Главная // Актуальные документы // МетодикаСПРАВКА
Источник публикации
М.: Росгидромет, 2009
Примечание к документу
Действие данного документа продлено до 01.03.2029
Приказом Росгидромета от 02.12.2022 N 771.
Документ
введен в действие с 04.06.2009.
Взамен РД 52.24.412-95.
Название документа
"РД 52.24.412-2009. Руководящий документ. Массовая концентрация гексахлорбензола, альфа-, бета- и гамма-ГХЦГ, дикофола, дигидрогептахлора, 4,4-ДДТ, 4,4'-ДДЕ, 4,4'-ДДД, трифлуралина в водах. Методика выполнения измерений газохроматографическим методом"
(утв. Росгидрометом 26.05.2009)
"РД 52.24.412-2009. Руководящий документ. Массовая концентрация гексахлорбензола, альфа-, бета- и гамма-ГХЦГ, дикофола, дигидрогептахлора, 4,4-ДДТ, 4,4'-ДДЕ, 4,4'-ДДД, трифлуралина в водах. Методика выполнения измерений газохроматографическим методом"
(утв. Росгидрометом 26.05.2009)
Содержание
РД 52.24.412-2009. Руководящий документ. Массовая концентрация гексахлорбензола, альфа-, бета- и гамма-ГХЦГ, дикофола, дигидрогептахлора, 4,4-ДДТ, 4,4'-ДДЕ, 4,4'-ДДД, трифлуралина в водах. Методика выполнения измерений газохроматографическим методом 10.2. Приготовление градуировочных растворов ГХБ, альфа-ГХЦГ, бета-ГХЦГ, гамма-ГХЦГ, дигидрогептахлора, дикофола, 4,4'-ДДЕ, 4,4'-ДДД, 4,4'-ДДТ, трифлуралина Приложение Б. Методика приготовления аттестованных растворов ГХБ, альфа-ГХЦГ, бета-ГХЦГ, гамма-ГХЦГ, дигидрогептахлора, дикофола, 4,4'-ДДЕ, 4,4'-ДДД, 4,4'-ДДТ, трифлуралина для установления градуировочных характеристик приборов и контроля точности результатов измерений массовой концентрации пестицидов газохроматографическим методом
Заместителем Руководителя
Росгидромета
26 мая 2009 года
РУКОВОДЯЩИЙ ДОКУМЕНТ
МАССОВАЯ КОНЦЕНТРАЦИЯ ГЕКСАХЛОРБЕНЗОЛА, АЛЬФА-, БЕТА-
И ГАММА-ГХЦГ, ДИКОФОЛА, ДИГИДРОГЕПТАХЛОРА, 4,4'-ДДТ,
4,4'-ДДЕ, 4,4'-ДДД, ТРИФЛУРАЛИНА В ВОДАХ.
МЕТОДИКА ВЫПОЛНЕНИЯ ИЗМЕРЕНИЙ
ГАЗОХРОМАТОГРАФИЧЕСКИМ МЕТОДОМ
РД 52.24.412-2009
Дата введения
4 июня 2009 года
1. Разработан Государственным учреждением Гидрохимический институт (ГУ ГХИ).
2. Разработчики Л.В. Боева, канд. хим. наук (руководитель разработки); Ю.А. Андреев; Е.Л. Селютина.
3. Согласован с ГУ "НПО "Тайфун" 24.04.2009 и УМЗА Росгидромета 25.05.2009.
4. Утвержден Заместителем Руководителя Росгидромета 26.05.2009.
5. Аттестован ГУ ГХИ,
свидетельство об аттестации методики выполнения измерений N 66.24-2008 от 23.04.2008.
6. Зарегистрирован ЦМТР ГУ НПО "Тайфун" за номером РД 52.24.412-2009 от 04.06.2009.
7. Взамен РД 52.24.412-95 "Методические указания. Методика выполнения измерений массовой концентрации гексахлорбензола, альфа-, бета- и гамма-ГХЦГ, дикофола, дигидрогептахлора, 4,4'-ДДТ, 4,4'-ДДЕ, 4,4'-ДДД, трифлуралина в водах газохроматографическим методом".
Галогенорганические инсектициды и гербициды широко применяются в агрохимической практике для борьбы с насекомыми-вредителями и сорной растительностью, что обуславливает поступление этих пестицидов в водные объекты с ливневым стоком с сельхозугодий и через атмосферу.
Из-за значительных объемов применения и свойств ряд галогенорганических пестицидов (далее - пестициды) - альфа-ГХЦГ (альфа-изомер гексахлорциклогексана), гамма-ГХЦГ (гамма-изомер гексахлорциклогексана, линдан, гамматокс), 4,4'-ДДТ (п,п'-ДДТ, дикофан, аэротокс), 4,4'-ДДЕ (п,п'-ДДЕ), 4,4'-ДДД (п,п'-ДДД, ротан, ТДЕ), дикофол (акарин, кельтан, хлорэтанол), трифлуралин (олитреф, трефлан) - включены в приоритетный перечень пестицидов, подлежащих контролю в поверхностных водах суши. Распространены в поверхностных водах суши гексахлорбензол (ГХБ, гексадин) и дигидрогептахлор (бета-дигидрогептахлор, дилор), а также приоритетный для почв бета-изомер ГХЦГ.
| | ИС МЕГАНОРМ: примечание. Текст приведен в соответствии с официальным текстом документа. | |
Предельно концентрации (ПДК) и ориентировочно допустимые уровни (ОДУ) в поверхностных водах суши определяемых по настоящей методике пестицидов приведены в таблице 1.
Таблица 1
Предельно допустимые концентрации галогенорганических
пестицидов в поверхностных водах суши
Пестицид | ПДК, мкг/дм3 |
в воде водных объектов хозяйственно-питьевого и культурно-бытового водопользования | в воде водоемов | для воды водных объектов, имеющих рыбохозяйственное значение |
Гексахлорбензол | 1 | 1 (ОДУ) | Не установлена |
Альфа-ГХЦГ | 20 | 2 | Отсутствие |
Бета-ГХЦГ | 20 | 2 | Отсутствие |
Гамма-ГХЦГ | 4 (ОДУ) | 2 | Отсутствие |
Дигидрогептахлор | 100 | 40 | 0,5 |
Трифлуралин | 1 | 20 | 0,3 |
4,4'-ДДЕ | Не установлена | Не установлена | Отсутствие |
4,4'-ДДД | Не установлена | Не установлена | Отсутствие |
4,4'-ДДТ | 100 | 100 | Отсутствие |
Дикофол | 20 | 10 | Отсутствие |
1.1. Настоящий руководящий документ устанавливает методику выполнения измерений (далее - методика) массовой концентрации гексахлорбензола (ГХБ), альфа- и гамма-гексахлорциклогексана (ГХЦГ) в диапазоне от 0,002 до 0,050 мкг/дм3, трифлуралина, дигидрогептахлора и 4,4'-ДДЕ - от 0,0050 до 0,150 мкг/дм3, бета-ГХЦГ и 4,4'-ДДД - от 0,010 до 0,300 мкг/дм3, 4,4'-ДДТ и дикофола - от 0,020 до 0,500 мкг/дм3 в пробах природных и очищенных сточных вод.
При анализе проб воды с массовой концентрацией пестицида, превышающей верхнюю границу указанного диапазона, допускается выполнение измерений после разбавления н-гексаном экстракта, подлежащего хроматографированию, таким образом, чтобы массовая концентрация пестицида в разбавленном экстракте находилась в пределах соответствующего диапазона измеряемых концентраций.
1.2. Настоящий руководящий документ предназначен для использования в лабораториях, осуществляющих наблюдения за загрязнением природных и очищенных сточных вод.
В настоящем руководящем документе использованы ссылки на следующие нормативные документы:
ГОСТ 12.1.005-88. ССБТ. Общие санитарно-гигиенические требования к воздуху рабочей зоны
ГОСТ 12.1.007-76. ССБТ. Вредные вещества. Классификация и общие требования безопасности
ГОСТ 17.1.5.04-81. Охрана природы. Гидросфера. Приборы и устройства для отбора, первичной обработки и хранения проб природных вод. Общие технические условия
ГОСТ 17.1.5.05-85. Охрана природы. Гидросфера. Общие требования к отбору проб поверхностных и морских вод, льда и атмосферных осадков
ГОСТ Р ИСО 5725-6-2002. Точность (правильность и прецизионность) методов и результатов измерений. Часть 6. Использование значений точности на практике
МИ 2881-2004. Рекомендация. ГСИ. Методики количественного химического анализа. Процедуры проверки приемлемости результатов анализа
| | ИС МЕГАНОРМ: примечание. Взамен РД 52.24.485-95 с 10.07.2012 введен в действие РД 52.24.485-2012 утв. Росгидрометом 10.05.2012. | |
РД 52.24.485-95. "Методические указания. Методика выполнения измерений массовой концентрации хлорпирифоса в поверхностных водах суши газохроматографическим методом".
Примечание. Ссылки на остальные нормативные документы приведены в
разделах 4 и
Б.3 (Приложение Б).
3. Приписанные характеристики погрешности измерения
3.1. При соблюдении всех регламентируемых методикой условий выполнения измерений характеристики погрешности результата измерения с вероятностью 0,95 не должны превышать значений, приведенных в таблицах 2 и
3.
Таблица 2
Диапазон измерений, значения характеристик погрешности
и ее составляющих при определении галогенорганических
пестицидов по варианту 1 методики при принятой
вероятности P = 0,95
Пестицид | Диапазон измерений массовых концентраций X, мкг/дм3 | Показатель повторяемости (средне квадратическое отклонение повторяемости)  , мкг/дм3 | Показатель воспроизводимости (средне квадратическое отклонение воспроизводимости)  , мкг/дм3 | Показатель правильности (границы систематической погрешности)  , мкг/дм3 | Показатель точности (границы погрешности)  , мкг/дм3 |
ГХБ | От 0,0020 до 0,0500 включ. | 0,0003 + 0,042 x X | 0,0004 + 0,056 x X | 0,0003 + 0,045 x X | 0,0008 + 0,11 x X |
альфа-ГХЦГ | От 0,0020 до 0,0500 включ. | 0,0003 + 0,065 x X | 0,0004 + 0,087 x X | 0,0003 + 0,069 x X | 0,0008 + 0,17 x X |
бета-ГХЦГ | От 0,010 до 0,300 включ. | 0,001 + 0,042 x X | 0,001 + 0,056 x X | 0,001 + 0,045 x X | 0,003 + 0,11 x X |
гамма-ГХЦГ | От 0,0020 до 0,0500 включ. | 0,0003 + 0,068 x X | 0,0004 + 0,090 x X | 0,0003 + 0,072 x X | 0,0008 + 0,18 x X |
Дигидро- гептахлор | От 0,0050 до 0,150 включ. | 0,0002 + 0,046 X | 0,0003 + 0,061 X | 0,0003 + 0,049 x X | 0,0007 + 0,12 x X |
4,4'-ДДЕ | От 0,0050 до 0,150 включ. | 0,0008 + 0,035 x X | 0,0010 + 0,047 x X | 0,0008 + 0,037 x X | 0,002 + 0,093 x X |
4,4'-ДДД | От 0,010 до 0,300 включ. | 0,001 + 0,083 x X | 0,001 + 0,11 x X | 0,001 + 0,085 x X | 0,001 + 0,22 x X |
4,4'-ДДТ | От 0,020 до 0,500 включ. | 0,0038 + 0,036 x X | 0,0050 + 0,048 x X | 0,0040 + 0,038 x X | 0,010 + 0,096 x X |
Дикофол | От 0,020 до 0,500 включ. | 0,002 + 0,034 x X | 0,003 + 0,045 x X | 0,002 + 0,036 x X | 0,005 + 0,090 x X |
Трифлуралин | От 0,0050 до 0,150 включ. | 0,0006 + 0,056 x X | 0,0008 + 0,074 x X | 0,0006 + 0,059 x X | 0,0016 + 0,15 x X |
Таблица 3
Диапазон измерений, значения характеристик погрешности
и ее составляющих при определении галогенорганических
пестицидов по варианту 2 методики при принятой
вероятности P = 0,95
Пестицид | Диапазон измерений массовых концентраций X, мкг/дм3 | Показатель повторяемости (средне квадратическое отклонение повторяемости)  , мкг/дм3 | Показатель воспроизводимости (средне квадратическое отклонение воспроизводимости)  , мкг/дм3 | Показатель правильности (границы систематической погрешности)  , мкг/дм3 | Показатель точности (границы погрешности)  , мкг/дм3 |
ГХБ | От 0,0020 до 0,0500 включ. | 0,0003 + 0,033 x X | 0,0004 + 0,044 x X | 0,0003 + 0,035 x X | 0,0008 + 0,089 x X |
альфа-ГХЦГ | От 0,0020 до 0,0500 включ. | 0,0005 + 0,075 x X | 0,0006 + 0,10 x X | 0,0004 + 0,081 x X | 0,0011 + 0,20 x X |
бета-ГХЦГ | От 0,010 до 0,300 включ. | 0,0015 + 0,037 x X | 0,0020 + 0,049 x X | 0,0010 + 0,040 x X | 0,003 + 0,089 x X |
гамма-ГХЦГ | От 0,0020 до 0,0500 включ. | 0,0004 + 0,059 x X | 0,0005 + 0,079 x X | 0,0004 + 0,063 x X | 0,0010 + 0,16 x X |
Дигидро- гептахлор | От 0,0050 до 0,150 включ. | 0,0009 + 0,015 x X | 0,0012 + 0,020 x X | 0,0010 + 0,016 x X | 0,0024 + 0,041 x X |
4,4'-ДДЕ | От 0,0050 до 0,150 включ. | 0,0008 + 0,027 x X | 0,0010 + 0,036 x X | 0,0008 + 0,029 x X | 0,0019 + 0,072 x X |
4,4'-ДДД | От 0,010 до 0,300 включ. | 0,0023 + 0,014 x X | 0,0030 + 0,019 x X | 0,0020 + 0,015 x X | 0,005 + 0,039 x X |
4,4'-ДДТ | От 0,020 до 0,200 включ. | 0,0008 + 0,069 x X | 0,0010 + 0,092 x X | 0,0010 + 0,073 x X | 0,003 + 0,18 x X |
Св. 0,200 до 0,500 включ. | 0,014 | 0,019 | 0,015 | 0,038 |
Дикофол | От 0,020 до 0,500 включ. | 0,0008 + 0,045 x X | 0,001 + 0,060 x X | 0,001 + 0,048 x X | 0,003 + 0,12 x X |
Трифлуралин | От 0,0050 до 0,050 включ. | 0,11 x X | 0,15 x X | 0,12 x X | 0,30 x X |
Св. 0,050 до 0,150 включ. | 0,006 | 0,008 | 0,006 | 0,015 |
При выполнении измерений массовой концентрации пестицидов свыше 0,0500 мкг/дм3 для ГХБ, альфа- и гамма-ГХЦГ, свыше 0,150 мкг/дм3 для трифлуралина, дигидрогептахлора, 4,4'-ДДЕ, свыше 0,300 мкг/дм3 для бета-ГХЦГ и 4,4'-ДДД, свыше 0,500 мкг/дм3 для 4,4'-ДДТ и дикофола погрешности измерения для соответствующих пестицидов не превышают значений, рассчитанных по приведенным в
таблицах 2 и
3 зависимостям.
4. Средства измерений, вспомогательные устройства,
реактивы, материалы
4.1. Средства измерений, вспомогательные устройства
При выполнении измерений применяют следующие средства измерений и другие технические средства:
4.1.1. Хроматограф газовый типа Цвет-550, Кристалл 2000М, Хроматэк-Кристалл 5000.2 или другого типа с электронозахватным детектором (ЭЗД, ДПР, ИРД и другого типа).
4.1.2. Генератор водорода любого типа, вырабатывающий водород марки "А" по
ГОСТ 3022-80.
4.1.4. Весы лабораторные среднего (III) класса точности по
ГОСТ 24104-2001 с пределом взвешивания 200 г.
4.1.5. Государственный стандартный образец состава пестицида гексахлорбензола ГСО 7495-98; альфа-ГХЦГ ГСО 8888-2007; бета-ГХЦГ ГСО 8889-2007; гамма-ГХЦГ ГСО 8890-2007; трифлуралина ГСО 7722-99; 4,4'-ДДЕ ГСО 8893-2007; 4,4'-ДДД ГСО 8891-2007; 4,4'-ДДТ ГСО 8892-2007; раствора гептахлора в ацетоне ГСО 7300-96; раствора дикофола в изооктане ГСО 7388-97.
4.1.6. Микрошприц МШ-10М по ТУ 2-833-106 - 2 шт.
4.1.7. Дозатор пипеточный ДПОФц-1-500 по ТУ 9452-002-33189998-2002 - 1 шт.
4.1.8. Испаритель ротационный любого типа - 1 шт;
или аппарат для концентрирования экстрактов (аппарат Кудерна-Даниша) - 6 шт;
или колбы с Г-образным отводом вместимостью 100 см3 - 6 шт.
