Главная // Актуальные документы // Методические указанияСПРАВКА
Источник публикации
М.: Издательство стандартов, 1984
Примечание к документу
Документ
введен в действие с 01.07.1984.
Взамен МУ 157.
Название документа
"РД 50-416-83. Руководящий нормативный документ. Методические указания. Вискозиметры стеклянные капиллярные образцовые. Методы и средства поверки"
(утв. и введены в действие Постановлением Госстандарта СССР от 20.07.1983 N 3363)
"РД 50-416-83. Руководящий нормативный документ. Методические указания. Вискозиметры стеклянные капиллярные образцовые. Методы и средства поверки"
(утв. и введены в действие Постановлением Госстандарта СССР от 20.07.1983 N 3363)
Утверждены и введены в действие
Постановлением Государственного
комитета СССР по стандартам
от 20 июля 1983 г. N 3363
РУКОВОДЯЩИЙ НОРМАТИВНЫЙ ДОКУМЕНТ
МЕТОДИЧЕСКИЕ УКАЗАНИЯ
ВИСКОЗИМЕТРЫ СТЕКЛЯННЫЕ КАПИЛЛЯРНЫЕ ОБРАЗЦОВЫЕ
МЕТОДЫ И СРЕДСТВА ПОВЕРКИ
РД 50-416-83
Взамен МУ 157
Утверждены Постановлением Госстандарта от 20.07.1983 г. N 3363, срок введения установлен с 01.07.1984 г.
РАЗРАБОТАНЫ Государственным комитетом СССР по стандартам
ИСПОЛНИТЕЛЬ
Г.Ф. Афанасьева
ВНЕСЕНЫ Государственным комитетом СССР по стандартам
Член Госстандарта Л.К. Исаев
УТВЕРЖДЕНЫ И ВВЕДЕНЫ В ДЕЙСТВИЕ Постановлением Государственного комитета СССР по стандартам от 20.07.83 г. N 3363
Настоящие методические указания распространяются на образцовые капиллярные стеклянные вискозиметры (далее - образцовые вискозиметры) и устанавливают методы и средства их периодической поверки.
Экспериментальное определение метрологических характеристик при метрологической аттестации образцовых вискозиметров следует проводить по методике настоящих методических указаний.
Основные требования к образцовым вискозиметрам приведены в обязательном
приложении 1.
1.1. При проведении поверки должны выполняться следующие операции: внешний осмотр
(п. 6.1); определение метрологических характеристик
(п. 6.2).
2.1. При проведении поверки должны применяться следующие средства поверки:
рабочий эталон единицы кинематической вязкости жидкости в соответствии с ГОСТ 8.025-75;
градуировочные жидкости, приготавливаемые как указано в обязательном
приложении 2;
бюретка исполнения 1 или 2 вместимостью 10 см
3 с ценой деления 0,05 см
3 по
ГОСТ 20292-74;
измерительная металлическая линейка с ценой деления 1 мм, верхним пределом измерения 500 мм по
ГОСТ 427-75;
капиллярные стеклянные вискозиметры типов ВПЖ-1, ВПЖ-2 или ВПЖ-4 по
ГОСТ 10028-81;
вспомогательные средства поверки, указанные в ГОСТ 8.265-77;
| | ИС МЕГАНОРМ: примечание. Взамен ГОСТ 3900-47 Постановлением Госстандарта СССР от 20.12.1985 N 4544 с 01.01.1987 введен в действие ГОСТ 3900-85. | |
аппаратура, материалы и реактивы, необходимые для измерения плотности жидкости по ГОСТ 3900-47 или по
ГОСТ 18995.1-73;
жидкости для промывки вискозиметров и других стеклянных средств поверки, указанные в ГОСТ 8.265-77.
3.1. При проведении поверки должны соблюдаться следующие условия:
температура воздуха в помещении, в котором проводят поверку, (20 +/- 2) °C;
температура градуировочной жидкости 20 °C;
нестабильность температуры градуировочной жидкости не должна превышать (без учета знака) 0,01 °C.
Примечания:
1. Допускается осуществлять поверку образцовых вискозиметров при температуре (20 - 30) °C.
2. Кинематическая вязкость и плотность градуировочных жидкостей определяются при температуре поверки образцовых вискозиметров.
4. ТРЕБОВАНИЯ БЕЗОПАСНОСТИ
4.1. Требования безопасности в соответствии с ГОСТ 8.265-77.
5.1. Перед проведением поверки должны быть выполнены следующие подготовительные работы:
промывка и сушка вискозиметров и стеклянного вспомогательного оборудования в соответствии с ГОСТ 8.265-77;
| | ИС МЕГАНОРМ: примечание. Взамен ГОСТ 3900-47 Постановлением Госстандарта СССР от 20.12.1985 N 4544 с 01.01.1987 введен в действие ГОСТ 3900-85. | |
определение плотности градуировочных жидкостей по ГОСТ 3900-47 или
ГОСТ 18995.1-73.
При проведении внешнего осмотра должно быть установлено соответствие образцовых вискозиметров требованиям
пп. 1,
4,
5,
8 -
10,
12 обязательного приложения 1.
При внешнем осмотре образцовых вискозиметров должно быть установлено наличие свидетельства о предыдущей поверке (свидетельства о метрологической аттестации), товарного знака завода-изготовителя, порядкового номера образцового вискозиметра по системе нумерации завода-изготовителя, диаметра капилляра.
Вискозиметры, не соответствующие требованиям п. 6.1, не допускаются к поверке.
6.2. Определение метрологических характеристик
6.2.1. Определение постоянной B образцового вискозиметра
Постоянную B образцового вискозиметра определяют для вискозиметров с диаметрами капилляров от 0,33 до 0,97 мм при метрологической аттестации.
Для определения постоянной B образцового вискозиметра измеряют длину капилляра и вместимость измерительного резервуара.
