см
3 концентрированного 25%-ного аммиака разбавляют до 100 см
3 бидистиллированной водой) и 5 см
3 5%-ного раствора аскорбиновой кислоты. Содержимое воронки встряхивают в течение 2 мин. После расслоения жидкостей хлороформный слой сливают в чистую делительную воронку. Водный раствор дитизона фильтруют в коническую колбу вместимостью 1 дм
3 через очищенный бумажный фильтр
(10.1.2).
К хлороформному раствору дитизона приливают новую порцию раствора аммиака, 5 см3 5%-ного раствора аскорбиновой кислоты и содержимое воронки встряхивают в течение 2 мин. Операцию очистки дитизона повторяют 5 - 6 раз до тех пор, пока водно-аммиачный раствор не будет окрашиваться в оранжевый цвет. Все порции водного раствора дитизона фильтруют в одну коническую колбу.
К фильтрату приливают соляную кислоту (1:1) до выпадения дитизона в осадок.
При этом водный слой приобретает бледно-зеленоватый цвет. Осадок отфильтровывают через очищенный бумажный фильтр "белая лента", промывают 3 раза 1%-ным раствором аскорбиновой кислоты и сушат на воздухе в темноте до сыпучего состояния (2 - 3 дня). Дитизон хранят в склянке с притертой пробкой в темном месте в течение 6 месяцев.
10.1.5. Основной раствор дитизона, 0,1%-ный
100 мг дитизона смачивают четыреххлористым углеродом, а затем растворяют в 100 см
3 в четыреххлористого углерода. Раствор дитизона фильтруют через очищенный бумажный фильтр (см.
10.1.2), предварительно смоченный четыреххлористым углеродом и хранят при комнатной температуре в склянке темного стекла с притертой пробкой в темном месте в течение месяца.
10.1.6. Рабочий раствор дитизона, 0,004%-ный
Около 4 см
3 0,1%-ного раствора дитизона разбавляют четыреххлористым углеродом в конической колбе вместимостью 250 см
3 таким образом, чтобы значение оптической плотности раствора было не ниже 0,300 и не выше 0,400 по отношению к четыреххлористому углероду при

