Главная // Актуальные документы // Методическое пособиеСПРАВКА
Источник публикации
М., 2018
Примечание к документу
Название документа
"Методическое пособие. Проектирование зданий и сооружений в цунамиопасных районах"
"Методическое пособие. Проектирование зданий и сооружений в цунамиопасных районах"
ПРОЕКТИРОВАНИЕ ЗДАНИЙ И СООРУЖЕНИЙ
В ЦУНАМИОПАСНЫХ РАЙОНАХ
В Пособии рассматриваются объекты риска, находящиеся под угрозой цунами - урбанизированная территория в целом, морские порты, объекты жизнеобеспечения населения и объекты управления ЧС, потенциально опасные и технически сложные объекты и другие объекты категории КС-3 по
ГОСТ 27751.
Целью Пособия является разъяснение и уточнение правил и требований
СП 292.1325800.2017 "Здания и сооружения в цунамиопасных районах. Правила проектирования", выполнение которых обеспечивает безопасность урбанизированных территорий и других объектов риска, расположенных в цунамиопасных районах.
Методическое пособие следует применять для поддержки и детализации положений
СП 292.1325800.2017 "Здания и сооружения в цунамиопасных районах. Правила проектирования" (далее - СП) при проектировании новых и реконструкции эксплуатируемых прибрежных и береговых зданий и сооружений (далее - сооружения), расположенных в цунамиопасных районах (ЦОР) Российской Федерации, в целях обеспечения нормируемой надежности и безопасности этих сооружений при воздействии цунами.
Методическое пособие следует использовать при разработке проектов территориального планирования по
СП 42.13330, оценке последствий вероятных цунами и анализе цунами-риска, при проектировании морских портов, инженерной защиты ЦОР, отдельных цунамистойких прибрежных и береговых сооружений, в том числе специальных сооружений для вертикальной эвакуации населения.
В настоящем Методическом пособии использованы нормативные документы:
ГОСТ 27751-2014 "Надежность строительных конструкций и оснований. Основные положения";
ГОСТ Р 54523-2011 "Портовые гидротехнические сооружения. Правила обследования и мониторинга технического состояния";
СП 38.13330.2012 "СНиП 2.06.04-82* "Нагрузки и воздействия на гидротехнические сооружения (волновые, ледовые и от судов)";
СП 41.13330.2012 "СНиП 2.06.08-87 Бетонные и железобетонные конструкции гидротехнических сооружений";
СП 42.13330.2016 "СНиП 2.07.01-89* Градостроительство. Планировка и застройка городских и сельских поселений";
СП 58.13330.2012 "СНиП 33-01-2003 Гидротехнические сооружения. Основные положения";
СП 358.1325800.2017 "Сооружения гидротехнические. Правила проектирования и строительства в сейсмических районах".
Примечание - При пользовании настоящим стандартом целесообразно проверить действие ссылочных стандартов в информационной системе общего пользования - на официальном сайте Федерального агентства по техническому регулированию и метрологии в сети Интернет или по ежегодному информационному указателю "Национальные стандарты", который опубликован по состоянию на 1 января текущего года, и по выпускам ежемесячного информационного указателя "Национальные стандарты" за текущий год. Если ссылочный стандарт заменен (изменен), то при пользовании настоящим стандартом следует руководствоваться заменяющим (измененным) стандартом. Если ссылочный стандарт отменен без замены, то положение, в котором дана ссылка на него, применяется в части, не затрагивающей эту ссылку.
В настоящем Пособии применены термины, значения которых определены в
разделе 3.1, а также сокращения, обозначенные в
разделе 3.2 СП 292.1325800. Методическое пособие увязано с
ГОСТ 8.417-2002 Государственная система обеспечения единства измерений (ГСИ). Единицы величин.
4.1 Классификация объектов риска под угрозой цунами
В настоящем Пособии рассматриваются следующие объекты риска, находящиеся под угрозой цунами (в ЦОР):
- урбанизированная территория в целом;
- морские порты;
- объекты жизнеобеспечения населения и объекты управления ЧС;
- потенциально опасные и технически сложные объекты и другие объекты, относящиеся к категории КС-3 по
ГОСТ 27751, кроме перечисленных выше;
- отдельные объекты, относящиеся к категории КС-2 по
ГОСТ 27751.
Здания и сооружения, неупомянутые выше, рассматриваются в качестве объектов цунами-риска только в случаях специального распоряжения собственника или по требованию страховой компании.
4.2 Защитный комплекс населения и территории от цунами
4.2.1 Целью настоящего Пособия является разъяснение и уточнение правил и требований
СП 292.1325800, выполнение которых обеспечивает безопасность урбанизированных территорий и других объектов риска (см.
пункт 4.1), расположенных в ЦОР. Комплексная схема защиты населения и территорий от воздействия цунами приведена на
рисунке 4.1.
Рисунок 4.1 - Комплексная схема защиты населения
и территорий от воздействия цунами
4.2.2 Исходная информация, входящая в блок
WADE находится в ответственности Росгидромет и МЧС, а за исходные данные, объединяемые в блок
HITs, отвечают специализированные институты РАН. К сфере деятельности и ответственности организаций строительного комплекса относятся блок
FLEET, предназначенный для определения нагрузок и воздействий на сооружения от цунами, блок анализа цунами-риска
TSAR и блок
URSA обеспечения безопасности всех объектов риска, перечисленных в
п. 4.1, что осуществляется путем разработки и внедрения планировочных и конструктивных мероприятий, с помощью мер инженерной защиты ЦОР и возведения при необходимости сооружений вертикальной эвакуации, что объединяет управляющий блок
MIT.
| | ИС МЕГАНОРМ: примечание. В официальном тексте документа, видимо, допущена опечатка: Предисловие отсутствует. Возможно, имеется в виду Введение. | |
4.3 Основные задачи разработки настоящего пособия указаны в
Предисловии. Кроме того, в Пособии описываются процедуры решения дополнительных частных задач, перечисленных ниже:
- процедура определения зоны затопления для каждого населенного пункта с последующим картированием;
- моделирование взаимодействия потока цунами с застройкой урбанизированной территории, включая морские ГТС и береговые строительные сооружения разной формы, обтекаемости и проницаемости;
- оценка эффективности защитных сооружений (преград, дамб, волнорезов) с помощью тестового математического моделирования наката волны цунами на защищаемое побережье;
- оценка влияния волн цунами на перемещение и формирование донных наносов в акватории морских портов.
4.4 Методическое пособие разработано для применения широким кругом специалистов, чья деятельность связана с проектированием прибрежных и береговых строительных сооружений, расположенных в ЦОР, в том числе специалистами:
- проектно-изыскательских организаций строительного профиля;
- органов экспертизы;
- надзорных служб в сфере безопасности зданий и сооружений, защиты населения и территорий, защиты прав потребителей и благополучия человека;
- органов лицензирования и сертификации.
4.5
К пункту 4.3 СП. Полная процедура последовательного решения задач изображена стрелками на
рисунке 4.1 в виде взаимодействия блоков
HITs ->
FLEET ->
MIT ->
URSA ->
TSAR, причем наиболее сложная и трудоемкая для проектировщиков проблема перехода от исходных значений нормативных характеристик цунами, задаваемых по
приложению А СП 292.1325800, к нагрузкам на сооружения, попадающих в ЦОР (
HITs ->
FLEET), максимально автоматизирована и подробно описана в
разделе 6 Пособия. Методические рекомендации по планировочным защитным мероприятиям, расчету строительных сооружений на воздействие цунами (блок
MIT), а также комментарии к анализу и контролю цунами-риска в ЦОР рассматриваются в
разделах 8 -
11. При этом взаимодействие блоков
URSA ->
TSAR ->
MIT ->
URSA может происходить неоднократно в процессе повышения устойчивой безопасности урбанизированной территории, находящейся в ЦОР.
4.6.1 При рассмотрении конкретного ЦОТ базовые договоренности, касающиеся надежности сработки СПЦ, возможности почти полной эвакуации населения (особенно МГН), вывода судов в открытое море, защищенности населения от вторичных поражающих факторов и т.п. следует подвергать сомнению и досконально изучать с помощью территориальных органов ГОЧС.
4.6.2
К пункту 4.1.4 СП. При задании (моделировании) вероятного воздействия цунами на первом этапе допускается упрощать расчетную модель, исключив содержание в волне мусора и обломков, что наиболее справедливо при моделировании наката первой волны цунами.
4.6.3
К пункту 4.5.2 СП. Если указанное в
приложении А СП значение вертикального заплеска цунами
h100 >= 2 м (
Its = III), а очертания побережья при этом не соответствуют стандартным, возведение, реконструкция и эксплуатация особо опасных объектов, повреждение и разрушение которых увеличивает риск, связанный с нанесением вреда жизни и здоровью людей, допускается по специальному обоснованию, причем только в тех случаях, когда иное их расположение технологически невозможно.
Пример: прибрежный рыбообрабатывающий завод, использующий химически опасные вещества (аммиак в холодильниках).
5 Исходные данные для проектирования, классификация побережий и сооружений
Настоящий раздел уточняет и разъясняет положения СП, относящиеся к блокам HITs и WADE.
5.1
К пункту 4.1.2 "б", 5.2 и 5.3 СП. Выбор и назначение исходных нормативных параметров опасности цунами и способа задания воздействия цунами на ЦОР зависят от рассматриваемого объекта цунами-риска следующим образом:
- для объектов обычной ответственности, относящихся к категории КС-2 по
ГОСТ 27751 нагрузки от цунами допускается назначать по
таблице А.1 Приложения А СП с нормативными значениями, соответствующими высоте волны повторяемостью раз в 100 лет (
h100);
- для морских портов, объектов жизнеобеспечения населения, объектов управления ЧС, потенциально опасных, технически сложных, уникальных и других объектов включенных в Градостроительный кодекс Российской Федерации,
статья 48.1, часть 1, пункт 7),
8), а также
часть 2, пункты 3),
4) нагрузки от цунами для предварительных расчетов назначаются по
таблице А.1 Приложения А СП с нормативными значениями, соответствующими высоте волны повторяемостью раз в 500 лет (
h50;0,1), а для принятия окончательных решений в обязательном порядке используются результаты ЦМР;
- для объектов низкой ответственности нагрузки от цунами назначаются по
таблице А.1 Приложения А СП с нормативными значениями, соответствующими высоте волны повторяемостью раз в 50 лет (
h50);
- расчетные заплески цунами для урбанизированных участков (селитебных территорий, коммунальных, коммерческих зон и др.) ЦОТ назначаются по результатам ЦМР на основании соответствующего картирования вероятной зоны затопления; при этом для целей эвакуации населения (блок WADE) следует использовать карту зоны затопления с вероятностью один раз в 500 лет (h50;0,1).
Примечания:
1 Уточненная таблица нормативных значений вертикальных заплесков цунами и периода волны на морских побережьях Российской Федерации приведена в "Базе данных".
2 Для объектов особо высокой ответственности в соответствии с заданием на проектирование могут устанавливаться более высокие нормативные значения заплеска волны цунами (с рекуррентным периодом до 5000 лет), что должно обосновываться специальными научными исследованиями.
5.2 Для принятия нерасчетных, конструктивных и планировочных решений следует использовать качественные характеристики (термин по силе, последствиям) или количественную характеристику интенсивности цунами в баллах от II до VI по
таблице В.1 СП.
Например, утверждения "к ЦОР относятся прибрежные территории, на которых с повторяемостью не реже 1 раза в 100 лет возможно возникновение слабого (интенсивность
Its >= II) цунами" идентично по смыслу определению по
пункту 3.1.59 СП, а требование "строительное освоение ЦОР, подверженных разрушительным цунами, запрещено" тождественны запрещению по
пункту 4.5.1 СП.
5.3 Требования к масштабу (точности) топографического плана ЦОР
К пункту 4.2.3 СП. При математическом моделировании наката цунами на ЦОР, выполняемого в соответствии с
разделом 6 настоящего Пособия, разрешение графического изображения ЦОР (топографической и батиметрической карты) не должно быть хуже, указанного в
пункте 6.3.3, что зависит от крутизны пляжа, длины волны и наличия застройки ЦОР. При наличии застройки ЦОР размер стороны квадратного пикселя (шаг съемки) следует выбирать в пределах 1 - 3 м.
5.4
К пунктам 4.4.3.3 и 4.7 СП. Цунамимикрорайонирование (ЦМР) выполняется в процессе моделирования. При компоновке и реализации математической модели наката волны цунами на ЦОР
приложения Г и
Д СП не должны использоваться по причине их недостаточной точности и достоверности.
5.5
К пункту 5.1.2 СП. Определение качественных и количественных параметров цунами, характеризующих морские побережья по силе ожидаемого цунами осуществляется на урезе воды стандартного побережья для волны цунами повторяемостью 1 раз в 100 лет.
5.6
К пункту 5.1.4 СП. Учет влияния периода волны цунами и частотно-избирательных свойств акваторий должен выполняться при математическом моделировании наката цунами
(раздел 6) и дополнительно при обоснованной необходимости, с помощью методов физического моделирования
(раздел 7).
5.7
К пункту 5.1.5 и 5.1.3 СП. Оценка категории эвакуируемости людей в разное время года и суток в той или иной конкретной ЦОР трудноопределима и неоднозначна. Являясь во многом ключевым показателем эффективности мероприятий, включенных в блок
WADE, именно эта оценка определяет содержание и объем необходимых превентивных планировочных и конструктивных мероприятий, реализуемых в защитном блоке
MIT (рисунок 4.1). Оценка категории эвакуируемости ЦОР назначается организацией, обеспечивающей научное сопровождение проектирования, при обязательном участии специалистов органов ГОЧС, причем для наихудшего сценария события с точки зрения сезона, времени дня и других неблагоприятных факторов ЦОР, в которых прогнозируются "близкие" цунами, следует во всех случаях относить к категории неэвакуируемых или, при соответствующем обосновании, к категории трудноэвакуируемых.
6 Процедура моделирования наката цунами на берег и определения нагрузок от цунами на прибрежные и береговые строительные сооружения
Настоящий раздел уточняет и разъясняет положения СП, относящиеся к блокам HITs, FLEET, MIT, TSAR и URSA.
Практическим современным инструментом представления наката-отката цунами на побережье, взаимодействия этих волн с застройкой ЦОТ, определения парциальных нагрузок от волн цунами на отдельные прибрежные и береговые сооружения, что необходимо затем для проектирования цунамистойких сооружений, прогноза конструктивного ущерба от воздействия цунами и разработки эффективных мер цунамизащиты, являются методы численного моделирования цунами [
1,
2,
3], получившие стремительное развитие за полтора года, прошедшие после разработки и утверждения СП.
Ввиду важности этого прикладного инструмента для оценки воздействия волн цунами на прибрежную урбанизированную цунамиопасную территорию нижеследующему разделу уделяется центральное место в настоящем методическом Пособии.
6.1 В настоящем разделе описываются процедуры, решающие следующие задачи:
- определение границ и построение карты зоны затопления;
- определение силовых характеристик цунами в зоне затопления при различном расположении и форме объектов риска;
- оценка эффективности защитных инженерных сооружений;
- оценка перемещения донных осадков акватории морских портов;
- разработка сценариев вероятных бедствий, вызываемых цунами.
6.2 Некоторые теоретические основы и упрощенные подходы в гидродинамике цунами
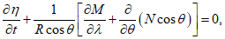
6.2.1 Характерный период волн цунами, имеющих преимущественно сейсмическое происхождение, во время бедственных событий превышает 10 мин, достигая иногда 1 ч. Использование линейного дисперсионного соотношения для волн на поверхности идеальной нестратифицированной тяжелой жидкости (6.1) показывает, что волны цунами являются длинными даже в глубоководных бассейнах