4.1.9. Колбы мерные 2-го класса точности исполнения 2 по
ГОСТ 1770-74 вместимостью: 5 см3 - 1 шт., 10 см3 - 1 шт., 50 см3 - 30 шт., 100 см3 - 5 шт.
4.1.10. Пипетки градуированные 2-го класса точности исполнения 1, 2 по
ГОСТ 29227-91, вместимостью: 1 см3 - 25 шт., 2 см3 - 10 шт., 5 см3 - 15 шт., 10 см3 - 10 шт.
4.1.11. Цилиндры мерные исполнения 2 с пришлифованной пробкой по
ГОСТ 1770-74 вместимостью 10 см3 - 5 шт.
4.1.12. Цилиндры мерные исполнения 1, 3 по
ГОСТ 1770-74 вместимостью: 10 см3 - 2 шт., 25 см3 - 2 шт., 100 см3 - 1 шт., 250 см3 - 1 шт., 1000 см3 - 1 шт.
4.1.13. Пробирки градуированные исполнения 2 с взаимозаменяемым конусом 14/23 по
ГОСТ 1770-74 вместимостью: 5 см3 - 30 шт., 10 см3 - 10 шт.
4.1.14. Колбы типа Кн исполнения 1 с взаимозаменяемым конусом 14/23 и пришлифованной пробкой по
ГОСТ 25336-82 вместимостью: 25 см3 - 6 шт., 50 см3 - 6 шт., 100 см3 - 6 шт.
4.1.15. Воронки делительные типа ВД исполнения 1 по
ГОСТ 25336-82 вместимостью: 10 см3 - 6 шт., 25 см3 - 2 шт., 50 см3 - 2 шт., 100 см3 - 6 шт., 250 см3 - 6 шт., 500 см3 - 1 шт., 1000 см3 - 6 шт.
4.1.16. Воронки лабораторные типа В по
ГОСТ 25336-82 диаметром 36 мм - 6 шт., 56 мм - 6 шт.
4.1.17. Стаканы типа Н исполнения 1 по
ГОСТ 25336-82 вместимостью: 50 см3 - 6 шт., 250 см3 - 3 шт., 1000 см3 - 6 шт.
4.1.18. Пробки стеклянные с конусным шлифом с соединительным краном по ОСТ 25-79 (пробка-кран) - 6 шт.
4.1.19. Установка из стекла группы ТС для перегонки растворителей (круглодонная колба типа К-1 с взаимозаменяемым конусом 29/32 вместимостью 1000 см3, дефлегматор длиной 350 мм с взаимозаменяемыми конусами 19/26 и 29/32, насадка типа Н1 с взаимозаменяемыми конусами 19/26-14/23-14/23, холодильник типа ХПТ-1 длиной не менее 400 мм, алонж типа АИ с взаимозаменяемым конусом муфты 14/23) по
ГОСТ 25336-82, термометр лабораторный ТЛ-50 с взаимозаменяемым конусом КШ 14/23 длиной нижней части термометра 60 мм и диапазоном измерения температур от 0 °C до 100 °C, цена деления шкалы - 0,5 °C по ТУ 25-2021.007-88.
4.1.20. Холодильник шариковый типа ХШ-1-100-14/23 ХС по
ГОСТ 25336-82 - 2 шт.
4.1.21. Выпарительная чашка N 6 по
ГОСТ 9147-80 вместимостью 450 см3 - 1 шт.
4.1.22. Колонки хроматографические стеклянные длиной 2 м с внутренним диаметром 3 мм - 2 шт.
4.1.23. Стаканчики для взвешивания СВ-14/8 (бюксы) по
ГОСТ 25336-82 - 4 шт.
4.1.24. Пипетка Пастера по ТУ 9464-001-52876351-2000 - 18 шт.
4.1.25. Шарик стеклянный, диаметр 6 - 7 мм - 3 шт.
4.1.26. Стеклянные палочки диаметром 6 - 7 мм.
4.1.27. Эксикатор исполнения 2 диаметром корпуса 190 мм по
ГОСТ 25336-82.
4.1.29. Микрокомпрессор аквариумный любого типа.
4.1.30. Насос вакуумный.
4.1.31. Центрифуга настольная ОПн-3 с ротором-крестовиной, ТУ 5.375-4260-76 или аналогичного типа со скоростью вращения до 3000 об/мин.
4.1.32. Мешалка магнитная с нагревом и якорем в стеклянной или тефлоновой оболочке.
4.1.33. Плитка электрическая с закрытой спиралью с регулируемым нагревом.
4.1.34. Баня водяная.
4.1.35. Муфельная печь с регулируемым нагревом любого типа.
4.1.36. Шкаф сушильный общелабораторного назначения.
4.1.37. Холодильник бытовой.
4.1.38. Посуда стеклянная (в том числе темного стекла) для отбора проб и хранения растворов вместимостью 50; 250; 1000 см3.
Примечание. Допускается использование других типов средств измерений, посуды и вспомогательного оборудования, в том числе импортных, с характеристиками не хуже, чем у приведенных в
4.1.
4.2. Реактивы и материалы
4.2.1. Кварцевая капиллярная колонка длиной 30 м, диаметром 0,32 мм с толщиной пленки неподвижной фазы 0,25 мкм НР-5, НР-50+, НР-17, НР-1701 или аналогичная.
4.2.2. Хроматон N-AW-DMCS (N-AW-HMDS, N-Super) или Инертон AW-DMCS (фракция 0,16 - 0,20 мм) с 5% нанесенной неподвижной фазы SE-30 или с 3% OV-17.
4.2.3. Хроматон N-AW-DMCS (N-AW-HMDS, N-Super) или Инертон AW-DMCS (фракция 0,16 - 0,20 мм) с 5% нанесенной неподвижной фазы XE-60.
4.2.4. н-Гексан по ТУ 2631-003-05807999-98, х.ч., перегнанный.
4.2.5. Ацетон по ТУ 2633-039-44493179-00, ос.ч.
4.2.6. Спирт этиловый ректификованный технический по
ГОСТ 18300-87.
4.2.9. Спирт изопропиловый по ТУ 2632-064-44493179-01, ос.ч.
4.2.11. Натрия гидроокись (гидроксид натрия) по
ГОСТ 4328-77, ч.д.а.
4.2.12. Универсальная индикаторная бумага pH 1 - 12 по ТУ 6-09-1181-76.
4.2.13. Натрий сернистокислый (натрий сульфит) по
ГОСТ 195-77, ч.д.а.
4.2.14. Натрий углекислый кислый (натрий двууглекислый, натрий гидрокарбонат) по
ГОСТ 4201-79, х.ч.
4.2.15. Калия гидроокись (гидроксид калия) по
ГОСТ 24363-80, ч.д.а.
4.2.16. Тетрабутиламмоний сульфат 15%-ный раствор по ТУ 6-09-05-719-86, ч.
4.2.18. Азот нулевой, марка "А", по ТУ 6-21-39-96 или азот газообразный особой чистоты, 1-й сорт, по
ГОСТ 9293-74.
4.2.20. Стеклоткань или стекловата,
ГОСТ 10146-74, промытая ацетоном и н-гексаном.
4.2.21. Вата медицинская по
ГОСТ 5556-81, промытая н-гексаном.
4.2.23. Трубка Ф-4Д по
ГОСТ 22056-76 с внутренним диаметром 4 - 5 мм.
4.2.24. Трубка из силиконовой резины с внутренним диаметром 5 - 6 мм.
Примечание. Допускается использование реактивов, изготовленных по другой нормативной и технической документации, в том числе импортных, с квалификацией не ниже указанной в
4.2.
Определение пестицидов основано на их извлечении из воды экстрагированием н-гексаном, очистке экстракта концентрированной серной кислотой и количественном определении пестицидов методом газожидкостной хроматографии с электронозахватным детектором.
Методика представлена в двух вариантах. По варианту 1 извлечение пестицидов из пробы воды осуществляют с помощью двукратной экстракции н-гексаном (2 раза по 20 см3); по варианту 2 - с помощью микроэкстракции, т.е. однократной экстракции н-гексаном объемом 2,0 - 2,5 см3.
Вариант 2 более экспрессный и менее трудоемок, но требует более высокой квалификации аналитика. При выполнении измерений по варианту 2 (однократное экстрагирование проб воды н-гексаном объемом 2,5 см3) настоящий руководящий документ может применяться совместно с вариантом 2 РД 52.24.485-95 в целях определения в одной пробе воды хлорпирифоса, хлорорганических пестицидов и трифлуралина.
Идентификацию определяемых пестицидов проводят по временам удерживания. Последние для некоторых из пестицидов могут быть слишком близкими или вовсе совпадать при разделении на одной фазе. Поэтому для каждой серии однотипных проб следует устанавливать однозначность идентификации разделением на колонках с фазами различной полярности, например, SE-30 и XE-60 или OV-17 и XE-60. В случае использования капиллярных колонок достоверность идентификации также следует подтверждать на двух колонках (допускается использовать одну набивную, одну капиллярную).
Количественный расчет содержания определяемых пестицидов проводят по высоте (или площади) их хроматографических пиков на хроматограммах стандартного раствора и экстракта пробы воды.
6. Требования безопасности, охраны окружающей среды
6.1. При выполнении измерений массовой концентрации пестицидов в пробах природных и очищенных сточных вод соблюдают требования безопасности, установленные в национальных стандартах и соответствующих нормативных документах.
6.2. По степени воздействия на организм вредные вещества, используемые при выполнении измерений, относятся к 1, 2, 3, 4 классам опасности по
ГОСТ 12.1.007.
6.3. Содержание используемых вредных веществ в воздухе рабочей зоны не должно превышать установленных ПДК в соответствии с
ГОСТ 12.1.005.
6.4. Выполнение измерений следует проводить при наличии вытяжной вентиляции. Оператор, выполняющий измерения, должен быть проинструктирован о специфических мерах предосторожности при работе с галогенорганическими пестицидами.
6.5. Оператор, выполняющий измерения на хроматографе, должен знать правила безопасности при работе с электрооборудованием, сжатыми и горючими газами.
6.6. Градуировочные растворы и экстракты пестицидов, а также сливы органических растворителей собирают в герметично закрывающуюся посуду и утилизируют согласно установленным правилам.
6.7. Сливы гексана, не содержащие пестициды, - собирать в отдельные склянки с этикетками "Слив гексана" и регенерировать в соответствии с процедурой, приведенной в
Приложении А.
7. Требования к квалификации операторов
К выполнению измерений и обработке их результатов допускаются лица с высшим профессиональным образованием или со средним профессиональным образованием, имеющие стаж работы в лаборатории не менее 2 лет, владеющие техникой хроматографического анализа и освоившие методику.
8. Условия выполнения измерений
При выполнении измерений в лаборатории должны быть соблюдены следующие условия:
- температура окружающего воздуха (22 +/- 5) °C;
- атмосферное давление от 84,0 до 106,7 кПа (от 630 до 800 мм рт. ст.);
- влажность воздуха не более 80% при 25 °C;
- напряжение в сети (220 +/- 10) В;
- частота переменного тока в сети питания (50 +/- 1) Гц.
Отбор проб для выполнения измерений массовой концентрации пестицидов производят в соответствии с
ГОСТ 17.1.5.05 и
ГОСТ Р 51592 с помощью стеклянного батометра. Оборудование для отбора проб должно соответствовать
ГОСТ 17.1.5.04 и
ГОСТ Р 51592. Из батометра пробу без фильтрования переносят в стеклянные бутыли вместимостью 1 дм3 и закрывают притертыми стеклянными или обернутыми тефлоновой пленкой (или алюминиевой фольгой) корковыми или полиэтиленовыми пробками. Применение полиэтиленовой посуды и резиновых пробок не допускается.
Пробы воды хранят не более 10 сут при температуре 5 - 7 °C.
Если требуется более длительное хранение, пробы воды экстрагируют н-гексаном в соответствии с
разделом 11. Гексановые экстракты хранят только в стеклянной посуде с притертыми пробками в темноте при температуре 5 - 7 °C. Срок хранения неочищенных экстрактов - не более 10 сут, очищенных - до 3 мес.
10. Подготовка к выполнению измерений
10.1. Приготовление растворов и реактивов
Каждую новую партию н-гексана проверяют введением в хроматограф соответствующей аликвоты. Наличие на хроматограмме пиков посторонних веществ указывает на необходимость очистки. Аликвоту 60 - 65 см3 н-гексана следует упарить сначала в аппарате Кудерна-Даниша до объема 4 - 5 см3 и окончательно отдуть азотом или очищенным воздухом до 1,0 см3 в градуированной пробирке вместимостью 5 см3. Далее вводят в хроматограф аликвоту полученного н-гексана и при наличии пиков, совпадающих по времени удерживания с определяемыми пестицидами, проводят очистку н-гексана перегонкой. Собирают установку для перегонки из стекла и перегоняют всю партию н-гексана, отбрасывая первые 50 - 60 см3 и отбирая фракцию с температурой кипения 68,8 - 68,9 °C. При уменьшении количества и величины пиков посторонних веществ, повторно проводят очистку вторичной перегонкой. Если при повторной проверке полученного н-гексана по-прежнему присутствуют мешающие определению пики, проводят очистку в соответствии с
Приложением А.
10.1.2. Дистиллированная вода, очищенная н-гексаном
В делительную воронку помещают 1 дм3 дистиллированной воды, добавляют 10 см3 н-гексана и интенсивно встряхивают 2 - 3 мин. Очищенную воду хранят в плотно закрытой склянке.
10.1.3. Сульфат натрия безводный
Прокаливают в фарфоровой чашке сульфат натрия в муфельной печи при температуре 400 °C в течение 8 ч. Прокаленный сульфат натрия хранят в эксикаторе.
10.1.4. Раствор сульфата натрия, 13%-ный
Растворяют 130 г безводного сульфата натрия в дистиллированной воде и доводят объем раствора до 1 дм3. Приготовленный раствор очищают, экстрагируя его 20 см3 н-гексана.
10.1.5. Раствор гидрокарбоната натрия, 0,5%-ный
Растворяют 1 г гидрокарбоната натрия в 200 см3 дистиллированной воды. Приготовленный раствор очищают, экстрагируя его 10 см3 н-гексана.
10.1.6. Раствор сульфата тетрабутиламмония, 3%-ный
Раствор тетрабутиламмония (ТБА) готовят непосредственно перед употреблением. Для этого к 11 см3 15%-ного водного раствора сульфата тетрабутиламмония приливают 38 см3 дистиллированной воды и добавляют 12,5 г сернистокислого натрия. Приготовленный раствор ТБА очищают трехкратной экстракцией н-гексаном объемами по 10 см3.
10.1.7. Раствор серной кислоты, 1%-ный
Растворяют 1,1 см3 концентрированной серной кислоты в 200 см3 дистиллированной воды, очищенной н-гексаном.
10.1.8. Раствор азотной кислоты, 6 моль/дм3
Растворяют 50 см3 концентрированной азотной кислоты при помешивании в 150 см3 дистиллированной воды.
10.1.9. Медь металлическая, опилки или крупка
