Главная // Актуальные документы // МетодикаСПРАВКА
Источник публикации
Документ опубликован не был
Примечание к документу
Название документа
"Методика расчета осадки земляного полотна железнодорожного пути"
(утв. ОАО "РЖД" 18.02.2022 N 423/р)
"Методика расчета осадки земляного полотна железнодорожного пути"
(утв. ОАО "РЖД" 18.02.2022 N 423/р)
Заместитель генерального директора -
главный инженер ОАО "РЖД"
А.М.ХРАМЦОВ
18 февраля 2022 г. N 423/р
МЕТОДИКА
РАСЧЕТА ОСАДКИ ЗЕМЛЯНОГО ПОЛОТНА ЖЕЛЕЗНОДОРОЖНОГО ПУТИ
1 НАЗНАЧЕНИЕ И ОБЛАСТЬ ПРИМЕНЕНИЯ
Методика расчетов осадки земляного полотна предназначена для повышения достоверности расчетов и оптимизации затрат на проектирование, строительство и техническое обслуживание земляного полотна железнодорожного пути, в том числе высокоскоростных магистралей (ВСМ).
В Методике представлен единый порядок и правила расчета осадки земляного полотна железных дорог и ВСМ на основе общепринятых инженерных и численных методов.
Настоящая Методика предназначена для специалистов проектно-изыскательских, строительных и научно-исследовательских организаций, являющихся исполнителями работ по разработке проектно-технической документации по строительству, реконструкции и эксплуатации земляного полотна железнодорожного пути, включая ВСМ.
Методика может применяться специалистами проектно-изыскательских и строительных организаций, учреждений и служб заказчика (инвестора), органами государственной и негосударственной экспертизы, строительного надзора и других организаций в области строительства и эксплуатации железных дорог.
Методика не распространяется на земляное полотно, расположенное на основаниях со специфическими грунтами: лессами, набухающими и просадочными глинами и др.
В настоящей Методике использованы ссылки на следующие документы:
Федеральный
закон "Технический регламент о безопасности зданий и сооружений" от 30.12.2009 N 384-ФЗ.
ГОСТ 12248-2010 Грунты. Методы лабораторного определения характеристик прочности и деформируемости.
ГОСТ 20276-2012 Грунты. Методы полевого определения характеристик прочности и деформируемости.
ГОСТ Р ИСО 22476-1-2017 Геотехнические исследования и испытания. Испытания полевые. Часть 1. Статическое и пьезостатическое зондирование электрическим зондом.
ГОСТ 25584-90 Грунты. Методы лабораторного определения коэффициента фильтрации (с Изменением N 1).
ГОСТ Р 54476-2011 Грунты. Методы лабораторного определения характеристик сопротивляемости сдвигу грунтов в дорожном строительстве.
СП 22.13330.2016 Основания зданий и сооружений. Актуализированная редакция СНиП 2.02.01-83*.
СП 24.13330.2011 Свайные фундаменты. Актуализированная редакция СНиП 2.02.03-85 (с Изменениями N 1, 2, 3).
СП 25.13330.2012 Основания и фундаменты на вечномерзлых грунтах. Актуализированная редакция СНиП 2.02.04-88.
СП 47.13330.2016 Инженерные изыскания для строительства. Основные положения. Актуализированная редакция СНиП 11-02-96.
СП 116.13330.2012 Инженерная защита территорий, зданий и сооружений от опасных геологических процессов. Основные положения. Актуализированная редакция СНиП 22-02-2003.
СП 119.13330.2017 Железные дороги колеи 1520 мм. Актуализированная редакция СНиП 32-01-95.
СП 447.1325800.2019 Железные дороги в районах вечной мерзлоты. Основные положения проектирования.
Термины и определения, применяемые в настоящей Методике:
Деформации земляного полотна: остаточные и сезонные осадки, поднятия и смещения, повреждения или разрушения земляного полотна или его элементов от природных и (или) техногенных воздействий, включая поездную нагрузку.
Остаточная деформация земляного полотна - изменения во времени первоначальной формы, размеров и литологического строения земляного полотна, вызываемые неблагоприятным воздействием природных и антропогенных факторов.
Осадка - понижение поверхности грунта в сооружениях.
Осадки - вертикальные составляющие деформаций основания, происходящие в результате внешних воздействий и в отдельных случаях от собственного веса грунта, не сопровождающиеся изменением его структуры.
Подъемы и осадки - вертикальные составляющие деформаций основания, связанные с изменением объема грунтов при изменении их влажности или воздействием химических веществ (набухание и усадка) и при замерзании воды и оттаивании льда в порах грунта (морозное пучение и оттаивание грунта).
Оседания - деформации земной поверхности, вызываемые подработкой, изменением гидрогеологических условий, карстово-суффозионными процессами и т.п.
Мерзлый грунт - грунт, имеющий отрицательную или нулевую температуру, содержащий в своем составе видимые ледяные включения и (или) лед-цемент и характеризующийся криогенными структурными связями.
Многолетнемерзлый грунт - грунт, находящийся в мерзлом состоянии постоянно в течение трех и более лет.
Сезонномерзлый грунт - грунт, находящийся в мерзлом состоянии периодически в течение холодного сезона.
Поровое давление - напряжения в основании, передающиеся через поровую жидкость.
Консолидация грунта - замедленное уплотнение водонасыщенного грунтового слоя во времени, происходящее за счет выжимания воды и сближения грунтовых частиц.
В зависимости от вида грунта следует различать два типа процесса консолидации:
- консолидация первого типа наблюдается в грунтах со слабыми водно-коллоидными связями (пылеватые и песчанистые глинистые грунты), обусловливается водопроницаемостью грунта и условиями оттока выжимаемой из грунта воды - это фильтрационная консолидация;
- консолидация второго типа наблюдается в глинистых грунтах со значительными водно-коллоидными структурными связями, которые осложняют процесс уплотнения.
Фильтрационная (первичная) консолидация грунта протекает в водонасыщенных грунтах при степени их влажности больше 0,8. При меньшей влажности процессами фильтрационной консолидации пренебрегают.
Вторичная консолидация грунта - консолидация обусловливается ползучестью скелета грунта, а точнее реологическими свойствами структурных связей между частицами грунта.
Строительная осадка грунта - осадка, реализованная за период от начала строительства до начала эксплуатации объекта земляного полотна.
Эксплуатационная осадка грунта - осадка, реализованная за период от начала до окончания эксплуатации объекта земляного полотна.
Суммарная осадка грунта - осадка, реализованная за период от начала строительства до окончания эксплуатации объекта земляного полотна.
Активная (сжимаемая) зона грунта - зона, в пределах которой деформируется грунт под действием уплотняющих давлений.
Рабочая зона земляного полотна - толща грунтов ниже основной площадки земляного полотна до глубины 3,5 м от подошвы шпал или низа гидравлически связанного несущего слоя.
Основание земляного полотна - массив грунта, взаимодействующий с земляным полотном, на который распространяется техногенное воздействие от железнодорожного пути и движения поездов.
Напряженно-деформированное состояние (НДС) сооружения и/или основания - пространственное распределение напряжений и деформаций в системе "сооружение-основание", развивающихся в процессе их взаимодействия.
Инженерно-геологическая модель (ИГМ) - схематизированное отображение размещения в области влияния сооружения инженерно-геологических элементов, наделенных постоянными нормативными и расчетными значениями характеристик.
Расчетный грунтовый элемент (РГЭ) - объем грунта, в пределах которого нормативные и (или) расчетные значения характеристик грунта принимаются постоянными или закономерно изменяющимися по направлению.
Расчетная геомеханическая модель основания объекта - совокупность расчетных грунтовых элементов в рассматриваемой области основания, построенная на базе инженерно-геологической модели.
Высокоскоростная железнодорожная магистраль (ВСМ) - железнодорожная линия, на которой на всей ее длине или на отдельных участках обращаются пассажирские поезда со скоростями свыше 200 км/ч.
Принятые обозначения и сокращения:
b - ширина поездной нагрузки;
bвс - ширина нагрузки от веса верхнего строения пути;
- удельный вес грунта;
- удельный вес грунта насыпи;

- удельный вес грунта в природном состоянии;

- величина относительной осадки
i-го оттаивающего слоя ММГ основания;
c',

- удельное сцепление грунта и угол внутреннего трения при эффективных напряжениях (эффективная прочность);
cнач,

- прочность грунта до консолидации;
cкон,

- прочность грунта после консолидации (эффективная прочность);

- коэффициент ползучести (модифицированный коэффициент ползучести);

- индекс (коэффициент) компрессии;
Cs (
Cr или

)
- индекс (коэффициент) рекомпрессии;
Cu,

- недренированная прочность и ее приращение по глубине;
Ck - коэффициент, учитывающий изменение фильтрационных свойств грунта в процессе сжатия;
Cvi - коэффициент консолидации i-ого слоя;
Cv - коэффициент консолидации;
CR - индекс вязкости пластических деформаций;
e'н - начальный коэффициент пористости грунта основания;
e'к - конечный коэффициент пористости грунта основания после приложения временной поездной нагрузки;
eпр-i и e0-i - средние в слое величины коэффициентов пористости, соответственно природные (до возведения насыпи) и расчетные (после возведения насыпи и полной реализации основной части осадки основания);
e0 - коэффициент пористости для суммарных напряжений;

- относительная осадка слоя;
hсл-i - мощность слоя грунта;
h0 - мощность слабого основания по оси насыпи;

- абсолютная осадка слоя;
Hсл - мощность слабой толщи;
Hн - высота насыпи;
| | ИС МЕГАНОРМ: примечание. Текст дан в соответствии с официальным текстом документа. | |
Hп-i - высота насыпи;
Ht - прогнозное понижение верхней границы мерзлоты в основании под насыпью за расчетный период времени t;

- секущий модуль деформации (жесткости) грунта при опорном давлении;
- секущий упругий модуль деформации (жесткости) при разгрузке для опорного давления;

- касательный одометрический модуль деформации грунта при опорном давлении;
Ei - модуль деформации отдельных слоев, в расчетном диапазоне напряжений, кПа;
Eср - осредненный модуль деформации сжимаемых слоев;
Einc - приращение модуля деформации на каждый метр глубины от yref;
IL - показатель текучести грунта;
IP - число пластичности грунта;
Iп - коэффициент затухания напряжений от поездной нагрузки;
ii - льдистость включений (отношение объема льда-включений к объему всего грунта);
k - количество расчетных слоев;
kф - коэффициент фильтрации;
Kст - коэффициент стабильности;
Ks - коэффициент устойчивости;
Kупл - коэффициент уплотнения грунта;
K0 - коэффициент бокового давления в состоянии покоя;
m - показатель степени зависимости жесткости от уровня напряжений;
v,