:

(6.1)
где

- частота волны;
- волновое число (пространственная частота) волны цунами;
h - глубина океана.
Поэтому исходные уравнения гидродинамики могут быть упрощены и сведены к уравнениям теории мелкой воды (или длинных волн) [
4,
5,
6].
6.2.2 В сложившейся практике математического моделирования цунами уравнения мелкой воды следует записывать на вращающейся сфере и с учетом донного трения

(6.2)

(6.3)

(6.4)
где
- смещение водной поверхности;
M и
N - компоненты расхода воды вдоль долготы

и широты

;
- полная глубина бассейна и
h(
x,
y)
- невозмущенная глубина воды;
f - параметр Кориолиса

,

- частота вращения Земли (период вращения 24 часа);
R - радиус Земли;
g - гравитационная постоянная.
Гиперболическая система
уравнений (6.2) -
(6.4) записана в полных потоках, обеспечивая выполнение законов сохранения, что наиболее удобно для учета эффектов обрушения волн большой амплитуды.
6.2.3 Необходимо учитывать диссипацию энергии в придонном турбулентном слое (трение о дно). При этом, поскольку волны цунами не являются стационарными гидравлическими потоками, но их период достаточно большой, можно использовать квазистатический подход простейшей моделью которого является параметризация донного трения квадратичной формулой с постоянным коэффициентом шероховатости дна - n, называемая формулой Маннинга, что хорошо апробировано в задачах речной гидравлики.
Для расчетов цунами на акватории при отсутствии данных о коэффициенте шероховатости дня следует использовать значение
n = 0,015 м
-1/3с, характерное для естественного дна (песок, мелкая галька). В задачах наката волн на берега с учетом реальной застройки необходимо применять фактические значения коэффициента шероховатости
[7] разных участков побережья, что позволяет проводить детальное зонирование заливания побережья волнами цунами. Другие модели описания диссипации волн в придонном слое ведут к трехмерности уравнений (так называемые модели с вертикальным разрешением, получаемые из уравнений Навье-Стокса, см., например,
[8]), что существенно увеличивает время расчетов. Такие модели, как и исходные трехмерные уравнения гидродинамики Эйлера или Навье-Стокса, пока еще редко применяются для расчетов характеристик волн цунами, особенно на практике.
6.3 Некоторые особенности моделирования водных бассейнов
Система уравнений мелкой воды должна быть дополнена граничными и начальными условиями.
6.3.1 На морских границах расчетных областей (например, в проливах) ставится условие свободного ухода, которое является точным в рамках линейной теории мелкой воды без учета вращения Земли и простейшей геометрии морской границы

(6.5)
где
- смещение водной поверхности;
g - гравитационная постоянная.
Производная от уровня вычисляется по нормали n к внешней границе расчетной области.
Это условие позволяет проводить расчеты в ограниченной области, однако, надо понимать, что в реальности любой водный бассейн является переменным по глубине, и волна, вышедшая из расчетной области, может вернуться в нее после отражения во "внешнем" бассейне. Это обстоятельство накладывает ограничения на время расчетов волн в бассейне, на что следует обращать должное внимание. Морские границы необходимо сдвигать по возможности дальше.
Береговая граница в общем случае является подвижной и движется вместе с волной, накатывающейся на берег. Эта точка является также сингулярной для уравнений мелкой воды (в ней нарушается гиперболичность уравнений волн на воде), к тому же коэффициент при диссипативном слагаемом обращается в бесконечность. Это приводит к определенным трудностям при численной реализации уравнений, которые преодолены в многих расчетных комплексах.
6.3.2 Если на берегу расположены скалы, практически вертикально уходящие в воду, то естественным граничным условием является условие полного отражения

(6.6)
которое можно переписать в виде
un = 0, (6.7)
здесь

- смещение водной поверхности,
n - нормаль к береговой линии.
Для анализа процесса наката волн на берег и отхода волны от берега систему уравнений мелкой воды необходимо решать в расчетной области с подвижной границей

(6.8)
где D - полная глубина бассейна;
h - невозмущенная глубина воды;

- смещение водной поверхности.
Это позволяет исследовать накат волн на берег и рассчитать характеристики затопления побережья опасными морскими волнами.
6.3.3 Для расчета наката волн цунами в реальных акваториях необходимо иметь очень хорошую батиметрию морского дна с разрешением менее 50 метров, в зависимости от крутизны береговой зоны. Обычные цифровые карты батиметрии, например, GEBCO (General Bathymetric Chart of the Oceans), не обеспечивают адекватное воспроизведение рельефа дна в численных моделях распространения волн, что может приводить к существенным ошибкам при оценке максимальных заплесков цунами на побережье. В работе
[9] этот эффект продемонстрирован на примере моделирования двух Симуширских цунами 15.11.2006 г. и 13.01.2007 г. в центральной части Курильских островов. Показано, что расчеты, выполненные на сетках с разрешением 30 угловых секунд, обеспечивают только качественную оценку распределения высот цунами вдоль побережья. В то же время, количественное совпадение результатов моделирования и данных наблюдений удается получить только дня сеток с пространственным разрешением не хуже 10 угловых секунд.
6.3.4 Начальные условия моделируют процесс генерации морских волн. В случае генерации волн цунами подводными землетрясениями сейсмический процесс в очаге заканчивается достаточно быстро, и волна не успевает выйти из очага. В этом случае можно считать подвижки морского дна мгновенными, вызывающими такие же мгновенные смещения водной поверхности. Тогда процесс генерации волн сводится к постановке начальных условий

(6.9)
где
- смещение водной поверхности;
M и
N - компоненты расхода воды вдоль долготы

и широты

.
Иногда процесс генерации волн цунами занимает определенное время, в этом случае очаг цунами представляется несколькими сегментами с граничными
условиями (6.9), задаваемыми в определенные моменты времени.
В случае численного моделирования распространения цунами в исследуемую (портовую) зону необходимо иметь на границе данной зоны значения смещения водной поверхности и значения компонент скоростей или расхода воды

(6.10)
Однако более точные результаты получаются, если использовать метод вложенных сеток, когда расчеты волн цунами в открытом море делаются на грубой сетке, а вблизи берега - на максимально детальной. Данный подход позволяет моделировать распространение волн в полузакрытой области, имея реальные и рассчитанные данные на входе в гавань (порт).
Описанная выше система уравнений мелкой воды реализована, например, в программном комплексе НАМИ-ДАНС
[10] с помощью численной схемы на конечных разностях типа "прыгающей лягушки". Ее суть в том, что переменные потоков и смещения поверхности находятся не в одних и тех же узлах, с небольшим смещением, как показано на рисунке 6.1.
Рисунок 6.1 - Расположение переменных и узловых точек
сетки решетки:
| | ИС МЕГАНОРМ: примечание. Обозначения даны в соответствии с официальным текстом документа. | |
а - числовая сетка по времени (по одной
компоненте); б - числовая сетка по пространству
Это делает вычисления более устойчивыми в так называемых критических точках (на урезе, острые углы). При создании программного комплекса НАМИ-ДАНС были использованы методы параллельного программирования, что позволило значительно уменьшить время счета.
Временной шаг в силу гиперболичности уравнений мелкой воды выбирается из условия Куранта для устойчивости численной схемы

(6.11)
где

и

шаги расчетной сетки вдоль долготы и широты;

