Главная // Актуальные документы // МетодикаСПРАВКА
Источник публикации
М., 2018
Примечание к документу
Название документа
"Методическое пособие. Уточнение исходной сейсмичности и сейсмическое микрорайонирование участков транспортных сооружений"
"Методическое пособие. Уточнение исходной сейсмичности и сейсмическое микрорайонирование участков транспортных сооружений"
МИНИСТЕРСТВО СТРОИТЕЛЬСТВА И ЖИЛИЩНО-КОММУНАЛЬНОГО
ХОЗЯЙСТВА РОССИЙСКОЙ ФЕДЕРАЦИИ
ФЕДЕРАЛЬНОЕ АВТОНОМНОЕ УЧРЕЖДЕНИЕ
"ФЕДЕРАЛЬНЫЙ ЦЕНТР НОРМИРОВАНИЯ, СТАНДАРТИЗАЦИИ
И ОЦЕНКИ СООТВЕТСТВИЯ В СТРОИТЕЛЬСТВЕ"
МЕТОДИЧЕСКОЕ ПОСОБИЕ
УТОЧНЕНИЕ ИСХОДНОЙ СЕЙСМИЧНОСТИ И СЕЙСМИЧЕСКОЕ
МИКРОРАЙОНИРОВАНИЕ УЧАСТКОВ ТРАНСПОРТНЫХ СООРУЖЕНИЙ
Настоящее Пособие разработано Обществом с ограниченной ответственностью "Инженерный центр "Проектирование, обследование, испытание строительных конструкций" (ООО "ИЦ "ПОИСК") в развитие
СП 269.1325800.2016 "Транспортные сооружения в сейсмических районах. Правила уточнения исходной сейсмичности и сейсмического микрорайонирования".
В Пособии приводятся материалы, в методическом отношении конкретизирующие общие требования норм, например требования о необходимости учета влияния инженерно-геологических условий и рельефа местности на интенсивность колебаний грунта, обязательности проверки склонов на сейсмоустойчивость и др.
Пособие содержит оценки погрешностей определения сейсмической опасности территории России по картам общего сейсмического районирования и сейсмичности строительных площадок по данным общих инженерно-геологических изысканий (по
табл. 1 СП 14.13330.2014). С учетом данных вероятностного анализа сейсмической опасности и сейсморазведки обоснованы методики уточнения исходной сейсмичности (УИС) и сейсмического микрорайонирования (СМР).
Преобразование исходной инженерно-геологической, геоморфологической, сейсмотектонической и сейсмологической информации с выходом на расчетные параметры колебаний грунта выполняется с использованием корреляционных уравнений инженерной сейсмологии (уравнений макросейсмического поля, модифицированного метода сейсмических жесткостей, сейсмического режима местности, скоростей поперечных волн в инженерно-геологическом разрезе стройплощадки и др.), установленных на основании анализа опытных макросейсмических и инструментальных данных.
Порядок выполнения включенных в
СП 269.1325800 правил поясняется примерами УИС и СМР участков строительства ряда транспортных сооружений, в том числе железной и автомобильной дорог в Якутии, мостовых переходов через морские проливы Босфор Восточный и Керченский, лавинозащитной галереи в Восточной Сибири, эстакады, виадука и моста на Черноморском побережье Кавказа и ряда других объектов.
Кроме комментариев к пунктам
СП 269.1325800.2016 и включенных в приложения примеров УИС и СМР, Пособие содержит библиографию, позволяющую пользователям обращаться к первоисточникам информации. Помимо библиографии данного документа рекомендуется также использовать библиографию Пособия по проектированию мостов в сейсмических районах к
СП 268.1325800.2016, содержащую дополнительные публикации по инженерной сейсмологии.
Для удобства использования в Пособии приведен текст
разделов 4,
5 и
6 СП 269.1325800 и справочных приложений к нему. Эти материалы помещены в рамки с указанием внутри рамок нумерации пунктов, формул, таблиц и рисунков
СП 269.1325800. После заключенного в рамки текста пункта
СП 269.1325800 следует комментарий к нему. Пункты, изложенные с достаточной подробностью, приводятся без комментариев. В необходимых случаях нумерация пунктов, формул, таблиц и рисунков
СП 269.1325800 приведена к нумерации Пособия.
Пособие разработано по договору д.г.-м.н., проф. Г.С. Шестоперовым на основе многолетних исследований по разработке методов УИС и СМР, организации и выполнения этих работ при изысканиях транспортных сооружений. В составлении Пособия принимал участие инж. С.Г. Шестоперов.
При составлении Пособия учтены фундаментальные работы по общему сейсмическому районированию и сейсмическому микрорайонированию С.В. Медведева, Ю.В. Ризниченко, В.П. Солоненко, Н.В. Шебалина.
УИС и СМР участков строительства транспортных объектов выполнялись с привлечением или использованием результатов исследований многих организаций, в том числе ИФЗ РАН (д.ф.-м.н., проф. В.И. Уломов, д.г.-м.н., проф. Е.А. Рогожин), центра "Наука" СО РАН (к.т.н. С.А. Перетокин), ОАО "Фундаментпроект" (инж. К.А. Костенко, инж. А.В. Хилько), ИЗК СО РАН (д.г.-м.н. В.И. Джурик), МГСУ (к.т.н. Е.А. Корчагин).
Настоящее Пособие предназначено для использования при проведении работ по уточнению исходной сейсмичности (УИС) и сейсмическому микрорайонированию (СМР) участков нового строительства, реконструкции, капитального ремонта и восстановления транспортных объектов на железных, автомобильных и городских дорогах, включая транспортные здания, в сейсмических районах.
Настоящее Пособие не распространяется на УИС и СМР территорий городов и других населенных пунктов, промышленных, энергетических, напорных гидротехнических и сельскохозяйственных сооружений, а также на сооружения высокоскоростного железнодорожного транспорта.
Примечания
1 Исходная сейсмичность определяется в баллах шкалы MSK-64 по картам общего сейсмического районирования Российской Федерации (
приложение А СП 14.13330.2014).
2 Рекомендации настоящего Пособия поясняют на примерах из практики изысканий транспортных сооружений основные требования к уточнению исходной сейсмичности и сейсмическому микрорайонированию, изложенные в
СП 269.1325800.
3 Исходные данные о сейсмотектонической обстановке, инженерно-геологических и геоморфологических условиях, а также о конструкциях сооружений представлены в примерах Пособия в упрощенном виде.
4 Сведения о картах общего сейсмического районирования Российской Федерации и сейсмических шкалах приводятся в
приложениях А,
Б к настоящему Пособию.
В настоящем Пособии использованы нормативные ссылки на следующие документы:
| | ИС МЕГАНОРМ: примечание. В официальном тексте документа, видимо, допущена опечатка: стандарт "Грунты. Классификация" имеет номер ГОСТ 25100-2011, а не ГОСТ 25100-2012. | |
ГОСТ 27751-2014 "Надежность строительных конструкций и оснований. Основные положения";
СП 14.13330.2014 "СНиП II-7-81* Строительство в сейсмических районах" (с изменением N 1)";
СП 47.13330.2012 "СНиП II-02-96 Инженерные изыскания для строительства. Основные положения";
СП 269.1325800.2016 "Транспортные сооружения в сейсмических районах. Правила уточнения исходной сейсмичности и сейсмического микрорайонирования";
СП 270.1325800.2016 "Транспортные сооружения в сейсмических районах. Правила оценки повреждений дорог при землетрясениях в отдаленных и труднодоступных районах";
СП 283.1325800.2016 "Объекты строительные повышенной ответственности. Правила сейсмического микрорайонирования".
В настоящем Пособии используются термины, значения которых определены в
ГОСТ 25100,
ГОСТ 27751,
СП 22.13330,
СП 24.13330,
СП 34.13330,
СП 35.13330,
СП 47.13330,
СП 119.13330,
СП 268.1325800,
СП 269.1325800,
СП 270.1325800, а также приведены пояснения к отдельным терминам
СП 269.1325800:
активный разлом: относительные смещения горных пород (крыльев активного разлома) происходят во времени в виде быстрого (практически мгновенного) разрыва или медленного движения (тектонического крипа). Скорость крипа наиболее активных разломов может достигать 3 см в год, вызывая тяжелые повреждения пересекаемых разломом сооружений, в том числе дорог, мостов и тоннелей.
Медленное относительное скольжение крыльев разлома на земной поверхности не означает, что напряжения не накапливаются в более глубоких горизонтах земной коры. Поэтому разломы с установленной тектонической ползучестью (крипом) нельзя считать сейсмически неактивными;
амплитуда разрыва: по измерениям на земной поверхности амплитуда тектонического разрыва при землетрясениях с очагом в земной коре и магнитудой M >= 8,0 может достигать 10 м.
Борьба с сейсмотектоническими разрывами в транспортном строительстве сводится к удалению мест расположения больших и внеклассных мостов и тоннелей от активных разломов. В случае прогнозирования ограниченных тектонических подвижек рекомендуется применение конструктивных антисейсмических мероприятий (уширение подферменных площадок опор, объединение разрезных пролетных строений в цепочку связями, предотвращающими обрушение конструкций при сдвиге опор из проектного положения, увеличение размеров отверстия тоннеля в местах пересечения с активным разломом и др.);
амплитудные характеристики сейсмического воздействия: амплитудные характеристики сейсмического воздействия (расчетные амплитуды ускорений, скоростей и перемещений грунта) принимаются равными средним значениям представительных выборок пиковых ординат акселерограмм, велосиграмм и сейсмограмм при землетрясениях расчетной интенсивности. Расчетные амплитуды колебаний регламентируются нормативными документами;
балл шкалы MSK-64: Шкала MSK-64 содержит макросейсмическую (описательную) и инструментальную части. Опасность (сила) землетрясений в целых баллах макросейсмической части сейсмической шкалы определяется в зависимости от возможного социального, экономического и экологического ущерба, причиняемого тектоническими землетрясениями. При использовании инструментальной части сейсмической шкалы в качестве меры опасности землетрясений принимается интенсивность колебаний грунта.
При обследовании территории после землетрясения оценки балльности по макросейсмической и инструментальной частям сейсмической шкалы могут значительно отличаться одна от другой. В связи с этим для уточнения сейсмической опасности в проектах станций технического мониторинга на транспортных объектах в сейсмических районах рекомендуется предусматривать устройство пунктов инструментального сейсмического мониторинга. Данные мониторинга используются при проектировании новых объектов, капитальном ремонте, реконструкции, восстановлении ранее построенных сооружений, а также для обеспечения безопасности движения транспорта в сейсмических районах;
гипоцентр землетрясения: гипоцентры землетрясений располагаются на глубинах от нескольких километров до примерно 700 км. Более 75% сейсмической энергии выделяется при землетрясениях с очагами на глубине меньше 60 км. Эти толчки называются мелкофокусными или нормальными. Землетрясения с очагами на глубине более 60 км относятся к глубокофокусным (глубоким). Такие землетрясения происходят в зонах субдукции (погружения) океанических литосферных плит под островные дуги (Курильские о-ва и др.) и окраины континентов (Камчатка и др.), а также в местах столкновения континентов (Гималаи и др.). В отдельных случаях глубокие землетрясения вызывают гибель людей и разрушение построек;
зона дробления: наиболее опасная при землетрясениях зона, в которой сочетаются разрывы породы с колебаниями грунта самой высокой интенсивности. В зоне дробления скальные породы разбиты микротрещинами до состояния разборного массива, переходящего в глину (глинку трения). Грунт в зоне дробления может быть насыщен водой под большим давлением, что создает дополнительные трудности при проходке тоннелей глубокого заложения. Выявление зон дробления, их расположения и размера входит в состав изысканий транспортных сооружений в сейсмических районах;
исходная (нормативная) сейсмичность: указанная на картах общего сейсмического районирования исходная сейсмичность является первым приближением расчетной интенсивности колебаний грунта, соответствующей установленному для проектируемого объекта сейсмическому риску. Исходная сейсмичность может быть существенно уточнена в дробных баллах интенсивности колебаний грунта по данным УИС и СМР за счет учета сейсмического режима района строительства, а также местных инженерно-геологических и геоморфологических условий;
категория грунта по сейсмическим свойствам: при расчете транспортных сооружений спектрально-модальным методом сейсмическая нагрузка от масс определяется с учетом коэффициента динамичности, который находят в зависимости от категории грунта по сейсмическим свойствам. Коэффициент динамичности может быть также найден по записям колебаний грунта в пунктах наблюдений, расположенных на близких по инженерно-геологическому строению участках местности;
магнитуда: в сейсмологии используют три вида магнитуды (рихтеровскую или локальную ML), магнитуду по объемным продольным волнам me и магнитуду по поверхностным волнам MS. Магнитуда по Ч. Рихтеру равна десятичному логарифму наибольшей амплитуды сейсмической волны (в микронах), записанной стандартным сейсмографом на расстоянии 100 км от эпицентра землетрясения. Повышению магнитуды ML на единицу соответствует увеличение энергии, выделившейся в виде сейсмических волн, в 30 раз. Наиболее мощные из инструментально записанных землетрясений имели магнитуду ML около 9,0;
общее сейсмическое районирование: колебания земной поверхности на участках, сложенных средними по сейсмическим свойствам грунтами с периодом повторяемости 500 лет, 1000 лет и 5000 лет или другим установленным при проектировании периодом повторяемости определяются с использованием модели потенциальных источников колебаний (ЛДФ модели). ЛДФ модель включает протяженные источники (активные разломы) с возможными магнитудами излучения сейсмических волн M >= 6,0, объемные источники (домены) с рассеянными очагами землетрясений с магнитудами M <= 5,5 и потенциальные очаги наиболее сильных землетрясений с магнитудой M >= 7,0;
очаг землетрясения: при значительной магнитуде и малой глубине гипоцентра очаг землетрясения может выйти на земную поверхность, вызывая разрывные нарушения покровных отложений, колебания грунта максимальной интенсивности и сейсмогравитационные деформации склонов и откосов. Сейсмотектонические дислокации сохраняются на земной поверхности в течение нескольких тысяч лет, являясь индикатором сейсмической активности района. Критерий выхода очага землетрясения на земную поверхность, а также оценки амплитуды и протяженности разрыва приводятся в
СП 270.1325800;
сейсмическая жесткость грунта: различают три вида сейсмической жесткости грунта (сейсмическая жесткость слоя, пачки слоев и микрозоны).
Сейсмическая жесткость слоя - произведение плотности грунта на скорость распространения в слое сейсмических волн.
Сейсмическая жесткость пачки слоев - вероятностная (статистическая) характеристика расчетной толщи грунта, состоящей из нескольких слоев с субпараллельными границами, сложенных грунтами с различными сейсмическими свойствами.
Сейсмическая жесткость грунта микрозоны - арифметическое среднее сейсмических жесткостей пачек слоев расчетной толщи грунта микрозоны в вертикальных сечениях толщи по длине микрозоны;
сейсмические волны: внутри Земли распространяются объемные волны сжатия-растяжения (продольные P-волны) и сдвига-кручения (поперечные S-волны). В горных породах P-волны распространяются с более высокой скоростью, чем S-волны. Характерные значения скоростей P-волн и S-волн в наиболее прочных скальных породах вблизи земной поверхности составляют 5,5 км/с и 3,0 км/с соответственно. В отличие от P-волн S-волны в жидкостях и газах не распространяются.
Вблизи земной поверхности объемные волны порождают волны, бегущие вдоль земной поверхности (L-волны Лява и R-волны Рэлея).
В волнах Лява частицы грунта смещаются в горизонтальной плоскости под прямым углом к направлению распространения волны. Эти волны можно рассматривать как сумму поляризованных в горизонтальной плоскости поперечных S-волн вблизи земной поверхности.
В волнах Рэлея частицы грунта колеблются в вертикальной плоскости по эллиптической траектории. Эллипс вытянут по направлению распространения волны, т.е. горизонтальная составляющая колебаний превышает вертикальную компоненту. Скорость R-волн приближенно составляет 0,9 от скорости S-волн;
средние по сейсмическим свойствам грунты: к средним по сейсмическим свойствам грунтам относятся песчано-глинистые и крупнообломочные отложения, сейсмическая жесткость которых удовлетворяет условию

. Приращение сейсмичности площадок, сложенных такими грунтами, по отношению к эталонному среднему грунту

, составляет +/- 0,1 балла, что можно не учитывать при оценке приращения сейсмичности площадок за счет грунтовых условий;
эпицентр: различают инструментальный и макросейсмический эпицентры. Инструментальный эпицентр - точка на земной поверхности, расположенная над гипоцентром. Наибольшие разрушения при землетрясении могут произойти на удалении от инструментального эпицентра, например в местах выхода на земную поверхность тектонического разрыва или в местах отложения слабых грунтов. Область наиболее значительных разрушений называется плейстосейстовой областью, а ее центр - макросейсмическим эпицентром.
4.1 Работы по УИС и СМР на участках, предназначенных для строительства транспортных сооружений, выполняются в целях уточнения опасности землетрясений на основании данных об активных разломах, сейсмическом режиме в пункте строительства, сейсмических свойствах изучаемой толщи грунта и геоморфологических условиях участка строительства. |
К
п. 4.1. Сведения о методах общего сейсмического районирования (ОСР) территории Российской Федерации с оценкой погрешностей оценок сейсмической опасности по картам ОСР для ровных участков местности, сложенных средними по сейсмическим свойствам грунтами, приводятся в
приложении А.
4.2 Задачи УИС и СМР заключаются в количественной оценке сейсмического воздействия, а именно: выявлении амплитудных и спектральных характеристик сейсмического воздействия на сооружение при землетрясении расчетной силы. |
К
п. 4.2. При изысканиях и проектировании транспортных сооружений сила землетрясения определяется в зависимости от предельно допустимого сейсмического риска для данного объекта с учетом поправок балльности на сейсмический режим района строительства, местные инженерно-геологические условия и рельеф участка сооружения.
Приращения сейсмичности, учитывающие особенности сейсмического режима местности, отклонение сейсмических свойств расчетной толщи грунта от средних значений и приращение сейсмичности за счет неровностей земной поверхности находят согласно правилам
разделов 5 и
6.
Расчетные параметры горизонтальных колебаний грунта (математические ожидания максимальных перемещений, скоростей, ускорений) при силе толчков от 7 до 10 баллов шкалы MSK-64 включены в
приложение Б.
Спектральная характеристика сейсмического воздействия на сооружение (коэффициент динамичности) при колебаниях объекта по рассматриваемой собственной форме определяется согласно
п. 6.45 в зависимости от периода этой формы колебаний и категории расчетной толщи грунта строительной площадки.
4.3 При выполнении инженерно-сейсмологических исследований проводятся следующие виды работ: - изучение материалов ранее выполненных исследований по инженерной сейсмологии, сейсмотектонике и сейсмичности района, а также данных общих инженерно-геологических изысканий и аэрокосмического зондирования участка строительства; - визуальные сейсмотектонические и макросейсмические обследования на участке строительства и прилегающей территории; - геологические, геодезические, геофизические и геохимические работы; - сейсмический мониторинг с помощью сети временных сейсмостанций; - комплексный анализ всей совокупности полученных данных, оформленный в виде сводного отчета, содержащего значение уточненной сейсмичности района строительства, карту (схему) сейсмического микрорайонирования участка строительства, рекомендуемые амплитудные и спектральные характеристики сейсмического воздействия на сооружение. |
К
п. 4.3. Результаты сейсмотектонических, сейсмологических и инженерно-сейсмологических исследований в Российской Федерации опубликованы в коллективных монографиях [
6 -
8,
30 -
32], снабженных обширными списками публикаций по теме настоящего Пособия.
| | ИС МЕГАНОРМ: примечание. В официальном тексте документа, видимо, допущена опечатка: пункт [85] отсутствует. | |
Детально поражающие факторы землетрясений, методы их исследования и антисейсмические мероприятия рассмотрены в работах [
16,
26,
28,
29,
33,
42], в отчетах по результатам исследований сейсмической опасности для отдельных объектов [
51 -
62], и в зарубежных источниках [
63 -
65,
68,
73 -
75,
78,
80 -
82,
84, 85].
4.4 Работы по УИС и СМР на участках строительства транспортных сооружений выполняются организациями, которым в установленном порядке предоставлено право на проведение этого рода деятельности. 4.5 При планировании состава, объема и методов выполнения работ по оценке опасности землетрясений рекомендуется учитывать возможный социальный, экономический и экологический ущерб, обусловленный прекращением функционирования транспортных систем и авариями транспортных средств в результате сейсмотектонических, сейсмогравитационных и сейсмических воздействий. Содержание работ по УИС и СМР должно соответствовать допустимому сейсмическому риску (классу сейсмостойкости проектируемого сооружения). |
К
п. 4.5. В последние десятилетия наблюдается увеличение необратимых и санитарных потерь от землетрясений в мире. При сохранении этой тенденции необратимые потери населения за 2010 - 2060 гг. составят 1382 тыс. человек с вероятностью превышения 50%. Прогнозируемые потери на 279 тыс. человек больше, чем фактические необратимые потери за 50 лет до 2010 г.
[47].
В основном санитарные и необратимые потери возникают из-за обрушения зданий. Вместе с тем, известны случаи гибели людей при обрушении во время землетрясений путепроводов и эстакад, а также в результате воздействия сейсмообвалов, селей и цунами на подвижной состав железных и автомобильных дорог [
65,
73 -
75,
82].
Существенно увеличивают потери населения обвалы, цунами и другие сопутствующие землетрясениям природные воздействия, ограничивающие доступность района стихийного бедствия для спасателей и техники, используемой при разборке и удалении обвалившихся конструкций зданий различного назначения.
Для уменьшения социальных, экономических и экологических потерь дороги в сейсмических районах должны обеспечивать безаварийное движение транспорта и незамедлительное начало поисковых, спасательных и аварийных работ в зоне разрушительного землетрясения. Пропускная способность дорог должна быть достаточной для возможной эвакуации населения из зоны стихийного бедствия.
При изысканиях и проектировании транспортных сооружений, включая дороги в районе разрушительного стихийного бедствия, параметры колебаний грунта, сейсмотектонические и сейсмогравитационные воздействия учитывают по правилам
СП 268.1325800,
СП 269.1325800 и
СП 270.1325800, исходя из установленного для объекта предельно допустимого сейсмического риска.
4.6 Изучение сейсмотектоники и сейсмичности района по фондовым материалам проводится на участках строительства объектов всех классов сейсмостойкости. На этой основе с учетом данных общих инженерно-геологических изысканий упрощенными методами оценивается сейсмичность участков объектов классов сейсмостойкости II и III и планируются специальные инженерно-сейсмологические исследования условий строительства объектов класса сейсмостойкости I. Примечание - При изысканиях объектов классов сейсмостойкости II и III полевые методы исследований, включая сейсморазведку, применяются в случаях, перечисленных в 6.21. 4.7 При оценке опасности землетрясений на участках строительства объектов классов сейсмостойкости II и III рекомендуется использовать корреляционные уравнения инженерной сейсмологии (уравнение макросейсмического поля, уравнение метода сейсмических жесткостей, уравнение сейсмического режима и др.), а также приближенные методы расчета, учитывающие влияние рельефа местности и местных инженерно-геологических условий на амплитудные и спектральные характеристики сейсмического воздействия на сооружение. 4.8 Для объектов класса сейсмостойкости I амплитудные и спектральные характеристики сейсмического воздействия на сооружение, полученные расчетом с использованием корреляционных зависимостей между данными общих инженерно-геологических изысканий и скоростями сейсмических волн в грунте, следует проверять и уточнять с применением инструментальных методов инженерной сейсмологии. 4.9 Результаты работ по оценке опасности землетрясений оформляются в виде сводного отчета по сейсмотектонике, сейсмоустойчивости склонов и сейсмической опасности изучаемой территории. Сейсмическая опасность показывается на картах (схемах) уточненного сейсмического районирования в полосе дороги и сейсмического микрорайонирования участков сооружений, определяемых техническим заданием. Масштаб карт (схем) устанавливается в зависимости от особенностей инженерно-геологической обстановки и размеров территории (акватории) выполняемых работ. 4.10 Применительно к сооружениям класса сейсмостойкости I материалы исследований по сейсмотектонике должны включать сведения о положении возможных очагов землетрясений в радиусе до 100 - 150 км, вызывающих сотрясения силой 7 баллов и более на площадках, сложенных средними по сейсмическим свойствам грунтами в пункте строительства, о типе (взброс, сброс, сдвиг, сбросо-сдвиг и др.) и характеристиках возможных разрывных движений на земной поверхности, максимальных зарегистрированных и расчетных значениях магнитуд, наблюдаемых и наиболее вероятных глубинах очагов, современных и голоценовых сейсмодислокациях в кровле коренных пород и в слоях покровных отложений, а также о других проявлениях сейсмотектонической активности. Следы разломов на земной поверхности, их сейсмическая активность за последние 10 000 лет и более должны быть подтверждены данными полевых инженерно-геологических работ и дистанционных съемок, а также материалами сети постоянных сейсмических наблюдений и временных сейсмостанций. 4.11 Материалы работ по оценке опасности землетрясений на участках строительства сооружений класса сейсмостойкости I должны содержать информацию о землетрясениях наибольшей силы на участке строительства за голоценовый период времени, сейсмическом режиме на прилегающей к объекту территории, скоростях сейсмических волн, значениях динамических модулей деформации и других характеристиках грунта в пределах расчетной толщи, положении границ микрозон участка строительства с различной интенсивностью сейсмического воздействия, а также о возможных сейсморазрывах, обвалах, оползнях, селях, лавинах, водно-песчаных потоках, разжижении грунта и других явлениях, обусловленных подземными толчками расчетной силы. 4.12 На картах (схемах) УИС и СМР опасность сейсмического воздействия указывается с округлением до десятой части балла шкалы MSK-64 или в физических единицах измерения картируемого параметра (в виде рекомендуемых для использования при проектировании амплитуд ускорения, скорости, перемещения колебаний грунта) с приемлемым для практических целей округлением определяемой величины. |
4.13 Для участков с искусственным преобразованием сейсмических свойств расчетной толщи грунта (например, с помощью цементации) или изменением ее свойств в результате деградации многолетней мерзлоты при строительстве и эксплуатации объекта в криолитозоне составляются прогнозные карты (схемы) сейсмического микрорайонирования, учитывающие техногенные воздействия на инженерно-геологическую среду.
4.14 При изысканиях транспортных гидротехнических сооружений уточнение исходной сейсмичности и сейсмическое микрорайонирование участка строительства выполняется с учетом требований
СП 269.1325800 и
СП 283.1325800. При несовпадении оценок сейсмичности участка по нормам проектирования транспортных и гидротехнических сооружений рекомендуется принимать более высокую оценку сейсмичности участка строительства.
Примечание - Исходную сейсмичность для причальных сооружений морских и речных портов определяют по
карте ОСР-2015-C при объеме грузооборота в навигацию свыше 6 млн т сухогрузов (свыше 12 млн т наливных грузов) или свыше 800 судозаходов, по
карте ОСР-2015-B при объеме грузооборота в навигацию от 1,5 до 6 млн т сухогрузов (от 6 до 12 млн т наливных грузов) или от 600 до 800 судозаходов, по
карте ОСР-2015-A при объеме грузооборота в навигацию менее 1,5 млн т сухогрузов (менее 6 млн т наливных грузов) или менее 600 судозаходов.
5 Уточнение исходной сейсмичности района строительства
5.1 Исходную сейсмичность в заданной географической точке определяют в целых баллах сейсмической шкалы MSK-64 по одной из действующих карт общего сейсмического районирования ( приложение А СП 14.13330.2014), выбираемой в зависимости от класса сейсмостойкости объекта. При определении исходной сейсмичности объектов классов сейсмостойкости I, II, III следует использовать карты ОСР-2015-C, ОСР-2015-B, ОСР-2015-A исходя из обеспечения вероятности непревышения силы расчетного землетрясения 99%, 95%, 90% за интервал времени 50 лет или математического ожидания интервала времени между толчками расчетной силы 5000, 1000 и 500 лет соответственно. |
К
п. 5.1. Оценки по
картам ОСР-2015 сейсмической опасности являются приближенными, что не позволяет во многих пунктах правильно учитывать допустимый сейсмический риск. К числу основных недостатков
карт ОСР-2015 относится использование для оценки сейсмической опасности целых баллов шкалы MSK-64. В результате округления исходной сейсмичности до целочисленных значений баллов возникает значительная погрешность определяемой сейсмической нагрузки.
Из сопоставления исходной сейсмичности по
картам ОСР-2015 с данными детальных сейсмологических исследований для многих населенных пунктов Северного Кавказа, Сибири и Дальнего Востока
(таблица 5.1) следует, что погрешность указанных на картах баллов может быть как положительной, так и отрицательной величиной, а ее модуль в среднем составляет 0,5 балла.
Примечание - для отдельных пунктов разность исходной и уточненной сейсмичности приближается к одному баллу, чему соответствует завышение или занижение сейсмической нагрузки в два раза.
Таблица 5.1
Уточнение исходной сейсмичности, указанной
Название региона | Название пункта | Сила землетрясения, баллы | Уточнение сейсмичности, баллы |
| По данным детальных исследований |
Северный Кавказ | Адлер | 9,0 | 8,5 | -0,5 |
Туапсе | 9,0 | 8,1 | -0,9 |
Новороссийск | 9,0 | 8,6 | -0,4 |
Горячий Ключ | 8,0 | 8,5 | +0,5 |
Владикавказ | 9,0 | 8,7 | -0,3 |
Район Рокского перевала | 9,0 | 9,1 | +0,1 |
Восточная Сибирь | Улан-Удэ | 8,0 | 8,3 | +0,3 |
Новоселенгинск | 8,0 | 8,0 | 0 |
Кяхта | 8,0 | 8,0 | 0 |
Иркутск | 9,0 | 8,2 | -0,8 |
Ангарск | 8,0 | 7,7 | -0,3 |
Джида | 8,0 | 7,9 | -0,1 |
Чара | 9,0 | 9,3 | +0,3 |
Чина | 9,0 | 9,3 | +0,3 |
Средний Калар | 9,0 | 8,4 | -0,6 |
Дальний Восток | Погиби | 9,0 | 8,5 | -0,5 |
Вал | 9,0 | 10,0 | +1,0 |
Западно-Сахалинские горы на широте пр. Невельского | 9,0 | 9,6 | +0,6 |
Лазарев | 9,0 | 8,5 | -0,5 |
Богородское | 8,0 | 7,7 | -0,3 |
Из-за использования при общем сейсмическом районировании целых баллов сооружения двух, а иногда и трех различных классов сейсмостойкости в одном и том же пункте проектируют с учетом землетрясений одинаковой силы, т.е. без повышения сейсмической нагрузки при проектировании сооружений первого класса и без снижения нагрузки для сооружений третьего класса относительно объектов второго класса сейсмостойкости, как это предусмотрено
ГОСТ 27751-2014.
Для иллюстрации этого положения рассмотрим территорию Краснодарского края. Список населенных пунктов края, расположенных в сейсмоопасных районах, включает 75 наименований. Из них только для 6 пунктов (8% от их общего числа) указана различная сейсмическая опасность на
картах ОСР-2015-A,
ОСР-2015-B,
ОСР-2015-C. В остальных 69 пунктах (92%) сооружения двух (в отдельных пунктах сооружения трех) классов проектируют, исходя из одинаковой сейсмичности района. В частности, к этим пунктам относятся Горячий Ключ, Новокубанск, Новороссийск, Сочи, Тамань, Туапсе
(таблица 5.2).
Таблица 5.2
Исходная сейсмичность территории некоторых населенных
пунктов Краснодарского края
N пп. | Город | Сейсмичность по картам ОСР-2015 |
(T = 500 лет) | (T = 1000 лет) | (T = 5000 лет) |
1 | Горячий Ключ | 8 | 8 | 9 |
2 | Новокубанск | 7 | 7 | 7 |
3 | Новороссийск | 8 | 9 | 9 |
4 | Сочи | 8 | 9 | 9 |
5 | Тамань | 8 | 9 | 9 |
6 | Туапсе | 8 | 9 | 9 |
Для исключения случаев как недооценки, так и переоценки сейсмической опасности необходимо уточнение исходной сейсмичности с использованием дробных баллов сейсмической опасности согласно
приложению Б.
5.2 Определяемая по картам общего сейсмического районирования исходная сейсмичность пункта строительства относится к участкам, расположенным на ровной местности и сложенным средними по сейсмическим свойствам грунтами. Примечание - К средним по сейсмическим свойствам грунтам относятся песчано-глинистые и крупнообломочные отложения с сейсмической жесткостью, близкой к  , где  - нормативная плотность грунта, т/м 3; VS - скорость поперечных сейсмических волн в грунте, м/с. |
К
п. 5.2. Для обоснования принятой в качестве эталонной сейсмической жесткости грунтов величины

обратимся к экспериментальным данным.
Исследования иркутских геологов
[11] основных типов изверженных и метаморфических пород позволили определить диапазоны изменения плотности и скорости сейсмических волн в этих грунтах. Наибольшее значение плотности образцов из монолитного базальта

, максимальная скорость поперечных волн
VS = 3500 м/с. Наибольшая сейсмическая жесткость скальных пород по скоростям поперечных волн

.
Наименьшие значения сейсмической жесткости присущи насыпным неуплотненным грунтам, а также рыхлым мелким пескам и илистым грунтам в устьях рек и морских проливах (заливах). Скорость поперечных сейсмических волн в таких грунтах может упасть до 110 м/с и менее при их плотности в водонасыщенном состоянии примерно 1,5 т/м
3. Сейсмическая жесткость таких грунтов составляет

. Приращение балльности для площадок, сложенных слабыми грунтами, по отношению к монолитному базальту будет

.
Найдем значения жесткости

, соответствующие границам между грунтами различных категорий по сейсмическим свойствам.
К грунтам первой категории относим все грунты, для которых приращение балльности по отношению к монолитному базальту не превышает одного балла. Из условия

находим жесткость для грунтов, лежащих на границе между грунтами первой и второй категорий. Эта жесткость равна 2570 т/(м
2·с), что соответствует плотности

и скорости
VS = 1000 - 1100 м/с, которые характерны для осадочных трещиноватых горных пород типа песчаника или мергеля за пределами зоны наибольшего выветривания.
Сейсмическую жесткость

, соответствующую грунтам на границе между второй и третьей категориями, находим из условия

. Этому условию удовлетворяют пески, глинистые, а также крупнообломочные грунты при плотности

и скорости поперечных волн
VS = 350 м/с, т.е. покровные отложения, имеющие сейсмическую жесткость

.
Выбор расчетной жесткости для эталонного грунта из допустимых значений

от 655 до 2570 т/(м
2·с) диктуется традиционным для сейсмического районирования представлением об эталонном грунте, как о типичном грунте территорий населенных пунктов (песчано-глинистом и крупнообломочном грунте). Исходя из этого, принимаем сейсмическую жесткость

для эталонного грунта равной 655 т/(м
2·с). Это условие является определяющей характеристикой эталонного грунта при сейсмическом микрорайонировании.
Согласно формуле

приращение силы землетрясения для площадок, сложенных выветрелыми скальными грунтами, составляет минус один балл, а для самых слабых грунтов - плюс один балл шкалы MSK-64, т.е. интенсивность колебаний ровных участков земной поверхности за счет различия инженерно-геологических условий изменяется в четыре раза по величине ускорения. Сопоставим эту расчетную оценку с данными инструментальных измерений колебаний грунтов при землетрясениях.
Во время землетрясения Лома-Приета в Калифорнии (США) американские сейсмологи получили несколько десятков записей сильных колебаний грунта
[75]. Вблизи эпицентра ускорения колебаний скальных обнажений равнялись приблизительно 0,65
g. На удалении до 100 км от эпицентра ускорения колебаний коренных пород уменьшались до 0,07 - 0,10
g, на слабых и насыпных грунтах - до 0,16 - 0,24
g. Таким образом, на слабых и насыпных грунтах наблюдалось увеличение интенсивности колебаний в 2 - 3 раза по сравнению с обнажениями коренных пород.
Примечание - Наибольшее приращение ускорений слабых грунтов по отношению к твердым скальным породам наблюдалось в районе аэропорта г. Сан-Франциско, где его величина была 3,7.
Землетрясение в районе японского г. Кобе имело магнитуду
M = 7,2 при глубине очага 14 км. Вблизи тектонических разрывов на поверхности о. Хонсю акселерометры записали ускорения колебаний грунта в диапазоне от 0,31 до 0,84
g. На территории г. Осака, расположенного в 40 км от эпицентра, ускорения колебаний грунта уменьшились до 0,08 - 0,29
g [82]. Следовательно, для площадок, равноудаленных от источника сейсмических волн, интенсивность сейсмического воздействия изменялась в 3 - 4 раза за счет различия свойств грунта в местах установки акселерометров.
Данные измерения колебаний грунта на земной поверхности показывают, что формула