- коэффициент Пуассона (при разгрузке);
pвс - нагрузка от верхнего строения пути;
pп - временная поездная нагрузка;
pкр - критическая нагрузка;
OCR - коэффициент переуплотнения;
Sу - упругая осадка;
[Sу] - допустимая расчетная упругая осадка;
Sо - осадка основной площадки;
[Sо] - допустимая расчетная осадка основной площадки;
Sн - деформация уплотнения насыпи;
[Sн] - допустимая расчетная деформация уплотнения насыпи;
Sосн - деформация основания;
[Sосн] - допустимая расчетная деформация основания;
Sсж - осадка за счет сжатия грунта основания;
Sдоп - дополнительная осадка толщи основания;
Sпз - осадка за счет ползучести грунта;
t - расчетное время;
tзс - время завершения строительства;
tфк - расчетное время консолидации, определяется расчетом времени консолидации;
tэ - время использования для безбалластной конструкции и 25 лет эксплуатации для балластной конструкции;
W, Wр - влажность грунта: естественная и на границе раскатывания соответственно;
Wtot - суммарная влажность мерзлого грунта;
Wт - влажность мерзлого грунта, расположенного между ледяными включениями;
Ww - влажность мерзлого грунта за счет содержащейся в нем незамерзшей влаги;
zдоп - глубина для расчета дополнительной осадки;
- плотность частиц мерзлого грунта;
- плотность льда;

- плотность грунта в природном состоянии;

- вертикальное напряжение;

- вертикальные напряжения до приложения поездной нагрузки;

- вертикальные напряжения после приложения поездной нагрузки;

- давление предварительного уплотнения (историческое давление);

- напряжение от нагрузок прямоугольной и треугольной формы в
i-точке основания;

- напряжение от поездной нагрузки;

- напряжение от веса верхнего строения пути;
- напряжение от веса грунта насыпи;

- напряжение от постоянной нагрузки;

- напряжение от грунта основания в природном состоянии;

- напряжение от собственного веса грунта основания;

- угол дилатансии.
4.1 Требования к расчетам
4.1.1 В Методике рассматриваются расчеты осадки земляного полотна, которые выполняются, при условии, что обеспечивается несущая способность по первому предельному состоянию - несущей способности, включая устойчивость откосных частей.
4.1.2 Для оценки несущей способности земляного полотна до выполнения расчетов осадки при инженерных методах рекомендуется использовать следующие критерии оценки:
превышение прочности грунтов основной площадки по критической нагрузке
pкр (изменение прочности грунта (от уровня основной площадки) по высоте насыпи и сравнение с действующими напряжениями

) по формуле Н.П. Пузыревского
[1];
нарушение устойчивости конструкции земляного полотна по коэффициенту устойчивости
Ks (отношение удерживающих сил к сдвигающим) по формуле Г.М. Шахунянца
[1];
нарушение несущей способности грунтов основания по коэффициенту стабильности
Kст (отношение прочности грунта к действующим усилиям) по формуле Г.М. Шахунянца
[2].
| | ИС МЕГАНОРМ: примечание. В официальном тексте документа, видимо, допущена опечатка: имеется в виду СП 238.1326000, а не СП 238.132600. | |
Оценка несущей способности земляного полотна также согласно
СП 119.13330 и
СП 238.132600 может быть выполнена численными методами по сертифицированным программным комплексам.
4.1.3 Расчеты осадки земляного полотна следует выполнять для обоснования групповых и индивидуальных технических решений конструкций земляного полотна железнодорожного пути в соответствии с требованиями норм
СП 119.13330 и
СП 238.132600 в случаях, когда основания являются слабыми или оттаивающими на многолетнемерзлых грунтах (далее ММГ).
Для условий ВСМ кроме того в соответствии с требованиями СТУ
[3] выполняются расчеты осадки и для недостаточно прочных оснований.
4.1.4 Для земляного полотна, расположенного на основаниях из ММГ, расчеты осадки выполняются при использовании их согласно
СП 25.13330 по II принципу (основания используются в оттаянном или оттаивающем состоянии с их предварительным оттаиванием на расчетную глубину до начала возведения сооружения или с допущением их оттаивания в период эксплуатации сооружения).
| | ИС МЕГАНОРМ: примечание. В официальном тексте документа, видимо, допущена опечатка: имеется в виду СП 238.1326000, а не СП 238.132600. | |
4.1.5 Величины вертикальных осадок в уровне основной площадки насыпей (упругих
SУ и остаточных
Sо осадок) определяются требованиями
СП 119.13330,
СП 238.132600 и
СП 447.1325800, а для ВСМ требованиями специальных технических условий
[3]. Их величины, полученные расчетом, в зависимости от категории железнодорожной линии не должны превышать допустимых значений, приведенных в
таблице 4.1.
Таблица 4.1
Допустимые расчетные осадки
N | Категория железнодорожной линии | Допустимая расчетная величина осадка, мм |
упругая [Sу] | остаточная [Sо] |
полная до реконструкции или капитального ремонта линии | максимальная за год |
1 | | 1 | | |
2 | Скоростная, Пассажирская | 2 | 150 | 100 |
3 | Особогрузонапряженная | 2 | 200 | 100 |
4 | I, II | 2 | 400 | 150 |
5 | III | 2 | 600 | 200 |
6 | IV | 3 | 1000 | 250 |
7 | Земляное полотно в районах с ММГ <2> | 3+1 | - | - |
Примечание: <1> Остаточные деформации основной площадки земляного полотна для ВСМ должны соответствовать следующим требованиям:
<*> максимальная накопленная остаточная деформация основной площадки земляного полотна при безбалластной конструкции верхнего строения пути за весь срок ее полезного использования должна обеспечить возможность устранения просадок путем регулировки креплений и не превышать 15 мм;
<**> максимальная накопленная остаточная деформация основной площадки земляного полотна при верхнем строении пути с ездой на балласте не должна превышать 100 мм за 25 лет эксплуатации при интенсивности не более 10 мм в год;
- величина остаточной деформации основной площадки должна быть равномерной в продольном направлении: уклон, вызванный осадкой, не должен превышать