- шаг по времени;
hmax - максимальная глубина бассейна,
g - гравитационная постоянная.
Как известно, волна на мелководье вблизи берега может становиться крутой, фронт которой может обрушиться (развитый бор) или стать волнообразным (на русском языке его иногда называют ундулярным). В пакете НАМИ-ДАНС учитываются обе возможности водного потока: как обрушение волны, параметризуемое численной вязкостью, так и образование волнообразного бора.
6.4 Силовые характеристики цунами в зонах затопления при различном расположении и форме объектов риска
6.4.1 Большие амплитуды волн в прибрежных районах и получающиеся высокие скорости потоков - первичные факторы в разрушительном воздействии цунами на берега и сооружения. Основные характеристики процесса наката цунами показаны на
рисунке 6.2. Прямое воздействие цунами на застроенные прибрежные и береговые сооружения может иметь катастрофические последствия, включая гибель людей, разрушения, повреждения и перемещения больших объектов в целом и отдельных их конструктивных элементов (прежде всего смещение фундаментов), оползни и другие природно-техногенные вторичные дестабилизирующие факторы.
Рисунок 6.2 - Схема наката цунами на берег
6.4.2 Для относительно небольших объектов риска (см.
п. 4.1 Пособия) можно выполнять расчеты волнового поля независимо от сооружений, а уж потом рассчитывать отдельно нагрузки на них. Именно такая ситуация реализуется при строительстве морских платформ для нефти и газодобычи, имеющих вертикальные опоры, диаметр которых заведомо меньше длины волны цунами. В этом случае расчет волн цунами можно делать на относительно крупных сетках, не учитывающих подсеточные эффекты, связанные с наличием вертикальных опор. На следующем этапе можно рассчитывать силу и опрокидывающий момент на каждую опору. В случае идеальной жидкости сила гидродинамического давления
Fh, приложенная к поверхности тела
S, определяется по
[11] ниже следующей формулой

(6.12)
где

- внешняя нормаль к поверхности тела;
p - давление, вычисляемое из гидродинамических уравнений в точке расположения опоры (но без учета ее).
В волнах цунами давление гидростатично и может считаться однородным по поверхности преграды.
Соотношение двух компонент силы лобового сопротивления и гидростатического воздействия на одиночную преграду малого диаметра, определяет так называемое "гидродинамическое воздействие"
[12]

(6.13)
где CD - коэффициент лобового сопротивления, который сейчас легко найти в справочниках;
D - полная глубина воды;
g - гравитационная постоянная;
u - скорость течения в расчетной точке без учета конструкции, пропорционально числу Фруда

(6.14)
где D - полная глубина воды;
u - скорость течения;
g - гравитационная постоянная,
и этот параметр полностью определяется волновым потоком.
Расчет числа Фруда позволяет судить о соотношении сил воздействия на сооружения.
6.4.3 Главной трудностью учета волн цунами в отличие от воздействия штормовых волн является невозможность пересчета волнового поля с открытого моря на проектируемую точку строительного сооружения с помощью простых номограмм, как это делается для ветровых волн. Поэтому проектирование крупных объектов риска (
п. 4.1 Пособия) в прибрежной зоне должно всегда сопровождаться моделированием волнового режима с учетом возводимого сооружения.
6.4.4 При анализе наката волн на берег и последствий цунами в ЦОР следует обращать внимание на возможность возникновения длительных (в течение нескольких часов) резонансных колебаний, способствующих, а иногда вызывающих повреждения складских зданий и сооружений, а также находящихся внутри них товарам. Оценка таких вредных воздействий важна для управления портом во время и после цунами.
6.4.5 Волны короткого периода, заходящие непрерывно в порты (гавани), могут вызвать аномальные колебания, влекущие неожиданные убытки, если их период совпадает с резонансным периодом бассейна. Океанские волны могут вызвать опасные колебания в закрытых или полуоткрытых бассейнах и гаванях. Цунами, как известно, являются очень разрушительным явлением на мелководье, ведя к подъему уровня морской воды, сильным потокам, морфологическим изменениям дна и берега [
5,
13,
14]. Чтобы уменьшить разрушительную силу цунами, гавани стараются сделать с узким входом. При этом, однако, возможны резонансные эффекты, усиливающие колебания морской поверхности на определенных частотах и приводящие к опасным явлениям. Геометрия бассейна и возможные резонансы обязательно учитываются в проектировании гаваней [
15,
16,
17,
18]. Используемые обычно волнорезы способны к защите гавани от коротких (ветровых) волн
[18], но длинные волны типа цунами с периодами 25 - 300 с проникают в гавань и вызывают опасные колебания. Периоды резонансных колебаний могут быть в диапазоне от нескольких секунд до нескольких минут в зависимости от геометрии гавани
[19]. Характеристики резонансов известны для многих бассейнов с несколькими типами простых геометрий и неоднородными батиметриями (таблица 6.1 и
таблица 6.2) [
20,
21].
Таблица 6.1
Моды волн в полузакрытых бассейнах простых геометрий
геометрических форм и постоянной ширины
Тип Бассейна | | Период |
описание | размерность | уравнение профиля | фундаментальный T1 | отношение мод Tn/Tl, v для n |
1 | 2 | 3 | 4 |
прямоугольный | | h(x) = h0 | 2L/(gh0)1/2 | 1.000 | 0.500 | 0.333 | 0.250 |
треугольный (центр) | | h(x) = h0(1 - 2x/L) | 1,305[2L/(gh0)1/2] | 1.000 | 0.628 | 0.436 | 0.343 |
параболический | | h(x) = h0(1 - 4x2/L2) | 1,110[2L/(gh0)1/2] | 1.000 | 0.577 | 0.408 | 0.316 |
параболоид | | h(x) = h0(1 - 4x2/L2)2 | 1,242[2L/(gh0)1/2] | 1.000 | 0.686 | 0.500 | 0.388 |
треугольный (прав. уг.) | | h(x) = h1x/L | 1,640[2L/(gh1)1/2] | 1.000 | 0.546 | 0.377 | 0.288 |
трапециевидный | | h(x) = h0 + mx m = (h1 - h0)/L | | 1.000 | 0.546 | 0.377 | 0.288 |
прямоугольный (ступень) | | h(x) = hl(x < 0) h(x) = h2(x > 0) | L1/L2 = 1/2 4L2/(gh2)1/2 | 1.000 | 0.500 | 0.250 | 0.125 |
| | h1/h2 = 1/4 | L1/L2 = 1/3 3,13L2/(gh2)1/2 | 1.000 | 0.559 | 0.344 | 0.217 |
| | | L1/L2 = 1/4 2,73L2/(gh2)1/2 | 1.000 | 0.579 | 0.367 | 0.252 |
| | | L1/L2 = 1/8 2,31L2/(gh2)1/2 | 1.000 | 0.525 | 0.371 | 0.279 |
В таблице 6.2 приведены значения периодов свободных колебаний в закрытых бассейнах простой геометрической формы и постоянной ширины.
Таблица 6.2
Моды волн в полузакрытых бассейнах простых
геометрических форм
Тип Бассейна | | Период |
описание | размерность | уравнение профиля | фундаментальный T0 | отношение мод TS/Tl, [n = s + 1)/2] |
n = 0 | 1 | 2 | 3 |
прямоугольный | прямоугольный | h(x) = h1 | 2,000[2L/(gh1)1/2] | 1.000 | 0.333 | 0.200 | 0.143 |
прямоугольный | треугольный | h(x) = h1x/L | 2,618[2L/(gh1)1/2] | 1.000 | 0.435 | 0.278 | 0.203 |
прямоугольный | полупарабола | h(x) = h1(1 - x2/L2) | 2,220[2L/(gh1)1/2] | 1.000 | 0.409 | 0.259 | 0.189 |
треугольный | прямоугольный | b(x) = b1x/L h(x) = h1 | 1,308[2L/(gh1)1/2] | 1.000 | 0.435 | 0.278 | 0.230 |
треугольный | треугольный | b(x) = b1x/L h(x) = h1x/L | 1,653[2L/(gh1)1/2] | 1.000 | 0.541 | 0.374 | 0.283 |
полуэллиптический | полупараболоид | b1/L = 2 | 2,220[2L/(gh1)1/2] | 1.000 | 0.707 | 0.578 | 0.378 |
= 4/3 | | 0.554 | 0.493 | 0.323 |
= 1 | | 0.447 | 0.468 | 0.264 |
= 2/3 | | 0.317 | 0.455 | 0.185 |
полукруг | полупараболоид | h(x) = h1(1 - r2/L2) | 2,220[2L/(gh1)1/2] | 1.000 | 0.707 | 0.578 | 0.500 |
В
таблице 6.3 даны значения периодов свободных колебаний для полузакрытых бассейнов простой геометрической формы. В работе
[22] представлены значения периодов свободных колебаний в бассейнах прямоугольной и круглой геометрической формы с однородной глубиной.
Таблица 6.3
Параметры мод для волн в однородных бассейнах прямоугольной
и круглой геометрической форм
Квадратный бассейн (l = 0,5L) | Круглый бассейн |
номер моды | форма | относит-ый период | номер моды | форма | радиус узловых линий | нормированная частота | относит-ый период |
m | n | | Tmn/T10 | s | m | | r1 | r2 | | Tsm/T10 |
1 | 0 | | 1.000 | 1 | 0 | | - | - | 1.841 | 1.000 |
2 | 0 | | 0.500 | 2 | 0 | | - | - | 3.054 | 0.603 |
0 | 1 | | 0.500 | 0 | 1 | | 0.628 | - | 3.832 | 0.480 |
1 | 1 | | 0.447 | 1 | 1 | | 0.719 | - | 5.331 | 0.345 |
2 | 1 | | 0.354 | 2 | 1 | | 0.766 | - | 6.706 | 0.275 |
0 | 2 | | 0.250 | 0 | 2 | | 0.343 | 0.787 | 7.016 | 0.262 |
1 | 2 | | 0.243 | 1 | 2 | | 0.449 | 0.320 | 8.536 | 0.216 |
6.5 Оценка перемещения донных осадков акватории морских портов
6.5.1 Волны большой амплитуды вызывают движение наносов, меняющих морфологию морского дна и берегов (см., например,
[22]). Для их анализа необходимо решать уравнения транспорта наносов
[23], что усложняет вычисления. Между тем, интенсивность транспорта наносов можно грубо характеризовать числом Рауза, названным по имени Hunter Rouse)
[24]. Этот параметр, зависящий от свойств донных осадков
[25], пропорционален локальной скорости течений жидкости, поэтому его расчет может быть легко встроен в существующие программные комплексы решения уравнений мелкой воды. В частности, например, в программном комплексе НАМИ-ДАНС
[10] реализована возможность расчета распределения числа Рауза.
6.5.2 Рассмотрение волновых движений в бассейнах L-типа при различных периодах подходящей одиночной волны цунами включает резонансные воздействия и наряду с вертикальным смещением водной поверхности и усредненной по глубине скорости потока рассчитывается также число Рауза, и на этом основании оценивается характер движения донных осадков. В угловых точках в изгибающейся части бассейна L-типа амплитуда волн и скорости течений значительно усиливаются на резонансных частотах бассейна. Именно в этих зонах и происходит накопление донных осадков.
6.5.3 Для определения числа Рауза рекомендуется использовать
[26] и также энциклопедическую статью
[27]. Это безразмерное число используется для характеристики профиля концентрации взвешенных частиц под действием водного потока [
22,
23]. Математически число Рауза определено как отношение скорости падения взвешенных частиц
Ws к сдвиговой скорости неоднородного по вертикали водного потока
u*

(6.15)
где

- постоянная Кармана (равная 0,4);

- отношение вихревой вязкости к вихревой диффузии (приблизительно равное 1).
Величина скорости падения частиц зависит от их характеристик

(6.16)
где s - отношение плотности частиц к плотности воды (примерно 2,6);
d - средний размер частицы (зерна);
g - ускорение силы тяжести;

- кинематическая вязкость (10
-6 м
2/с).
Сдвиговую скорость можно грубо связать со скоростью течения воды
[26]

