Главная // Актуальные документы // ГОСТ (Государственный стандарт)СПРАВКА
Источник публикации
М.: ИПК Издательство стандартов, 1997
Примечание к документу
Документ утратил силу с 1 июля 2013 года в связи с изданием
Приказа Росстандарта от 09.11.2012 N 707-ст. Взамен введен в действие
ГОСТ 30416-2012.
Документ включен в
Перечень стандартов, содержащих правила и методы исследований (испытаний) и измерений, в том числе правила отбора образцов, необходимые для применения и исполнения требований технического
регламента Таможенного союза "Безопасность автомобильных дорог" (ТР ТС 014/2011) и осуществления оценки (подтверждения) соответствия продукции" (
Решение Коллегии Евразийской экономической комиссии от 18.09.2012 N 159).
Документ включен в
Перечень национальных стандартов, в результате применения которых на добровольной основе обеспечивается соблюдение требований Федерального
закона от 30.12.2009 N 384-ФЗ "Технический регламент о безопасности зданий и сооружений" (
Приказ Ростехрегулирования от 01.06.2010 N 2079).
С 1 июля 2003 года до вступления в силу технических регламентов акты федеральных органов исполнительной власти в сфере технического регулирования носят рекомендательный характер и подлежат обязательному исполнению только в части, соответствующей целям, указанным в
пункте 1 статьи 46 Федерального закона от 27.12.2002 N 184-ФЗ.
Введен в действие с 1 января 1997 года.
Название документа
"ГОСТ 30416-96. Грунты. Лабораторные испытания. Общие положения"
(введен в действие Постановлением Минстроя РФ от 01.08.1996 N 18-57)
"ГОСТ 30416-96. Грунты. Лабораторные испытания. Общие положения"
(введен в действие Постановлением Минстроя РФ от 01.08.1996 N 18-57)
Постановлением Минстроя РФ
от 1 августа 1996 г. N 18-57
МЕЖГОСУДАРСТВЕННЫЙ СТАНДАРТ
ГРУНТЫ
ЛАБОРАТОРНЫЕ ИСПЫТАНИЯ
ОБЩИЕ ПОЛОЖЕНИЯ
Soils. Laboratory testing. General requirements
ГОСТ 30416-96
1. Разработан Государственным предприятием научно-исследовательским, проектно-изыскательским и конструкторско-технологическим институтом оснований и подземных сооружений им. Н.М. Герсеванова (НИИОСП им. Герсеванова) с участием Государственного дорожного научно-исследовательского института (СоюздорНИИ) и Производственного и научно-исследовательского института по инженерным изысканиям в строительстве (ПНИИИС) Российской Федерации.
Внесен Минстроем России.
2. Принят Межгосударственной научно-технической комиссией по стандартизации, техническому нормированию и сертификации в строительстве (МНТКС) 15 мая 1996 г.
За принятие проголосовали:
┌──────────────────────────┬─────────────────────────────────────┐
│ Наименование государства │Наименование органа государственного │
│ │ управления строительством │
├──────────────────────────┼─────────────────────────────────────┤
│Азербайджанская Республика│Госстрой Азербайджанской Республики │
│Республика Армения │Госупрархитектуры Республики Армения │
│Республика Белоруссия │Минстройархитектуры Республики │
│ │Белоруссия │
│Республика Казахстан │Минстрой Республики Казахстан │
│Киргизская Республика │Госстрой Киргизской Республики │
│Республика Молдова │Минархстрой Республики Молдова │
│Российская Федерация │Минстрой России │
│Республика Таджикистан │Госстрой Республики Таджикистан │
│Республика Узбекистан │Госкомархитектстрой Республики │
│ │Узбекистан │
└──────────────────────────┴─────────────────────────────────────┘
3. Постановлением Минстроя России от 1 августа 1996 г. N 18-57 межгосударственный стандарт ГОСТ 30416-96 введен в действие в качестве государственного стандарта Российской Федерации с 1 января 1997 г.
4. Введен впервые.
Настоящий стандарт устанавливает общие требования к методам лабораторного определения характеристик физико-механических свойств грунтов при их исследовании для строительства.
В настоящем стандарте использованы ссылки на следующие стандарты:
ГОСТ 577-68. Индикаторы часового типа с ценой деления 0,01 мм. Технические условия
ГОСТ 5180-84. Грунты. Методы лабораторного определения физических характеристик
| | ИС МЕГАНОРМ: примечание. Взамен ГОСТ 7328-82 Постановлением Госстандарта РФ от 26.10.2001 N 438-ст с 1 июля 2002 года введен в действие ГОСТ 7328-2001. | |
ГОСТ 7328-82. Меры массы общего назначения и образцовые. Технические условия
ГОСТ 9696-82. Индикаторы многооборотные с ценой деления 0,001 и 0,002 мм. Технические условия
ГОСТ 9753-88. Прессы гидравлические одностоечные. Параметры и размеры. Нормы точности
ГОСТ 10110-87. Круги алмазные отрезные формы IAIR. Технические условия
ГОСТ 10197-70. Стойки и штативы для измерительных головок. Технические условия