Опилки получают, обрабатывая слиток меди напильником или ножовкой по металлу. Изменяя силу нажима на напильник или ножовку, добиваются того, чтобы размер крупинок меди составлял 0,2 - 0,5 мм. Предназначенные для получения медных опилок напильник или полотно ножовки должны быть обезжирены промыванием последовательно ацетоном и н-гексаном.
Медная крупка нужного размера может быть получена восстановлением в токе водорода при температуре 300 °C отсеянного оксида меди.
Полученные медные опилки или медную крупку помещают в бюкс и активируют их обработкой раствором азотной кислоты в течение 20 - 30 с. После этого опилки или крупку промывают дистиллированной водой 4 - 5 раз и затем 5 - 6 раз ацетоном. После ацетона медные опилки или крупку промывают 3 - 4 раза н-гексаном. Хранят активированные медные опилки или крупку в бюксе под слоем н-гексана 2 суток, после чего необходимо провести повторное активирование. Наиболее целесообразно активировать такое количество меди, которое необходимо на один день работы.
10.2. Приготовление градуировочных растворов ГХБ,
альфа-ГХЦГ, бета-ГХЦГ, гамма-ГХЦГ, дигидрогептахлора,
дикофола, 4,4'-ДДЕ, 4,4'-ДДД, 4,4'-ДДТ, трифлуралина
10.2.1. Градуировочные растворы пестицидов готовят из ГСО в соответствии с инструкцией по их применению для получения необходимых концентраций, используя в качестве растворителей н-гексан и ацетон. При отсутствии ГСО допускается приготовление градуировочных растворов из аттестованных растворов, методика приготовления которых приведена в
Приложении Б. Растворы в н-гексане используют для приготовления градуировочных образцов при хроматографировании, растворы в ацетоне - в качестве добавок в пробы природной воды при определении коэффициентов пересчета и при внутрилабораторном контроле.
10.2.2. Градуировочные растворы смеси пестицидов готовят в мерных колбах вместимостью 50 см3, отмеряя пипетками в колбу объемы растворов соответствующих концентраций, указанные в таблицах 4 и
5. Объем смеси доводят н-гексаном до 50 см3. Приписываемое значение концентрации каждому пестициду в смеси указано в таблицах 4 и
5.
Таблица 4
Массовые концентрации пестицидов в градуировочных растворах
(смесь 1)
Номер раствора | Состав раствора | Концентрация раствора пестицида, мкг/см3 | Объем раствора, вносимый в мерную колбу, см3 | Концентрация пестицида в смеси, мкг/см3 |
1 | ГХБ | 0,200 | 0,5 | 0,0020 |
Альфа-ГХЦГ | 0,200 | 0,5 | 0,0020 |
Бета-ГХЦГ | 0,200 | 2,5 | 0,0100 |
Гамма-ГХЦГ | 0,200 | 0,5 | 0,0020 |
Дигидрогептахлор | 0,200 | 1,2 | 0,0048 |
Трифлуралин | 0,200 | 1,2 | 0,0048 |
4,4'-ДДЕ | 0,200 | 1,2 | 0,0048 |
4,4'-ДДД | 0,200 | 2,5 | 0,0100 |
4,4'-ДЦТ | 0,200 | 5,0 | 0,0200 |
Дикофол | 0,200 | 5,0 | 0,0200 |
2 | ГХБ | 0,200 | 1,2 | 0,0048 |
Альфа-ГХЦГ | 0,200 | 1,2 | 0,0048 |
Бета-ГХЦГ | 0,200 | 6,2 | 0,0248 |
Гамма-ГХЦГ | 0,200 | 1,2 | 0,0048 |
Дигидрогептахлор | 0,200 | 3,0 | 0,0120 |
Трифлуралин | 0,200 | 3,0 | 0,0120 |
4,4'-ДДЕ | 0,200 | 3,0 | 0,0120 |
4,4'-ДДД | 0,200 | 6,2 | 0,0248 |
4,4'-ДДТ | 10,00 | 0,25 | 0,0500 |
Дикофол | 10,00 | 0,25 | 0,0500 |
3 | ГХБ | 0,200 | 2,5 | 0,0100 |
Альфа-ГХЦГ | 0,200 | 2,5 | 0,0100 |
Бета-ГХЦГ | 10,00 | 0,25 | 0,0500 |
Гамма-ГХЦГ | 0,200 | 2,5 | 0,0100 |
Дигидрогептахлор | 0,200 | 6,2 | 0,0248 |
Трифлуралин | 0,200 | 6,2 | 0,0248 |
4,4'-ДДЕ | 0,200 | 6,2 | 0,0248 |
4,4'-ДДД | 10,00 | 0,25 | 0,0500 |
4,4'-ДДТ | 10,00 | 0,5 | 0,1000 |
Дикофол | 10,00 | 0,5 | 0,1000 |
4 | ГХБ | 0,200 | 5,0 | 0,0200 |
Альфа-ГХЦГ | 0,200 | 5,0 | 0,0200 |
Бета-ГХЦГ | 10,00 | 0,5 | 0,1000 |
Гамма-ГХЦГ | 0,200 | 5,0 | 0,0200 |
Дигидрогептахлор | 10,00 | 0,25 | 0,0500 |
Трифлуралин | 10,00 | 0,25 | 0,0500 |
4,4'-ДДЕ | 10,00 | 0,25 | 0,0500 |
4,4'-ДДД | 10,00 | 0,5 | 0,1000 |
4,4'-ДДТ | 10,00 | 1,0 | 0,2000 |
Дикофол | 10,00 | 1,0 | 0,2000 |
5 | ГХБ | 10,00 | 0,25 | 0,0500 |
Альфа-ГХЦГ | 10,00 | 0,25 | 0,0500 |
Бета-ГХЦГ | 10,00 | 1,5 | 0,3000 |
Гамма-ГХЦГ | 10,00 | 0,25 | 0,0500 |
Дигидрогептахлор | 10,00 | 0,75 | 0,1500 |
Трифлуралин | 10,00 | 0,75 | 0,1500 |
4,4'-ДДЕ | 10,00 | 0,75 | 0,1500 |
4,4'-ДДД | 10,00 | 1,5 | 0,3000 |
4,4'-ДДТ | 10,00 | 2,5 | 0,5000 |
Дикофол | 10,00 | 2,5 | 0,5000 |
Таблица 5
Массовые концентрации пестицидов в градуировочных растворах
(смесь 2)
Номер раствора | Состав раствора | Концентрация раствора пестицида, мкг/см3 | Объем раствора, вносимый в мерную колбу, см3 | Концентрация пестицида в смеси, мкг/см3 |
1 | Альфа-ГХЦГ | 0,200 | 0,5 | 0,0020 |
Гамма-ГХЦГ | 0,200 | 0,5 | 0,0020 |
Дигидрогептахлор | 0,200 | 1,2 | 0,0048 |
2 | Альфа-ГХЦГ | 0,200 | 1,2 | 0,0048 |
Гамма-ГХЦГ | 0,200 | 1,2 | 0,0048 |
Дигидрогептахлор | 0,200 | 3,0 | 0,0120 |
3 | Альфа-ГХЦГ | 0,200 | 2,5 | 0,0100 |
Гамма-ГХЦГ | 0,200 | 2,5 | 0,0100 |
Дигидрогептахлор | 0,200 | 6,2 | 0,0248 |
4 | Альфа-ГХЦГ | 0,200 | 5,0 | 0,0200 |
Гамма-ГХЦГ | 0,200 | 5,0 | 0,0200 |
Дигидрогептахлор | 10,00 | 0,25 | 0,0500 |
5 | Альфа-ГХЦГ | 10,00 | 0,25 | 0,0500 |
Гамма-ГХЦГ | 10,00 | 0,25 | 0,0500 |
Дигидрогептахлор | 10,00 | 0,75 | 0,1500 |
Градуировочные растворы смесей пестицидов хранят в холодильнике в плотно закрытых склянках не более 3 мес.
10.2.3. При определении коэффициентов пересчета или в целях внутреннего контроля для внесения добавки в пробу воды готовят градуировочные растворы пестицидов (см.
10.2.1,
10.2.2), используя в качестве растворителя ацетон.
В этом случае дозируемый в хроматограф градуировочный раствор смеси пестицидов в н-гексане готовят следующим образом. В мерный цилиндр с пришлифованной пробкой вместимостью 10 см3 вносят пипеткой 1 см3 н-гексана и 1 см3 градуировочного раствора смеси пестицидов в ацетоне и перемешивают содержимое цилиндра, не переворачивая его. Затем добавляют в цилиндр очищенную н-гексаном дистиллированную воду до общего объема смеси 10 см3, закрывают цилиндр пробкой и перемешивают смесь встряхиванием в течение 0,5 - 1,0 мин. Дают смеси расслоиться и используют верхний гексановый слой в качестве градуировочного раствора смеси пестицидов в н-гексане. Полученную смесь хранят в холодильнике не более 5 сут.
Условия и сроки хранения растворов пестицидов в ацетоне аналогичны таковым для растворов в н-гексане.
10.3. Подготовка хроматографических колонок
10.3.1. Стеклянные хроматографические колонки внутренним диаметром 3 мм и длиной 2 м промывают последовательно ацетоном и н-гексаном, сушат при температуре 110 - 120 °C в сушильном шкафу и заполняют одну колонку носителем с неподвижной фазой SE-30 или OV-17, другую колонку - носителем с фазой XE-60.
Для заполнения хроматографической колонки один ее конец, который в дальнейшем будет подсоединен к детектору, закрывают тампоном из промытого ацетоном и н-гексаном стекловолокна и присоединяют к вакуумному насосу через мелкую капроновую сетку. Затем включают насос и заполняют колонку носителем с фазой, добавляя последний небольшими порциями и постукивая колонку палочкой с резиновым концом при постоянно работающем насосе, следя за тем, чтобы носитель заполнял колонку равномерно, без разрывов.
Заполненную колонку закрывают тампоном из промытого стекловолокна и помещают в термостат колонок хроматографа, подсоединив к испарителю, но не подсоединяя к детектору. Кондиционирование колонки целесообразно проводить следующим образом. Установив расход азота через колонку 40 - 50 см3/мин, выдерживают колонку при температуре 60 - 70 °C в течение 20 - 30 мин. Затем увеличивают температуру термостата колонок со скоростью 2 - 3 °C/мин до температуры 230 °C и при этой температуре кондиционируют колонку в течение 8 - 10 ч.
10.3.2. Кварцевые капиллярные колонки кондиционируют в соответствии с рекомендациями производителя в прилагаемом паспорте, не подсоединяя к детектору.
10.4. Подготовка хроматографов
Подготовку хроматографов проводят в соответствии с инструкцией по их эксплуатации. После кондиционирования колонок их подсоединяют также и к детекторам, устанавливают расход газа-носителя: через набивную колонку (азот) 30 - 40 см3/мин и 1,5 - 1,8 см3/мин - через капиллярную (азот или водород).
Устанавливают необходимый режим работы хроматографов. Через 1,5 - 2 ч после установления заданных параметров (температурного и газового режимов) и стабилизации сигнала детектора вводят несколько раз по 4 - 5 мм3 градуировочных растворов смесей пестицидов для хроматографа с набивной колонкой или 2 мм3 для хроматографа с капиллярной колонкой и проверяют эффективность хроматографического разделения пестицидов.
10.5. Подготовка оборудования для микроэкстракции
10.5.1. Устройство для микроэкстракции
Микроэкстракцию (однократное извлечение пестицидов из пробы воды 2,5 см3 н-гексана) производят с помощью устройства, представленного на рисунке 1. Для наиболее полного отделения малых количеств экстракта последний вытесняют вверх, добавляя после разделения слоев в основную делительную воронку 3 необходимое количество воды из вспомогательной делительной воронки 7.
1 - пробка-кран; 2 - кольцо с усиками для фиксации
пробки-крана; 3 - делительная воронка; 4 - водный слой;
5 - сливной кран; 6 - гексановый экстракт;
7 - вспомогательная делительная воронка;
8 - фторопластовая трубка; 9 - штатив
Рисунок 1. Схема устройства для микроэкстракции
Для сборки устройства надевают на горло основной делительной воронки проволочное кольцо с усиками 2, с помощью которого пружинками или резиновыми кольцами осуществляют фиксацию пробки-крана 1, и соединяют пробку-кран и вспомогательную воронку фторопластовой трубкой 8, изогнутой соответственно пробке-крану. Соединение фторопластовой трубки со стеклом осуществляется встык с помощью отрезков силиконовой трубки длиной 15 - 20 мм. Соединение и разъем должны быть выполнены без усилий во избежание поломки стеклянных элементов устройства.
10.5.2. Подготовка пипетки для отбора микроэкстрактов
Пипетка для отбора микроэкстрактов представляет собой отрезок трубки из силиконовой резины диаметром 5 - 6 мм, который с одного конца закрыт отрезком стеклянной палочки длиной 5 - 6 мм или стеклянным шариком. С другого конца в отрезок трубки вставляют сменные пипетки Пастера.
После отбора микроэкстракта одной пробы в пипетке меняют использованный капилляр на другой, чистый, и после этого пипеткой осуществляют отбор микроэкстракта другой пробы.
10.6. Подготовка дозатора пипеточного
На наконечник дозатора вместо полиэтиленовой насадки одевают отрезок силиконовой трубки длиной 15 мм. В свободный конец отрезка трубки вставляют такую же пипетку Пастера, как и в пипетку для отбора микроэкстрактов.
10.7. Приготовление фильтра для очистки воздуха
Используемый для упаривания экстрактов воздух необходимо очищать, пропуская через фильтр с активным углем. В качестве фильтра применяют склянку для очистки газов. Входной отросток склянки заполняют медицинской ватой и наполняют склянку активным углем. При этом выходную часть склянки наполняют активным углем так, чтобы его уровень не доходил до выходного отростка, примерно, на 2 см. Оставшуюся незаполненной углем выходную часть склянки заполняют медицинской ватой. После этого входной отросток склянки соединяют с аквариумным микрокомпрессором, а выходящий из выходного отростка очищенный воздух используют для упаривания экстрактов.
Холостое измерение проводят перед анализом проб воды с целью проверки чистоты применяемых реактивов и материалов.
Для выполнения холостого измерения берут 800 - 1000 см3 дистиллированной воды, очищенной н-гексаном, тот же объем растворителя, который расходуется на экстракцию одной пробы воды, и проводят последовательно все операции анализа в зависимости от выбранного варианта методики.
Если пики на хроматограмме холостого опыта совпадают по временам удерживания хотя бы с одним пиком какого-либо из определяемых пестицидов, то необходимо путем постадийного исследования установить, какой из реактивов загрязнен, и провести его очистку или заменить этим же реактивом, но из другой партии.
11.2. Выполнение измерений по варианту 1
11.2.1. Экстракционное извлечение пестицидов
Нефильтрованную пробу воды объемом 800 - 1000 см3 переносят из транспортной тары в делительную воронку вместимостью 1000 см3. Дважды ополаскивают транспортную тару ацетоном объемами по 10 см3 и переносят смывы в делительную воронку, добавляют 20 см3 н-гексана и выполняют экстрагирование, встряхивая пробу 3 мин и затем ожидая расслоения смеси 15 - 30 мин.
Затем водную фазу переносят в химический стакан вместимостью 1000 см3, а гексановый экстракт - в коническую колбу (с притертой стеклянной пробкой) вместимостью 100 см3. Пробу воды возвращают в делительную воронку и еще раз экстрагируют н-гексаном объемом 20 см3. Пробу воды после расслоения сливают в мерный цилиндр вместимостью 1000 см3, измеряя ее объем, а гексановый экстракт помещают в ту же колбу (с первым экстрактом).