позволяет правильно оценивать влияние инженерно-геологических условий на сейсмичность участков ровной местности. Эта формула позволяет также верно оценивать приращение балльности для прочных и очень прочных горных пород, обычно залегающих на глубине не менее нескольких десятков метров от земной поверхности и служащих средой для проходки горных выработок при строительстве транспортных тоннелей глубокого заложения. Для наиболее прочных магматитов и метаморфитов приращение балльности относительно эталонного грунта получается близким к минус двум баллам. Эта оценка соответствует известным данным об уменьшении интенсивности колебаний грунта по мере увеличения прочности горной породы и мощности перекрывающей толщи осадочных отложений.
5.3 За нормативные значения амплитудных характеристик колебаний грунтов следует принимать математическое ожидание наибольших амплитуд для представительных выборок инструментальных записей землетрясений, позволяющих выполнить их статистический анализ (приложение Б). При отсутствии достаточных данных об изменчивости исследуемых характеристик в имеющейся выборке для определения нормативных значений ускорения, скорости и перемещения грунта допускается использовать таблицу 5.3. |
Таблица 5.3 Характеристики колебаний грунта при землетрясениях |
| Интенсивность сейсмического воздействия, баллы | Ускорение, см/с2 | Скорость, см/с | Перемещение, см | |
7 | 100 | 8,0 | 4,0 |
8 | 200 | 16,0 | 8,0 |
9 | 400 | 32,0 | 16,0 |
10 | 800 | 64,0 | 32,0 |
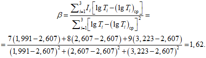
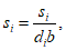
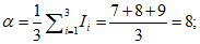
5.4 Для сооружений классов сейсмостойкости II и III нормативные амплитудные характеристики колебаний грунта уточняются по данным расчета сейсмического режима в пункте строительства. 5.5 При составлении уравнения сейсмического режима находят промежутки времени (средние периоды повторяемости) Ti, соответствующие сейсмическим событиям целочисленной силы Ii в пункте строительства. При выполнении расчета сейсмологические организации используют модели очагов землетрясений, принятые при разработке действующих карт общего сейсмического районирования, или другие модели, обоснованные геолого-геофизическими и сейсмотектоническими исследованиями в районе строительства. 5.6 По найденным парам чисел (Ii, Ti) с применением математических приемов обработки данных численного эксперимента определяют коэффициенты корреляционного уравнения логарифмического типа (уравнения сейсмического режима) в пункте строительства где a, b - эмпирические коэффициенты уравнения сейсмического режима; T - средний промежуток времени, измеряемый в годах, между землетрясениями силой I в месте строительства. 5.7 По уравнению (5.1) находят уточненную силу землетрясения I, соответствующую промежутку времени T = 500 лет для объектов класса сейсмостойкости III и T = 1000 лет для объектов класса сейсмостойкости II или допустимому риску в размере 10%-ного и 5%-ного превышения расчетного сейсмического воздействия за интервал времени 50 лет. |
5.8 Уточненная по уравнению (5.1) сила землетрясения отличается от сейсмичности пункта, указанной на соответствующей карте ОСР, на положительное или отрицательное значение  , учитывающее сейсмический режим местности. В любом случае для дальнейшего расчета принимают, что модуль  не должен превышать 1,0. 5.9 При изысканиях сооружений класса сейсмостойкости I для УИС составляют карту активных разломов, расположенных в радиусе до 100 - 150 км от объекта, и от сейсмогенерирующих разломов зон возможных очагов землетрясений выполняют расчет сейсмических воздействий для средних по сейсмическим свойствам грунтов и ровных площадок на участке строительства. 5.10 Для картирования и описания сейсмогенерирующих разломов (тип разрывов, максимальная магнитуда продуцируемых ими землетрясений и др.) проводится анализ фондовых и опубликованных источников геолого-геофизического и сейсмологического содержания совместно с материалами полевых геологических работ, сейсморазведки, эманационной и газовой съемок на ключевых участках, результатами дешифрирования аэро- и космических снимков, аэровизуальных наблюдений, данными датировки сейсмодислокаций радиоуглеродным методом. 5.11 При выполнении геофизических исследований, обеспечивающих строительство объектов класса сейсмостойкости I, следует проводить наблюдения сетью временных сейсмических станций с целью подтверждения данных о выделенных по фондовым и опубликованным источникам активных разломов, получения информации о распределении гипоцентров землетрясений по глубине, уточнения спектров сейсмического воздействия на сооружение для различных грунтов в створах мостовых и тоннельных переходов, а также на участках строительства других транспортных объектов класса сейсмостойкости I. 5.12 Сейсмическая опасность от каждой из выделенных зон активных разломов определяется по уравнению макросейсмического поля  (5.2) где Mmax - наибольшая магнитуда землетрясений, возникавших в рассматриваемой зоне разломов за последние 10 000 лет;  - расстояние от эпицентра до сооружения, км; hср - средневзвешенная глубина очага, км; b, s, c - коэффициенты уравнения макросейсмического поля, в среднем принимаемые b = 1,5; s = 3,5; c = 3,0. Примечания 1 Коэффициенты b, s, c допускается уточнять по приложению В или по данным региональных сейсмотектонических исследований. 2 Форму изосейст и силу землетрясения вблизи эпицентра рекомендуется уточнять с привлечением региональных сейсмологических организаций. 5.13 Сейсмическую опасность совокупности очагов землетрясений, состоящей из n выделенных зон разломов, находят как наибольшее значение Imax для ряда детерминированных величин Ii ( i = 1, 2, ..., n). |
5.14 Сила землетрясения Imax из наиболее опасного для сооружения очага рассматривается как уточненная сейсмичность пункта строительства Iут при выполнении условия I2000 <= Imax <= I3000, (5.3) где I2000 - сила землетрясений, повторяющихся в среднем на участке сооружения один раз за 2000 лет; I3000 - сила землетрясений, повторяющихся там же в среднем один раз за 3000 лет. Примечания 1 По предложению проектной организации, согласованному с заказчиком объекта, верхний предел неравенства (5.3) для транспортных переходов через морские проливы и заливы, тоннели и станции метрополитенов и другие подобные сооружения может быть увеличен до I5000, т.е. до силы землетрясений, повторяющихся в среднем на участке сооружения один раз за 5000 лет. 2 В тех случаях, когда условие (5.3) нарушается, т.е. если Imax < I2000 или Imax > I3000 ( I5000) в качестве уточненной сейсмичности района строительства Iут принимаются I2000 или I3000 ( I5000) соответственно. 5.15 Уточненная с учетом сейсмического режима сейсмичность в пункте строительства отличается от сейсмичности пункта по карте ОСР-2015-C на величину  , т.е. на приращение балльности в долях целого балла, найденное при уточнении исходной сейсмичности детерминированно-вероятностным способом. Модуль  принимается не более 1,0. 5.16 Уточненная сейсмичность района (пункта) строительства сооружений всех классов сейсмостойкости корректируется на этапе выполнения работ по СМР по правилам раздела 6. |
6 Сейсмическое микрорайонирование
6.1 Грунты, воспринимающие нагрузки от сооружений, должны сохранять устойчивость при землетрясении расчетной силы. Изменение интенсивности колебаний грунтов за счет инженерно-геологических и геоморфологических условий в границах участка строительства определяется и картируется применительно к сейсмоустойчивым отложениям расчетной толщи грунта. 6.2 Исследование сейсмоустойчивости грунтов в полосе дорог и на прилегающих склонах следует включать в состав работ по СМР. |
К
п. 6.2. Методика расчета склонов на сейсмоустойчивость приводится в
Приложении Г, пример сейсмического микрорайонирования оползневого склона рассмотрен в
Приложении У.
6.3 Оценку сейсмоустойчивости склонов рекомендуется выполнять с учетом: - сейсмических сил, сдвигающих покровные отложения относительно ложа оползня и уменьшающих давление на поверхность сдвига от собственного веса оползневого тела; - сил гидростатического взвешивания, действующих ниже уровня воды в грунте; - изменения физико-механических свойств грунта (угла внутреннего трения, сцепления, модулей деформации при сдвиге и сжатии) при сейсмическом воздействии; - кратковременности действия сейсмических сил. 6.4 Если покровные отложения состоят из нескольких слоев, силы инерции в слоистой толще рекомендуется находить расчетом колебаний покровной толщи. Амплитудные и спектральные характеристики сейсмического воздействия на склон определяются для устойчивой породы, подстилающей покровные отложения, расположенные выше поверхности предполагаемого или ранее происшедшего сдвига. 6.5 Амплитудные и спектральные характеристики сейсмического воздействия на склон должны соответствовать землетрясению расчетной силы, значение которой определяется по действующим картам общего сейсмического районирования с поправками на сейсмический режим, инженерно-геологические условия и рельеф местности. 6.6 При определении сейсмических напряжений в толще грунта рекомендуется учитывать изменение при сейсмическом воздействии модулей деформации и увеличение рассеяния энергии колебаний покровных отложений из-за появления трещин и пластических деформаций в грунте. 6.7 Модуль деформации при сдвиге G в слоях покровных отложений и подстилающей породе определяется по формуле  (6.1) где  - нормативная плотность слоя грунта, т/м 3; VS - скорость S-волн в слое грунта, м/с. 6.8 Скорость S-волн определяется с помощью сейсморазведки или по данным общих инженерно-геологических изысканий согласно 6.41 и 6.42. 6.9 Модуль деформации грунта при сжатии E определяют по формуле  (6.2) где  - коэффициент Пуассона; G - модуль деформации при сдвиге, тс/м2. 6.10 Коэффициент Пуассона  допускается принимать равным: - 0,3 - для скальных грунтов; - 0,4 - для полускальных грунтов; - 0,45 - для крупнообломочных и песчано-глинистых грунтов. Примечание - При изысканиях сооружений класса сейсмостойкости I коэффициент Пуассона  рекомендуется уточнять по данным сейсморазведки. 6.11 Скорость продольных волн Vp в слоях расчетной толщи определяется по формуле  (6.3) где VS - скорость поперечных волн, м/с;  - коэффициент Пуассона. 6.12 При проверке сейсмоустойчивости грунтов в полосе отвода дорог и на прилегающих склонах несущую способность глинистых грунтов сдвигу в условиях сейсмического воздействия рекомендуется уменьшать по сравнению с обычными условиями эксплуатации. Коэффициент условий работы тс принимают по СП 24.13330 как коэффициент условий работы для корректировки значений сил трения по боковой поверхности буровых свай. Примечания 1 При расчетной сейсмичности, отличающейся от целочисленных значений балльности, коэффициент условий работы mс находят с помощью линейной интерполяции. 2 При расчетной сейсмичности 9 баллов коэффициент mс для глинистых грунтов при показателе текучести 0,75 <= IL < 1 принимается равным 0,55. 6.13 В качестве меры сейсмоустойчивости принимается отношение сил, удерживающих частицы грунта от сдвига Tуд, к силам сдвига Tсд. При коэффициенте  покровные отложения на склоне и на ровной местности рассматриваются как сейсмоустойчивые. 6.14 Слои водонасыщенных илов и песков, залегающие на глубине до 20 м от ровной поверхности грунта, в том числе на дне заливов и проливов, могут подвергаться разжижению при землетрясениях. Глубина разжижения должна определяться расчетом с учетом силы расчетного землетрясения и физико-механических свойств илов и песков. Слой разжижаемого грунта исключается из расчетной толщи, учитываемой при оценке сейсмичности участка строительства. 6.15 Материалы работ по СМР участков строительства транспортных объектов должны содержать количественные оценки влияния особенностей залегания устойчивых слоев и сейсмических свойств грунта расчетной толщи, а также рельефа местности на амплитудные и спектральные характеристики сейсмического воздействия на сооружение. 6.16 Количество микрозон различной сейсмической опасности, выделяемых на участке строительства, определяется неоднородностью строения исследуемой грунтовой толщи, изменчивостью сейсмических свойств грунта, рельефом местности и конструктивными особенностями сооружения. 6.17 При СМР участков больших и внеклассных мостов и виадуков через реки и глубокие долины, как правило, следует выделять микрозоны русла реки, ее пойм и береговых склонов. На участках возведения малых и средних мостов достаточно выделить одну микрозону по данным разведочного бурения на площадке с наименее благоприятными свойствами грунта. 6.18 При СМР участков мостовых переходов через проливы и заливы следует выделять микрозоны акватории, островов, кос и дамб в створе перехода, а также подходов к проливу (заливу). 6.19 Сейсмичность микрозон в створах больших и внеклассных мостов, виадуков и эстакад устанавливается по приращению балльности в местах микрозон, сложенных наименее благоприятными по сейсмическим свойствам устойчивыми грунтами. 6.20 Сейсморазведку и другие геофизические методы исследований следует применять во всех случаях изысканий на участках строительства транспортных объектов класса сейсмостойкости I. 6.21 При проведении изысканий на участках строительства сооружений классов сейсмостойкости II и III геофизические исследования следует применять в случаях: - сложения верхней толщи инженерно-геологического разреза слоями крайне слабых грунтов (торфа, ила, текучих и текучепластичных супесей, суглинков и глин, рыхлых песков), требующее их замены или укрепления с оценкой влияния изменения геологической среды на сейсмичность участка строительства; - наличия в разрезе линз погребенных слабых грунтов, в том числе таликов в мерзлой толще, а также карстовых пустот, заполненных слабыми грунтами; - большой мощности аллювиальных и морских отложений в устьях рек, в морских проливах и заливах; - особо сложных инженерно-геологические условий, встречающихся на участках меандрирующих рек с поймами, выполненными крайне слабыми отложениями, залегающими на неровной кровле консолидированных отложений, изрезанной палеоруслами блуждающей реки; - присутствия на участке строительства дислокаций сейсмотектонического и сейсмогравитационного генезиса; - падения в сторону тальвега пластов глинистых грунтов и коренной породы типа аргиллита, способствующего потере устойчивости покровных отложений на склонах долин и берегах проливов при землетрясениях; - возможности оптимизировать антисейсмические мероприятия по критериям надежности и стоимости за счет применения геофизических методов исследования сейсмичности строительных площадок; - возможности использования при СМР данных сейсморазведки прошлых лет, выполненной на исследуемой территории или в аналогичных инженерно-геологических условиях на прилегающих участках местности. 6.22 При выборе положения верхней и нижней границ расчетной толщи грунта, границ слагающих ее слоев нужно учитывать свойства грунтов инженерно-геологического разреза, тип и конструктивное решение фундаментов, глубину их заложения, влияние природно-техногенных воздействий на сохранность и свойства грунтов в транспортном коридоре. Примечание - На участках распространения многолетнемерзлых грунтов мощность деятельного слоя следует принимать от поверхности грунта до уровня нормативной глубины сезонного оттаивания мерзлых грунтов. 6.23 Сейсмичность площадок строительства мостовых опор с массивными фундаментами мелкого заложения устанавливается в зависимости от сейсмических свойств грунта расчетной толщи мощностью 10 м, расположенной ниже отметок заложения фундаментов, сооружаемых в открытых котлованах. Если в пределах разведанной глубины инженерно-геологического разреза 10-метровый слой подстилается слоем менее прочного грунта, то нижнюю границу расчетной толщи следует принимать в уровне подошвы слабого подстилающего слоя, а ее верхнюю границу - на отметках низа фундаментов. Мощность слоев грунта в пределах расчетной толщи определяют по данным инженерно-геологических разрезов, соответствующих центральным осям фундаментов. 6.24 Для мостовых опор с фундаментами глубокого заложения положение верхней границы расчетной толщи устанавливают с учетом устойчивого уширения подмостового русла (срезки), общего размыва грунта у опор и технологии сооружения фундаментов. Из состава расчетной толщи исключают грунт насыпей подходов и залегающие с поверхности неуплотненные насыпные грунты, грунт выше подошвы плиты низкого свайного ростверка, слои ила, торфа, склонные к разжижению водонасыщенные рыхлые песчаные, очень слабые глинистые грунты текучепластичной и текучей консистенции, а также залегающие на дне водотоков, проливов и заливов насыпные (техногенные) грунты. 6.25 Для мостовых опор с фундаментами из свай-стоек нижняя граница расчетной толщи принимается в уровне кровли скальной породы или другого малосжимаемого грунта (глины твердой консистенции со статическим модулем деформации E > 50 МПа, крупнообломочных отложений с песчаным заполнителем или содержанием не более 40% глинистого заполнителя), на который опираются сваи-стойки. Если мощность неконсолидированного слоя меньше 10 м, в состав расчетной толщи включают часть скального массива или другого малосжимаемого грунта с тем, чтобы общая мощность расчетной толщи была не менее 10 м. То же правило действует при определении нижней границы расчетной толщи в основании столбчатых (свайных) опор, опирающихся на малосжимаемый грунт. 6.26 Для мостовых опор с фундаментами из висячих свай нижняя граница расчетной толщи проходит в уровне нижних концов свай или ниже этого уровня, но не менее 10 м от верхней границы расчетной толщи. Если в инженерно-геологическом разрезе присутствуют линзы или прослойки менее прочного грунта под слоем, в который погружены нижние концы свай, нужно считать, что нижняя граница расчетной толщи проходит по подошве наиболее заглубленного слабого слоя инженерно-геологического разреза. Во всех случаях нижняя граница расчетной толщи при проектировании мостовых опор с фундаментами из висячих свай принимается не ниже уровня поверхности, достигнутой при бурении разведочных скважин. 6.27 Для мостовых опор с массивными фундаментами глубокого заложения (опускными колодцами), опертыми на скальную породу, твердую глину или малосжимаемые крупнообломочные отложения, сейсмичность строительных площадок, как правило, устанавливают в зависимости от сейсмических свойств массива грунта, расположенного сбоку от фундамента, принимая мощность расчетной толщи от ее верхней границы не менее 10 м. Примечание - При учете сил инерции в неконсолидированном слое и сейсмического давления грунта на боковые грани опускного колодца допускается в качестве расчетной толщи принимать слой малосжимаемого грунта мощностью 10 м, считая вниз от отметки подошвы опускного колодца. 6.28 Сейсмичность микрозон припортальных и заглубленных участков горных тоннелей следует находить в зависимости от сейсмических свойств массива, в котором ведут проходку горных выработок и сооружают обделку тоннеля. 6.29 Сейсмичность участков строительства тоннелей метрополитена и пешеходных тоннелей, сооружаемых в открытых котлованах, находят так же, как для площадок строительства мостовых опор. 6.30 Сейсмичность площадок строительства насыпей, водопропускных труб и транспортных тоннелей в насыпях следует определять в зависимости от сейсмических свойств грунта верхнего 10-метрового устойчивого слоя основания насыпи. 6.31 Сейсмичность площадок строительства выемок определяют в зависимости от сейсмических свойств грунта 10-метрового слоя, считая от контура откосов выемки. 6.32 Для опор контактной сети, расположенных на насыпи, сейсмичность строительных площадок находят в зависимости от сейсмических свойств 10-метрового слоя грунта насыпи и ее основания. Для опор контактной сети в выемках и в нулевых местах учитывают сейсмические свойства грунта основания дороги на глубину 10 м от уровня основной площадки земляного полотна. 6.33 При определении сейсмичности площадок строительства подпорных стен используют те же правила выделения расчетной толщи грунта, что и для мостовых опор. 6.34 При определении сейсмичности площадок строительства вокзалов и других зданий транспортного назначения сейсмические свойства грунта расчетной толщи принимают осредненными по территории строительных площадок секций здания, разделенных деформационными (антисейсмическими) швами. 6.35 При расчете сейсмоустойчивости склонов сейсмичность участка относят к массиву породы мощностью 10 м, относительно которого проверяют возможность скольжения вышележащих отложений. 6.36 При сейсмическом микрорайонировании участков строительства транспортных сооружений уточненная сейсмичность, найденная по указаниям раздела 5, корректируется с учетом местных инженерно-геологических условий. Корректировка задается в форме приращения сейсмичности (балльности), учитывающей сейсмическую жесткость грунта строительной площадки. 6.37 Приращение сейсмичности за счет местных инженерно-геологических условий определяют с точностью до 0,1 балла по формуле  (6.4) где  - сейсмическая жесткость грунта расчетной толщи, т/(м 2·с);  - нормативная плотность грунта, т/м 3; VS - скорость поперечных сейсмических волн в расчетной толще, м/с. Примечание - Модуль  не должен превышать 1,0. |
К
п. 6.37. При сейсмическом микрорайонировании участков строительства транспортных сооружений наиболее часто применяется метод сейсмических жесткостей, принципиальные основы которого разработаны С.В. Медведевым [
16 -
18].
Метод основан на эмпирически установленном факте влияния сейсмической жесткости грунтов на ускорения их колебаний при землетрясениях и на степень повреждения сооружений. С.В. Медведев принимал, что за счет различия сейсмической жесткости наиболее прочных невыветрелых скальных пород и самых слабых насыпных грунтов, расположенных выше УГВ, приращение силы землетрясения составляет три балла по шкале MSK-64.
Математически приращение балльности на исследуемой площадке, сложенной грунтом естественной влажности, по отношению к наиболее прочному скальному грунту выражается формулой

(6.5)
где

- приращение силы землетрясения в баллах шкалы MSK-64 на исследуемой площадке по отношению к скальному участку за счет различия сейсмической жесткости грунтов;
Vск и Vис - скорости продольных сейсмических волн, м/с, в скальном грунте (граните) и в исследуемом грунте;

и

- плотности гранита и исследуемого грунта, т/м
3.
В дальнейшем методика СМР по способу сейсмических жесткостей была усовершенствована на основании результатов многих теоретических и экспериментальных исследований. В частности, Н.Д. Красников
[15] предложил для оценки сейсмичности строительных площадок использовать скорости поперечных волн вместо скоростей продольных волн.
Для оценки влияния глубины залегания уровня воды в грунте h на интенсивность колебаний песчаных, супесчаных, суглинистых и крупнообломочных отложений С.В. Медведев предложил формулу приращения балльности, основанную на результатах обследования зданий при сильных землетрясениях. Согласно этой зависимости при h >= 10 м изменением сейсмичности площадок можно пренебречь, при h = 4 м сейсмичность площадки повышается на 0,5 балла, при h = 1 м увеличение сейсмичности приближается к одному баллу.
Исследованиями влияния воды в грунте на интенсивность сейсмических колебаний занимались многие специалисты. И.К. Ивановский
[12] высказал совершенно правильную мысль о том, что причина повреждений железнодорожного пути на низменных участках при Красноводском землетрясении 1895 г. заключалась в слабости водонасыщенных грунтов.
Ш.Г. Напетваридзе
[22] рассмотрел горизонтальные колебания грунтовой толщи, состоящей из слоя галечника мощностью 5 м и вышележащего слоя суглинка или песка мощностью от 5 до 20 м. Сейсмическое воздействие принято в виде акселерограммы землетрясения в Эль-Центро (США). В результате расчета выяснилось, что вода в грунте практически не влияет на ускорения колебаний поверхности грунта. В итоге Напетваридзе пришел к выводу о необходимости исключить из норм требование о повышении сейсмичности площадок при высоком уровне воды в грунте.
Д.Д. Баркан и др.
[1] выполнили экспериментальное исследование влияния уровня воды в грунте на величину амплитуды колебаний его поверхности. Волны в грунте возбуждались вибратором, совершавшим вертикальные колебания. Искусственное изменение уровня воды производилось на площадке, имевшей в плане размеры 30 x 50 м. Колебания измерялись при понижении уровня воды с 0,9 до 3,5 м через каждые 0,5 - 0,7 м. Опыт не выявил изменения амплитуды колебаний на поверхности площадки.
После землетрясения 1971 г. в Калифорнии (США) американские инженеры провели исследования с целью уточнения нормативных требований к проектированию мостов
[66]. Влияние инженерно-геологических условий на интенсивность вибраций оценивалось по программе расчета колебаний многослойной грунтовой толщи. В результате расчета большого числа вариантов (рассматривались плотные и средней плотности пески различного гранулометрического состава) было установлено, что интенсивность сейсмического воздействия определяется полной мощностью покровных отложений и величиной максимального ускорения скального основания. Влиянием воды в грунте на интенсивность колебаний его поверхности можно пренебречь.
Результаты натурных, теоретических и экспериментальных исследований показывают, что повышенный процент разрушенных и поврежденных построек при высоком уровне воды в грунте является следствием меньшей прочности и устойчивости водонасыщенных грунтов по сравнению с маловлажными отложениями.
Строительными нормами предусмотрены конструктивные и расчетные требования, учитывающие снижение прочности грунта при землетрясениях. Подошвы фундаментов опор мостов, а также нижние концы свай, столбов и оболочек рекомендуется заглублять до скального массива, крупнообломочного грунта, гравелистого плотного песка или глинистого грунта твердой (полутвердой) консистенции. При проектировании фундаментов из висячих свай сопротивление грунта по боковым поверхностям свай и под их нижними концами определяется с учетом уменьшенного сопротивления песчаных и глинистых грунтов.
С учетом изложенного уровень воды в грунте не учитывают при СМР участков строительства транспортных сооружений. В качестве эталонного принимается грунт с сейсмической жесткостью 655 т/(м2·с).
Модифицированная
формула приращения балльности (6.4) относительно эталонного грунта регламентирована для использования в транспортном строительстве. График зависимости приращения балльности

от логарифмической жесткости грунта

показан на
рисунке 6.1. Как видно из рисунка, график
функции (6.4) отклоняется от опытных данных приблизительно на 0,1 балла.
Опытные данные:

пески разной плотности и крупности, суглинки и глины;

сильновыветрелые скальные и крупнообломочные грунты;

скальные невыветрелые и слабовыветрелые грунты.
1 - грунты категории I по сейсмическим свойствам;
2 - грунты категории II по сейсмическим свойствам;
3 - грунты категории III по сейсмическим свойствам
(
таблица 1 СНиП II-7-81*); 4 - скальные, крупнообломочные,
песчаные и глинистые грунты, немерзлые грунты
Рисунок 6.1 - График зависимости приращения балльности

от логарифмической жесткости грунта

При проектировании жилых, общественных и производственных зданий приращение сейсмичности площадок строительства за счет местных инженерно-геологических условий допускается предварительно определять в целых баллах по
таблице 1 СП 14.13330.2014. Табличная зависимость показана на
рисунке 6.1 в виде ступенчатой функции, ординаты которой отклоняются от опытных данных в среднем по модулю на 0,4 - 0,5 балла для грунтов категорий I и II по сейсмическим свойствам и на 0,7 балла для скальных невыветрелых и слабовыветрелых грунтов.
6.38 Если расчетная толща грунта состоит из нескольких слоев, то в этом случае принимается во внимание средневзвешенная сейсмическая жесткость пачки слоев, определяемая по формуле  (6.6) где  - толщина i-го слоя пачки, м; - сейсмическая жесткость i-го слоя пачки относительно поперечных сейсмических волн, т/(м 2·с). |
К
п. 6.38. При проектировании конструктивно однородных по длине протяженных транспортных сооружений (насыпей, выемок, эстакад, галерей, тоннелей и станций метрополитена, горных тоннелей, зданий для обслуживания подвижного состава, крытых пассажирских платформ) сейсмическую жесткость грунта микрозон

находят как арифметическое среднее жесткостей

,
j = 1, 2, ...,
n, определяемых по
формуле (6.6) для
n вертикальных сечений расчетной толщи грунта микрозоны.
6.39 Нормативная плотность грунтов инженерно-геологического разреза устанавливается по данным общих инженерно-геологических изысканий. 6.40 Скорости поперечных сейсмических волн в слоях находят по данным сейсморазведки или используя корреляционные уравнения, связывающие условное сопротивление грунта сжатию со значением скорости поперечных сейсмических волн. Примечание - При определении скоростей S-волн по данным сейсморазведки следует вводить поправку на нелинейность деформаций грунта по 6.42. 6.41 При изысканиях объектов классов сейсмостойкости II и III, выполняемых без привлечения геофизических методов исследований, скорость поперечных сейсмических волн на глубине 10 м от поверхности грунта рекомендуется определять по формуле VS = 454lg R0 - 316, (6.7) где VS - скорость поперечных волн, м/с; R0 <= 1000 тс/м2 - условное сопротивление грунта сжатию, тс/м2. Примечание - Величину R0 находят с использованием линейной интерполяции между R0 и физическими характеристиками грунта по приложению Д. |
К
п. 6.41. Использование инструментальных способов СМР требует значительных затрат средств и времени. Для транспортных сооружений второго и третьего классов сейсмостойкости, кроме объектов, сооружаемых на участках с особо неблагоприятными грунтами, разработан эффективный способ учета местных условий при определении сейсмичности стройплощадок
[48].
Уравнение (6.7), связывающее логарифмическую прочность грунта lg
R0 и скорость поперечных волн
VS, получено в результате обобщения данных сейсморазведочных работ, выполнявшихся при изысканиях мостовых переходов через реки Кичера, Верхняя Ангара, Чара, Олекма и др. на Байкало-Амурской магистрали, виадука через долину р. Чемитоквадже, подпорных стен на склоне Раздольненской котловины в Сочи, моста через р. Мзымту в Адлере, мостов на дороге Адлер - Красная Поляна, моста через р. Углегорку на Сахалине, моста через р. Ангару в Иркутске, мостовых переходов через р. Волгу в Волгограде и пролив Босфор Восточный во Владивостоке, транспортного перехода через Керченский пролив и ряда других объектов. График зависимости скорости
S-волн от логарифмической прочности грунта при сжатии показан на
рисунке 6.2.

средние значения частных совокупностей скоростей
S-волн;