(6.17)
где
f - коэффициент трения Дарсу, изменяющийся в диапазоне (0,006 - 0,039). Предполагается, что он равен 0,01 в случае цунами
[26]. Средний размер зерна (
d) для акватории принят равным 0,3 мм [
28,
17]. Все значения констант приняты неизменными для бассейна в численных расчетах. В результате, число Рауза обратно пропорционально скорости водного потока с точностью до константы. Принято считать, что инициирование движения наносов происходит при числах Рауза около 7, в диапазоне 2,5 - 7,5 происходит движение влекомых наносов (bed-load). Движению взвешенных осадков соответствуют числа Рауза 0,8 - 1,2. При меньших значениях числа Рауза происходит сильное движение донных осадков, приводящее к значительным деформациям дна
[26]. Рассчитывая скорость водного потока и определяя число Рауза, мы можем судить о характере донных процессов. Для районов интенсивного изменения морфологии дна можно затем выполнить отдельное моделирование количественных характеристик транспорта наносов, используя модели [
23,
19].
7 Методы физического моделирования
Настоящий раздел уточняет и разъясняет положения СП, относящиеся к блоку FLEET.
7.1 Согласно
п. 5.2.5 СП для ГТС, расположенных на цунамиопасных территориях, где ожидаются цунами со значением вертикального заплеска
h100 превышающим 4 м, необходимо выполнять физическое моделирование для уточнения нагрузок. В связи с разработкой и внедрением современных методов численного моделирования (
раздел 6 настоящего Пособия) во изменение требования
п. 5.2.5 СП выполнение физического моделирования не является обязательным и рекомендуется только на основании обоснованного указания Заказчика, записанного в техническое задание по согласованию со специализированной научно-исследовательской организацией, сопровождающей проектирование.
7.2 Физическое моделирование цунами с целью оценки влияния размера и формы бухт, изрезанности береговой линии, рельефа дна с переменным уклоном, шероховатостью и для акваторий с другими факторами, способствующими эскалации или деградации потока цунами, не может быть достоверным, поскольку обычно при моделировании масштабное число превышает 100, что не позволяет отразить и учесть в модели вышеперечисленные факторы влияния.
7.3 При изучении явления цунами физическое моделирование часто дает дополнительную информацию к численному моделированию. Прежде всего, это информация о взаимодействии цунами с сооружениями сложной конструкции, а также о возможных разрушениях этих сооружений. Такая информация может быть получена с помощью CFD (Computational fluid dynamics) методом численного моделирования. Однако модель CFD тоже нуждается в верификации лабораторными данными. При физическом моделировании волн цунами целесообразно использовать опыт лабораторного и численного изучения ветрового волнения
[29].
7.4 Физическое моделирование волн цунами на сооружения является хорошо апробированным, но упрощенным способом определения степени возможного цунами-риска и последствий
[30]. Физическое моделирование позволяет решить две основные задачи. Первая - определить степень устойчивости и прочности сооружений под воздействием цунами, и вторая - выполнить верификацию численных моделей цунами для заданных условий.
7.5 Экспериментальные исследования воздействия цунами на береговые сооружения, выполняемые в соответствии с критерием Фруда, возможно проводить с масштабом подобия 1:10
[29]. В этом случае исследуется процесс обрушения волны цунами с образование бора, распространяющегося в глубь береговой зоны.
7.6 Достоверность моделирования цунами зависит главным образом от исходных данных по параметрам волны, как для численного моделирования, так и для физического.
Для физического моделирования волн цунами с заданными расчетными параметрами и их воздействия на прибрежные и береговые строительные сооружения используются разные методы [
31,
32,
33], среди которых:
- метод скользящего блока;
- метод генерации волн с помощью специальных лопаток или щитов;
- метод генерации волны цунами с помощью пневматического цунамигенератора.
Примеры вышеуказанных, наиболее распространенных методов моделирования волн цунами представлены в
Приложении А.
8 Выбор расчетных ситуаций. Особенности учета грунтовых условий
Настоящий раздел относящийся к блокам FLEET и MIT.
К пункту 5.4.11, АРС-1 и 5.8 СП. В настоящем разделе рассмотрена одна из самых сложных и распространенных расчетных ситуаций воздействия обрушенной волны (бора) на сооружение, когда учитывается динамический эффект, обусловленный податливостью сооружения и его грунтового основания. Изложенные ниже подходы, процедура расчета цунамистойкости и принятия соответствующих проектных решений пригодны для оценки цунамистойкости любых прибрежных и береговых строительных сооружений независимо от их конструктивной схемы, класса конструктивной уязвимости, назначения и степени ответственности, формы, размера, характеристик обтекаемости и проницаемости.
Реакция сооружения на воздействие бора будет зависеть от временного характера нагружения и жесткости системы "грунт-сооружение". Представляет интерес оценка динамического эффекта при различных значениях скорости нагружения и жесткости системы.
8.1 К традиционному расчету набережных и причальных стен на нагрузку от цунами
В качестве примера принято оградительное сооружение гравитационного типа, рассмотренное в работе
[34]. Сооружение представляет собой жесткую стенку, состоящую из массивов-гигантов (между отметками -8,00 и +0,50), бетонной надводной стенки (между отметками +0,50 и +2,50) и бетонного парапета (от +2,50 до +6,50). Плотность массива с заполнением составляет 2,1 т/м
3, бетонных элементов - 2,3 т/м
3. Поперечное сечение сооружения представлено на
рисунке 8.1.
Рисунок 8.1 - Поперечное сечение оградительного мола
Деформации стенки незначительны по сравнению с перемещениями, вызванными податливостью основания. В качестве расчетной схемы сооружения
(рисунок 8.2) было рассмотрено абсолютно жесткое тело на упругом основании, обладающее двумя степенями свободы - смещением в горизонтальном направлении и поворотом в плоскости, перпендикулярной оси мола. Рассматривались собственные колебания, соответствующие низшему тону с учетом инерционного влияния воды по методике, изложенной в работах
[34].
Рисунок 8.2 - Расчетная схема для определения периода
собственных колебаний:
а - схема сооружения; б - горизонтальные колебания;
в - вращательные колебания вокруг центра тяжести
площади подошвы
Для оценки влияния жесткости основания на коэффициент динамичности было рассмотрено пять значений обобщенного коэффициента жесткости основания
C0, принятого равным 1500, 3000, 4500, 6000 и 1000 кН/м
3, что охватывает весь диапазон грунтов, используемых в качестве основания
[34].
Характеристики расчетного участка сооружения приняты следующие:
d0 = 8 м - глубина воды перед стенкой;
ширина подошвы сооружения b = 11 м;
масса M = 269,5 т;
момент инерции массы относительно оси, проходящей через центр тяжести сооружения перпендикулярно плоскости чертежа

;
вес с учетом взвешивания Q* = 1780,52 кН;
возвышение центра тяжести над подошвой без учета взвешивания h0 = 5,8 м;
возвышение центра тяжести над подошвой с учетом взвешивания

;
длина подошвы массива в перпендикулярном расчетному направлению сечению a = 33 м;
площадь подошвы расчетного участка A = 11 м2.
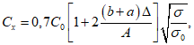
Коэффициенты упругого равномерного сдвига
Cx и поворота

определяются из выражений:

(8.1)

(8.2)
где

,

;

- среднее статическое напряжение по подошве (без учета гидростатического взвешивания).
Определение частот собственных колебаний сооружений без учета инерционного воздействия воды производилось по формулам:

(8.3)

(8.4)

(8.5)

(8.6)
где

- частота горизонтальных колебаний (
рисунок 8.2, б);

- частота вращательных колебаний вокруг центра тяжести площади подошвы - точки
O (
рисунок 8.2, в);

- частота колебаний в первой главной форме представляющей собой вращательные колебания вокруг точки
O1.
Положение центра
O1 главных колебаний (
рисунок 8.2, а) определяется по формуле

(8.7)
Расстояние от плоскости подошвы до центра O1 главных колебаний будет составлять
x0 = d1 - hO. (8.8)
Величина присоединенной массы воды, действующая на одну напорную грань, определится по формуле

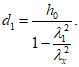
(8.9)
где

- плотность воды,

(8.10)
Возвышение центра тяжести присоединенной массы воды над плоскостью подошвы определяется из выражения

(8.11)
Расстояние от центра вращения O1 до центра тяжести присоединенной массы воды составит

(8.12)
Момент инерции присоединенной массы воды на две напорные грани будет иметь значение

(8.13)
Поправочный коэффициент, учитывающий инерционное влияние воды, определяется по формуле

(8.14)
где
- момент инерции массы, относительно оси проходящей через центр вращения
O1 перпендикулярно плоскости вращения.
Частота собственных колебаний по первой главной форме определяется по формуле