К объединенному экстракту при непрерывном помешивании добавляют безводный сульфат натрия в количестве 2 - 5 г (в зависимости от степени эмульгированности экстракта) и затем фильтруют экстракт через слой безводного сульфата натрия (примерно 3 - 4 г), помещенного в воронку на подложку из обезжиренной ваты (вата медицинская, промытая н-гексаном) и предварительно смоченного н-гексаном до появления первой капли. При необходимости осушенный экстракт собирают в коническую колбу вместимостью 50 см3 с притертой стеклянной пробкой и хранят в холодильнике не более 1 мес.
Делительную воронку ополаскивают внутри н-гексаном объемом 8 - 10 см3, переносят эту порцию н-гексана из делительной воронки в коническую колбу вместимостью 100 см3, в которой был объединенный экстракт, обмывают ею стенки колбы и находящийся в колбе сульфат натрия и также фильтруют через слой сульфата натрия в воронке. Колбу и находящийся в ней сульфат еще раз ополаскивают 8 - 10 см3 н-гексана, который затем фильтруют через ту же воронку с сульфатом натрия.
Для дальнейшей обработки весь фильтрат (экстракты и промывные порции н-гексана) помещают в устройство для концентрирования экстрактов (рисунок 2).
а)
б)
а - аппарат Кудерна-Даниша (1 - дефлегматор; 2 - средняя
часть аппарата; 3 - пробирка для сбора концентрата);
б - колба с Г-образным отводом
Рисунок 2. Устройства для концентрирования экстрактов
11.2.2. Предварительное концентрирование
К аппарату Кудерна-Даниша, содержащему полученный осушенный экстракт, подсоединяют дефлегматор и помещают аппарат на водяную баню при температуре 90 - 95 °C так, чтобы уровень воды в бане доходил до середины шлифа пробирки для концентрата. Необходимо следить, чтобы дефлегматор не охлаждался и кипение не прекращалось (при необходимости следует защитить среднюю часть аппарата асбестовым экраном).
Экстракт упаривают в этих условиях до объема, примерно, 0,5 см3.
Удаление растворителя длится 10 - 20 мин. Затем аппарат извлекают из водяной бани и охлаждают на воздухе. Дефлегматор и среднюю часть аппарата обмывают изнутри 2 - 3 см3 н-гексана и отсоединяют пробирку с концентратом. Общий объем концентрата должен составлять 4 - 5 см3.
Если фильтрат гексанового экстракта собирали в колбу с притертой пробкой для хранения, то после перенесения содержимого колбы в аппарат Кудерна-Даниша колбу ополаскивают дважды н-гексаном объемами по 2 - 3 см3, промывные порции н-гексана также помещают в аппарат Кудерна-Даниша и после этого осуществляют концентрирование.
Вместо аппарата Кудерна-Даниша концентрирование экстрактов можно проводить в колбах с Г-образным отводом на водяной бане с температурой 75 - 80 °C, не допуская интенсивного кипения н-гексана, или с помощью ротационного испарителя (температура бани около 35 °C).
11.2.3. Очистка экстрактов
Сконцентрированный по
11.2.2 экстракт количественно переносят в делительную воронку вместимостью 10 см3, приливают пипеткой 1 см3 концентрированной серной кислоты, несколько раз аккуратно переворачивают делительную воронку и дают смеси расслоиться. Обработку экстракта серной кислотой повторяют, меняя последнюю до тех пор, пока слой кислоты не будет оставаться бесцветным.
Всю кислоту, пошедшую на обработку экстракта, собирают в пробирку вместимостью 10 см3 для последующего определения трифлуралина (см.
11.4).
Обработанный серной кислотой экстракт промывают последовательно 2 - 3 см3 дистиллированной воды, очищенной н-гексаном, 1 - 2 раза по 2 - 3 см3 0,5%-ным раствором гидрокарбоната натрия до отсутствия кислой реакции по универсальной индикаторной бумаге и снова 2 раза дистиллированной водой.
11.2.4. Окончательное концентрирование экстрактов
Очищенный по
11.2.3 экстракт переносят в градуированную пробирку с притертой пробкой вместимостью 5 см3. Делительную воронку, в которой осуществляли очистку экстракта, обмывают изнутри дважды н-гексаном объемами по 0,5 см3 и промывные порции н-гексана объединяют с экстрактом в пробирке. Содержащийся в пробирке экстракт доводят точно до 1,0 см3 упариванием струей азота или очищенного воздуха либо добавлением по каплям н-гексана. Далее аликвоту экстракта вводят в испаритель хроматографа. Если игла используемого микрошприца не достает до уровня гексанового экстракта, допускается прилить в пробирку 4 - 5 см3 дистиллированной воды, очищенной н-гексаном, так чтобы можно было отобрать аликвоту пробы. Если экстракт оставляют на хранение, воду следует добавить непосредственно перед отбором аликвоты для хроматографирования.
11.3. Выполнение измерений по варианту 2
11.3.1. Микроэкстракционное извлечение пестицидов
В основную делительную воронку установки для микроэкстракции
(рисунок 1) вместимостью 1000 см3 с помощью мерного цилиндра помещают нефильтрованную пробу воды объемом 800 - 1000 см3. Если объем пробы в транспортной таре превышает объем аликвоты, взятой для анализа, его следует измерить и отбросить. Ополаскивают транспортную тару ацетоном дважды по 10 см3, смывы переносят в воронку с пробой, если вода из транспортной тары использована полностью. Если часть пробы отброшена, смывы переносят в мерный цилиндр, перемешивают, отбирают часть пропорционально отброшенной воде, а остаток добавляют к пробе в воронке. Добавляют в воронку 80 - 100 см3 раствора сульфата натрия и приливают градуированной пипеткой от 2,0 до 2,5 см3 н-гексана. Закрывают делительную воронку пробкой-краном, закрепляют пробку-кран с помощью пружинок или резиновых колец и энергично экстрагируют пробу в течение 3 мин, затем основную делительную воронку помещают в штатив установки сливным отростком вверх. После расслоения фаз (через 15 - 30 мин) соединяют пробку-кран с уравнительной трубкой, подсоединенной другим концом к сливному отростку вспомогательной делительной воронки, и вытесняют экстракт вместе с эмульсией через сливной кран основной делительной воронки в ее сливной отросток. Экстракт вместе с эмульсией переносят в градуированную пробирку вместимостью 5 см3 пипеткой для отбора микроэкстрактов (см.
10.5.2), закрывают пробирку стеклянной пробкой и центрифугируют в течение 5 мин при 3000 об/мин.
В случае если после центрифугирования значительная часть гексанового экстракта находится в виде эмульсии, осторожно круговыми движениями перемешивают экстракт с помощью пипетки, опустив в экстракт капилляр. Налипшую на кончик капилляра гелеобразную массу удаляют из пробирки и, в случае необходимости, повторяют центрифугирование.
11.3.2. Очистка экстрактов
В делительную воронку вместимостью 10 см3 с помощью дозатора пипеточного помещают 1,5 см3 экстракта, полученного по
11.3.1. Туда же приливают 1 см3 концентрированной серной кислоты и осторожно встряхивают делительную воронку несколько раз. Дают слоям разделиться и удаляют из делительной воронки серную кислоту. Если слой серной кислоты окрашен, обработку повторяют. Все порции серной кислоты, пошедшие на очистку экстракта, собирают в пробирку с притертой пробкой вместимостью 10 см3 для дальнейшего определения трифлуралина (см.
11.4).
Обработанный серной кислотой экстракт промывают 2 см3 дистиллированной воды, очищенной н-гексаном, затем 1 - 2 раза (до отсутствия кислой реакции по универсальной индикаторной бумаге) 0,5%-ным раствором гидрокарбоната натрия порциями по 2 см3 и после этого 2 раза дистиллированной водой объемами по 2 см3.
11.3.3. Окончательное концентрирование экстрактов
Очищенный по
11.3.2 экстракт из делительной воронки переносят в градуированную пробирку с притертой пробкой вместимостью 5 см3. Делительную воронку, в которой осуществляли очистку экстракта, 2 раза обмывают внутри н-гексаном объемами по 0,3 - 0,5 см3 и промывные порции н-гексана объединяют с экстрактом в пробирке. Объем очищенного экстракта доводят до 1,0 см3, упаривая струей азота или очищенного пропусканием через фильтр воздуха либо добавляя по каплям н-гексан. Далее аликвоту экстракта вводят в испаритель хроматографа. Если игла используемого микрошприца не достает до уровня гексанового экстракта, допускается прилить в пробирку 4 - 5 см3 дистиллированной воды, очищенной н-гексаном, так чтобы можно было отобрать аликвоту пробы. Если экстракт оставляют на хранение, воду следует добавить непосредственно перед отбором аликвоты для хроматографирования.
11.4. Выделение трифлуралина
В делительную воронку вместимостью 100 или 250 см3 вносят такой объем очищенной н-гексаном дистиллированной воды, который в 30 раз превышает объем пошедшей на очистку экстракта серной кислоты. Туда же количественно переносят объединенные порции использованной на очистку экстрактов серной кислоты и перемешивают содержимое. Затем в делительную воронку вносят 1,5 см3 н-гексана градуированной пипеткой вместимостью 2 см3 и энергично встряхивают в течение 5 мин. Дают смеси отстояться и отбрасывают водный слой.
Гексановый экстракт переносят в делительную воронку вместимостью 10 см3. Делительную воронку, в которой осуществляли экстрагирование трифлуралина, обмывают изнутри дважды н-гексаном объемами по 0,5 - 1,0 см3 и промывные порции н-гексана объединяют с экстрактом в делительной воронке вместимостью 10 см3. Экстракт промывают очищенной н-гексаном дистиллированной водой, 0,5%-ным раствором гидрокарбоната натрия и еще раз дистиллированной водой, переносят в пробирку с притертой пробкой вместимостью 5 см3 и доводят до объема 1,0 см3 так, как это описано в
11.3.3. После этих операций экстракт готов для хроматографирования.
11.5. Хроматографирование экстрактов
11.5.1. Хроматографирование экстракта каждой пробы осуществляют на двух хроматографах, один из которых снабжен колонкой с неподвижной фазой SE-30 или OV-17, а другой - колонкой с фазой XE-60; допускается использование одного из хроматографов с набивной колонкой и одного с капиллярной. При работе с капиллярными колонками допускается работать на одном хроматографе. Однако при сомнении в корректности идентификации веществ следует проверить ее на колонке с фазой другой полярности.
На хроматографе, снабженном колонкой с фазой XE-60, записывают хроматограмму градуировочного раствора пестицидов (смесь 1). На фазе SE-30 или OV-17 плохо разделяются ГХБ, бета-ГХЦГ и гамма-ГХЦГ, а также дикофол и дигидрогептахлор. Поэтому для лучшей идентификации определяемых пестицидов на хроматографе, снабженном колонкой с фазой SE-30 или OV-17, записывают последовательно хроматограммы градуировочных растворов пестицидов как смеси 1, так и смеси 2.
В испарители обоих хроматографов вводят по 5 - 6 мм3 соответствующих стандартных растворов и определяют времена удерживания хроматографических пиков пестицидов. При работе с капиллярной колонкой объем вводимой аликвоты составляет 2 мм3. Этот параметр необходимо проверять ежедневно перед началом определения после стабилизации температурного и газового режимов и сигнала детектора.
Трифлуралин определяют, хроматографируя на обоих хроматографах экстракт одной и той же пробы, приготовленный по
11.4. Пестициды идентифицируют, сравнивая времена удерживания на хроматограммах пробы с временами удерживания, установленными при хроматографировании градуировочных растворов на колонках с соответствующими неподвижными фазами.
11.5.2. Условия хроматографического анализа следует устанавливать для каждого конкретного хроматографа свои, исходя из рекомендуемых ниже для прибора с набивной колонкой:
- температура испарителя - от 220 °C до 230 °C;
- температура колонки - от 190 °C до 210 °C;
- температура детектора - от 270 °C до 280 °C;
- расход азота через колонку - от 30 до 40 см3 /мин;
- расход азота на поддув детектора - в соответствии с инструкцией по его эксплуатации;
- скорость диаграммной ленты - 240 мм/ч;
- рабочий предел измерений на усилителе - в зависимости от определяемых концентраций;
- объемы вводимых в хроматограф аликвот градуировочного раствора и пробы должны быть одинаковы.
В случае работы с капиллярными колонками режим хроматографа подбирают близкий к приведенному ниже:
- температура испарителя - от 230 °C до 250 °C;
- температура колонки программируется: начальная стадия - изотермический режим в диапазоне от 110 °C до 130 °C в течение 1 - 2 мин, затем повышение температуры до 250 °C со скоростью от 10 °C/мин до 15 °C/мин;
- температура детектора - от 270 °C до 280 °C;
- расход азота через колонку - от 1,5 до 2,0 см3/мин;
- деление потока устанавливают от 1:5 до 1:10;
- расход азота на поддув детектора - в соответствии с инструкцией по его эксплуатации.
11.5.3. Примеры хроматограмм представлены на рисунках 3,