расчетная зависимость
VS = 454lg
R0 - 316
Рисунок 6.2 - Зависимость скорости
S-волн на глубине 10 м
от логарифмической прочности грунта при сжатии lgR0
Общая длина сейсмопрофилей на упомянутых объектах превышает 15 км, глубина сейсмозондирования до 100 м, количество исследованных инженерно-геологических элементов более 40.
Перечень исследованных инженерно-геологических элементов включает глины полутвердые и твердые, суглинки от мягкопластичных до твердых, супеси пластичные и твердые, пески от пылеватых до гравелистых, крупнообломочные грунты различного зернового состава, полускальные грунты (аргиллиты и глинистые сланцы) с прочностью при сжатии Rс < 5 МПа, скальные грунты (аргиллиты, мергели, песчаники) с прочностью при сжатии Rс >= 5 МПа.
Корреляционная
зависимость (6.7) получена методом наименьших квадратов. Приведение скоростей
VS к глубине
h = 10 м осуществлялось с помощью поправочного коэффициента
Kh (6.8).
6.42 При определении по формуле (6.7) скоростей поперечных волн в слоях полускальных грунтов очень низкой, низкой и пониженной прочности по ГОСТ 25100, крупнообломочных и песчаных грунтов, а также супесей и суглинков на глубине  вводится поправочный множитель на глубину залегания слоя, определяемый по формуле Kh = 0,70 + 0,03 h при h <= 30 м, (6.8) где h - средняя глубина залегания слоя от поверхности грунта. При глубине залегания слоя h >= 100 м коэффициент Kh = 2,5. Для промежуточных значений h коэффициент Kh находят по интерполяции. Примечания 1 При определении скоростей S-волн в слоях, сложенных грунтами категории III по сейсмическим свойствам, следует учитывать уменьшение скоростей волн за счет нелинейности деформаций грунта посредством умножения скоростей на поправочные множители 0,9; 0,8; 0,7 и 0,6 при исходной сейсмичности 7, 8, 9 и 10 баллов соответственно. 2 Для насыщенных водой песков и гравийно-галечниковых отложений с песчано-глинистым заполнителем скорость VS дополнительно умножается на коэффициенты 0,8 для песков и 0,9 для гравийно-галечниковых отложений. |
К
п. 6.42. В глинах влияние внешнего давления на слой относительно мало влияет на скорость
S-волн из-за сил сцепления в грунте. В плохо фильтрующих грунтах внешнее давление частично передается жидким и газообразным компонентам, что уменьшает контактные давления и градиент скорости
VS [21]. В связи с этим при определении коэффициента
Kh для глин рекомендуется принимать его величину не более 1,3.
6.43 При СМР участков дорог, расположенных на крутых горных склонах, амплитуды колебаний грунта корректируются в зависимости от рельефа местности. Поправка определяется в форме коэффициента учета рельефа местности Kр.м., на который умножают амплитуды колебаний грунта. 6.44 Коэффициент Kр.м. определяют с помощью расчета или измерением колебаний грунта на дне долины и ее бортах. Для долин в горной местности, врезанных в коренные породы на 100 м и более, при отношении высоты бортов к ширине долины поверху не менее 0,5, допускается принимать значение коэффициента Kр.м. равным 0,5 для дна долины и 1,25 для верха ее бортов. Для площадок, расположенных на бортах между их верхом и дном долины, коэффициент Kр.м. определяется по интерполяции в зависимости от высоты расположения площадки над дном долины. |
К
п. 6.44. В условиях глубоко расчлененного рельефа сотрясения грунта на склонах долины могут сильно отличаться от сотрясений на ее дне и ровных участках местности за ее пределами. До середины 1960-х гг. этот эффект количественно был мало исследован. Позже, в основном в связи с крупным гидротехническим строительством, были выполнены теоретические и экспериментальные работы, позволившие количественно оценить влияние неровностей рельефа на интенсивность колебаний грунта.
Обширные натурные наблюдения колебаний склонов ущелий в Средней Азии проведены сейсмологической экспедицией Института физики Земли
[24]. Основной эксперимент был поставлен в створе плотины Токтогульской ГЭС до начала строительства плотины. Приборы помещались в штольни, расположенные на левом борту каньона на высоте 10 и 90 м от уреза воды в р. Нарын, на правом борту - на высоте 85 м.
Анализ записей колебаний бортов при землетрясениях и взрывах показал увеличение амплитуд колебаний в верхних частях бортов. Наиболее сильно (в три раза) возрастало горизонтальное смещение поперек каньона. При переходе сейсмической волны через долину наблюдались сдвиг фазы и некоторое уменьшение амплитуды колебаний.
В Туркмении Б.И. Ильясовым и Ш.Ш. Саидовой
[13] исследовались колебания склонов Бикровинского массива, расположенного на юго-западе республики. Высота склонов на экспериментальном участке достигала 45 - 50 м, угол наклона изменялся в пределах от 15 до 65°. Склоны сложены глиной, включающей линзы сцементированного крупнообломочного материала. Колебания возбуждались ударами груза массой 2,5 т, сбрасываемого с высоты 20 м, приборы устанавливались на зацементированные площадки, расположенные в четырех точках по высоте склона. Обработка записей колебаний показала увеличение амплитуд колебаний в верхней части склона примерно в два раза по отношению к его подножию.
Для случая вертикального распространения горизонтально поляризованной поперечной сейсмической волны Е.Г. Бугаевым
[3] предложены полуэмпирические формулы, позволяющие вычислять интенсивность колебаний грунта на дне и в верхних частях бортов каньонов (склонов долин). Согласно этим формулам интенсивность колебаний изменяется в следующих пределах: на дне каньона от 1 до 1,25 от уровня амплитуд колебаний горизонтальных участков местности, удаленных от долины. При переходе от дна к бровке склона долины отношение амплитуд изменяется от 1 до 2,5 в зависимости от соотношения между длиной падающей волны и глубиной долины. Данные инструментальных наблюдений и численные решения задач дифракции подтверждают возможность использования приближенных формул для оценки изменения интенсивности колебаний грунта на склонах речных долин.
За рубежом разработаны математические методы расчета дифракции сейсмических волн в каньонах. Для полуцилиндрического каньона получено решение в замкнутой форме, использующее функции Бесселя и Ханкеля. Анализ этого решения
[83] показал, что влияние каньона на интенсивность колебаний значительно, если длина падающей волны близка к радиусу каньона. В этом случае амплитуда колебаний грунта вблизи каньона быстро изменяется от точки к точке, но увеличение амплитуды не превышает двух раз.
Для каньонов с произвольной формой поперечного сечения задача формулируется в виде интегральных уравнений Фредгольма
[77]. Уравнения решаются численным методом с построением акселерограмм для различных точек поперечного сечения каньона при произвольном угле падения сейсмической волны. В случае треугольного выреза в упругом полупространстве амплитуды колебаний по сравнению с горизонтальной поверхностью увеличиваются на 10 - 30% у кромки выреза и уменьшаются на 50 - 70% в нижней точке.
6.45 Нормализованную спектральную характеристику расчетного сейсмического воздействия на сооружение (огибающая нормализованных спектров ускорений осциллятора)  определяют по таблице 6.1 в зависимости от категории расчетной толщи грунта по сейсмическим свойствам. Примечание - Значения  в таблице 6.1 соответствуют относительному коэффициенту затухания в размере 5% критического значения, при котором гармоническое колебательное движение массы осциллятора переходит в апериодическое движение. Предполагается также, что колебания грунта содержат низкочастотные составляющие, характерные для излучения волн из глубоких и удаленных высокомагнитудных очагов землетрясений, а также в случае влияния на спектр большой мощности покровных отложений на участке строительства. Таблица 6.1 Нормализованные спектры расчетного сейсмического воздействия |
| Категория расчетной толщи грунта по сейсмическим свойствам | Сейсмическая жесткость расчетной толщи грунта  , т/(м 2·с) | Нормализованные спектры расчетного сейсмического воздействия на сооружение  | |
I | Более 2570 |  при Ti <= 0,1 с  при 0,1 с < Ti <= 0,3 с  , но не менее 1,0 при 0,3 с < Ti <= 1,8 с |
II | От 655 до 2570 |  при Ti <= 0,1 с  при 0,1 с < Ti <= 0,5 с  , но не менее 1,0 при 0,5 с < Ti <= 1,8 с |
III | Менее 655 |  при Ti <= 0,1 с  при 0,1 с < Ti <= 0,7 с  , но не менее 1,0 при 0,7 с < Ti <= 1,8 с |
6.46 Спектральная характеристика  может быть уточнена при изысканиях с учетом сейсмотектонических, инженерно-геологических и геоморфологических особенностей района (участка) строительства на основании анализа сейсмограмм, записанных временной сетью регистрации землетрясений, сейсмограмм российских и зарубежных сейсмостанций сети постоянных сейсмических наблюдений на близких по инженерно-геологическому строению участках. 6.47 Рекомендуемые для использования при проектировании амплитуды перемещений, скоростей и ускорений колебаний грунта определяются по приложению Б с учетом уточнения исходной сейсмичности пункта строительства за счет сейсмического режима местности и приращения сейсмичности за счет местных инженерно-геологических условий, а также поправки на рельеф участка строительства по 6.44. |
(справочное)
ПОГРЕШНОСТИ ОЦЕНОК СЕЙСМИЧЕСКОЙ ОПАСНОСТИ ПО КАРТАМ
ОБЩЕГО СЕЙСМИЧЕСКОГО РАЙОНИРОВАНИЯ
А.1 Общие сведения
Карты ОСР территории России составляются для прогноза места и силы ожидаемых землетрясений. Действующие нормы содержат также оценку среднего интервала времени между толчками указанной на карте силы для населенных пунктов, расположенных в сейсмических районах.
Первые карты сейсмического районирования отдельных территорий появились в СССР в начале 1930-х гг. Карты составлялись отдельными специалистами, а сами карты публиковались в виде приложений к правилам и руководствам по строительству в сейсмических районах [
2,
9].
Первая карта ОСР для всей территории страны была составлена в 1937 г. и обновлена через 10 лет Г.П. Горшковым. В 1957 - 1962 гг. и в 1963 - 1970 гг. в качестве нормативных использовались карты ОСР, разработанные в Институте физики Земли АН СССР.
Позже отдельные части карты ОСР стали разрабатывать республиканские и региональные институты. Координация работ по составлению сводных карт ОСР-69 и ОСР-78 выполнялась ИФЗ АН СССР и Межведомственным советом по сейсмологии и сейсмостойкому строительству при Президиуме АН СССР [
31,
32].
Карты ОСР-97 Российской Федерации, утвержденные Российской академией наук, включены в строительные нормы. В 2015 г.
карты ОСР-97 переизданы под названием
ОСР-2015 с добавлением территории Калининградской области и воссоединенных с Россией территорий республики Крым и г. Севастополя.
Карты ОСР уточнялись с интервалом времени 10 - 20 лет. Все карты разрабатывались на основе совместного анализа геологических, сейсмологических и инженерно-сейсмологических сведений.
Геологические сведения включают данные о направленности тектонических движений земной коры, положении разломов и о тектонических разрывах на поверхности Земли. Места пересечения тектонических разломов и изменения направленности вертикальных движений считаются зонами повышенной сейсмической опасности. Протяженность и амплитуда тектонических разрывов, время их образования позволяют оценить наибольшую сейсмическую опасность территории за послеледниковый этап развития Земли [
33,
34].
Сейсмологические сведения (магнитуды землетрясений, координаты эпицентров, глубины очагов, даты событий) содержатся в бюллетенях сейсмических станций и каталогах землетрясений. Эти данные позволяют оценить интенсивность сейсмического воздействия на земной поверхности, используя эмпирические соотношения между магнитудой, глубиной очага, эпицентральным расстоянием и силой землетрясения в рассматриваемой точке земной поверхности
[42].
Инженерно-сейсмологические сведения публикуются в статьях и монографиях по результатам обследования района стихийного бедствия. Описания реакции людей и животных, повреждений построек и деформаций грунтов позволяют оценить силу толчков по сейсмическим шкалам.
Сейсмичность территорий на картах сейсмического районирования оценивалась разными авторами неодинаково. Так, на карте Н.Н. Ботвинкина (1933 г.) сейсмичность для Ашхабада принята равной 8 баллам, а Г.П. Горшковым (1943 г.) та же территория рассматривается как 7-балльная. Занижение опасности землетрясений на
картах ОСР происходило также на более поздних по времени издания картах общего сейсмического районирования, что в ряде случаев приводило к крайне тяжелым социальным и экономическим последствиям. Неоднозначность оценок балльности объясняется различием рассматриваемых периодов геологической истории и применяемых методов (детерминированного или вероятностного) анализа используемых исходных данных.
А.2 Применение коротких рядов инженерно-сейсмологических наблюдений
На первых по времени составления
картах ОСР опасность возможных в будущем землетрясений определялась в основном по инженерно-сейсмологическим данным о происходивших за последние несколько десятков лет максимальных сейсмических толчках. При этом сейсмическая опасность территории в баллах могла быть скорректирована в большую или меньшую сторону в зависимости от частоты возникновения землетрясений в рассматриваемой области.
Пример А.1. При составлении в 1943 г. карты ОСР для района Ашхабада использовались инженерно-сейсмологические данные за интервал времени 50 лет, начиная с Кучанского землетрясения 1893 г. За этот срок с наибольшей силой 7 баллов в Ашхабаде произошло землетрясение 1929 г. Это событие было принято как определяющее сейсмическую опасность в Ашхабаде.
В работе
[9], изданной за год до катастрофического землетрясения 1948 г. силой 9 - 10 баллов, объясняются мотивы принятия для столицы Туркмении сейсмичности 7 баллов по карте 1943 г.: "Если учесть древнейшие, несколько легендарные случаи катастроф в Ак-тепе и Неса, если учесть аналогию северных цепей Копетдага с южными, с которыми связаны многочисленные катастрофические землетрясения, если принять во внимание близость к городу крупных и значительных тектонических линий и теоретическую возможность распространения складчатых нарушений к северу, по меньшей мере до Бахардока, и, наконец, если учесть очевидную неполноту статистики землетрясений, станет ясно, что мы не можем гарантировать полной безопасности для города и что появление здесь даже 8 - 9 балльных землетрясений не будет неожиданностью. Но, вместе с тем, мы не имеем права в данный момент именно этими цифрами характеризовать официальную сейсмическую опасность для города: мы не знаем здесь пока таких землетрясений. А это главное. Они, по-видимому, могут быть, но они появляются очень редко и практически окажется, что лучше идти на небольшой риск в этом отношении, чем заранее затрачивать, и скорее всего напрасно, лишние средства на проведение сложных мероприятий сейсмопрофилактического порядка".
Пример А.2. Сейсмическое районирование 1969 г. территории Армении проводилось на основании инженерно-сейсмологических и инструментальных данных о землетрясениях Армянского нагорья и Малого Кавказа за период с 1899 г. по 1963 г. Наиболее разрушительными за это время на территории Армении были Ленинаканское (1926 г.) и Зангезурское (1931 г.) землетрясения, сила которых в эпицентре оценивается в 8 - 9 баллов.
На карте ОСР-69 для Армении была указана максимальная сейсмичность 8 баллов. На более поздней карте ОСР-78 сейсмичность для некоторых городов (Кировакан, Спитак, Степанаван и др.) по экономическим соображениям была понижена с 8 до 7 баллов, что было одной из причин крайне тяжелых социальных последствий землетрясения 1988 г.
Пример А.3. Полевые наблюдения за землетрясениями на Сахалине проводятся с начала XX столетия. Собранные за 1913 - 1966 гг. сведения позволили выделить на острове зоны сейсмичностью 6 и 7 баллов. В 1960-е гг. сейсмологи считали преждевременным и требующим более весомого обоснования выделение 8-балльных зон на Сахалине, несмотря на проявившуюся высокую сейсмичность в виде 8-балльного толчка в районе Углегорска в 1924 г.
Позже Сахалин дважды подвергался 8-балльным землетрясениям (Ногликское, 1964 г. и Монеронское, 1971 г.) Несмотря на это, на карте ОСР-78, как и ранее, были выделены только зоны 6-го и 7-го баллов. Уменьшение нормативной сейсмичности по сравнению с силой наблюдавшихся толчков объяснялось большими интервалами времени (по расчету более 2000 лет) между 8-балльными событиями в отдельных населенных пунктах острова.
В мае 1995 г. в северной части Сахалина произошло разрушительное землетрясение. Тектонический разрыв возник на глубине 15 - 20 км и вышел на земную поверхность в 20 - 30 км от поселка городского типа Нефтегорск, где сила землетрясения была 8 - 9 баллов. Из-за разрушения 17 пятиэтажных зданий в поселке погибло 1989 человек, более 400 жителей получили травмы, но были спасены в результате проведения поисково-спасательных работ
[25].
Приведенные примеры показывают, что прогнозирование сейсмической опасности с использованием коротких (50 - 100 лет) рядов инженерно-сейсмологических наблюдений, а также применение необоснованных опытом строительства в сейсмических районах требований по учету повторяемости землетрясений приводят к крайне тяжелым социально-экономическим потерям.
А.3 Применение длинных рядов сейсмогеологических данных
Использование длинных (за интервал времени около 10 тысяч лет) рядов сейсмогеологических данных при общем сейсмическом районировании относится к середине прошлого столетия. В это время в Институте земной коры СО АН СССР был создан метод выявления плейстосейстовых зон (т.е. мест наиболее сильных сотрясений) доисторических землетрясений, определения их магнитуд и других характеристик. Для сейсмического районирования метод впервые был применен в 1956 г. при определении высшего уровня сейсмической опасности восточной части Байкальской рифтовой зоны
[37].
Формулы палеосейсмогеологического метода получены статистической обработкой фактических размеров разрывных деформаций земной поверхности (сейсмодислокаций) и инструментальных характеристик катастрофических землетрясений Монголии, Восточной Сибири, Средней Азии и Кавказа. Результаты изучения сейсмодислокаций приводятся в работах В.П. Солоненко, В.С. Хромовских, А.А. Никонова и других геологов [
26,
33 -
37].
Реконструкция сейсмических событий далекого прошлого по следам сохранившихся в рельефе тектонических разрывов позволяет картировать зоны возможных очагов землетрясений (зоны ВОЗ) с магнитудой
M >= 7,1 и силой в макросейсмическом эпицентре более 9 баллов. При таких толчках на земной поверхности при глубине очага менее 15 км возникают тектонические разрывы с амплитудой от 2 до 10 м и длиной магистрального разрыва 50 и более км. Критерий выхода тектонического разрыва на земную поверхность, а также зависимости амплитуды и длины магистрального разрыва от магнитуды землетрясения приводятся в
СП 270.1325800.2016.
Сейсмогеологические исследования выявили зоны ВОЗ в Сибири, Средней Азии, на Дальнем Востоке и на Кавказе. На карте ОСР районы с возможными землетрясениями силой более 9 баллов появились в 1969 г. К таким районам была отнесена территория на севере Бурятии и Читинской области, а также юго-восточные окончания полуостровов Шипунского и Кроноцкого на Камчатке. Площадь районов высшего уровня опасности землетрясений на территории СССР составила около 20 тыс. км2.
На следующей по времени опубликования карте ОСР-78 суммарная площадь зон ВОЗ сильно увеличилась, охватив дополнительно несколько районов на Камчатке, в Сибири и в Средней Азии. В зонах ВОЗ оказались некоторые столицы среднеазиатских республик (Ашхабад, Алма-Ата) и областные центры (Пржевальск, Ош).
Разрушительный потенциал землетрясений силой более 9 баллов таков, что они способны разрушить любое сооружение. Вместе с тем, объекты транспортной инфраструктуры не всегда могут быть вынесены за пределы зон ВОЗ. Поэтому при проектировании транспортных сооружений наиболее приемлем метод сейсмического риска, учитывающий инженерные и экономические аспекты строительства в сейсмических районах.
А.4 Метод сейсмического риска
Инженерный сейсмический риск R определяется как вероятность превышения расчетной сейсмической нагрузки за интервал времени 50 лет.
При оценке возможных последствий землетрясений используются также другие виды сейсмического риска (социальный, экономический, экологический риски).
Для транспортных сооружений предельно допустимый инженерный сейсмический риск
R согласно
СП 268.1325800.2016 принимается в зависимости от класса сейсмостойкости объектов I, II и III равным соответственно от 1% до 2,5%, 5% и 10%.
Риск
R связан с величиной среднего интервала времени
T между землетрясениями расчетной силы в пункте строительства формулой

. Следовательно, в качестве землетрясений расчетной силы принимаются сейсмические события, повторяющиеся в среднем через 2000 - 5000 лет для объектов класса сейсмостойкости I, через 1000 лет для сооружений класса сейсмостойкости II и через 500 лет для сооружений класса сейсмостойкости III.
Соотношение между силой землетрясения I в пункте строительства на ровных участках, сложенных средними по сейсмическим свойствам грунтами, и средним промежутком времени T между землетрясениями этой силы относится к уравнениям логарифмического типа
Уравнение (А.2) позволяет оценить силу расчетного землетрясения, соответствующую предельно допустимому риску для проектируемого сооружения.
Пример А.4. По сейсмологическим данным уравнение сейсмического риска для г. Туапсе имеет вид
I = 6,17 - 1,49lg
R. График зависимости силы землетрясения от сейсмического риска показан на
рисунке А.1. Расчетная сила толчков, соответствующая предельным значениям риска для транспортных сооружений:
I10% = 7,7 балла,
I5% = 8,1 балла,
I2,5% = 8,6 балла,
I1% = 9,1 балла.

- сила землетрясения,
соответствующая предельным значениям риска
для сооружений классов сейсмостойкости I, II, III
Рисунок А.1 - Зависимость силы землетрясения
от сейсмического риска
Адекватность оценок сейсмической опасности по методу сейсмического риска зависит от исходных данных, принятых при составлении уравнения сейсмического режима. При нахождении табличной зависимости между средними интервалами времени Ti и целочисленной силой землетрясений Ii рекомендуется использовать инструментальные данные службы сейсмических наблюдений, исторические сведения о землетрясениях и материалы палеосейсмогеологических исследований.
Методы расчета повторяемости землетрясений с оценкой интервалов времени между сотрясениями разной силы в пункте строительства начали развиваться с 1960-х гг.
В работе
[18] С.В. Медведев дал приближенную оценку средней повторяемости землетрясений
(таблица А.1), отметив, что полученные им оценки могут значительно изменяться и задачей дальнейших исследований является их уточнение для различных областей страны.
Таблица А.1
Средняя повторяемость землетрясений
в одном пункте сейсмических зон
Сейсмичность зоны, баллы | Число лет T, через которое повторяется землетрясение, имеющее силу (в баллах) |
7 | 8 | 9 |
7 | 290 | - | - |
8 | 190 | 800 | - |
9 | 75 | 230 | 1200 |
В 1979 г. под редакцией Ю.В. Ризниченко была выпущена монография
[30] с приложением Атласа карт сейсмической сотрясаемости территории СССР, в которой приведены результаты определения сейсмологами средних интервалов времени между землетрясениями различной силы в сейсмических районах.
В написанном С.И. Голенецким разделе этой монографии, относящемся к Прибайкалью, рассмотрены данные о сотрясаемости северо-восточной части Байкальской рифтовой зоны. Найдено, что интервалы времени между землетрясениями силой 7, 8 и 9 баллов в населенных пунктах этого района составляют в среднем 75, 500 и 1500 лет.
В 1979 г., независимо от работ сейсмологов, была выполнена инженерная оценка повторяемости землетрясений на сейсмически наиболее опасном западном участке трассы БАМ.
В работе
[43] рассматривалась территория, прилегающая к железной дороге на участке от Нижнеангарска до Усть-Нюкжи. Протяженность выделенной зоны около 1000 км при ширине поперек трассы 100 км. При выполнении расчетов учитывались данные инструментальных наблюдений на сейсмических станциях с 1957 г. по 1971 г. Этими наблюдениями на рассматриваемой территории зарегистрированы 15 землетрясений с магнитудой
M >= 5,0.
Для повышения надежности оценок сейсмического режима дополнительно были привлечены данные о редких землетрясениях большой силы, оставляющих заметные следы (сейсмодислокации) на земной поверхности. Согласно исследованиям В.П. Солоненко
[36] на расстояниях до 50 км от трассы БАМ имеется 20 сейсмодислокаций с возрастом от одной сотни до нескольких тысяч лет, размеры которых соответствуют землетрясениям с магнитудой
M >= 7,0.
Известные землетрясения в выделенной зоне были подразделены по магнитуде на четыре множества, ограниченные неравенствами: 1) 5,0 <= M < 6,0; 2) 6,0 <= M < 7,0; 3) 7,0 <= M < 8,0; 4) 8,0 <= M < 9,0. Средние значения магнитуд землетрясений в множествах составили: M1 = 5,4; M2 = 6,4; M3 = 7,3; M4 = 8,1. Периоды повторения землетрясений определялись по уравнению lgT = 4,3 + 0,85M.
Полученные данные о повторяемости землетрясений с разными магнитудами в западной части зоны БАМ позволили оценить средние интервалы времени между сотрясениями различной интенсивности в произвольной точке трассы. При этом учитывалось, что глубина очагов инструментально зарегистрированных толчков в зоне изменялась от 9 до 25 км, а расстояние от эпицентров до железной дороги составляло от 5 до 40 км. В дальнейших расчетах принималось, что все очаги располагаются на одинаковой глубине, равной среднему значению совокупности фактических глубин очагов. Также предполагалось, что все эпицентры удалены на одинаковое расстояние от трассы, равное среднему значению совокупности фактических эпицентральных расстояний. С учетом основных ошибок определения средних по ограниченной совокупности исходных данных указанные величины равны: расчетная глубина очагов 16 км, расчетное эпицентральное расстояние 19 км.
Связь между силой землетрясения
Ij в произвольной точке
A при излучении волн из очага с магнитудой
Mi определяется уравнением макросейсмического поля. Результаты расчетов приводятся в
таблице А.2.
Таблица А.2
Суммарная длина
lij участков разломов в западной части
зоны БАМ, создающих в произвольной точке A сотрясения
силой Ij при магнитуде излучения очага Mi
Магнитуда Mi | Сила Ij землетрясения в точке A, баллы |
I1 = 6 - 7 | I2 = 7 - 8 | I3 = 8 - 9 | I4 = 9 - 10 |
M1 = 5,4 | 92 | - | - | - |
M2 = 6,4 | 156 | 148 | - | - |
M3 = 7,3 | 352 | 184 | 120 | 64 |
M4 = 8,1 | 600 | 352 | 212 | 160 |
Считая, что землетрясения выделенных групп являются независимыми событиями, получим формулу для определения вероятности Pj возникновения в точке A трассы в течение года землетрясения силой Ij