(8.15)
Период собственных колебаний по низшему тону определяется из выражения

(8.16)
В качестве исходных данных по воздействию бора принята высота фронта бора до подхода к стенке h1 = 3 м при значениях времени нарастания tmax, равных 0,1, 0,2 и 0,5 с. Время действия нагрузки tk принято равным 5 с, значение Fk принято равным 0,5Fmax.
Определение максимального значения волновой нагрузки на неподвижную преграду выполнено по методике, изложенной в работе
[35]. Схема взаимодействия бора со стенкой представлена на рисунке 8.3.
Рисунок 8.3 - Схема взаимодействия бора со стенкой:
а - перед фазой удара; б - после отражения от стенки
В этом случае
db1 =
d0 +
h1 = 8 + 3 = 11 м;
db1/
d0 = 11:8 = 1,375. Из графика на
рисунке 7.3 СП следует
db2/
db1 = 1,3;
db2 = 1,3·11 = 14,3 м. Так как общая высота сооружения составляет 8 + 6,5 = 14,5 м > 14,3 м, перелив исключается.
Суммарная волновая нагрузка на 1 погонный метр сооружения составит по формуле 7.23 СП
[35]
Определение реакций системы "грунт-сооружение" на воздействия с указанными параметрами при относительном затухании, принятом равным 10%, были выполнены по программе "Зенит-95", разработанной НТП "ДИП". Результаты расчетов представлены в таблице 8.1.
Таблица 8.1
Вычисленные значения коэффициента динамичности
C0, кН/м3 | T01, с | Коэффициент динамичности при времени нарастания |
tmax = 0,1 с | tmax = 0,2 с | tmax = 0,5 с |
1500 | 0,95 | 1,942 | 1,898 | 1,596 |
3000 | 0,673 | 1,937 | 1,843 | 1,307 |
4500 | 0,549 | 1,925 | 1,783 | 1,096 |
6000 | 0,475 | 1,91 | 1,723 | 1,03 |
10000 | 0,367 | 1,868 | 1,573 | 1,202 |
Из результатов расчетов следует, что при определении нагрузок от бора на оградительные сооружения следует учитывать их динамический характер. В рамках консервативной оценки при приближенных расчетах допускается принимать значение коэффициента динамичности равное двум.
8.2 О выборе коэффициента динамичности
Значение коэффициента динамичности следует принимать для расчета цунамистойкости любых строительных сооружений, находящихся в зоне затопления и подлежащих расчету для обеспечения требуемой цунамистойкости в приоритетном порядке согласно
пп. 5.2.1 и
5.3.2 СП.
Коэффициенты динамичности зависят:
- от вида нагрузки и ее параметров;
- от периода собственных колебаний T.
На
рисунке 8.4 приведены графики коэффициентов динамичности для трех наиболее распространенных видов нагрузок.
Рисунок 8.4 - Графики коэффициентов динамичности
типовых нагрузок:
а - коэффициент динамичности прямоугольного
импульса; б - коэффициент динамичности синусоидального
импульса; в - коэффициент динамичности нагрузки, линейно
нарастающей до постоянной величины
На
рисунке 8.4 по оси абсцисс отложены параметры, представляющие собой безразмерное сочетание
T и
t0, а на оси ординат - значение Кд.
Вид нагрузки указан справа на каждом из
рисунков 8.4,
а -
в. Там же указан характерный параметр нагрузки
t0, причем для каждого вида нагрузки этот параметр имеет разный смысл.
9 Особенности расчета и проектирования строительных сооружений при "близких цунами". Конструктивные мероприятия для цунамистойкости ГТС
Настоящий раздел уточняет и разъясняет положения СП, относящиеся к блоку MIT.
К пункту 5.4.11, АРС-5 СП. На ЦОТ для которых вероятно возникновение цунами, генерируемых близкими землетрясениями (тип Б и В по
п. 5.1.3 СП), прежде чем проектировать цунамистойкие строительные сооружения необходимо знать нужно ли эти здания рассчитывать на сейсмические нагрузки или же эти сооружения находятся на асейсмических ЦОТ. Тот же вопрос возникает и при анализе цунамистойкости эксплуатируемых зданий и сооружений. Ответ на этот вопрос чрезвычайно важен, поскольку в некоторых случаях анализ цунамистойкости строительных сооружений, имеющих "антисейсмическое вооружение", существенно сокращается или даже вообще не нужен. Более того, абсолютное большинство проектных решений, обеспечивающих сейсмостойкость, одновременно являются также весьма эффективными в случае воздействия цунами на строительные сооружения различной конструктивной схемы и класса конструктивной уязвимости, назначения и степени ответственности, формы и размера, обтекаемости и проницаемости. Вот почему проектные решения
(СП 358.1325800), перечисленные ниже следует использовать при проектировании морских ГТС на ЦОТ с прогнозируемыми повреждающими и разрушительными цунами (
таблица В.1 приложения В СП).
Что касается береговых зданий и сооружений, расположенных на ЦОТ, то для обеспечения их цунамистойкости рекомендуется применять проектные решения, использующие конструктивные антисейсмические мероприятия (
раздел 6 СП 14.13330) зависящие от конкретного типа и конструктивной схемы здания.
Ниже приводятся примеры проектных решений, обеспечивающих цунамистойкость оградительных и причальных гидротехнических сооружений, расположенных на акватории с вероятными сильными цунами.
9.1 Портовые оградительные сооружения (молы, волноломы) следует возводить из наброски камня, обыкновенных и фасонных массивов или массивов-гигантов. Углы наклона откосов этих сооружений при
h100 > 4 м и
h100 > 8 м следует уменьшать соответственно не менее чем на 10 и 20% относительно допускаемых в обычных условиях.
9.2 При проектировании ограждающего сооружения следует рассматривать целесообразность принятия (на основании технико-экономического сопоставления) перечисленных ниже конструктивных решений, повышающих как сейсмостойкость, так и цунамистойкость указанных сооружений:
- размещение ограждающих сооружений на основаниях, сложенных более прочными грунтами;
- возведение сооружений из массивов-гигантов;
- уширение подошвы и придание поперечным сечениям этих сооружений симметричного (относительно вертикальной продольной плоскости) профиля.
9.3 Причальные сооружения и набережные следует, как правило, возводить в виде конструкций, не подверженных одностороннему давлению грунта (сооружения эстакадного типа, мостового типа с гравитационными бычками и др.). При невозможности выполнения этого условия предпочтение следует отдавать заанкереным шпунтовым стенкам при нескальных основаниях и стенкам из массивов-гигантов при скальных основаниях.
В пределах отдельной секции протяженных причалов и набережных следует соблюдать однородные условия работы конструкции: не допускать существенных изменений характеристик основания, глубины водоема, нагрузок на сооружение, конструкции и размеров основных несущих элементов.
9.4 Для повышения цунамисейсмостойкости причалов и набережных типа сборных гравитационных стен следует, как правило, укрупнять размеры сборных элементов и обеспечивать омоноличивание этих конструкций сваркой выпусков арматуры или стальных закладных деталей.
9.5 Для причалов и набережных эстакадного типа в качестве опор следует применять сваи в виде стальных труб, коробок из шпунта, предварительно напряженных центрифугированных железобетонных оболочек. Применение призматических железобетонных свай не рекомендуется.
Сваи необходимо погружать до глубин залегания плотных, устойчивых к разжижению грунтов. Опирание нижних концов свай на рыхлые водонасыщенные грунты, глинистые грунты мягкопластичной, текучепластичной и текучей консистенции не допускается.
Верхние концы свай следует жестко заделывать в верхнее строение эстакадной конструкции. Узлы сопряжений должны быть рассчитаны на знакопеременные нагрузки.
Горизонтальную жесткость эстакад при необходимости следует обеспечивать применением наклонных свай или введением в рамы диагональных связей.
9.6 Для повышения цунамисейсмостойкости причалов и набережных типа заанкеренных шпунтовых стен целесообразно в качестве анкерных опор использовать свайные ростверки.
Подкрановые пути за шпунтовыми стенами следует устраивать на свайных фундаментах.
Вышеуказанные в
пунктах 9.1 -
9.5 мероприятия рекомендуется использовать при возведении и реконструкции морских портовых ГТС, расположенных на ЦОТ с прогнозируемыми повреждающими и разрушительными цунами, независимо от того относится или не относится географический пункт расположения ГТС к сейсмически активным районам по картам ОСР
(СП 14.13330).
10 Градостроительные решения цунамизащиты урбанизированных побережий
Настоящий раздел уточняет и разъясняет положения СП, относящиеся к блокам URSA и MIT.
Ключевым объектом стандартизации является урбанизированная ЦОТ, на которой необходимо организовать нормативное регулирование, как минимум, двух аспектов стандартизации: параметра, характеризующего и обеспечивающего сохранение жизни и здоровья людей (населения ЦОТ) и параметра, характеризующего и обеспечивающего непревышение приемлемого уровня материального ущерба в случае ожидаемого/расчетного воздействия цунами. Разработанные в
разделе 10 СП отдельные правила и требования и, главным образом, градостроительная стратегия безопасного развития поселений в целом должны учитываться, прежде всего, в процессе разработки проектов территориального планирования и социально-экономического развития урбанизированных территорий, а также при подготовке этих ЦОТ к вероятным бедствиям, вызываемым воздействием цунами.
Основой для разработки стратегии цунамибезопасности той или иной ЦОТ является обоснованное деление/ранжирование зоны регулирования цунамибезопасности на подзоны различной степени подверженности воздействию цунами. При этом рекомендуется назначать подзоны, дифференцируя их по высоте волны ожидаемого цунами с градацией по шкале интенсивности цунами (
приложение В.1 СП): слабой, умеренной, сильной и очень сильной интенсивности цунами
Its = II, III, IV, V соответственно.
В площадь побережья, подлежащую нормативному регулированию, прежде всего, включается зона затопления урбанизированной ЦОТ, размеры которой устанавливаются в соответствии с
п. 5.1 настоящего Пособия по результатам цунамимикрорайонирования.
Все здания, находящиеся в пределах зоны затопления, должны быть инвентаризированы и паспортизированы (
приложение К СП) с описанием их конструктивной схемы и указанием их сейсмостойкости
(СП 14.13330) и категории конструктивной уязвимости этих зданий при воздействии цунами (
таблица В.2 приложения В СП), а также с указанием допустимого параметра экономической уязвимости, задаваемого владельцем. На ЦОТ с "близкими" цунами паспортизацию застройки и назначение объектов-аналогов рекомендуется совмещать с паспортизацией и анализом сейсмостойкости зданий и сооружений.
Микрозонирование ЦОТ на полосы с разной степенью опасности цунами (
п. 10.5 СП) является полезным планировочным инструментом для последующего распределения (перераспределения, переноса) городских территорий различного назначения. Этот инструмент был успешно реализован и апробирован на урбанизированных территориях Кадьякского архипелага до и после цунами 1964 года (Аляска, США). Требуемое микрозонирование следует выполнять, используя численное моделирование наката цунами на берег (см.
раздел 6 Пособия), по карте зоны затопления, а затем уже осуществлять территориальное планирование, в результате которого максимально снижается планировочная уязвимость населенного пункта к воздействию цунами. Например, переносятся подальше от берега зоны парковки автотранспорта, улучшается покрытие автодорог, проездов, цоколей зданий, отмостки. Подобные превентивные меры позволят уменьшить или даже предотвратить возникновение обломков и мусора, который при откате первой волны и накате следующих волн значительно повышают разрушительную силу цунами.
Прежде всего, на ЦОТ необходимо предусмотреть инженерную защиту на акватории (волнорезы и дамбы) и на берегу (преграды) образующие систему "твердого буфера", а выше по рельефу создать так называемый "мягкий буфер", как правило, из специальных ограждений или чаще с помощью посадки деревьев и кустарников, образующих "зеленый пояс" (парковую зону).
Чрезвычайно важным планировочным аспектом является недопущение сверхплотной застройки. Критерием, определяющим допустимые расстояния между строительными сооружениями, является возможность провести аварийно-спасательные работы в случае обрушения одного или нескольких зданий.
В процессе паспортизации эксплуатируемых на ЦОТ зданий и сооружений, необходимо решать следующие специфические задачи.
В подзоне с интенсивностью цунами Its = V, где строительное освоение ЦОТ максимально ограничивается или вообще не допускается, следует предусматривать программу сноса эксплуатируемых зданий и сооружений, выкупа земельных участков и переселения людей из этой подзоны в безопасные места.
В подзоне с интенсивностью цунами Its = IV:
а) определить оптимальную группу зданий, противодействующую цунами;
б) определить оптимальную/безопасную высоту первого этажа;
в) выполнить специальные требования по цунамистойкости опорных элементов/колонн нижнего этажа этих зданий;
г) рассмотреть необходимость и целесообразность организации (в том числе строительства) специальных путей и сооружений для вертикальной эвакуации населения;
д) ввести обязательное страхование имущества, поскольку при расчетном цунами в этой подзоне спасти имущество на 1 - 2-м этажах невозможно.
При решении задачи "а" очень важно уменьшить влияние вторичных опасностей, сопутствующих цунами, в том числе:
- обеспечить достаточно большой промежуток между зданиями, чтобы избежать или уменьшить влияния столкновения с выбрасываемыми на берег транспортными средствами, предметами, смываемыми с берега, различными обломками и льдом;
- обеспечить устойчивость фундаментов зданий (достаточная глубина заложения и малая вымываемость обратной засыпки).
В подзоне Its = IV новое строительство должно осуществляться с учетом уровня цунами-риска.
Предварительно следует выбрать из существующих и вновь возводимых те здания, усиление которых позволит уменьшить отрицательный эффект воздействия цунами на территорию.
Кроме того, под управлением и контролем должны находиться объекты и сети жизнеобеспечения, а также мосты и критические пути выживания, которые должны остаться действующими во время цунами.
Как следует из вышеизложенного, градостроительная стратегия цунамибезопасности включает в себя не только планировочные мероприятия, но и целевые конструктивные решения, а также мероприятия по инженерной защите территорий (дамбы, барьеры, специальные преграды).
В ряде случаев эффективным конструктивным решением является анкеровка легких или цунаминеустойчивых зданий в грунтовом основании. На так называемых, трудноэвакуируемых ЦОТ, на зданиях средней и высокой этажности целесообразно устройство вертикальной эвакуации.
При застройке ЦОТ (
п. 10.6 СП) эффективным инструментом регулирования потока цунами является расположение зданий различной формы, обтекаемости и проницаемости. Прямоугольные здания, например, могут стоять параллельно берегу и, таким образом, быть преградами (частью "твердого буфера") для волны цунами, а значит воспринимать огромные нагрузки на свои морские фасады. При расположении таких зданий вдоль потока цунами нагрузки этого цунами на здания будет значительно меньше, но зона затопления при этом, безусловно, увеличится. Например, объекты жизнеобеспечения лучше делать как можно более обтекаемыми и располагать их перпендикулярно берегу, что сделает их менее уязвимыми при воздействии цунами. Используя для фасадов зданий отделочные материалы разной обтекаемости, меняя форму зданий на цилиндрическую, можно управлять потоком вероятного цунами и регулировать нагрузки от этого разрушительного явления на здания и сооружения.
В заключение еще раз остановимся специально на превентивных решениях по предотвращению обломков. Для решения чрезвычайно важной задачи максимального смягчения вторичной опасности, вызываемой обломками и льдом, особому рассмотрению и управлению подлежит все, что находится на примыкающей к урезу акватории и территории и может быть смыто, включая лодки, легкие пирсы, автомобили, складские здания и т.д., и в результате чего увеличится разрушительная способность цунами.
Защита от обломков является комплексной проблемой, решение которой достигается сочетанием превентивных мероприятий, среди которых:
- берегоукрепление, защита от размыва и улучшение прибрежной полосы путем создания "твердого буфера", при этом плавучие и прибрежные лодочные причалы, доки, пирсы и лодки, подверженные превращению в обломки, будут отделены усиленной береговой полосой;
- перенос парковки автомашин из опасной прибрежной зоны в зону с малой глубиной потока, причем уменьшение числа уличных парковок в зоне затопления достигается строительством защищенных подземных гаражей.
В подзонах с интенсивностью Its = II и в других зонах, где ожидаются небольшие скорости потока, рекомендуется использовать для уменьшения числа обломков территории "мягкого буфера" (ограды, насаждения и другие барьеры, сдерживающие бревна, небольшие деревья и грязевые потоки).
Перечень полезных рекомендаций для противодействия цунами на ЦОТ весьма широк и реальная эффективность этих мероприятий решается комплексно в каждом конкретном случае на основании анализа цунами-риска.
11 Процедура оценки цунами-риска и проверка соответствия требованиям цунамибезопасности
Настоящий раздел уточняет и разъясняет положения СП, относящиеся к блокам TSAR и URSA.
11.1 Анализ и управление цунамибезопасностью начинается с математического моделирования наката цунами и определения зоны затопления, продолжается при моделировании взаимодействия застройки ЦОТ с накатом-откатом волн цунами, что является частью различных сценариев вероятного бедствия (
пп. 11.1,
11.4 СП), разработка которых для каждой ЦОТ является обязательной, а результаты наиболее эффективны для последующего понимания цунами-риска и управления им.
В процессе паспортизации следует выделять наиболее хорошо изученные, детально рассчитанные (с учетом взаимодействия в системе "сооружение-грунт") и находящиеся под инструментальным контролем, здания - представители массовой застройки, которые при последующем анализе цунами-риска будут рассматриваться, как базовые объекты для анализа безопасности (БАОБАБы).
Кроме БАОБАБов, в процессе паспортизации ЦОТ следует, изучая опыт ранее произошедших повреждающих и разрушительных цунами, отбирать строительные сооружения, которые по своей конструктивной схеме и условиям эксплуатации аналогичны зданиям массового строительства на рассматриваемой ЦОТ. Такие строительные сооружения имеют достоверную оценку (класс) их конструктивной цунамиуязвимости, вследствие чего представляет высокую ценность для риск-анализа и называются базовыми зданиями-аналогами (ЗДАН).
11.2 Для осознания и понимания вероятных последствий воздействия цунами на урбанизированное морское побережье следует разрабатывать сценарии вероятных бедствий [
36,
37,
38]. Такой подход по отношению к землетрясениям в нашей стране впервые начал применяться с 1985 г. в связи с распоряжением Совета Министров РСФСР N 2159 об обеспечении сейсмостойкости объектов народного хозяйства Камчатской области, совершенствовался и широко применялся в проекте ЮНЕСКО "RADIUS" по диагностике городов против землетрясений в рамках Международного Десятилетия по уменьшению стихийных бедствий (IDNDR) и был с успехом реализован в 1988 г. Ассоциацией "Надежность и Безопасность" совместно с Центром исследования экстремальных ситуаций в ГИС "Экстремум" для 6 сценарных сейсмических событий в Петропавловске-Камчатском. Обобщенный опыт разработки сценариев бедствий изложен в
[39]. Начиная с 2004 г., сценарии бедствий разрабатывались для анализа и картирования сейсмического риска на многих сейсмоопасных территориях России, но никогда и нигде в этих сценариях не рассматривалось вторичное разрушительное воздействие волн цунами, несмотря на то, что теоретически мы были к этому хорошо подготовлены [
40,
41,
42]. Высокая важность и ценность сценарного подхода для понимания комплексного сейсмического и цунами-риска продемонстрировали трагические последствия индонезийских цунами 28 сентября и 22 декабря 2018 г., когда триггером цунами явились подводные оползни и блок
WADE совсем не сработал.
11.3 Чтобы осознавать и заблаговременно понимать возможное бедствие, оценивать его размер и степень наносимого вреда, чтобы сравнивать между собой бедствия, вызванные разными причинами, чтобы смягчать, уменьшать вероятные бедствия, научиться управлять ими необходимо иметь какую-то унифицированную шкалу для измерения величины бедствия. Такая шкала была разработана после Спитакского землетрясения, в начале 1990-х гг., и названа DIMAK [
36,
43]. Шкала DIMAK может использоваться как для оценки вероятных бедствий, так и для измерения величины бедствий произошедших.
Ниже приведем некоторые выдержки из описания шкалы DIMAK.
11.3.1 Измерение бедствия. Основные показатели