в кювете с толщиной поглощающего слоя 1 см. Раствор готовят в день определения.
10.1.7. Раствор тартрата калия-натрия, 10%-ный
50 г тартрата калия-натрия растворяют в 450 см3 дистиллированной воды. Для очистки от тяжелых металлов полученный раствор помещают в делительную воронку, приливают 5 см3 0,1%-ного раствора дитизона в четыреххлористом углероде и встряхивают в течение 2 мин. Операцию повторяют до тех пор, пока приливаемый раствор дитизона не перестанет изменять окраску. Остатки дитизона удаляют, дважды встряхивая раствор с 10 см3 четыреххлористого углерода.
Раствор фильтруют через очищенный бумажный фильтр "белая лента" и хранят в склянке с притертой пробкой в течение 2 недель.
10.1.8. Ацетатный буферный раствор
122,5 г ацетата натрия растворяют в мерной колбе вместимостью 500 см
3 в дистиллированной воде, приливают 6,2 см
3 ледяной уксусной кислоты и доводят объем дистиллированной водой до 500 см
3. Очистку буферного раствора производят 0,1%-ным раствором дитизона в четыреххлористом углероде, аналогично очистке раствора тартрата калия-натрия (см.
10.1.6).
Раствор фильтруют через очищенный бумажный фильтр "белая лента" и хранят в склянке с притертой пробкой в течение 2 недель.
10.1.9. Раствор тиосульфата натрия, 25%-ный
125 г тиосульфата натрия растворяют в 400 см3 дистиллированной воды.
Очистку производят 0,1%-ным раствором дитизона в четыреххлористом углероде, аналогично
10.1.6.
Раствор фильтруют через очищенный бумажный фильтр "белая лента" и хранят в склянке с притертой пробкой в течение двух недель.
10.1.10. Раствор соляной кислоты (1:1)
К 200 см
3 дистиллированной воды, очищенной согласно
10.1.1, добавляют 200 см
3 концентрированной соляной кислоты и перемешивают.
В том случае, когда при выполнении холостого определения
(11.3) оптическая плотность дитизонового комплекса превышает значение 0,3, возможно соляная кислота не соответствует требуемым условиям чистоты. В таком случае очищенный раствор соляной кислоты (1:1) получают путем изотермической дистилляции концентрированной соляной кислоты
(приложение Б).
10.1.11. Раствор аммиака (1:1)
К 200 см
3 дистиллированной воды, очищенной согласно
10.1.1, добавляют 200 см
3 концентрированного раствора аммиака и перемешивают.
В том случае, когда при выполнении холостого определения оптическая плотность дитизонового комплекса превышает значение 0,3, раствор аммиака может также не соответствовать требуемым условиям чистоты. Очищенный раствор аммиака (1:1) получают путем изотермической дистилляции концентрированного раствора аммиака
(приложение Б).
10.1.12. Раствор гидроксиламина, 10%-ный
10 г гидроксиламина гидрохлорида растворяют в 90 см
3 дистиллированной воды, доводят pH раствора до 5 - 6, добавляя по каплям раствор аммиака (1:1) и проводят очистку полученного раствора, аналогично
10.1.6.
Раствор фильтруют через очищенный бумажный фильтр "белая лента" и хранят в склянке с притертой пробкой в холодильнике в течение 2 недель.
10.1.13. Персульфат аммония, перекристаллизованный
Описание способа перекристаллизации персульфата аммония приведено в
приложении В.
10.1.14. Раствор аскорбиновой кислоты, 10%-ный
10 г аскорбиновой кислоты растворяют в 90 см3 очищенной дистиллированной воды. Хранят в холодильнике не более недели.
10.1.15. Раствор аскорбиновой кислоты, 5%-ный
5 г аскорбиновой кислоты растворяют в 95 см3 очищенной дистиллированной воды. Хранят в холодильнике не более недели.
10.1.16. Раствор аскорбиновой кислоты, 1%-ный
1 г аскорбиновой кислоты растворяют в 99 см3 очищенной дистиллированной воды. Раствор готовят перед использованием.
10.2. Приготовление градуировочных растворов
10.2.1. Градуировочные растворы готовят из ГСО с содержанием меди (цинка) 1,0 мг/см3.
10.2.2. Для приготовления раствора с массовой концентрацией меди и цинка 50,0 мкг/см3 вскрывают ампулу ГСО меди (цинка) и ее содержимое переносят в сухую чистую коническую пробирку.
Отбирают 5,0 см3 каждого образца с помощью чистой сухой пипетки с одной отметкой и переносят в мерную колбу вместимостью 100 см3 и добавляют 2 - 3 капли раствора соляной кислоты (1:1). Доводят объем в колбе до метки очищенной дистиллированной водой и перемешивают. Массовая концентрация меди и цинка в полученном растворе составляет 50,0 мкг/см3.
Раствор хранят в полиэтиленовой посуде в течение 3 месяцев.
10.2.3. Для приготовления градуировочного раствора с массовой концентрацией меди и цинка 1,0 мкг/см3 в мерную колбу вместимостью 250 см3 при помощи пипетки вместимостью 5 см3 приливают 5,0 см3 раствора меди и цинка с концентрацией 50,0 мкг/дм3 каждого металла и 1 см3 соляной кислоты (1:1). Объем раствора доводят до метки на колбе очищенной дистиллированной водой и перемешивают. Массовая концентрация меди и цинка в градуировочном растворе составляет 1,0 мкг/см3.
Раствор хранят в полиэтиленовой посуде в течение 1 месяца.
10.2.4. При отсутствии ГСО допускается использовать аттестованный раствор меди, приготовленный из сульфата меди, и аттестованный раствор цинка, приготовленный из цинка гранулированного. Методика приготовления аттестованных растворов приведена в
приложениях Г и
Д.
10.3. Установление градуировочных зависимостей
Для приготовления образцов для градуировки в 7 делительных воронок вместимостью 500 см
3 наливают мерным цилиндром по 250 см
3 дистиллированной воды, очищенной согласно
10.1.1 и добавляют в них последовательно 0; 0,5; 1,0; 2,0; 4,0; 6,0; 8,0 и 10 см
3 градуировочного раствора с массовой концентрацией меди и цинка 1,0 мкг/см
3. Содержание меди (цинка) в полученных образцах составит соответственно 0; 0,5; 1,0; 2,0; 4,0; 6,0; 8,0 и 10 мкг. Проводят анализ образцов, как описано в
разделе 11 (исключая кипячение проб).
Градуировочную зависимость оптической плотности от содержания меди (цинка) в анализируемой пробе рассчитывают методом наименьших квадратов.
Градуировочную зависимость устанавливают при использовании новых партий реактивов или другого измерительного прибора.
Примечание - Линейность градуировочной зависимости для определения цинка может нарушаться при содержании его в пробе более 8 мкг; в этом случае градуировочную зависимость следует ограничить линейным диапазоном.
10.4. Контроль стабильности градуировочной характеристики
10.4.1. Контроль стабильности градуировочной характеристики проводят при приготовлении новых растворов диэтилдитиокарбамата свинца или основного раствора дитизона.
Средствами контроля являются образцы, используемые для установления градуировочной зависимости по
10.3 (не менее 3). Градуировочная характеристика считается стабильной при выполнении условий:
где X - результат контрольного измерения содержания меди (цинка) в образце, мкг;
C - приписанное значение содержания меди (цинка) в образце, мкг;
d - допустимое расхождение между измеренным и приписанным значением содержания меди (цинка) в образце мкг (таблица 3).
Таблица 3
Допустимые расхождения между измеренными и приписанными
значениями содержания меди (цинка) в образце при контроле
стабильности градуировочной характеристики
Приписанное значение содержания меди (цинка) в образце C, мкг | 0,50 | 1,00 | 2,00 | 4,00 | 6,00 | 8,00 | 10,00 |
Допустимое расхождение d, мкг | Медь | 0,15 | 0,15 | 0,33 | 0,40 | 0,48 | 0,55 | 0,63 |
Цинк | 0,11 | 0,14 | 0,21 | 0,35 | 0,49 | 0,63 | 0,77 |