4 и
5.
1 - ГХБ; 2 - трифлуралин; 3 - альфа-ГХЦГ; 4 - гамма-ГХЦГ;
5 - дигидрогептахлор; 6 - дикофол; 7 - 4,4'-ДДЕ;
8 - бета-ГХЦГ; 9 - 4,4'-ДДД; 10 - 4,4'-ДДТ;
11 - пики хроматографической системы
Рисунок 3. Хроматограмма градуировочного раствора смеси 1
пестицидов на колонке с неподвижной фазой XE-60
1 - ГХБ; 2 - трифлуралин; 3 - альфа-ГХЦГ; 4 - гамма-ГХЦГ;
5 - дигидрогептахлор; 6 - дикофол; 7 - 4,4'-ДДЕ;
8 - бета-ГХЦГ; 9 - 4,4'-ДДД; 10 - 4,4'-ДДТ;
11 - пики хроматографической системы
Рисунок 4. Хроматограммы градуировочного раствора
пестицидов смеси 1 и смеси 2 на колонке
с неподвижной фазой SE-30
1 - гексахлорбензол; 2 - альфа-ГХЦГ; 3 - гамма-ГХЦГ;
4 - дикофол; 5 - 4,4'-ДДЕ; 6 - 4,4'-ДДД; 7 - 4,4'-ДДТ
Рисунок 5. Хроматограмма градуировочного раствора смеси
некоторых пестицидов на капиллярной колонке HP-50+
Пестицид считается идентифицированным только в том случае, если соответствующий ему пик имеет место на хроматограммах, полученных как на колонке с фазой XE-60, так и на колонке с фазой SE-30 или OV-17. Если, например, на хроматограмме, полученной на колонке с фазой XE-60 имеется пик, соответствующий по времени удерживания 4,4'-ДДЕ, а на хроматограмме, полученной на колонке с фазой SE-30 или OV-17, пик, соответствующий 4,4'-ДДЕ, отсутствует (или в случае обратной ситуации), то делают вывод об отсутствии в пробе воды этого вещества.
Если массовая концентрация пестицида в экстракте превышает верхний предел аттестованного диапазона измерений, экстракты, полученные по
11.2.4,
11.3.3 и
11.4, разбавляют н-гексаном таким образом, чтобы массовая концентрация определяемого пестицида в разбавленном экстракте находилась в пределах аттестованного диапазона массовых концентраций. Для этого сухой чистой пипеткой вместимостью 1 см3 отбирают 0,5 см3 экстракта, помещают в мерную колбу вместимостью 5 или 10 см3, доводят до метки н-гексаном и перемешивают.
11.5.4. Величины коэффициентов пересчета в той или иной степени зависят от варианта определения (см.
11.2 или
11.3), от применяемого оборудования для концентрирования экстрактов, а также от состава анализируемой воды. Поэтому коэффициенты пересчета необходимо определять в каждой лаборатории для различных типов вод и оборудования для концентрирования экстрактов, используя тот вариант определения, который применяется в данной лаборатории.
Для определения коэффициентов пересчета анализируют две пробы природной воды данного типа объемом по 800 см3, в одну из которых внесена добавка градуировочного раствора смеси 1 в ацетоне объемом 1,0 см3 с концентрациями пестицидов, близкими к встречающимся в реальных пробах воды. Анализ проводят по
11.2 или
11.3 и
11.4 в зависимости от того, какой вариант определения будет применяться. Анализ проб с добавками и без добавок осуществляют в 3 - 5 повторностях. С водой иного типа анализ проводят вновь.
Коэффициенты пересчета для каждого пестицида находят по формулам, приведенным в
12.2.
Значения коэффициентов пересчета k, полученные при метрологической аттестации настоящей методики, приведены в таблице 6.
Таблица 6
Ориентировочные коэффициенты пересчета
Пестицид | Величины коэффициентов пересчета при определении |
по варианту 1 | по варианту 2 |
Гексахлорбензол | 1,22 | 0,80 |
Альфа-ГХЦГ | 1,38 | 0,92 |
Бета-ГХЦГ | 1,59 | 1,11 |
Гамма-ГХЦГ | 1,38 | 0,92 |
Дигидрогептахлор | 1,25 | 0,86 |
Трифлуралин | 1,16 | 0,79 |
4,4'-ДДЕ | 1,15 | 0,77 |
4,4'-ДДД | 1,15 | 0,74 |
4,4'-ДДТ | 1,15 | 0,75 |
Дикофол | 1,40 | 0,90 |
| | ИС МЕГАНОРМ: примечание. Нумерация пунктов дана в соответствии с официальным текстом документа. | |
11.7. Устранение мешающих влияний
11.7.1. Газохроматографическому определению пестицидов мешают некоторые соединения, не разрушающиеся при обработке экстракта концентрированной серной кислотой и имеющие времена удерживания, близкие к таковым для определяемых пестицидов. К таким соединениям относятся полихлорбифенилы (ПХБ), хлорированные парафины, галоваксы (полихлорнафталины), токсафены, тиодан, сероорганические вещества, сероводород и элементарная сера, эфиры фталевой кислоты и некоторые другие.
Если при хроматографировании экстракта по
11.5 наблюдается значительная перегрузка начальной части хроматограммы в области выхода пиков альфа- и гамма-ГХЦГ (см. рисунок 6), осуществляют дополнительную очистку экстракта от элементарной серы и (или) содержащих серу соединений раствором ТБА в присутствии сульфита натрия или активированной медью.
а)
б)
а - хроматограмма экстракта из природной воды
до ее обработки активированной медью;
б - хроматограмма экстракта из природной воды
после ее обработки активированной медью;
1 - альфа-ГХЦГ; 2 - гамма-ГХЦГ;
3 - 4,4'-ДДЕ; 4 - 4,4'-ДДТ
Рисунок 6. Хроматограммы экстракта из природной воды,
содержащей сероводород
| | ИС МЕГАНОРМ: примечание. Нумерация пунктов дана в соответствии с официальным текстом документа. | |
1.7.2. Для очистки экстракта от элементарной серы и содержащих серу соединений раствором ТБА в присутствии сульфита натрия с помощью дозатора пипеточного или пипетки для отбора микроэкстрактов очищенный серной кислотой экстракт количественно переносят в делительную воронку вместимостью 10 см3. Затем в нее добавляют пипеткой 1 см3 изопропилового спирта и 1 см3 раствора ТБА. Содержимое воронки встряхивают в течение 1 мин.
Если при этом сульфит натрия, содержащийся в растворе ТБА, не выпадает в осадок, то его добавляют к смеси в делительной воронке порциями примерно по 100 мг до тех пор, пока добавленная порция не выпадет в осадок. После этого к содержимому в делительной воронке добавляют 5 см3 дистиллированной воды, очищенной н-гексаном, встряхивают и нижний водный слой отделяют, сливая его в химический стакан вместимостью 50 см3. Гексановый экстракт фильтруют через предварительно смоченный н-гексаном сульфат натрия (2 - 3 г) в градуированную пробирку с притертой пробкой вместимостью 10 см3. Водный слой возвращают в делительную воронку и экстрагируют еще раз 3 см3 н-гексана. После этого водный слой отбрасывают, а гексановый экстракт фильтруют через ту же порцию сульфата натрия. Слой сульфата натрия промывают 1,0 - 1,5 см3 н-гексана. Очищенный экстракт концентрируют под струей азота или очищенного воздуха до 1,0 см3. Далее аликвоту экстракта вводят в испаритель хроматографа.
11.7.3. Для очистки экстракта от элементарной серы и содержащих серу соединений активированной медью с помощью дозатора пипеточного или пипетки для отбора микроэкстрактов очищенный серной кислотой экстракт количественно переносят в градуированную пробирку с притертой пробкой вместимостью 5 см3. Добавляют туда небольшое количество (на кончике скальпеля) активированной меди. Закрывают пробирку пробкой и оставляют на 15 - 20 мин, периодически встряхивая пробирку, но не переворачивая.
Если вся добавленная порция меди покрылась черным налетом, добавляют в пробирку с экстрактом еще порцию меди и вновь оставляют, периодически встряхивая пробирку (если сплошное почернение медных опилок или крупки происходит ранее, чем через 15 - 20 мин, то новую порцию добавляют, не ожидая истечения этого времени). Медь добавляют до тех пор, пока очередная ее порция через 15 - 20 мин после добавления не останется без изменений или только немного потемнеет (экстракт при этом зачастую мутнеет от образующегося сульфида меди).
По завершении процесса очистки экстракта в пробирку приливают 2 - 3 см3 дистиллированной воды, очищенной н-гексаном, закрывают пробирку пробкой и центрифугируют в течение 0,5 - 1 мин при 3000 об/мин. Объем экстракта доводят до 1,0 см3 н-гексаном и аликвоту экстракта вводят в испаритель хроматографа.
11.7.4. В пробах воды наряду с определяемыми пестицидами могут присутствовать ПХБ, галоваксы, терфенилы и подобные группы соединений. Это проявляется, как правило, в регистрации на хроматограмме большого количества пиков, по временам удерживания зачастую совпадающих с пиками определяемых пестицидов, а также пиков со временами удерживания большими, чем время удерживания 4,4'-ДДТ. В таких случаях экстракты подвергают щелочному дегидрохлорированию.
Для щелочного дегидрохлорирования 1 см3 гексанового экстракта, очищенного серной кислотой по
11.2.3 или
11.3.2 и, если необходимо, от сернистых соединений (см.
11.7.2 или
11.7.3), количественно переносят в плоскодонную коническую колбу со шлифом вместимостью 25 см3, добавляют 0,4 - 0,5 г плавленного гидроксида калия (4 - 5 гранул) и 2 см3 этилового спирта. К колбе подсоединяют шариковый холодильник и помещают ее на нагретую до температуры 50 - 55 °C магнитную мешалку. В качестве перемешивающего элемента используют активатор, запаянный в стеклянную трубку или тефлоновую оболочку длиной 10 - 20 мм и диаметром 3 - 5 мм. Содержимое колбы нагревают, перемешивая при этой температуре в течение 30 мин с момента растворения гранул гидроксида калия.
После окончания нагревания колбу вместе с холодильником приподнимают над магнитной мешалкой. Через 5 - 10 мин и промывают 3 - 5 см3 н-гексана из пипетки внутреннюю часть холодильника, отсоединяют колбу от холодильника, промывают 1 см3 н-гексана внешнюю часть его шлифа, собирая промывную порцию н-гексана в реакционную колбу. Содержимое колбы переносят в делительную воронку вместимостью 25 см3, колбу ополаскивают 2 см3 н-гексана, смывая его в ту же делительную воронку. Туда же добавляют 10 см3 дистиллированной воды, очищенной н-гексаном, и перемешивают, переворачивая делительную воронку. После разделения слоев нижний водно-спиртовый слой сливают в исходную (реакционную) колбу, а гексановый экстракт в другую делительную воронку. Водно-спиртовый слой возвращают в первую делительную воронку и повторно экстрагируют 2 - 3 см3 н-гексана. Объединенный гексановый экстракт во второй делительной воронке промывают дважды 1%-ным раствором серной кислоты объемами по 2 см3, а затем очищенной н-гексаном дистиллированной водой и 0,5%-ным раствором гидрокарбоната натрия до отсутствия кислой реакции по универсальной индикаторной бумаге и опять дистиллированной водой. Полученный таким образом гексановый экстракт сушат фильтрованием через 2 - 3 г безводного сульфата натрия в градуированную пробирку вместимостью 5 см3. Слой сульфата натрия промывают 1,0 - 1,5 см3 н-гексана в ту же пробирку и упаривают струей азота или очищенного воздуха при комнатной температуре до объема 1,0 см3 и аликвоту экстракта вводят в испаритель хроматографа.
Пример хроматограмм экстракта пробы воды до и после дегидрохлорирования представлен на рисунке 7.
а)
б)
а - хроматограмма экстракта из природной
воды без щелочного дегидрохлорирования;
б - хроматограмма экстракта из природной
воды после щелочного дегидрохлорирования;
1 - альфа-ГХЦГ; 2 - гамма-ГХЦГ; 3 - 4,4'-ДДЕ;
4 - компонент ПХБ; 5 - 4,4,-ДДТ
Рисунок 7. Хроматограммы экстракта из природной воды
Щелочное дегидрохлорирование осуществляют с идентификационными целями. В процессе дегидрохлорирования от молекул ГХЦГ, 4,4'-ДДТ, 4,4'-ДДД, дигидрогептахлора отщепляются молекулы HCl. Это приводит к тому, что после дегидрохлорирования аналитические сигналы (пики), соответствующие альфа-ГХЦГ, бета-ГХЦГ, гамма-ГХЦГ, 4,4'-ДДТ, 4,4'-ДДД, дигидрогептахлору, на хроматограмме исчезают. При этом пик 4,4'-ДДЕ в той или иной степени возрастает за счет образования этого соединения из 4,4'-ДДТ.
Если же в пробе воды присутствуют галоваксы, ПХБ, терфенилы, молекулы которых в условиях щелочного дегидрохлорирования не изменяются, и пики этих соединений на хроматограммах совпадают с пиками определяемых пестицидов, то после дегидрохлорирования аналитические сигналы, отвечающие альфа-ГХЦГ, бета-ГХЦГ, гамма-ГХЦГ, 4,4'-ДДТ, 4,4'-ДДД или дигидрогептахлору, останутся неизменными или несколько уменьшенными. Таким образом, идентификацию пестицида (альфа-ГХЦГ, бета-ГХЦГ, гамма-ГХЦГ, 4,4'-ДДТ, 4,4'-ДДД или дигидрогептахлора), пик которого на хроматограмме после дегидрохлорирования экстракта остался, следует считать недостоверным.
12. Вычисление и оформление результатов измерений
12.1. Расчет массовой концентрации пестицидов
Массовую концентрацию ГХБ, альфа-ГХЦГ, бета-ГХЦГ, гамма-ГХЦГ, дигидрогептахлора, дикофола, трифлуралина определяют по хроматограмме, полученной на колонке с неподвижной фазой XE-60; 4,4'-ДДД и 4,4'-ДДТ - по хроматограмме, полученной на колонке с фазой SE-30, а массовая концентрация 4,4'-ДДЕ может быть определена по хроматограмме, полученной на любой из выше приведенных колонок.
Если анализ проб воды осуществляли по варианту 1, то массовую концентрацию каждого пестицида X, мкг/дм3, рассчитывают по формулам