(А.3)
где 2L - общая длина активных разломов в пределах рассматриваемой территории;
Ti - средний период повторения землетрясений с магнитудой Mi.
Построенная по
формуле (А.3) кривая распределения вероятностей землетрясений в точке A показана на
рисунке А.2. Согласно полученной зависимости в произвольном пункте трассы на участке от Нижнеангарска до Усть-Нюкжи интервалы между землетрясениями силой 7 баллов составляют в среднем несколько более 50 лет, 8 баллов - примерно 200 лет, 9 баллов - около 1000 лет.
Рисунок А.2 - Распределение вероятностей землетрясений
в произвольном пункте западной части БАМ
Другими словами, можно ожидать, что за 100 лет эксплуатации сооружения на этом участке испытают 1 - 2 сейсмических воздействия силой 7 баллов, землетрясению силой 8 баллов подвергнется каждый второй мост, силой 9 баллов - каждый десятый мост.
Инженерные оценки повторяемости сейсмических воздействий на трассе БАМ соответствуют результатам сейсмологических расчетов повторяемости землетрясений в Ашхабаде, Фрунзе и в Алма-Ате. Средние по этим городам интервалы времени между землетрясениями составляют: 7 баллов - 60 лет, 8 баллов - 260 лет, 9 баллов - 1200 лет.
В 1991 - 1997 гг. был создан комплект карт общего сейсмического районирования
ОСР-97 (руководитель В.И. Уломов). В рамках этой работы А.А. Гусевым, В.М. Павловым и Л.С. Шумилиной усовершенствована методика и программно-математическое обеспечение расчета повторяемости землетрясений. Сейсмическая опасность рассчитывается от источников трех видов (доменов, линеаментов и очагов). К доменам относятся квазиоднородные в тектоническом отношении объемы земной коры, характеризующиеся рассеянной сейсмичностью с
Mmax <= 5,5. Линеаменты являются сейсмоактивными структурами (разломами коры), порождающими землетрясения с 6,0 <=
Mmax <= 6,5. К очагам землетрясений отнесены наиболее опасные разломы с
Mmax >= 7,0
[39].
За период от 2000 г. до 2015 г. методика ВАСО (вероятностный анализ сейсмической опасности) использовалась при оценке повторяемости землетрясений и уточнении исходной сейсмичности на участках строительства около 100 транспортных сооружений в России.
Для выборки сооружений класса сейсмостойкости II уточнение исходной сейсмичности потребовало увеличение сейсмической нагрузки для 25% объектов, уменьшения нагрузки для 65% сооружений, сохранения нагрузки для 10% объектов. Близкие оценки погрешности определения сейсмической опасности получены для карты
ОСР-97-A.
Для оптимизации антисейсмических мероприятий в классе сооружений, проектируемых с риском
R = 1%, необходимо увеличение исходной сейсмичности, указанной на карте
ОСР-97-C для 55% объектов и уменьшение сейсмичности для 40% сооружений. Для 5% объектов исходная сейсмичность сохраняется.
(справочное)
ДРОБНЫЙ БАЛЛ СЕЙСМИЧЕСКОЙ ОПАСНОСТИ КАК МЕРА ИНТЕНСИВНОСТИ
КОЛЕБАНИЙ ГРУНТА ПРИ ЗЕМЛЕТРЯСЕНИЯХ
Б.1 Сейсмические шкалы. Параметры колебаний грунта при силе землетрясения, выраженной в долях целого балла
Сейсмические шкалы используются при определении силы землетрясения и оценке тяжести повреждений зданий и сооружений в районе стихийного бедствия, при построении карт общего сейсмического районирования и микрорайонирования, при разработке норм строительства в сейсмических районах в части регламентации параметров колебаний грунта при землетрясениях. От соответствия шкал наблюдаемым при землетрясениях явлениям зависит объем и состав антисейсмических мероприятий, величина социального, материального и экологического ущерба в сейсмоопасных районах.
Первая сейсмическая шкала разработана итальянцем М.С. де Росси и швейцарцем Ф.-А. Форелем в 1883 г. По разрушительному эффекту землетрясения в шкале Росси-Фореля подразделялись на десять классов, каждому из которых приписывался свой балл от I до X по мере увеличения тяжести повреждений. В 1902 г. итальянский сейсмолог Дж. Меркалли предложил 12-балльную шкалу. Применительно к условиям Японии первый вариант семибалльной шкалы был опубликован Р. Омори в 1900 г. Позже эти шкалы были дополнены параметрами колебаний грунта при землетрясениях.
В последующем были разработаны национальные и международные сейсмические шкалы. В США применяются модифицированные шкалы Меркалли (MM), составленные У. Вудом и Ф. Ньюманом (1931 г.) и Ч. Рихтером (1956 г.). В Японии с 1950 г. действует шкала Японского метеорологического общества (JMA). В России и ряде европейских стран сила землетрясения определяется в баллах шкалы MSK-64, разработанной С.В. Медведевым, В. Шпонхойером и В. Карником
[17].
Шкала MSK-64 выгодно отличается от шкал MM и JMA большей детальностью описания конструкций зданий и степенью их повреждений, а также учетом количественной характеристики поврежденных объектов (процента поврежденных зданий).
Несмотря на отмеченные преимущества перед американскими и японской шкалами, описательная часть шкалы MSK-64 имеет определенные недостатки, в частности относящиеся к описаниям повреждений дорожных и других специальных сооружений (отсутствуют данные о повреждениях подпорных стен, галерей, опор контактной сети, платформ, водопропускных труб, трансформаторов тяговых подстанций и др.).
Инструментальные записи колебаний грунта, обработанные С.В. Медведевым, А.Г. Назаровым, С.С. Дарбиняном и другими исследователями [
14,
16,
19,
69 -
71] показали, что наибольшие параметры колебаний земной поверхности существенно больше значений, приведенных в сейсмических шкалах. Это обстоятельство учтено при разработке
СП 269.1325800 и настоящего Пособия с учетом предложения С.В. Медведева
[16].
Исходная сейсмичность на картах общего сейсмического районирования задается в целых баллах сейсмической шкалы MSK-64. При УИС и СМР приращение сейсмической опасности получают, как правило, в десятичных долях целого балла. В результате выполнения УИС и СМР сила расчетного землетрясения отличается от целых чисел. В связи с этим необходимо установить понятие дробного балла сейсмической опасности как меры интенсивности колебаний грунта при землетрясениях. На основе анализа акселерограмм сильных и разрушительных землетрясений были получены различные эмпирические зависимости между ускорениями колебаний грунта и силой землетрясения, описываемые формулой где W - ускорение колебаний грунта в см/с2; I - сила землетрясения в баллах; k, c - эмпирические коэффициенты. Установлены следующие значения для коэффициентов формулы (Б.1): k = 0,3; c = 0,1. Следовательно, для землетрясений силой 7, 8, 9 и 10 баллов ускорения колебаний грунтов будут соответственно равны: 100 см/с 2, 199 см/с 2, 398 см/с 2 и 794 см/с 2. Эти значения ускорений от 7 до 9 баллов близки к средним значениям выборок максимальных ускорений при толчках соответствующей силы. Дополненная с учетом амплитуды перемещений инструментальная часть шкалы MSK-64 приведена в таблице Б.1. Таблица Б.1 Параметры колебаний среднего по сейсмическим свойствам грунта при землетрясениях силой 7 - 10 баллов |
| Сила землетрясения, баллы | Интервальные значения | |
ускорения, см/с2 | скорости, см/с | перемещения, см |
7 | 50 - 100 | 4,1 - 8,0 | 2,1 - 4,0 |
8 | 100 - 200 | 8,1 - 16,0 | 4,1 - 8,0 |
9 | 200 - 400 | 16,1 - 32,0 | 8,1 - 16,0 |
10 | 400 - 800 | 32,1 - 64,0 | 16,1 - 32,0 |
|
Примечание - по предложению С.В. Медведева
[16] средние интервальные значения параметров колебаний грунта в шкале MSK-64 следует увеличить до максимальных интервальных значений с соответствующим изменением границ интервалов.
В СП 14.13330 ускорения грунта в основаниях сооружений, соответствующие расчетному землетрясению, принимаются равными 100, 200 и 400 см/с 2 в районах сейсмичностью 7, 8 и 9 баллов (при средних грунтовых условиях). В СП 14.13330 не регламентированы ускорения колебаний грунта при 10-балльных землетрясениях, а также отсутствуют данные о скоростях колебаний и перемещениях грунта при землетрясениях силой от 7 до 10 баллов. Графики зависимостей (рисунок Б.1) между силой землетрясения I и ускорением колебаний грунта W по экспериментальным данным (непрерывная функция), при составлении шкалы MSK-64 (ступенчатая функция) и разработке строительных норм и правил (дискретная функция, показанная на рисунке точками) существенно отличаются. Рисунок Б.1 - Зависимости между ускорением колебаний грунта и силой землетрясения по экспериментальным данным (а), по шкале MSK-64 (б) и по строительным нормам и правилам (в) Особенность представления искомой зависимости I = f(W) ступенчатой функцией, принятой в шкале MSK-64, состоит в том, что вблизи граничных значений ускорения 50, 100, 200 и 400 см/с2 опасность землетрясений уменьшается или увеличивается сразу на один балл при самых незначительных изменениях ускорения. В случае применения дискретной функции ( рисунок Б.1, в) ускорения на всей территории каждой из зон сейсмичностью 7, 8 и 9 баллов получаются одинаковыми, т.е. равными 100, 200 и 400 см/с 2, хотя в действительности ускорения вблизи границ смежных зон должны быть близки и не зависеть от того, в какой зоне измеряется ускорение. Замена ступенчатой и дискретной функций непрерывной зависимостью соответствует наблюдаемому увеличению степени повреждений конструкций по мере роста ускорений колебаний грунта. Использование непрерывной зависимости силы землетрясения от ускорения колебаний грунта позволяет избежать необоснованного занижения сейсмической опасности в одних случаях и перерасхода средств на антисейсмические мероприятия в других случаях. Близкий эффект получается в случае представления искомой зависимости I = f(W) ступенчатой функцией с малым шагом по балльности. Формула (Б.1) задает зависимость ускорения грунта W от силы землетрясения I в виде геометрической прогрессии (при целых значениях I) или в виде показательной функции (при любом I). Так, из формулы (Б.1) следует, что W = 10 kI - c и отношение ускорений при толчках силой I + 1 и I равно  , т.е. ускорения образуют геометрическую прогрессию со знаменателем 10 k, где k = 0,3, и последовательность ускорений имеет знаменатель  . ai = a1qi-1, где a1 - первый член прогрессии; ai - i-й член прогрессии; q - знаменатель прогрессии. В качестве первого члена прогрессии принимают W = 100 см/с2, т.е. ускорение, соответствующее толчку силой 7 баллов. Общий член ряда (прогрессии) определяют по формуле  (Б.2) где  - приращение балльности по отношению к исходному (седьмому) баллу. С помощью формулы (Б.2) определяют значения ускорений колебаний грунта в диапазоне балльности от 7 до 10 баллов с шагом 0,1 балла ( таблицы Б.2 - Б.4). Подобным образом можно определить скорости и перемещения при колебаниях грунта в том же диапазоне балльности. Таблица Б.2 Параметры колебаний грунта при силе землетрясения, выраженной в долях целого балла (7,0 <= I <= 7,9) |
| Сила землетрясения, баллы | Расчетные параметры горизонтальных колебаний грунта | |
Перемещение U, см | Скорость V, см/с | Ускорение W, см/с2 |
7,0 | 4,0 - 4,3 | 8,0 - 8,6 | 100 - 107 |
7,1 | 4,3 - 4,6 | 8,6 - 9,2 | 107 - 115 |
7,2 | 4,6 - 4,9 | 9,2 - 9,8 | 115 - 123 |
7,3 | 4,9 - 5,3 | 9,8 - 10,6 | 123 - 132 |
7,4 | 5,3 - 5,7 | 10,6 - 11,3 | 132 - 141 |
7,5 | 5,7 - 6,1 | 11,3 - 12,1 | 141 - 152 |
7,6 | 6,1 - 6,5 | 12,1 - 13,0 | 152 - 162 |
7,7 | 6,5 - 7,0 | 13,0 - 13,9 | 162 - 174 |
7,8 | 7,0 - 7,5 | 13,9 - 14,9 | 174 - 187 |
7,9 | 7,5 - 8,0 | 14,9 - 16,0 | 187 - 200 |
Таблица Б.3 Параметры колебаний грунта при силе землетрясения, выраженной в долях целого балла (8,0 <= I <= 8,9) |
| Сила землетрясения, баллы | Расчетные параметры горизонтальных колебаний грунта | |
Перемещение U, см | Скорость V, см/с | Ускорение W, см/с2 |
8,0 | 8,0 - 8,6 | 16,0 - 17,1 | 200 - 214 |
8,1 | 8,6 - 9,2 | 17,1 - 18,4 | 214 - 230 |
8,2 | 9,2 - 9,8 | 18,4 - 19,7 | 230 - 246 |
8,3 | 9,8 - 10,6 | 19,7 - 21,1 | 246 - 264 |
8,4 | 10,6 - 11,3 | 21,1 - 22,6 | 264 - 283 |
8,5 | 11,3 - 12,1 | 22,6 - 24,3 | 283 - 303 |
8,6 | 12,1 - 13,0 | 24,3 - 26,0 | 303 - 325 |
8,7 | 13,0 - 13,9 | 26,0 - 27,9 | 325 - 348 |
8,8 | 13,9 - 14,9 | 27,9 - 29,9 | 348 - 373 |
8,9 | 14,9 - 16,0 | 29,9 - 32,0 | 373 - 400 |
Таблица Б.4 Параметры колебаний грунта при силе землетрясения, выраженной в долях целого балла (9,0 <= I <= 9,9) |
| Сила землетрясения, баллы | Расчетные параметры горизонтальных колебаний грунта | |
Перемещение U, см | Скорость V, см/с | Ускорение W, см/с2 |
9,0 | 16,0 - 17,1 | 32,0 - 34,3 | 400 - 429 |
9,1 | 17,1 - 18,4 | 34,3 - 36,8 | 429 - 460 |
9,2 | 18,4 - 19,7 | 36,8 - 39,4 | 460 - 492 |
9,3 | 19,7 - 21,1 | 39,4 - 42,2 | 492 - 528 |
9,4 | 21,1 - 22,6 | 42,2 - 45,3 | 528 - 566 |
9,5 | 22,6 - 24,3 | 45,3 - 48,5 | 566 - 606 |
9,6 | 24,3 - 26,0 | 48,5 - 51,9 | 606 - 650 |
9,7 | 26,0 - 27,9 | 51,9 - 55,7 | 650 - 696 |
9,8 | 27,9 - 29,9 | 55,7 - 59,7 | 696 - 746 |
9,9 | 29,9 - 32,0 | 59,7 - 64,0 | 746 - 800 |
Пример Б.1. Требуется уточнить ускорения колебаний среднего по сейсмическим свойствам грунта для участка эстакады, расположенной на расстоянии  от потенциального очага землетрясения. Максимальная магнитуда землетрясений M = 6,8. Средняя глубина очагов hср = 12 км. Наибольшую силу сотрясений среднего по сейсмическим свойствам грунта вблизи эстакады определяют по уравнению макросейсмического поля где b = 1,5; s = 3,6; c = 3,1. При подстановке в уравнение значений всех параметров находят I = 8,2 балла. По таблице Б.3 расчетное ускорение колебаний грунта W = 246 см/с 2. По шкале MSK-64 такому ускорению соответствует землетрясение силой 9 баллов, при котором нормативное ускорение следует принимать равным 400 см/с 2. Таким образом, в рассматриваемом случае можно существенно уменьшить сейсмическую нагрузку за счет использования дробных баллов как меры интенсивности колебаний грунта. |
Б.2 Оценка граничных и средних интервальных значений параметров колебаний грунта
Оценки приведенных в
таблице Б.5 параметров колебаний грунта при землетрясениях силой 7 - 10 баллов основаны на следующих предпосылках (аксиомах)
[49]:
1) Нормируются параметры колебаний грунта при интенсивности сотрясений 7, 8, 9 и 10 баллов;
2) Смещения, скорости и ускорения колебаний, соответствующие упомянутым баллам, образуют геометрические прогрессии со знаменателем 2,0;
3) Интервалы изменения параметров колебаний, соответствующие соседним баллам, не пересекаются между собой, непрерывно переходя один в другой;
4) Средние интервальные параметры колебаний грунта при сотрясениях интенсивностью 7 баллов принимаются: смещение - 4,0 см, скорость - 8,0 см/с, ускорение - 100 см/с2.
Сейсмическая шкала, удовлетворяющая принятым предпосылкам, приводится в
таблице Б.5.
Таблица Б.5
Параметры колебаний грунта при сильных землетрясениях
Сейсмическая интенсивность, баллы | Перемещение U, см | Скорость V, см/с | Ускорение W, см/с2 |
7 | 2,8 - 5,7 ---------- 4,0 | 5,7 - 11,3 ----------- 8,0 | 70,7 - 141 ------------ 100 |
8 | 5,7 - 11,3 ----------- 8,0 | 11,3 - 22,6 ------------ 16,0 | 141 - 283 ----------- 200 |
9 | 11,3 - 22,6 ------------ 16,0 | 22,6 - 45,2 ------------ 32,0 | 283 - 566 ----------- 400 |
10 | 22,6 - 45,2 ------------ 32,0 | 45,2 - 90,5 ------------ 64 | 566 - 1131 ------------- 800 |
Примечание - в числителях даны граничные значения кинематических параметров, в знаменателях - средние интервальные значения. Зависимость средних интервальных параметров колебаний грунта от интенсивности сотрясений может быть представлена в аналитической
форме (Б.2). Это позволяет ввести понятие дробного балла сейсмической интенсивности для уточнения оценок сейсмической опасности до 0,1 балла.
Б.3 Проверка шкалы
Для проверки правильности найденных средних интервальных параметров колебаний рассмотрены смещения, скорости и ускорения грунта при горизонтальных сотрясениях интенсивностью 9 и 10 баллов. Объем выборки соответственно составляет 128 и 45 землетрясений, происшедших в США, Мексике, Японии, Иране, на Тайване, в Алжире, Узбекистане и Киргизии с 1933 года по настоящее время [
14,
69 -
72].
Гистограммы параметров колебаний показаны на
рисунках Б.2 -
Б.5. Средние характеристики рядов распределения случайных величин найдены по известным формулам математической статистики.
Рисунок Б.2 - Распределение наибольших амплитуд
горизонтальных колебаний грунта при землетрясениях
силой 9 баллов: объем выборки n = 128; среднее значение
наибольших амплитуд Uср = 12,9 см
Рисунок Б.3 - Распределение наибольших скоростей
горизонтальных колебаний грунта при землетрясениях
силой 9 баллов: объем выборки n = 128; среднее значение
наибольших скоростей Vср = 33,9 см/с
Рисунок Б.4 - Распределение наибольших ускорений
горизонтальных колебаний грунта при землетрясениях
силой 9 баллов: объем выборки n = 128; среднее значение
наибольших ускорений Wср = 381 см/с2
Рисунок Б.5 - Распределение наибольших ускорений
горизонтальных колебаний грунта при землетрясениях
силой 10 баллов: объем выборки n = 45; среднее значение
наибольших ускорений Wср = 763 см/с2
Для дополнительной проверки возможных вибрационных смещений грунта рассмотрены данные об остаточных смещениях фундаментов опор эстакады в г. Спитаке при землетрясении 1988 г.
Длина эстакады - 477,8 м. Опоры рамные, двухстоечные высотой от 9 до 23 м. Фундаменты опор выполнены в виде отдельных железобетонных стаканов размером в плане 3 x 3,5 м высотой 2 м. Стаканы опираются на железобетонные плиты размером в плане 4 x 5 м и высотой 0,4 м, уложенные на щебеночную подготовку толщиной 15 см. Две опоры на левом берегу р. Памбак запроектированы на фундаментах из свай диаметром 0,63 м и длиной 8 м.
Геологический разрез вдоль оси эстакады представлен в верхней части песком средней плотности, залегающим на галечниковом грунте с песчаным заполнителем средней плотности. На небольших участках имеются линзы тугопластичной глины и пластичной супеси. Крутизна пологого берегового склона р. Памбак около 1:25.
На момент землетрясения строительство эстакады еще не завершилось. На площадках большинства опор были устроены фундаменты и установлены стойки, не объединенные ригелями в рамы.
По данным геодезической съемки, выполненной до и после землетрясения, фундаменты стоек сместились вдоль и поперек оси эстакады максимально на 22,1 см и 20,8 см соответственно. Наибольшее смещение под углом к оси эстакады составило 29 см. Гистограмма смещений фундаментов показана на
рисунке Б.6.
Рисунок Б.6 - Распределение горизонтальных перемещений
фундаментов опор эстакады в г. Спитаке при землетрясении
1988 г. силой 9 баллов: объем выборки n = 25;
среднее значение перемещений Uср = 12,1 см
Сопоставление средних значений пиковых параметров колебаний и остаточных смещений грунта при толчках интенсивностью 9 и 10 баллов по
таблице Б.5 с данными инструментальных наблюдений приводится в
таблице Б.6.
Таблица Б.6
Сопоставление параметров горизонтальных колебаний грунта
Источники информации | Интенсивность сотрясений |
9 баллов | 10 баллов |
Смещение U, см | Скорость V, см/с | Ускорение W, см/с2 | Ускорение W, см/с2 |
| 16,0 | 32,0 | 400 | 800 |
Данные обработки инструментальных наблюдений в США и в других странах | 12,9 | 33,9 | 381 | 763 |
Данные геодезических измерений в Армении | 12,1 | - | - | - |
Сопоставление средних значений пиковых параметров колебаний и остаточных смещений грунта при вибрациях интенсивностью 9 и 10 баллов с данными
таблицы Б.5 показывает отклонение инструментальных амплитуд от табличных значений на 20 - 25% для перемещений и на 5 - 6% для скоростей и ускорений колебаний грунта.
Аналитическая форма сейсмической шкалы позволяет оценивать интенсивность сотрясений грунта в десятых долях балла. Это повышает эффективность использования результатов работ по уточнению исходной сейсмичности и сейсмомикрорайонированию, которые следует выполнять без округления сейсмичности участков (площадок) строительства до целых баллов.
(справочное)
РЕГИОНАЛЬНЫЕ КОЭФФИЦИЕНТЫ УРАВНЕНИЯ МАКРОСЕЙСМИЧЕСКОГО ПОЛЯ
| Таблица В.1 |
| Сейсмоактивные регионы и субрегионы | Коэффициенты уравнения макросейсмического поля | |
b | s | c |
Крым | 1,5 | 3,5 | 3,0 |
Нижняя Кубань | 1,5 | 3,5 | 3,0 |
Таманский полуостров | 1,5 | 3,5 | 3,0 |
Северный Кавказ | 1,6 | 3,1 | 2,2 |
Дагестан | 1,5 | 3,6 | 3,1 |
Алтай и Саяны | 1,5 | 3,5 | 3,0 |
Прибайкалье | 1,5 | 4,0 | 4,0 |
Якутия и Северо-Восток Российской Федерации | 1,5 | 3,5 | 3,0 |
Приморье и Приамурье | 1,5 | 3,5 | 3,0 |
о. Сахалин | 1,6 | 4,3 | 3,3 |
Курильские о-ва | 1,5 | 4,5 | 4,5 |
п-ов Камчатка | 1,5 | 2,6 | 2,5 |
п-ов Чукотка | 1,5 | 3,5 | 3,0 |
Балтийский щит | 1,5 | 3,5 | 3,0 |
Европейская часть Российской Федерации | 1,5 | 3,5 | 3,0 |
Урал и Западная Сибирь | 1,5 | 3,5 | 3,0 |
|
(справочное)
МЕТОДИКА РАСЧЕТА СКЛОНОВ НА СЕЙСМОУСТОЙЧИВОСТЬ
Расчет сейсмоустойчивости склонов имеет некоторые особенности, отличающие его от расчета склонов на устойчивость с учетом исключительно гравитационных и гидростатических сил. К этим особенностям относятся: - появление дополнительных (сейсмических) сил, сдвигающих покровные отложения относительно коренной породы и изменяющих давление оползневого тела на основание; - изменение физико-механических свойств грунта при сейсмическом воздействии; - снижение требований к запасу устойчивости склона до Kуст = 1,2, учитывающее кратковременность действия сейсмических сил. Существо приведенной ниже методики состоит в делении оползневого тела на несколько отсеков с вертикальными боковыми гранями. Силы, действующие на противоположные боковые грани каждого отсека, считаются одинаковыми и при расчете устойчивости оползневого тела не учитываются. На каждый отсек оползневого тела в его центре тяжести действуют активные силы (веса Qi, гидростатического взвешивания Wi, горизонтальная Sгi и вертикальная Sвi силы инерции). Эти силы вызывают нормальное к подошве отсека давление Ni и сдвигающее усилие Ti, касательное к линии скольжения. Схемы сил, приложенных в центрах тяжести отсеков и по их подошвам, показаны на рисунке Г.1. |
а) | б) |
| |
а - отсек располагается в пределах оползающей части склона; б - отсек находится на удерживающей оползень части склона Рисунок Г. 1 - Схемы сил в границах выделенного отсека оползневого тела Коэффициент устойчивости отсека с номером i и размером 1 м из плоскости продольного сечения тела оползня определяется как отношение суммы сил трения и сцепления, удерживающих отсек от сдвига по контакту с подстилающей породой, к величине сдвигающих сил (проекции внешних сил на касательную к линии скольжения), т.е.  (Г.1) где Ni - проекция активных сил на нормаль к линии сдвига;  - нормативный угол внутреннего трения; ci - нормативное сцепление; li - длина подошвы отсека; Ti - проекция активных сил на касательную к линии сдвига. Для нахождения коэффициента устойчивости проверяемого массива, состоящего из n отсеков, необходимо суммировать удерживающие и сдвигающие силы вдоль линии сдвига по формуле  (Г.2) Нормальная к линии сдвига составляющая активных сил Ni зависит от веса отсека Qi, силы гидростатического взвешивания Wi, горизонтальной Sгi и вертикальной Sвi сейсмических сил, угла  падения линии сдвига. Последний принимаем положительным в пределах сползающей части склона и отрицательным для удерживающей части. Ni определяют по формуле  (Г.3) Сила гидростатического взвешивания зависит от уровня воды в грунте и объема скелета грунта ниже этого уровня, составляя некоторую долю от веса грунта отсека Wi = Kвзв,iQi, где Kвзв,i - коэффициент гидростатического взвешивания i-го отсека. Вертикальная сейсмическая сила Sвi зависит от ускорения колебаний aв центра масс (тяжести) выделенного отсека в вертикальном направлении. Эта сила может быть найдена по формуле  , где g - ускорение свободного падения. Следовательно, сила Ni определяется формулой  (Г.4) При вертикальном давлении от веса грунта на единицу площади горизонтальной проекции подошвы отсека  и усилии среза в горизонтальной плоскости от сейсмической силы  :  (Г.5) После замены величины di произведением  получают для определения сил, удерживающих отсек от сдвига, формулу  (Г.6) Касательная составляющая активных сил Ti зависит от веса отсека Qi, силы гидростатического взвешивания Wi, вертикальной Sвi и горизонтальной Sгi сейсмических сил, а также от угла падения линии сдвига . Величину Ti определяют по формуле:  (Г.7) Произведя замены  , Qi = qidi, Sгi = sidi, Wi = Kвзв,iQi и , получают:  (Г.8) Согласно исходной зависимости (Г.2) и полученным выражениям для удерживающих (Г.6) и сдвигающих (Г.8) сил коэффициент сейсмоустойчивости выделенного массива грунта определяют по формуле  (Г.9) где qi - вертикальное давление от веса грунта на единицу площади горизонтальной проекции подошвы отсека, тс/м2; si - усилие сдвига в горизонтальной плоскости в уровне подошвы отсека от сейсмической нагрузки, тс/м2; ci - нормативное сцепление между проверяемым на сдвиг массивом грунта и подстилающей породой, тс/м2;  - нормативный угол внутреннего трения грунта по поверхности сдвига, град; aв - модуль ускорения колебаний центра масс отсека в вертикальном направлении, м/с2; g - ускорение свободного падения, м/с2;  - угол падения подошвы отсека, град. При отсутствии сил гидростатического взвешивания коэффициент сейсмоустойчивости склона определяют по формуле  (Г.10) Согласно методике расчета по предельным состояниям давление от веса грунта следует определять с учетом коэффициентов перегрузки (надежности по нагрузке), которые могут быть больше или меньше единицы в зависимости от того, в какой части массива (с падением подошвы отсека в сторону предполагаемого сдвига грунта или с ее падением в противоположную сторону) находится данный отсек. Силы, препятствующие сдвигу частиц грунта при прохождении сейсмических волн, могут существенно изменяться, вплоть до полного исчезновения, после чего наступает разжижение грунта, сопровождаемое образованием потоков разжиженных отложений. На основании натурных и экспериментальных данных при расчете склонов на сейсмоустойчивость следует уменьшать расчетное сопротивление грунтов сдвигу по сравнению с расчетами на статические нагрузки. При проектировании объектов транспортного строительства в сейсмических районах принято уменьшать нормативный угол внутреннего трения грунта  на 1,5°, 3,0° и 6,0° при расчетной сейсмичности 7, 8 и 9 баллов соответственно. Одновременно снижается значение нормативного удельного сцепления грунта c на 10%, 20% и 40% по сравнению с расчетами на основное сочетание нагрузок. При ускорении колебаний расчетной толщи грунта, отличающемся от приведенных значений, снижение  и c находят с помощью линейной интерполяции. Пример Г.1. Проверяемый на сейсмоустойчивость участок склона вблизи поверхности сложен суглинком полутвердой консистенции с нормативной плотностью 1,96 т/м 3, углом внутреннего трения  и удельным сцеплением c = 2,5 тс/м 2. Суглинок подстилается аргиллитом пониженной прочности. По данным обследований, на склоне не замечены следы современных подвижек. Возможная линия сдвига в слое суглинка принята в виде ломаной, а тело предполагаемого оползня состоящим из пяти сегментов. Горизонтальная проекция линии сдвига имеет длину 25 м (рисунок Г.2). Рисунок Г.2 - Положение предполагаемой поверхности сдвига в слое суглинка Значения тригонометрических функций угла падения  подошвы отсеков приведены в таблице Г.1. |
Таблица Г.1 Значения тригонометрических функций угла падения подошвы отсеков |
| Номер отсека | Угол падения подошвы отсека  , град | | | | | |
1 | -21,8 | -0,37 | 0,93 | -0,34 | 0,86 |
2 | -11,3 | -0,19 | 0,98 | -0,19 | 0,96 |
3 | 5,7 | 0,10 | 0,99 | 0,10 | 0,98 |
4 | 31,0 | 0,51 | 0,86 | 0,44 | 0,74 |
5 | 60,9 | 0,87 | 0,49 | 0,43 | 0,24 |
Коэффициент сейсмоустойчивости склона определяют по формуле (Г.10). В данной формуле величина qi (вертикальное давление от веса грунта на единицу площади горизонтальной проекции подошвы i-го отсека) определяется по нормативной плотности суглинка  с учетом коэффициента надежности по нагрузке n = 0,9 для отсеков N 1, 2 и n = 1,2 для отсеков N 3, 4, 5. Весовые характеристики отсеков и давление от веса грунта на их подошву приведены в таблице Г.2. |
Таблица Г.2 Вертикальное давление грунта и силы горизонтального сдвига в уровне подошвы отсеков |
| Номер отсека | Площадь сечения отсека Fi, м2 | Вес отсека Qi, тс | Давление от веса отсека на его подошву qi, тс/м2 | Усилие горизонтального сдвига в уровне подошвы отсека от сейсмической нагрузки Si, тс | Напряжение в грунте при сдвиге si, тс/м2 | |
1 | 7,5 | 13,2 | 2,64 | 0,66 | 0,13 |
2 | 20,0 | 35,3 | 7,06 | 1,76 | 0,35 |
3 | 31,2 | 73,4 | 14,68 | 3,67 | 0,73 |
4 | 35,0 | 83,3 | 16,66 | 4,16 | 0,83 |
5 | 16,2 | 38,1 | 7,62 | 1,90 | 0,38 |
В таблице Г.2 также приведены усилия горизонтального среза Si от веса отсеков при уточненной сейсмичности района строительства 8 баллов. Усилия среза определяются по формуле Si = KсQi, где Kс = 0,05 - коэффициент сейсмичности, равный расчетному значению амплитуды горизонтальных ускорений грунта в центре масс отсека, выраженный в долях ускорения свободного падения. Коэффициент Kс принят с учетом влияния на ускорения колебаний центра масс сейсмических свойств грунта, заглубления центра масс оползневого тела относительно поверхности склона и возможных неупругих деформаций покровных отложений. Напряжение сдвига в грунте в уровне подошвы отсеков вычисляют по формуле где b = 1 м - размер отсека из плоскости продольного сечения склона; di = 5 - ширина отсека в горизонтальном направлении в плоскости чертежа (рисунок Г.2). Нормальное напряжение  на предполагаемой поверхности сдвига определяют в зависимости от вертикального давления qi и напряжений от вертикальной и горизонтальной сейсмической нагрузки в уровне подошвы i-го отсека. Результаты вычислений приведены в таблице Г.3 при значении  , принятом без учета неупругих деформаций грунта для повышения надежности оценки сейсмоустойчивости склона. |
Таблица Г.3 Нормальные напряжения на поверхности сдвига |
| Номер отсека | Напряжение от веса грунта , тс/м 2 | Напряжение от вертикальной составляющей сейсмической нагрузки  , тс/м 2 | Напряжение от горизонтальной составляющей сейсмической нагрузки  , тс/м 2 | Суммарное напряжение от веса грунта и сейсмической нагрузки  , тс/м 2 | |
1 | 2,27 | -0,23 | 0,04 | 2,08 |
2 | 6,78 | -0,68 | 0,07 | 6,17 |
3 | 14,39 | -1,44 | -0,07 | 12,88 |
4 | 12,33 | -1,23 | -0,13 | 10,97 |
5 | 1,83 | -0,18 | -0,16 | 1,49 |
Касательные напряжения на поверхности сдвига зависят от веса грунта оползневого тела и сил инерции от его массы, действующих в вертикальном и горизонтальном направлениях. Касательные напряжения приведены в таблице Г.4. |
Таблица Г.4 Касательные напряжения на поверхности сдвига |
| Номер отсека | Касательные напряжение от веса грунта  , тс/м 2 | Касательные напряжения от вертикальной составляющей сейсмической нагрузки  , тс/м 2 | Касательные напряжения от горизонтальной составляющей сейсмической нагрузки  , тс/м 2 | Суммарные касательные напряжения сдвига  , тс/м 2 | |
1 | -0,90 | 0,09 | 0,11 | -0,70 |
2 | -1,34 | 0,13 | 0,34 | -0,87 |
3 | 1,47 | -0,15 | 0,71 | 2,03 |
4 | 7,33 | -0,73 | 0,61 | 7,21 |
5 | 3,28 | -0,33 | 0,09 | 3,04 |
Найденные нормальные и касательные напряжения на поверхности сдвига позволяют определить силы, удерживающие и сдвигающие выделенный массив грунта. При определении удерживающих сил угол внутреннего трения  уменьшают на 3°, удельное сцепление снижают на 20%. При оценке устойчивости склона принимают  и cр = 0,8·2,5 = 2,0 тс/м 2. Расчетные значения удерживающих и сдвигающих сил приведены в таблице Г.5. Сумма удерживающих сил Sуд = 119,88 тс, сумма сдвигающих сил Sсд = 76,76 тс. |
Таблица Г.5 Распределение сил трения, сцепления и сдвига вдоль линии скольжения при  и cр = 2,0 тс/м 2 |
| Номер отсека | Ширина отсека di, м | Длина отрезка сдвига li, м | Силы трения | Силы сцепления | Силы сдвига | |
Погонные  , тс/м | На отсек  , тс | Погонные ci, тс/м | На отсек cili, тс | Погонные  , тс/м | На отсек Ti, тс |
1 | 5,0 | 5,4 | 0,64 | 3,46 | 2,0 | 10,80 | -0,70 | -3,78 |
2 | 5,0 | 5,1 | 1,89 | 9,64 | 2,0 | 10,20 | -0,87 | -4,44 |
3 | 5,0 | 5,0 | 3,94 | 19,70 | 2,0 | 10,00 | 2,03 | 10,15 |
4 | 5,0 | 5,8 | 3,36 | 19,49 | 2,0 | 11,60 | 7,21 | 41,82 |
5 | 5,0 | 10,2 | 0,45 | 4,59 | 2,0 | 20,40 | 3,04 | 31,01 |
Коэффициент устойчивости склона при землетрясении силой 8 баллов  , т.е. склон в природном состоянии имеет достаточный запас сейсмоустойчивости. |
(справочное)
ОПРЕДЕЛЕНИЕ УСЛОВНОГО СОПРОТИВЛЕНИЯ ГРУНТОВ СЖАТИЮ
ПРИ СЕЙСМИЧЕСКОМ МИКРОРАЙОНИРОВАНИИ
Д.1 Общие положения
Известные зависимости между модулем деформации глинистых грунтов, углом внутреннего трения песков, прочностью скальных грунтов при сжатии и скоростью
S-волн не полностью охватывают разнообразные инженерно-геологические условия, встречающиеся при строительстве. В связи с этим при сейсмическом микрорайонировании участков транспортных сооружений используют
зависимости (6.7) и
(6.8), обобщающие результаты СМР многих участков мостов и других сооружений на Северном Кавказе, в Сибири и на Дальнем Востоке.
Согласно СП 35.13330 расчетное сопротивление R нескальных грунтов осевому сжатию рекомендуется определять в зависимости от условного сопротивления R0 грунта сжатию, размеров (меньшей стороны или диаметра) фундамента мелкого заложения или опускного колодца в плане, глубины заложения фундамента и удельного веса грунта выше его подошвы. Перечисленные исходные данные применяют также при определении сопротивления сжатию грунтов оснований фундаментов зданий и сооружений по СП 22.13330. Расчетное сопротивление грунтов сжатию R незначительно отличается от условного сопротивления R0, так как поправки на размер фундамента и глубину его заложения обычно не превышают 10 - 20% от R. Таким образом, расчетное сопротивление грунтов сжатию в основном определяется условным сопротивлением R0, зависящим от физических свойств грунта. Использование условного сопротивления R0 в качестве индикатора скорости распространения S-волн в грунте требует введения некоторых дополнений и изменений в методику, применяемую для вычисления R0 при статическом расчете оснований опор мостов на прочность. Приведенная ниже методика определения R0 применительно к задаче сейсмического микрорайонирования относится к участкам строительства транспортных сооружений, сложенных глинистыми, песчаными и крупнообломочными грунтами, а также скальными грунтами в зоне выветривания. После определения при изысканиях условного сопротивления сжатию R0 грунтов расчетной толщи скорости VS в слоях могут быть найдены с использованием формул (6.7) и (6.8). Д.2 Глинистые грунты Изложенная в СП 35.13330 методика определения R0 с использованием физических характеристик (показателя текучести IL и коэффициента пористости e) относится к супесям, суглинкам и глинам от мягкопластичной до полутвердой консистенции, т.е. имеющим показатель текучести 0 <= IL <= 0,6. В этом диапазоне IL величина R0 изменяется у супесей от 10 до 35 тс/м 2, у суглинков от 10 до 40 тс/м 2, у глин от 10 до 60 тс/м 2 (таблица Д.1). |
Таблица Д.1 Условное сопротивление грунтов сжатию при неотрицательных значениях показателя текучести |
| Грунты | Коэффициент пористости e | Условное сопротивление грунта сжатию R0, тс/м2, в зависимости от показателя текучести IL | |
0 | 0,1 | 0,2 | 0,3 | 0,4 | 0,5 | 0,6 |
Супеси | 0,5 | 35 | 30 | 25 | 20 | 15 | 10 | - |
0,7 | 30 | 25 | 20 | 15 | 10 | - | - |
Суглинки | 0,5 | 40 | 35 | 30 | 25 | 20 | 15 | 10 |
0,7 | 35 | 30 | 25 | 20 | 15 | 10 | - |
1,0 | 30 | 25 | 20 | 15 | 10 | - | - |
Глины | 0,5 | 60 | 45 | 35 | 30 | 25 | 20 | 15 |
0,6 | 50 | 35 | 30 | 25 | 20 | 15 | 10 |
0,8 | 40 | 30 | 25 | 20 | 15 | 10 | - |
1,1 | 30 | 25 | 20 | 15 | 10 | - | - |
При отрицательном показателе текучести IL < 0 глинистые грунты переходят в твердое состояние с повышением R0 до 3 - 5 раз по сравнению с полутвердыми грунтами. Для твердых глинистых грунтов значение R0 по СП 35.13330 следует определять на основании данных испытаний образцов на одноосное сжатие. При этом значение R0 принимают для супесей не более 100 тс/м 2, для суглинков не более 200 тс/м 2, для глин не более 300 тс/м 2. В природных условиях глинистые грунты одного и того же выделенного на участке строительства инженерно-геологического элемента (слоя) могут в одних точках находиться в полутвердом состоянии, в других точках - в твердом. В этом случае для оценки R0 используют физические характеристики проб грунта. Если среднее значение IL частных определений оказывается отрицательным, то в запас надежности среднее значение IL принимают равным нулю и определяют R0 как для грунта полутвердой консистенции в зависимости от e. Увеличение фактического отрицательного значения показателя текучести IL твердого грунта до нуля приводит к занижению его условной прочности на сжатие, что противоречит общему требованию СП 35.13330 о принятии проектных решений, обеспечивающих наиболее полное использование прочностных характеристик грунта. Для использования при СМР таблицу функции R0 = f( IL, e) следует дополнить значениями R0 для отрицательных величин IL (таблица Д.2), т.е. для твердых глинистых грунтов. |
Таблица Д.2 Условное сопротивление грунтов сжатию при отрицательных значениях показателя текучести |
| Грунты | Коэффициент пористости e | Условное сопротивление грунта сжатию R0, тс/м2, в зависимости от показателя текучести IL | |
-0,5 | -0,4 | -0,3 | -0,2 | -0,1 |
Супеси | 0,3 | 65 | 60 | 55 | 50 | 45 |
0,5 | 60 | 55 | 50 | 45 | 40 |
0,7 | 55 | 50 | 45 | 40 | 35 |
Суглинки | 0,3 | 70 | 65 | 60 | 55 | 50 |
0,5 | 65 | 60 | 55 | 50 | 45 |
0,7 | 60 | 55 | 50 | 45 | 40 |
1,0 | 55 | 50 | 45 | 40 | 35 |
Глины | 0,4 | 145 | 130 | 115 | 100 | 85 |
0,5 | 135 | 120 | 105 | 90 | 75 |
0,6 | 125 | 110 | 95 | 80 | 65 |
0,8 | 90 | 80 | 70 | 60 | 50 |
1,1 | 55 | 50 | 45 | 40 | 35 |
В таблице Д.2 приведены значения R0 для твердых супесей, суглинков и глин при -0,5 <= IL <= -0,1 и e от 0,3 до 0,7 для супесей, от 0,3 до 1,0 для суглинков и от 0,4 до 1,1 для глин, полученные линейной экстраполяцией величин R0, приведенных в таблице Д.1. Пример Д.1. Коренные породы на участке реконструкции моста через р. Адагум (Краснодарский край) представлены аргиллитоподобной глиной. Физико-механические свойства глины определены исследованием опытных образцов, извлеченных при бурении семи разведочных скважин глубиной заложения до 30 м. Всего для лабораторных исследований отобрано 58 образцов с глубин 1,5 - 29,2 м. Показатель текучести IL образцов менялся в диапазоне от минус 0,51 до плюс 0,22. Среднее значение IL для всей совокупности образцов равно минус 0,20. Таким образом, в отдельных местах глина имеет полутвердую консистенцию, но в среднем массив относится к твердым глинам. Коэффициент пористости образцов глины лежит в интервале значений от 0,62 до 1,27 при среднем значении частных определений 0,94. Условное сопротивление глины R0 = 35,9 тс/м 2 определено по таблице Д.1, как для полутвердого грунта с показателем текучести IL = 0. При СМР R0 следует определять по таблице Д.2 с учетом среднего для массива значения IL = -0,20. В этом случае условное сопротивление глины сжатию равно 50,7 тс/м 2, т.е. примерно в 1,4 раза больше, чем принято при выполнении статических расчетов оснований на прочность. На практике также встречаются грунты, имеющие положительное среднее значение IL при изменении показателя текучести IL в отдельных точках инженерно-геологического элемента от отрицательных до положительных значений. В этом случае для определения R0 по физическим характеристикам IL и e грунта следует пользоваться таблицей Д.1 при оценках R0 для статических расчетов и при СМР. Пример Д.2. При изысканиях на участке строительства пешеходного моста на ст. Тихорецкая (Краснодарский край) пробурены три разведочные скважины глубиной по 20 м каждая. По данным разведочного бурения, с поверхности участка залегает слой насыпного грунта толщиной от 1,1 до 3,1 м. Ниже залегает суглинок полутвердой консистенции (IL = 0,03) с маломощными прослоями тугопластичного суглинка (IL = 0,36). Суммарная мощность слоев суглинка от 6,7 до 10,5 м. Суглинки подстилаются глиной от твердой (минимальное значение частных определений IL = -0,12) до полутвердой (наибольшее значение выборки IL = 0,13) консистенции. Нормативное значение показателя текучести IL = 0,04, т.е. в среднем глина имеет полутвердую консистенцию. При коэффициенте пористости e = 0,69 соответствующее физическим характеристикам условное сопротивление глины сжатию R0 = 39,6 тс/м2. Значение R0 для грунтов с положительными частными значениями IL всех образцов, т.е. соответствующими супесям пластичной консистенции, суглинкам и глинам полутвердой, тугопластичной и мягкопластичной консистенции, находят так же, как в приведенном примере. Д.3 Песчаные грунты Условное сопротивление песчаных грунтов R0 определяют с учетом трех физических характеристик: гранулометрического состава, плотности и влажности. Для определения R0 плотных и средней плотности песков при СМР за основу принимают оценки условного сопротивления сжатию песчаных грунтов ( таблицы Д.3 и Д.4). Рыхлые пески в таблицы Д.3 и Д.4 не включены, так как при СМР склонные к разжижению рыхлые пески из состава расчетной толщи грунтов исключаются. |
Таблица Д.3 Условное сопротивление сжатию плотных песков |
| Наименование грунта | Коэффициент пористости e | Условное сопротивление сжатию R0, тс/м2 | |
Гравелистые и крупные пески независимо от их влажности | e < 0,55 | 45 |
Пески средней крупности: | e < 0,55 | |
- маловлажные | | 40 |
- влажные и насыщенные водой | | 35 |
Мелкие пески: | e < 0,60 | |
- маловлажные | | 30 |
- влажные и насыщенные водой | | 25 |
Пылеватые пески: | e < 0,60 | |
- маловлажные | | 25 |
- влажные | | 20 |
- насыщенные водой | | 15 |
Таблица Д.4 Условное сопротивление сжатию песков средней плотности |
| Наименование грунта | Коэффициент пористости e | Условное сопротивление сжатию R0, тс/м2 | |
Гравелистые и крупные пески независимо от их влажности | e = 0,65 | 35 |
Пески средней крупности: | e = 0,65 | |
- маловлажные | | 30 |
- влажные и насыщенные водой | | 25 |
Мелкие пески: | e = 0,70 | |
- маловлажные | | 20 |
- влажные и насыщенные водой | | 15 |
Пылеватые пески: | e = 0,80 | |
- маловлажные | | 20 |
- влажные | | 15 |
- насыщенные водой | | 10 |
Для песков средней плотности в СП 35.13330 приведено значение R0 примерно на 40% меньше, чем для плотных песков. В запас прочности нормативное значение R0 относят к более слабому песку с наибольшим коэффициентом пористости. Например, маловлажные пески средней крупности имеют коэффициент пористости 0,55 <= e <= 0,65. В этом интервале R0 изменяется от 40 до 30 тс/м 2. За нормативное значение R0 принимают 30 тс/м 2, соответствующее e = 0,65. При СМР показатель прочности грунта R0 необходимо относить не к самому слабому слою массива, а к среднему значению R0 для массива в целом, так как скорость S-волн в массиве зависит от физических свойств всех слоев на пути волн, а не от свойств одного самого слабого слоя. Поэтому для средней плотности гравелистых песков, крупных и средней крупности при 0,55 <= e <= 0,65, а также мелких песков средней плотности при 0,60 <= e <= 0,70 и пылеватых при 0,60 <= e <= 0,80 значения R0 следует находить линейной интерполяцией значений, указанных в таблицах Д.3 и Д.4 для плотных песков и песков средней плотности. Пример Д.3. Верхний слой инженерно-геологического разреза площадки одной из опор моста через р. Цемес в Новороссийске состоит из средней плотности мелкого влажного песка с коэффициентом пористости e = 0,65 и удельным весом  . Условное сопротивление сжатию мелких влажных песков средней плотности изменяется в интервале значений от 15 до 25 тс/м 2 (рисунок Д.1). При коэффициенте пористости e = 0,65 значение R0 при сейсмическом микрорайонировании равно 20 тс/м 2, что примерно на 30% больше, чем условное сопротивление грунта при расчете оснований на нагрузки основного сочетания. Рисунок Д.1 - Зависимость условного сопротивления грунта сжатию R0 от коэффициента пористости при расчете прочности оснований на основное сочетание нагрузок (а) и при сейсмическом микрорайонировании (б) Д.4 Крупнообломочные грунты Д.4.1 Гравийно-галечниковые грунты Значения R0 крупнообломочных грунтов изменяются в пределах от 50 до 150 тс/м2 в зависимости от крупности и окатанности обломков (галька, щебень, гравий, дресва), вида породы, из которой образовались обломки (кристаллической или осадочной), а также от содержания и прочности глинистого заполнителя. Примечание - Если крупнообломочные грунты образовались из магматических, метаморфических и осадочных пород, то при сейсмическом микрорайонировании значение R0 принимают как среднее условных сопротивлений сжатию обломков осадочных и кристаллических пород. В транспортном строительстве к дресвяной (гравийной) фракции принято относить обломки размером от 2 до 10 мм, к щебенистой (галечниковой) фракции - обломки породы размером от 10 до 200 мм. Размеры частиц скелета существенно влияют на прочность крупнообломочного грунта при сжатии. Для галечникового (щебенистого) грунта осадочных пород условное сопротивление R0 принимают 100 тс/м2, для гравийного (дресвяного) грунта из тех же пород - 50 тс/м2. Примерно такое же соотношение прочностей принято для галечниковых и гравийных грунтов из кристаллических пород. На установленной нормами границе (50% содержания по массе обломков соответствующей фракции) прочность грунта полагают скачкообразно изменяющейся, что является условно принятым соглашением, в первом приближении учитывающим уменьшение прочности грунта с сокращением размера частиц жесткого каркаса. Таким образом, чем сильнее разрушена исходная скальная порода, тем ниже прочность остаточного материала. Для уточнения прочности грунта используют линейную интерполяцию между значениями R0, регламентированными для отдельных сочетаний физических характеристик грунта (пористости, пластичности, крупности зерен, плотности и др.). Интерполяцию используют применительно к определению R0 для грунтов, состоящих из гравия и гальки, гальки с суглинистым заполнителем, гальки и гравия с суглинистым заполнителем. Принимают, что упомянутые нормативные значения R0 относятся к галечниковой (щебенистой) и гравийной (дресвяной) фракциям. Прочность грунта, состоящего из двух фракций, находят линейной интерполяцией в зависимости от содержания в грунте обломков размером более 10 мм (рисунок Д.2). Рисунок Д.2 - Зависимости R0 крупнообломочного грунта осадочных пород от содержания обломков размером более 10 мм по нормам проектирования мостов (а) и при сейсмическом микрорайонировании (б) Из сопоставления графиков а и б на рисунке Д.2 видно, что относительная погрешность определения R0 с использованием ступенчатой функции может составлять до 33% определяемого значения в сторону занижения или завышения прочности. Пример Д.4. Галечниковый грунт осадочной породы содержит 55% по массе частиц размером более 10 мм и 45% частиц гравийной фракции. Требуется найти условное сопротивление сжатию грунта, содержащего обе фракции в данном соотношении. Величину R0 находим линейной интерполяцией между крайними значениями 50 тс/м2 и 100 тс/м2: В данном случае прочность, найденная по ступенчатой зависимости, завышена на 23 тс/м2 по сравнению с прочностью, определенной линейной интерполяцией. Д.4.2 Крупнообломочные грунты с глинистым заполнителем При заполнении пустот между крупными обломками глинистым материалом в количестве более 40% от массы грунта значения R0 принимают по нормам расчета оснований на прочность, как для глинистого заполнителя. Так, для глинистых грунтов мягкопластичной консистенции R0 = 10 - 15 тс/м2, соответственно в разы уменьшается условное сопротивление сжатию крупнообломочного грунта при переходе через упомянутое соотношение глинистого заполнителя и крупных обломков в грунте. Фактически свойства щебенисто-глинистой массы почти полностью зависят от состава и свойств заполнителя, если содержание крупных обломков в породе менее 10% (т.е. содержание заполнителя более 90%). При 35 - 65%-ном содержании щебня значительная часть нагрузки при сжатии воспринимается жестким скелетом из крупных обломков, поэтому линейная интерполяция между предельными значениями R0, относящимися к прочности жесткого скелета при отсутствии глинистого заполнителя и прочности заполнителя при отсутствии крупных обломков в составе грунта, дает более точные значения прочности крупнообломочных грунтов с глинистым заполнителем. Пример Д.5. Крупнообломочный грунт относится к галечникам из обломков осадочных пород с суглинистым заполнителем до 18% полутвердой консистенции. Условное сопротивление сжатию жесткого каркаса без суглинистого заполнителя R0 = 100 тс/м 2. Условное сопротивление полутвердого суглинка без учета влияния крупных обломков (гальки) R0 = 28 тс/м 2. Изменение прочности на сжатие галечника с суглинистым заполнителем (суглинка с галькой) принимают по графику (рисунок Д.3). Рисунок Д.3 - Зависимости прочности галечника при сжатии от содержания суглинистого заполнителя полутвердой консистенции при расчете оснований на прочность (а) и при сейсмическом микрорайонировании (б) Искомое значение прочности галечника с суглинистым заполнителем: При расчете оснований на прочность влиянием суглинка в количестве 18% от массы галечника пренебрегают, т.е. прочность галечника считают равной 100 тс/м2, завышая ее на 13%. При содержании заполнителя более 40% условное сопротивление R0, напротив, будет занижено более чем в два раза. Пример Д.6. Крупнообломочный грунт содержит гальку осадочной породы в количестве 55% от массы грунта и 27% частиц гравийной фракции. Кроме того, гравийно-галечниковые отложения включают в себя суглинистый заполнитель полутвердой консистенции, составляющий 18% массы грунта в целом. Условное сопротивление на сжатие грунта, состоящего из трех фракций, находим линейной интерполяцией (рисунок Д.4) между крайними значениями, соответствующими прочности галечнико-гравийного каркаса ( R0 = 83 тс/м 2) и суглинистого заполнителя ( R0 = 28 тс/м 2). Искомое значение условного сопротивления грунта из трех фракций  . При расчете на сжатие оснований статической нагрузкой R0 рассматриваемого грунта принимают равной 100 тс/м2, так как грунт более чем на 50% состоит из галечниковой фракции осадочной породы. Присутствие в грунте гравия и суглинистого заполнителя уменьшает значение R0 на 27 тс/м2. Таким образом, учет влияния гравия и суглинка с помощью интерполяции позволяет считать, что грунт имеет менее благоприятную характеристику прочности, чем при оценке R0 с использованием ступенчатой функции. Оценку R0 крупнообломочного грунта можно уточнить путем учета гранулометрического состава галечниковой фракции. Принимая значение R0 = 50 тс/м2 для гравия с размером частиц s = 10 мм и R0 = 100 тс/м2 для гальки из обломков осадочных пород с размерами частиц s = 200 мм, находят зависимость между размером частиц и условным сопротивлением каркаса R0 = 47,37 + 0,26s. Пусть галечниковая фракция состоит из частиц размером от 10 до 20 мм в количестве 5% массы грунта, размером от 20 до 40 мм в количестве 10%, размером от 40 до 60 мм в количестве 25% и размером от 60 до 80 мм в количестве 15%. Соответствующее условное сопротивление галечниково-гравийного каркаса R0 = 57 тс/м 2. Условное сопротивление грунта, состоящего из гальки, гравия и суглинка,  , что существенно меньше, чем для грунта, включающего самую крупную по размерам гальку ( R0 = 73 тс/м 2). Рисунок Д.4 - Зависимости условного сопротивления гравийно-галечникового грунта при сжатии от содержания суглинистого заполнителя при расчете основания на прочность (а) и при сейсмическом микрорайонировании (б) Д.5 Скальные грунты в зоне выветривания Вдоль трасс дорог скальные грунты нередко выходят на земную поверхность, или их кровля располагается на глубине до 10 м от нее. В этих случаях в состав расчетной толщи грунта, сейсмическая жесткость которой учитывается при сейсмическом микрорайонировании сооружений на дорогах, включают верхнюю часть скального массива. При выполнении СМР участков под объекты транспортного строительства условное сопротивление грунтов сжатию R0 считают равным пределу прочности грунта на одноосное сжатие Rс, которое определяют как среднее значение прочности скального грунта по ГОСТ 25100. Идентификацию скальных грунтов в зоне выветривания устанавливают по данным общих инженерно-геологических изысканий. Условное сопротивление сильновыветрелого слоя, состоящего из более или менее крупных обломков с пустотами, заполненными песчаным и глинистым материалом, находят при СМР, как для крупнообломочного грунта, в зависимости от происхождения породы, крупности и окатанности обломков, количества и свойств глинистого заполнителя с использованием линейных зависимостей между R0 и физическими характеристиками грунта. |
(справочное)
УТОЧНЕНИЕ ИСХОДНОЙ СЕЙСМИЧНОСТИ УЧАСТКА СТРОИТЕЛЬСТВА
ЖЕЛЕЗНОЙ И АВТОМОБИЛЬНОЙ ДОРОГ
Е.1 Приведенные в настоящем приложении данные о комплексных исследованиях для уточнения сейсмической обстановки выполнялись при изысканиях железной дороги категории III по СП 119.13330 в Восточной Сибири. Длина исследованного участка дороги около 200 км. Перечень сооружений, для которых уточнена исходная сейсмичность, включает в себя 49 мостов на железной дороге и два моста на притрассовой автомобильной дороге. Сооружения на железной дороге должны проектироваться с допустимым сейсмическим риском (вероятностью превышения расчетной сейсмической нагрузки) 5% за 50 лет эксплуатации. Для мостов на притрассовой автомобильной дороге сейсмический риск установлен в размере 10% за 50 лет эксплуатации. Согласно карте ОСР-97-B южная часть трассы железной дороги проходит в зоне сейсмичностью 9 баллов, северная - в зоне сейсмичностью 8 баллов. Примерно посередине трассы дорога пересекает границу упомянутых зон. При пересечении границы сейсмичность изменяется на один балл. |
Примечание - Приведенные в настоящем приложении комплексные исследования проводились до введения в действие карт общего сейсмического районирования
ОСР-2015. Сейсмический риск принят по техническому заданию Генерального проектировщика в соответствии с указаниями Заказчика-застройщика.
Для сооружений на притрассовой автомобильной дороге требования к их сейсмостойкости понижены. По карте ОСР-97-A только начальный участок дороги длиной 30 км расположен в 9-балльной зоне. На остальном протяжении дорога проходит по 8-балльной зоне, переходя в 7-балльную зону вблизи конечного пункта трассы. При пересечении дорогой границ зон картированная сейсмическая опасность изменяется скачком на один балл. Исходная сейсмичность, указанная на картах ОСР-97-A и ОСР-97-B, уточнялась расчетом по сетке с шагом 5 x 5 км с округлением силы сейсмического воздействия до 0,1 балла шкалы MSK-64. Положение зон очагов возможных землетрясений в районе проектируемой железной дороги и характеристики их сейсмической активности соответствовали методологии общего сейсмического районирования, основанной на данных о сейсмичности и сейсмическом режиме регионов Северной Евразии. Сейсмичность уточнялась для 20 пунктов, равномерно расположенных вдоль дорог. |
Расчеты по методике ВАСО показывают непрерывное изменение сейсмической опасности вдоль дорог без скачков на границе зон 7-, 8- и 9-балльной опасности по
картам ОСР-97-A и
ОСР-97-B. Наибольшие погрешности сейсмической опасности, указанной на
картах ОСР-97-A и
ОСР-97-B, соответствуют пунктам вблизи границ зон различной сейсмичности (
рисунки Е.1 и
Е.2).
Рисунок Е.1 - Изменение сейсмической опасности вдоль трассы железной дороги (средний период повторения землетрясений T = 1000 лет) Рисунок Е.2 - Изменение сейсмической опасности вдоль трассы автомобильной дороги (средний период повторения землетрясений T = 500 лет) В результате уточнения исходной сейсмичности определены поправки к сейсмической опасности на сейсмический режим местности для 51 мостового сооружения. Для трех объектов уточненная сейсмичность совпала с исходной по картам ОСР-97, для 15 мостов уточненная сейсмичность оказалась выше исходной, для 33 мостов возможно уменьшение исходной сейсмичности при использовании детализированных карт общего сейсмического районирования. Значение поправки на сейсмический режим изменялось в пределах от -0,5 до 0,5 балла шкалы MSK-64. Е.2 Использование при проектировании целых баллов, указанных на картах ОСР-97, без уточнения сейсмической опасности с учетом ее вариации вдоль трассы железной и автомобильной дорог способно привести в одних случаях к недооценке опасности землетрясений, в других - к ее переоценке. Применение детализированных карт сейсмической опасности с шагом изолиний в 0,1 балла шкалы MSK-64 позволяет проектировать дороги в соответствии с требуемым уровнем их сейсмостойкости, исключая случаи необоснованного снижения надежности для одних сооружений и завышения стоимости других объектов. Е.3 Для 51 сооружения на железной и автомобильной дорогах выполнено СМР, учитывающее местные инженерно-геологические и геоморфологические условия. С учетом всех видов поправок (на сейсмический режим, грунтовые условия и рельеф участков мостовых переходов) сейсмичность повышена для 8, уменьшена для 40 и оставлена без изменения для трех объектов. |
(справочное)
УТОЧНЕНИЕ ИСХОДНОЙ СЕЙСМИЧНОСТИ И СЕЙСМИЧЕСКОЕ
МИКРОРАЙОНИРОВАНИЕ В СТВОРЕ МОСТОВОГО ПЕРЕХОДА
ЧЕРЕЗ ПРОЛИВ БОСФОР ВОСТОЧНЫЙ
Ж.1 Общие сведения
Мост через пролив Босфор Восточный соединяет континентальную часть г. Владивостока (полуостров Муравьева-Амурского) с о. Русский
(рисунок Ж.1). Для моста выбрана вантовая система с центральным пролетом 1104 м и двумя пилонами высотой над обрезом фундаментов 310 м.
Рисунок Ж.1 - Карта о. Русский и сопредельных разломов:
1 - магистральные разломы; 2 - локальные разломы;
названия разломов: У - Уссурийский; Н - Надеждинский;
Б - Береговой; Ш - Шкотовский
Размер центрального пролета и высота пилонов позволяют отнести мост через пролив Босфор Восточный к уникальным сооружениям в классе вантовых мостов. При проектировании таких объектов на первое место выдвигаются требования безопасности, в том числе за счет исключения природных рисков. Большое влияние уделяется инновационным технологиям и новым концепциям проектирования, использованию передового мирового опыта.
На стадии технико-экономического обоснования проекта рассматривались ранее выполненные сейсмотектонические и сейсмологические исследования в Южном Приморье, поставлены задачи для дополнительной проверки ранее сделанных выводов о степени опасности региона, выполнена предварительная оценка параметров расчетного сейсмического воздействия и других характеристик, входящих в формулу для определения сейсмической нагрузки от масс спектрально-модальным методом.
На стадии проектирования ОАО "Приморгеология"
[51] и ИФЗ РАН
[52] исследовали сейсмодислокации на берегах пролива Босфор Восточный и на о. Русский. С учетом данных этих работ, а также общих инженерно-геологических изысканий
[53] и сейсморазведки ООО "ИЦ "ПОИСК" уточнил исходную сейсмичность участка строительства и сейсмичность площадок размещения опор моста [
54 -
56].
Ж.2 Причины землетрясений в Приморье
Владивосток расположен во внутренней части депрессии, протянувшейся от залива Петра Великого до северной границы котловины оз. Ханка. В геологическом отношении район представляет собой кайнозойскую впадину, заложенную на фундаменте, сложенном протерозойскими метаморфическими горными породами (мраморами, гнейсами, кварцитами, кристаллическими сланцами). Породы смяты в пологие складки, разорванные надвигами, взбросами и взбросо-сдвигами. На крайнем севере и юге впадина заложена на позднепалеозойских образованиях, в пределах шельфа - на палеозойских и мезозойских отложениях (алевролитах, песчаниках и вулканических породах).
В кайнозое, начиная с позднего эоцена-миоцена, впадина заполнялась терригенными отложениями (конгломератами, галечниками, песками, аргиллитами и алевролитами, глинами и суглинками). Общая мощность осадочных пород колеблется от 50 м в предгорьях до 1000 м в изолированных грабенах.
В горном обрамлении депрессии (восточные отроги Восточно-Манчжурских гор, западные отроги Сихотэ-Алиня) на протерозойском фундаменте залегают магматические, метаморфические и осадочные породы палеозойского возраста, перекрытые толщами верхнего мела.
Отложения мезозойского возраста в геологическом строении Приханкайско-Приморской депрессии, кроме ее южных и северных окраин, отсутствуют. Это дает основание предполагать, что в начале кайнозойской эры район современной депрессии испытал подъем относительно окружающих территорий, сопровождавшийся разрушением толщ палеозойско-мезозойских отложений, процессами выветривания и переноса. Позже (примерно 40 млн. лет тому назад) началось погружение этой территории и заполнение ее терригенными отложениями.
Во внутренних частях депрессии отложения нижнего структурного яруса залегают полого с углами наклона слоев до 7°, падая от бортов к центру. Местами угол падения слоев достигает 13 - 15°, на локальных участках - до 60°. Таким образом, геологические данные позволяют предполагать присутствие сбросовой составляющей при подвижках по разломам, ограничивающим с запада и с востока тектоническую депрессию Южного Приморья.
Движения литосферных плит, процессы подготовки землетрясений, вулканизм и многие другие геологические явления рассматриваются в работах по глобальной плитной тектонике. В самом кратком и упрощенном изложении представления этой теории применительно к региону Приморья
[38], состоят в том, что плита Тихого океана перемещается со скоростью около 5 см/год в северо-западном направлении, пододвигаясь под Японские о-ва, Курилы и Камчатку. Постепенно опускаясь в астеносферу от Японского и Курило-Камчатского желобов литосферная плита проходит под дном Охотского и Японского морей, достигая Приморья на широтах от Владивостока до северной части залива Терпения на Сахалине. При этом передняя кромка плиты, положение которой маркируется очагами глубоких землетрясений, опускается на глубину до 250 км и более.
Передняя грань плиты имеет в плане ступенчатую форму, что может быть следствием ее разделения на отдельные полосы (тектонические блоки), попеременно пододвигающиеся под материк. Наиболее продвинут под материк до широты озера Ханка фрагмент плиты, соответствующий Южному Приморью
(рисунок Ж.2).
Рисунок Ж.2 - Очаги глубоких землетрясений, оконтуривающие
Тихоокеанскую плиту, пододвигающуюся под Приморье:
1 - направление движения Тихоокеанской плиты; 2 - ось
глубокофокусной зоны очагов землетрясений под Южным
Приморьем; 3 - фронтальная граница Тихоокеанской плиты
(очаги землетрясений показаны по данным Японского
метеорологического агентства за 1926 - 1997 гг.)
Поступающие в нижние относительно более плотные (плотность