Если условие стабильности не выполняется для одного образца для градуировки, необходимо выполнить повторное измерение этого образца для исключения результата, содержащего грубую погрешность. При повторном невыполнении условия, выясняют причины нестабильности, устраняют их и повторяют измерение с использованием других образцов, предусмотренных методикой. Если градуировочная характеристика вновь не будет удовлетворять
условию (1), устанавливают новую градуировочную зависимость.
10.4.2. При выполнении
условия (1) учитывают знак разности между измеренными и приписанными значениями содержания меди (цинка) в образцах. Эта разность должна иметь как положительное, так и отрицательное значение, если же все значения имеют один знак, это говорит о наличии систематического отклонения. В таком случае требуется установить новую градуировочную зависимость.
11.1. Выполнение измерений массовой концентрации меди
11.1.1. Мерным цилиндром вместимостью 250 см
3 отбирают 250 см
3 пробы воды, законсервированной согласно
разделу 8, и помещают в коническую колбу вместимостью 500 см
3. Добавляют 0,25 г перекристаллизованного персульфата аммония и кипятят пробу, не допуская при этом резкого уменьшения объема, в течение 20 мин, отсчитывая время с момента закипания. Пробу охлаждают, переносят в чистый стакан вместимостью 250 см
3, добавляют 5 см
3 раствора гидроксиламина и по каплям раствор аммиака до pH 6 - 7, контролируя кислотность пробы при помощи pH-метра (электроды pH-метра после каждого раствора, содержащего медь или цинк, необходимо тщательно обмывать раствором соляной кислоты, приготовленной согласно
10.1.9, и ополаскивать дистиллированной водой, очищенной согласно
10.1.1; термокомпенсатор следует удалить).
После нейтрализации пробу переносят в делительную воронку вместимостью 500 см3, приливают 10 см3 10%-ного раствора тартрата калия-натрия, 10 см3 ацетатного буфера и экстрагируют 10 см3 раствора диэтилдитиокарбамата свинца в хлороформе в течение 3 мин.
После разделения слоев перемешивают содержимое воронки 2 - 3 раза круговыми движениями и выдерживают еще 2 - 3 мин. Фильтруют хлороформный экстракт диэтилдитиокарбамата меди в градуированную пробирку через воронку диаметром 25 - 36 мм с очищенным бумажным фильтром "белая лента", предварительно промытым хлороформом. Объем экстракта доводят до 10 см3 хлороформом, закрывают пробирки притертыми пробками и перемешивают.
Оптическую плотность хлороформного экстракта диэтилдитиокарбамата меди измеряют на фотометре с непрерывной разверткой спектра при длине волны 436 нм или на фотометре, снабженном светофильтрами, при длине волны 440 нм в кюветах с толщиной поглощающего слоя 2 см относительно хлороформа.
11.1.2. Если оптическая плотность пробы выше таковой для последней точки градуировочной зависимости, повторяют определение с аликвотой анализируемой воды, равной 100 см
3, добавляя в колбу перед кипячением 0,1 г перекристаллизованного персульфата аммония, а в стакан перед нейтрализацией 2 см
3 раствора гидроксиламина. Пробу переносят в делительную воронку вместимостью 250 см
3, приливают 4 см
3 10%-ного раствора тартрата калия-натрия (см.
10.1.6), 5 см
3 ацетатного буфера (см.
10.1.7), экстрагируют 10 см
3 раствора диэтилдитиокарбамата свинца в хлороформе в течение 3 мин и далее проводят определение согласно
11.1.1.
11.1.3. Если оптическая плотность пробы вновь будет выходить за верхний предел градуировочной зависимости, повторяют определение согласно
11.1.2 с меньшей аликвотой анализируемой воды, разбавленной до 100 см
3 очищенной водой. Аликвоту пробы следует выбирать таким образом, чтобы она содержала от 5 мкг до 10 мкг меди.
11.2. Выполнение измерений массовой концентрации цинка
11.2.1. Водный раствор в делительной воронке после отделения хлороформного экстракта диэтилдитиокарбамата меди промывают 5 см
3 четыреххлористого углерода, встряхивая воронку в течение 1 мин, четыреххлористый углерод отделяют и отбрасывают. К пробе прибавляют 1 см
3 10%-ного раствора аскорбиновой кислоты, 4 см
3 25%-ного раствора тиосульфата натрия, 10 см
3 рабочего раствора дитизона в четыреххлористом углероде и встряхивают в течение 5 мин. После разделения слоев вращают воронку плавными круговыми движениями так, чтобы осели капли экстракта со стенок воронки и поверхности воды. Дают пробе отстояться еще 2 - 3 мин, переносят экстракт дитизоната цинка в четыреххлористом углероде в кювету с толщиной поглощающего слоя 1 см и измеряют оптическую плотность на фотометре с непрерывной разверткой спектра при длине волны 535 нм или на фотометре, снабженном светофильтрами, при длине волны 540 нм относительно рабочего раствора дитизона.
11.2.2. Если оптическая плотность пробы выше таковой для последней точки градуировочной зависимости, повторяют определение согласно
11.2.1 с аликвотой анализируемой воды, равной 100 см
3, сокращая расход раствора тиосульфата натрия до 2 см
3.
11.2.3. Если оптическая плотность пробы вновь будет выходить за верхний предел градуировочной зависимости, повторяют определение согласно
11.2.2 с меньшей аликвотой анализируемой воды, разбавленной до 100 см
3 очищенной водой. Аликвоту пробы следует выбирать таким образом, чтобы она содержала не менее 3 мкг цинка.
11.3. Выполнение холостого опыта
Холостой опыт выполняют дважды аналогично
11.1 и
11.2 (включая кипячение пробы с персульфатом аммония), используя 250 или 100 см
3 дистиллированной воды, очищенной согласно
10.1.1. Удовлетворительное значение оптической плотности холостого опыта не должно превышать 0,020 при определении меди и 0,250 при определении цинка
В расчетах используют среднее значение оптической плотности двух параллельных измерений холостого опыта, если разница между ними не превышает 0,02 единиц оптической плотности при определении меди и 0,1 единицы оптической плотности при определении цинка. В противном случае повторяют холостой опыт еще раз и берут среднее значение из двух, наиболее близких результатов.
11.4. Мешающие влияния и их устранение
Определению меди мешают повышенные концентрации висмута (более 30 мкг/дм3), практически не встречающиеся в природных и очищенных сточных водах.
Определению цинка мешает медь, а также железо (III) (более 200 мкг/дм3) и железо (II) (более 1 мг/дм3).
Медь удаляют количественно экстракцией диэтилдитиокарбаматом свинца перед определением цинка, а также связывая оставшиеся в пробе следы меди в комплекс добавлением тиосульфата натрия.
Влияние железа (III) устраняется при добавлении раствора гидроксиламина. Присутствие железа (II) в концентрации более 1 мг/дм3 маловероятно.
В пробе не должны присутствовать вещества, окисляющие дитизон с образованием окрашенных соединений. Свободные галогены и пероксиды удаляются из раствора кипячением. Для устранения влияния на дитизон окислителей, образующихся при разложении персульфата аммония, перед определением цинка добавляют раствор аскорбиновой кислоты.
12. Вычисление и оформление результатов измерений
12.1. Вычисляют значение оптической плотности Ax, соответствующее содержанию меди (цинка) в пробе воды по формуле
Ax = A - A1, (2)
где A - значение оптической плотности экстракта пробы анализируемой воды;
A1 - среднее арифметическое значение оптической плотности экстракта холостой пробы такого же объема.
12.2. По градуировочной зависимости находят содержание меди (цинка) q, мкг, в анализируемой аликвоте пробы воды, соответствующее полученному значению оптической плотности Ax.
Массовую концентрацию меди (цинка) X, мкг/дм3, в анализируемой пробе воды вычисляют по формуле