;
- разница в осадках земляного полотна и искусственного сооружения (мост, водопропускная труба, тоннель и т.д.) в зоне их сопряжения не должна превышать 5 мм.
<2> Расчетное значение упругих осадок основания насыпи по оси пути должно быть не более 3 мм с допуском +1 мм.
4.1.6 При выполнении расчетов осадки следует учитывать внешние нагрузки от конструкции верхнего строения пути и подвижного состава.
4.1.7 Для железнодорожного пути общего пользования и железнодорожного пути необщего пользования величина нагрузки от конструкции верхнего строения пути на балласте принимается равной 17 кПа
[1].
Для высокоскоростных магистралей (ВСМ) величина нагрузки от безбалластной конструкции верхнего строения пути в соответствии с требованиями СТУ
[3] принимается равной 19 кПа.
4.1.8 При обращении грузовых четырехосных полувагонов с нагрузкой на ось 250 кН поездная нагрузка принимается как равномерно распределенная шириной 2,7 м и равная динамическому напряжению на основной площадке земляного полотна 80 кПа
[4]. Для учета перспективных условий принимаются грузовые четырехосные полувагоны с нагрузкой на ось 295 кН, при которых поездная нагрузка соответствует равномерно распределенной шириной 2,7 м с интенсивностью (динамическое напряжение на основной площадке земляного полотна) 90 кПа
[1].
При расчетах для безбалластной конструкции верхнего строения пути ВСМ поездная нагрузка принимается как равномерно распределенная шириной 3,2 м и равная динамическому напряжению на основной площадке земляного полотна 60 кПа
[3].
4.1.9 При высоте насыпи более 5 м поездная нагрузка в расчетах осадки не оказывает влияние на напряженное состояние грунтового основания (временные напряжения от поездной нагрузки составляют менее 1% от постоянных напряжений от веса грунта насыпи
[5]), поэтому насыпи по высоте
H с позиций геотехнического расчета осадок можно разделить на две группы:
1) насыпи высотой 5 м и более - вертикальные осадки основной площадки после отсыпки насыпи и консолидации в течение длительного срока эксплуатации складываются из деформаций за счет ползучести грунтов основания и накопления остаточных деформаций на основной площадке земляного полотна под напряжениями от постоянных нагрузок, и временная нагрузка от подвижного состава в расчете может не учитываться;
2) насыпи высотой менее 5 м - кроме перечисленного в первом пункте добавляется влияние поездной нагрузки на грунты основания, что может привести к дополнительной осадке земляного полотна.
Для оценки деформативности земляного полотна железнодорожного пути выполняются расчеты:
- упругой (обратимой) осадки (рассчитывается для насыпей высотой менее 5 м на торфяных основаниях под действием расчетной нагрузки от железнодорожного подвижного состава);
- остаточной осадки (определяется для насыпей на слабых и недостаточно прочных
<1> основаниях, а также оттаивающих основаниях на ММГ под действием постоянных нагрузок на земляное полотно и для насыпей высотой менее 5 м и временной нагрузки от подвижного состава;
остаточная осадка определяется в условиях эксплуатации после момента окончания строительства, при этом превышение величины
остаточной осадки допускается при соответствующем технико-экономическом обосновании в проекте и уширении земляного полотна, компенсирующем осадку в период эксплуатации за счет подъемок на балласт).
--------------------------------
<1> Недостаточно прочные только для ВСМ.
4.1.10 Расчет осадки земляного полотна железнодорожного пути может выполняться с использованием инженерных (аналитических) и численных методов расчетов. Расчеты численными методами должны выполняться в апробированных геотехнических программных комплексах с использованием геомеханических моделей, рекомендованных
пунктом 4.4.
4.2 Общие требования к исходным данным
4.2.1 Материалы инженерно-геологического обследования грунтовой толщи на участках со слабым и недостаточно прочным основанием должны включать:
- данные по литологии отдельных слоев грунта основания, определенных в соответствии с классификацией
ГОСТ 25100, и расположению их в плане и по глубине;
- данные по расчетным значениям физико-механических характеристик грунтов этих слоев, а в случае использования численного моделирования протоколов лабораторных испытаний, а также данные по положению уровня грунтовых (высоких) вод;
- исходные данные по проектируемому земляному полотну - свойства грунтов, укладываемых в насыпь по испытаниям при плотности-влажности, соответствующей проектному коэффициенту уплотнения для проб нарушенного сложения
(п. 4.2.6).
4.2.2 Материалы, полученные в результате изысканий, должны обеспечивать возможность:
- количественной оценки устойчивости сооружения;
- прогноза величины и длительности осадки основания, обусловленной процессом консолидации;
- оценивать целесообразность использования слабой толщи в качестве основания насыпи.
4.2.3 Грунты основания рекомендуется разделить на два типа по критерию необходимости выполнения расчета осадки во времени (консолидация) и по требованиям к исходным данным:
-
тип А нестабилизированные: дисперсные грунты, имеющие естественную влажность
W >
Wр + 0,5·
IP (
IL > 0,5), в том числе органоминеральные и органические грунты с влажностью более 150% и 500% соответственно (болота 2 и 3 типа); (торф и заторфованные грунты, илы, сапропели, иольдиевые глины) - слабое и недостаточно прочное основание по
СП 238.1326000;
-
тип Б стабилизированные: консолидированные дисперсные грунты с
IL < 0,5, все песчаные, скальные и полускальные грунты - прочное основание по
СП 238.1326000.
4.2.4 Глинистые грунты типа А (IL > 0,5) рассматриваются как слабые и требуют в расчетах осадки решать задачу во времени (консолидация). Для этих грунтов требуются компрессионные, консолидационные испытания и испытания по определению прочностных характеристик в нестабилизированном (быстрый срез и неконсолидированно-недренированные трехосные испытания) и стабилизированном (медленный срез и консолидированно-дренированные трехосные испытания) состояниях.
4.2.5 Результаты испытаний должны обеспечить получение следующих параметров грунтов:
- физических свойств;
- деформируемости (жесткости) грунтов;
- прочности грунтов;
- фильтрационных свойств;
- ползучести (длительной прочности).
Необходимо проведение полевых и лабораторных испытаний для взаимного контроля:
- полевые - для оценки состояния грунтового массива;
- лабораторные - для прогноза изменений под воздействием сооружения.
Основные характеристики грунтов, получаемые в результате лабораторных и полевых испытаний, приведены в
таблице 4.2.
Таблица 4.2
Рекомендуемые испытания и характеристики грунтов
N | Вид испытания | Результат | Тип грунта |
1.1 | Крыльчатка | Недренированная прочность Cu | А |
1.2 | Статическое зондирование с пьезоконусом | Недренированная прочность Cu Эффективная прочность  , c'Коэффициент консолидации Cv Коэффициент бокового давления K0 Коэффициент переуплотнения OCR Давление предуплотнения  | А |
А, Б |
А |
2.1.1 | Компрессионные | Одометрический модуль деформации  Индекс (коэффициент) компрессии  ; индекс (коэффициент) рекомпрессии Cs ( Cr или  ) Модуль упругости  Показатель степени m | А, Б |
2.1.2 | Компрессионные | Коэффициент переуплотнения OCR Давление предварительного уплотнения  | А, Б |
2.1.3 | Консолидационные | Коэффициент консолидации Cv Коэффициент ползучести  | А |
2.1.4 | Фильтрационные | Коэффициент фильтрации kф для разных обжимающих давлений | А |
2.2 | Трехосные испытания по схеме: | |
2.2.1 | | Недренированная прочность Cu Эффективная прочность  , c' | А |
А, Б |
2.2.2 | | Недренированная прочность Cu | А |
2.2.3 | | Модуль деформации  и модуль упругости  Эффективная прочность  , c'Показатель степени m Коэффициент бокового давления K0 | А, Б |
| Одноплоскостной срез | Прочность до консолидации cнач,  Прочность после консолидации cкон,  | А |
А, Б |
Анализ исходных данных для геотехнического расчета производится в последовательности, указанной в
таблице 4.3.
Таблица 4.3
Последовательность подготовки исходных данных
N | Испытание | Параметры | Применение | Описание |
1 | Компрессионные | | параметры POP, OCR, расчет начальной стадии | природное напряженное состояние |
Трехосные (камера тип Б) | K0 |
Полевые: статзондирование, дилатометр | OCR, K0 |
2 | Компрессионные |  ( Cc)  ( Cs) | расчет осадки | параметры жесткости |
Трехосные | |
3 | Трехосные (КН, НН) | Cu, | расчет устойчивости в строительный период | параметры прочности для нестабилизированного состояния |
Крыльчатка |
4 | Трехосные (КН, КД) | c',  | расчет устойчивости в эксплуатационный период | параметры прочности для стабилизированного состояния |
5 | Компрессионные | Cv (Kф и Ck) | время реализации осадки | первичная и вторичная консолидация |
4.2.6 Для определения НДС земляного полотна с насыпью должны быть проведены испытания для грунтов насыпи в соответствии с ГОСТ 30416
(приложение В) или ГОСТ Р 54477-2011
(приложение В) по следующей схеме:
1) получение образцов нарушенного сложения (грунтовой пасты);
2) определение максимальной плотности сухого грунта и оптимальной влажности в приборе стандартного уплотнения (ПСУ);
3) задание в приборе состояния плотности-влажности, соответствующей требуемому коэффициенту уплотнения Kупл;
4) определение прочности грунта при заданном состоянии плотности-влажности. Для пойменных насыпей испытания производятся под водой.
Предпочтительно использование трехосных приборов, позволяющих создавать напряженное состояние, более приближенное к реальному по сравнению с одноплоскостным срезом.
4.3 Критерии оценки состояния грунтов основания для расчета осадки
4.3.1 Основным критерием для оценки осадки во времени является завершение процесса фильтрационной консолидации, который определяет готовность земляного полотна (насыпи) к началу периода эксплуатации.
Выделены три основных критерия оценки:
1) Завершение процесса фильтрационной консолидации - остаточная осадка за год (для слабого и недостаточно прочного основания) - определяется временем достижения 90% консолидации или интенсивностью осадки 2 см/год, а также критерием величины осадки за один год по
таблице 4.1.
2) Допустимая величина конечной осадки для всех типов основания - определяется по
таблице 4.1.
3) Длительная осадка за пределами сроков реконструкции и капремонтов - для ВСМ (срок службы) для слабого и недостаточно прочного основания. Определяется для ВСМ в соответствии с СТУ
[3] или принимается для безбалластного ВСП равной 15 мм за срок службы.
4.4 Модели грунтов и их параметры
4.4.1 Выбор моделей для расчета
Для выполнения расчетов осадки земляного полотна численными методами используют комплексные геомеханические модели (КГМ) грунта, описание которых приведено в
Приложении В.
Выделяют следующие комплексные геомеханические модели грунтов, используемые в различных программных комплексах:
УМ - упругая модель;
УПМ - упругая идеально-пластическая модель;
СШМУ - степенная шатровая модель с двойным упрочнением;
ЛШМ - логарифмическая шатровая модель, может быть без прочностных характеристик (ЛШМ*);
РМ - реологическая модель.
4.4.2 В основе КГМ грунта лежит определяющая зависимость между напряжениями и деформациями, которая описывает компрессионную кривую на основе трех подходов:
1) Степенная зависимость с использованием опорного модуля деформации

и показателя степени
m для модели СШМУ.
2) Зависимость в полулогарифмических координатах с использованием углового коэффициента полулогарифмического графика компрессионной кривой. Угловой коэффициент может быть представлен в виде индекса компрессии
Cc или модифицированного коэффициента компрессии

для моделей ЛШМ (ЛШМ*) и РМ.
3) Линейная зависимость с использованием модуля деформации E, выбранного в действующем диапазоне напряжений (требуется деление ИГЭ на несколько слоев) для моделей УМ, УПМ. Для учета нелинейности зависимости между напряжениями и деформацией используется приращение жесткости с глубиной Einc.
4.4.3 Для выбора модели грунтов следует установить для каждого ИГЭ диапазон рабочих напряжений. Под рабочими напряжениями понимается природное напряженное состояние и дополнительные напряжения от внешней нагрузки (земляное полотно, подвижной состав). Природное напряженное состояние грунтового массива следует получить в виде профиля давления предуплотнения

по глубине. Получение

выполняется в соответствии с
ГОСТ Р 58326 для каждого ИГЭ только для образцов, удовлетворяющих требованиям к качеству, приведенных в
Приложении А настоящей Методики.
Основные характерные сочетания рабочих напряжений в слоях ИГЭ даны на
рисунке 4.1.
Рисунок 4.1 - Типы ИГЭ в зависимости от сочетания
рабочих напряжений
На рисунке.
Слой 1 - напряжения от внешней нагрузки больше давления предуплотнения - грунт будет сжиматься под нагрузкой. Модель должна учитывать нелинейную зависимость между напряжениями и деформацией, в отдельных случаях ползучесть.
Рекомендуемые модели: ЛШМ или ЛШМ*; РМ; СШМУ или УПМ с приращением модуля деформации по глубине.
Слой 2 - эпюры напряжений пересекаются в слое одного ИГЭ: часть слоя получит полные (упругие и остаточные) деформации, а другая только упругие. Модель грунта должна учитывать историческое давление и иметь в качестве входных как упругие, так и деформационные параметры, в отдельных случаях ползучесть.
Рекомендуемые модели: ЛШМ или ЛШМ*; РМ; СШМУ.
Слой 3 - напряжения от внешней нагрузки менее давления предуплотнения - упругое поведение грунтов. Допускается применение моделей грунта с упругим (линейно-деформируемым) поведением.
Рекомендуемые модели: УМ; УПМ; СШМУ.
Для моделирования тела земляного полотна следует использовать модель УПМ с заданием модуля упругости, который определяет уплотненное поведение грунтов после действия уплотняющей техники. При наличии трехосных испытаний насыпь допускается моделировать с помощью модели СШМУ.
4.4.4 Детализация выбора моделей грунта производится в зависимости от имеющихся исходных данных и решаемой задачи. Рекомендации по выбору модели сведены в
таблицу 4.4.
Таблица 4.4
Общие рекомендации по выбору модели грунта
Решаемая задача | Рекомендуемые модели | Критерий | Результат |
Расчет осадки с грунтами типа А в основании | УПМ | табличные данные | Приближенный |
ЛШМ ЛШМ* | наличие компрессионных испытаний | только фильтрационная осадка |
СШМУ | наличие компрессионных и трехосных испытаний |
РМ | наличие компрессионных и консолидационных испытаний | осадка во времени (на любой период) |
Расчет осадки с грунтами типа Б в основании | УПМ (УМ) | табличные данные | Приближенный |
ЛШМ* | наличие компрессионных испытаний | без оценки устойчивости |
СШМУ | наличие компрессионных и трехосных испытаний | упругие и пластические деформации |
4.4.5 Реологическая модель РМ рекомендуется к использованию для группы слабых оснований и при выполнении консолидационного расчета. Необходимость использования реологических моделей РМ определяется на основе двух критериев:
- первый критерий - коэффициент переуплотнения
OCR <2> > 4; для грунтов с такой степенью переуплотнения допускается не учитывать ползучесть;
- второй критерий требует наличия консолидационных испытаний с определением модифицированного коэффициента ползучести
.
--------------------------------
<2>
OCR - коэффициент переуплотнения является отношением эффективного напряжения предварительного уплотнения к эффективному напряжению от собственного веса грунта. Указывается в протоколе испытаний по
ГОСТ Р 58326.
Индекс вязкости пластических деформаций CR показывает отношение пластических деформаций первичного сжатия к пластическим деформациям ползучести:
--------------------------------
<3>