ГОСТ 12071-84. Грунты. Отбор, упаковка, транспортирование и хранение образцов
ГОСТ 12536-79. Грунты. Методы лабораторного определения гранулометрического (зернового) и микроагрегатного состава
ГОСТ 20522-96. Грунты. Методы статистической обработки результатов испытаний
ГОСТ 22733-77. Грунты. Метод лабораторного определения максимальной плотности
| | ИС МЕГАНОРМ: примечание. Взамен ГОСТ 24104-88 Постановлением Госстандарта РФ от 26.10.2001 N 439-ст с 1 июля 2002 года введен в действие ГОСТ 24104-2001. | |
ГОСТ 24104-88. Весы лабораторные общего назначения и образцовые. Общие технические условия
В настоящем стандарте применяют следующие термины.
Влажность грунта - отношение массы воды в объеме грунта к массе этого грунта, высушенного до постоянной массы.
Гигроскопическая влажность - влажность грунта в воздушно-сухом состоянии, т.е. в состоянии равновесия с влажностью и температурой окружающего воздуха.
Влажность на границе текучести - влажность грунта, при которой грунт находится на границе между пластичным и текучим состояниями.
Влажность на границе раскатывания - влажность грунта, при которой грунт находится на границе между твердым и пластичным состояниями.
Плотность грунта - масса единицы объема грунта.
Плотность сухого грунта - отношение массы грунта, за вычетом массы воды и льда в его порах, к его первоначальному объему.
Плотность частиц грунта - масса единицы объема твердых (скелетных) частиц грунта.
Воздушно-сухое состояние грунта - состояние грунта, высушенного на воздухе.
Водонасыщенное состояние грунта - состояние грунта при практически полном заполнении пор грунта водой.
Гранулометрический (зерновой) состав грунта - количественное содержание в грунте твердых частиц того или иного размера.
Микроагрегатный состав грунта - количественное содержание в грунте твердых водостойких агрегированных частиц того или иного размера.
Коэффициент фильтрации - скорость фильтрации воды в грунте при градиенте напора, равном единице.
Градиент напора - отношение разности гидростатических напоров воды (потери напора) к длине пути фильтрации.
Структурная прочность - вертикальное напряжение в образце грунта, соответствующее началу перехода от упругих к пластическим деформациям сжатия.
Вертикальное давление на образец грунта - отношение вертикальной нагрузки, приложенной к образцу, к площади его поперечного сечения.
Относительная вертикальная деформация образца грунта - отношение абсолютной вертикальной деформации к начальной высоте образца.
Стабилизация деформации - приращение деформации во времени, характеризующее практическое затухание деформации при определенной нагрузке.
Стабилизированное состояние грунта - состояние грунта, характеризуемое окончанием деформаций уплотнения под определенной нагрузкой и отсутствием избыточного давления в поровой жидкости.
Нестабилизированное состояние грунта - состояние грунта, характеризуемое незавершенностью деформаций уплотнения под определенной нагрузкой и наличием избыточного давления в поровой жидкости.
Консолидированно-дренированное испытание - испытание грунта для определения характеристик прочности и деформируемости с предварительным уплотнением образца и отжатием из него воды в процессе всего испытания.
Консолидированно-недренированное испытание - испытание грунта для определения характеристик прочности с предварительным уплотнением образца и отжатием из него воды только в процессе уплотнения.
Неконсолидированно-недренированное испытание - испытание грунта для определения характеристик прочности без предварительного уплотнения образца при отсутствии отжатия из него воды в процессе всего испытания.
Сопротивление грунта срезу - характеристика прочности грунта, определяемая значением касательного напряжения, при котором происходит разрушение (срез).
Предел прочности на одноосное сжатие - отношение вертикальной нагрузки на образец грунта, при которой происходит его разрушение, к площади поперечного сечения образца.
Коэффициент сжимаемости - отношение относительной вертикальной деформации (изменения коэффициента пористости) к давлению, вызвавшему эту деформацию.
Абсолютное суффозионное сжатие - уменьшение первоначальной высоты образца грунта в результате сжатия при постоянном вертикальном давлении и непрерывной фильтрации жидкости, вызывающей химическую суффозию.
Относительное суффозионное сжатие - отношение абсолютного суффозионного сжатия к высоте образца грунта природной влажности при природном давлении.
Начальное давление суффозионного сжатия - минимальное давление, при котором проявляется суффозионное сжатие грунта.
Коэффициент оттаивания - показатель деформируемости, характеризующий осадку мерзлого грунта при его оттаивании без нагрузки.