) слои астеносферы массы литосферной плиты

создают гравитационные аномалии, особенно заметные в Южном Приморье. Вариации силы тяжести могут приводить к вертикальным движениям земной коры и образованию сбросов.
Направленное к материку движение плиты вызывает нормальные и касательные напряжения в земной коре, что при достижении напряжениями предельных значений сопровождается локальными разрушениями и перемещениями тектонических блоков в виде взбросов, надвигов и сдвигов.
Наибольшая плотность глубоких очагов фиксируется в районе Владивостока. Эти очаги образуют вытянутую в северо-западном направлении зону, ось которой параллельна направлению движения литосферной плиты и близка к простиранию молодых разрывов (сдвигов) в районе Приморья.
Частично расплавленные массы астеносферы отжимаются погружающейся плитой в вертикальном направлении. В меловом периоде эти массы поступали на земную поверхность в Приморье, формируя вулканоген Сихотэ-Алиня. Другим следствием пододвигания Тихоокеанской плиты был отрыв части материка по глубинному краевому шву северо-восточного простирания. Оторванный массив стал отодвигаться в сторону Тихого океана, освобождая место для поступающих снизу магматических масс, сформировавших дно Японского моря, в то время как сам оторвавшийся массив образовал Японские острова. Этой гипотезой объясняется дугообразная форма Японских островов, показывающая, что разрыв по краевому шву начался в районе Южного Приморья над опережающим в своем движении к материку фрагментом Тихоокеанской плиты. В створе этого фрагмента ширина Японского моря наибольшая.
Изложенное позволяет рассматривать Приханкайско-Приморскую депрессию как особый район Приморья, отличающийся от окружающих территорий рельефом, геологическим строением, подвижностью в кайнозое, аномалиями силы тяжести, небольшими размерами блоков земной коры, разделенных новейшими или обновленными древними разломами, наличием глубоких очагов землетрясений в нижнем слое астеносферы, их высокой активностью и большой магнитудой, а также многими очагами на небольшой глубине (до 10 км), способными вызвать разрушительный эффект в небольшой по площади эпицентральной зоне.
Геологические и геофизические критерии сейсмичности позволяют считать данный регион потенциально обладающим высокой сейсмической активностью по крайней мере в отношении толчков с магнитудой

и силой в эпицентре около 7 баллов по шкале MSK-64. При коровых землетрясениях возможен выход на земную поверхность тектонических разрывов различного кинематического типа при малой глубине очагов и небольшой мощности покровных отложений. Возможны существенные сейсмические воздействия от коровых очагов землетрясений с магнитудой
M >= 7,0 с эпицентрами на территории Китая, в горах Сихотэ-Алиня и на дне Японского моря.
Ж.3 Сейсмичность Южного Приморья
Первые сведения о землетрясениях в Южном Приморье относятся к 1867 г., когда по данным каталога землетрясений Российской империи И.В. Мушкетова и А.П. Орлова в пункте с координатами 43.4 с.ш. и 133.3 в.д. произошло землетрясение силой 5 баллов.
Инструментальные наблюдения сейсмических событий в регионе были начаты в 1929 г. (г. Владивосток). В последующие годы (1958 - 1962) открыты сейсмические станции на юге Якутии и на севере Амурской области. Работа на сейсмической станции Владивосток продолжалась до 1990-х гг., когда станция была закрыта.
К концу XX в. сейсмологи располагали данными о примерно трех десятках землетрясений силой от 5 до 8 баллов на территории Южного Приморья. На этой фактической основе были разработаны
карты ОСР-97. На упомянутых картах для Владивостока указана следующая сейсмичность: 6 баллов - для проектирования сооружений массового строительства и повышенной ответственности, 7 баллов - для сооружений особой ответственности.
При расчете сейсмической опасности Южного Приморья в конце прошлого столетия не были учтены некоторые сейсмоактивные разломы в районе Владивостока, а также не учитывались глубокие очаги под дном Японского моря и под окраиной материковой плиты. Следовательно, приведенные на
карте ОСР-97 оценки сейсмической опасности нужно рассматривать как минимальные.
Высокую частоту разрядки коровых мелкофокусных очагов в Южном Приморье подтвердили сейсмические наблюдения, выполненные с помощью временных сейсмических станций, зарегистрировавших в апреле, мае и июне 1989 г. три толчка в эпицентральной зоне Артем-Шкотовского землетрясения 1950 г.
В зарубежных и отечественных источниках [
28,
38] отмечается значительная сейсмическая активность на дне Японского моря. В этой области происходят землетрясения с неглубокими, промежуточными и глубокими очагами, в ряде случаев вызывающими повреждения и разрушения сооружений в расположенных на побережьях населенных пунктах. Эпицентры этих событий обычно располагаются на шельфе в нескольких десятках км от береговых линий.
По данным Японского метеорологического агентства в этой зоне произошло землетрясение 1920 г. с магнитудой M = 7,0 и глубиной очага h = 33 км, а также землетрясение 1931 г. с M = 7,5 и h = 280 км. Землетрясение 1964 г. имело магнитуду M = 7,5 и h = 40 км. Эпицентр располагался у побережья Японии в 60 км к северу от наиболее крупного на западном побережье о. Хонсю г. Ниигата.
Разрушительные землетрясения с эпицентрами на дне и шельфе Японского моря происходят у побережья Северного Приморья и Южного Сахалина. Отметим три значительных события в рассматриваемой области:
- Монеронское землетрясение 1971 г. в 70 км от побережья о. Сахалин с M = 7,5 +/- 0,1 и h = 17 +/- 5 км;
- землетрясение 1990 г. у побережья Северного Приморья с M = 6,8 и h = 14 км;
- Невельское землетрясение 2007 г. в 40 км от г. Невельск на Сахалине с M = 6,1 и h = 8 км.
Оценим максимальную силу землетрясения
Imax в створе мостового перехода по идее, предложенной Ю.В. Ризниченко
[30]: "Максимальное землетрясение, наблюдавшееся в каком-либо одном пункте области, которую по общим сейсмогеологическим соображениям можно считать однородной, возможно в любом другом пункте этой области, и его следует принимать за максимально возможное во всей этой области".
Рассмотрим три возможных сценария прогнозируемого события:
- землетрясение порождается мелким очагом, расположенным в континентальной части Южного Приморья или на дне Амурского (Уссурийского) заливов;
- очаг располагается на полуострове Муравьева-Амурского или на острове Русский в непосредственной близости от моста;
- очаг землетрясения с магнитудой около 7,5 располагается на нормальной глубине под континентальным склоном Японского моря на значительном удалении от о. Русский.
Первому сценарию соответствуют землетрясения, которые происходили в районе г. Партизанск в 1933 г., в 1962 г. и в 1971 г., а также на западном побережье Амурского залива в 1955 г. По степени повреждения построек эти мелкофокусные землетрясения имели силу в эпицентре 7 - 8 баллов при магнитуде M = 4,5 +/- 0,7. При удалении на 10 и более км от инструментального эпицентра интенсивность колебаний от таких очагов снижается до безопасного для моста уровня.
Возможность возникновения очага землетрясения на полуострове Муравьева-Амурского или на острове Русском изучалась ОАО "Приморгеология" и ИФЗ РАН.
В отчете
[51] приведены данные о геологической обстановке в районе строительства моста, включая мыс Назимова на полуострове Муравьева-Амурского, пролив Босфор Восточный и северную часть о. Русского. На основе дешифрирования аэро- и космических снимков, полевых геологических работ выявлены и детально описаны разрывные структуры на о. Русском и на мысе Назимова, представленные локальными зонами дислокаций в скальных обрывах по берегам пролива и рвами шириной до 10 м при глубине до 5 м и длине до 550 м в северной части о. Русский. В прибрежной зоне пролива Босфор Восточный отмечаются оползни и обвалы, в том числе в скальных породах
(рисунок Ж.3).
Рисунок Ж.3 - Оползень блоков скальных пород
на мысе Назимова (фото ИФЗ РАН)
Результаты изучения выявленных разрывных и гравитационных дислокаций представлены в отчете ИФЗ РАН
[52]. Изучение дислокаций проводилось в обнажениях и расчистках горных пород по берегам пролива, на мысах Назимова и Новосильского. В результате исследований сделан вывод о криповом характере тектонических разрывных нарушений со скоростью вертикальных смещений примерно 0,02 мм/год на мысе Назимова. Напротив, оползни и обвалы в скальных породах следует рассматривать как сейсмогравитационные нарушения рельефа.
Примечание - Вопрос о характере современных движений по разломам полуострова Муравьева-Амурского и о. Русский является дискуссионным. Медленные вертикальные и горизонтальные тектонические движения без взаимного смещения блоков земной коры могут происходить, но они пока что в данном месте не исследованы. Задача выявления характеристик современных медленных движений берегов пролива Босфор Восточный и отдельных скальных массивов в створе моста, разделенных локальными тектоническими разломами, с помощью высокоточных геодезических измерений вошла в состав работ по выявлению и уточнению эндогенных воздействий
[54]. Мониторинг медленных движений предполагается выполнить при эксплуатации моста.
По данным радиоуглеродного анализа эти нарушения произошли в результате землетрясений примерно 1100, 3400, 4400 и 6200 лет назад. Поскольку оползни в скальных грунтах происходят при землетрясениях силой не менее 8 баллов, можно предположить, что сейсмогравитационные нарушения вблизи створа моста возникли при землетрясениях с очагами в земной коре под континентальным склоном у берегов Южного Приморья.
Наиболее опасные для расположенных в приморских населенных пунктах сооружений очаги землетрясений располагаются под континентальным склоном между материковой отмелью (глубины моря до 100 м) и морским дном (глубины моря более 3000 м). За наибольшую в этой области магнитуду землетрясений принимаем Mmax = 7,6 при глубине очага h = 22 км. Эпицентр наиболее опасного события в этой области полагаем удаленным на расстояние 60 км от о. Русский.
Силу землетрясения в месте мостового перехода находим по формуле:
Этой силе толчка соответствует ускорение колебаний среднего по сейсмическим свойствам грунта

.
Ж.4 Уточнение исходной сейсмичности участка мостового перехода
Мост через пролив Босфор Восточный относится к сооружениям класса I по сейсмостойкости. Для таких сооружений исходная сейсмичность должна определяться, исходя из допустимой вероятности превышения 1% за 50 лет эксплуатации, т.е. по карте C общего сейсмического районирования. Данному значению риска соответствует величина исходной сейсмичности 7 баллов для участков г. Владивостока, сложенных средними по сейсмическим свойствам грунтами.
Рассмотрим уточнение исходной сейсмичности участка мостового перехода, исходя из
пункта 5.14 СП 269.1325800, а именно сила землетрясения
Imax = 8,1 балла рассматривается как уточненная сейсмичность участка моста при выполнении условия
I2000 <=
Imax <=
I5000, (Ж.1)
где I2000 - сила землетрясений, повторяющихся на участке сооружения в среднем один раз за 2000 лет;
I5000 - сила землетрясений, повторяющихся там же в среднем один раз за 5000 лет.
В тех случаях, когда
условие (Ж.1) нарушается, т.е. если
Imax <
I2000 или
Imax >
I5000 в качестве уточненной сейсмичности участка сооружения принимают
I2000 или
I5000 соответственно.
Величины I2000 и I5000 определяются по уравнению сейсмического режима в створе моста. Для составления искомого уравнения привлечены данные о палеосейсмодислокациях в Южном Приморье. Описание и измерение палеосейсмодислокаций с определением их географических координат выполнено специалистами ОАО "Приморгеология".
Для преобразования геологических данных в характеристики землетрясений использовались известные зависимости, предложенные Н.В. Шебалиным [
41,
42] и В.П. Солоненко
[33].
По уравнению макросейсмического поля

определялась сила землетрясения в створе моста применительно к средним грунтам по сейсмическим свойствам.
Магнитуды палеоземлетрясений находили преобразованием формулы В.П. Солоненко lgL = 1,01M - 6,18, связывающей протяженность сейсмодислокации L (км) с магнитудой землетрясения M. Из приведенной формулы следует искомое соотношение M = 6,12 + 0,99lgL.
После вычисления магнитуды единственной неизвестной величиной в правой части уравнения макросейсмического поля остается глубина очага h. Для определения h использовалась формула lgh = 0,3M - 0,95, применяемая для очагов с выходом разрыва на земную поверхность. Отсюда находим искомое выражение h = 100,3M-0,95 для определения глубины очага по известной магнитуде.
Приведенные формулы позволяют найти все необходимые характеристики древних и современных землетрясений в створе мостового перехода по протяженности сейсмотектонических нарушений в их эпицентральных зонах.
Из рассмотренных 93 сейсмических событий, происшедших в Южном Приморье за последние 5000 лет, отобрано 30 землетрясений силой от 7,0 до 7,8 балла в створе мостового перехода на участках, сложенных средними по сейсмическим свойствам грунтами. Очаги этих землетрясений располагались на удалении до 60 км от мостового перехода. Средние интервалы времени между толчками силой 7,1, 7,4 и 7,7 балла получены соответственно следующими: 263, 833 и 2500 лет.
Фактически средние интервалы времени между толчками должны быть несколько меньше, т.к. выполненные расчеты не учитывали очагов землетрясений под дном залива Петра Великого. Площадь дна этого залива составляет примерно 40% от площади территории с обследованными палеосейсмодислокациями. Поэтому средние интервалы времени между толчками силой 7,1, 7,4 и 7,7 балла будут равны соответственно 185, 555 и 1667 лет. По полученным данным построены уравнение сейсмического режима в створе моста
Рисунок Ж.4 - Рассеяние опытных данных (показаны точками)
и график сейсмического режима в створе моста через пролив
Босфор Восточный по палеосейсмологическим исследованиям
По
уравнению (Ж.2) находим
I2000 = 7,7 балла и
I5000 = 8,0 балла. Таким образом, максимальное землетрясение по третьему сценарию
Imax = 8,1 балла немного превышает
I5000 = 8,0 балла. Последнее событие может быть принято в качестве расчетного при проектировании моста.
I = 6,72 - 0,64lg
R, (Ж.3)
где R - сейсмический риск (вероятность превышения расчетной силы землетрясения за интервал времени 50 лет).
Для моста через пролив Босфор Восточный расчетной силе землетрясения 8 баллов соответствует риск R = 1%.
При строительстве внеклассных мостов в США антисейсмические мероприятия не предусматривают обеспечение 1%-го сейсмического риска за интервал времени 50 лет. Например, реконструкция моста через залив Сан-Франциско (San Francisco - Okland Bay Bridge) длиной 3,6 км выполнена из расчета на землетрясения, повторяющиеся в среднем один раз за 1500 лет, чему соответствует величина сейсмического риска 3,3% за интервал времени 50 лет. Исходя из такого же допустимого сейсмического риска усилен мост через пролив Золотые Ворота в Калифорнии (Golden Gate Bridge)
[79].
Принятое при проектировании моста через пролив Босфор Восточный значение риска R = 1% объясняется необходимостью обеспечить сейсмостойкость уникального сооружения при ограниченном объеме инструментальной сейсмологической информации.
Ж.5 Уточнение исходной сейсмичности для расчета пилонов моста на сейсмостойкость на стадии строительства
При постройке мосты оказываются менее сейсмостойки, чем после завершения строительных работ. Разрушения во время землетрясений строившихся мостов имели место в США, Японии, Италии, Армении [
65,
73 -
75,
82]. В связи с этим при проектировании пилонов моста через пролив Босфор Восточный их конструкция проверялась на сейсмостойкость с учетом строительных нагрузок. Величина риска отказа конструкций в строительный период
Rстр принималась равной 2,5%, поскольку социально-экономический ущерб от разрушения строящегося объекта меньше, чем потери от отказа действующего сооружения.
Средний интервал времени T между расчетными сейсмическими событиями, который требовалось учитывать совместно со строительными нагрузками, определялся по формуле

(Ж.4)
где Tстр = 4 года - предполагаемое время постройки моста.
В нашем случае

, т.е. пилоны во время постройки моста нужно проверить на сейсмостойкость с учетом толчков, повторяющихся в среднем один раз за 160 лет.
По
уравнению (Ж.2) I = 5,63 + 0,64lg
T = 5,63 + 0,64lg160 = 7,0 балла для микрозон, сложенных средними по сейсмическим свойствам грунтами.
При расчете пилонов на стадии постройки моста следует совместно учесть постоянные нагрузки, строительные нагрузки и колебания грунта интенсивностью 7 баллов с поправкой на местные инженерно-геологические условия площадок строительства пилонов.
Ж.6 Сейсмичность площадки строительства пилона моста у о. Русский
Сейсмичность площадок строительства опор мостов определяют с учетом характеристик расчетной толщи грунта, типа фундаментов, глубины их заложения, влияния природно-техногенных процессов на сохранность и свойства грунтов в створе мостового перехода.
В данном случае площадки строительства опор размещаются на полуостровах (Назимова и Саперном) и в акватории пролива Босфор Восточный в пределах прибрежных абразионных террас с глубиной воды до 15 м.
Полуострова Назимова и Саперный, расположенные в створе мостового перехода, в основном сложены песчаниками и алевролитами средней прочности или прочными (песчаники) и низкой прочности (алевролиты).
В прибрежной полосе акватории в верхней части подводного склона преобладают валунно-галечниковые грунты, замещаемые в нижней части пологого склона галькой, песками разного гранулометрического состава, суглинками, супесями и текучими (текучепластичными) илами. Ниже по разрезу залегают коренные породы (песчаники и алевролиты).
Условия для строительства опор моста на суше более однородны и благоприятны, чем в акватории пролива особенно в нижних частях прибрежных отмелей, где увеличивается мощность слабых отложений. Это позволяет выделить по длине мостового перехода две микрозоны с различными сейсмическими условиями:
- участки в полосе строительства моста, расположенные в тылу абразионных береговых уступов на полуостровах Назимова и Саперном;
- участки прибрежных отмелей от берегов пролива до площадок строительства пилонов моста на участках акватории с глубиной воды около 15 м.
Для оценки сейсмичности микрозон выполнены геофизические исследования, включавшие непрерывное сейсмопрофилирование с возбуждением и регистрацией продольных и поперечных волн, а также эманационная съемка.
На полуострове Назимова наблюдения проводились на трех профилях, на полуострове Саперном - на одном профиле. Суммарная длина профилей сейсморазведки 920 п.м., глубина профилей 50 м. Длина профилей газоэманационной съемки 880 п.м.
Южный пилон моста расположен на береговой отмели на удалении 250 м от о. Русский. Глубина пролива в этом месте 15,0 м. Пилон проектируется в виде рамной двухстоечной железобетонной конструкции с опиранием стоек на железобетонные свайные ростверки. На площадке строительства отсыпается островок для защиты пилона от морских волн и навала судов. Высота островка над уровнем дна пролива около 17 м
(рисунок Ж.5).
Рисунок Ж.5 - Пилоны моста через пролив Босфор Восточный
(фото "СК МОСТ")
На площадке строительства пилона выполнено бурение 13 разведочных скважин глубиной от устья до забоя около 70 м. При оценке сейсмичности стройплощадок использовалась колонка скважины, соответствующей точке пересечения горизонтальных осей плиты ростверка.
Литологический разрез включает от уровня дна до отметки 3,4 м ниже устья скважины гравий, гальку, песок, ил от текучей до текучепластичной консистенции. Водонасыщенные пески, в особенности мелкие пылеватые разности рыхлого сложения, а также илы теряют устойчивость при землетрясениях. Поэтому при сооружении островка целесообразно заменить слабые грунты отсыпаемой крупнообломочной массой.
При определении сейсмических свойств расчетной толщи ниже подошвы островка грунт рассматриваем как крупнообломочный с плотностью

и скоростью
S-волн
Vs2 = 250 м/с при толщине слоя

. Ниже расположен трещиноватый песчаник с плотностью

и скоростью
S-волн
Vs3 = 1550 м/с. Общая мощность крупнообломочных отложений и выветрелого скального грунта, включенных в расчетную толщу, равна 10 м.
Выше слоя консолидированных отложений расположен слой крупнообломочной массы с песчаным заполнителем, использованный при сооружении искусственного островка. Толщина этого слоя

, плотность

, скорость
S-волн с учетом нелинейных деформаций грунта при толчках силой 8 баллов
Vs1 = 240 м/с.
Сейсмическая жесткость расчетной толщи грунта
Приращение балльности за счет грунтовых условий
Коэффициент грунтовых условий стройплощадки
Расчетная толща грунта стройплощадки относится к основаниям категории II по сейсмическим свойствам.
(справочное)
УТОЧНЕНИЕ ИСХОДНОЙ СЕЙСМИЧНОСТИ И СЕЙСМИЧЕСКОЕ
МИКРОРАЙОНИРОВАНИЕ В СУДОХОДНОЙ ЧАСТИ КЕРЧЕНСКОГО ПРОЛИВА
В СТВОРЕ О. ТУЗЛА
И.1 Общие сведения
Исследования опасности землетрясений в районе Керченского пролива выполнено с учетом выпущенного ГК "Автодор" предварительного отчета о ходе реализации строительства транспортного перехода через Керченский пролив
[60].
В упомянутом отчете рассмотрены Жуковский и Тузлинский створы перехода, а также мостовой и тоннельный варианты конструктивных решений. Рекомендован для строительства Тузлинский створ с переходом через акваторию пролива с помощью мостов с четырьмя полосами движения автотранспорта и двумя электрофицированными железнодорожными путями. Категория автомобильной дороги Iб, категория железной дороги II.
К полосе отвода относятся также участки подходов к переходу на Керченском и Таманском полуостровах длиной около 1 км каждый. На этих участках потребуется возведение различных дорожных сооружений (насыпей, выемок, труб под насыпями, подпорных стен и др.). В отчете
[60] транспортная инфраструктура береговых участков не рассмотрена. В связи с этим сейсмическое микрорайонирование подходов выполнено без учета назначения и конструктивных особенностей дорожных сооружений.
Сведения о залегающих в полосе отвода покровных отложениях и коренных породах приняты по данным общих инженерно-геологических изысканий, выполненных Гидропроектом в 1976 г. и ОАО "Гипротрансмост" в 2014 г.
Исходная сейсмичность 9 баллов района транспортного перехода соответствует указанной на
картах ОСР-97 B,
C для г. Тамани.
Уточнение исходной сейсмичности для участка мостового перехода между Керченским полуостровом и о. Тузла выполнено по специальной методике, изложенной в проекте СТУ на инженерные изыскания и проектирование транспортного перехода через Керченский пролив
[59].
Уточнение исходной сейсмичности для участков низководных мостов и дорожных сооружений на подходах к проливу выполнено по вероятностной методике, исходя из средней частоты (повторяемости) землетрясений один раз за 1000 лет.
Положение зон очагов землетрясений в районе транспортного перехода, глубина гипоцентров, наибольшие возможные магнитуды толчков определены ИФЗ РАН
[58].
Скорости поперечных и продольных сейсмических волн в грунтах, встречающихся в полосе отвода, приняты на основании данных геофизических исследований, выполненных ОАО "Фундаментпроект" и Институтом криосферы Земли СО РАН с установкой датчиков на поверхности грунта и в скважинах
[57].
И.2 Уточнение исходной сейсмичности района строительства
Методика УИС заключается в составлении для конкретного географического пункта
уравнения сейсмического режима (И.1). Коэффициенты уравнения находят на основании детальных сейсмологических исследований.
где a, b - коэффициенты уравнения сейсмического режима;
T - средний промежуток времени, измеряемый в годах, между землетрясениями силой Iут в месте строительства.
По
зависимости (И.1) находят уточненную силу землетрясения
Iут на ровных участках местности, сложенных средними по сейсмическим свойствам грунтами, для заданного
T в интервале от 500 до 5000 лет.
Найденные ИФЗ РАН
[58] для транспортного перехода через Керченский пролив значения силы толчков, соответствующие
T = 500, 1000, 2000, 3000 и 5000 лет, представлены в
таблице И.1. В таблице также приведены величины исходной сейсмичности по
картам ОСР-97 и уточнение исходной сейсмичности за счет детальных сейсмологических исследований.
Таблица И.1
Уточненная сила толчков в районе транспортного перехода
Средний промежуток времени Ti между толчками, лет | 500 | 1000 | 2000 | 3000 | 5000 |
| 8,0 | 9,0 | - | - | 9,0 |
Сила толчков Iут,i по данным детальных исследований ИФЗ РАН | 7,7 | 8,1 | 8,5 | 8,7 | 9,0 |
Уточнение исходной сейсмичности, баллы | -0,3 | -0,9 | - | - | 0 |
Из
таблицы И.1 видно, что сейсмическая опасность на
картах ОСР 97 A,
B для рядовых и повышенной ответственности сооружений транспортного перехода завышена. Оценки силы очень редких землетрясений по
карте ОСР-97 C и по данным детальных исследований сейсмичности совпадают.
Уравнение сейсмического режима находим, используя предложенный Лежандром метод наименьших квадратов
[40].
Определяем среднее значение lgTi:
Уравнение сейсмического режима запишем в форме:

(И.2)
Для определения коэффициентов

и

применим формулы Лежандра
Подстановкой коэффициентов

и

в
формулу (И.2) находим искомое уравнение:
Iут = 8,40 + 1,362[lg
T - 3,235] = 3,994 + 1,362lg
T. (И.3)
Уравнение (И.3) позволяет определять уточненную сейсмичность в районе транспортного перехода с точностью до одной десятой балла для толчков, происходящих с периодичностью от 500 до 5000 лет. График
уравнения (И.3) показан на
рисунке И.1.
Рисунок И.1 - График сейсмического режима
в Керченском проливе: точками обозначены события
по данным детальных сейсмических исследований
Внеклассные мостовые переходы в России и за рубежом проектируют исходя из силы землетрясений, повторяющихся в среднем через 2000 - 3000 или более лет (до 5000 лет). В районе Керченского пролива этим промежуткам времени соответствует сила толчков от 8,5 до 9,0 балла по шкале MSK-64. В связи с этим ниже рассмотрим вопрос о допустимом сейсмическом риске при проектировании мостового перехода через судоходную часть пролива.
Под сейсмическим риском понимается вероятность превышения в течение 50 лет расчетного сейсмического воздействия. Величина сейсмического риска связана с периодом повторения толчков расчетной силы
T (лет) соотношением

. Таким образом, при средней частоте толчков один раз за 500 лет, 1000 лет и 5000 лет вероятность их превышения по разрушительному эффекту составляет 0,10, 0,05 и 0,01 (10%, 5% и 1%).
| | ИС МЕГАНОРМ: примечание. В официальном тексте документа, видимо, допущена опечатка: имеется в виду пункт 4.3* СП 14.13330.2014, а не 1.3* СП 14.13330.2014. | |
Согласно
п. 1.3* СП 14.13330.2014 решение о выборе допустимого сейсмического риска при проектировании конкретного объекта принимается заказчиком по представлению генерального проектировщика за исключением случаев, оговоренных в других нормативных документах.
Заказчиком строительства предусмотрена разработка СТУ на инженерные изыскания и проектирование транспортного перехода через Керченский пролив. СТУ включают правила, регламентирующие требования к сейсмостойкости перехода. Позже разработанные правила вошли в состав
СП 269.1325800.
Согласно
СП 268.1325800 сооружения транспортного перехода могут относиться к одному из трех классов сейсмостойкости. Для сооружений первого класса уточненная сейсмичность района строительства принимается по уравнению макросейсмического поля, но не менее силы толчков, повторяющихся по данным детальных сейсмических исследований в зоне транспортного перехода в среднем один раз за 2000 лет (8,5 балла) и не более силы землетрясений с частотой событий один раз за 5000 лет (9,0 балла).
Для Крыма и Таманского полуострова региональные коэффициенты уравнения макросейсмического поля b = 1,5, s = 3,5, c = 3,0. При этих значениях коэффициентов уравнение макросейсмического поля будет таким:

(И.4)
где Mmax - наибольшая магнитуда землетрясений, возникающих в наиболее опасной зоне ВОЗ;

- расстояние от эпицентра до сооружения, км;
hср - средневзвешенная глубина очага, км.
Карта зон ВОЗ на расстояниях до 50 км от перехода приводится в отчете
[58]. Наиболее опасной для перехода является Правдинская зона с
Mmax = 6,9. Зона расположена под дном Черного моря, Керченского пролива и Азовского моря. Ширина зоны приблизительно 10 км, ее ось проходит вблизи юго-восточной оконечности Таманского полуострова (м. Тузла) в направлении на косу Чушка на расстоянии примерно 12,5 км от мостового перехода в Тузлинском створе через рукав пролива с судоходным фарватером. Это расстояние принимаем за эпицентральное.
В районе транспортного перехода гипоцентры землетрясений располагаются на глубине от 5 до 55 км. По данным о 31 событии
[58] можно найти средневзвешенную глубину очагов

.
По
уравнению (И.4) находим

. Эту величину принимаем за уточненную исходную сейсмичность участка мостового перехода через судоходный рукав Керченского пролива.
Для нахождения риска, соответствующего силе толчка 8,6 балла, используем уравнение сейсмического риска, которое получим подстановкой в уравнение сейсмического режима
Iут = 3,994 + 1,362lg
T зависимости

.
Применительно к выбранному створу транспортного перехода формула для определения риска имеет вид

(И.5)
где Iут - величина сейсмической опасности, уточненная для объектов разных категорий ответственности (классов сейсмостойкости).
По
формуле (И.5) находим, что вероятность превышения за 50 лет силы толчков
Iут = 8,6 балла равна 2% с округлением до целых процентов. Средний промежуток времени между землетрясениями такой силы