Вместимость измерительного резервуара образцового вискозиметра измеряют при помощи бюретки следующим образом.
Бюретку и образцовый вискозиметр в перевернутом состоянии закрепляют в штативе за широкую трубку. Бюретку заполняют дистиллированной водой и соединяют резиновой трубкой с измерительным резервуаром образцового вискозиметра.
Доводят уровень воды до первой метки, ограничивающей измерительный резервуар вискозиметра, плавно открывая кран бюретки. Кран закрывают и снимают показание по шкале бюретки. Отсчет производят по нижнему краю мениска.
Снова открывают кран и доводят уровень воды до второй метки, кран закрывают и снимают второе показание. Значение вместимости измерительного резервуара вычисляют как разность между двумя показаниями, измерения повторяют.
За действительное значение вместимости измерительного резервуара образцового вискозиметра принимают среднее арифметическое результата измерений. Если действительное значение вместимости отличается от измеренного значения более, чем на одно деление шкалы бюретки, измерения повторяют.
Длину капилляра от начала его до места впая в резервуар висячего уровня измеряют металлической линейкой дважды.
За действительное значение длины капилляра принимают среднее арифметическое результата измерений. Если действительное значение длины капилляра отличается от измеренного значения более, чем на одно деление шкалы линейки, измерения повторяют.
6.2.2. Определение постоянной K образцового вискозиметра
Постоянную K образцового вискозиметра находят методом косвенных измерений. Вязкость градуировочной жидкости определяют вискозиметрами, входящими в состав рабочего эталона (далее - эталонные вискозиметры).
По градуировочным жидкостям с известной вязкостью находят постоянную K образцового вискозиметра.
Операции по определению вязкости градуировочной жидкости и постоянной K образцового вискозиметра осуществляют одновременно в одной термостатной ванне, входящей в состав рабочего эталона.
Для образцового вискозиметра выбирают градуировочную жидкость по
таблице обязательного приложения 1.
Эталонные вискозиметры выбирают со значениями постоянных, близкими к значению постоянной образцового вискозиметра.
Время истечения градуировочной жидкости в эталонных и образцовых вискозиметрах должно быть 200 - 2000 с.
Постоянную K каждого вискозиметра определяют не менее, чем по двум градуировочным жидкостям.
Градуировочные жидкости выбирают так, чтобы их вязкости отличались не менее, чем в 1,5 раза. Ориентировочный состав градуировочных жидкостей приведен в справочном
приложении 3.
Вискозиметры заполняют через широкую трубку так, чтобы уровень градуировочной жидкости находился между метками на расширенной части широкого колена. Одевают на концы двух других трубок хлорвиниловые (или другие эластичные пластмассовые) трубки, отводную трубку снабжают двухходовым краном.
Вискозиметры промывают и сушат перед каждым заполнением градуировочной жидкостью.
Три (или два) эталонных и до шести поверяемых образцовых вискозиметров (с близкими значениями постоянных), заполненных одной градуировочной жидкостью, устанавливают в термостат так, чтобы капилляр был строго вертикальным (см.
рисунок). Вертикальность проверяют по отвесу в двух взаимно перпендикулярных плоскостях.
Уровень воды в термостате должен быть выше вспомогательного резервуара вискозиметра на 15 - 20 мм.
Температуру воды в термостате измеряют термометром, установленным так, чтобы отметка на его шкале, соответствующая температуре измерения, находилась в воде или выступала над ее поверхностью не более, чем на 10 мм.
Вискозиметры с градуировочной жидкостью выдерживают при температуре измерения 20 - 30 мин.
Закрыв кран на трубке вискозиметра, другую трубку соединяют с водоструйным насосом (или другим вакуумным приспособлением) и поднимают градуировочную жидкость выше верхней метки. Отсоединяют водоструйный насос и открывают кран на трубке вискозиметра, при этом должен образоваться висячий уровень.
Измеряют время истечения жидкости между метками на измерительном резервуаре вискозиметра с точностью 0,01 с. Отсчет производят по нижнему краю мениска.
При измерениях следят, чтобы не было пузырьков, разрывов и пленок. При их появлении измерения повторяют.
Для образования висячего уровня в вискозиметре, заполненном градуировочной жидкостью с вязкостью более 5000 мм2/с, сначала открывают кран на отводной трубке, а затем отсоединяют водоструйный насос.
Число измерений времени истечения жидкости должно быть не менее 10 на каждом вискозиметре.
За действительное значение времени истечения жидкости принимают среднее арифметическое результатов измерений. Если действительное значение времени истечения отличается более, чем на 0,1% от каждого измеренного значения, измерения повторяют.
Результаты измерений заносят в протокол поверки (метрологической аттестации),
форма которого приведена в обязательном приложении 4.
7. ОБРАБОТКА РЕЗУЛЬТАТОВ ИЗМЕРЕНИЙ
7.1. Постоянную B вычисляют по формуле