Модуль линейной деформации - показатель линейной деформируемости мерзлого грунта, отражающий отношение напряжений к вызванным относительным продольным деформациям.
Коэффициент нелинейной деформации - показатель, характеризующий зависимость деформаций ползучести мерзлого грунта от напряжений и времени.
Коэффициент поперечного расширения - показатель деформируемости, характеризующий отношение поперечных и продольных деформаций грунта.
Коэффициент вязкости - показатель деформируемости, характеризующий скорость пластично-вязкого течения сильнольдистого мерзлого грунта, зависящий от времени действия нагрузки и значения отрицательной температуры грунта.
Эквивалентное сцепление - комплексная характеристика прочности мерзлого грунта, учитывающая как собственно сцепление, так и наличие внутреннего трения.
Угол внутреннего трения - параметр прямой зависимости сопротивления грунта срезу от вертикального давления, определяемый как угол наклона этой прямой к оси абсцисс.
Удельное сцепление грунта - параметр прямой зависимости сопротивления грунта срезу от вертикального давления, определяемый как отрезок, отсекаемый этой прямой на оси ординат.
Модуль деформации - коэффициент пропорциональности линейной связи между приращениями давления на образец и его деформацией.
Модуль сдвига - характеристика деформируемости, определяемая отношением интенсивности касательных напряжений к интенсивности деформаций сдвига.
Остальные термины, используемые в настоящем стандарте, приведены в
ГОСТ 25100.
4.1. Метод определения характеристик физико-механических свойств грунтов устанавливают в программе испытаний в зависимости от стадии проектирования, грунтовых условий, вида и уровня ответственности проектируемых зданий и сооружений.
4.2. Область применения методов лабораторных испытаний физико-механических свойств грунтов в зависимости от вида грунта приведена в
Приложении А.
4.3. Отбор, упаковку, транспортирование и хранение образцов грунта, предназначенных для лабораторных испытаний, производят по
ГОСТ 12071.
4.4. Испытания проводят на лабораторных образцах грунта ненарушенного сложения с природной влажностью и в водонасыщенном состоянии или на искусственно приготовленных пробах и образцах с заданными плотностью и влажностью, значения которых устанавливают в программе испытаний.
При определении характеристик прочности и деформируемости лабораторные образцы грунта ненарушенного сложения должны иметь ориентацию, соответствующую природному залеганию.
Образцы грунта природной влажности испытывают непосредственно после их изготовления.
4.5. Форму и размеры лабораторных образцов грунта определяют в зависимости от метода испытаний, а также от свойств самого грунта (способности сохранять форму, наличия включений и т.д.).
Минимальный размер испытуемых образцов должен быть не менее пятикратного размера максимальной фракции грунта (включений, агрегатов).
4.6. За результат испытаний принимают среднее арифметическое значение параллельных определений, предусмотренных для соответствующего метода.
4.7. Погрешность измерений при испытаниях не должна превышать:
0,02 г - при измерении массы образца;
0,1 мм " " геометрических размеров образца
и рабочего (режущего) кольца;
0,01 мм " " деформаций образца;
5% " " прикладываемой нагрузки от ступени
нагрузки;
0,1 °С " " температуры воздуха в помещении
с отрицательной температурой.
4.8. При обработке результатов испытаний плотность грунта вычисляют с точностью 0,01 г/см3, влажность до 30% включ. - 0,1%, влажность 30% и выше - 1%, угол внутреннего трения - 1°, удельное сцепление - 1 кПа, абсолютную вертикальную деформацию образца - 0,01 мм, относительную вертикальную деформацию образца - 0,001, относительную объемную деформацию образца - 0,001.
4.9. Статистическую обработку результатов определений характеристик физико-механических свойств грунтов, используемых при проектировании оснований и фундаментов зданий и сооружений, производят по
ГОСТ 20522.
4.10. Испытания немерзлых грунтов проводят в помещениях с положительной температурой воздуха.
4.11. Испытания мерзлых грунтов проводят в помещении с регулируемой отрицательной температурой, холодильных камерах, а также в шурфах или подземных лабораториях, расположенных в толще вечномерзлых грунтов.
Технология изготовления образцов и проведения испытаний должна обеспечивать сохранность мерзлого состояния грунта, недопущение сколов и других нарушений поверхности образца.