Магнитуда бедствия. Магнитуда бедствия пострадавшей территории может быть представлена как в математическом (в цифровом), так и в графическом (векторном) изображении.
Значение магнитуды бедствия определяется по формуле:

(11.1)
По формуле (11.1) магнитуда бедствия зависит от компоненты социального ущерба
Ds равной (
K + 0,03
I) и компоненты экономического ущерба
De равной 3
S. Как видно из
рисунка 11.1, может существовать множество одинаковых по величине (магнитуде) бедствий.
В графическом виде значение магнитуды бедствия представляет собой длину луча

(вектора бедствия), исходящего из начала координат и оканчивающегося в точке N, соответствующей рассматриваемому бедственному событию (точка бедствия), что показано на
рисунке 11.1.
Рисунок 11.1 - Графическое представление бедствия

Индекс социальной уязвимости населения пострадавшей территории определяется по формуле:

(11.2)
где

- угол между лучом магнитуды бедствия и осью абсцисс.
11.3.2 Измерение бедствия. Дополнительные показатели

Для оценки вредоносного влияния вероятного или произошедшего бедственного события на экономику пострадавшей территории дополнительно к основным параметрам бедствия, поименованным выше используется индекс экономической уязвимости пострадавшей территории к бедствию (
w), который зависит от размера (доли) причиненного материального ущерба и определяется по формуле:

(11.3)
где lg De - значение абсциссы "точки бедствия" при его векторном изображении;
Md - значение магнитуды бедствия (длина луча до "точки бедствия" при его векторном изображении.

Показатель экономической устойчивости урбанизированной территории (страны, региона, территориально-административного образования) к бедствию следует применять для оценки экономической возможности пострадавшей территории ликвидировать бедствие собственными силами (реабилитироваться и восстановиться) после вероятного или произошедшего бедственного события. Высокая экономическая устойчивость совместно с другими элементами готовности к чрезвычайным ситуациям обеспечивает живучесть пострадавшей территории.
Показатель экономической устойчивости dm определяется по формуле:

(11.4)
где Ds и De - соответственно размеры социального и экономического ущербов в денежном выражении;
G - ВВП пострадавших территорий за предшествующий бедствию год.

Для сравнительных оценок потенциальной экономической устойчивости к бедствиям, прогнозируемым или произошедшим на территориях различных экономически самостоятельных стран используется безразмерный коэффициент относительного экономического потенциала -

, определяемый по формуле:

(11.5)
где Gn - национальный ВВП n-ой страны за год, предшествующий бедствию;
Gi - национальный ВВП Ирана 1990 г., являющийся константой, равной 100 млрд долларов.

Относительный уровень экономического потенциала территории с точки зрения способности ее к восстановлению дополнительно описывается в терминах относительного масштаба произошедшего бедствия, а именно: объектового, муниципального/городского, территориального, национального, регионального и глобального масштаба.
11.3.3 При оценке бедствия по основным показателям используется следующая классификация:
А. По магнитуде бедствия
Классификация бедствий по их величине (магнитуде) осуществляется в нарастающем по размеру бедственных последствий в порядке как количественной интерпретации (по степеням бедствия), так и качественной интерпретации, что представлено в таблице 11.1.
Таблица 11.1
Степень бедствия | Термины для качественной оценки | Магнитуда бедствия, Md |
0 | Нет бедствия | < 1,0 |
1 | Незначительное бедствие | 1,0 - 2,5 |
2 | Значительное бедствие | 2,5 - 4,5 |
3 | Большое бедствие | 4,5 - 6,0 |
4 | Жестокое бедствие | 6,0 - 7,0 |
5 | Катастрофа | >= 7 |
Б. По индексу социальной уязвимости пострадавшей территории бедствия оцениваются в диапазоне от чисто социальных до чисто экономических. Если индекс социальной уязвимости пострадавшей территории

, бедствие называется полностью социальным, а если
p = 0, бедствие называется чисто экономическим.
11.3.4 Рекомендуемым критерием допустимости бедствия является Md <= 4,5 при индексе экономической уязвимости пострадавшей территории к бедствию w < 30%. Непревышение указанных значений Md и w называется индикатором безопасности 1.
В качестве социального критерия допустимости бедствия устанавливаются допустимые пределы относительной социальной уязвимости любого бедствия, что регулируется непревышением индексом p нижеследующих значений:
- p <= 0,25 приемлемы для всех пострадавших территорий;
- p <= 0,5 допустимы для пострадавших территорий в развитых странах;
- p <= 0,75 допустимы для пострадавших территорий в развивающихся странах;
- p <= 1 допустимы для пострадавших территорий в слабо развитых странах;
- p > 1 абсолютно недопустимы.
11.4 Самым разрушительным бедственным событием и соответственно наихудшей, наиболее сложной для проектировщиков расчетной ситуацией является случай "близкого" цунами, когда в начале на ЦОТ происходит повреждающее или разрушительное землетрясение, а затем на эту ЦОТ обрушивается вызванной этим землетрясением волна цунами. Ниже мы приведем описание землетрясения и цунами "Тохоку", произошедших 11 марта 2011 г. в Японии, считая эту информацию весьма полезной для понимания вероятных последствий такого страшного комбинированного стихийного воздействия. В
пункте 11.5 приведен пример оценки этого стихийного бедствия с помощью шкалы DIMAK.
Жертвы, пострадавшие. По состоянию на 10 сентября 2018 г. официальное число погибших в результате землетрясения и цунами в 12 префектурах Японии составляло 15896 человек, 2536 человек числилось пропавшими без вести в 6 префектурах, 6157 человек ранены в 20 префектурах. Тысячи спасшихся находились в местах, отрезанных от связи с миром. Спасены были более 25 000 человек; 70-летняя женщина была извлечена живой из дома в Оцути (префектура Иватэ) через 92 часа после землетрясения. Примерно 530 000 человек находились в более чем 2600 временных укрытиях.
По сообщению местных властей, в городе Минамисанрику пропавшими без вести числилось 9500 человек. Только в Сендае по меньшей мере 200 - 300 человек утонули в результате цунами. При этом на территории страны работает развитая сеть оповещения о чрезвычайных ситуациях, для передачи информации в которой используются всевозможные виды носителей: от звуковых сирен на территории городов, деревень, железнодорожных станций до автоматизированного оповещения по каналам мобильной, теле- и радиосвязи, т.е. имеется весьма совершенная система блока WADE.
Корабль с 81 докером был смыт с судостроительной стоянки в префектуре Мияги, когда цунами ударило по северо-восточному побережью Японии, однако все они были спасены с унесенного в море корабля, поиском которого занимались ВМС Японии и береговая охрана, и перевезены по воздуху в безопасное место. Пропал пассажирский поезд, а другой сошел с рельсов в префектуре Мияги.
Потери имущества граждан Японии. В префектуре Фукусима разрушена дамба и 1800 домов в городе Инамисома.
Затопление. Наиболее пострадавшие города:
Рикудзентаката - был смыт практически весь город в префектуре Иватэ, около 5000 домов ушли под воду. Минамисанрику - пропали без вести 9,5 тысяч человек. Сендай - вода затопила территорию на расстоянии 10 км от морского побережья, пропавшими без вести числятся около 650 человек. Ямада - около 7200 домов ушли под воду.
Пожары.