, (1)
где B - значение постоянной B, мм2;
m - коэффициент, равный 0,58;
V - вместимость измерительного резервуара, мм3;
L - длина капилляра, мм.
Постоянную B вычисляют до второй значащей цифры.
7.2. Постоянные K вискозиметров с диаметрами капилляров от 0,33 до 0,97 мм вычисляют по формулам

, (2)

, (3)
где K1 и K2 - значения постоянных вискозиметра, найденные по двум градуировочным жидкостям, мм2/с2;
g - ускорение свободного падения в месте определения постоянной, м/с2;

и

- кинематическая вязкость градуировочных жидкостей, вычисляемая по
п. 7.4, мм
2/с;

и

- средние арифметические значения времени истечения градуировочных жидкостей, с.
7.2.1. Постоянные вискозиметров с диаметрами капилляров от 1,33 мм вычисляют по формулам

; (4)

. (5)
7.2.2. Постоянную вискозиметра K вычисляют как среднее арифметическое значение K1 и K2 до пяти значащих цифр.
7.2.3. Ускорение свободного падения в месте измерения вычисляют по формуле

, (6)
где g - ускорение свободного падения, м/с2;

- географическая широта места, градус;
h - высота над уровнем моря, м.
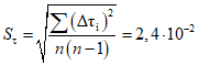
7.2.4. Доверительную погрешность измерения постоянной K образцового вискозиметра вычисляют по формуле

, (7)
где t - коэффициент Стьюдента, равный 2,26;

- относительная погрешность определения постоянной
K, вычисляемая по формуле

, (8)
где

- оценка среднего квадратического отклонения результата измерения вязкости градуировочной жидкости рабочим эталоном;

- оценка среднего квадратического отклонения результата измерений времени истечения градуировочной жидкости.
7.2.5. Среднее квадратическое отклонение результата измерений времени истечения градуировочной жидкости в эталонных и образцовых вискозиметрах не должно превышать 0,05%.
7.2.6. Доверительная погрешность измерения постоянной K образцового вискозиметра не должна превышать 0,2% (по модулю) при доверительной вероятности P = 0,95.
7.3. Пример вычисления постоянных
B и
K образцового вискозиметра приведен в справочном
приложении 5.
7.4. Кинематическую вязкость градуировочной жидкости, определяемую рабочим эталоном, вычисляют по формуле

, (9)
где K - постоянная вискозиметра, приведенная к местному ускорению свободного падения, мм2/с2 (указана в паспорте на рабочий эталон);
B - постоянная, учитывающая поправку на кинетическую энергию, мм2 (указана в паспорте на рабочий эталон);

- время истечения жидкости из измерительного резервуара, с;
e - плотность воздуха, равная 0,0012 г/см3;