4.12. В помещении для проведения испытаний мерзлых грунтов должна поддерживаться заданная программой испытаний температура воздуха, отклонения от которой не должны превышать +/- 0,1; +/- 0,2 и +/- 0,5 °С при температуре испытаний соответственно от 0 до минус 1; ниже минус 2 до минус 5 и ниже минус 5 °С.
4.13. Измерения температуры воздуха в процессе испытаний мерзлых грунтов следует выполнять одновременно с измерением деформаций образца грунта по двум лабораторным термометрам (или другим термоизмерительным устройством), расположенным по обе стороны установки для испытаний таким образом, чтобы их ртутный резервуар или датчик находились на уровне образца грунта на расстоянии не более 0,5 м от него.
4.14. В период подготовки и проведения испытаний необходимо предусматривать меры по предохранению образцов немерзлых грунтов от высыхания, а мерзлых - от иссушения.
Для предохранения образцов грунта от иссушения следует предусматривать создание защитных оболочек, прокладку образцов снегом или льдом, помещение установок для испытаний под чехлы.
4.15. Для водонасыщения (доувлажнения) образцов грунта и в качестве фильтрующей жидкости следует применять воду питьевого качества, если в задании не приведены указания по использованию дистиллированной воды, грунтовой воды с места отбора образца, а также водных вытяжек или химических растворов заданного состава.
4.16. При использовании в качестве реактивов опасных (едких, токсичных) веществ следует руководствоваться требованиями безопасности, изложенными в нормативных документах на эти реактивы.
4.17. Результаты лабораторных испытаний образцов грунта заносят в журналы испытаний, содержащие данные о месте отбора образцов (монолитов) грунта и другие необходимые характеристики грунта.
Страницы журнала должны быть пронумерованы. Журнал должен быть подписан руководителем лаборатории и исполнителями.
5. ПОДГОТОВКА ОБРАЗЦОВ ГРУНТА ДЛЯ ИСПЫТАНИЙ
5.1. Изготовление образца дисперсного грунта ненарушенного сложения методом режущего кольца
5.1.1. Для изготовления образца грунта применяют следующее оборудование и материалы:
- режущее кольцо (цилиндрическая форма с режущим краем, рабочее кольцо прибора для испытаний);
- гладкие пластинки (стекло, металл и т.п.);
- винтовой пресс;
- насадка для вдавливания колец;
- выталкиватель для извлечения образца из кольца;
- плоская лопатка;
- нож с прямым лезвием;
| | ИС МЕГАНОРМ: примечание. Взамен ГОСТ 24104-88 Постановлением Госстандарта РФ от 26.10.2001 N 439-ст с 1 июля 2002 года введен в действие ГОСТ 24104-2001. | |
| | ИС МЕГАНОРМ: примечание. Взамен ГОСТ 7328-82 Постановлением Госстандарта РФ от 26.10.2001 N 438-ст с 1 июля 2002 года введен в действие ГОСТ 7328-2001. | |
- лабораторные весы по ГОСТ 24104 с гирями по ГОСТ 7328.
5.1.2. Размеры режущего кольца выбирают в зависимости от метода испытаний и применяемого оборудования.
5.1.3. Режущее кольцо перед употреблением должно быть проверено: при помещении кольца торцами на гладкую пластинку не должно быть видимых зазоров между краем кольца и пластинкой.
5.1.4. Образец грунта изготавливают в следующем порядке:
- режущее кольцо смазывают с внутренней стороны тонким слоем вазелина или консистентной смазки;
- кольцо ставят режущим краем на выровненную и зачищенную горизонтальную поверхность монолита грунта и винтовым прессом или вручную через насадку слегка вдавливают в грунт, обозначая границу образца для испытаний;
- грунт снаружи кольца обрезают на глубину 5 - 10 мм ниже режущего края кольца, формируя столбик диаметром на 1 - 2 мм больше наружного диаметра кольца. Периодически, по мере срезания грунта, легким нажимом надвигают кольцо на столбик грунта, не допуская перекоса, до полного заполнения кольца. Образование зазоров между грунтом и рабочим кольцом не допускается. В грунт (сыпучий или пластичный), из которого не удается вырезать столбик, кольцо вдавливают и удаляют грунт вокруг кольца;
- верхний торец образца зачищают ножом вровень с краем кольца и накрывают пластинкой;
- подрезают столбик грунта на 10 мм ниже режущего края кольца и отделяют его. При вдавливании кольца подхватывают его снизу плоской лопаткой;
- переворачивают кольцо, зачищают другой торец образца вровень с краем кольца и также накрывают пластинкой.
5.1.5. При необходимости образец извлекают из кольца с помощью выталкивателя, измеряют диаметр образца в трех поперечных сечениях и высоту не менее чем по трем образующим.
За начальную высоту и диаметр образца принимают их средние арифметические значения.
Образец взвешивают.
5.1.6. При изготовлении образцов мерзлого грунта ненарушенного сложения предварительно выпиливают из монолита заготовки в виде призм, размеры основания и высота которых должны превышать требуемые размеры образцов. Нарезанные заготовки подбирают в группы с идентичной криогенной текстурой.