, (3)
где q - содержание меди (цинка) в аликвоте анализируемой пробы, мкг;
V - объем аликвоты пробы, взятый для выполнения измерений, см3.
12.3. Результат измерения в документах, предусматривающих его использование, представляют в виде:

, мкг/дм
3 (P = 0,95), (4)
где

- границы характеристик погрешности результатов измерения для данной массовой концентрации меди (цинка) (
таблицы 1 и
2), мкг/дм
3.
Численные значения результата измерения должны оканчиваться цифрой того же разряда, что и значения характеристики погрешности; характеристика погрешности не должна содержать более 2-х значащих цифр.
12.4. Допустимо представлять результат в виде:

(P = 0,95) при условии

, (5)
где

- границы характеристик погрешности результатов измерений, установленные при реализации методики в лаборатории и обеспечиваемые контролем стабильности результатов измерений, мкг/дм
3.
Примечание - Допустимо характеристику погрешности результатов измерений при внедрении методики в лаборатории устанавливать на основе выражения

с последующим уточнением по мере накопления информации в процессе контроля стабильности результатов измерений.
12.5. Результаты измерения оформляют протоколом или записью в журнале, по формам, приведенным в Руководстве по качеству лаборатории.
13. Контроль качества результатов измерений при реализации методики в лаборатории
13.1. Общие положения
13.1.1. Контроль качества результатов измерений при реализации методики в лаборатории предусматривает:
- оперативный контроль исполнителем процедуры выполнения измерений (на основе оценки погрешности при реализации отдельно взятой контрольной процедуры);
- контроль стабильности результатов измерений (на основе контроля стабильности среднеквадратического отклонения повторяемости, среднеквадратического отклонения внутрилабораторной прецизионности, погрешности).
13.1.2. Периодичность оперативного контроля и процедуры контроля стабильности результатов выполнения измерений регламентируют в Руководстве по качеству лаборатории.
13.2. Алгоритм оперативного контроля процедуры выполнения измерений с использованием метода добавок
13.2.1. Контроль исполнителем процедуры выполнения измерений проводят путем сравнения результатов отдельно взятой контрольной процедуры Kк с нормативом контроля K.
13.2.2. Результат контрольной процедуры Kк, мкг/дм3, рассчитывают по формуле
Kк = |X' - X - C|, (6)
где X' - результат контрольного измерения массовой концентрации определяемого компонента в пробе с известной добавкой, мкг/дм3;
X - результат измерения массовой концентрации определяемого компонента в рабочей пробе, мкг/дм3;
C - величина добавки, мкг/дм3.
13.2.3. Норматив контроля погрешности K, мкг/дм3, рассчитывают по формуле

, (7)
где

- значения характеристики погрешности результатов измерений установленные при реализации методики в лаборатории, соответствующие массовой концентрации меди (цинка) в пробе с добавкой, мкг/дм
3;

- значения характеристики погрешности результатов измерений, установленные при реализации методики в лаборатории, соответствующие массовой концентрации меди (цинка) в рабочей пробе, мкг/дм
3.
Примечание - Допустимо для расчета норматива контроля использовать значения характеристик погрешности, полученные расчетным путем по формулам

и

14. Проверка приемлемости результатов, полученных в условиях воспроизводимости
Расхождение между результатами измерений, полученными в двух лабораториях, не должно превышать предела воспроизводимости R. При выполнении этого условия приемлемы оба результата измерений и в качестве окончательного может быть использовано их среднее значение. Значение предела воспроизводимости рассчитывают по формуле