- плотность жидкости, г/см
3.
Значение кинематической вязкости вычисляют до пяти значащих цифр.
7.4.1. Среднее квадратическое отклонение результата измерений кинематической вязкости рабочим эталоном должно соответствовать значению, указанному в
ГОСТ 8.025-75.
7.4.2. За действительное значение кинематической вязкости принимают среднее арифметическое результатов измерений. Если действительное значение кинематической вязкости превышает значение, указанное в
п. 7.4.1, измерения повторяют.
Пример вычисления кинематической вязкости градуировочной жидкости приведен в справочном
приложении 6.
8. ОФОРМЛЕНИЕ РЕЗУЛЬТАТОВ ПОВЕРКИ
8.1. На образцовые вискозиметры, признанные годными при поверке в органах Госстандарта, выдают свидетельство о поверке установленной формы. Пример записи оборотной стороны свидетельства приведен в обязательном
приложении 7.
8.2. Образцовые вискозиметры, не удовлетворяющие требованиям настоящих методических указаний, к выпуску и применению не допускают, свидетельство о поверке (метрологической аттестации) аннулируют.
Обязательное
ТРЕБОВАНИЯ К ОБРАЗЦОВЫМ КАПИЛЛЯРНЫМ СТЕКЛЯННЫМ ВИСКОЗИМЕТРАМ
1. Образцовые капиллярные стеклянные вискозиметры - вискозиметры с висячим уровнем.
2. Образцовые вискозиметры должны быть изготовлены из бесцветного химико-лабораторного стекла ХСЗ, ТХС1, ТС по
ГОСТ 21400-75. Допускается слабый цветной оттенок стекла.
3. Образцовые вискозиметры должны быть термически стойкими и выдерживать перепад температур от (70 +/- 2) до (20 +/- 1) °C из стекла ХСЗ, от (120 +/- 2) до (20 +/- 1) °C из стекла ТХС1, от (100 +/- 2) до (20 +/- 1) °C из стекла ТС.
4. На поверхности и в толщине стекла не допускаются:
мошка в сосредоточенном виде;
свиль, резко ощутимая рукой;
воздушные пузыри, продавливаемые острием из материала, одинаковой со стеклом твердости или менее твердого;
воздушные пузыри размером более 2 мм по наибольшему измерению;
воздушные пузыри размером до 2 мм по наибольшему измерению в количестве 2 шт. на вискозиметр.
воздушные капилляры, не продавливаемые острием из материала одинаковой со стеклом твердости или менее твердого, шириной более 0,25 мм для стекла ХСЗ и шириной более 0,5 мм для стекла ТХС1 и ТС в количестве более 2 шт. на вискозиметр;
инородные включения, разрушающие вискозиметр (шлиры, шамотные камни, окалины);
инородные включения, не разрушающие изделия, размером по наибольшему измерению до 0,5 мм в количестве более 2 шт. на вискозиметр.
5. Длина капилляра (300 +/- 5) мм.
6. Наружный диаметр капилляра 7 - 9 мм.
7. Толщина стенок капилляра не менее 1,25 мм.
8. Капилляр должен быть вертикальным, прямым, без заметных на глаз расширений и искривлений.
9. Спай верхнего конца капилляра с трубкой должен обеспечивать плавный переход от трубки к капилляру.
10. Переход нижнего конца капилляра в полусферическую форму висячего уровня должен быть выполнен без воронки.
| | ИС МЕГАНОРМ: примечание. Нумерация пунктов дана в соответствии с официальным текстом документа. | |
1. Угол впая трубки, отходящей сбоку, (30 +/- 1)°.
12. Кольцевые риски должны быть нанесены в плоскости, перпендикулярной оси трубки.
13. Толщина кольцевых рисок не более 0,2 мм.
14. Нижняя риска на расширенной части широкого колена наносится на расстоянии (40 +/- 2) мм от сужающейся части расширения.
15. Расстояние между нижней и верхней метками (10 +/- 1) мм.
16. Трубки вискозиметра параллельны между собой.
17. Основные параметры вискозиметров соответствуют значениям, приведенным в
таблице.
Постоянная вискозиметра, мм 2/с 2 (номинальное значение) | Вместимость измерительного резервуара, см3 | Диаметр капилляра, мм | Диапазон измерений вязкости, мм2/с |