Все операции по изготовлению образцов мерзлого грунта необходимо проводить в утепленных перчатках.
5.1.7. Подготовленные образцы мерзлого грунта герметизируют (например, полиэтиленовой пленкой) и помещают в эксикатор, находящийся в помещении с отрицательной температурой воздуха. Дно эксикатора должно быть покрыто льдом или снегом.
Образцы мерзлого грунта допускается хранить не более 10 сут.
5.1.8. Непосредственно перед испытанием образцы мерзлого грунта выдерживают не менее 12 ч в установке для испытаний при температуре испытания.
5.2. Изготовление образцов полускального грунта
Образцы полускального грунта изготавливают в форме круглых цилиндров или прямоугольных параллелепипедов в соответствии с
Приложением Б.
5.3. Изготовление образцов дисперсного грунта нарушенного сложения с заданными значениями плотности и влажности
Образцы дисперсного грунта нарушенного сложения с заданными значениями плотности и влажности сухого грунта изготавливают в рабочих кольцах или разъемных формах в соответствии с
Приложением В.
5.4. Среднюю пробу грунта для определения физических характеристик (кроме влажности), не требующих образцов ненарушенного сложения, отбирают методом квартования.
При квартовании конус грунта разравнивают и делят взаимно перпендикулярными линиями, проходящими через центр, на четыре части. Две любые противоположные четверти берут в пробу. Последовательным квартованием сокращают пробу в два, четыре раза и т.д. до получения пробы соответствующей массы.
Из пробы могут быть отобраны навески грунта в соответствии с методикой испытания.
6. ТРЕБОВАНИЯ К УСТАНОВКАМ ДЛЯ ПРОВЕДЕНИЯ ИСПЫТАНИЙ,
ПРИБОРАМ И ОБОРУДОВАНИЮ
6.1. Установки для проведения испытаний должны размещаться на жестком горизонтальном основании, исключающем ударные и вибрационные воздействия на приборы и образцы грунта.
6.2. Механизмы для нагружения образца грунта (рычажные, гидравлические, пневматические, электромеханические и др.) должны обеспечивать:
- центрированную (соосную) передачу нормальной нагрузки на образец грунта и ее вертикальность;
- приложение касательной нагрузки в строго фиксированной плоскости среза;
- возможность нагружения образца грунта ступенями или непрерывно при заданной постоянной скорости деформирования образца;
- постоянство давления на каждой ступени нагружения.
6.3. Устройства для измерения деформаций образца грунта в процессе испытания (приборы для автоматической записи деформаций, индикаторы часового типа и т.п.) должны обеспечивать погрешности измерений не более указанных в
4.7.
6.4. Приборы для испытания грунтов необходимо тарировать не реже одного раза в год для учета их собственных деформаций при определении деформаций образца грунта.
6.5. Измерительные приборы должны периодически подвергаться метрологическим поверкам и иметь ведомость поправок в пределах рабочего диапазона каждого прибора.
6.6. Части установок и приборы, соприкасающиеся с водой и грунтом, должны быть изготовлены из коррозионно-стойких материалов.
(рекомендуемое)
ЛАБОРАТОРНЫХ ИСПЫТАНИЙ ГРУНТОВ
Таблица А.1
───────────────────────────┬─────────────────┬────────────────────
Характеристика грунта │Метод определения│Область применения
│ │ метода
──────┬────────────────────┼─────────────────┼────────────────────
Влаж- │Влажность, в т.ч. │Высушивание до │Все грунты
ность │гигроскопическая │постоянной массы │
├────────────────────┼─────────────────┼────────────────────
│Суммарная влажность │Средней пробой │Мерзлые грунты со
│ │ │слоистой и сетчатой
│ │ │криогенной
│ │ │текстурой
├────────────────────┼─────────────────┼────────────────────
│Влажность текучести │Пенетрация │Глинистые грунты
│границы │конусом │
├────────────────────┼─────────────────┼────────────────────
│Влажность границы │Раскатывание │Глинистые грунты
│раскатывания │в жгут │
│ ├─────────────────┼────────────────────
│ │Прессование │Глинистые грунты
──────┼────────────────────┼─────────────────┼────────────────────
Плот- │Плотность грунта │Режущим кольцом │Грунты, легко под-
ность │ │ │дающиеся вырезке
│ │ │или не сохраняющие
│ │ │свою форму без
│ │ │кольца, сыпучемерз-
│ │ │лые и с массивной
│ │ │криогенной текстурой
│ ├─────────────────┼────────────────────
│ │Взвешивание в │Глинистые немерзлые
│ │воде парафиниро- │грунты, склонные к
│ │ванных образцов │крошению или трудно
│ │ │поддающиеся вырезке
│ ├─────────────────┼────────────────────
│ │Взвешивание │Мерзлые грунты
│ │в нейтральной │
│ │жидкости │
├────────────────────┼─────────────────┼────────────────────
│Плотность сухого │Расчетный │Все грунты
│грунта │ │