Отмечены пожары в 6 различных префектурах.

В городе Итихара префектуры Тиба загорелись хранилища с природным газом на нефтеперерабатывающем заводе.

В городе Сендай на нефтехимическом комплексе произошел большой взрыв.
Аварии на японских АЭС. В результате землетрясения 11 энергоблоков из 53 существующих в Японии были автоматически остановлены.

АЭС Фукусима-1: три из шести энергоблоков были сразу остановлены, другие три не работали. Три работавших реактора оказались в аварийном состоянии из-за отказа системы охлаждения, пострадавшей от стихийного бедствия. Реакторы были в разной степени повреждены, они стали источником сильных радиоактивных выбросов. Один неработавший энергоблок был поврежден пожаром. На самой АЭС произошло сильное радиоактивное загрязнение. Возникли проблемы с хранилищами отработанного топлива. Население окрестностей было эвакуировано. Несколько работников станции получили ранения разной степени тяжести и повышенные дозы облучения. Двое пропали без вести.

АЭС Фукусима-2: все 4 энергоблока были остановлены, контроль над реакторами удалось сохранить, несмотря на серьезные проблемы с системами охлаждения. По состоянию на 16 марта 2011 г. станция остановлена полностью и без повреждений реакторов, население окрестностей эвакуировано. Радиоактивный фон повышен. Один работник станции погиб.

АЭС Онагава: все три энергоблока были остановлены 13 марта, через 2 дня после основного землетрясения, произошел пожар на первом энергоблоке, разрушена одна из турбин. Радиоактивный фон вокруг станции был повышенным, но, по большей части, из-за станции Фукусима-1.

АЭС Токай: единственный энергоблок был остановлен, ситуация под контролем. У одного из двух насосов системы охлаждения были неполадки, которые вызывали тревогу за успех аварийных работ.
Транспорт и инфраструктура.

Коммуникации:
- нарушена мобильная связь;
- погнулся шпиль токийской телебашни (первоначально сообщалось об обрушении);
- японские телеканалы NHK и TV Tokyo прекратили вещание обычных программ с целью освещения сложившейся ситуации.

Автотрассы:
- на побережье в префектуре Мияги обрушились волны цунами высотой в 10 метров, а на портовый город Камаиси в префектуре Иватэ - высотой 4 метра, которые смывали автомобили и врезались в здания;
- разрушено много секций автострады региона Тохоку, обслуживающей север Японии;
- прорыв дамбы в префектуре Фукусима.

Авиация:
- прекратили работу аэропорты Нарита и Ханеда, авиаполеты остановлены, пассажиры эвакуированы. Аэропорт в Ибараки закрылся до 14 марта;
- тайваньская авиакомпания EVA Airways отменила авиарейсы в/из Саппоро и Токио на весь март, в/из Сендай до конца июня;
- Lufthansa прекратила регулярные полеты в/из международного токийского аэропорта Нарита, переправив их в аэропорты городов Осака и Нагоя;
- Сендайский аэропорт, расположенный на равнине у побережья, практически смыло волной цунами.

Коммунальные услуги:
- более миллиона домов оказались отключенными от водоснабжения.

Электроснабжение:
- Tokyo Electric с 14 марта начала плановые отключения электричества, по меньшей мере, до конца апреля в зонах обслуживания в целях предотвращения массового нарушения электроснабжения.

Железнодорожный транспорт:
- уже во время землетрясения автоматические системы остановили движение поездов на высокоскоростной магистрали Токайдо-синкансэн. Движение на ней было восстановлено лишь в 6:26 по местному времени. Также в Токио остановлено движение поездов;
- было остановлено движение обычных поездов по всей сети East Japan Railway Company, а в регионе Канто остановлена работа метрополитена (до 8:40) и частных железных дорог;
- на весь день 11 марта была остановлена работа Токийского метрополитена;
- поезд, следовавший из Сендая в Исиномаки, за несколько минут до цунами должен был прибыть на станцию Нобиру, но так и не прибыл.

Закрылись все морские порты в Японии.
Экономический ущерб. Ущерб от землетрясения в Японии 2011 г. оценивается в 16 - 25 трлн иен (198 - 309 млрд долл.). Об этом сообщает японское агентство Kyodo News со ссылкой на подсчеты местного правительства.
11.5 Оценка стихийного бедствия "Тохоку" 11 марта 2011 г. по основным параметрам шкалы DIMAK.
При оценке бедствия "Тохоку" принимаются только прямые социальные потери (безвозвратные и санитарные), а также преимущественно прямые материальные ущербы без учета вторичных и косвенных денежных потерь, связанных с уменьшением товарооборота, остановкой промышленного производства, падением ВВП, потерей рабочих мест и т.п. Учтены затраты на восстановление объектов энергетики и промышленности, а также жилого фонда. Исходные данные для удобства приняты с округлением.
Исходные данные:
- количество безвозвратных потерь K = 20000 человек (с учетом пропавших без вести, как погибших);
- число санитарных потерь I = 3300 человек;
- размер материального ущерба S = 200 млрд долл. США.
Оперируя правилами шкалы DIMAK, имеем:

(11.1)
Ds = K + 0,03I = 20000 + 0,03·3300 = 20100
De = 3S = 600 млрд долл. США
Выводы: величина бедствия "Тохоку" по
таблице 11.1 является катастрофой, а индекс социальной уязвимости населения является допустимым только для развивающихся стран и абсолютно не допустим для такой развитой страны, как Япония. Основная причина катастрофы - неэффективная работа блока
WADE в целом.
ПРИМЕРЫ ФИЗИЧЕСКОГО МОДЕЛИРОВАНИЯ ВОЛН ЦУНАМИ
РАЗЛИЧНЫМИ МЕТОДАМИ
А.1 Моделирование цунами методом "скользящего блока"
Данный метод
(рисунок А.1) является одним из самых распространенных способов моделирования волн цунами. Он заключается в том, что твердотельный блок скользит по наклонной поверхности в воду и после столкновения образуется одиночная волна. Размер, материал и форма блоков могут быть подобраны индивидуально к конкретному испытанию. Кроме того, вместо твердотельного блока может быть использован грунт
(рисунок А.2).
Рисунок А.1 - Моделирование цунами методом скользящего блока
Рисунок А.2 - Использование грунта для создания
одиночной волны в исследовательской лаборатории
Орегонского государственного университета
А.1.1 Моделирование цунами методом "скользящего блока" в волновом лотке
В качестве примера моделирования цунами методом скользящего блока можно привести эксперименты в волновом лотке гидродинамической лаборатории факультета промышленного и гражданского строительства в Имперском колледже Лондона. Целью работы была количественная оценка расхождений результатов исследований при использовании наклонных рамп и блоков с различными геометрическими параметрами. Этими параметрами являются:
- коэффициент блокировки, отношение ширины рампы к ширине лотка;
- угол наклона плоскости скольжения блока;
- тип сопряжения наклонной плоскости с поверхностью воды (наклонная плоскость может быть сопряжена с поверхностью воды по радиусу).
В качестве лабораторной установки для проведения опытов использовался лоток длиной 24,5 м, шириной 0,6 м и глубиной 1 м. С одной стороны лотка была смонтирована рампа с покрытием ПВХ наклонной плоскости скольжения. Блоки, выполненные также из ПВХ, монтируются в исходном положении на вершине рампы при помощи системы шкивов. Для сопряжения поверхности скольжения и поверхности воды радиусом 0,4 м был использован алюминиевый лист.
Всего было проведено 144 испытания с блоками различной массы и толщины. Проанализированы параметры амплитуды, высоты и периода волны. Также было проанализировано влияние трех основных геометрических параметров. Выяснилось, что влияние отношения ширины рампы к ширине лотка очень мало, при изменении угла наклона амплитуда волны может меняться примерно на 50,6%, а высота волны на 55,0%, период волны практически не изменялся. При варьировании сопряжением наклонной поверхности с водой амплитуда волн изменялась на 57,6%, высота на 39,0%, период волны на 26,0%. По результатам исследований были составлены эмпирические уравнения для прогнозирования параметров волны.
А.1.2 Моделирование цунами методом "скользящего блока" в волновом бассейне
При моделировании цунами в Орегонском государственном университете в качестве тела, генерирующего волну цунами, был использован грунт. Конструкция наклонной рампы была смонтирована в бассейне длиной 48,8 м, шириной 26,5 м и с глубинами, варьирующимися в диапазоне от 0,3 до 1,2 м. Угол наклона поверхности скольжения рампы, выполненной из листа нержавеющей стали, составил 27,1°. Длина поверхности скольжения 9,3 м. В качестве грунта была использована речная галька с размерами частиц от 6,35 мм до 19,05 мм,
d50 = 17,7 мм и плотностью