. (8)
При превышении предела воспроизводимости могут быть использованы методы оценки приемлемости результатов измерений согласно
раздела 5 ГОСТ Р ИСО 5725-6 или
МИ 2881.
Примечание - Проверка приемлемости проводится при необходимости сравнения результатов измерений, полученных двумя лабораториями.
(рекомендуемое)
ОЧИСТКА И РЕГЕНЕРАЦИЯ РАСТВОРИТЕЛЕЙ
А.1. Регенерация хлороформа
Хлороформные экстракты и другие сливы хлороформа, образующиеся в процессе анализа, собирают в отдельную темную склянку с небольшим количеством дистиллированной воды. Для регенерации слив хлороформа переносят в делительную воронку, добавляют соляную кислоту (1:1) из расчета 10 см3 на 0,5 дм3 хлороформа и встряхивают воронку 2 мин. После отстаивания и разделения слоев хлороформ сливают в другую делительную воронку и дважды промывают дистиллированной водой из расчета 20 см3 на 0,5 дм3. После разделения слоев хлороформ фильтруют через слой ваты или 2 - 3 бумажных фильтра "белая лента" в перегонную колбу.
Перегоняют хлороформ, отбирая фракцию, кипящую при t = 60,5 °C - 62 °C. Первую порцию отгона, кипящую ниже 60,5 °C, возвращают в слив, а остаток после отгонки отбрасывают. Повторяют перегонку еще раз, при этом первую порцию отгона и остаток после отгонки возвращают в слив.
Для выполнения измерений массовой концентрации меди в воде можно использовать также сливы хлороформа, образующиеся при определении нефтепродуктов. Регенерация этих сливов проводится согласно приведенной выше методике.
А.2. Регенерация четыреххлористого углерода
Экстракты и другие сливы четыреххлористого углерода, образующиеся в процессе анализа, собирают в отдельную склянку. Для регенерации 0,5 дм3 слива четыреххлористого углерода переносят в делительную воронку и разрушают дитизоновые комплексы путем встряхивания с 10 см3 раствора соляной кислоты (1:1). Образующийся зеленый раствор дитизона в четыреххлористом углероде дважды промывают дистиллированной водой из расчета 20 см3 на 0,5 дм3. После разделения слоев раствор дитизона в четыреххлористом углероде фильтруют через слой ваты или 2 - 3 бумажных фильтра "белая лента" в перегонную колбу.
Перегоняют четыреххлористый углерод, отбирая фракцию, кипящую при температуре 76,5 - 77,0 °C. Первую порцию отгона, кипящую ниже 76,5 °C, возвращают в слив, а остаток после отгонки утилизируют. Повторяют перегонку еще раз, при этом первую порцию отгона и остаток после отгонки возвращают в слив.
В том случае, если при холостом определении оптическая плотность дитизоната цинка, полученного с вновь приобретенным четыреххлористым углеродом, превышает значение 0,4, следует провести очистку растворителя согласно описанной методике.
Для выполнения измерений массовой концентрации цинка в воде можно использовать также сливы четыреххлористого углерода, образующиеся при определении нефтепродуктов. Регенерация этих сливов проводится согласно приведенной выше методике.
(рекомендуемое)
ОЧИСТКА РЕАКТИВОВ МЕТОДОМ ИЗОТЕРМИЧЕСКОЙ ДИСТИЛЛЯЦИИ
Б.1. Очистка соляной кислоты
На дно чистого сухого эксикатора наливают концентрированную соляную кислоту, а на вкладыш ставят фарфоровую чашку с таким же объемом дистиллированной воды, очищенной согласно
10.1.1. Плотно закрывают эксикатор и оставляют на 2 - 3 сут. За это время в эксикаторе устанавливается равновесие, и в чашке получается чистый раствор кислоты (1:1), требуемый для проведения анализа.
Б.2. Очистка аммиака
На дно чистого сухого эксикатора наливают концентрированный раствор аммиака, а на вкладыш ставят фарфоровую чашку с таким же объемом дистиллированной воды, очищенной согласно
10.1.1. Плотно закрывают эксикатор и оставляют на 2 - 3 сут. За это время в эксикаторе устанавливается равновесие, и в чашке получается чистый раствор аммиака (1:1), требуемый для проведения анализа.
(рекомендуемое)
ПЕРЕКРИСТАЛЛИЗАЦИЯ ПЕРСУЛЬФАТА АММОНИЯ
В 100 см3 очищенной дистиллированной воды растворяют при нагревании до 40 - 45 °C 100 г персульфата аммония. Раствор быстро фильтруют через складчатый бумажный фильтр "белая лента" в термостойкий стакан вместимостью 250 см3 и охлаждают в бане со льдом, перемешивая раствор палочкой. Стеклянный пористый фильтр 100 - 160 пор промывают под вакуумом раствором соляной кислоты (1:1) и очищенной дистиллированной водой, отфильтровывают через него под вакуумом выпавшие кристаллы персульфата аммония и промывают их 10 - 20 см3 охлажденной очищенной дистиллированной воды. Сушат персульфат аммония в темном месте при комнатной температуре. Фильтрат можно использовать для перекристаллизации еще одной порции персульфата аммония (около 50 г).
Высушенный препарат хранят в плотно закрытой склянке в эксикаторе при комнатной температуре в течение 6 месяцев.
(рекомендуемое)
ПРИГОТОВЛЕНИЯ АТТЕСТОВАННЫХ РАСТВОРОВ МЕДИ
АР1-Cu, АР2-Cu И АР3-Cu ДЛЯ УСТАНОВЛЕНИЯ ГРАДУИРОВОЧНЫХ
ХАРАКТЕРИСТИК ПРИБОРОВ И КОНТРОЛЯ ТОЧНОСТИ ИЗМЕРЕНИЙ
МАССОВОЙ КОНЦЕНТРАЦИИ МЕДИ ФОТОМЕТРИЧЕСКИМ МЕТОДОМ
Г.1. Назначение и область применения
Настоящая методика регламентирует процедуру приготовления аттестованных растворов меди, предназначенных для установления градуировочных зависимостей и контроля точности результатов измерений массовой концентрации меди в природных и очищенных сточных водах фотометрическим методом.
Г.2. Метрологические характеристики
Метрологические характеристики аттестованных растворов приведены в таблице Г.1
Таблица Г.1
Метрологические характеристики аттестованных растворов меди
Наименование характеристики | Значение характеристики для аттестованного раствора, мкг/дм3 |
АР1-Cu | АР2-Cu | АР3-Cu |
Аттестованное значение массовой концентрации меди, мкг/дм3 | 100,0 | 10,00 | 1,000 |
Предел возможных значений погрешности установления массовой концентрации меди (P = 0,95), мкг/дм3 | 1,0 | 0,11 | 0,012 |
Г.3. Средства измерений, вспомогательные устройства, реактивы
Г.3.2. Колбы мерные 2 класса точности исполнения 2, 2а по
ГОСТ 1770-74
вместимостью:

- 2 шт.