├────────────────────┼─────────────────┼────────────────────
│Плотность частиц │Пикнометрический │Все грунты,
│грунта │с водой │кроме засоленных
│ │ │и набухающих
│ ├─────────────────┼────────────────────
│ │Пикнометрический │Засоленные
│ │с нейтральной │и набухающие грунты
│ │жидкостью │
│ ├─────────────────┼────────────────────
│ │Двумя │Засоленные грунты
│ │пикнометрами │
──────┼────────────────────┼─────────────────┼────────────────────
Состав│Гранулометрический │Ситовой без │Пески
│(зерновой) состав │промывки водой │с крупностью зерен
│ │ │от 10 до 0,5 мм
│ ├─────────────────┼────────────────────
│ │Ситовой │Пески
│ │с промывкой водой│с крупностью зерен
│ │ │от 10 до 0,1 мм
│ ├─────────────────┼────────────────────
│ │Ареометрический │Глинистые грунты
├────────────────────┼─────────────────┼────────────────────
│Гранулометрический │ПипеточныЙ │Глинистые грунты
│(зерновой) и микро- │ │
│агрегатный состав │ │
├────────────────────┼─────────────────┼────────────────────
│Содержание расти- │Выделение │Пески и глинистые
│тельных остатков │сухим или мокрым │грунты
│ │способом │
├────────────────────┼─────────────────┼────────────────────
│Содержание гумуса │Оксидометричес- │Пески и глинистые
│ │кий после удале- │грунты, содержащие
│ │ния хлоридов │менее 10% гумуса
│ ├─────────────────┼────────────────────
│ │Сухое сжигание, │Пески и глинистые
│ │после удаления │грунты, содержащие
│ │карбонатов │более 10% гумуса
──────┼────────────────────┼─────────────────┼────────────────────
- │Коэффициент │При постоянном │Пески и глинистые
│фильтрации │градиенте напора │грунты
──────┼────────────────────┼─────────────────┼────────────────────
Дефор-│Модуль деформации. │Дренированное │Все дисперсные
мируе-│Коэффициент │испытание при │грунты
мость │поперечной │трехосном сжатии │
не- │деформации │ │
мерз- ├────────────────────┼─────────────────┼────────────────────
лых │Коэффициент │Компрессионное │Пески мелкие и пыле-
грун- │сжимаемости │сжатие │ватые; глинистые
тов │Модуль деформации │ │грунты с I > 0,25;
│ │ │ L
│ │ │органоминеральные
│ │ │и органические
│ │ │грунты
├────────────────────┤ ├────────────────────
│Коэффициент фильтра-│ │Глинистые, органо-
│ционной и вторичной │ │минеральные и
│консолидации │ │органические грунты
├────────────────────┤ ├────────────────────
│Структурная │ │Глинистые и органо-
│прочность │ │минеральные грунты
├────────────────────┼─────────────────┼────────────────────
│Относительная │Компрессионное │Глинистые грунты
│просадочность при │сжатие по схеме │и пески пылеватые
│заданном давлении │"одной кривой" │(просадочные
├────────────────────┼─────────────────┤разности)
│Относительная │Компрессионное │
│просадочность при │сжатие по схеме │
│различных давлениях │"двух кривых" │
│и начальное проса- │ │
│дочное давление │ │
├────────────────────┼─────────────────┼────────────────────
│Относительное │Компрессионное │Глинистые
│набухание при │сжатие │набухающие грунты
│различных давлениях │ │
│и давление набухания│ │
├────────────────────┼─────────────────┤
│Относительная усадка│При свободной │
│(по высоте, │трехосной │
│диаметру, объему) │деформации │
├────────────────────┼─────────────────┼────────────────────
│Относительное суффо-│Компрессионное │Засоленные
│зионное сжатие при │сжатие по схеме │(содержащие легко-
│заданном давлении │"одной кривой" │и среднерастворимые
├────────────────────┼─────────────────┤соли) пески (кроме
│Относительное суффо-│Компрессионное │гравелистых),
│зионное сжатие при │сжатие по схеме │супеси и суглинки
│различных давлениях │"трех кривых" │
│и начальное давление│ │
│суффозионного сжатия│ │
──────┼────────────────────┼─────────────────┼────────────────────
Проч- │Предел прочности на │Одноосное сжатие │Полускальные грунты
ность │одноосное сжатие │ │и глинистые
не- │Сопротивление │ │водонасыщенные
мерз- │недренированному │ │грунты, сохраняющие
лых │сдвигу │ │форму без кольца
грун- ├────────────────────┼─────────────────┼────────────────────
тов │Угол внутреннего │Неконсолидиро- │Глинистые, органо-
│трения │ванно-недрениро- │минеральные и орга-
│Удельное сцепление │ванное испытание │нические грунты в
│Сопротивление │при трехосном │нестабилизированном
│недренированному │сжатии │состоянии
│сдвигу ├─────────────────┤
│ │Консолидированно-│
│ │недренированное │
│ │испытание при │
│ │трехосном сжатии │
│ ├─────────────────┼────────────────────
│ │Консолидированно-│Все дисперсные
│ │дренированное │грунты
│ │испытание при │
│ │трехосном сжатии │
├────────────────────┼─────────────────┼────────────────────
│Сопротивление срезу │Одноплоскостной │Пески (кроме граве-