,

- коэффициент компрессии и коэффициент рекомпрессии - тангенс угла наклона компрессионной кривой в осях "относительная деформация - натуральный логарифм давления" по первой и второй ветви, соответственно.
<4>

- модифицированный коэффициент ползучести, определяется по
ГОСТ 12248 путем приведения

к натуральному логарифму.
При CR < 5 грунты сильно подверженные процессам ползучести (молодые отложения, слабые грунты) необходимо использовать реологическую модель грунтов (РМ). Для индекса вязкости пластических деформаций CR > 25 грунты слабо подверженные ползучести, применение реологической модели РМ нецелесообразно. Промежуточные значения индекса 25 > CR > 5 в зависимости от коэффициента переуплотнения OCR могут быть отнесены к требующим или не требующим учета ползучести.
При выполнении расчета времени консолидации насыпей для ВСМ применение этой модели обязательно (требуется наличие компрессионно-консолидационных испытаний).
5 ПОРЯДОК РАСЧЕТА ОСАДКИ ЗЕМЛЯНОГО ПОЛОТНА
НА УЧАСТКАХ ТИПОВОГО ПРОЕКТИРОВАНИЯ
5.1.1 Проектирование земляного полотна на недостаточно прочном основании (для ВСМ) может производиться по типовым (групповым) поперечным профилям с выполнением расчетов осадки с учетом требований
[3].
5.1.2 При проектировании групповых конструкций на участке земляного полотна на недостаточно прочном основании, для одного характерного для участка поперечного сечения, выполняются расчеты по оценке упругой и остаточной осадки.
5.2 Определение упругой осадки методом компрессионных кривых
5.2.1 Для недостаточно прочных оснований при малой высоте насыпи (менее 3 м) характерно возникновение упругих осадок при воздействии временной поездной нагрузки pп, кПа.
5.2.2 При расчете упругой осадки основания насыпи
Sу предварительно определяются напряжения по контакту насыпи с основанием в точке А до

и после

приложения временной поездной нагрузки
pп [
6,
7].
5.2.3 Напряжение

от поездной нагрузки
pп в точке А
(рисунок 5.1) определяется как

(5.1)
где Iп - коэффициент затухания напряжений от поездной нагрузки
| | ИС МЕГАНОРМ: примечание. Формула дана в соответствии с официальным текстом документа. | |

(5.2)
где yА, zА - координаты точки А пересечения оси насыпи с основанием, м;
b - ширина поездной нагрузки, м.
Рисунок 5.1 - Схема к определению напряжений

в точке А
Табулированные значения
Iп приведены в
[6].
Упругая осадка основания насыпи
Sу, м с использованием компрессионных кривых упругой компрессии
(рисунок 5.2) определяется по формуле
[6]

(5.3)
где
e'н - начальный коэффициент пористости грунта основания при действии постоянного напряжения

, кПа (от веса грунта насыпи

и веса конструкции верхнего строения пути

);
e'к - конечный коэффициент пористости грунта основания (после приложения временной поездной нагрузки
pп) при конечном значении напряжения

, кПа;
h0 - мощность слабого основания по оси насыпи, м.
Рисунок 5.2 - Кривая упругой компрессии грунта основания
A-
B
5.2.4 Кривые упругой компрессии грунта основания определяются по результатам компрессионных испытаний образцов грунта основания при многократном приложении к ним нагрузок от

до

(см.
рисунок 5.2) и последующей разгрузки от

до

.
5.2.5 При проектировании насыпей на болотах с оставлением торфа в основании в соответствии с
[1] обязательна проверка условия непревышения допустимого значения упругих осадок грунтов основания насыпи, а также интенсивности осадок.
5.2.6 Расчетное значение упругой осадки
Sу сравнивается с расчетной допустимой упругой осадкой основания насыпи [
Sу] в зависимости от категории железнодорожной линии в соответствии с требованиями
СП 238.1326000 (см.
таблица 4.1).
5.3 Расчет остаточной осадки
5.3.1 Общие остаточные осадки
Sо складываются из осадки системы "насыпь-основание"
где Sн - осадка уплотнения грунта насыпи;
Sосн - осадка основания.
5.3.2 Осадка за счет уплотнения грунтов тела насыпи
Sн может быть принята в зависимости от грунта насыпи в виде доли от его высоты насыпи
[1]. Для ВСМ принимается, что насыпь достаточно уплотнена и работает в упругой стадии, поэтому
Sн = 0.
5.3.3 Для расчета остаточной осадки основания
Sосн в модели без учета ползучести и консолидации грунта (основная часть осадки) используется метод послойного суммирования и компрессионные кривые грунтов основания
[6]. Так как грунты насыпей должны послойно уплотняться до степени, обеспечивающей практически упругую работу их под поездной нагрузкой, осадка грунта насыпи
Sн может не учитываться, в отличие от осадки грунтов оснований насыпей
Sосн, которая происходит под влиянием внешних нагрузок от собственного веса грунта насыпи, веса конструкции верхнего строения пути и воздействия поездной нагрузки. При этом возникают остаточные деформации основной площадки
S0, м
(рисунок 5.3).
а - поперечный профиль насыпи, б - продольный профиль
Рисунок 5.3 - Осадки основной площадки
Sо и основания
насыпи Sосн
5.3.4 Расчет ведется в следующей последовательности:
основание насыпи по глубине делится горизонтальными плоскостями на ряд слоев произвольно при однородном сложении грунта или в соответствии с литологическими слоями - при неоднородном. Для каждого слоя определяется его осадка от действия внешних нагрузок, а затем эти осадки суммируются.
5.3.5 Допущения метода послойного суммирования:
1) Напряжения в основании определяются от внешних нагрузок и от собственного веса грунта основания.
2) Внешние нагрузки на основание заменяются эпюрой вертикальной составляющей нормальных напряжений, действующих по подошве насыпи.
3) Осадка определяется по оси насыпи, так как в этом сечении возникают наибольшие напряжения.
4) Минимальное число слоев, на которые делится основание - три. При этом верхние слои принимаются меньшей толщины, чем нижние, так как в них реализуется основная часть осадки. Глубина, на которой расположена граница нижнего слоя, принимается 10 м. Осадка нижележащих слоев принимается по графику относительной осадки, который строится в результате расчета.
5) Задача плоская, статическая. Основание принимается загруженным нагрузкой произвольной формы, соответствующей эпюре вертикальных составляющих нормальных напряжений
(рисунок 5.4). Основание считается весомым полупространством. Крутизной основания обычно пренебрегают.
6) Для построения эпюры нагрузки на основание в любой
i-ой точке указанной плоскости (см.
рисунок 5.4) суммарное напряжение определяется по формуле

(5.5)
где

- напряжение от поездной нагрузки, кПа;

- напряжение от веса верхнего строения пути, кПа;
- напряжение от веса грунта насыпи, кПа.
Рисунок 5.4 - Схема к определению основной части
остаточной осадки основания насыпи Sосн
5.3.6 Нагрузкой на основание считается эпюра сжимающих напряжений (треугольной и прямоугольной формы), действующих на горизонтальную плоскость, заменяющую в расчетной модели поверхность контакта насыпи с основанием (см.
рисунок 5.4).
5.3.7 Определяются напряжения в расчетном вертикальном сечении основания, в точках на контакте намеченных горизонтальных слоев. Напряжения находят от воздействия элементарных треугольных и прямоугольных нагрузок, на которые делится эпюра напряжений на основании насыпи, и от собственного веса грунта основания по формуле

(5.6)
где

- напряжение от нагрузок треугольной и прямоугольной формы в
i-точке основания;

- напряжение от собственного веса грунта основания, определяемое по формуле

(5.7)
где
n - число расчетных слоев грунта с удельным весом

и толщиной
hсл-i.
При этом изменениями удельного веса грунта основания, которые происходят вследствие строительства на нем насыпи, пренебрегают.
5.3.8 Сжатие (осадка) каждого расчетного слоя основания

(5.8)
где eпр-i и e0-i - средние в слое величины коэффициентов пористости, соответственно природные (до возведения насыпи) и расчетные (после возведения насыпи и полной реализации основной части осадки основания Sсж за счет сжатия грунта основания).
5.3.9 Величины
eпр-i находятся в расчетных точках грунта основания по компрессионной кривой
(рисунок 5.5) (если основание неоднородно, то по компрессионным кривым соответствующих грунтов; в этом случае
eпр-i рассчитывают дважды, для двух контактирующих слоев грунтов).
Рисунок 5.5 - Компрессионная кривая грунта основания насыпи
Значения
eпр-i берут для соответствующих природных напряжений

, действующих по нижней границе расчетного слоя, затем находятся их средние для слоя значения
eпр-i.
5.3.10 После полной реализации основной части осадки грунт будет иметь в слое коэффициенты пористости, которые находят как средние из двух величин, взятых для расчетных точек слоя по той же компрессионной кривой по напряжениям.
5.3.11 Осадка за счет сжатия грунта основания Sсж определяется по формуле

(5.9)
где k - количество расчетных слоев.
5.3.12 Однако сжатие основания может происходить и ниже нижней границы последнего расчетного слоя и затухнуть выше нее. В связи с этим полная осадка основания
Sосн =
Sсж +/-
Sдоп, (5.10)
где Sдоп - дополнительная осадка толщи основания, реализуемая ниже или не реализуемая выше уровня zn, м.
5.3.13 Для определения
Sдоп строится кривая относительной осадки