- 1 шт.
Г.3.3. Пипетки с одной отметкой 2 класса точности исполнения 2 по
Г.3.4. Цилиндры мерные исполнения 1, 3 по
ГОСТ 1770-74 вместимостью:

- 1 шт.

- 1 шт.
Г.3.6. Палочка стеклянная.
Г.3.7. Стаканчик для взвешивания (бюкс) СВ-19/9 по
ГОСТ 25336-82.
Г.3.9. Чашка выпарительная N 2 по
ГОСТ 9147-80 вместимостью 50 см
3.
Г.3.10. Эксикатор исполнения 2, диаметром 190 мм по
ГОСТ 25336-82.
Г.3.11. Шпатель.
Г.3.12. Промывалка.
Г.4. Исходные компоненты аттестованных растворов
Г.4.1. Медь сернокислая 5-водная (сульфат меди) по
ГОСТ 4165-78, х.ч.
Г.4.3. Вода дистиллированная по
ГОСТ 6709-72, очищенная карбонатом кальция.
Г.5. Процедура приготовления аттестованных растворов
Г.5.1. Приготовление аттестованного раствора АР1-Cu
Небольшое количество сульфата меди (0,25 - 0,30 г) помещают в выпарительную чашку и выдерживают в эксикаторе над 13%-ным раствором серной кислоты в течение суток. После этого взвешивают в бюксе 0,196 г сульфата меди (CuSO
4·5H
2O) с точностью до четвертого знака после запятой, количественно переносят навеску в мерную колбу вместимостью 500 см
3, растворяют в дистиллированной воде, очищенной согласно
10.1.1, приливают 5 см
3 серной кислоты, доводят объем раствора до метки очищенной дистиллированной водой и перемешивают. Переносят раствор в полиэтиленовую посуду с плотно закрывающейся пробкой.
Полученному раствору приписывают массовую концентрацию меди 100,0 мкг/см3.
Для приготовления 13%-ного раствора серной кислоты мерным цилиндром вместимостью 100 см3 отмеряют 87 см3 дистиллированной воды и переносят в стакан вместимостью 250 см3. Мерным цилиндром вместимостью 10 см3 отмеряют 7 см3 концентрированной серной кислоты и осторожно по стеклянной палочке приливают в стакан с дистиллированной водой. Раствор перемешивают стеклянной палочкой и охлаждают.
Г.5.2. Приготовление аттестованного раствора АР2-Cu
10 см3 раствора АР1-Cu с массовой концентрацией меди 100,0 мкг/см3 помещают в мерную колбу вместимостью 100 см3, доводят до метки очищенной дистиллированной водой и перемешивают. Переносят раствор в полиэтиленовую посуду с плотно закрывающейся пробкой.
Полученному раствору приписывают концентрацию меди 10,00 мкг/см3.
Г.5.3. Приготовление аттестованного раствора АР3-Cu
10 см3 раствора АР2-Cu с массовой концентрацией меди 10,00 мкг/см3 помещают в мерную колбу вместимостью 100 см3, доводят до метки очищенной дистиллированной водой и перемешивают. Переносят раствор в полиэтиленовую посуду с плотно закрывающейся пробкой.
Полученному раствору приписывают концентрацию меди 1,000 мкг/см3.
| | ИС МЕГАНОРМ: примечание. Нумерация пунктов дана в соответствии с официальным текстом документа. | |
Г.5. Расчет метрологических характеристик аттестованных растворов
Г.5.1. Аттестованное значение массовой концентрации меди C1, мкг/см3, в растворе АР1-Cu рассчитывают по формуле

, (Г.1)
где m - масса навески сульфата меди, г;
V - вместимость мерной колбы, см3;
63,5 - молярная масса меди, г/моль;
249,7 - молярная масса сульфата меди CuSO4·5H2O, г/моль.
Г.5.2. Расчет предела возможных значений погрешности приготовления аттестованного раствора АР1-Cu

, мкг/см
3, выполняют по формуле

, (Г.2)
где C1 - приписанное раствору значение массовой концентрации, мкг/см3;

- массовая доля основного вещества CuSO
4·5H
2O, приписанная реактиву квалификации "х.ч.", %;

- предельное значение возможного отклонения массовой доли основного вещества в реактиве от приписанного значения

, %;
m - масса навески CuSO4·5H2O, г;

- предельная возможная погрешность взвешивания, г;
V1 - вместимость мерной колбы, см3;

- предельное значение возможного отклонения вместимости мерной колбы от номинального значения, см
3.
Предел возможных значений погрешности приготовления аттестованного раствора АР1-Cu равен:

.
Г.5.3. Аттестованное значение массовой концентрации меди C2, мкг/см3, в растворе АР2-Cu рассчитывают по формуле

, (Г.3)
где V2 - вместимость мерной колбы, см3;
V3 - объем раствора АР1-Cu, отбираемый пипеткой, см3.
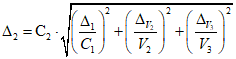
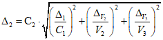
Г.5.4. Расчет предела возможных значений погрешности приготовления аттестованного раствора АР2-Cu

, мкг/см
3, выполняют по формуле

, (Г.4)
где C2 - приписанное раствору АР2-Cu значение массовой концентрации меди, мкг/см3;

- предельное значение возможного отклонения массовой концентрации меди в растворе АР1-Cu от приписанного значения, мкг/см
3;
C1 - массовая концентрация меди в растворе АР1-Cu, мкг/см3;
V2 - вместимость мерной колбы, см3;