(1)
или

, (2)
где

- массовая концентрация пестицида в градуировочном растворе смеси пестицидов, мкг/см3;

- высота пика определяемого пестицида на хроматограмме экстракта из пробы воды, мм (при регистрации аналитического сигнала на самописце); мВ или отн. ед. (при компьютерной обработке сигнала);

- объем экстракта после концентрирования, см3

;
k - коэффициент пересчета;

- степень разбавления экстракта; при работе без разбавления экстракта

;

- высота пика определяемого пестицида на хроматограмме градуировочного раствора смеси пестицидов, мм (при регистрации аналитического сигнала на самописце); мВ или отн. ед. (при компьютерной обработке сигнала);

- объем пробы воды, взятый для анализа, дм3;

- площадь пика определяемого пестицида на хроматограмме экстракта из пробы воды, мм2 (при регистрации аналитического сигнала на самописце); мВ x с или отн. ед. (при компьютерной обработке сигнала);

- площадь пика определяемого пестицида на хроматограмме градуировочного раствора смеси пестицидов, мм2 (при регистрации аналитического сигнала на самописце); мВ x с или отн. ед. (при компьютерной обработке сигнала).
Если анализ осуществляли по варианту 2, то массовую концентрацию каждого пестицида X, мкг/дм3, рассчитывают по формулам