.
Таким образом, для мостового перехода через судоходную часть Керченского пролива за уточненную сейсмичность может быть принята сила толчков Iут = 8,6 балла из наиболее опасной по энергии излучения сейсмических волн Правдинской зоны ВОЗ. Частота землетрясений такой силы составляет один раз за 2500 лет. Риск превышения упомянутого уровня сейсмической опасности за 50 лет равен 2%, что в 1,5 раза ниже риска, принятого при реконструкции мостовых переходов через залив Сан-Франциско в Калифорнии.
Согласно классификации дорожных объектов по сейсмостойкости сооружения на железных и автомобильных дорогах категорий I и II относятся к объектам классов сейсмостойкости I и II. Для этих сооружений исходная сейсмичность по
картам ОСР-97 B,
C Iис = 9,0 балла по шкале MSK-64.
Ускорение, скорость и перемещение грунтовой толщи при толчках силой 9 баллов равны 400 см/с2, 32,0 см/с, 16,0 см.
Уточненная исходная сейсмичность района транспортного перехода для сооружений класса сейсмостойкости I (мостовой переход между Керченским полуостровом и о. Тузла) Iут = 8,6 балла.
В данном случае приращение балльности получено отрицательным в размере

для наиболее ответственного объекта в составе перехода.
По приращению балльности

определяется поправка к исходным амплитудным характеристикам колебаний грунта в виде множителя, который определяется по формуле

(И.6)
где

- приращение балльности в долях целого балла, найденное при уточнении исходной сейсмичности.
По
формуле (И.6) поправочный коэффициент на сейсмический режим местности для моста через судоходную часть пролива

.
И.3 Нахождение приращения балльности в судоходной части пролива за счет местных инженерно-геологических условий
Исходные данные для вычисления приращения балльности принимаем по данным общих инженерно-геологических работ и по результатам геофизических исследований Фундаментпроекта и Института криосферы Земли СО РАН
[57].
Скорости продольных Vp и поперечных Vs сейсмических волн определены инструментально с расположением датчиков на поверхности участков и в скважинах. Измерение скоростей волн в контрольных скважинах позволило оценить погрешность наземного способа профилирования. Эту цель преследовало также крестообразное расположение профилей на площадках геофизических исследований. Разность скоростей волн, полученных разными способами, составляет 10 - 15% от их средних значений.
Сейсмическое профилирование проведено как в Северном (Жуковском), так и в южном (Тузлинском) створах. Общая длина профилей наземных наблюдений составила 3680 п.м, в том числе по Тузлинскому створу 1932 м. Наибольшая глубина профилей 100 м.
Сейсмический каротаж выполнен в восьми скважинах. Скорости поперечных волн найдены в интервале глубин от 15 до 63 м. Плотность, показатель текучести и другие характеристики грунтов определялись при общих инженерно-геологических изысканиях.
В выбранном для проектирования перехода Тузлинском створе выделены микрозоны подхода к проливу на Керченском полуострове, включая его мелководную часть, акватории западного пролива с судоходным фарватером, о. Тузла, мелководного Восточного пролива между о. Тузла и косой Тузла, косы Тузла, подхода к косе Тузла со стороны Таманского полуострова. Ниже приводятся результаты микрорайонирования на судоходном участке между Керченским полуостровом и о. Тузла.
Позднечетвертичные (голоценовые), в основном морские, отложения представлены в проливе мощной толщей илов, песков, суглинков и глин. Мощность толщи возрастает от побережья Керченского полуострова к о. Тузла, достигая вблизи острова 63 м.
Верхняя часть разреза у о. Тузла сложена илом текучим и песком мелким, рыхлым, насыщенным водой. С глубины около 20 м от поверхности дна залегают слои глины от текучепластичной до тугопластичной консистенции общей толщиной до 36 м. Ниже глин расположены аллювиальные пески средней крупности, плотные, насыщенные водой, содержащие обломки ракушки от 10 до 50%. Покровные отложения подстилаются неогеновой глиной твердой консистенции.
Залегающие с поверхности дна в проливе текучий ил и насыщенный водой мелкий рыхлый песок, а также слабые супеси, суглинки и глины относятся к грунтам, теряющим устойчивость при сильных землетрясениях. В процессе перехода к новой форме равновесия в таких отложениях возникают трещины, просадки, оползни и грязевые потоки, разрушающие инженерные сооружения.
Случаи разжижения грунта с поверхности на глубину до нескольких метров наблюдались при силе толчков 7 баллов по шкале MSK-64. При землетрясениях силой 8 баллов происходит разжижение с последующим уплотнением мелкозернистого, рыхлого, водонасыщенного песка на глубине до 10 м. При 9-балльных толчках возможно разжижение слабых песчаных толщ мощностью до 20 м.
Европейские нормы
[63] рекомендуют проверять возможность разжижения грунта сравнением напряжения сдвига при землетрясении с сопротивлением грунта сдвигающим напряжениям.
В Японии наиболее приемлемым способом для оценки возможности разжижения грунтов считается метод динамических испытаний с помощью погружения в грунт стандартного зонда. Критерием для возможности разжижения служит число ударов молота N для погружения зонда на глубину 1 фут.
Исходя из экспериментальных данных
[74] об ускорениях колебаний грунта при землетрясениях и разжижении песков при динамических испытаниях можно установить для слабых водонасыщенных песков с однородным гранулометрическим составом критические значения
N, при которых разжижения не происходит. Для толчков силой 9 и 8 баллов соответствующие значения
N такие:
N9 = 30 - 35 и
N8 = 15 - 20.
В нашем случае в качестве критерия возможности разжижения песка удобнее использовать скорость поперечных сейсмических волн, которая связана с числом ударов
N по зонду пенетрометра зависимостью
[64]:

(И.7)
Согласно
зависимости (И.7) неустойчивыми можно считать водонасыщенные пески с
Vs <= 110 - 120 м/с при 9-балльных толчках и с
Vs = 80 - 90 м/с при 8-балльных толчках.
Более осторожная оценка устойчивости песчано-глинистых отложений содержится в
СП 14.13330. Этот документ предлагает к разжижаемым и подверженным течению при толчках силой от 7 до 9 баллов грунтам относить грунты со скоростью поперечных волн от 60 до 150 м/с.
Для илов, рыхлых песков и слабых глинистых грунтов на дне пролива за критерий неустойчивости при 9-балльных толчках принимаем скорость поперечных сейсмических волн Vs <= 150 м/с при глубине залегания слоя h <= 20 м от дна пролива.
При выполнении геофизических исследований скорость волн измерялась на берегах пролива, острове и косе Тузла. На площадках исследований скважинами вскрыты те же инженерно-геологические элементы, что в проливе. Это позволяет экстраполировать данные сейсморазведки с сухопутных участков перехода на дно пролива.
На основании принятого критерия неустойчивости отложений при 9-балльных толчках Vs <= 150 м/с, h <= 20 м) в микрозоне N 2 транспортного перехода к динамически неустойчивым относятся следующие грунты, залегающие на глубине не более 20 м от дна пролива: ил текучий; рыхлый, водонасыщенный песок мелкий и средней крупности; супесь текучая, глина текучая и текучепластичная.
Для оценки влияния инженерно-геологических условий на сейсмичность микрозоны N 2 используем колонку скважины вблизи канала для прохода судов с исключением из расчетной толщи грунта текучего ила и текучей глины. Нижняя граница расчетной толщи принята в уровне нижних концов свай на глубине 70 м от дна пролива. Расчетная толща грунта показана на
рисунке И.2.
Рисунок И.2 - Расчетная толща грунта в микрозоне N 2;
толщины слоев показаны в м
Инженерно-геологический разрез расчетной толщи состоит из трех слоев: глины тугопластичной плотностью

, песка средней крупности, плотного, насыщенного водой

, глины твердой

.
По данным сейсморазведки скорость Vs в разрезе ниже 20 м от дна пролива равна: для глины тугопластичной 215 м/с, для песка плотного 240 м/с, для глины твердой 360 м/с.
С учетом нелинейности деформации грунта сейсмические жесткости слоев:
Средневзвешенная сейсмическая жесткость пачки слоев:
Коэффициент учета грунтовых условий
Грунты расчетной толщи в микрозоне N 2 относятся к третьей категории по сейсмическим свойствам.
За счет грунтовых условий сейсмическая опасность микрозоны увеличивается на

.
Расчетная сейсмичность участка транспортного перехода между Керченским полуостровом и о. Тузла с учетом поправок на сейсмический режим и грунты равна 9,0 балла.
(справочное)
УТОЧНЕНИЕ ИСХОДНОЙ СЕЙСМИЧНОСТИ И СЕЙСМИЧЕСКОЕ
МИКРОРАЙОНИРОВАНИЕ МЕСТА РАСПОЛОЖЕНИЯ ЛАВИНОЗАЩИТНОЙ ГАЛЕРЕИ
К.1 Рассматриваемый объект расположен на горном участке железной дороги категории IV по СП 119.13330 в долине р. Нижний Ингамакит, т.е. находится в центральной части зоны активных Ингамакитских и Чина-Вакатских разломов. На флангах этой зоны землетрясения силой 9 - 10 баллов происходили в 1957 и 1967 гг. Центральная часть зоны характеризуется за последние 135 лет относительно слабой местной сейсмичностью, где за это время накопился значительный сейсмический потенциал (рисунок К.1). Рисунок К.1 - Сейсмичность и сейсмическая опасность в районе п. Чара Читинской области (с 1 марта 2008 г. - Забайкальский край) Галерея размещена на полке крутого склона. Свод галереи спроектирован из стальных гофрированных листов. Расстояние между осями фундаментов принято равным 7,68 м. Высота конструкции галереи от основной площадки до замка арки - 7,71 м, длина галереи - 38 м. При проектировании объект рассматривался как сооружение класса сейсмостойкости II. Для определения исходной сейсмичности использовалась действовавшая на момент проведения работ по УИС и СМР карта ОСР-97-B, согласно которой сейсмичность района строительства Iис равна 9 баллов по шкале MSK-64. Примечание - Класс сейсмостойкости галереи повышен с класса III до класса II в связи с малой развитостью сети дорог в регионе. Исходные данные для расчета поправки, учитывающей особенности сейсмического режима в месте расположения галереи, представлены в таблице К.1. |
|
| Сила землетрясения Ii, баллы | 6 | 7 | 8 | 9 | |
Интервал времени между толчками по сейсмологическим данным Ti, годы | 16 | 50 | 190 | 680 |
Десятичный логарифм времени Ti | 1,204 | 1,700 | 2,279 | 2,832 |
Среднее значение чисел в строке lgTi: (lgTi)ср = 0,25(1,204 + 1,700 + 2,279 + 2,832) = 2,004. Уравнение сейсмического режима в пункте строительства:  (К.1) Для определения коэффициентов  и  использованы формулы: Подстановкой коэффициентов  и  в уравнение сейсмического режима получена формула для определения уточненной сейсмичности Iут = 3,85 + 1,82lg T. (К.2) График формулы (К.2) показан на рисунке К.2. Уточненная по формуле (К.2) сейсмичность района строительства, соответствующая интервалу времени между толчками T = 1000 лет или вероятности превышения расчетного сейсмического воздействия за 50 лет эксплуатации (сейсмическому риску) 5% составляет Iут = 9,3 балла.  - повторяемость землетрясений по сейсмологическим данным;  - график сейсмического режима, построенный методом наименьших квадратов Рисунок К.2 - График сейсмического режима в верховьях р. Нижний Ингамакит Приращение балльности при вероятностном способе оценки отклонения сейсмического режима от принятого при составлении карты ОСР-97-BК.2 Влияние рельефа местности на интенсивность колебаний грунта в месте расположения галереи Согласно топографической карте ширина долины по дну приближается к 500 м, поверху - к 2000 м. Борта долины возвышаются над дном на 450 - 500 м. Средняя крутизна склонов 1:1,5. Отметка строительной площадки на 220 м превышает отметку дна долины, т.е. в месте расположения галереи трасса дороги проложена в средней части склона. Характеристика формы поперечного сечения долины определена в зависимости от ширины долины поверху L и глубины H по формуле: Скорость поперечных сейсмических волн Vs в коренной породе склонов равна 2050 м/с, период колебаний грунта T = 0,3 с. Таким образом, длина волны  для периода T = 0,3 с составит  . Отношение x длины волны  к глубине долины HОтношение амплитуд колебаний грунта на дне долины и на плоской горизонтальной площадке вне долины Отношение амплитуд колебаний грунта в верхней части склонов и на плоской горизонтальной площадке вне долины Искомый коэффициент, показывающий влияние рельефа на интенсивность колебаний склонов долины, изменяется линейно между найденными значениями 0,73 (на дне долины) и 1,13 (в верхней части склона). В уровне дороги коэффициент Kр.м. = 0,91. Для меньших значений периода поперечной волны 0,2 и 0,1 с коэффициент Kр.м. уменьшается до 0,88 и 0,86 соответственно. К.3 Влияние местных инженерно-геологических условий на сейсмичность площадки строительства галереи В основании галереи залегают щебенисто-глыбовые грунты, оттаивающие в летний сезон на глубину 5 м ниже подошвы фундамента. По данным изысканий и сейсморазведки плотность верхнего слоя  , скорость S-волн 280 м/с. Ниже грунт находится в вечномерзлом состоянии, при котором скорость S-волн увеличивается до 1100 м/с. Сейсмические жесткости верхнего и нижнего слоев расчетной толщи соответственно  и  . Средневзвешенная жесткость толщи  , т.е. толща относится к грунтам категории II по сейсмическим свойствам. Приращение сейсмичности строительной площадки за счет грунтовых условий  . Суммарная поправка на сейсмический режим и на грунтовые условия  . Амплитуду колебаний грунта при землетрясении силой 8,8 балла по таблице Б.3 приложения Б принимают равной 14,9 см. С учетом поправки на рельеф местности Kр.м. = 0,91 амплитуда колебаний уменьшается до 13,5 см. |
(справочное)
УТОЧНЕНИЕ ИСХОДНОЙ СЕЙСМИЧНОСТИ И СЕЙСМИЧЕСКОЕ
МИКРОРАЙОНИРОВАНИЕ УЧАСТКА ГОРОДСКОЙ ЭСТАКАДЫ
В Г. НОВОРОССИЙСКЕ
Л.1 Исходные данные
Эстакада через р. Цемес и железнодорожные пути в г. Новороссийске имеет девять пролетов, перекрытых температурно-неразрезными балочными пролетными строениями из предварительно напряженного железобетона. Эстакада расположена на кривой в плане. Общая длина пролетных строений по оси моста превышает 250 м. Ширина проезжей части на кривой 15,05 м.
Опоры эстакады безростверковые. Конструкция железобетонных опор включает буровые столбы диаметром 1500 мм, заделанные в столбы стойки диаметром 1200 мм и насадки. В столбах применен бетон класса B25, в стойках и насадках бетон класса B30.
Столбы прорезают слои песка мелкого, очень влажного средней плотности, глины иловатой, глины полутвердой и суглинка с гравием и галькой. Нижние концы столбов на 2 м заделаны в полускальную породу (мергель). По условию взаимодействия с грунтом столбы работают как сваи-стойки. Высота опор от уровня поверхности грунта до низа насадок около 6 м.
Мостовые сооружения с упомянутыми размерами на магистральных улицах общегородского значения относятся к сооружениям класса сейсмостойкости II, при проектировании которых допустимый сейсмический риск принимается равным 5%. В этом случае исходная сейсмичность района (пункта) строительства устанавливается по
карте ОСР-2015-B. Для г. Новороссийска исходная сейсмичность
Iисх = 9 баллов по шкале MSK-64.
Л.2 Уточнение исходной сейсмичности
Исходная сейсмичность Iисх = 9 баллов является приближенной оценкой опасности землетрясений. Поэтому сейсмичность участка эстакады должна быть уточнена с учетом данных инженерно-сейсмологических исследований.
Применительно к западной части Северного Кавказа сейсмологические исследования выполнены В.И. Уломовым. Показанные на
рисунке Л.1 очаги землетрясений, активные разломы и линеаменты отражают неоднородность сейсмотектонической обстановки на Черноморском побережье Северного Кавказа, что вызывает вариации сейсмической опасности по территории региона и ее отклонения от нормативных показателей.
Рисунок Л.1 - Сейсмотектоническая обстановка
в западной части Северного Кавказа
Исходя из данных сейсмологических исследований, приведенных в
таблице Л.1, найдем уравнение сейсмического режима в г. Новороссийске.
Таблица Л.1
Исходные данные для составления уравнения
сейсмического режима
Сила землетрясений Ii, баллы | 7 | 8 | 9 |
Средний интервал времени Ti между землетрясениями, лет | 98 | 405 | 1671 |
Десятичный логарифм времени Ti | 1,991 | 2,607 | 3,223 |
Находим среднее значение чисел в строке lgTi:
Уравнение сейсмического режима в пункте строительства:

(Л.1)
Определяем коэффициенты

и

:
Подстановкой найденных значений коэффициентов

и

в
уравнение (Л.1) находим зависимость для вычисления уточненной сейсмичности пункта строительства:
Iут = 3,78 + 1,62lg
T. (Л.2)
График
зависимости (Л.2) показан на
рисунке Л.2. Уточненная по
формуле (Л.2) сейсмичность территории Новороссийска, соответствующая интервалу времени между толчками
T = 1000 лет или вероятности превышения расчетного сейсмического воздействия за 50 лет эксплуатации (сейсмическому риску) 5%, составляет
Iут = 8,6 балла. Приращение балльности относительно сейсмической опасности, указанной для Новороссийска на
карте ОСР-2015-B:

. Поправочный коэффициент на сейсмический режим

.

- повторяемость землетрясений по сейсмологическим данным
Рисунок Л.2 - График сейсмического режима в г. Новороссийске
Под сейсмическим риском R понимается вероятность превышения расчетной сейсмической нагрузки за интервал времени 50 лет. Величина риска определяется по формуле

(Л.3)
где T - средний интервал времени, лет между землетрясениями расчетной силы.
Уравнение сейсмического риска получается заменой величины
T на величину
R в
выражении (Л.2). Для г. Новороссийска уравнение сейсмического риска:
I = 6,53 - 1,62lg
R. (Л.4)
Из
уравнения (Л.4) находим формулу для определения сейсмического риска
R, соответствующего принятым по
картам ОСР-2015 и по данным УИС значениям сейсмичности
I для территории г. Новороссийска:
R = 10
4,031-0,617I. (Л.5)
Таблица Л.2
Таблица рисков для г. Новороссийска
| Сейсмичность территории и сейсмический риск при эксплуатации сооружения |
| При использовании данных УИС |
Сейсмичность, баллы | Риск R, % | Сейсмичность, баллы | Риск R, % |
I - предельно допустимый риск 2,5% | 9 | 3,0 | 9,1 | 2,5 |
II - предельно допустимый риск 5% | 9 | 3,0 | 8,6 | 5 |
III - предельно допустимый риск 10% | 8 | 12,4 | 8,15 | 10 |
без уточнения исходной сейсмичности; "2-2" - значения риска
при уточнении исходной сейсмичности; "3-3" - предельно
Из
таблицы Л.2 и
рисунка Л.3 видно, что при использовании
карт ОСР-2015 без их уточнения по
СП 269.1325800 риск разрушения при землетрясениях транспортных сооружений классов сейсмостойкости I и III выше предельно допустимого. Напротив, сооружения класса сейсмостойкости II проектируют с заниженным риском, что приводит к перерасходу ресурсов на антисейсмические мероприятия.
С помощью процедуры УИС сейсмичность пункта строительства корректируется по данным исследований сейсмического режима территории. Введением корректировок создаются необходимые условия для оптимального распределения ресурсов на антисейсмическую защиту объектов транспортного строительства.
Л.3 Сейсмическое микрорайонирование
В средней части по длине эстакады располагается опора N 5
(рисунок Л.4). Ее фундамент состоит из трех буровых столбов, нижние концы которых на 2 м заделаны в полускальную породу (мергель). Для фундаментов из свай-стоек нижняя граница расчетной толщи грунта устанавливается в уровне кровли несущего слоя (мергеля), а верхняя граница - ниже слоя, теряющего устойчивость при расчетном сейсмическом воздействии.
Рисунок Л.4 - Инженерно-геологические условия
на площадке строительства опоры N 5
Верхний слой инженерно-геологического разреза выше обреза фундамента состоит из грунта обратной засыпки. Ниже обреза фундамента залегает мелкий песок, водонасыщенный средней плотности

с условным сопротивлением сжатию
R0 = 15 тс/м
2.
Для средней от поверхности площадки глубины залегания слоя песка
h = 1,7 м скорость поперечных сейсмических волн находим согласно
пп. 6.41,
6.42.
VS,1,7 = Kh·VS,10 = (0,70 + 0,03h)(454lgR0 - 316) = (0,70 + 0,03·1,7)(454lg15 - 316) = 163 м/с.
С поправками на обводненность слоя и на нелинейность деформаций грунта при толчке силой 9 баллов расчетная скорость VS = 0,7·0,8·163 = 91 м/с.
Сейсмическая жесткость слоя

соответствует грунтам категории III по сейсмическим свойствам, склонным к разжижению при землетрясениях расчетной силы. Поэтому этот слой исключается из состава расчетной толщи грунта. Оставшиеся три слоя глинистых грунтов образуют расчетную толщу, характеристики которой приводятся в
таблице Л.3. Характеристики найдены по данным общих инженерно-геологических изысканий и указаниям
пп. 6.41,
6.42.
Таблица Л.3
Характеристики грунтов расчетной толщи
Вид грунта | Толщина слоя  , м | Глубина залегания слоя, м | Плотность грунта  , т/м 3 | Условное сопротивление сжатию, R0i, тс/м2 | Скорость волн Vsi, м/с | Сейсмическая жесткость , т/(м 2·с) |
Глина иловатая | 8,70 | 6,75 | 1,86 | 24 | 196 | 365 |
Глина полутвердая | 3,30 | 12,75 | 1,90 | 25 | 234 | 445 |
Суглинок с гравием и галькой | 2,0 | 15,40 | 1,90 | 29 | 404 | 768 |
Сейсмическую жесткость пачки слоев определяем по формуле:
Приращение сейсмичности за счет местных инженерно-геологических условий
Поправочный коэффициент к амплитудным характеристикам колебаний грунта на инженерно-геологические условия
Сейсмичность площадки строительства опоры N 5 с учетом поправок на сейсмический режим местности и местные инженерно-геологические условия
Ускорение колебаний грунта строительной площадки
Aпл = K2·K3·Aисх = 0,76·1,23·0,4g = 0,37g.
(справочное)
СЕЙСМИЧЕСКОЕ МИКРОРАЙОНИРОВАНИЕ УЧАСТКА СТРОИТЕЛЬСТВА
ВИАДУКА НА ЧЕРНОМОРСКОМ ПОБЕРЕЖЬЕ КАВКАЗА
М.1 Исходные данные Мостовой переход (рисунок М.1) через долину р. Чемитоквадже на Черноморском побережье Северного Кавказа (Краснодарский край) расположен между г. Туапсе и г. Сочи. Приустьевая часть долины р. Чемитоквадже врезана в подстилающие коренные породы примерно на 110 м. Древнее дно долины перекрыто аллювиальными четвертичными отложениями мощностью до 30 м. Крутизна скальных склонов долины достигает 30 - 35°. Исходная сейсмичность района принята равной 9 баллам по шкале MSK-64. Рисунок М.1 - Виадук через долину р. Чемитоквадже По данным изысканий коренные породы в створе мостового перехода представлены окремнелым мергелем. Верхние слои коренной породы трещиноватые, малопрочные с расчетным сопротивлением сжатию  . Плотность мергеля 2,45 т/м 3. В средней части перехода кровля мергеля погружается на глубину около 30 м ниже современного дна долины. Инженерно-геологический разрез по оси центральной опоры включает в себя насыпной грунт, слой галечника мощностью 5,5 м, расположенный под ним слой суглинка толщиной 4,3 м и залегающий на кровле мергеля слой галечника мощностью 15,5 м. Расчетная толща грунта, определяющая сейсмичность площадки центральной опоры виадука, включает в себя два слоя галечника и один слой суглинка (рисунок М.2). Эти грунты имеют следующие характеристики: Слой N 1. Галечник из обломков преимущественно осадочных пород с суглинистым заполнителем до 28%. Нормативная плотность грунта  . Условное сопротивление сжатию составляющих грунт фракций равно 100 тс/м 2 (галечник) и 13,5 тс/м 2 (суглинок). Условное сопротивление галечника с суглинистым заполнителем R0 = 75,8 тс/м2. Слой N 2. Тугопластичный суглинок с гравием осадочных пород до 20%. Плотность грунта  . Условное сопротивление сжатию составляющих грунт фракций равно 50 тс/м 2 (гравий) и 13,5 тс/м 2 (суглинок). Условное сопротивление суглинка с гравием R0 = 20,8 тс/м2. Слой N 3. Галечник плотностью  с тонкими прослойками суглинка, составляющими суммарно 6% от мощности слоя N 3. Это позволяет считать слой однородным, пренебрегая прослойками суглинка. Условное сопротивление галечника сжатию R0 = 100 тс/м 2. |
1а | 1б |
| |
а - колонка грунта; б - графики скорости S-волн:  - по данным сейсморазведки;  - по данным расчета Рисунок М.2 - Скорости S-волн в грунтах расчетной толщи и в коренной породе М.2 СМР в створе виадука Сейсморазведка в створе моста выполнялась в целях определения скоростей продольных и поперечных волн в коренной породе и покровных отложениях. Работы осуществлялись вдоль линии длиной 276 пог. м при наибольшей глубине зондирования 33 м. Регистрация колебаний грунта и предварительная обработка записей производились с помощью сейсмостанции. Скорости S-волн в слоях N 1 - N 3 по данным сейсморазведки равны 433, 278 и 680 м/с, соответственно. Сейсмические жесткости слоев По сейсмической жесткости галечник относится к грунтам категории II по сейсмическим свойствам, суглинок - к грунтам категории III. Скорость S-волн в мергеле 1065 м/с. Сейсмическая жесткость коренной породы т.е. мергель относится к грунтам категории I по сейсмическим свойствам. При исходной сейсмичности 9 баллов расчетное значение скорости S-волн в грунтах категории III по сейсмическим свойствам уменьшается на 30% за счет нелинейности деформаций грунта при 9-балльных землетрясениях. Поэтому для дальнейших расчетов скорость S-волн в тугопластичном суглинке принимают равной 0,7·278 = 195 м/с, сейсмическую жесткость - Приращение сейсмичности площадки центральной опоры за счет местных инженерно-геологических условий по данным сейсморазведки определяют по формуле где средневзвешенная жесткость расчетной толщи т.е. расчетная толща относится к грунтам категории II по сейсмическим свойствам. Приращение балльности  . Приращение балльности на основе данных общих инженерно-геологических изысканий оценивают с определением скорости S-волн в зависимости от условного сопротивления грунта сжатию R0, средней глубины залегания слоев и поправочных коэффициентов на нелинейность деформирования и обводненность слоев грунта расчетной толщи. Для слоя N 1 на глубине h1 = 5,75 м от поверхности грунта условное сопротивление сжатию R0 = 75,8 тс/м2. Поправочный коэффициент на обводненность слоя Kоб = 0,9. Скорость Vs1 = Kоб(0,70 + 0,03h1)(454lgR0 - 316) = = 0,9(0,70 + 0,03·5,75)(454lg75,8 - 316) = 422 м/с. Сейсмическая жесткость  . Для слоя N 2 на глубине h2 = 10,65 м от поверхности грунта условное сопротивление сжатию грунта R0 = 20,8 тс/м2. Поправочный коэффициент на нелинейность деформирования грунта Kн.д. = 0,7. Скорость Vs2 = Kн.д(0,70 + 0,03h2)(454lgR0 - 316) = = 0,7(0,70 + 0,03·10,65)(454lg20,8 - 316) = 201 м/с. Сейсмическая жесткость  . Для слоя N 3 на глубине h3 = 20,55 м от поверхности строительной площадки условное сопротивление грунта сжатию R0 = 100 тс/м2. Поправочный коэффициент на обводненность слоя Kоб = 0,9. Скорость Vs3 = Kоб(0,70 + 0,03h3)(454lgR0 - 316) = = 0,9(0,70 + 0,03·20,55)(454lg100 - 316) = 701 м/с. Сейсмическая жесткость  . Средневзвешенная сейсмическая жесткость расчетной толщи из трех слоев  . Приращение балльности  . Таким образом, при использовании данных сейсморазведки и неинструментального способа СМР получены одинаковые приращения балльности строительной площадки опоры виадука. По данным общих инженерно-геологических изысканий можно найти скорости S-волн в коренной породе на глубине 28,3 м, соответствующей кровле мергеля, Vs4 = 454lgR0 - 316 = 454lg1000 - 316 = 1046 м/с, что незначительно отличается от скорости, найденной экспериментально (Vs4 = 1065 м/с). |
(справочное)
СЕЙСМИЧЕСКОЕ МИКРОРАЙОНИРОВАНИЕ УЧАСТКА
МОСТОВОГО ПЕРЕХОДА НА САХАЛИНЕ
Мост через р. Углегорка (Сахалинская область) расположен на автомобильной дороге категории III по СП 34.13330. Первоначальный проект моста был разработан в 1993 г. в период действия карты ОСР-78, на которой сейсмичность района строительства моста была принята 7 баллов. После Нефтегорского землетрясения 1995 г. сейсмичность территории мостового перехода была увеличена до 9 баллов. В связи с этим в 2001 г. была выполнена корректировка проекта. По измененному проекту полная длина моста составила 207,14 м. Мост относится к балочной системе с разрезными на поймах и неразрезным над руслом реки (частично над левобережной поймой) пролетными строениями. Опоры бетонные (железобетонные) с фундаментами в виде свайных ростверков расположены на левобережной и правобережной поймах. По данным общих инженерно-геологических изысканий, левобережная пойма с поверхности сложена крайне слабыми отложениями (илами, глинистыми грунтами текучей консистенции, заторфованными суглинками). Мощность толщи этих грунтов изменяется от нескольких метров у подошвы береговой террасы до 23 м у русла реки. Под толщей слабых глинистых грунтов на кровле выветрелого аргиллита залегает суглинок с гравием и дресвой. Инженерно-геологическая обстановка на правобережной пойме сложнее, чем на левом берегу реки. В верхних слоях грунтового массива присутствуют текучие, мягкопластичные и тугопластичные супеси, суглинки и глины с примесью органических веществ. Углы падения слоев локально более крутые, чем на левобережной пойме. Общая мощность покровных отложений, залегающих на кровле выветрелых аргиллитов, местами превышает 25 м. Неблагоприятные особенности инженерно-геологической обстановки на правобережной пойме созданы деятельностью р. Углегорки и ее правого притока, спускающегося на пойму в створе моста с террасы правого берега. Русловые процессы в палеоруслах р. Углегорки и ее притока привели к понижению отметок кровли трещиноватого аргиллита, увеличению мощности элювия, эрозии и сносу части коренной породы с выработкой плоского ложа и крутых стенок русел, с последующим накоплением в палеоруслах слабых отложений. В результате аргиллиты и покровные отложения на правобережной пойме имеют быстро изменяющиеся свойства как по глубине разреза, так и в горизонтальных сечениях. В период строительства с 1994 г. по 2003 г. наблюдались осадка насыпей на подходах к мосту, разрушение глубоким сдвигом правобережного устоя, осадка и крен левобережного устоя, трещины в надземных конструкциях промежуточных опор. В 2008 г. на объекте выполнялись работы по обследованию конструкций, диагностике причин деформаций сооружения с составлением рекомендаций по мерам стабилизации состояния моста, включая сейсмическое микрорайонирование участка мостового перехода и разработку мер защиты сооружения от землетрясений. Сейсморазведочные работы включали в себя определение скоростей продольных и поперечных волн по шести сейсмопрофилям (СМПР) общей длиной 552 м. СМПР располагались вдоль и поперек оси моста на площади 16000 м 2. Глубина разрезов до 40 м. Скорости волн измерялись с шагом 2 м по глубине разрезов и 10 м по их простиранию. По этим данным построены геофизические разрезы изучаемого массива вдоль и поперек оси моста. На разрезах приведены положение слоев и сейсмические свойства слагающих их грунтов. Положение СМПР в плане показано на рисунке Н.1. Рисунок Н.1 - Положение сейсмопрофилей на участке мостового перехода При СМР поправку на грунтовые условия оснований мостовых опор определяют с учетом сейсмической жесткости расчетной толщи грунта. Для фундаментов из свай, столбов и оболочек из состава расчетной толщи исключают залегающие с поверхности неуплотненные насыпные грунты, слои ила, торфа, склонные к разжижению водонасыщенные рыхлые песчаные, а также очень слабые глинистые грунты текучепластичной и текучей консистенции. Под слоем упомянутых отложений располагается верхняя граница расчетной толщи грунта. Для опор с фундаментами из висячих свай нижняя граница расчетной толщи проходит в уровне нижних концов свай или ниже этого уровня, но не менее 10 м от верхней границы расчетной толщи. Если в инженерно-геологическом разрезе присутствуют линзы или прослойки менее прочного грунта под слоем, в который погружены нижние концы свай, то считают, что нижняя граница расчетной толщи проходит по подошве наиболее заглубленного слабого слоя инженерно-геологического разреза. Во всех случаях нижнюю границу расчетной толщи при проектировании мостовых опор с фундаментами из висячих свай принимают не ниже уровня поверхности, достигнутой при бурении разведочных скважин. Сваи ростверка опоры N 2 погружены на 17,2 м ниже поверхности строительной площадки (рисунок Н.2). По данным сейсморазведки, сваи погружены в слой суглинка с гравием и дресвой примерно на 5 м. Кровля выветрелого аргиллита располагается на 8 м ниже отметки погружения свай. Верхняя граница расчетной толщи проходит по поверхности слоя суглинка с гравием и дресвой на глубине 12 м от поверхности строительной площадки, нижняя граница располагается на 10 м глубже, т.е. на глубине 22 м. Средняя плотность грунта расчетной толщи  , скорость поперечных сейсмических волн в створе опоры N 2 VS = 235 м/с. Сейсмическая жесткость расчетной толщи  . Поправка к исходной сейсмичности за счет грунтовых условий  . С учетом нелинейности деформаций грунта VS = 165 м/с,  . 1 - суглинок с торфом (51 <= Vs <= 96 м/с); 2 - суглинок текучий (135 <= Vs <= 173 м/с); 3 - суглинок с гравием и дресвой (225 <= Vs <= 361 м/с); 4 - выветрелый аргиллит (506 <= Vs <= 524 м/с); 5 - трещиноватый аргиллит (Vs = 767 м/с) Рисунок Н.2 - Разрез по сейсмопрофилю N 2 Для опор с фундаментами из свай-стоек нижнюю границу расчетной толщи принимают в уровне кровли скальной породы или другого малосжимаемого грунта (глины твердой консистенции со статическим модулем деформации E > 50 МПа, крупнообломочных отложений с песчаным заполнителем или содержанием не более 40% глинистого заполнителя), на который опираются сваи-стойки. Если мощность неконсолидированного слоя оказывается меньше 10 м, то в состав расчетной толщи включают часть скального массива или другого малосжимаемого грунта, с тем чтобы общая мощность расчетной толщи была не менее 10 м. Опора N 4 имеет фундамент из свай-стоек, объединенных поверху железобетонной плитой (рисунок Н.3). Верхняя граница расчетной толщи совпадает с кровлей выветрелого аргиллита, поскольку залегающие выше глинистые грунты имеют текучую консистенцию. Уровень кровли аргиллита принимают по вертикальной оси фундамента, т.е. в данном случае на отметке -14,0 м относительно поверхности строительной площадки. Нижнюю границу расчетной толщи принимают расположенной на 10 м ниже, т.е. на отметке -24,0 м относительно поверхности строительной площадки. 1 - текучий суглинок с торфом (91 <= Vs <= 120 м/с); 2 - текучие супесь и суглинок (Vs = 170 м/с); 4 - выветрелый аргиллит (448 <= Vs <= 565 м/с) Рисунок Н.3 - Разрез по сейсмопрофилю N 6 По данным общих изысканий и сейсморазведки, плотность аргиллита  , скорость поперечных сейсмических волн в расчетной толще в створе опоры N 4 VS = 488 м/с. Сейсмическая жесткость расчетной толщи  . Поправка к исходной сейсмичности за счет грунтовых условий  . |
(справочное)
УТОЧНЕНИЕ ИСХОДНОЙ СЕЙСМИЧНОСТИ И СЕЙСМИЧЕСКОЕ
МИКРОРАЙОНИРОВАНИЕ УЧАСТКА МОСТОВОГО ПЕРЕХОДА
ЧЕРЕЗ Р. АНГАРУ В Г. ИРКУТСКЕ
П.1 Исходные данные
Городской мост через р. Ангару в г. Иркутске имеет длину более 1500 м. Русло Ангары перекрывается пролетным строением из предварительно напряженного железобетона рамно-неразрезной системы. Разбивка на пролеты принята по схеме 84,5 + 4 x 105,0 + 84,5 м. Общая длина русловой части моста 589 м. Исходная сейсмичность участка моста по
карте ОСР-2015-C равна 9 баллам.
Пролетное строение состоит из двух параллельных секций, каждая из которых пропускает транспорт в одном направлении. Вдоль оси моста секции разделены деформационным швом. Поперечное сечение секций коробчатое. Ширина верхней плиты одной коробки 15,9 м. Высота пролетного строения до 6,0 м над промежуточными опорами. Минимальная высота коробок 3,0 м в серединах пролетов и над концевыми опорами.
Наибольшая сейсмическая нагрузка в продольном к оси моста направлении приходится на анкерную опору, состоящую из двух раздельных конструкций массивного типа, каждая из которых предназначена для опирания пролетного строения одного направления. Фундаменты верховой и низовой опор состоят из буровых столбов диаметром 1500 мм. Плиты ростверков бетонируются с разрывом 1760 мм на слое тампонажного бетона. Подошва слоя тампонажного бетона расположена на 2,0 м ниже отметки дна реки.
Створ моста пересекают разломы Ангарской разломной зоны, ограничивающие долину р. Ангары по левому и правому бортам. Активность этих разломов в настоящее время не подтверждается мониторингом плотины Иркутской ГЭС, других мостов через Ангару в Иркутске и набережной, а также материалами инструментальных сейсмологических наблюдений, выполненных при сейсмическом микрорайонировании территории г. Иркутска.
Участок мостового перехода расположен на левобережной надпойменной террасе, на низкой и высокой поймах и в русле р. Ангары. Верхняя часть инженерно-геологического разреза мощностью 10 м включает аллювиальные галечниковые грунты и юрские отложения (песчаники, алевролиты разной прочности). В кровле юрские отложения выветрены до супесей, суглинков и песков.
При выполнении инструментальных исследований использован метод преломленных волн. Всего обработано 24 сейсмопрофиля длиной 69 м каждый при шаге сейсмоприемников 3 м.
П.2 Уточнение исходной сейсмичности
При проектировании городских мостов длиной более 500 м сила землетрясения Imax из наиболее опасного для сооружения очага рассматривается как уточненная сейсмичность пункта строительства Iут при выполнении условия
I2000 <=
Imax <=
I3000, (П.1)
где I2000 - сила землетрясений, повторяющихся в среднем на участке сооружения один раз за 2000 лет;
I3000 - сила землетрясений, повторяющихся там же в среднем один раз за 3000 лет.
В нашем случае Imax определяется по уравнению макросейсмического поля