0,0017 | 2 +/- 0,2 | 0,33 +/- 0,02 | 0,4 - 3,4 |
0,005 | 3 +/- 0,2 | 0,48 +/- 0,02 | 1 - 10 |
0,017 | 3 +/- 0,2 | 0,65 +/- 0,03 | 3,4 - 34 |
0,05 | 5 +/- 0,3 | 0,97 +/- 0,03 | 10 - 100 |
0,17 | 5 +/- 0,3 | 1,33 +/- 0,03 | 34 - 340 |
0,5 | 7 +/- 0,3 | 1,88 +/-0,03 | 100 - 1000 |
1,7 | 7 +/- 0,3 | 2,55 +/- 0,05 | 340 - 3400 |
5,0 | 15 +/- 1 | 4,15 +/- 0,05 | 1000 - 10000 |
17,0 | 15 +/- 1 | 5,50 +/- 0,05 | 3400 - 34000 |
18. Постоянные вискозиметров не должны отличаться от номинального значения более, чем на 30%.
19. Отсчет времени истечения жидкости из измерительного резервуара вискозиметра должен производиться по нижнему краю мениска.
Устройство и принцип действия образцовых вискозиметров
1. Образцовые вискозиметры - приборы для измерения кинематической вязкости, работающие по принципу истечения жидкости под действием собственной силы тяжести.
Измерение вязкости образцовыми вискозиметрами основано на определении времени истечения определенного объема жидкости через капилляр.
2. Образцовый вискозиметр представляет собой U-образную стеклянную трубку, в узком колене которой имеются измерительный резервуар сферической формы (далее - измерительный шарик), ограниченный двумя метками, вспомогательный резервуар и капилляр.
Капилляр соединен с расширением, от верхнего конца которого сбоку отходит вертикальная трубка.
Внизу это расширение с помощью изогнутой трубки соединяется с другим расширением, которым заканчивается широкая трубка вискозиметра.
На этом расширении нанесены две метки, указывающие минимум и максимум наполнения вискозиметра исследуемой жидкостью.
Верхнее расширение является резервуаром, в котором образуется висячий уровень.
Жидкость, вытекая из капилляра, не заполняет это расширение, а стекает по его стенкам. На сферической части этого расширения образуется слой жидкости, который носит название висячий уровень.
Для образования висячего уровня служит узкая вертикальная трубка, отходящая от этого расширения.
Обязательное
ПРИГОТОВЛЕНИЕ ГРАДУИРОВОЧНЫХ ЖИДКОСТЕЙ
1. В качестве градуировочных жидкостей применяют:
| | ИС МЕГАНОРМ: примечание. Взамен ГОСТ 10227-62 Постановлением Госстандарта СССР от 21.11.1986 N 3501 с 01.01.1987 введен в действие ГОСТ 10227-86. | |
1.4. Топливо Т-1, ТС-1 по ГОСТ 10227-62;
1.5. Осветительный керосин по
ГОСТ 4753-68;
1.7. Веретенное масло АУ по ГОСТ 1642-75;
| | ИС МЕГАНОРМ: примечание. Взамен ГОСТ 20799-75 Постановлением Госстандарта СССР от 29.09.1988 N 3373 с 01.01.1990 введен в действие ГОСТ 20799-88. | |
1.8. Индустриальное масло по ГОСТ 20799-75;
1.10. Масло для прокатных станов П-28 по ГОСТ 6480-78;
1.11. Электроизоляционное синтетическое масло октол по
ГОСТ 12869-77;
1.12. Смеси жидкостей.
| | ИС МЕГАНОРМ: примечание. Взамен ГОСТ 33-82 Постановлением Госстандарта России от 27.03.2001 N 137-ст с 01.01.2002 введен в действие ГОСТ 33-2000. | |
2. Для приготовления смеси выбирают жидкости с близкими значениями вязкости. Эти жидкости должны иметь паспорта с указанными значениями вязкости. При отсутствии паспорта кинематическую вязкость определяют в соответствии с ГОСТ 33-82.
Для приготовления смесей применяют жидкости, указанные в
пп. 1.5 -
1.11 настоящего приложения.
3. Для вычисления состава градуировочных жидкостей следует пользоваться
таблицей.
В
графе 1 таблицы указана наблюдаемая кинематическая вязкость смесей, состоящих из двух масел с вязкостью от 10 до 2072 мм
2/с при 20 °C, взятых в различных соотношениях от 0 до 100%, указанных в
графе 2 таблицы.
Кинематическая вязкость,  , мм 2/с | |
10 | 0,0 |
11 | 2,0 |
12 | 4,0 |
13 | 6,0 |
14 | 8,4 |
15 | 9,8 |
16 | 11,0 |
17 | 12,5 |
18 | 13,9 |
19 | 15,1 |
20 | 16,3 |