.
Относительная осадка

любого
i-го слоя

(5.11)
Абсолютная осадка любого i-го слоя

(5.12)
равна площади эпюры относительной осадки в слое эпюры (см.
рисунок 5.4).
Следовательно,
Sдоп равна площади заштрихованной части эпюры относительной осадки (см.
рисунок 5.4). Можно считать, что
| | ИС МЕГАНОРМ: примечание. В официальном тексте документа, видимо, допущена опечатка: имеется в виду формула (5.13), а не (5.1). | |

(5.1)
где
- ордината эпюры

на нижней границе нижнего расчетного слоя.
Пример определения остаточной осадки приведен в
Приложении Д.
5.3.14 Определение остаточной осадки основания
Sсж с использованием модуля деформации. Расчет остаточной осадки грунтов основания, сложенного торфяными грунтами
Sсж (на стадии разработки технического или технорабочего проекта) может выполняться с использованием модуля деформации
[1]

(5.14)
где Hн - высота насыпи по продольному профилю, м;

- удельный вес грунта насыпи, кН/м
3;
Hсл - суммарная мощность слабой толщи, м;
Eср - осредненный модуль деформации сжимаемых слоев, кПа
| | ИС МЕГАНОРМ: примечание. В официальном тексте документа, видимо, допущена опечатка: имеется в виду формула (5.15), а не (5.2). | |

(5.2)
Hi - мощность отдельных слоев, м;
Ei - модуль деформации отдельных слоев торфа, в расчетном диапазоне напряжений, кПа.
5.3.15 Аналитическая зависимость для определения осадки за счет ползучести предполагает начало вторичной консолидации после завершения первичной (фильтрационной)

(5.16)
где
e0 - коэффициент пористости после возведения насыпи и полной реализации основной части осадки (см.
рисунок 5.5);
- коэффициент вторичной консолидации;
tфк - расчетное время консолидации, определяется расчетом времени консолидации.
5.3.16 Расчет консолидации производится для объединенной консолидируемой толщи с средневзвешенным коэффициентом консолидации

(5.17)
где Hi - мощность одного слоя грунта.
5.3.17 Для слоистой толщи время практической стабилизации деформаций принимается по слою с наибольшим временем консолидации.
5.3.18 Время завершения фильтрационной осадки слоя мощностью Hсл при односторонней фильтрации определяется по формуле

(5.18)
| | ИС МЕГАНОРМ: примечание. Нумерация пунктов дана в соответствии с официальным текстом документа. | |
5.3.21 При расчетах осадки земляного полотна ВСМ следует использовать критерий - допустимую величину остаточных деформаций во времени (см.
таблица 4.1), приведенный в СТУ
[3].
5.3.20 По результатам расчета строится график зависимости протекания осадки во времени
(рисунок 5.6).
tзс - время завершения строительства; tфк - время завершения
фильтрационной части консолидации; tэ - время использования
для безбалластной конструкции и 25 лет эксплуатации
для балластной конструкции
Рисунок 5.6 - График протекания осадки во времени
| | ИС МЕГАНОРМ: примечание. Нумерация пунктов дана в соответствии с официальным текстом документа. | |
5.3.21 Расчеты первичной (фильтрационной) и вторичной консолидации выполняют аналитическим методом исходя из теоретического предположения последовательного их протекания, а при численном моделировании исходя из одновременного.
5.3.27 В качестве критерия завершения фильтрационной части консолидации принимается достижение степени консолидации равной 90% от конечной осадки
Sосн или интенсивность деформаций за год в соответствии с
таблицей 4.1.
5.3.23 На основе выполненного расчета консолидации определяется время завершения фильтрационной части tфк. Если это время превышает директивное (определенное ПОС), назначенное для выдержки земляного полотна от момента завершения строительных работ до начала эксплуатации, то рекомендуется устройство мероприятий по снижению осадки и времени консолидации.
5.3.24 Для уменьшения осадки рекомендуется следующие мероприятия:
- полная или частичная замена слабых грунтов;
- искусственное улучшение свойств (мелиорация) слабых грунтов основания;
- системы вертикального дренирования (ленточные геодрены) для ускоренной консолидации;
- устройство свайных оснований.
5.3.25 Расчеты осадки при замене слабых грунтов или их мелиорации выполняются по приведенным выше правилам с соответствующей корректировкой прочностных и деформационных характеристик новых слоев.
5.3.26 Расчеты свайных оснований и величины осадки при этом следует выполнять в соответствии с требованиями
СП 24.13330.
5.3.27 При определении осадки после устройства свайного усиления с гибким ростверком из геосинтетического материала ее величина складывается из осадки под концом сваи и прогиба геосинтетического материала в междусвайном пространстве.
6 ПОРЯДОК РАСЧЕТА ОСАДКИ ЗЕМЛЯНОГО ПОЛОТНА
НА УЧАСТКАХ ИНДИВИДУАЛЬНОГО ПРОЕКТИРОВАНИЯ
6.1 Общие положения расчета
6.1.1 При наличии оснований недостаточно прочных, слабых или оттаивающих на ММГ необходимо учитывать осадки основания при расчетах конструкций земляного полотна железнодорожного пути, в том числе высокоскоростных магистралей (ВСМ).
| | ИС МЕГАНОРМ: примечание. Текст дан в соответствии с официальным текстом документа. | |
6.1.2 При индивидуальном проектировании - для участков земляного полотна, расположенного на недостаточно прочных или слабых основаниях, должны выполняться расчеты упругих и остаточных осадками грунтов основания, а для участков, расположенных на оттаивающих ММГ им должны предшествовать теплотехнические расчеты по прогнозу темпов оттаивания основания.
6.1.3 Для нормальной эксплуатации земляного полотна железнодорожного пути должно быть обеспечено выполнение условий (см.
таблицу 4.1) по значениям
недопустимых деформаций упругих и
остаточных осадок.
6.1.4 Для земляного полотна ВСМ деформации морозного пучения грунтов в уровне основной площадки земляного полотна должны быть исключены.
6.1.5 При расчетах конструкций земляного полотна ВСМ должны учитываться требования СТУ
[3] (см.
таблицу 4.1) к условиям эксплуатации ВСМ.
6.1.6 При расчетах осадки земляного полотна ВСМ должны учитываться внешние нагрузки от конструкции верхнего строения пути и подвижного состава: для двухпутной линии с шириной колеи 1520 мм для высокоскоростных пассажирских поездов со скоростью до 400 км/ч при максимальной статической нагрузке на ось не более 170 кН, с возможностью пропуска пассажирских и специальных грузовых поездов.
6.1.7 Максимальная статическая нагрузка на ось электровозов для пассажирских и специальных грузовых поездов принимается 226 кН, а грузовых и пассажирских вагонов 210 кН.
6.2 Рекомендации по методам расчетов
6.2.1 Расчеты на участках индивидуального проектирования земляного полотна ВСМ, учитывая необходимую точность расчета, следует, как правило, выполнять численными методами, которые позволяют использовать более сложные модели с учетом большого количества влияющих факторов и прогнозировать изменения их состояния во времени.
6.2.2 При индивидуальном проектировании земляного полотна железных дорог
общего пользования на слабых основаниях, в том числе болотах, не подпадающих под условия типового проектирования, расчеты
осадок насыпей допускается выполнять инженерными методами в соответствии с правилами, изложенными в
главе 5 Методики (методом компрессионных кривых) или по схеме линейно деформируемого полупространства согласно требованиям
СП 22.13330.
6.2.3 Расчетные модели (расчетные схемы) должны учитывать инженерно-геологические условия, конструктивные особенности и особенности технологии возведения сооружения, возможность изменения свойств грунтов в процессе строительства и эксплуатации сооружения, действующие нагрузки и воздействия, влияние на объект внешней среды.
6.2.4 Для получения надежных и достоверных результатов при проведении геотехнических расчетов с применением нелинейных геомеханических моделей грунтов должна быть доказана адекватность их применения.
6.2.5 Оценку достоверности геомеханических моделей для конкретных грунтовых условий выполняют на основе сравнения результатов математического поведения при нагружении с результатами лабораторных и полевых испытаний грунтов. По результатам сравнения выполняют калибровку параметров модели.
6.2.6 На основе анализа данных геотехнического мониторинга (вертикальные и горизонтальные перемещения, избыточное поровое давление) производится оценка достоверности геотехнического прогноза во времени. При необходимости выполняется корректировка расчетной схемы на основе обратных расчетов.
| | ИС МЕГАНОРМ: примечание. Текст дан в соответствии с официальным текстом документа. | |
6.2.7 При индивидуальном проектировании земляного полотна железных дорог общего пользования в районах распространения ММГ при грунтах с относительной осадкой более 0,1, в том числе на марях, а также на участках, подверженных возникновению наледи и с наличием подземного льда, развития термокарста, солифлюкции, бугров пучения следует выполнять теплотехнические расчеты численными методами (преимущественно методом конечных разностей, методом) с обязательным прогнозом температурного режима и деформаций земляного полотна и основания на весь срок эксплуатации железнодорожной линии до ее реконструкции или капитального ремонта в соответствии с требованиями
СП 119.13330,
СП 238.1326000,
СП 447.1325800 и
СП 116.13330.
На первом этапе выполняется расчет глубины оттаивания с нахождением ее величины на 10 год. Если происходит оттаивание грунтов основания, то выполняются расчеты тепловой осадки земляного полотна в пределах расчетной глубины оттаивания грунтов в основании. Величина осадки Sо, возникающая при оттаивании грунтов, определяется по формуле
| | ИС МЕГАНОРМ: примечание. Формула дана в соответствии с официальным текстом документа. | |

при

(6.1)
где
- величина относительной осадки
i-го оттаивающего слоя ММГ основания;
hсл-i - толщина i-го оттаивающего слоя ММГ основания;
Ht - прогнозное понижение верхней границы мерзлоты в основании под насыпью за расчетный период времени t.
Величину