│Угол внутреннего │срез │листых и крупных),
│трения │ │глинистые и органо-
│Удельное сцепление │ │минеральные грунты
├────────────────────┼─────────────────┼────────────────────
│Коэффициент │Компрессионное │Глинистые пластич-
│сжимаемости │сжатие │но-мерзлые грунты
──────┼────────────────────┼─────────────────┼────────────────────
Проч- │Коэффициент │Компрессионное │Пески
ность │оттаивания │сжатие │(кроме гравелистых
и │Коэффициент сжимае- │ │и крупных),
дефор-│мости при оттаивании│ │глинистые грунты
мируе-├────────────────────┼─────────────────┤
мость │Предел прочности на │Одноосное сжатие │
мерз- │одноосное сжатие │ │
лых │Модуль линейной │ │
грун- │деформации │ │
тов │Коэффициент попереч-│ │
│ного расширения │ │
│Коэффициент нелиней-│ │
│ной деформации │ │
│Коэффициент вязкости│ │
│для сильнольдистых │ │
│грунтов │ │
├────────────────────┼─────────────────┼────────────────────
│Предельно длительное│Испытание │Пески мелкие
│значение эквивалент-│шариковым штампом│и пылеватые,
│ного сцепления │ │глинистые грунты
├────────────────────┼─────────────────┼────────────────────
│Сопротивление срезу │Одноплоскостной │Пески (кроме граве-
│по поверхности │срез │листых и крупных),
│смерзания │ │глинистые грунты
──────┴────────────────────┴─────────────────┴────────────────────
Примечание. Методы определения прочности и деформируемости
мерзлых грунтов не распространяются на заторфованные, засоленные
и сыпучемерзлые грунты.
──────────────────────────────────────────────────────────────────
(рекомендуемое)
ИЗГОТОВЛЕНИЯ ОБРАЗЦОВ ПОЛУСКАЛЬНОГО ГРУНТА
1. Для изготовления образцов для испытаний полускального грунта применяют следующие оборудование и материалы:
- токарный станок с высотой центров не менее 200 мм;
- сверлильный станок с набором коронарных сверл;
- шлифовальный станок;
- машина камнерезная по ГОСТ 10110;
- дисковая пила;
- угольник поверочный 90° типа УП по
ГОСТ 3749;
- лекальная линейка;
| | ИС МЕГАНОРМ: примечание. Взамен ГОСТ 24104-88 Постановлением Госстандарта РФ от 26.10.2001 N 439-ст с 1 июля 2002 года введен в действие ГОСТ 24104-2001. | |
| | ИС МЕГАНОРМ: примечание. Взамен ГОСТ 7328-82 Постановлением Госстандарта РФ от 26.10.2001 N 438-ст с 1 июля 2002 года введен в действие ГОСТ 7328-2001. | |
- весы лабораторные по ГОСТ 24104 с гирями по ГОСТ 7328;
- сосуд для насыщения образцов грунта водой.
2. Образцы грунта изготавливают в форме круглых цилиндров или прямоугольных параллелепипедов и отшлифовывают их торцевые поверхности.
3. Проверяют параллельность торцевых поверхностей и их перпендикулярность боковой поверхности.
Параллельность торцевых поверхностей контролируют металлической линейкой или индикатором по двум взаимно перпендикулярным диаметрам (или сторонам параллелепипеда). Отклонение допускается не более 0,1 мм по длине диаметра.
Отклонение от перпендикулярности торцевых поверхностей к боковой поверхности образца контролируют угольником в четырех точках каждой торцевой поверхности, смещенных относительно друг друга на 90°. В этих же точках измеряют диаметр (или стороны торцевой грани) и высоту образца. Отклонения при каждом измерении не должны превышать 1,0 мм по длине диаметра (или стороне торцевой грани) и высоте образца.
Длина взаимно перпендикулярных диаметров (или размеров сторон) поперечных сечений, измеряемых штангенциркулем в верхней, средней и нижней частях образца, не должна отличаться более чем на 1,0 мм.
4. Образец грунта, предназначенный для испытания в воздушно-сухом состоянии, высушивают на воздухе до тех пор, пока разница в его массе будет не более (0,5 +/- 0,1) г в сутки.
5. Подготовку образцов, предназначенных для испытаний в водонасыщенном состоянии, производят следующим образом: образцы помещают в сосуд с дистиллированной водой, погружая их в воду на 1/3 высоты. Через 6 ч уровень воды в сосуде поднимают до верха образцов (не заливая их сверху) и оставляют образцы в таком положении до полного насыщения водой. Насыщение условно считают законченным, когда приращение массы образца в сутки будет менее 1 - 2 г. Перед взвешиванием торцевые грани образца обтирают влажной выжатой марлей.
(рекомендуемое)
ИЗГОТОВЛЕНИЯ ОБРАЗЦОВ ГРУНТА
С ЗАДАННЫМИ ЗНАЧЕНИЯМИ ВЛАЖНОСТИ
И ПЛОТНОСТИ СУХОГО ГРУНТА
1. Для подготовки образца грунта нарушенного сложения с заданными значениями влажности и плотности сухого грунта необходимо грунт просушить, растереть пестиком с резиновым наконечником до исчезновения комков, просеять через сито с отверстиями 2 мм и определить влажность по
ГОСТ 5180.
Для получения заданного значения влажности в грунт необходимо добавить расчетное количество воды