21 | 17,6 |
22 | 18,7 |
23 | 19,8 |
24 | 20,7 |
25 | 21,5 |
26 | 22,5 |
27 | 23,5 |
28 | 24,0 |
29 | 25,0 |
30 | 25,7 |
31 | 26,4 |
32 | 27,0 |
33 | 27,9 |
34 | 28,4 |
35 | 29,3 |
36 | 30,0 |
37 | 30,7 |
38 | 31,2 |
39 | 31,9 |
40 | 32,4 |
41 | 33,0 |
42 | 33,7 |
43 | 34,2 |
44 | 34,8 |
45 | 35,3 |
46 | 35,8 |
47 | 36,4 |
48 | 36,9 |
49 | 37,3 |
50 | 37,6 |
51 | 38,3 |
52 | 38,8 |
53 | 39,3 |
54 | 39,9 |
55 | 40,1 |
56 | 40,4 |
57 | 40,8 |
58 | 41,2 |
59 | 41,7 |
60 | 41,9 |
61 | 42,3 |
62 | 42,6 |
63 | 42,9 |
64 | 43,3 |
65 | 43,6 |
66 | 43,9 |
67 | 44,2 |
68 | 44,5 |
69 | 44,7 |
70 | 45,0 |
71 | 45,3 |
72 | 45,5 |
73 | 45,8 |
74 | 46,1 |
75 | 46,3 |
76 | 46,6 |
77 | 46,8 |
78 | 47,1 |
79 | 47,4 |
80 | 47,6 |
82 | 48,1 |
85 | 48,7 |
87 | 49,1 |
90 | 49,7 |
92 | 50,0 |
95 | 50,5 |
98 | 51,0 |
100 | 51,3 |
102 | 51,5 |
105 | 52,0 |
108 | 52,4 |
110 | 52,7 |
115 | 53,5 |
119 | 54,0 |
124 | 54,4 |
127 | 55,0 |
130 | 55,4 |
135 | 56,0 |
140 | 56,6 |
145 | 57,2 |
150 | 57,7 |
152 | 58,0 |
156 | 58,4 |
160 | 58,9 |
165 | 59,5 |
171 | 60,0 |
175 | 60,4 |
180 | 60,9 |
185 | 61,4 |
190 | 61,9 |
195 | 62,4 |
200 | 62,8 |
205 | 63,3 |
210 | 63,8 |
215 | 64,2 |
220 | 64,7 |
225 | 65,1 |
230 | 65,5 |
235 | 66,0 |
240 | 66,4 |
245 | 66,9 |
250 | 67,2 |
255 | 67,7 |
260 | 68,1 |
265 | 68,4 |
270 | 68,9 |
275 | 69,3 |
280 | 69,6 |
285 | 70,0 |
290 | 70,4 |
296 | 70,7 |
300 | 71,1 |
305 | 71,4 |
310 | 71,7 |
315 | 72,0 |
320 | 72,3 |
325 | 72,6 |
330 | 72,9 |
335 | 73,2 |
340 | 73,5 |
345 | 73,8 |
350 | 74,1 |
355 | 74,4 |
360 | 74,6 |
365 | 74,9 |
370 | 75,1 |
375 | 75,4 |
380 | 75,6 |
385 | 75,8 |
390 | 76,0 |
395 | 76,3 |
400 | 76,5 |
410 | 77,0 |
420 | 77,4 |
430 | 77,8 |
440 | 78,2 |
450 | 78,6 |
460 | 79,0 |
470 | 79,3 |
480 | 79,6 |
490 | 80,0 |
500 | 80,4 |
510 | 80,7 |
520 | 81,0 |
530 | 81,3 |
540 | 81,6 |
550 | 81,9 |
560 | 82,2 |
570 | 82,4 |
580 | 82,7 |
590 | 83,0 |
600 | 83,2 |
610 | 83,5 |
620 | 83,8 |
630 | 84,0 |
640 | 84,3 |
650 | 84,5 |
660 | 84,8 |
670 | 85,0 |
680 | 85,3 |
690 | 85,6 |
700 | 85,8 |
710 | 86,0 |
720 | 86,2 |
730 | 86,5 |
740 | 86,7 |
750 | 86,9 |
760 | 87,2 |
770 | 87,4 |
780 | 87,6 |
790 | 87,8 |
800 | 88,0 |
810 | 88,2 |
820 | 88,4 |
830 | 88,6 |
840 | 88,8 |
850 | 89,0 |
860 | 89,2 |
870 | 89,4 |
880 | 89,6 |
890 | 89,8 |
900 | 90,0 |
910 | 90,2 |
920 | 90,4 |
930 | 90,6 |
940 | 90,7 |
950 | 90,9 |
960 | 91,0 |
970 | 91,2 |
980 | 91,4 |
990 | 91,5 |
1000 | 91,7 |
1010 | 91,8 |
1020 | 92,0 |
1030 | 92,1 |
1040 | 92,2 |
1050 | 92,3 |
1060 | 92,4 |
1070 | 92,6 |
1080 | 92,7 |
1090 | 92,9 |
1100 | 93,0 |
1110 | 93,1 |
1120 | 93,2 |
1130 | 93,3 |
1140 | 93,4 |
1150 | 93,5 |
1160 | 93,6 |
1170 | 93,7 |
1180 | 93,8 |
1190 | 93,9 |
1200 | 94,0 |
1210 | 94,0 |
1220 | 94,1 |
1230 | 94,1 |
1240 | 94,2 |
1250 | 94,3 |
1270 | 94,4 |
1290 | 94,5 |
1300 | 94,6 |
1320 | 94,7 |
1340 | 94,8 |
1350 | 95,0 |
1380 | 95,1 |
| | ИС МЕГАНОРМ: примечание. Значение в первом столбце таблицы дано в соответствии с официальным текстом документа. | |
|
1100 | 95,2 |
1420 | 95,4 |
1430 | 95,5 |
1440 | 95,6 |
1450 | 95,7 |
1470 | 95,8 |
1490 | 96,0 |
1500 | 96,1 |
1520 | 96,2 |
1550 | 96,4 |
1560 | 96,5 |
1570 | 96,6 |
1600 | 96,8 |
1610 | 96,9 |
1620 | 97,0 |
1645 | 97,2 |
1670 | 97,4 |
1680 | 97,5 |
1700 | 97,6 |
1710 | 97,7 |
1730 | 97,8 |
1740 | 97,9 |
1750 | 98,0 |
1780 | 98,2 |
1790 | 98,3 |
1800 | 98,4 |
1830 | 98,6 |
1850 | 98,8 |
1860 | 98,9 |
1870 | 99,0 |
1900 | 99,1 |
1930 | 99,2 |
1950 | 99,3 |
1970 | 99,4 |
2000 | 99,5 |
2015 | 99,6 |
2030 | 99,7 |
2050 | 99,8 |
2065 | 99,9 |
2072 | 100,0 |
4. Из
таблицы выбирают значения кинематической вязкости:

- жидкости с меньшей вязкостью,

- жидкости с большей вязкостью,

- жидкости с заданной вязкостью и соответствующие им значения объемных долей

,

,

.
Допускается изменить в
n раз все три значения вязкости

,

и

, если хотя бы одно из выбранных значений оказывается вне диапазона 10 - 2072 мм
2/с.
5. Необходимое количество
X1 в процентах жидкости с меньшей вязкостью

вычисляют по формуле

.
6. Необходимое количество
X2 в процентах жидкости с большей вязкостью

находят из выражения
X2 = 100 -
X1.
Пример вычисления состава градуировочной жидкости.
Требуется приготовить 3 дм3 жидкости с вязкостью 40 мм2/с, имея трансформаторное масло с вязкостью 25 мм2/с и веретенное масло с вязкостью 49 мм2/с.
Таким образом, следует смешать 0,93 дм3 (3 x 0,31) трансформаторного масла и 2,07 дм3 (3 x 0,69) веретенного масла.
7. Требуемое количество исходных жидкостей отмеривают мензуркой или измерительным цилиндром, сливают в сухую бутыль и тщательно перемешивают.
8. При обнаружении следов влаги жидкости обезвоживают крупной кристаллической поваренной солью по ГОСТ 13830-68 и кальцинированным хлористым кальцием по
ГОСТ 450-77 или другими осушителями, предварительно выдержанными в сушильном шкафу при температуре (150 - 200) °C.
9. Приготовленную жидкость с вязкостью менее 20 мм2/с фильтруют через воронку типа ВФ (для ускорения фильтрования применяют вакуумную колбу с вакуумным насосом).
Более вязкие жидкости, предварительно разогретые в сушильном шкафу, фильтруют через бумажный фильтр, вложенный в воронку Бюхнера, соединенную с колбой для фильтрования и вакуумным насосом.
Для фильтрования жидкостей с вязкостью более 5000 мм2/с применяют проволочную тканую сетку.
10. Отфильтрованные жидкости хранят в закрытых бутылях в темном шкафу.
11. Вязкость градуировочной жидкости определяют не менее чем через три дня после фильтрования.
Справочное
СОСТАВ ГРАДУИРОВОЧНЫХ ЖИДКОСТЕЙ
Ориентировочный состав градуировочной жидкости, % | Кинематическая вязкость при 20 °C, мм2/с (номинальное значение) |
Ацетон - 100 | 0,4 |
Бензин-растворитель (уайт-спирит) - 100 | 1 |
Керосин - 68,4 и трансформаторное масло - 31,6 | 4 |
Керосин - 31,2 и трансформаторное масло - 68,8 | 10 |
Трансформаторное масло - 31 и веретенное масло АУ-69 | 40 |
Веретенное масло АУ-42,3 и индустриальное масло И-50 А-57,7 | 100 |
Индустриальное масло И-50 А-63,4 и авиационное масло - 36,6 | 400 |
Индустриальное масло И-50 А-8,3 и авиационное масло - 91,7 | 1000 |
Масло для прокатных станов П-28 - 60,6 и электроизоляционное синтетическое масло октол <*> - 39,4 | 4000 |
Масло для прокатных станов П-28 - 41,4 и электроизоляционное синтетическое масло октол - 58,6 | 6000 |
--------------------------------
<*> Кинематическая вязкость применяемого синтетического электроизоляционного масла октол при 20 °C 17000 мм
2/с.
Обязательное
ФОРМА ПРОТОКОЛА ПОВЕРКИ ОБРАЗЦОВОГО ВИСКОЗИМЕТРА
Протокол N
Вискозиметр образцовый N | dкап. = мм |
Предприятие-изготовитель Прибор принадлежит Внешний осмотр |
Определение постоянной B
Длина капилляра, мм | Вместимость измерительного шарика, мм3 | Постоянная B, мм2 |
1-е измерение | 2-е измерение | Действительное значение | 1-е измерение | 2-е измерение | Действительное значение |
L1 = | L2 = | Lср. = | V1 = | V2 = | Vср. = | |
Определение постоянной K
Вязкость градуировочной жидкости, мм2/с | Время истечения градуировочной жидкости, с | Среднее арифметическое значение времени истечения, с | Постоянная K, мм2/с2 |
| 1 | | K1 = |
2 |
. . . |
10 |
| 1 | | K2 = |
2 |
3 |
. . . |
10 |
Среднее арифметическое значение постоянной K
Доверительная погрешность измерения постоянной
K = %.
Выдано свидетельство N ____________ Дата ________________________ Поверитель _________________________ Подпись ___________________ Ф.И.О. |
Справочное
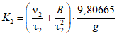
ПРИМЕР ВЫЧИСЛЕНИЯ ПОСТОЯННЫХ ОБРАЗЦОВОГО ВИСКОЗИМЕТРА
N 810116
dкап. = 0,65
1. Вычисление постоянной B:
L = 297 мм;
V = 3,1·103 мм3.
2. Вычисление постоянной K:
Постоянная
K определена по двум градуировочным жидкостям, значения кинематической вязкости которых