(П.2)
где Mmax - наибольшая магнитуда землетрясений, создаваемых рассматриваемым очагом;

- расстояние от сооружения до зоны очага, км;
hср - средняя глубина очага, км;
b, s, c - коэффициенты уравнения макросейсмического поля, принимаемые для Прибайкалья b = 1,5, s = 4,0, c = 4,0.
По свидетельствам очевидцев, в Иркутске за последние 300 лет произошло несколько землетрясений (1742 г., 1829 г., 1862 г., 1905 г.) силой до 8 баллов
[35]. Очаги этих землетрясений располагаются в Южном Прибайкалье и Северной Монголии. Магнитуда землетрясения 1742 г.
M = 7,7, расстояние до Иркутска около
(рисунок П.1).
Рисунок П.1 - Сейсмическая обстановка в Южном Прибайкалье
В Южном Прибайкалье и вдоль ветвей Восточно-Саянской системы разломов геологами и сейсмологами Института земной коры РАН установлены палеосейсмодислокации, образовавшиеся при землетрясениях с магнитудами от 7,0 до 8,0 и глубинах очагов h = 15 - 20 км. Наиболее опасна для мостового перехода зона ВОЗ с максимальной магнитудой Mmax = 8,0, минимальным расстоянием до мостового перехода 72,5 км, средней глубиной гипоцентра hср = 17,5 км.
При повторении исторического землетрясения 1742 г. сила сейсмического воздействия в г. Иркутске на участках песчано-глинистых и крупнообломочных отложений

. При повторении палеоземлетрясения с
M = 8,0 с минимальным эпицентральным расстоянием

сила толчков в Иркутске

.
При использовании совокупности палеосейсмотектонических, исторических и инструментальных сейсмологических данных о возможных очагах землетрясений в Байкальской рифтовой зоне В.И. Уломов нашел средние промежутки времени между толчками силой от 6 до 9 баллов в г. Иркутске
(таблица П.1).
Таблица П.1
Исходные данные для нахождения уравнения
сейсмического режима в г. Иркутске
Сила землетрясения, баллы шкалы MSK-64 | 6 | 7 | 8 | 9 |
Средний промежуток времени между землетрясениями Ti, лет | 55 | 200 | 650 | 3000 |
lgTi (i = 1, 2, 3, 4) | 1,740 | 2,301 | 2,813 | 3,477 |
Среднее значение чисел в строке
(lgTi)ср = 0,25(1,740 + 2,301 + 2,813 + 3,477) = 2,583.
Уравнение сейсмического режима

(П.3)
Коэффициенты

и

находим по формулам:
Подстановкой коэффициентов

и

в
уравнение (П.3) получим искомую зависимость силы землетрясения от среднего промежутка времени между сейсмическими событиями
I = 3,01 + 1,
74lg
T. (П.4)
Для проверки
условия (П.1) находим по
формуле (П.4) силу землетрясений в Иркутске, повторяющихся в среднем через 2000 лет и 3000 лет:
I2000 = 3,01 + 1,74lg2000 = 8,75 балла;
I3000 = 3,01 + 1,74lg3000 = 9,1 балла.
Согласно
п. 5.14 уточненная сила землетрясения для мостового перехода
Iут = Imax = 8,75 балла.
При проектировании сооружений класса сейсмостойкости I сейсмический риск допускается принимать от 1% до 2,5% за интервал времени 50 лет. Для определения риска, соответствующего
Iут = 8,75 балла, нужно в
уравнении сейсмического режима (П.4) сделать замену переменной
T на риск
R по формуле

. В результате получим уравнение сейсмического риска для Иркутска
I = 5,97 - 1,74lg
R. (П.5)
R = 10
3,431-0,575I. (П.6)
Уточненной сейсмичности
Iут = 8,75 балла по
формуле (П.6) соответствует риск 0,025 = 2,5%, допустимый при проектировании моста класса сейсмостойкости I в Иркутске.
Поправка на сейсмический режим
Поправочный коэффициент к параметрам колебаний грунта на сейсмический режим
П.3 Сейсмическое микрорайонирование
Рассмотрим влияние грунтовых условий на сейсмичность площадки строительства анкерной опоры N 10, расположенной в русле Ангары.
Расчетная толща грунта строительной площадки включает слой супеси толщиной

, залегающий ниже подошвы тампонажного слоя бетона, и слой алевролита толщиной

. По данным общих инженерно-геологических изысканий и сейсморазведки сейсмическая жесткость слоя супеси
слоя алевролита
Примечание - Скорость Vs1 в слое супеси уменьшена на 30% за счет нелинейности деформаций грунта при исходной сейсмичности 9 баллов.
Средневзвешенная сейсмическая жесткость расчетной толщи грунта
Приращение сейсмичности за счет местных инженерно-геологических условий
Поправочный коэффициент на инженерно-геологические условия
П.4 Параметры колебаний грунта в русле Ангары с учетом поправок на сейсмический режим и местные инженерно-геологические условия
Расчетные значения амплитуд перемещения, скорости и ускорения колебаний грунта на площадке строительства опоры N 10 находим умножением параметров колебаний грунта, соответствующих исходной сейсмичности Iис = 9 баллов, на поправочные коэффициенты K2 = 0,84 и K3 = 0,62:
Uр = 0,84·0,62·16 см = 8,3 см;
Vр = 0,84·0,62·32 см/с = 16,7 см/с;
Wр = 0,84·0,62·400 см = 208 см/с2.
(справочное)
СЕЙСМИЧЕСКОЕ МИКРОРАЙОНИРОВАНИЕ УЧАСТКА МОСТОВОГО ПЕРЕХОДА
В СЕВЕРНОЙ СТРОИТЕЛЬНО-КЛИМАТИЧЕСКОЙ ЗОНЕ
Р.1 Исходные данные для сейсмического микрорайонирования
Основной характеристикой при сейсмическом микрорайонировании участков строительства мостов служит сейсмическая жесткость расчетной толщи грунта, определяемая в зависимости от строения и свойств покровных отложений и подстилающих их скальных пород, а также от общего размыва русла и пойм в створе моста после его постройки, положения мостовых опор, конструкции их фундаментов и ряда других факторов, устанавливаемых при общих инженерно-геологических, инженерно-гидрологических и инженерно-сейсмологических изысканиях, геокриологическом прогнозировании и разработке технических решений проектируемых объектов.
По сейсмическим свойствам грунты в криолитозоне, образующие расчетные толщи площадок мостовых опор, подразделяются на две основные группы:
- немерзлые (талые) грунты;
- мерзлые грунты, содержащие в порах (трещинах) лед.
Каждая из основных групп подразделяется на три подгруппы:
- пески, супеси, суглинки;
- крупнообломочные грунты (глыбы, галька, гравий, дресва, щебень в различных сочетаниях с песчаным или глинистым заполнителем);
- излившиеся или метаморфические скальные породы.
Инженерно-сейсмологические исследования на трассе ст. Икабъекан - Тарыннахский ГОК в Восточной Сибири выполнены ИЗК СО РАН. Исследования включали маршрутное обследование местности, сейсморазведку, регистрацию микроколебаний грунтов при слабых землетрясениях, камеральные работы, в том числе выявление скоростей сейсмических волн в основаниях железнодорожных насыпей и в створах мостов. На основании выполненных исследований для участков строительства мостов предложено учитывать следующие значения скоростей поперечных волн Vs:
1) Рыхлые водонасыщенные отложения на глубине до 10 м от естественной поверхности Vs = 520 м/с;
2) Скальные породы на глубине 10 - 20 м Vs = 1450 м/с;
3) Мерзлые рыхлые грунты при температуре от 0 до -1 °C на глубине до 10 м Vs = 1300 м/с;
4) Мерзлые скальные породы при температуре от 0 до -1 °C на глубине 10 - 20 м Vs = 1450 м/с.
Ранее, при изысканиях мостов Байкало-Амурской магистрали, инженерно-сейсмологические работы выполнялись на 101 мостовом переходе на части дороги протяженностью 1355 км (от р. Бира до р. Верхняя Ларба), включая переходы через реки Чара, Икабья, Хани, Олекма, Нюкжа, Витим.
Уточненная по данным СМР сейсмичность створов устанавливалась для малых и средних мостов, как правило, единой для всего створа. На участках строительства больших мостов через крупные реки по длине мостовых переходов выделялись три микрозоны, поскольку немерзлые (талые) аллювиальные отложения в руслах по сейсмическим свойствам отличались в худшую сторону от мерзлых грунтов на поймах и береговых террасах.
Пример Р.1. По длине мостового перехода через р. Витим выделены три микрозоны. К наиболее благоприятной микрозоне отнесены участки, сложенные мерзлыми супесями и суглинками с температурой не выше -2 °C и скоростью поперечных сейсмических волн Vs = 2100 м/с. Менее благоприятны в сейсмическом отношении мерзлые супеси и суглинки с температурой от 0 до -1 °C и скоростью Vs = 1430 м/с. Наименее благоприятны слагающие русло водонасыщенные суглинистые, песчаные и валунно-галечниковые с песчаным заполнителем грунты с Vs = 500 м/с.
Данные изысканий мостов на БАМе позволяют считать средними для немерзлых грунтов речных долин Восточной Сибири следующие значения плотности

, скорости
Vs и сейсмической жесткости

:
1) Пески, супеси, суглинки немерзлые (оттаявшие)

,
Vs = 295 м/с,

;
2) Глыбы, валуны и другие крупнообломочные грунты с песчаным заполнителем

,
Vs = 410 м/с,

;
3) Граниты, гнейсы и другие прочные скальные породы трещиноватые

,
Vs = 1790 м/с,

.
Наиболее вероятные значения сейсмических характеристик мерзлых грунтов в створе мостов:
1) Пески, супеси, суглинки

,
Vs = 1960 м/с,

;
2) Крупнообломочные грунты

,
Vs = 2250 м/с,

;
3) Трещиноватые скальные породы

,
Vs = 2480 м/с,

.
Из сопоставления наиболее вероятных сейсмических характеристик грунтов в створах мостов БАМ и мостов на линии ст. Икабъекан - Тарыннахский ГОК видно, что скорости Vs в исследованных створах для близких инженерно-геологических условий значительно различаются.
Современное состояние мерзлотоведения позволяет дать лишь приближенный прогноз температурного режима и сейсмических свойств многолетнемерзлых толщ грунтов на весь срок службы мостов. Поэтому принятые в работе
[61] сейсмические характеристики грунтов речных долин Восточной Сибири
(таблица Р.1) соответствуют наиболее осторожным оценкам, опубликованным различными авторами.
Таблица Р.1
Сейсмические характеристики грунтов в речных долинах
Восточной Сибири
Наименование грунта | Плотность  , т/м 3 | Скорость поперечных волн Vs, м/с | Сейсмическая жесткость  , т/(м 2·с) |
Немерзлые (талые) пески, супеси, суглинки | 1,70 | 295 | 500 |
Немерзлые крупнообломочные грунты с песчаным заполнителем | 1,90 | 410 | 780 |
Немерзлые граниты, гнейсы и другие скальные породы | 2,60 | 1450 | 3770 |
Мерзлые пески, супеси, суглинки | 1,75 | 1300 | 2275 |
Мерзлые крупнообломочные грунты с песчаным заполнителем | 1,90 | 1300 | 2470 |
Мерзлые трещиноватые скальные породы | 2,60 | 1450 | 3770 |
Примечание - При наличии в разрезе немерзлых глинистых грунтов мягко- и тугопластичной консистенции с галькой и гравием их сейсмическая жесткость принимается равной 350 т/(м2·с).
Р.2 Сейсмическое микрорайонирование участка моста через р. Курунг-Юрях
Железная дорога категории III в Восточной Сибири пересекает р. Курунг-Юрях в районе сейсмичностью 9 баллов по
карте ОСР-97-B. Мост балочной разрезной системы с пятью пролетными строениями длиной 34,2 м. Опоры NN 3 и 4 располагаются в русле реки, остальные опоры вынесены на поймы. Фундаменты промежуточных опор выполняются в виде свайных ростверков с частичным или полным заглублением плит в грунт. Плиты ростверков опираются на вертикальные буронабивные столбы диаметром 1,5 м, заглубленные в толщу многолетнемерзлых покровных отложений до кровли коренной породы (гранито-гнейсов). Устои имеют оголовки, расположенные выше естественной поверхности грунта, и более короткие буронабивные столбы диаметром 1,5 м, нижние части которых бетонируются в слое твердомерзлого галечника.
Помимо галечника в верхней части инженерно-геологического разреза имеются пески и суглинки. Общая мощность покровных отложений в створе моста около 30 м.
Расчетная толща грунта (РТГ) на пойме показана на
рисунке Р.1 а. Верхняя граница расчетной толщи (ВГРТ) находится в уровне подошвы почвенно-растительного слоя, поскольку оголовок устоя приподнят над естественной поверхностью грунта. Нижняя граница расчетной толщи (НГРТ) располагается в слое твердомерзлого галечника. Общая мощность РТГ равна 10 м. На
рисунке Р.1 толщины слоев даны в м.
| |
а - расчетная толща грунта на пойме | б - то же, в русле |
Рисунок Р.1 - Расчетные толщи грунта
на участке моста через р. Курунг-Юрях
РТГ на пойме состоит из четырех слоев, имеющих следующие сейсмические жесткости

относительно поперечных волн:
-

(песок средней крупности, средней плотности, насыщенный водой);
-

(галечник с песком мелким 35% и валунами 10%, твердомерзлый, льдистый);
-

(суглинок твердомерзлый, льдистый);
-

(галечник с песком мелким 35% и валунами 10%, твердомерзлый, льдистый).
Средневзвешенная сейсмическая жесткость пачки слоев на пойме

. Этому значению жесткости соответствует коэффициент учета грунтовых условий

. На этот коэффициент следует умножать параметры колебаний грунта, найденные для средних по сейсмическим свойствам грунтов.
Снижению интенсивности колебаний грунтов на 43% за счет благоприятных инженерно-геологических условий соответствует уменьшение сейсмичности стройплощадок на поймах на

, т.е. сейсмичность пойм в створе моста будет 8,2 балла при уточненной сейсмичности района 9,0 балла по детализированной карте сейсмической опасности.
В русле реки к немерзлым грунтам относятся два верхних слоя (суглинок полутвердый и насыщенный водой галечник). Ниже подошвы талого грунта галечник находится в твердомерзлом состоянии. Верхняя граница РТГ соответствует линии общего размыва в русле, нижняя граница проходит в мерзлом галечнике. Общая мощность РТГ равна 10 м.
Сейсмические жесткости слоев грунта в русле:
-

(суглинок);
-

(насыщенный водой галечник);
-

(галечник твердомерзлый).
Для русловой микрозоны средневзвешенная сейсмическая жесткость
Коэффициент грунтовых условий

. Интенсивность колебаний грунта в русловой микрозоне уменьшается по отношению к средним по сейсмическим свойствам грунтам на 38%, а балльность снижается на
по сравнению с уточненной за счет сейсмического режима сейсмичностью 9 баллов.
По сравнению с руслом колебания грунта на поймах при землетрясениях слабее на 0,1 балла. Учитывая небольшое различие в силе землетрясений по длине мостового перехода можно при проектировании принять сейсмичность всего участка одинаковой 8,3 балла, т.е. со снижением на 0,7 балла за счет учета инженерно-геологических условий в створе мостового перехода.
(справочное)
УТОЧНЕНИЕ ИСХОДНОЙ СЕЙСМИЧНОСТИ И СЕЙСМИЧЕСКОЕ
МИКРОРАЙОНИРОВАНИЕ УЧАСТКА РЕКОНСТРУКЦИИ МОСТА В Г. АДЛЕРЕ
С.1 Уточнение исходной сейсмичности пункта строительства
Искусственные сооружения на скоростной автомобильной дороге Адлер - Веселое относятся к транспортным объектам, для которых вероятность превышения расчетного сейсмического воздействия принимается равной 5% за 50 лет эксплуатации (средний интервал времени между землетрясениями расчетной силы T = 1000 лет).
Силу сейсмического воздействия, соответствующую риску 5%, определяют по списку населенных пунктов Российской Федерации, расположенных в сейсмических районах. В этом списке, приложенном к
СП 14.13330.2014, для городов и поселков городского типа указана сейсмичность участков, сложенных средними по сейсмическим свойствам грунтами. Город Адлер в упомянутом списке отсутствует.
На
карте ОСР-97, изданной в 2000 г., распределение силы землетрясений на территории Черноморского побережья Северо-Западного Кавказа показано более детально, чем в списке населенных пунктов в сейсмических районах. Фрагмент
карты ОСР-97-B, применяемый при проектировании сооружений с предельно допустимым риском 5%, показан на
рисунке С.1.
Рисунок С.1 - Карта сейсмической опасности, применяемая
при проектировании сооружений с предельно допустимым риском
5% на территории западной части Северного Кавказа
Граница между зонами сейсмичностью 8 и 9 баллов по шкале MSK-64 на участке от Дагомыса до границы с Абхазией проходит по территории г. Сочи и далее по приморской равнине до пограничного пункта Веселое, оставляя в 8-балльной зоне прибрежную полосу шириной до 10 км в районе г. Адлера. За пределами этой полосы на территории предгорий Главного Кавказского хребта сейсмичность увеличивается до 9 баллов по шкале MSK-64 на участках, сложенных средними по сейсмическим свойствам грунтами.
Скоростная дорога на участке Адлер - Веселое проходит по Имеретинской равнине в нескольких км от границы, разделяющей зоны сейсмичностью 8 и 9 баллов. В связи с тем, что расчет балльности для
карт ОСР-97 производился по сетке с размерами ячеек 25 x 25 км
2 и с использованием целочисленных значений баллов рекомендуется уточнять исходную сейсмичность с использованием расчетных данных о повторяемости землетрясений в пункте строительства.
По данным сейсмотектонических и сейсмических исследований, расчетные интервалы времени между землетрясениями силой 7, 8 и 9 баллов в г. Адлере составляют соответственно 130, 400 и 2130 лет. Эта информация является исходной для уточнения исходной сейсмичности участков искусственных сооружений на дороге Адлер - Веселое, сложенных средними по сейсмическим свойствам грунтами
(таблица С.1).
Таблица С.1
Исходные данные для уточнения исходной сейсмичности участков
искусственных сооружений на дороге Адлер - Веселое
Сила землетрясения, баллы шкалы MSK-64 | 7 | 8 | 9 |
Средний интервал времени Ti между землетрясениями, лет | 130 | 400 | 2130 |
lgTi (i = 1, 2, 3) | 2,11 | 2,60 | 3,33 |
Уравнение сейсмического режима находим по методу наименьших квадратов
[40]. Согласно этому методу определяем среднее значение чисел в строке lg
Ti таблицы С.1:
Уравнение сейсмического режима ищем в виде

(С.1)
Для нахождения коэффициентов

и

используем формулы Лежандра
Подстановкой коэффициентов

и

в формулу С.1 находим искомое уравнение
I = 8,0 + 1,63[lg T - 2,68] = 8,0 + 1,63lg T - 4,37 = 3,63 + 1,63lg T. | (С.2) |
Обозначения:

повторяемость землетрясений по сейсмологическим данным;

график сейсмического режима, построенный методом наименьших квадратов
Рисунок С.2 - График сейсмического режима
для участка проектирования искусственных сооружений
на дороге Адлер - Веселое
Уточненная по
уравнению (С.2) сейсмичность, соответствующая среднему интервалу времени между толчками
T = 1000 лет или сейсмическому риску
R = 5%, составит
Iут = 3,63 + 1,63lg1000 = 8,5 балла,
т.е. приращение балльности за счет уточнения исходной сейсмичности составляет
Поправочный коэффициент на сейсмический режим определяется по формуле
На коэффициент Kс.р. следует умножать параметры колебаний грунта при 9-балльном землетрясении, т.е. ускорение 400 см/с2, скорость 32 м/с, перемещение 16 см.
В результате введения поправки на сейсмический режим колебания среднего по сейсмическим свойствам грунта, имеющего сейсмическую жесткость

, имеют следующие математические ожидания пиковых значений:
- ускорение W = 0,71·400 см/с2 = 284 см/с2;
- скорость V = 0,71·32 см/с = 22,7 см/с;
- перемещение U = 0,71·16 см = 11,4 см.
С.2 Сейсмическое микрорайонирование участка автодорожного моста через р. Мзымту
Мост через р. Мзымту в г. Адлере, сданный в эксплуатацию в 2004 г., был рассчитан на пропуск автомобилей по двум полосам движения. Длина моста 264,8 м.
Система моста балочная с температурно-неразрезными пролетными строениями. Схема разбивки пролетного строения деформационными швами на температурно-неразрезные секции 66,05 + 99,0 + 66,05 м. Береговые пролеты перекрыты разрезными пролетными строениями длиной 12,0 м. Общий вид объекта показан на
рисунке С.3.
Рисунок С.3 - Общий вид моста через р. Мзымту
до реконструкции
Промежуточные опоры моста выполнены в виде железобетонных рам с двумя стойками круглого сечения диаметром 1,2 м и ригелем высотой до 1,1 м при длине 11,2 м и ширине 1,8 м. Стойки заделаны в фундаментные плиты, опертые на оболочки диаметром 1,6 м, погруженные примерно на 14 м ниже поверхности пойм (дна реки) в массив галечникового грунта с валунами и супесчаным заполнителем. Правобережный устой железобетонный стоечного типа с фундаментом мелкого заложения. Левобережный устой по конструкции близок к промежуточным опорам, т.е. имеет два столба выше обреза фундаментной плиты, опирающейся на две сваи-оболочки диаметром 1,6 м.
Согласно программе строительства олимпийских объектов и развития г. Сочи как горноклиматического курорта ООО "ИЦ "ПОИСК" разработал проект реконструкции моста через р. Мзымту в Адлере. По проекту число полос движения на мосту увеличивается до четырех. Дополнительные две полосы устраиваются на пролетных строениях, располагаемых рядом с существующими, с верховой стороны от них. Одновременно выполняется усиление существующих конструкций, принимая во внимание уточненные данные о гидрологической обстановке, инженерно-геологических условиях и сейсмических воздействиях в створе моста.
Оба рядом расположенных сооружения относятся к балочной системе с температурно-неразрезными пролетными строениями из балок длиной 33,0 м и 12 м, а также переходных плит. Общая длина моста 255,9 м. Опоры железобетонные с усилением стоек углепластиковыми холстами. Фундаменты опор низового моста на свайных основаниях из двух железобетонных свай-оболочек диаметром 1,6 м, погруженных на 14 м в аллювиальные отложения.
На участке мостового перехода пробурены три разведочные скважины глубиной 25 м от поверхности участка. Скважины вскрывают отложения на поймах и в русле реки.
Приповерхностная толща на участке мостового перехода сложена галечниковым грунтом с пластичным супесчаным заполнителем, ниже которого залегает галечниковый грунт с песчаным заполнителем. В приповерхностной толще имеются также слои суглинка мягкопластичного и гравийного грунта с включением валунов и гальки.
Галечниковый грунт с песчаным заполнителем имеет плотность 2,21 т/м3 и модуль деформации 55,0 МПа, т.е. при опирании на этот слой нижних концов свай они могут рассматриваться как сваи-стойки. Плотность галечника с пластичным супесчаным заполнителем составляет 2,12 т/м3, модуль деформации 43,0 МПа.
Ниже отметки 25 м от поверхности пойм до глубины 62 м залегают глины, подстилаемые лиманными отложениями мощностью более 30 м. Большая суммарная мощность (около 100 м) рыхлых грунтов четвертичной системы (крупнообломочных, глинистых и песчаных) в долине р. Мзымты увеличивает интенсивность низкочастотных колебаний грунта при землетрясениях.
Сейсмические свойства грунтов в створе мостового перехода определены с помощью геофизических исследований. Сеть сейсмопрофилей покрывает обе поймы речной долины как в пределах ширины мостового перехода, так и за ее пределами на удалении до 100 м от продольной оси моста. Общая длина сейсмопрофилей 973 м
[62].
Скорости сейсмических волн найдены в слоях, заглубленных до 55 м от поверхности пойм. Наибольшее значение Vs в створе мостового перехода 562 м/с. По данным геофизических исследований грунтов на участках строительства транспортных сооружений скорость поперечных волн в коренных невыветрелых породах, как правило, превышает 750 м/с. Следовательно, в створе моста дочетвертичные отложения залегают на глубинах более 55 м.
При СМР участка мостового перехода верхняя граница расчетной толщи грунта принята в уровне общего размыва, нижняя граница расчетной толщи - в уровне нижних концов свай-оболочек. Мощность расчетной толщи грунта составляет 13 м
(рисунок С.4).
Рисунок С.4 - Расчетная толща грунта на участке
мостового перехода:
1 - галечник с пластичным супесчаным заполнителем;
2 - галечник с песчаным заполнителем;
толщины слоев показаны в м
Скорость поперечных волн в верхнем слое с учетом нелинейности деформаций грунта Vs1 = 0,7·230 м/с = 161 м/с. Нижний слой относится к грунтам категории II по сейсмическим свойствам. Для этого слоя Vs2 = 325 м/с.
Средневзвешенная сейсмическая жесткость толщи из двух слоев
Приращение балльности относительно среднего по сейсмическим свойствам грунта
Коэффициент грунтовых условий
Расчетная толща в створе мостового перехода через р. Мзымту относится к грунтам категории III по сейсмическим свойствам. При определении сейсмической нагрузки от масс сооружения рекомендуется использовать кривую коэффициента динамичности, соответствующую упомянутой категории грунтов.
(справочное)
СЕЙСМИЧЕСКОЕ МИКРОРАЙОНИРОВАНИЕ УЧАСТКА
ЖЕЛЕЗНОДОРОЖНОГО ВОКЗАЛА В Г. СОЧИ
Железнодорожный вокзал в г. Сочи (Краснодарский край) построен в 1952 г. Комплекс разновысоких зданий вокзала занимает площадку с размерами 145 x 52 м в плане. Высота двух зданий (административного корпуса и здания билетных касс) около 10 м, центрального корпуса - 20 м, башни - более 45 м. Вокзал сооружен на спланированном участке склона. Фундаменты под кирпичными стенами устроены в виде бетонных лент шириной по подошве от 1,2 до 4,0 м. Глубина заложения фундаментов от естественной поверхности грунта колеблется от 1,2 до 7,2 м. Под подошвой фундаментов залегает глина от тугопластичной до полутвердой консистенции с включением до 20% дресвы и щебня аргиллита и песчаника. Суммарная мощность слоев глины под зданием административного корпуса составляет от 10 до 20 м. Под фундаментами других зданий мощность покровных отложений уменьшается до 10 - 15 м и менее. На участке вокзала коренная порода представлена аргиллитом. Верхний слой аргиллита толщиной около 3 м разрушен до состояния глыб, дресвы и щебня с глинистым заполнителем. Плотность грунта 2,08 т/м3, модуль деформации 15 - 24 МПа, условное сопротивление R0 при сжатии 20 - 25 тс/м2. Ниже залегает слой аргиллита низкой прочности с плотностью 2,10 т/м3, модулем деформации 30 МПа, условным сопротивлением R0 при сжатии 30 - 35 тс/м2. Мощность этого слоя приблизительно 2 м. Еще ниже располагается трещиноватый аргиллит с плотностью в кровле 2,35 т/м3, модулем деформации 35 - 40 МПа, условным сопротивлением R0 при сжатии, равным 40 - 50 тс/м2. За период с 1952 г. по 1990 г. в стенах зданий появились многочисленные трещины преимущественно вертикального направления. Ширина раскрытия трещин в отдельных местах достигала 10 мм. Трещины появились из-за неодинакового давления на грунт разновысоких частей зданий и переменной мощности сжимаемой толщи глинистых грунтов. К 1994 г. разность осадок стены вокзала со стороны перрона достигла 169 мм. При проектировании вокзала предполагалось, что сила максимального возможного землетрясения в г. Сочи не превышает 7 баллов. В связи с этим в проекте были предусмотрены только минимальные антисейсмические мероприятия в виде поясов из железобетона в кирпичных стенах центрального и административного корпусов, а также в здании билетных касс. В связи с разрушительными землетрясениями на Кавказе в Армении (1988 г.) и Грузии (1991 г.) сейсмическая опасность для г. Сочи повышена до 9 баллов применительно к наиболее крупным объектам на железных и автомобильных дорогах, включая памятники архитектуры, к которым относится железнодорожный вокзал в г. Сочи (рисунок Т.1). Рисунок Т.1 - Здание железнодорожного вокзала в г. Сочи после капитального ремонта Неудовлетворительное состояние кирпичной кладки стен, слабое армирование железобетонных конструкций не соответствовали требованиям безопасной эксплуатации вокзала в районе высокой сейсмичности. В связи с этим были выполнены специальные исследования, включая сейсмическое микрорайонирование места расположения вокзала, и разработаны рекомендации по антисейсмическому усилению несущих и декоративных конструкций. Сейсмические свойства грунтов под зданием вокзала на глубину до 20 м определены при выполнении геофизических работ на пяти профилях общей длиной 344 м. Мощности слоев и скорости продольных и поперечных сейсмических волн выявлялись с шагом в горизонтальном направлении 10 м. Сейсмичность площадок зданий вокзала определялась с осреднением сейсмических свойств расчетной толщи по территории зданий, разделенных антисейсмическими (деформационными) швами. Характеристики расчетной толщи устанавливались в зависимости от сейсмических свойств толщи мощностью 10 м, расположенной ниже отметок заложения фундаментов. Мощность слоев грунта в пределах расчетной толщи определялась по данным инженерно-геологических разрезов, соответствующих центральным осям зданий. В изученном массиве поперечные волны распространялись со следующими скоростями: в полутвердых и тугопластичных глинах - от 270 до 300 м/с, в аргиллите разной степени выветрелости - от 720 до 850 м/с. Грунты с менее благоприятными сейсмическими свойствами расположены под зданием административного корпуса. Среднее значение скорости Vs = 270 м/с, плотность глины  , мощность расчетной толщи 10 м, сейсмическая жесткость грунта  , поправка к исходной сейсмичности на грунтовые условия  . С учетом нелинейности деформаций грунта при землетрясениях силой 9 баллов Vs = 0,7· 270 = 189 м/с,  . По данным сейсморазведки, на участке работ по капитальному ремонту вокзала выделены четыре микрозоны. Поправки на грунтовые условия в микрозонах изменялись в интервале значений от 0,3 до 0,4 балла. Поправки на грунтовые условия учитываются совместно с поправкой на сейсмический режим. |
(справочное)
СЕЙСМИЧЕСКОЕ МИКРОРАЙОНИРОВАНИЕ ОПОЛЗНЕВОГО СКЛОНА
У.1 Исходные данные СМР оползневого склона показано на примере обхода г. Сочи. Строительство обхода г. Сочи (Краснодарский край) началось в 1988 г. В 1992 г. работы на участке от ПК45 до ПК134 были приостановлены. На первом пусковом комплексе до ПК45 работы продолжались. В феврале 2001 г. в г. Сочи выпали обильные осадки в объеме трехмесячной нормы. На склоне Раздольненской котловины (ПК43 - 48), подрезанном в 1991 - 1992 гг. выемкой глубиной до 8 м, под влиянием осадков сформировался оползень. Оползневая масса состояла из сдвинутых слоев полутвердой глины, дресвы и щебня, блоков и пакетов аргиллита. Мощность оползневого массива в отдельных местах достигала 12 - 15 м, высота стенки отрыва в тыльной части оползня 9 - 10 м. Средняя ширина оползневого тела составила около 400 м, длина примерно 300 м, объем сместившейся породы около 1 млн м3. В связи с возникшим оползнем потребовалась корректировка проекта строительства автомобильной дороги. Дополнительно были выполнены бурение разведочных скважин через тело оползня и вне оползневого массива, отбор образцов грунта из тела оползня и ниже поверхности скольжения, лабораторное определение физико-механических свойств грунтов, сейсмическое микрорайонирование участка оползневого склона. На основании полевых и лабораторных работ были установлены следующие свойства грунтов на склоне Раздольненской котловины (рисунок У.1 а) |
| |
| |
а - колонка грунта (скв. 10); б - графики скорости S-волн:  - по данным сейсморазведки;  - по расчету с использованием данных общих инженерно-геологических изысканий Рисунок У.1 - Изменение скорости S-волн по глубине инженерно-геологического разреза Слой N 1. В разной степени дезинтегрированные блоки и пакеты коры выветривания, составляющие тело оползня. Толщина слоя  от поверхности склона. По поверхности скольжения угол внутреннего трения  , сцепления c = 1,2 тс/м 2. Слой N 2. Аргиллит низкой прочности с прослоями малопрочных песчаников (3 - 5%). Толщина слоя  . Нормативная плотность  . По ГОСТ 25100 предел прочности грунта Rс на одноосное сжатие изменяется в интервале от 100 до 300 тс/м 2. Для слоя в среднем было принято условное сопротивление сжатию  . Слой N 3. Аргиллит пониженной прочности с прослоями маломощных песчаников (до 5%). Нормативная плотность  . Толщина слоя  . По ГОСТ 25100 предел прочности грунта на одноосное сжатие лежит в интервале значений от 300 до 500 тс/м 2. Для средней глубины залегания слоя h = 16 м было принято  . У нижней границы слоя на глубине 20 м R0 = Rс = 500 тс/м 2. Слой N 4. Малопрочный аргиллит, близкий по свойствам аргиллиту пониженной прочности. Слой заглублен на 20 - 26 м от поверхности склона. Прочность на одноосное сжатие Rс и условное сопротивление сжатию R0 были приняты равными 500 тс/м2. У.2 Сейсмическое микрорайонирование Суммарная длина геофизических профилей вдоль и поперек тела оползня 568 м. Скорости сейсмических волн вычислялись на глубину до 26 м от поверхности склона с шагом 2 м по глубине разрезов. Изменение скорости поперечных волн Vs по глубине разреза показано на рисунке У.1, б. На глубине 10 м отмечен локальный минимум скорости S-волн в аргиллите низкой прочности, что объясняется повышенной трещиноватостью породы вблизи поверхности сдвига. Из рисунка У.1 б видно, что выше и ниже отметки 10 м скорость Vs увеличивается в связи с удалением от поверхности скольжения. В интервале глубин от 10 до 20 м скорость Vs увеличивается с 667 м/с до 1200 м/с из-за уменьшения трещиноватости коренной породы. Ниже отметки 20 м скорость S-волн стабилизируется, достигнув своего максимума 1200 м/с. Таким образом, мощность зоны выветривания аргиллита на склоне составляет 20 м. При расчете сейсмоустойчивости склонов сейсмичность участка относят к массиву породы мощностью 10 м, относительно которого проверяют возможность скольжения вышележащих отложений. В данном случае необходимо учитывать сейсмические свойства аргиллита низкой и пониженной прочности (слои N 2 и N 3). Для слоя N 2 средняя скорость S-волн на глубине 11 м Vs2 = 698 м/с, сейсмическая жесткость  . Для слоя N 3 на глубине 16 м скорость Vs3 = 897 м/с, сейсмическая жесткость  . Сейсмическая жесткость расчетной толщи Приращение сейсмичности за счет местных инженерно-геологических условий  . По данным общих инженерно-геологических изысканий, скорость S-волн находят в зависимости от условного сопротивления грунта сжатию R0 и глубины залегания слоя h. Для слоя N 2 на глубине h = 11 м условное сопротивление сжатию R0 = 200 тс/м 2. Скорость S-волн Vs = (0,70 + 0,03 h)(454lg R0 - 316) = 750 м/с. Сейсмическая жесткость слоя  . Для слоя N 3 на глубине 16 м условное сопротивление сжатию R0 = 400 тс/м 2. Скорость S-волн Vs = (0,70 + 0,03 h)(454lg R0 - 316) = 1021 м/с. Сейсмическая жесткость слоя  . Сейсмическая жесткость слоев расчетной толщи Приращение балльности за счет местных инженерно-геологических условий  . Приращения сейсмичности ложа оползня, найденные по данным сейсморазведки  и материалам общих инженерно-геологических изысканий  практически совпадают. |
(справочное)
СЕЙСМИЧЕСКОЕ МИКРОРАЙОНИРОВАНИЕ
УЧАСТКА ТОННЕЛЯ МЕЛКОГО ЗАЛОЖЕНИЯ
Тоннель предназначен для транспортировки использованной для охлаждения энергетической установки воды в море. Наружные размеры поперечного сечения тоннеля: ширина 24,15 м, высота 6,07 м. Общая длина участка строительства тоннеля между крайними разведочными скважинами по его оси около 1500 м. Инженерно-геологический разрез исследуемого участка по продольной оси тоннеля показан на
рисунке Ф.1.
Рисунок Ф.1 - Инженерно-геологический разрез вдоль трассы
водосбросного тоннеля:
1 - вода; 2 - суглинок тугопластичный; 3 - песок пылеватый,
средней плотности, водонасыщенный; 4 - суглинок полутвердый
с тонкими прослоями и редкими линзами песка;
5-5 - подошва тоннеля
Тоннель сооружается в выемке, дно которой постепенно понижается по направлению от берега к выходу из тоннеля в море. Отметки подошвы тоннеля относительно уровня моря приняты следующими: -8,87 м (у входа в тоннель), -12,50 м (на ПК 435 м), -13,75 м (на ПК 1055 м). После установки секций тоннеля в проектное положение конструкция засыпается крупнообломочным грунтом.
Тоннель расположен в районе сейсмичностью 7 баллов по шкале MSK-64. При проектировании сооружения следует учесть давление грунта на боковые стенки тоннеля, сдвигающие силы на расположенную на перекрытии засыпку и силы инерции от масс конструкции, возникающие при землетрясении.
По данным общих инженерно-геологических изысканий на исследуемом участке выделяются три сейсмических микрозоны протяженностью 424 м, 792 м и 288 м, показанные на
рисунке Ф.1. Расчетные толщи грунта в микрозонах принимаются мощностью 10 м. Верхние границы расчетных толщ (ВГРТ) расположены в уровне подошвы тоннеля на отметках -9,75 м, -12,75 м и -13,75 м, соответствующих серединам микрозон. Строение расчетных толщ показано на
рисунках Ф.2,
Ф.3 и
Ф.4.
Рисунок Ф.2 - Расчетная толща грунта в микрозоне N 1
исследуемого участка:
1 - вода; 4 - суглинок полутвердый
Рисунок Ф.3 Расчетная толща грунта в микрозоне N 2
исследуемого участка:
1 - вода; 2 - суглинок тугопластичный; 3 - песок пылеватый,
средней плотности, водонасыщенный; 4 - суглинок полутвердый
Рисунок Ф.4 - Расчетная толща грунта в микрозоне N 3
исследуемого участка:
1 - вода; 2 - суглинок тугопластичный; 3 - песок пылеватый,
средней плотности, водонасыщенный; 4 - суглинок полутвердый
Покровные отложения на берегу и на береговой отмели (микрозона N 1) в пределах расчетной 10-метровой толщи представлены полутвердым суглинком с редкими линзами песка. В микрозоне N 2 расчетная толща сложена тугопластичным суглинком, подстилаемым песком пылеватым, средней плотности, водонасыщенным. На участке, примыкающем к выходу из тоннеля в море, пылеватый песок в нижней части расчетной толщи частично замещается полутвердым суглинком. Условное сопротивление сжатию песка пылеватого 10 тс/м2, суглинка тугопластичного 20 тс/м2, суглинка полутвердого 35 тс/м2. Плотности песка 1,70 т/м3, суглинка тугопластичного 1,85 т/м3, суглинка полутвердого 2,02 т/м3.
Ф.1 Приращение сейсмичности в микрозоне N 1
Скорость поперечных сейсмических волн на глубине 10 м от поверхности дна моря
Vs = 454lgR0 - 316 = 454lg35 - 316 = 385 м/с.
Средняя глубина h залегания расчетной толщи от дна моря равна 9,75 м.
Поправочный коэффициент на глубину h
Сейсмическая жесткость расчетной толщи
По
СП 268.1325800 грунт расчетной толщи относится к категории II по сейсмическим свойствам.
Приращение сейсмичности за счет местных инженерно-геологических условий
Ф.2 Приращение сейсмичности в микрозоне N 2
Расчетная толща микрозоны N 2 состоит из двух слоев. Верхний слой тугопластичного суглинка толщиной