. Объемная плотность грунта составляла

, пористость -
n = 0,31, эффективный угол внутреннего трения -

. Было проведено 64 опыта в 2006 г. и 24 опыта в 2010 г., по результатам исследований был собран большой объем данных, которой позволил проанализировать скорость и форму распространения волн после контакта грунта с водой.
А.2 Моделирование цунами методом генерации волн с помощью специальных лопаток или щитов
Волна создается при помощи возвратно-поступательных движений специальных лопаток, смонтированных на дне лотка или с помощью щита во все сечение в торце лотка
(рисунок А.3). Характеристики волны (высота и период волны) лимитированы глубиной лотка и ходом щита. Например, в Дельфтском университете, Нидерланды был создан лоток длиной 300 метров, высотой 9,5 метров и шириной 5 метров. Размеры и оборудование позволяют генерировать волны высотой до 4,5 м.
Рисунок А.3 - Генерация волн цунами с помощью щита (
а)
или лопаток (б)
Основной недостаток данного метода заключается в несоответствии характеристик волн, (форма и длина волны), полученных в лабораторных условиях реальным волнам цунами, поэтому результаты экспериментов не могут быть вполне достоверными и точными.
А.3 Моделирование цунами с помощью пневматического генератора
Впервые данный метод генерации волн был применен в исследовательском центре Валлингфорд, Великобритания, в 2008 г. Были использованы пневматические волнопродукторы, которые моделировали приливы в устьях рек. Как оказалось, пневмонасосы идеально подходят для генерации волн экстремально большой длины. Изначально в 2009 г. был проведен опыт, в котором масса воды сначала закачивалась в вертикально стоящий бак вакуумным насосом, а затем под действием собственного веса обрушивалась обратно. При этом профиль и длину волны невозможно было регулировать каким-либо образом.
Через год установка была доработана, и стало возможным генерировать волны заданной длины и различных форм, то есть волны цунами, начинающихся как с понижения уровня воды, так и с повышения. Пневматический цунамигенератор показан на
рисунке А.4. С одной стороны волнового лотка устанавливается бак, открытой частью к поверхности воды. Воздух из бака выкачивается насосом, и уровень воды в баке постепенно повышается. После заполнения бака, вода освобождается и генерирует волну. Воздушный клапан наверху бака с помощью компьютера позволяет задавать желаемую форму генерируемой волны.
Рисунок А.4 - Генерация волн цунами с помощью
пневматического цунамигенератора в лаборатории
HR Wallingford, этапы 1 - 4
Стартовая конфигурация установки: при включенном насосе клапан N 1 слегка приоткрыт, клапан N 2 полностью открыт (
рисунок А.4, а).
Уровень воды постепенно повышается и становится выше уровня воды в лотке. Затем клапан N 2 перекрывается, уровень воды в баке продолжает повышаться, а поверхность воды рядом с баком начинает понижаться относительно уровня воды (образуется характерное понижение уровня воды перед первой волной цунами) (
рисунок А.4, б).
После этого клапан N 2 открывается и формируется гребень волны. Все это время насос остается включенным, а клапан N 1 слегка приоткрытым (
рисунок А.4, в).
В конце концов клапан N 2 возвращается в начальное положение, и цикл завершается (
рисунок А.4, г). Далее последовательно генерируются вторая и последующие волны серии.
Пневматический цунамигенератор позволяет без искажений проводить опыты в масштабах от 1:50 до 1:150.
А.4 Пример отечественных технических возможностей моделирования волн цунами
На кафедре гидравлики и гидротехнических сооружений НИУ МГСУ выполняются работы по моделированию волн цунами и исследованию воздействий волн цунами на побережье и прибрежные сооружения
[44].
Для проведения опытов можно, в частности, использовать гидравлический лоток с переменным уклоном (рисунок А.5).
Рисунок А.5 - Гидравлический лоток с переменным уклоном
Лоток оснащен средствами измерений:
- пьезометрический щит;
- цифровые датчики уровня;
- трубки Пито-Прандтля с цифровыми дисплеями;
- микровертушки для измерения скоростей и температуры воды с цифровыми дисплеями;
- высокоточные датчики давления с компьютер-совместимым прибором одновременного сбора данных с 16 датчиков с программным обеспечением.
Технические характеристики: габариты лотка - длина рабочей части 12,5 м, ширина лотка 300 мм, глубина лотка 450 мм; максимальный расход 32 л/с; мощность насоса 5,5 кВт, максимальный напор насоса 10 м максимальный расход насоса: 150 м3/ч; механизм установки уклона лотка - ход червячного механизма 0,25 мм за один оборот; диаметр электромагнитного расходомера 100 мм, диапазон измерений электромагнитного расходомера 0 - 150 м3/ч, класс точности 0,3; частота генератора волн до 110 Гц, мощность генератора волн 0,55 кВт.
В качестве генератора волн цунами планируется использовать пневматический волногенератор по конструкции аналогичный установке в лаборатории HR Wallingford. Эскиз лабораторной установки показан на
рисунке А.6.
Рисунок А.6 - Эскиз лабораторной установки для генерации
волн цунами в гидравлическом лотке с переменным уклоном
Конструкция установки состоит из съемного каркаса из нержавеющей стали, подвесного бака с системой клапанов и вакуумного насоса. Эта конструкция позволяет моделировать заплески волн цунами и измерять воздействие заплесков на береговые сооружения. Описываемый гидравлический лоток планируется использовать для моделирования исторического цунами в прикаспийском Дербенте.
СПИСОК ИСПОЛЬЗОВАННЫХ ИСТОЧНИКОВ
1. Wei Y., Chamberlin C., Titov V., Tang L. and Bernard E.N. Modeling of the 2011 Japan tsunami - Lessons for nearfield forecast.//Pure Appl. Geophys. 2013. V. 170 (6-8). P. 1309 - 1331.
2. Suppasri A., Shuto N., Imamura F., Koshimura S., Mas E., Yalciner A.C. Lessons learned from the 2011 Great East Japan tsunami: performance of tsunami countermeasures, coastal buildings, and tsunami evacuation in Japan.//Pure and Applied Geophysics. 2013. V. 170 (6-8). P. 993 - 1018.
3. Shuto N. Numerical Simulation of Tsunamis - Its present and near future.//Natural Hazards. 1991. V. 4. P. 171 - 191.
4. Ле Блон П., Майсек Л. Волны в океане. - М.: Мир, 1981. Ч. 1. 480 с.; 1982. Ч. 2. 365 с.
5. Пелиновский Е.Н. Гидродинамика волн цунами. Н. Новгород: Институт прикладной физики РАН, 1996. 276 с.
6. Сретенский Л.Н. Теория волновых движений жидкости. Изд. 2, перераб. и доп. М.: Наука, 1977. 816 с.
7. Choi J.W., Kwon, K.K., Yoon, S.B. Tsunami inundation simulation of a built-up area using equivalent resistance coefficient.//Coastal Engineering Journal. 2012. V. 54, No. 2. P. 1250015.
8. Вольцингер Н.Е., Клеваный К.А., Пелиновский Е.Н. Длинноволновая динамика прибрежной зоны//Л.: Гидрометеоиздат, 1989. - 272 с.
9. Иванова А.А., Куликов Е.А., Файн И.В. О моделировании Симуширских цунами 2006 и 2007 гг. в районе средних Курил.//Фундаментальная и прикладная гидрофизика. 2017. Т. 10. N 3. С. 56 - 64.
10. Программный комплекс NAMIDANCEMANUAL//[Электронный ресурс]. - Режим доступа: [http://skbsami.tr/namidance; http://lmnad. nntu.ru/ru/projects/namidance/].
11. Кочин Н.Е., Кибель И.А., Розе Н.В. Теоретическая гидромеханика. М., 1963. Ч. 1. 6-е изд. Ч. 2. 4-е изд.
12. Ozer, C. and Yalciner, A.C. Sensitivity Study of Hydrodynamic Parameters during Numerical Simulations of Tsunami Inundation.//Pure and Applied Geophysics. 2011. V. 168. No. 11. P 2083 - 2095.
13. Левин Б.В., Носов М.А. Физика волн цунами и родственных явлений. Москва: Янус, 2005. 360 с.
14. Keshtpoor M., Puleo J.A., Gebert J., Plant N.G. Numerical simulation of nearshore hydrodynamics and sediment transport downdrift of a tidal inlet.//J. Waterw. Port Coast. Ocean Eng. 2014. V. 141. 0414035.
15. Крылов Ю.М., Стрекалов С.С., Цыплухин В.Ф. Ветровые волны и их воздействие на сооружения. Ленинград: Гидрометеоиздат, 1976.
16. Кантаржи И.Г. Воздействия на водную среду при строительстве морских портов и сооружений на шельфе.//Фундаментальная и прикладная гидрофизика. 2010. N 4(10). С. 17 - 28.
17. Kian R., Pamuk A., Yalciner A.C., Zaytsev A. Effects of tsunami parameters on the sedimentation.//In Proceedings of the Coastal Sediments Conference (CS15), San Diego, CA, USA, 13 - 15 May 2015. V. 8. P. 67 - 74.
18. Sawaragi T. and Kubo M. The motion of a moored ship in a harbour basin. In 5. Van der Molen W.;

Santander P.; Van Dongeren A.R. Modeling of Infragravity Waves and Moored Ship Motions in Tomakomai Port.//In Proceedings of the Harbor LongWave Conference, Yokosuka, Japan, July 2004.
19. Bellotti G., Franco L. Measurement of long waves at the harbor of Marina di Carrara, Italy. Ocean Dyn. 2011. V 61. P. 2051 - 2059.
20. Wilson, B., 1972: Seiches, Advances in Hydrosciences, 8, 1 - 94.
21. Rabinovich A. Seiches and Harbour Oscillations//Handbook of Coastal and Ocean Engineering World Scientific, 2008.
22. Kioka W.R. Long period oscillations in a harbour caused by typhoon. In Coastal Engineering.//American Society of Civil Engineers: New York, NY, USA. 1996. P. 1491 - 1502.
23. Jeong W.M., Chae J.W., Park W.S., Jung K.T. Field measurements and numerical modelling of harbour oscillations during storm waves. In Coastal Engineering.//American Society of Civil Engineers: New York, NY, USA, 1996. P. 1268 - 1279.
24. Yeh H., Li W. Tsunami scour and sedimentation. In Proceedings of the 4nd International Conference on Scour and Erosion,//American Geophysical Union, San Francisco, CA, USA, December 2008. P. 95 - 106.
25. Шарова В.В., Кантаржи И.Г. Влияние крупности донного материала на местный размыв от косоподходящих волн у стенки//Вестник МГСУ. 2016. N 9. С. 108 - 118.
26. Анцыферов С.М., Косьян Р.Д. Взвешенные наносы в верхней части шельфа.//Москва: Наука, 1986.
27. Энциклопедическая статья https://en.wikipedia.org/wiki/ Rouse_number.
28. Kakinuma T., Toyofuku T., Inoue T. Numerical Analysis of Harbor Oscillation in Harbors of Various Shapes. Available online: https://icce-ojstamu.tdl.org/icce/index.php/icce/article/view/6840/pdf (accessed on 1 September 2016).
29. Кантаржи И.Г., Кузнецов К.И. Натурные измерения волнения при определении нагрузок на морские гидротехнические сооружения.//Инженерно-строительный журнал. 2014. N 4. С. 49 - 62.
30. Кантаржи И.Г., Акулинин А.Н. Физическое моделирование воздействия волн цунами на береговые сооружения.//Фундаментальная и прикладная гидрофизика. 2017. Т. 10. N 3. С. 78 - 90.
31. Heller V., Spinneken J. Improved landslide-tsunami prediction: Effects of block model parameters and slide model.//J. Geophys. Res. 2013. 118. P. 1487 - 1507.
32. Mohammed F., Frits H.M. Physical modeling of tsunamis generated by three-dimensional deformable granular landslides.//J. Geophys. Res. 2012. 117. C11015. doi: 10.1029/2011JC007850.
33. Allsop W., Chandler I., Zaccaria M. Improvements in the physical modeling of tsunamis and their effects.//Proc. 5th Int. Conf. Coastlab14, 29 September - 2 October 2014. Varna. Bulgaria. P. 3 - 22.
34. Кульмач П.П. Сейсмостойкость портовых гидротехнических сооружений/М.: Транспорт, 1970.
35. Кульмач П.П., Филиппенок В.З. Воздействие цунами на морские гидротехнические сооружения/М.: Транспорт, 1984.
36. Klyachko M. (1995) "The development of GIS, EQ-DISC and DIMAK as the best tools for seismic risk analysis on the urban areas" Proceedings of 5th International Conference on Seismic Zonation, Nice, France, Volume 1, 158 - 166.
37. Klyachko M., Kouznetsova-Izrakhmetova I. Estimation and abatement of the urban seismic risk//Proceedings of 11WCEE, Acapulco, Mexico, 23 - 28 June 1996.
38. Klyachko M. An Integrated Apparatus for Seismic Risk Control//Proceedings of 6th International Conference on Seismic Zonation, Palm Spring, CA, 2000.
39. Klyachko M. (2004) "Guidelines on Urban Disaster Scenarios Development and their Application for Risk Control", Proceedings of 13WCEE, Vancouver, Canada, 1 - 6 August.
40. Nudner I, Klyachko V.M., Maximov V., Filkov V. About Regional Standard "Buildings, Structures, and Safety Requirements Under Tsunami Impact"//Proceedings of 15th World Conference on Earthquake Engineering 2012. Lisbon, Portugal 24 - 28 September 2012. Vol. 11. - Pp. 8590 - 8598.
41. Клячко М.А. Глобальная модель и методика анализа и управления бедственным риском на практике//Материалы Международной научно-практической конференции "Геориск-2015", М., РУДН, 2015.
42. Klyachko M. Urban seismic risk analysis and management: State-of-the art and state-of-the practice//Second European Conference on Earthquake Engineering and seismology, Istanbul Aus. 25 - 29, 2014.
43. Клячко М.А. Основные положения и практика использования шкалы бедствий//Сб. "Специальное и подземное строительство", ЦНИИпромзданий М., стр. 56 - 64, 1994.
44. Кантаржи И.Г., Мордвинцев К.П. Численное и физическое моделирование в МГСУ морских портовых гидротехнических сооружений.//Ежеквартальный научный журнал "Наука и Безопасность". 2015. N 2(15). С. 2 - 15.
УДК 551.466:006.354 | |
Ключевые слова: цунами, параметры опасности цунами, накат и откат волны цунами на берег, цунамиопасные территории, численное и физическое моделирование, цунамимикрорайонирование, зона затопления, прибрежные и береговые сооружения, обтекаемые и проницаемые сооружения, оценка воздействия и нагрузок, цунамизащитные сооружения и конструктивные мероприятия, цунамибезопасность урбанизированных территорий, сценарии бедствий, цунами-риск, устойчивое безопасное развитие |