определяют расчетами по значениям льдистости грунта за счет видимых включений для несвязных грунтов и суммарной влажности для глинистых грунтов:
- для несвязных
- для глинистых
| | ИС МЕГАНОРМ: примечание. Текст дан в соответствии с официальным текстом документа. | |
где ii - льдистость включений (отношение объема льда-включений к объему всего грунта);
- плотность частиц мерзлого грунта;
Wtot - суммарная влажность мерзлого грунта;
Wт - влажность мерзлого грунта, расположенного между ледяными включениями;
- плотность льда, принимаемая 0,9 т/м
3;
Ww - влажность мерзлого грунта за счет содержащейся в нем незамерзшей влаги;
Wр - влажность на границе раскатывания.
Далее ведется расчет осадки как для слабых водонасыщенных или недостаточно прочных грунтов основания.
Расчетная глубина оттаивания грунтов в основании земляного полотна определяется на основании расчета теплового взаимодействия с многолетнемерзлым грунтом с учетом формы, размеров и теплового режима конструкции земляного полотна, температуры и теплофизических свойств грунтов основания. Если оттаивания многолетнемерзлых грунтов основания не происходит, следовательно, основание прочное и расчет осадки не выполняется.
6.3 Методика численных расчетов осадки
6.3.1 Границы расчетной схемы не должны оказывать влияния на результаты расчетов устойчивости, и должны быть обоснованы для выполнения расчетов осадки. Назначение граничных условий для расчетной схемы выполняется в соответствии с общими рекомендациями, приведенными на
рисунке 6.1.
Рисунок 6.1 - Рекомендуемые размеры расчетной схемы
6.3.2 В качестве нижней границы расчетной схемы понизу могут приниматься:
- кровля прочного и малосжимаемого грунта, подстилающего слабый слой при относительно небольшой его мощности;
- горизонт, на котором вертикальные нормальные напряжения от внешней нагрузки не превышают структурной прочности слабого грунта (давление предуплотнения), определяемой по результатам компрессионных испытаний;
- горизонт, на котором вертикальные нормальные напряжения составляют: 20% величины напряжений от собственного веса толщи.
6.3.3 Рекомендации по выбору моделей грунта приведены в
п. 4.4. Расчет производится в следующей последовательности:
1) Моделирование природного напряженного состояния.
2) Моделирование возведения насыпи (в т.ч. послойного).
3) Оценка устойчивости в строительный период.
4) Определение времени осадки (расчет консолидации).
5) Учет транспортной нагрузки.
6) Оценка устойчивости в эксплуатационный период.
Оценка деформаций основания производится только после оценки прочности (устойчивости) основания.
6.3.4 Для корректного расчета природного напряженного состояния следует определить коэффициент бокового давления в состоянии покоя K0 по данным полевых либо лабораторных испытаний. Для выполнения приближенного расчета допускается принимать значение K0 по литературным источникам. Коэффициент бокового давления следует ввести в расчетную схему путем прямого его указания в моделях грунтов.
6.3.5 Для моделирования строительства насыпи следует комбинировать четыре типа поведения моделей по условиям дренирования и три режима расчета в зависимости от конкретных условий.
6.3.6 Типы поведения по условиям дренирования:
- Недренированный - задается по результатам НН трехосных испытаний (
Cu); быстрого сдвига (преобразованное сопротивление сдвигу

) или испытаний крыльчаткой

. Предназначен только для оценки нестабилизированного состояния слабых и недостаточно прочных оснований до начала консолидации.
- Дренированный - задается по результатам КД (КН) трехосных испытаний, медленного сдвига как эффективная прочность (
c' и

). Предназначен только для оценки стабилизированного состояния группы слабых оснований после завершения консолидации (согласно критерию
п. 4.3). Применяется для грунтов типа Б.
Допускается использовать этот тип поведения как условно недренированный для прямого использования результатов быстрого сдвига в виде
cнач и

(прибор одноплоскостного среза).
- Универсальный - использует в качестве входных значений результаты КД (КН) трехосных испытаний в виде эффективной прочности (
c' и

). Предназначен для комплексной оценки как нестабилизированного, стабилизированного, так и переходного состояния слабых и недостаточно прочных оснований. Требует контроля расчетного значения недренированного сопротивления сдвигу и позволяет определять темп строительства.
- Водоупор - этот тип не допускает образование избыточного порового давления. Применяется для грунтов типа Б для принудительного исключения генерации избыточного порового давления при использовании режима расчета консолидационный.
6.3.7 Для моделирования используется три режима расчета
(таблица 6.1):
1) Стабилизированный расчет предполагает условно мгновенное (без учета времени) приложение нагрузки, формирование напряженного состояния и определение деформаций. Избыточное поровое давление в этом расчете не генерируется. Применяется для определения остаточной осадки Sо и в тех случаях, когда не требуется учитывать избыточное поровое давление (например, для дренирующих грунтов).
2) Нестабилизированный расчет производится без учета времени только для недренированного поведения моделей, предназначен для генерации максимального избыточного порового давления.
3) Консолидационный. Применяется для определения времени консолидации насыпи после завершения строительства. Для моделирования стадийности отсыпки насыпи и временных выдержек применяется только при использовании универсального типа поведения по условиям дренирования. Грунты типа Б должны быть заданы типом водоупор или исключены из расчета порового давления.
Таблица 6.1
Сочетания режимов расчета и типов поведения моделей
Режим расчета | Тип поведения модели по условиям дренирования |
Недренированный | Дренированный | Универсальный |
Стабилизированный | - | Определение конечной осадки Sо; устойчивость в эксплуатационный период |
Нестабилизированный | Устойчивость в строительный период | - | Устойчивость в строительный период |
Консолидационный | Расчет конечной осадки Sо |
Консервативный (приближенный) | Только для условно недренированного варианта ( cнач и  ) | Учет темпа строительства |
С принудительным переключением прочности |
6.3.8 Для прочного основания расчет возведения насыпи производится без учета времени (без деления на слои и стадии). Для слабого и недостаточно прочного основания моделирование ведется послойно и с учетом времени консолидации (режим "консолидационный").
6.3.9 Расчет консолидации производится до достижения критерия, указанного в
п. 2.3. После завершения консолидации (если не использовался универсальный тип поведения по условиям дренирования) производится принудительное переключение сопротивления сдвигу на стабилизированную прочность путем назначения соответствующему кластеру грунта нового набора данных.
6.3.10 Если осадка насыпи превышает 18% ее высоты или колебания уровня грунтовых вод превышают 20% высоты насыпи, расчет с учетом взвешивающего воздействия (для грунтов тела насыпи) целесообразен. Учет взвешивающего воздействия в некоторых программах осуществляется за счет перестройки сетки конечных элементов и уровня грунтовых вод.
6.3.11 Рекомендуется задавать нагрузку от конструкции верхнего строения пути (ВСП) в виде равномерно распределенной во избежание локальной потери сходимости численного решения в месте приложения нагрузки. Поездная нагрузка задается в соответствии с
п. 6.1.6 и
6.1.7.
6.3.12 Расчеты упругой осадки производятся после стадии расчета с поездной нагрузкой посредством ее отключения в расчетной схеме (разгрузка) и повторного включения (повторное нагружение). При этом выполняется сброс накопленных перемещений для отображения только осадки при повторном нагружении.
6.3.13 В случае наличия в расчетной схеме грунтов заданных моделью УМ или УПМ необходимо заменить в них модуль деформации на модуль упругости.
6.3.14 Оценка расчетной величины осадки определяется по перемещениям поверхности, заданной в начальной фазе (природный рельеф и существующие сооружения), выше которой была приложена нагрузка от земляного полотна. Деформации тела насыпи в расчете не рассматриваются, поскольку процесс возведения с уплотняющей техникой не моделируется.
6.3.15 Оценка результатов производится в соответствии с
п. 4.1:
- Величина конечной осадки Sо, полученной в ходе расчета, не должна превышать требуемое значение [Sо].
- Переход из нестабилизированного в стабилизированное состояние, время которого определяется расчетом консолидации, считается завершенным при достижении величины остаточной осадки за год [Sо] или при достижении 90% степени консолидации (время, для которого величина осадки Si = 0,9Sо).
Длительные деформации для ВСМ, полученные в ходе расчета с РМ, не должны превышать указанных в СТУ
[3], приведенных в
таблице 4.1 настоящей методики.
1.
СП 32-104-98 Проектирование земляного полотна железных дорог колеи 1520 мм.
2. Инструкция по усилению насыпей на слабых основаниях на железных дорогах ОАО "РЖД"/Утв.
распоряжением ОАО "РЖД" от 30.12.2015 N 3180р.
3. Специальные технические условия. Земляное полотно участка Москва - Казань высокоскоростной железнодорожной магистрали Москва - Казань - Екатеринбург. Технические нормы и требования к проектированию и строительству. Изменение N 2 от 26.04.2017 N 14575-ЛС/.
4. Альбом типовых решений по повышению несущей способности земляного полотна для участков обращения вагонов с осевыми нагрузками 25 т/ось и более/Утв. распоряжением ОАО "РЖД" от 05.12.2017 N 2517/р.
5. Коншин Г.Г. Нагрузки на земляное полотно: учебное пособие, М.: 2007. - 215 с.
6. Расчет и проектирование железнодорожного пути/Под ред. В.В. Виноградова и А.М. Никонова. - М.: Маршрут, 2003. - 476 с.
7. Технические указания по стабилизации эксплуатируемых насыпей на слабых основаниях/ЦПИ-22/45 ОАО "РЖД". - М.: Академкнига, 2004. - 178 с.
(рекомендательное)
А.1 Вариант на основе
ГОСТ 12248 (дополнение или альтернатива)
Перед началом анализа результатов компрессионных испытаний необходимо установить их кондицию и качество. Оценка производится на основе
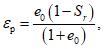
формулы (5.29) для водонасыщенных глинистых и органоминеральных грунтов путем определения относительного разуплотнения по формуле
где e0 - начальный коэффициент пористости после подъема образца на поверхность;
Sr - коэффициент водонасыщения грунта после подъема образца на поверхность.
Относительное разуплотнение не должно превышать значений, приведенных на
рисунке А.1.
Рисунок А.1 - Критерии оценки качества образцов
ПОЛЕВЫЕ МЕТОДЫ
Б.1 Области применения полевых методов испытаний приведены в
таблице Б.1.
Таблица Б.1
Области применения полевых методов испытаний
Результат | Статическое зондирование CPTu | Динамическое зондирование SPT | Крыльчатка | Прессиометр | Дилатометр |
Вид грунта | +++ | + | ++ | ++ | ++ |
Угол внутреннего трения  | ++ | + | | + | + |
Степень плотности Ip | +++ | ++ | | + | ++ |
Недренированное сопротивление сдвигу Cu | ++ | + | +++ | + | + |
Поровое давление U | +++ | | | | ++ |
Коэффициент переуплотнения OCR | +++ | + | ++ | + | ++ |
Модуль деформации E | ++ | | | +++ | +++ |
Индекс компрессии Cc | ++ | | | ++ | + |
Коэффициент консолидации Cv | +++ | | | | |
Коэффициент фильтрации kф | ++ | | | | |
Разжижаемостъ | +++ | +++ | | + | ++ |
Разрез | +++ | + | | | + |
Примечания: "+++" - метод наиболее предпочтителен.
"++" - метод применим.
"+" - метод может быть использован в крайнем случае при отсутствии другой возможности.
(справочное)
УТОЧНЕНИЕ РАСЧЕТНОЙ СХЕМЫ ДЛЯ СЛАБОГО ОСНОВАНИЯ
В.1 Выполняется построение профиля индекса компрессии
Cc или модифицированного коэффициента компрессии