- предельное значение возможного отклонения вместимости мерной колбы от номинального значения, см
3;
V3 - объем раствора АР1-Cu, отобранный пипеткой, см3;

- предельное значение возможного отклонения объема V
3 от номинального значения, см
3.
Предел возможных значений погрешности приготовления аттестованного раствора АР2-Cu равен:

.
Г.5.5. Аттестованное значение массовой концентрации меди C3, мкг/см3, в растворе АР3-Cu рассчитывают по формуле

, (Г.5)
где V2 - вместимость мерной колбы, см3;
V4 - объем раствора АР2-Cu, отбираемый пипеткой, см3.
Г.5.6. Расчет предела возможных значений погрешности приготовления раствора АР3-Cu

, мкг/см
3, выполняют по формуле

, (Г.6)
где C3 - приписанное раствору АР3-Cu значение массовой концентрации меди, мкг/см3;

- предельное значение возможного отклонения массовой концентрации меди в растворе АР2-Cu от приписанного значения, мкг/см
3;
C2 - массовая концентрации меди в растворе АР2-Cu, мкг/см3;
V2 - вместимость мерной колбы, см3;

- предельное значение возможного отклонения вместимости мерной колбы от номинального значения, см
3;
V4 - объем раствора АР2-Cu, отобранный пипеткой, см3;

- предельное значение возможного отклонения объема V
4 от номинального значения, см
3.
Предел возможных значений погрешности приготовления аттестованного раствора АР3-Cu равен:

.
Г.6. Требования безопасности
Необходимо соблюдать общие требования техники безопасности при работе в химических лабораториях.
Г.7. Требования к квалификации операторов
Аттестованные растворы может готовить инженер или лаборант со средним специальным образованием, прошедший специальную подготовку и имеющий стаж работы в химической лаборатории не менее года.
Г.8. Требования к маркировке
На склянки с аттестованными растворами должны быть наклеены этикетки с указанием условного обозначения раствора, массовой концентрации меди, погрешности ее установления и даты приготовления.
Г.9. Условия хранения
Аттестованный раствор АР1-Cu следует хранить при комнатной температуре в полиэтиленовой посуде не более 6 месяцев, аттестованный раствор АР2-Cu - не более 3 месяцев, аттестованный раствор АР3-Cu - не более месяца.
(рекомендуемое)
ПРИГОТОВЛЕНИЯ АТТЕСТОВАННЫХ РАСТВОРОВ ЦИНКА
АР1-Zn, АР2-Zn И АР3-Zn ДЛЯ УСТАНОВЛЕНИЯ ГРАДУИРОВОЧНЫХ
ХАРАКТЕРИСТИК ПРИБОРОВ И КОНТРОЛЯ ТОЧНОСТИ ИЗМЕРЕНИЙ
МАССОВОЙ КОНЦЕНТРАЦИИ ЦИНКА ФОТОМЕТРИЧЕСКИМ МЕТОДОМ
Д.1. Назначение и область применения
Настоящая методика регламентирует процедуру приготовления аттестованных растворов цинка, предназначенных для установления градуировочных зависимостей и контроля точности результатов измерений массовой концентрации цинка в природных и очищенных сточных водах фотометрическим методом.
Д.2. Метрологические характеристики
Метрологические характеристики аттестованных растворов приведены в таблице Д.1
Таблица Д.1
Метрологические характеристики аттестованных растворов цинка
Наименование характеристики | Значение характеристики для аттестованного раствора мкг/дм3 |
АР1-Zn | АР2-Zn | АР3-Zn |
Аттестованное значение массовой концентрации цинка, мкг/дм3 | 400,0 | 20,00 | 1,00 |
Предел возможных значений погрешности установления массовой концентрации цинка (P = 0,95), мкг/дм3 | 2,1 | 0,23 | 0,013 |
Д.3. Средства измерений, вспомогательные устройства, реактивы
Д.3.2. Колбы мерные 2 класса точности исполнения 2, 2а по
ГОСТ 1770-74
вместимостью:

- 2 шт.

- 1 шт.
Д.3.3. Пипетка с одной отметкой 2 класса точности исполнения 2 по
ГОСТ 29169-91 вместимостью 5 см
3.
Д.3.4. Пипетка градуированная 2 класса точности исполнения 2 по
ГОСТ 29227-91 вместимостью 5 см
3.
Д.3.5. Цилиндр мерный исполнения 1,3 вместимостью 25 см3.
Д.3.6. Стаканчик для взвешивания (бюкс) СВ-19/9 по
ГОСТ 25336-82.
Д.3.8. Эксикатор исполнения 2, диаметром 190 мм по
ГОСТ 25336-82.
Д.3.9. Шпатель.
Д.3.10. Промывалка.
Д.4. Исходные компоненты аттестованных растворов
Д.4.1. Цинк гранулированный по ТУ 6-09-5294-86, х.ч.
Д.4.3. Вода дистиллированная по
ГОСТ 6709-72, очищенная карбонатом кальция.
Д.5. Процедура приготовления аттестованных растворов
Д.5.1. Приготовление аттестованного раствора АР1-Zn
Отвешивают примерно 0,3 г металлического цинка, смачивают его небольшим количеством концентрированной соляной кислоты и сейчас же промывают дистиллированной водой. Цинк помещают в бюкс и сушат в сушильном шкафу при температуре 105 °C в течение 1 ч, затем охлаждают и взвешивают бюкс с цинком с точностью до четвертого знака после запятой. Затем гранулы цинка осторожно переносят в мерную колбу вместимостью 500 см3, а бюкс вновь взвешивают. Навеску цинка находят по разности масс бюкса с цинком и пустого бюкса. Приливают в мерную колбу 10 см3 раствора соляной кислоты (1:1) и растворяют цинк. Если растворение цинка прекратится, добавляют еще раствор соляной кислоты до полного его растворения. После растворения цинка доводят объем в колбе до метки очищенной дистиллированной водой и перемешивают. Переносят раствор в полиэтиленовую посуду с плотно закрывающейся пробкой.
Полученному раствору приписывают концентрацию цинка 400 мкг/см3.
Д.5.2. Приготовление аттестованного раствора АР2-Zn
Градуированной пипеткой вместимостью 5 см3 отмеряют такой объем раствора АР1-Zn, который содержит 2000 мкг цинка, помещают его в мерную колбу вместимостью 100 см3, доводят до метки очищенной дистиллированной водой и перемешивают. Переносят раствор в полиэтиленовую посуду с плотно закрывающейся пробкой.
Полученному раствору приписывают концентрацию цинка 20,0 мкг/см3.
Д.5.3. Приготовление аттестованного раствора АР3-Zn
Пипеткой с одной отметкой отмеряют 5,0 см3 раствора АР2-Zn с массовой концентрацией цинка 20,0 мкг/см3, помещают его в мерную колбу вместимостью 100 см3, доводят до метки очищенной дистиллированной водой и перемешивают. Переносят раствор в посуду с плотно закрывающейся пробкой.
Полученному раствору приписывают концентрацию цинка 1,0 мкг/см3.
Д.6. Расчет метрологических характеристик аттестованных растворов
Д.6.1. Аттестованное значение массовой концентрации цинка C1, мкг/см3, в растворе АР1-Zn рассчитывают по формуле