(3)
или

, (4)
где

- объем н-гексана, взятый для микроэкстракции, см3;
a - величина, учитывающая потери экстракта, получаемого по
11.3.1, равная 0,4 см3 при окружающей температуре до 25 °C и 0,5 см3 при температуре свыше 25 °C.
В случае проведения дополнительной очистки экстрактов от элементарной серы и содержащих серу соединений с помощью ТБА (см.
11.7.2) содержание ГХБ, альфа-ГХЦГ, бета-ГХЦГ, гамма-ГХЦГ, трифлуралина, дигидрогептахлора, дикофола находят умножением X на 1,25, а содержание 4,4'-ДДТ, 4,4-ДДЕ и 4,4'-ДДД - умножением X на 1,11. При очистке экстрактов от содержащих серу соединений с помощью активированной меди (см.
11.7.3) корректировку величины X не проводят.
Если та или иная часть аттестованного диапазона концентраций какого-либо пестицида в соответствии с
таблицами 2 или
3 попадает в диапазон нелинейного детектирования, то для этой части диапазона концентраций пестицида строят градуировочный график.
12.2. Вычисление коэффициентов пересчета
Коэффициент пересчета k того или иного пестицида вычисляют по формуле

, (5)
где

- массовая концентрация добавки данного пестицида к пробе воды, мкг/дм3;
X' - результат контрольного измерения массовой концентрации пестицида в пробе с известной добавкой (среднее из 3 - 5 определений), мкг/дм3.
Если анализ проб осуществляли по варианту 1, то величины X' в формуле (5) находят по
формулам (1 и
2) при k = 1, если анализ осуществляли по варианту 2 - по
формулам (3 и
4) при k = 1.
12.3. Форма представления результатов измерений
12.3.1. Результат измерения в документах, предусматривающих его использование, представляют в виде:

, (6)
где

- границы характеристики погрешности результата измерения для данной массовой концентрации пестицида, мкг/дм3 (см.
таблицы 2 и
3).
Численные значения результата измерения должны оканчиваться цифрой того же разряда, что и значения характеристики погрешности; последние не должны содержать более двух значащих цифр.
12.3.2. Допустимо представлять результат в виде

, (7)
где

- границы характеристик погрешности результатов измерений, установленные при реализации методики в лаборатории и обеспечиваемые контролем стабильности результатов измерений.
Примечание. Допустимо характеристику погрешности результатов измерений при внедрении методики в лаборатории устанавливать на основе выражения

с последующим уточнением по мере накопления информации в процессе контроля стабильности результатов измерений.
12.4. Оформление результатов измерений
Результаты измерений оформляют протоколом или записью в журнале по формам, приведенным в Руководстве по качеству лаборатории.
13. Контроль качества результатов измерений
при реализации методики в лаборатории
13.1.1. Контроль качества результатов измерений при реализации методики в лаборатории предусматривает:
- оперативный контроль исполнителем процедуры выполнения измерений (на основе оценки погрешности при реализации отдельно взятой контрольной процедуры);
- контроль стабильности результатов измерений (на основе контроля стабильности погрешности).
13.1.2. Периодичность оперативного контроля исполнителем процедуры выполнения измерений, а также реализуемые процедуры контроля стабильности результатов измерений регламентируются в Руководстве по качеству лаборатории.
13.2. Алгоритм оперативного контроля процедуры выполнения
измерений с использованием метода добавок
13.2.1. Оперативный контроль исполнителем процедуры выполнения измерений проводят путем сравнения результатов отдельно взятой контрольной процедуры

с нормативом контроля K.
13.2.2. Результат контрольной процедуры

, мкг/дм3, рассчитывают по формуле

. (8)
13.2.3. Норматив контроля погрешности K, мкг/дм3, рассчитывают по формуле

, (9)
где

- значения характеристики погрешности результатов измерений установленные при реализации методики в лаборатории, соответствующие массовой концентрации пестицида в пробе с добавкой, мкг/дм3;

- значения характеристики погрешности результатов измерений, установленные при реализации методики в лаборатории, соответствующие массовой концентрации пестицида в рабочей пробе, мкг/дм3.
Примечание. Допустимо для расчета норматива контроля использовать значения характеристик погрешности, полученные расчетным путем по формулам

и

.
13.2.4. Если результат контрольной процедуры удовлетворяет условию

, (10)
процедуру признают удовлетворительной.
При невыполнении условия (10) контрольную процедуру повторяют. При повторном невыполнении условия (10), выясняют причины, приводящие к неудовлетворительным результатам, и принимают меры по их устранению.
14. Проверка приемлемости результатов, полученных
в условиях воспроизводимости
14.1. Расхождение между результатами измерений, полученными в двух лабораториях, не должно превышать предела воспроизводимости R. При выполнении этого условия приемлемы оба результата измерений и в качестве окончательного может быть использовано их общее среднее значение. Значение предела воспроизводимости рассчитывают по формуле

. (11)
14.2. При превышении предела воспроизводимости могут быть использованы методы оценки приемлемости результатов измерений согласно
разделу 5 ГОСТ Р ИСО 5725-6 или
МИ 2881.
14.3. Проверка приемлемости проводится при необходимости сравнения результатов измерений, полученных двумя лабораториями.
(рекомендуемое)
А.1. Приготовление растворов
Для приготовления 5%-ного раствора гидрокарбоната натрия растворяют 5 г гидрокарбоната натрия в 95 см3 дистиллированной воды.
А.2. Очистка н-гексана
В делительную воронку вместимостью 1000 см3 помещают приблизительно 700 - 800 см3 н-гексана из слива и промывают его 50 - 60 см3 дистиллированной воды в течение 2 - 3 мин. После расслоения водную фазу отбрасывают и, добавив 25 - 30 см3 концентрированной серной кислоты, встряхивают 2 - 3 мин. Если слой кислоты заметно потемнел, то обработку кислотой повторяют. После отстаивания кислоту отбрасывают, органическую фазу промывают 50 - 60 см3 дистиллированной воды, затем 50 - 60 см3 5%-ным раствором гидрокарбоната натрия и вновь дистиллированной водой.
Переносят н-гексан в стакан вместимостью 1000 см3 и добавляют безводный сульфат натрия при перемешивании для осушки растворителя. Собирают установку для перегонки из стекла и перегоняют н-гексан, отбирая фракцию с температурой кипения 68,8 - 68,9 °C. Очищенный н-гексан проверяют, как и каждую новую партию растворителя по
10.1.1.
(рекомендуемое)
ПРИГОТОВЛЕНИЯ АТТЕСТОВАННЫХ РАСТВОРОВ ГХБ,
АЛЬФА-ГХЦГ, БЕТА-ГХЦГ, ГАММА-ГХЦГ, ДИГИДРОГЕПТАХЛОРА,
ДИКОФОЛА, 4,4'-ДДЕ, 4,4'-ДДД, 4,4'-ДДТ, ТРИФЛУРАЛИНА
ДЛЯ УСТАНОВЛЕНИЯ ГРАДУИРОВОЧНЫХ ХАРАКТЕРИСТИК ПРИБОРОВ
И КОНТРОЛЯ ТОЧНОСТИ РЕЗУЛЬТАТОВ ИЗМЕРЕНИЙ МАССОВОЙ
КОНЦЕНТРАЦИИ ПЕСТИЦИДОВ ГАЗОХРОМАТОГРАФИЧЕСКИМ МЕТОДОМ
Б.1. Назначение и область применения
Настоящая методика регламентирует процедуру приготовления аттестованных растворов, предназначенных для установления градуировочных характеристик приборов и контроля точности результатов измерений массовой концентрации ГХБ, альфа-ГХЦГ, бета-ГХЦГ, гамма-ГХЦГ, дигидрогептахлора, дикофола, 4,4'-ДДЕ, 4,4'-ДДД, 4,4'-ДДТ, трифлуралина в природных и очищенных сточных водах газохроматографическим методом.
Б.2. Метрологические характеристики
Метрологические характеристики аттестованных растворов ХОП приведены в таблице Б.1.
Таблица Б.1
Метрологические характеристики аттестованных растворов
Наименование характеристики | Массовая доля пестицида в реактиве, % | Значение характеристики для аттестованного раствора |
АР1-П | АР2-П | АР3-П |
Аттестованное значение массовой концентрации пестицида, мг/см3 | | 1000 | 10,00 | 0,200 |
Границы погрешности аттестованного значения массовой концентрации пестицида (P = 0,95), мг/см3 | 99 | +/- 11 | +/- 0,15 | +/- 0,004 |
98 | +/- 21 | +/- 0,23 | +/- 0,005 |
97 | +/- 31 | +/- 0,33 | +/- 0,007 |
Б.3. Средства измерений, вспомогательные
устройства, реактивы
Б.3.2. Колбы мерные 2-го класса точности исполнения 2 по
ГОСТ 1770-74 вместимостью: 50 см3 - 10 шт., 100 см3 - 5 шт.
Б.3.3. Пипетки градуированные 2-го класса точности исполнения 1, 2 по
ГОСТ 29227-91 вместимостью 1 см3 - 20 шт.
Б.3.4. Стаканчик для взвешивания (бюкс) СВ-14/8 по
ГОСТ 25336-82 - 5 шт.
Б.3.5. Воронки лабораторные типа В по
ГОСТ 25336-82 диаметром 36 мм - 5 шт.
Б.4. Исходные компоненты аттестованных растворов
Б.4.1. Индивидуальные пестициды гарантированной степени чистоты с известным содержанием основного вещества не менее 97%.
Б.4.2. н-Гексан по ТУ 2631-003-05807999-98, х.ч.
Б.4.3. Ацетон по ТУ 2633-039-44493179-00, ос.ч.
Б.5. Процедура приготовления аттестованных
растворов пестицидов
Б.5.1. Подготовка к приготовлению аттестованных растворов пестицидов
Перед проведением операций по приготовлению растворов пестицидов весовым методом необходимо препараты пестицидов и растворитель (н-гексан или ацетон) выдержать в течение двух часов в рабочем помещении. Процедура приготовления аттестованных растворов одинакова для всех пестицидов.
Б.5.2. Приготовление аттестованного раствора АР1-П
Для приготовления аттестованного раствора АР1-П взвешивают в бюксе с точностью до четвертого знака после запятой 0,0500 г пестицида, количественно переносят навеску в мерную колбу вместимостью 50 см3, растворяют в небольшом количестве растворителя и доводят объем до метки спустя 2 - 3 ч после растворения пестицида.
Полученному раствору приписывают концентрацию 1000 мкг/см3.
Б.5.3. Приготовление аттестованного раствора АР2-П
Отбирают пипеткой 1,0 см3 аттестованного раствора АР1-П градуированной пипеткой вместимостью 1 см3 и переносят его в мерную колбу вместимостью 100 см3. Объем раствора доводят до метки на колбе растворителем и тщательно перемешивают.
Полученному раствору приписывают концентрацию 10,00 мкг/см3.
Б.5.4. Приготовление аттестованного раствора АР3-П
Отбирают 1,0 см3 аттестованного раствора АР2-П градуированной пипеткой вместимостью 1 см3 и переносят его в мерную колбу вместимостью 50 см3. Объем раствора доводят до метки на колбе растворителем и тщательно перемешивают.
Полученному раствору приписывают концентрацию 0,200 мкг/см3.
Б.6. Расчет метрологических характеристик
аттестованных растворов
Б.6.1. Расчет метрологических характеристик аттестованного раствора АР1-П
Аттестованное значение массовой концентрации пестицида

, мкг/см3, рассчитывают по формуле

, (Б.1)
где m - масса навески пестицида, г;
V - вместимость мерной колбы, см3.
Расчет погрешности приготовления аттестованного раствора АР1-П

, мкг/см3, выполняют по формуле

, (Б.2)
где

- предельное значение возможного отклонения массовой доли основного вещества в реактиве от приписанного значения

, %;

- массовая доля основного вещества пестицида, приписанная реактиву, %;

- предельная возможная погрешность взвешивания, г;

- предельное значение возможного отклонения вместимости мерной колбы от номинального значения, см3.
Погрешность приготовления аттестованного раствора АР1-П при массовой доле основного вещества пестицида 99%, 98% и 97% соответственно равна:
Б.6.2. Расчет метрологических характеристик аттестованного раствора АР2-П
Аттестованное значение массовой концентрации пестицида

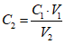
, мкг/см3, рассчитывают по формуле

, (Б.3)
где

- объем раствора АР1-П, отбираемый пипеткой, см3;

- вместимость мерной колбы, см3.
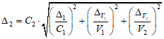
Расчет погрешности приготовления аттестованного раствора АР2-П выполняют по формуле

, (Б.4)
где

- предел возможных значений погрешности приготовления аттестованного раствора АР2-П, мкг/см3;

- предельное значение возможного отклонения объема

от номинального значения, см3;