по глубине для слабого и недостаточно прочного основания, представленного слабыми слоями большой мощности. По результатам анализа распределения характеристик сжимаемости принимается решение об объединении нескольких ИГЭ в один РГЭ или о разделении одного ИГЭ на несколько РГЭ.
Для примера
(рисунок В.1) показан профиль индекса компрессии по глубине, на котором видно, что два слоя ИГЭ 3 и ИГЭ 4, которые были разделены при изысканиях на отдельные инженерно-геологические элементы показывают одинаковое механическое поведение и поэтому объединены в один расчетный геологический элемент (РГЭ).
Рисунок В.1 - Пример профиля индекса компрессии по глубине
(объединение ИГЭ 3 и ИГЭ 4 в РГЭ)
Другой пример
(рисунок В.2) демонстрирует необходимость разделения одного ИГЭ большой мощности на два РГЭ.
Рисунок В.2 - Пример профиля индекса компрессии по глубине
для одного ИГЭ (разделение на два РГЭ)
ХАРАКТЕРИСТИКА МОДЕЛЕЙ ГРУНТА
Г.1 Характеристика моделей грунта приведена в
таблице Г.1.
Таблица Г.1
Характеристика моделей грунта
Модель | Описание | Возможности | Применение |
УПМ | Упругопластическая | учет нелинейности между напряжениями и деформацией (приращение модуля) | Все виды грунтов (слабые с изменением модуля деформации); бетонные конструкции. Только задачи нагружения |
ЛШМ* (без оценки прочности) | Шатровая с параметрами начального состояния и упрочнением по объемным деформациям | - учет нелинейности между напряжениями и деформацией (по логарифмической зависимости); - разница в осадке между первичным и повторным нагружением/разгрузкой (учет модуля упругости Ev2 и модуля деформации Ev1) | Дисперсные грунты. Задачи с нагружением и разгрузкой (насыпи и выемки). Предназначена только для расчетов осадки, не требует ввода прочностных характеристик. Задается по компрессионным испытаниям |
ЛШМ | Шатровая с параметрами начального состояния и упрочнением по объемным деформациям | то же, что и для ЛШМ*; использование критерия прочности Кулона-Мора (стандартные результаты инженерных изысканий); учет изменения прочности во времени | Дисперсные грунты. Задачи с нагружением и разгрузкой (насыпи и выемки). Оценка стабильности основания, оценка устойчивости. Задается по компрессионным испытаниям, требует параметров прочности |
РМ | Шатровая с параметрами начального состояния и упрочнением по объемным деформациям | то же, что и для ЛШМ; - учет вторичной консолидации (ползучесть во времени); - возможность формировать начальное напряженное состояние в процессе расчета исторического уплотнения | то же, что и для ЛШМ; оценка развития деформаций во времени с учетом реологических свойств (ползучесть) |
СШМУ | Шатровая с параметрами начального состояния и упрочнением по объемным и сдвиговым деформациям | - учет нелинейности между напряжениями и деформацией (принцип опорного давления); - учет пластических деформаций при первичном девиаторном нагружении (сдвиговые деформации основаны на лабораторных трехосных испытаниях); - упругое поведение (учет модуля упругости Ev2 и модуля деформации Ev1; - учет увеличения прочности с глубиной (в зависимости от бокового давления) | Песчаные грунты (в т.ч. тело насыпи); дисперсные грунты (слабые с ограничением). Рекомендуется для решения задач влияния на окружающую застройку или на насыпь (котлован, проходка горных выработок и пр.) |
ПРИМЕР РАСЧЕТА ИНЖЕНЕРНЫМ МЕТОДОМ
Д.1 Исходные данные для расчета упругой осадки
Железнодорожная линия 2 категории. Насыпь малой высоты, отсыпанная из дренирующего грунта на слабом (торфяном) основании мощностью
h0 = 1,8 м по оси земляного полотна
(рисунок Д.1). При воздействии временной поездной нагрузки
pп возникают упругие осадки.
Рисунок Д.1 - Насыпь на слабом основании
Напряжения на уровне основания насыпи:
от постоянной нагрузки от веса грунта насыпи

и нагрузки от конструкции верхнего строения пути

составляют
от временной поездной нагрузки составляют
Тогда конечные (суммарные) напряжения (в момент прохождения поезда) составляют
Для этих значений напряжений для грунта основания получена кривая упругой компрессии, приведенная на
рисунке Д.2.
Рисунок Д.2 - Кривая упругой компрессии грунта
(торфа) основания
Д.2 Определение упругой осадки методом компрессионных кривых
При расчете упругой осадки слабого основания насыпи
Sу предварительно определяются напряжения по контакту насыпи с основанием в точке А до

и после

приложения временной поездной нагрузки
pп в соответствии с расчетной схемой (см.
рисунок 5.1) и строятся компрессионные кривые упругой компрессии

(см.
рисунок Д.2).
Напряжения от постоянной нагрузки от веса грунта насыпи и нагрузки от конструкции верхнего строения пути на уровне основания насыпи составляют

, от временной поездной нагрузки

.
Для этих значений напряжений по кривым упругой компрессии (см.
рисунок Д.2) получены значения коэффициентов пористости
e'н и
e'к. Тогда расчетная величина упругой осадки
Sу слабого основания мощностью
h0 = 1,8 м по
формуле (5.3) составит
Так как расчетное значение упругой осадки
Sу превышает величину допустимой расчетной упругой осадки основания насыпи, которая для железнодорожной линии 2 категории в соответствии с требованиями
СП 238.1326000 составляет [
Sу] = 2,0 мм требуется разработка мероприятий по снижению величины упругой осадки.
Д.3 Расчет и проектирование мероприятий по снижению упругой осадки
При невыполнении условий
п. 4.1.5 для уменьшения величины упругой осадки
Sу до допускаемых значений [
Sу] в соответствии с требованиями
СП 238.1326000 могут использоваться мероприятия
[7]:
2) по увеличению жесткости грунтов основания.
Рисунок Д.3 - Техническое решение по увеличению высоты
насыпи на слабом основании для снижения упругой осадки
При реализации варианта по увеличению высоты насыпи
Hп, м, достигается уменьшение динамических напряжений в основании насыпи от поездных нагрузок, в результате чего происходит снижение величины упругой осадки
[7].
Для определения требуемой величины
Hп, на которую необходимо увеличить высоту насыпи, чтобы расчетная упругая осадка основания
Sу снизилась до допускаемого значения упругой осадки [
Sу] = 2,0 мм, используются кривые упругой компрессии грунта основания, которые определяются по результатам компрессионных испытаний образцов грунта основания при многократном приложении к ним нагрузок от

до

(см.
рисунок 5.2) и последующей разгрузки от

до

для трех вариантов увеличения высоты насыпи
Hп-1 = 1,0 м,
Hп-2 = 2,0 м,
Hп-3 = 3,0 м (
рисунок Д.4,
Д.5).
Рисунок Д.4 - Схема к определению увеличения высоты насыпи
Рисунок Д.5 - График определения упругой осадки
По полученным значениям упругой компрессии
e'н и
e'к для
h0 = 1,80 м (
рисунки Д.6 ...
Д.8) по
формуле (5.3) были определены расчетные значения упругой осадки
Sу в зависимости от высоты насыпи
Hп-1 = 1,0 м,
Hп-2 = 2,0 м,
Hп-3 = 3,0 м
(таблица Д.1).
Рисунок Д.6 - Кривая упругой компрессии грунта (торфа)
основания для насыпи высотой Hп-1 = 1,0 м
Рисунок Д.7 - Кривая упругой компрессии грунта (торфа)
основания для насыпи высотой Hп-2 = 2,0 м
Рисунок Д.8 - Кривая упругой компрессии грунта (торфа)
основания для насыпи высотой Hп-3 = 3,0 м
Таблица Д.1
Результаты расчетов упругой осадки
Sу в зависимости
от высоты насыпи Hп
N | Hп-i, м | Характеристики кривой упругой компрессии | h0, м | Sу, мм |
e'н | e'к |
1 | 0 | 5,430 | 5,410 | 1,80 | 5,61 |
2 | 1,0 | 5,367 | 5,353 | 1,80 | 3,39 |
3 | 2,0 | 4,958 | 4,950 | 1,80 | 2,42 |
4 | 3,0 | 4,705 | 4,702 | 1,80 | 0,95 |
График изменения величины расчетной упругой осадки в зависимости от высоты насыпи
Sу =
f(
Hп) приведен на
рисунке Д.9.
Рисунок Д.9 - График упругой осадки основания насыпи
Sу
в зависимости от высоты насыпи Hп
Анализ результатов расчетов показал, что при высоте насыпи Hп = 2,1 м расчетная величина упругой осадки будет равна ее допускаемому значению [Sу] = 2,0 мм.
После увеличения высоты насыпи до 2,1 м изменяется ее устойчивость. В связи с этим, требуется проводить проверку общей устойчивости насыпи
(рисунок Д.10) и в необходимых случаях выполнять корректирование технического решения
[7].
Рисунок Д.10 - Результаты расчетов общей устойчивости насыпи
высотой 2,1 м на слабом (торфяном основании)
Д.4 Расчет остаточной осадки
| | ИС МЕГАНОРМ: примечание. В официальном тексте документа, видимо, допущена опечатка: имеется в виду СП 238.1326000, а не СП 238.132600. | |
Песчаная насыпь высотой 13,6 м, уплотнена в соответствии с требованиями
СП 238.132600. Основание сложено супесью мощностью 30,0 м. Осадка основной площадки
S0 происходит из-за сжатия грунта основания под весом насыпи и внешними нагрузками от веса конструкции верхнего строения пути с рельсами Р65 на железобетонных шпалах
pвс = 17 кПа и от воздействия подвижного состава
pп = 80 кПа.
По Методике (
п. 5.3.1 ...
5.3.13) был выполнен расчет осадки основной площадки насыпи
S0.
Рисунок Д.11 - Расчетная схема для определения осадки
основания насыпи высотой 13,6 м
Таблица Д.2
Напряжение