, (Д.1)
где m - масса навески цинка, г;
V - номинальная вместимость мерной колбы, см3.
Д.6.2. Расчет предела возможных значений погрешности приготовления аттестованного раствора АР1-Zn

, мкг/см
3, выполняют по формуле

, (Д.2)
где C1 - приписанное раствору значение массовой концентрации цинка, мкг/см3;

- массовая доля основного вещества Zn, приписанная реактиву квалификации "х.ч.", %;

- предельное значение возможного отклонения массовой доли основного вещества в реактиве от приписанного значения

, %;
m - масса навески цинка, г;

- предельная возможная погрешность взвешивания, г;
V1 - номинальная вместимость мерной колбы, см3;

- предельное значение возможного отклонения вместимости мерной колбы от номинального значения, см
3.
Предел возможных значений погрешности приготовления аттестованного раствора АР1-Zn равен:

.
Д.6.3. Аттестованное значение массовой концентрации цинка C2, мкг/см3, в растворе АР2-Zn рассчитывают по формуле

, (Д.3)
где V2 - номинальная вместимость мерной колбы, см3;
V3 - объем раствора АР1-Zn, отбираемый пипеткой, см3.
Д.6.4. Расчет предела возможных значений погрешности установления массовой концентрации аттестованного раствора АР2-Zn

, мкг/см
3, выполняют по формуле

, (Д.4)
где C2 - приписанное раствору АР2-Zn значение массовой концентрации цинка, мкг/см3;

- предельное значение возможного отклонения массовой концентрации цинка в растворе АР1-Zn от приписанного значения, мкг/см
3;
C1 - массовая концентрация цинка в растворе АР1-Zn, мкг/см3;
V2 - номинальная вместимость мерной колбы, см3;

- предельное значение возможного отклонения вместимости мерной колбы от номинального значения, см
3;
V3 - объем раствора АР1-Zn, отобранный пипеткой, см3,

- предельное значение возможного отклонения объема V
3 от номинального значения, см
3.
Предел возможных значений погрешности приготовления аттестованного раствора АР2-Zn равен:

.
Д.6.5. Аттестованное значение массовой концентрации цинка C3, мкг/см3, в растворе АР3-Zn рассчитывают по формуле

, (Д.5)
где V2 - номинальная вместимость мерной колбы, см3;
V4 - объем раствора АР2-Zn, отбираемый пипеткой, см3.
Д.6.6. Расчет предела возможных значений погрешности установления массовой концентрации аттестованного раствора АР3-Zn

, мкг/см
3, выполняют по формуле

; (Д.6)
где C3 - приписанное раствору АР3-Zn значение массовой концентрации цинка, мкг/см3;

- предельное значение возможного отклонения массовой концентрации цинка в растворе АР2-Zn от приписанного значения, мкг/см
3;
C2 - массовая концентрация цинка в растворе АР2-Zn, мкг/см3;
V2 - номинальная вместимость мерной колбы, см3;

- предельное значение возможного отклонения вместимости мерной колбы от номинального значения, см
3;
V4 - объем раствора АР2-Zn, отобранный пипеткой, см3;

- предельное значение возможного отклонения объема V
4 от номинального значения, см
3.
Предел возможных значений погрешности приготовления аттестованного раствора АР3-Zn равен:

.
Д.7. Требования безопасности
Необходимо соблюдать общие требования техники безопасности при работе в химических лабораториях.
Д.8. Требования к квалификации операторов
Аттестованные растворы может готовить инженер или лаборант со средним специальным образованием, прошедший специальную подготовку и имеющий стаж работы в химической лаборатории не менее года.
Д.9. Требования к маркировке
На склянки с аттестованными растворами должны быть наклеены этикетки с указанием условного обозначения раствора, массовой концентрации цинка, погрешности ее установления и даты приготовления.
Д.10. Условия хранения
Аттестованный раствор АР1-Zn следует хранить при комнатной температуре в полиэтиленовой посуде в течение 6 месяцев, аттестованный раствор АР2-Zn - не более 3 месяцев, аттестованный раствор АР3-Zn - не более месяца.