- предельное значение возможного отклонения вместимости мерной колбы от номинального значения, см3.
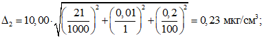
Погрешность приготовления аттестованного раствора АР2-П при массовой доле основного вещества пестицида 99%, 98% и 97% соответственно равна:
Б.6.3. Расчет метрологических характеристик аттестованного раствора АР3-П
Аттестованное значение массовой концентрации пестицида

, мкг/см3, рассчитывают по формуле

, (Б.5)
где

- объем раствора АР2-П, отбираемый пипеткой, см3.
Расчет погрешности приготовления аттестованного раствора АР3-П выполняют по формуле

, (Б.6)
где

- предел возможных значений погрешности приготовления аттестованного раствора АР3-П, мкг/см3;

- предельное значение возможного отклонения вместимости мерной колбы от номинального значения, см3.
Погрешность приготовления аттестованного раствора АР3-П при массовой доле основного вещества пестицида 99%, 98% и 97% соответственно равна:
Аттестованные растворы АР1-П следует хранить в темной, плотно закрытой склянке в холодильнике не более 6 мес.
Аттестованные растворы АР2-П и АР3-П следует хранить в темной, плотно закрытой склянке в холодильнике не более 3 мес.
ФЕДЕРАЛЬНАЯ СЛУЖБА ПО ГИДРОМЕТЕОРОЛОГИИ
И МОНИТОРИНГУ ОКРУЖАЮЩЕЙ СРЕДЫ
ГОСУДАРСТВЕННОЕ УЧРЕЖДЕНИЕ ГИДРОХИМИЧЕСКИЙ ИНСТИТУТ
ОБ АТТЕСТАЦИИ МЕТОДИКИ ВЫПОЛНЕНИЯ ИЗМЕРЕНИЙ N 66.24-2008
Методика выполнения измерений массовой концентрации гексахлорбензола, альфа-, бета- и гамма-ГХЦГ, дикофола, дигидрогептахлора, 4,4'-ДДТ, 4,4'-ДДЕ, 4,4-ДДД, трифлуралина в водах газохроматографическим методом, разработанная Государственным учреждением Гидрохимический институт и регламентированная РД 52.24.412-2009. Массовая концентрация гексахлорбензола, альфа-, бета- и гамма-ГХЦГ, дикофола, дигидрогептахлора, 4,4'-ДДТ, 4,4'-ДДЕ, 4,4'-ДДД, трифлуралина в водах. Методика выполнения измерений газохроматографическим методом, аттестована в соответствии с
ГОСТ Р 8.563-96.
Аттестация осуществлена по результатам экспериментальных исследований.
В результате аттестации установлено, что методика выполнения измерений соответствует предъявляемым к ней метрологическим требованиям и обладает метрологическими характеристиками, приведенными в таблицах 1 -
4.
Таблица 1
Диапазон измерений, значения характеристик погрешности
и ее составляющих при определении галогенорганических
пестицидов по варианту 1 методики при принятой
вероятности P = 0,95
Пестицид | Диапазон измерений массовых концентраций X, мкг/дм3 | Показатель повторяемости (средне квадратическое отклонение повторяемости)  , мкг/дм3 | Показатель воспроизводимости (средне квадратическое отклонение воспроизводимости)  , мкг/дм3 | Показатель правильности (границы систематической погрешности)  , мкг/дм3 | Показатель точности (границы погрешности)  , мкг/дм3 |
ГХБ | От 0,0020 до 0,0500 включ. | 0,0003 + 0,042 x X | 0,0004 + 0,056 x X | 0,0003 + 0,045 x X | 0,0008 + 0,11 x X |
альфа-ГХЦГ | От 0,0020 до 0,0500 включ. | 0,0003 + 0,065 x X | 0,0004 + 0,087 x X | 0,0003 + 0,069 x X | 0,0008 + 0,17 x X |
бета-ГХЦГ | От 0,010 до 0,300 включ. | 0,001 + 0,042 x X | 0,001 + 0,056 x X | 0,001 + 0,045 x X | 0,003 + 0,11 x X |
гамма-ГХЦГ | От 0,0020 до 0,0500 включ. | 0,0003 + 0,068 x X | 0,0004 + 0,090 x X | 0,0003 + 0,072 x X | 0,0008 + 0,18 x X |
Дигидро- гептахлор | От 0,0050 до 0,150 включ. | 0,0002 + 0,046 x X | 0,0003 + 0,061 x X | 0,0003 + 0,049 x X | 0,0007 + 0,12 x X |
4,4'-ДДЕ | От 0,0050 до 0,150 включ. | 0,0008 + 0,035 x X | 0,0010 + 0,047 x X | 0,0008 + 0,037 x X | 0,002 + 0,093 x X |
4,4'-ДДД | От 0,010 до 0,300 включ. | 0,001 + 0,083 x X | 0,001 + 0,11 x X | 0,001 + 0,085 x X | 0,001 + 0,22 x X |
4,4'-ДДТ | От 0,020 до 0,500 включ. | 0,0038 + 0,036 x X | 0,0050 + 0,048 x X | 0,0040 + 0,038 x X | 0,010 + 0,096 x X |
Дикофол | От 0,020 до 0,500 включ. | 0,002 + 0,034 x X | 0,003 + 0,045 x X | 0,002 + 0,036 x X | 0,005 + 0,090 x X |
Трифлуралин | От 0,0050 до 0,150 включ. | 0,0006 + 0,056 x X | 0,0008 + 0,074 x X | 0,0006 + 0,059 x X | 0,0016 + 0,15 x X |
Таблица 2
Диапазон измерений, значения характеристик погрешности
и ее составляющих при определении галогенорганических
пестицидов по варианту 2 методики при принятой
вероятности P = 0,95
Пестицид | Диапазон измерений массовых концентраций X, мкг/дм3 | Показатель повторяемости (средне квадратическое отклонение повторяемости)  , мкг/дм3 | Показатель воспроизводимости (средне квадратическое отклонение воспроизводимости)  , мкг/дм3 | Показатель правильности (границы систематической погрешности)  , мкг/дм3 | Показатель точности (границы погрешности)  , мкг/дм3 |
ГХБ | От 0,0020 до 0,0500 включ. | 0,0003 + 0,033 x X | 0,0004 + 0,044 x X | 0,0003 + 0,035 x X | 0,0008 + 0,089 x X |
альфа-ГХЦГ | От 0,0020 до 0,0500 включ. | 0,0005 + 0,075 x X | 0,0006 + 0,10 x X | 0,0004 + 0,081 x X | 0,0011 + 0,20 x X |
бета-ГХЦГ | От 0,010 до 0,300 включ. | 0,0015 + 0,037 x X | 0,0020 + 0,049 x X | 0,0010 + 0,040 x X | 0,003 + 0,089 x X |
гамма-ГХЦГ | От 0,0020 до 0,0500 включ. | 0,0004 + 0,059 x X | 0,0005 + 0,079 x X | 0,0004 + 0,063 x X | 0,0010 + 0,16 x X |
Дигидро- гептахлор | От 0,0050 до 0,150 включ. | 0,0009 + 0,015 x X | 0,0012 + 0,020 x X | 0,0010 + 0,016 x X | 0,0024 + 0,041 x X |
4,4'-ДДЕ | От 0,0050 до 0,150 включ. | 0,0008 + 0,027 x X | 0,0010 + 0,036 x X | 0,0008 + 0,029 x X | 0,0019 + 0,072 x X |
4,4'-ДДД | От 0,010 до 0,300 включ. | 0,0023 + 0,014 x X | 0,0030 + 0,019 x X | 0,0020 + 0,015 x X | 0,005 + 0,039 x X |
4,4'-ДДТ | От 0,020 до 0,200 включ. | 0,0008 + 0,069 x X | 0,0010 + 0,092 x X | 0,0010 + 0,073 x X | 0,003 + 0,18 x X |
| Св. 0,200 до 0,500 включ. | 0,014 | 0,019 | 0,015 | 0,038 |
Дикофол | От 0,020 до 0,500 включ. | 0,0008 + 0,045 x X | 0,001 + 0,060 x X | 0,001 + 0,048 x X | 0,003 + 0,12 x X |
Трифлуралин | От 0,0050 до 0,050 включ. | 0,11 x X | 0,15 x X | 0,12 x X | 0,30 x X |
| Св. 0,050 до 0,150 включ. | 0,006 | 0,008 | 0,006 | 0,015 |
Таблица 3
Диапазон измерений, значения пределов повторяемости
и воспроизводимости при определении галогенорганических
пестицидов по варианту 1 методики при принятой
вероятности P = 0,95
Пестицид | Диапазон измерений массовых концентраций X, мкг/дм3 | Предел повторяемости (для двух результатов параллельных определений) r, мкг/дм3 | Предел воспроизводимости (для двух результатов измерений) R, мкг/дм3 |
ГХБ | От 0,0020 до 0,0500 включ. | 0,0008 + 0,12 x X | 0,0011 + 0,16 x X |
альфа-ГХЦГ | От 0,0020 до 0,0500 включ. | 0,0008 + 0,18 x X | 0,0011 + 0,24 x X |
бета-ГХЦГ | От 0,010 до 0,300 включ. | 0,003 + 0,12 x X | 0,003 + 0,16 x X |
гамма-ГХЦГ | От 0,0020 до 0,0500 включ. | 0,0008 + 0,19 x X | 0,0011 + 0,25 x X |
Дигидрогептахлор | От 0,0050 до 0,150 включ. | 0,0006 + 0,13 X | 0,0008 + 0,17 x X |
4,4'-ДДЕ | От 0,0050 до 0,150 включ. | 0,0022 + 0,10 x X | 0,0028 + 0,13 x X |
4,4'-ДДД | От 0,010 до 0,300 включ. | 0,003 + 0,23 x X | 0,003 + 0,30 x X |
4,4'-ДДТ | От 0,020 до 0,500 включ. | 0,0105 + 0,10 x X | 0,0110 + 0,13 x X |
Дикофол | От 0,020 до 0,500 включ. | 0,005 + 0,09 x X | 0,005 + 0,12 x X |
Трифлуралин | От 0,0050 до 0,150 включ. | 0,0017 + 0,16 x X | 0,0022 + 0,21 x X |
Таблица 4
Диапазон измерений, значения пределов повторяемости
и воспроизводимости при определении галогенорганических
пестицидов по варианту 2 методики при принятой
вероятности P = 0,95
Пестицид | Диапазон измерений массовых концентраций X, мкг/дм3 | Предел повторяемости (для двух результатов параллельных определений) r, мкг/дм3 | Предел воспроизводимости (для двух результатов измерений) R, мкг/дм3 |
ГХБ | От 0,0020 до 0,0500 включ. | 0,0008 + 0,091 x X | 0,0011 + 0,12 x X |
альфа-ГХЦГ | От 0,0020 до 0,0500 включ. | 0,0014 + 0,21 x X | 0,0017 + 0,28 x X |
бета-ГХЦГ | От 0,010 до 0,300 включ. | 0,005 + 0,10 x X | 0,005 + 0,14 x X |
гамма-ГХЦГ | От 0,0020 до 0,0500 включ. | 0,0011 + 0,16 x X | 0,0014 + 0,22 x X |
Дигидрогептахлор | От 0,0050 до 0,150 включ. | 0,0025 + 0,042 x X | 0,0033 + 0,055 x X |
4,4'-ДДЕ | От 0,0050 до 0,150 включ. | 0,003 + 0,075 x X | 0,003 + 0,10 x X |
4,4'-ДДД | От 0,010 до 0,300 включ. | 0,005 + 0,039 x X | 0,006 + 0,053 x X |
4,4'-ДДТ | От 0,020 до 0,200 включ. | 0,003 + 0,19 x X | 0,003 + 0,25 x X |
Св. 0,200 до 0,500 включ. | 0,039 | 0,053 |
Дикофол | От 0,020 до 0,500 включ. | 0,003 + 0,12 x X | 0,003 + 0,17 x X |
Трифлуралин | От 0,0050 до 0,050 включ. | 0,31 x X | 0,42 x X |
Св. 0,050 до 0,150 включ. | 0,017 | 0,022 |
3. При реализации методики в лаборатории обеспечивают:
- оперативный контроль исполнителем процедуры выполнения измерений (на основе оценки погрешности при реализации отдельно взятой контрольной процедуры);
- контроль стабильности результатов измерений (на основе контроля стабильности погрешности).
Алгоритм оперативного контроля исполнителем процедуры выполнения измерений приведен в РД 52.24.412-2009.
Периодичность оперативного контроля и процедуры контроля стабильности результатов выполнения измерений регламентируют в Руководстве по качеству лаборатории.
Дата выдачи свидетельства 23.04.2008.
Директор
А.М.НИКАНОРОВ
Главный метролог
А.А.НАЗАРОВА