и коэффициент пористости грунта
eпр-i
основания в природном состоянии по глубине z
N точки | Глубина z, м |  , кПа | eпр-i |  , кН/м 3 |  , т/м 3 |
0 | 0 | 0 | 0,850 | 19,04 | 1,94 |
1 | 1 | 19,1 | 0,836 | 19,18 | 1,96 |
2 | 3 | 57,7 | 0,810 | 19,46 | 1,98 |
3 | 10 | 197,4 | 0,722 | 20,47 | 2,09 |
Таблица Д.3
Расчет относительной и абсолютной осадки грунта основания
N точки | eпр-i | e0-i | N слоя | среднее eпр-i | среднее e0-i | | hi, м |  , м |
0 | 0,850 | 0,691 | | | | | | |
1 | 0,836 | 0,692 | 1 | 0,843 | 0,692 | 0,082 | 1 | 0,08 |
2 | 0,810 | 0,693 | 2 | 0,823 | 0,692 | 0,072 | 2 | 0,14 |
3 | 0,721 | 0,717 | 3 | 0,765 | 0,705 | 0,034 | 7 | 0,24 |
| | | | | | | Итого  | 0,46 |
По формулам (
5.4 ...
5.13) были выполнены расчеты осадки основной площадки насыпи
Sо.
Суммарная осадка слоев грунта основания на глубине 10,0 м была определена по
формуле (5.9)
Sсж = 0,46 м.
Дополнительная осадка основания насыпи ниже 10,0 м до расчетного уровня 22,86 м по
формуле (5.13) составит
Sдоп = 0,5 * 0,034(22,86 - 10) = 0,23 м.
Sосн = 0,46 + 0,23 = 0,69 м.
Так как грунт насыпи был уплотнен в соответствии с требованиями
СП 238.1326000, осадка грунта насыпи может быть принята
Sн = 0, тогда осадка основной площадки (по
формуле 5.4) составит
Sо = Sосн = 0,69 м.
ПРИМЕР РАСЧЕТА ЧИСЛЕННЫМ МЕТОДОМ
Е.1 Исходные данные
Насыпь высотой 5,6 м, однопутная линия высокоскоростной категории. Основание представлено слабой толщей (грунты типа А) мощностью 5 м (ИГЭ 1 и ИГЭ 2), которая подстилается прочными (тип Б) грунтами ИГЭ 3 мощностью 6 м и скальными грунтами ИГЭ 4. Сжимаемая толща ограничена залеганием скальных грунтов ИГЭ 4 на глубине 11 м, слой ИГЭ 4 не моделируется (учитывается граничными условиями расчетной схемы). Расчетные значения модулей деформации определены по компрессионным кривым в диапазоне действующих напряжений. Ширина расчетной схемы составляет 100 м. Расчетная схема (половина) представлена на
рисунке Е.1.
Рисунок Е.1 - Расчетная схема (половина)
Нагрузка от ВСП принята равной 19 кПа; поездная нагрузка - 17 т/ось. Расчет осадки выполняется при условии обеспечения устойчивости насыпи и стабильности основания, прочностные характеристики не приводятся.
Е.2 Моделирование
Расчет возведения насыпи выполнен послойно с заданным темпом отсыпки 1 м за 3 дня. После моделирования строительства насыпи выполнен расчет времени консолидации. В этом примере принято решение учесть нагрузку от подвижного состава. Результаты расчета конечной осадки в поперечном сечении численным методом в программном комплексе приведены на
рисунке Е.2. Строительная осадка рассчитана от момента начала возведения насыпи до директивно заданного срока строительства железной дороги до укладки верхнего строения пути принят 100 суток. Осадка в строительный период составляет 173,91 мм. Эксплуатационная осадка определена начиная от сотого дня и до достижения полного завершения консолидации без учета строительной осадки.
Рисунок Е.2 - Эпюра осадки, мм
График развития осадки во времени для эксплуатационного периода показан на
рисунке Е.3.
Рисунок Е.3 - График консолидации
По графику получено: условная конечная осадка составляет 66,67 мм, тогда осадка при достижении 90% консолидации будет равна S0 = 60,0 мм, а соответствующее время - 600 суток.
Изополя перемещений в поперечном профиле насыпи приведены на
рисунке Е.4.
Рисунок Е.4 - Изополя перемещений в основании насыпи
(90% консолидация)
Е.3 Оценка результатов расчета осадки насыпи
1. Строительство насыпи и частичная консолидация в течение заданного времени (100 суток) приводят к строительной осадке 173,91 мм. Эта осадка будет компенсирована досыпкой и в дальнейших расчетах не учитывается.
2. Осадка в эксплуатационный период контролируется критерием согласно
таблице 4.1. Остаточная осадка на момент достижения 90% консолидации по расчету
S0 = 60,0 мм, что превышает допустимое значение, равное [
S0] = 15 мм.
Таким образом необходимо рассмотреть мероприятия по снижению деформаций: замена грунта; мелиорация и свайное основание.
Е.4 Расчет насыпи с противодеформационными мероприятиями
Вариант 1. Замена грунта выполняется на глубину 2 м. Модуль деформации песка, укладываемого в траншею на слабое основание, принят равным 30 МПа, что косвенно учитывает сложность его уплотнения. Изменение условий фильтрационной консолидации привело к тому, что строительная осадка на сотый день после начала строительства составила 160,03 мм.
По результатам моделирования получена эксплуатационная осадка
S0 = 30,93 мм, время достижения 90% консолидации составляет 500 суток. Изополя перемещений в основании после замены слоя грунта приведены на
рисунке Е.5.
Рисунок Е.5 - Изополя вертикальных перемещений (замена), м
Учитывая, что замена грунта не позволяет снизить осадку до требуемого значения в пределах фильтрационной консолидации, расчет за ее пределами с учетом ползучести не выполняется.
Вариант 2. Искусственное улучшение свойств грунтов (мелиорация) рассмотрено для глубины воздействия 2 м. Значение модуля для слоя грунта с улучшенными свойствами принято равным 120 МПа.
В отличие от варианта с заменой грунта его преобразование способствует не только повышению прочностных свойств, но и снижению коэффициента фильтрации, что существенно изменяет условия фильтрационной консолидации.
Распределение областей избыточного порового давления в основании насыпи показано на
рисунке Е.6.
Рисунок Е.6 - Изополя избыточного порового давления
(мелиорация), кПа
Наличие в основании насыпи двухметрового слоя грунта с низкими фильтрационными свойствами предопределяет концентрацию избыточного порового давления в области оси насыпи, при этом путь фильтрации в расчете консолидации равен половине подошвы насыпи, поэтому время консолидации изменяется в сторону увеличения.
Время достижения 90% консолидации в этом варианте составило около 1000 суток, но при этом величина осадки за счет перераспределения напряжений меньше, чем в случае с заменой
S0 = 14,32 мм
(рисунок Е.7).
Рисунок Е.7 - Изополя вертикальных перемещений
(мелиорация), м
Несмотря на то, что величина осадки менее требуемого значения ([S0] = 15 мм), ее рост на момент 100% завершения фильтрационной консолидации превысит допустимую величину.
Вариант 3. Свайное основание. Вариант с забивными железобетонными сваями размером 0,45 x 0,45 м. Шаг расстановки по квадратной сетке 1,5 м, оголовки на сваях размером 1,0 x 1,0 м. В качестве ростверка использован гибкий силовой геосинтетический ростверк из тканого геотекстиля с предельной прочностью 1000 кН/м.
Сваи пересекают слабую толщу и опираются на прочные грунты, давление на слабое основание минимизировано, конструкция рассматривается как условно безосадочная, консолидация для такой конструкции не рассчитывается.
Максимальная осадка (по оси насыпи в межсвайном пространстве) составила:
- в строительный период - 35,36 мм;
- в эксплуатационный период 8,64 мм.
Развитие деформаций во времени для свай-стоек не рассматривается.
Изополя перемещений в основании при свайном укреплении приведены на
рисунке Е.8.
Рисунок Е.8 - Изополя вертикальных перемещений
свайного основания (забивные сваи)
Максимальная осадка свай (в области оси насыпи) составляет 4,8 мм.
Максимальные растягивающие усилия в армирующей прослойке составляют 63 кН/м, что не превышает длительную прочность для выбранного материала (около 400 кН/м).
Вариант 4. Свайное основание. Вариант с буронабивными сваями диаметром 1 м, шаг расстановки по треугольной сетке 2,5 м. В качестве ростверка использован гибкий силовой геосинтетический ростверк из тканого геотекстиля с предельной прочностью 1000 кН/м.
Максимальная осадка (по оси насыпи в межсвайном пространстве) составила:
- в строительный период - 35,06 мм;
- в эксплуатационный период 10,34 мм.
Изополя перемещений в основании при буронабивных сваях приведены на
рисунке Е.9.
Рисунок Е.9 - Изополя перемещений в основании насыпи
на буронабивных сваях (трехмерная постановка)
Максимальная осадка свай (в области оси насыпи) составляет 2,3 мм. Максимальные растягивающие усилия в армирующей прослойке составляют около 90 кН/м, что не превышает длительную прочность для выбранного материала (около 400 кН/м).
Сводные результаты расчетов осадки приведены в
таблице Е.1.
Таблица Е.1
Сводные результаты расчетов осадки до и после мероприятий
Показатель | Расчетное значение | Нормативное значение |
Исходная конструкция насыпи |
Строительная осадка | 173,91 мм | не нормируется |
Эксплуатационная осадка | 60 мм | 15 мм |
Осадка за 1 год | 52,51 мм | не нормируется |
Замена грунта |
Строительная осадка | 160,03 | не нормируется |
Эксплуатационная осадка | 30,93 | 15 мм |
Искусственное улучшение свойств грунтов (мелиорация) |
Строительная осадка | 91,23 | не нормируется |
Эксплуатационная осадка | 14,32 | 15 мм |
Забивные сваи 0,45 x 0,45 м (шаг 1 м по квадратной сетке) |
Строительная осадка | 35,36 | не нормируется |
Эксплуатационная осадка | 8,64 | 15 мм |
Буронабивные сваи 1,0 м (шаг 2,5 м по треугольной сетке) |
Строительная осадка | 35,06 | не нормируется |
Эксплуатационная осадка | 10,34 | 15 мм |
Выполненные расчеты показали необходимость устройства свайного основания для надежной и бесперебойной эксплуатации высокоскоростной магистрали. Выбор варианта свайного основания рекомендуется выполнять на основе технико-экономического сравнения.