, см3, определяемое по формуле

(В.1)
где

- масса исследуемого грунта при влажности W, г;

и W - соответственно заданная и исходная влажности грунта, д.е.;

- плотность воды, равная 1 г/см3.
После увлажнения грунт следует тщательно перемешать и поместить в эксикатор (для равномерного распределения влаги) не менее чем на 2 ч с последующим контрольным определением влажности.
2. Уплотнение подготовленного в соответствии с
пунктом 1 грунта до заданной плотности сухого грунта

следует производить в рабочих кольцах прибора, применяя один из следующих методов: послойное трамбование; обжатие под прессом; уплотнение в приборе стандартного уплотнения падающим грузом.
Для подготовки образца, не сохраняющего форму, рабочее кольцо должно быть с жестким дном.
При уплотнении послойным трамбованием или обжатием под прессом следует предварительно рассчитать массу грунта, которая в объеме рабочего кольца обеспечит заданную плотность сухого грунта

, по формуле

(В.2)
где

- внутренний объем рабочего кольца, см3.
При использовании прибора стандартного уплотнения для получения

необходимо предварительно определить последовательным приближением высоту сбрасывания груза и число ударов.
3. Подготовку образцов насыпного грунта с заданными значениями влажности и плотности сухого грунта следует осуществлять по
пункту 1, просеивая грунт через сито с отверстиями 10 мм.
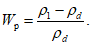
Для получения заданного значения влажности (оптимальной

или имеющейся в источнике получения

) в грунт необходимо добавить количество воды

, определенное по
формуле (В.1).
Уплотнение подготовленного грунта до заданной плотности сухого грунта

следует производить в рабочем кольце прибора обжатием под прессом в соответствии с
пунктом 2.
Заданная плотность сухого грунта, соответствующая

или

, определяется по кривой стандартного уплотнения данного грунта, построенной по
ГОСТ 22733. Влажности

соответствует максимальная плотность сухого грунта

; влажности

>

соответствует плотность сухого грунта на правой ветви кривой стандартного уплотнения.
При отсутствии приборов стандартного уплотнения максимальную плотность сухого грунта

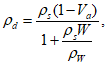
, г/см3 (при данной влажности), можно ориентировочно определить по формуле

(В.3)
где

- плотность частиц, г/см3;

- содержание воздуха в грунте максимальной плотности, д.е.;
W - фактическая (заданная) влажность грунта, д.е.
Ориентировочные значения

составляют:
0,065 - для песков и супесей с

< 4;
0,035 - для супесей с

> 4;
для суглинков с

< 12;
0,045 - для суглинков с

> 12.
4. Расчетное количество воды

, см3, необходимое для повышения влажности образцов просадочного грунта ненарушенного сложения с природной влажностью W <

до значения

, определяют по формуле

(В.4)
После впитывания воды образец в рабочем кольце необходимо поместить на 1 сут в эксикатор, затем взвесить, определить плотность грунта

и уточнить полученное значение влажности по формуле

(В.5)