залегает в среднем на глубине
h1 = 9,37 м от дна моря. Нижний слой пылеватого песка толщиной

расположен в среднем на глубине
h2 = 14,37 м.
Свойства верхнего слоя (первого слоя РТ)
Скорость поперечных сейсмических волн в слое тугопластичного суглинка на глубине 10 м от поверхности дна моря
Vs1 = 454lgR0 - 316 = 454lg20 - 316 = 275 м/с.
Поправочный коэффициент на среднюю глубину залегания h1
Сейсмическая жесткость слоя тугопластичного суглинка
По
СП 268.1325800 тугопластичный суглинок относится к грунтам категории III по сейсмическим свойствам.
Для учета нелинейных деформаций грунта вводится дополнительный коэффициент 0,9 к скорости Vs1.
Расчетная скорость поперечных сейсмических волн с учетом двух поправочных коэффициентов
Vs1р = 0,98·0,9·275 = 242 м/с.
Сейсмическая жесткость суглинка с учетом поправочных коэффициентов
Свойства нижнего слоя (второго слоя РТ)
Скорость поперечных сейсмических волн в слое пылеватого песка на глубине 10 м от поверхности дна моря
Vs2 = 454lgR0 - 316 = 454lg10 - 316 = 138 м/с.
Поправочный коэффициент на глубину h2
Kh2 = 0,70 + 0,03h2 = 0,70 + 0,03·14,37 = 1,13.
Сейсмическая жесткость слоя песка
Песок относится к грунтам категории III по сейсмическим свойствам.
Для учета нелинейных деформаций грунта и воды в порах песка вводятся дополнительные коэффициенты 0,9 и 0,8, соответственно. Расчетная скорость поперечных волн в песке с учетом всех поправочных коэффициентов
Vs2р = 1,13·0,9·0,8·138 = 112 м/с.
Сейсмическая жесткость песка с учетом всех поправочных коэффициентов
Свойства расчетной толщи грунта
Средневзвешенная сейсмическая жесткость расчетной толщи, состоящей из слоев тугопластичного суглинка и пылеватого песка
Приращение сейсмичности за счет местных инженерно-геологических условий
Ф.3 Приращение сейсмичности в микрозоне N 3
Расчетная толща микрозоны N 3 состоит из трех слоев. Верхний слой тугопластичного суглинка толщиной

залегает в среднем на глубине
h1 = 9,67 м от дна моря. Промежуточный слой пылеватого песка толщиной

расположен в среднем на глубине
h2 = 13,45 м. Нижний слой полутвердого суглинка толщиной

погружен на глубину
h3 = 15,52 м.
Свойства верхнего слоя (первого слоя РТ)
Скорость поперечных сейсмических волн в слое тугопластичного суглинка на глубине 10 м ниже поверхности морского дна
Vs1 = 454lgR0 - 316 = 454lg20 - 316 = 275 м/с.
Поправочный коэффициент на среднюю глубину залегания h1
Kh1 = 0,70 + 0,03h1 = 0,70 + 0,03·9,67 = 0,99.
Сейсмическая жесткость слоя тугопластичного суглинка
Поправочный коэффициент на нелинейные деформации грунта при исходной сейсмичности 7 баллов равен 0,9.
Расчетная скорость S-волн в слое тугопластичного суглинка с учетом поправок на глубину залегания слоя и нелинейные деформации грунта
Vs1р = 0,99·0,9·275 = 245 м/с.
Сейсмическая жесткость грунта верхнего слоя с учетом поправочных коэффициентов
Свойства промежуточного слоя (второго слоя РТ)
Скорость S-волн в слое пылеватого песка на глубине 10 м от поверхности морского дна
Vs2 = 454lgR0 - 316 = 454lg10 - 316 = 138 м/с.
Поправочный коэффициент на среднюю глубину залегания слоя
Kh2 = 0,70 + 0,03h2 = 0,70 + 0,03·13,45 = 1,10.
Сейсмическая жесткость слоя песка
Для учета нелинейных деформаций грунта и воды в порах песка вводятся поправочные коэффициенты 0,9 и 0,8. С учетом всех поправочных коэффициентов
Vs2р = 1,1·0,9·0,8·138 = 109 м/с.
Сейсмическая жесткость слоя песка
Свойства нижнего слоя (третьего слоя РТ)
Скорость S-волн в слое полутвердого суглинка на глубине 10 м от поверхности дна
Vs3 = 454lgR0 - 316 = 454lg35 - 316 = 385 м/с.
Поправочный коэффициент на среднюю глубину h3 залегания слоя, считая от дна моря
Kh3 = 0,70 + 0,03h3 = 0,70 + 0,03·15,52 = 1,17.
Сейсмическая жесткость слоя
Грунт слоя относится к категории II по сейсмическим свойствам. Поправочные коэффициенты на нелинейность деформаций и на воду в порах к глинистым грунтам категории II по сейсмическим свойствам не вводятся. Расчетная сейсмическая жесткость слоя
Свойства расчетной толщи грунта
Средневзвешенная сейсмическая жесткость расчетной толщи грунта в микрозоне N 3
Приращение сейсмичности за счет местных инженерно-геологических условий
(справочное)
СЕЙСМИЧЕСКОЕ МИКРОРАЙОНИРОВАНИЕ УЧАСТКА
ГРУЗОВОГО ПРИЧАЛА В ПОРТУ ТЕМРЮК
Ц.1 Введение
Порт Темрюк на побережье Азовского моря расположен в районе сейсмичностью 8 баллов (
карты ОСР-2015-A,
B). Причальное сооружение длиной 168 м может принимать суда грузоподъемностью до 5000 т. Причальная стенка возведена из трубчатого шпунта.
Рельеф местности в месте строительства грузового причала ровный. По данным инженерно-геологических исследований в коренных породах вблизи причала имеются разрывные тектонические нарушения. Грунты строительной площадки представлены насыпными суглинками (супесями), текучим илом, а также песками мелкими и пылеватыми. Слабые грунты верхнего горизонта подстилаются туго- и мягкопластичными суглинками, ниже которых залегают твердые и полутвердые глины
(рисунок Ц.1).
Рисунок Ц.1 - Инженерно-геологический разрез площадки
грузового причала в порту Темрюк
В границах территории грузового причала общая мощность слабых грунтов составляет 15 - 16 м. В нижнем горизонте толщина слоя туго- и мягкопластичных суглинков, залегающих в форме линзы, изменяется от 1 - 2 м по краям до 4 м в средней части инженерно-геологического разреза. Колебания отметок кровли глины по длине разреза незначительны. В среднем поверхность слоя глины располагается на глубине 18,5 м, считая от поверхности насыпного грунта.
Условия строительства грузового причала относятся к неблагоприятным из-за близости тектонических нарушений в коренной породе и недостаточной прочности (устойчивости) грунта в пределах верхнего горизонта литологического разреза. При строительстве на таких площадках необходимо принимать специальные меры по укреплению оснований и усилению несущих конструкций. Эти меры разрабатываются на основании инженерно-сейсмологических исследований и инженерного анализа последствий землетрясений.
Ц.2 Оценка возможности потери устойчивости грунта строительной площадки по данным инженерного анализа последствий землетрясений
Анализ повреждений и разрушений портовых сооружений свайного и гравитационного типов содержится в опубликованных материалах обследований транспортной инфраструктуры после разрушительных землетрясений в России (на Камчатке, 1959 г.), Чили (1960 г.), США (1964 г.), Японии (1964 г., 1995 г.) и в других странах.
На основании этих данных можно заключить, что основной причиной повреждений (разрушений) причалов в виде заанкеренных стенок из металлического (железобетонного) шпунта является слабость анкерных тяг и анкерных опор.
К недостаткам конструкций анкерных опор в виде плит относится их заглубление в слабые грунты засыпки. Пониженную сейсмостойкость имеют также анкерные опоры в виде свайных ростверков с вертикальными висячими сваями малой изгибной жесткости, сооружаемые в слабых покровных отложениях.
При возведении причалов из гравитационных подпорных стен на слабых основаниях наблюдаются значительные деформации стен при землетрясениях из-за увеличения давления грунта на их тыльные поверхности и воздействия сил инерции от массы причала.
Приведем несколько примеров повреждений транспортных объектов, возведенных на участках с неблагоприятными инженерно-геологическими условиями.
Пример Ц.1. Землетрясение с эпицентром вблизи японского города Ниигата произошло в 1964 г. В особенности сильно от сейсмического воздействия пострадал район, расположенный в низовьях рек Синано и Агано. Приморская равнина в этом месте сложена глинами, илами и песком. Общая толща покровных отложений составляет от 80 до 160 м. В верхней части толщи пески находятся в рыхлом состоянии, причем в пониженных местах грунтовые воды залегают на глубине до 1 м от поверхности.
Сейсмические колебания интенсивностью 8 баллов (по инструментальным данным ускорение колебаний грунта составляло 0,19g) вызвали разжижение верхнего слоя водонасыщенных песков, повлекшее за собой повреждения многих сооружений. В частности, тяжелые повреждения получили один железнодорожный и 15 автодорожных мостов.
Один из автодорожных мостов был расположен в центральной части г. Ниигата. Мост имеет шесть речных пролетов длиной по 40 м, перекрытых железобетонными бесшарнирными арками. Над набережными устроены двухшарнирные арки. Речные отложения в верхней части геологического разреза представлены рыхлыми и средней плотности песками различной крупности, залегающими на глубине до 10 - 19 м от дна реки. Ниже этого слоя залегают плотные мелкие пески морского происхождения.
Наиболее тяжелые повреждения относятся к левобережной части моста (здесь слой рыхлого песка имеет наибольшую мощность). Устой моста с фундаментом из деревянных свай, забитых в рыхлый песок, осел на 1,2 м и отклонился назад. На правом берегу устой, сваи которого опирались на песок средней плотности, дал осадку на 40 см. Промежуточные опоры с кесонными фундаментами, доведенными до плотного песка, не получили заметных остаточных деформаций.
Пример Ц.2. Особенно тяжелые повреждения гидротехнических и транспортных сооружений, расположенных в поймах рек и по берегам водохранилищ (морей), наблюдаются, когда основания состоят из мелких и пылеватых водонасыщенных песков низкой плотности. Разжижения таких грунтов происходят при сейсмических воздействиях силой 7 - 8 баллов и сопровождаются крупными подвижками грунтовых масс.
Кайраккумское землетрясение в Таджикистане (1985 г.) произошло в западной части Ферганской долины в районе Кайраккумского водохранилища. Основной толчок имел магнитуду 6,1, глубину очага 10 - 15 км, силу в эпицентре 8 баллов. Подземные толчки вызвали разрушение многих жилых и промышленных зданий.
Твердое покрытие автомобильных дорог и городских улиц в г. Кайраккуме было повреждено на нескольких участках с неблагоприятными грунтовыми условиями. Общая длина участков с полным разрушением твердого покрытия составила примерно 600 м. Разрушение было вызвано потерей устойчивости грунта в основании дорожной одежды. Дробление массы грунта на отдельные блоки со смещением по вертикали на 1 - 1,5 м наблюдалось на набережной г. Кайраккума
(рисунок Ц.2).
Рисунок Ц.2 - Разрушение набережной в г. Кайраккум
при землетрясении (1985 г.)
Пример Ц.3. Одно из самых разрушительных землетрясений в мире произошло 17 января 1995 г. Эпицентр землетрясения располагался у побережья Японии, в непосредственной близости от города Кобе. В этом городе и его окрестностях с населением примерно 4 млн чел. погибли около 5000 чел. и были ранены более 25000 чел. По тяжести социальных последствий подземные толчки 17 января 1995 г. занимают второе место в статистике японских землетрясений после известной катастрофы в районе Токио - Иокагамы, когда число погибших составило 142807 человек.
Материальный ущерб от землетрясения Кобе оценивается суммой 200 млрд долл. Сюда включаются потери от полного или частичного разрушения 55 тыс. зданий, большого числа сооружений на железных и городских дорогах, воздушных линий электроснабжения, водо- и газопроводов. Крупные ремонтные работы потребовались для восстановления одного из самых крупных в мире контейнерных портов Кобе, все причалы которого общей длиной 9000 м были повреждены землетрясением.
Причалы порта возведены в акватории залива Осака. По периметру причалы окружены подпорными стенами с заполнением пространства внутри периметра грунтом, уложенным гидронамывом. Стены состоят из полых бетонных кессонов шириной 10 м и высотой 13 м, заполненных песчаным грунтом. В основании стен залегают глины. Кессоны запроектированы на сейсмическое воздействие с ускорением 0,1g, а портальные краны на вдвое большее ускорение.
Землетрясение в Кобе длилось 20 секунд. Наибольшее ускорение колебаний грунта вблизи порта составило 0,8g в горизонтальном и 0,3g в вертикальном направлениях.
В результате сейсмического воздействия подпорные стены и намывные грунты получили значительные перемещения. На отдельных участках кессоны осели на 0,7 и более метра и наклонились, а грунт набережных просел на большей части территории примерно на 1 м. Портальные краны получили значительные повреждения или полностью разрушились.
Основная причина повреждений набережных - разжижение грунта и резкое увеличение бокового давления на подпорные стены засыпки. Отсюда можно сделать вывод, что принятая в расчете стен величина ускорения колебаний грунта 0,1g не обеспечивает их устойчивости при землетрясениях силой более 9 баллов, даже в тех случаях, когда в основании стен и в качестве обратной засыпки используются плотные грунты.
Приведенные примеры показывают, что в сейсмических районах пески средней плотности, тем более рыхлые, не могут служить надежным основанием для транспортных гидротехнических сооружений. В то же время опирание фундаментов на плотные пески избавляет от появления существенных деформаций опор и подпорных стен, по крайней мере при землетрясениях силой 7 - 8 баллов.
С учетом опыта эксплуатации транспортных сооружений в сейсмических районах первоначальный проект грузового причала в порту Темрюк был изменен. Причал перемещен в плане и вынесен за пределы выявленных сейсмотектонических дислокаций. Новая строительная площадка укреплена грунтоцементными композициями (сваями) диаметром 0,5 м. Композиции создавались нагнетанием на всю толщину слабых грунтов под давлением до 6 атм. сульфатостойкого цемента марки 500.
Для уточнения расстояния между грунтоцементными сваями производились штамповые испытания закрепленного основания, исходя из погонной нагрузки от железнодорожного подвижного состава 15 тс/п.м.
Ц.3 Оценка влияния грунтов на сейсмичность площадки причала
При оценке параметров колебаний основания причала рассматривается расчетная толща покровных отложений в акватории. С учетом возможного разжижения ила, а также мелкого и пылеватого песка при 8-балльном землетрясении верхняя граница расчетной толщи (ВГРТ) принимается на отметке примерно на 6 м ниже проектной отметки дна акватории у причальной стенки
(рисунок Ц.1).
Расчетная толща состоит из трех слоев. Верхний слой включает пески от мелких до пылеватых, промежуточный слой состоит из туго- и мягкопластичных суглинков. Нижний слой сложен полутвердой глиной. Характеристики слоев показаны в
таблице Ц.1.
Таблица Ц.1
Характеристики слоев расчетной толщи
Состав расчетной толщи | Толщина слоя  , м | Плотность грунта  , т/м 3 | Условное сопротивление грунта сжатию R0, тс/м2 | Скорость S-волн Vsi, м/с |
Песок от мелкого до пылеватого | 4,00 | 1,70 | 10 | 82 |
Суглинки туго- и мягкопластичные | 3,28 | 1,98 | 15 | 182 |
Глина полутвердая | 2,72 | 2,0 | 35 | 435 |
Примечание - Скорости
S-волн в слоях найдены согласно
пп. 6.41 и
6.42 с учетом поправок на нелинейность деформаций грунта при землетрясениях силой 8 баллов и влияния воды в порах песка.
Средневзвешенная сейсмическая жесткость пачки слоев
Приращение сейсмичности за счет местных инженерно-геологических условий
Ц.4 Сейсмические свойства закрепленного грунта
Для обеспечения устойчивости грунта на территории причала выполнено закрепление грунта на глубину до 15 м от естественной поверхности. Длина площадки закрепленных цементацией грунтов 207 м, ширина 8 м.
Сейсмические свойства закрепленных грунтов устанавливались с помощью сейсморазведки, выполненной сотрудниками кафедры сейсмометрии и геоакустики геологического факультета МГУ им. М.В. Ломоносова. Скорости продольных и поперечных волн определялись на глубину до 16 - 17 м с шагом по глубине 1 м.
Для нахождения давления закрепленного грунта на причальную стенку при землетрясении необходимо выявить характеристики слоев однородного грунта с сейсмическими свойствами, близкими к установленным свойствам закрепленного массива.
С этой целью выполнен расчет скоростей S-волн применительно к четырем разновидностям несвязных грунтов, а именно для мелкого песка средней плотности, песка гравелистого плотного, галечника из обломков осадочных пород и галечника из обломков кристаллических пород.
Во всех случаях рассматривались грунты водонасыщенные.
Принятые для расчета основные физико-механические характеристики грунтов-аналогов показаны в
таблице Ц.2.
Таблица Ц.2
Характеристики грунтов-аналогов
Наименование грунта | Плотность грунта  , т/м 3 | Условное сопротивление сжатию R0, тс/м2 | Угол внутреннего трения  , град |
Песок мелкий средней плотности | 1,95 | 15 | 36 |
Песок гравелистый плотный | 2,05 | 45 | 42 |
Галечник из обломков осадочных пород | 2,15 | 100 | 43 |
Галечник из обломков кристаллических пород | 2,20 | 150 | 43 |
Скорости
S-волн для грунтов-аналогов и закрепленного грунта на глубинах 1,0 м, 5,0 м, 10,0 м и 15,0 м приведены в
таблице Ц.3. Табличные значения скоростей для грунтов-аналогов найдены согласно
пп. 6.41 и
6.42. Скорости
S-волн на глубине 1,0 м по данным сейсморазведки определены с учетом поправки на нелинейность деформаций грунта
(п. 6.40). Графики скоростей показаны на
рисунке Ц.3.
Таблица Ц.3
Скорости
S-волн в грунтах-аналогах и в закрепленном массиве
Наименование грунта | Глубина залегания слоя, м |
1,0 | 5,0 | 10,0 | 15,0 |
Песок мелкий средней плотности | 102 | 118 | 139 | 161 |
Песок гравелистый плотный | 203 | 296 | 348 | 400 |
Галечник из обломков осадочных пород | 389 | 453 | 533 | 613 |
Галечник из обломков кристаллических пород | 442 | 514 | 605 | 696 |
Закрепленный грунт площадки причала | 134 | 443 | 730 | 1123 |
Обозначения грунтов: песок мелкий, средней плотности 1-1;
песок гравелистый, плотный 2-2; галечник из обломков
осадочных пород 3-3; галечник из обломков кристаллических
пород 4-4; закрепленный цементацией грунт строительной
площадки причала 5-5
Рисунок Ц.3 - Графики скоростей
S-волн
в песчаных и галечниковых грунтах естественного сложения
и в закрепленном цементацией массиве
Представленные на
рисунке Ц.3 графики показывают, что закрепленный массив можно рассматривать состоящим из трех слоев мощностью 5 м каждый. Скорость
S-волн в закрепленном массиве на глубине 3 м близка к скоростям волн в плотном гравелистом песке, на глубине 7 м - к скорости волн в галечнике из обломков кристаллических пород. На глубине 10 - 15 м скорость
S-волн соответствует выветрелым скальным грунтам.
При землетрясении силой 8 - 9 баллов верхний слой закрепленного массива на глубину до 2 м, близкий по свойствам к водонасыщенным пескам средней плотности, может получить значительные деформации. Для надежной анкеровки причальной стенки в ее тылу целесообразно устройство козловых свайных ростверков с погружением свай на глубину не менее 10 м от поверхности строительной площадки причала.
Проведенными натурными обследованиями причала после 20 лет эксплуатации зафиксированы некоторые деформации конструкций в результате превышения проектной нагрузки. Тем не менее, состояние железнодорожных и причальных сооружений не потребовало выполнения капитальных ремонтных работ.
1. Баркан Д.Д. и др. Влияние свойств грунта оснований при расчете сооружений на сейсмическое воздействие // Свойства грунтов при вибрациях. - Ташкент; ФаН, 1975. - С. 55 - 69
2. Ботвинкин Н.Н. Руководство по сейсмостойкости сооружений. - Москва - Ташкент: САОГИЗ, 1933
3. Бугаев Е.Г. Приближенная оценка влияния рельефа местности на амплитуду сейсмических волн // Сейсмостойкое строительство. - М.: Стройиздат, 1976, вып. 2. - С. 25 - 30
4. Бугаев Е.Г., Харлов Э.М. Особенности колебаний бортов каньонов // Сейсмическое микрорайонирование. - М.: Наука, 1977. - С. 91 - 98
5. Геологические стихии / Б.А. Болт, У.Л. Хорн, Г.А. Макдональд, Р.Ф. Скотт. - М.: Мир, 1978
6. Геология и сейсмичность зоны БАМ. Инженерная геология и инженерная сейсмология / Павлов О.В., Джурик В.И., Дреннов А.Ф. и др. - Новосибирск: Наука, 1985
7. Геология и сейсмичность зоны БАМ. Сейсмичность / Голенецкий О.И., Кочетков В.М., Солоненко А.В. и др. - Новосибирск: Наука, 1985
8. Геология и сейсмичность зоны БАМ. Сейсмогеология и сейсмическое районирование / Солоненко В.П., Николаев В.В., Семенов Р.М. и др. - Новосибирск: Наука, 1985
9. Горшков Г.П. Землетрясения Туркмении // Тр. сейсмол. ин-та АН СССР. - N 122, 1947
10. Горшков Г.П. Региональная сейсмотектоника территории юга СССР. - М.: Наука, 1984
11. Джурик В.И. и др. Сейсмические свойства скальных грунтов. - Новосибирск: Наука, 1986
| | ИС МЕГАНОРМ: примечание. Текст дан в соответствии с официальным текстом документа. | |
12. Ивановский И.К. О землетрясении и песчаных заносах на Закаспийской железной дороге // Железнодорожное дело. - 1896. N 40. - С. 327 - 334
13. Ильясов Б.И., Саидова Ш.Ш. Исследование влияния рельефа местности на колебания грунтов при землетрясениях // Совершенствование методов расчета и проектирования гидротехнических сооружений, возводимых в сейсмических районах. - Л.: Энергия, 1976. - С. 227 - 228
14. Ицков И.Е. Инструментальные данные о параметрах движения земной поверхности в зонах очагов сильных землетрясений // Сейсмостойкое строительство. Безопасность сооружений. - 2004. - N 3. - С. 49 - 55.
| | ИС МЕГАНОРМ: примечание. Текст дан в соответствии с официальным текстом документа. | |
Красников Н.Д. Об использовании значений скоростей поперечных волн для сейсмического микрорайонирования // Труды Института физики Земли. - М.: ИФЗ. - N 36 (203). - С. 99 - 104
15. Медведев С.В. Определение интенсивности землетрясений // Эпицентральная зона землетрясений. - М.: Наука, 1978
16. Медведев С.В., Шебалин Н.В. С землетрясением можно спорить / М.: Наука, 1967
17. Медведев С.В. Сейсмическое районирование территории СССР // Сейсмическое районирование СССР. - М.: Наука, 1968. - С. 8 - 24
18. Назаров А.Г., Дарбинян С.С. Шкала для определения сильных землетрясений на количественной основе // Сейсмическая шкала и методы измерения сейсмической интенсивности. - М.: Наука, 1975. - С. 40 - 79
19. Назаров Г.Н., Шемшурин В.А. Использование инженерно-геологических характеристик при сейсмическом микрорайонировании // Сейсмическое микрорайонирование - М.: Наука, 1977. - С. 137 - 143
20. Назаров Г.Н. Скорости распространения продольных и поперечных волн в грунтовых массивах и основные инженерно-геологические характеристики грунтов // Сейсмическое микрорайонирование. - М.: Наука, 1977. - С. 129 - 136
21. Напетваридзе Ш.Г. Некоторые задачи инженерной сейсмологии. - Тбилиси: Мецниереба, 1973
22. Напетваридзе Ш.Г. Шкала и система измерения сейсмической балльности // Сейсмическая шкала и методы измерения сейсмической интенсивности. - М.: Наука, 1975. - С. 80 - 86
23. Нерсесов И.Л. и др. Динамические характеристики колебаний склонов каньонов при землетрясениях // Сейсмостойкость гидротехнических сооружений. - Л.: Энергия, 1969. - С. 63 - 77
24. Нефтегорское землетрясение 27(28).05.1995 г. // Федеральная система сейсмологических наблюдений и прогноза землетрясений. М.: 1995
25. Никонов А.А. Голоценовые и современные движения земной коры. - М.: Наука, 1977
26. Новый каталог сильных землетрясений на территории СССР с древнейших времен до 1975 года. - М.: Наука, 1977
27. Олейников А.В., Олейников Н.А. Геологические признаки сейсмичности и палеосейсмология Южного Приморья. - Владивосток: Дальнаука, 2001
28. Рогожин Е.А. Очерки региональной сейсмотектоники. - М.: ИФЗ РАН, 2012
29. Сейсмическая сотрясаемость территории СССР. - М.: Наука, 1979
30. Сейсмическое районирование территории СССР. - М.: Наука, 1968
31. Сейсмическое районирование территории СССР. Методические основы и региональное описание карты 1978 года. - М.: Наука, 1980
32. Солоненко В.П. Палеосейсмогеологический метод и инженерная сейсмогеология // Современные сейсмодислокации и их значение для сейсмического микрорайонирования. - М.: 1977. - С. 113 - 118
33. Солоненко В.П. Сейсмогенные деформации и палеосейсмогеологический метод // Сейсмическое районирование Восточной Сибири и его геолого-геофизические основы. Новосибирск: Наука, 1977
34. Солоненко В.П. и др. Сильные землетрясения // Сейсмическое районирование Восточной Сибири и его геолого-геофизические основы. - Новосибирск: Наука, 1977
35. Солоненко В.П. Сейсмологические условия зоны строительства БАМ. - Иркутск: СО АН СССР, 1981
36. Солоненко В.П. Сейсмогеология и сейсмическое районирование трассы БАМ и зоны ее экономического влияния. - Новосибирск: Наука, 1979
37. Уеда С. Новый взгляд на Землю. - М.: Мир, 1980
38. Уломов В.И., Шумилина Л.С. Комплект карт общего сейсмического районирования территории Российской Федерации - ОСР-97. - М.: ОИФЗ, 1999
39. Химмельблау Д. Анализ процессов статистическими методами. - М.: Мир, 1973
40. Шебалин Н.В. Очаги сильных землетрясений на территории СССР. - М.: Наука, 1974
41. Шебалин Н.В. Методы использования инженерно-сейсмологических данных при сейсмическом районировании // Сейсмическое районирование СССР. - М.: Наука, 1968. - С. 95 - 111
42. Шестоперов Г.С., Васильев А.И. Распределение вероятностей сейсмических сотрясений на участке БАМ, расположенном между Нижнеангарском и Усть-Нюкжей // Сейсмостойкость транспортных сооружений. - М.: ЦНИИС, 1979. - С. 4 - 14
43. Шестоперов Г.С. Корректировка параметров колебаний грунта стройплощадки по данным расчета сейсмического режима в пункте строительства // Сейсмостойкое строительство. Безопасность сооружений. - М.: 2002. - N 3. - С. 5 - 6
44. Шестоперов Г.С., Шестоперов В.Г. Выбор уровня расчетного сейсмического воздействия при проектировании транспортных сооружений особой ответственности // Дорожная Держава. - 2007. - N 3. - С. 44 - 46
45. Шестоперов Г.С., Шестоперов С.Г. Уточнение исходной сейсмичности участка мостового перехода через пролив Босфор Восточный // Дорожная Держава. - 2009. - N 20. - С. 20 - 22
46. Шестоперов Г.С., Балахонов А.В., Шестоперов С.Г. К вопросу управления сейсмическим риском // Дорожная Держава. - 2011. - N 31. - С. 2 - 5
47. Шестоперов Г.С. Сейсмическое микрорайонирование по данным общих инженерно-геологических изысканий // Дорожная Держава. - 2016. - N 71. - С. 56 - 57
48. Шестоперов Г.С. Параметры колебаний грунта при сильных землетрясениях // Дороги. Инновации в строительстве. - 2017. - N 66. - С. 52 - 58
49. Шойгу С.К., Воробьев Ю.Л. Ликвидация катастрофических последствий землетрясения в Нефтегорске // Федеральная система сейсмологических наблюдений и прогноза землетрясений. - М.: 1995, специальный выпуск
50. ОАО "Приморгеология". Отчет "Сейсмотектонические и сейсмологические работы в районе строительства моста через пролив Босфор Восточный, включая исследование сейсмодислокаций на о. Русский с выявлением их характеристик". - Владивосток: 2008
51. ИФЗ РАН. Отчет о выполнении работ по теме: "Исследование сейсмотектонической активности разломов на берегах пролива Босфор Восточный (г. Владивосток) в створе проектируемого моста между материком и о. Русский". - М.: 2008
52. ЗАО "ПриморТИСИЗ". Отчет по результатам инженерных изысканий по объекту: "Строительство мостового перехода на о. Русский через пролив Босфор Восточный в г. Владивостоке". - Владивосток: 2007
53. ООО "ИЦ "ПОИСК". Отчет "Разработка программы работ по выявлению и уточнению эндогенных воздействий, требований по учету сейсмического воздействия для СТУ на проектирование вантового моста в составе мостового перехода на о. Русский через пролив Босфор Восточный в г. Владивостоке". - М.: 2008
54. ООО "ИЦ "ПОИСК". Отчет "Сейсмотектонические и сейсмологические исследования, включая тестирование обнаруженных на о. Русский дислокаций, с уточнением исходной сейсмичности в створе мостового перехода". - М.: 2008
55. ООО "ИЦ "ПОИСК". Отчет "Сейсмическое микрорайонирование участка строительства моста через пролив Босфор Восточный по данным общих инженерно-геологических изысканий и по результатам геофизических работ в створе моста". - М. 2008
56. ОАО "Фундаментпроект". Отчет "Исследование скоростных характеристик толщи горных пород до глубины 75 м на объекте: "Строительство транспортного перехода через Керченский пролив". - М.: 2014
57. ИФЗ РАН. Отчет по первому этапу выполнения хоздоговорных работ по сейсмотектоническим и сейсмологическим изысканиям по объекту: "Строительство транспортного перехода через Керченский пролив". - М.: 2014
58. ООО "ПОИСК". Отчет по работе "Обобщение исследований опасности землетрясений в районе Керченского пролива с разработкой специальных технических условий для обеспечения сейсмостойкости транспортного перехода через Керченский пролив". - М.: 2014
59. ГК "Автодор". Предварительный отчет о ходе реализации проекта по объекту "Строительство транспортного перехода через Керченский пролив". Приложения. - М.: 2014
60. ООО "ПОИСК". Отчет по работе "Проведение комплексных исследований для уточнения сейсмических условий строительства искусственных сооружений объекта "Железнодорожная линия Хани (Икабъекан) - Тарыннахский ГОК". - М.: 2012
61. ООО "ИЦ "ПОИСК". Технический отчет по теме: "Сейсмическое микрорайонирование участков строительства сооружений на объекте "Строительство федеральной автодороги М-27 Джубга - Сочи до границы с Грузией на участке Адлер - Веселое (включая проектно-изыскательские работы)". - М.: 2009
62. Designers Guide to Eurocode 8: Design of Bridges for Earthquake Resistance. EU 1998-2. Published 2012
63. Earthquake-Resistant Design Standard for Railway Structures. JNR. 1979
64. Elliott A.E., Nagai J. Earthquake damage of freeway bridges // San Fernando, California, Earthquake of February 9.1971. - Washington, 1973, v. 2, p. 201 - 233
65. Gates J.H. California's seismic design criteria for bridges. G. Struct. Div. Proc. Amer. Soc. Civ. Eng., 1976, vol. 102, ST12, p. 2301 - 2312
66. Housner G.W. Strong ground Motion // Earthquake Engineering. - London: 1970. P. 75 - 91
67. Imbsen R.A. Recommended LRFD Guidelines for the Seismic Design of Highway Bridges. - Sacramento: TRC/Imbsen and Associates, 2006
68. Maley R.P., Cloud W.K. Strong-motion accelerograph records // San Fernando, California, Earthquake of February 9.1971. - Washington, 1973, v. 3, p. 325 - 348
69. Naeim F., Anderson J.C. Classifications and evaluation of earthquake records for design. - EERJ, 1993
70. Nason R. Increased seismic shaking above a thrust fault // San Fernando, California, Earthquake of February 9.1971. - Washington, 1973, v. 3, p. 123 - 126
71. M. Niazi, J. Bozognia. Comparison of the ground motion attenuation during the 1990 Manjil, Iran and the 1989 Loma Prieta, USA earthquakes // Proceedings of the first international conference on seismology and earthquake engineering. 1991. - p. 289 - 298
72. Northridge Earthquake January 17, 1994. Preliminary Reconnaissance Report EERJ. - Oakland, California: EERI, 1994
73. Okamoto S. Introduction to Earthquake Engineering. - Tokyo: University of Tokyo Press, 1973
74. Practical Lessons from the Loma Prieta Earthquake. Report from a Symposium of the National Research Council. - Washington: National Academy Press, 1994
75. Priestley M.J.N., Seible F., Calvi G.M. Seismic Design and Retrofit of Bridges. - New York: John Wiley and Sons, Inc, 1996
76. Sanchez-Sesmo F.G., Rosenblueth E. Ground motion at canyons of arbitrary shape under incident SH waves // Earthquake Eng. and Struct. Dyn. - 1979. - vol. 7. - p. 441 - 450
77. Scott N. Feet area and intensity of San Fernando earthquake // San Fernando, California, Earthquake of February 9.1971. - Washington, 1973, v. 3, p. 23 - 48
78. Seim C. Architectural Heritage and Seismic Retrofit of the Golden Gate Bridge. IABSE Symposium San Francisco 1995, IABSE Reports, v. 73/1, p. 299 - 304
79. Seismic Retrofitting Manual for Highway Bridges. - Buffalo: National Center for Earthquake Engineering Research, 1995
80. Specifications for Highway Bridges. Part V: Seismic Design. - Tokyo: Japan Road Association, 1990
81. The Hyogo-Ken Nanbu earthquake January 17, 1995. - EERJ, 1995
82. Trifunac M.D. Seattering of plane SH waves by a semicylindrical canyon // Earthquake Eng. and Struct. Dyn. - 1973, vol. 1, p. 267 - 281
83. Yerkes R.F. Effects of San Fernando earthquake as related to geology // San Fernando, California, Earthquake of February 9.1971. - Washington, 1973, v. 3, p. 137 - 153
84. Zelenovic V., Paskalov T. Jugoslav Code for Aseismic Design and Analysis of Engineering Structures in Seismic Regions // International Symposium on Earthquake Engineering Proceedings. - Montenegro: University of Montenegro, 2000
УДК [69+699.841] | |
Ключевые слова: транспортные сооружения, сейсмические районы, правила, расчеты, конструирование |