и

; получены следующие результаты измерения времени истечения каждой градуировочной жидкости:
| |
 , с | | |  , с | | |
411,04 | -0,01 | 0,0001 | 237,87 | +0,03 | 0,0009 |
03 | -0,02 | 0,0004 | 82 | -0,02 | 0,0004 |
04 | -0,01 | 0,0001 | 80 | -0,04 | 0,0016 |
13 | +0,08 | 0,0064 | 77 | -0,07 | 0,0049 |
14 | +0,09 | 0,0081 | 88 | +0,04 | 0,0016 |
00 | 0,00 | 0,0000 | 82 | -0,02 | 0,0004 |
10 | +0,05 | 0,0025 | 82 | -0,02 | 0,0004 |
02 | -0,03 | 0,0009 | 90 | +0,06 | 0,0036 |
06 | +0,01 | 0,0001 | 86 | +0,02 | 0,0004 |
06 | +0,01 | 0,0001 | 81 | -0,03 | 0,0009 |
| |
| |
| |
| |
| |
Результат измерения не превышает указанный в
п. 7.2.5.
Вычисляем по
формулам (2) и
(3) значения постоянных
K1 и
K2, равные соответственно 0,014817 и 0,014828 мм
2/с
2, с учетом поправки на ускорение свободного падения
K1 = 0,014798 и K2 = 0,014809 мм2/с2,

.
(записывается в свидетельство о поверке)
Справочное
ПРИМЕР ВЫЧИСЛЕНИЯ КИНЕМАТИЧЕСКОЙ ВЯЗКОСТИ
ГРАДУИРОВОЧНОЙ ЖИДКОСТИ
Для вычисления кинематической вязкости градуировочной жидкости применены эталонные вискозиметры N 670909, постоянные которого K = 0,029076 мм2/с2; B = 0,20 мм2 и N 670910, постоянные которого K = 0,028753 мм2/с2; B = 0,21 мм2 (эти значения K и B приведены в паспорте на рабочий эталон единицы кинематической вязкости).
Плотность градуировочной жидкости, определенная по
п. 5.1.

.
Получены следующие результаты измерений времени истечения градуировочной жидкости:
N 670909 | N 670910 |
 , с | | |  , с | | |
209,81 | + 0,04 | 0,0016 | 212,06 | -0,07 | 0,0049 |
89 | +0,12 | 0,0144 | 12 | -0,01 | 0,0001 |
87 | +0,10 | 0,0100 | 09 | -0,04 | 0,0016 |
75 | -0,02 | 0,0004 | 13 | 0,00 | 0,0000 |
65 | -0,12 | 0,0144 | 13 | 0,00 | 0,0000 |
71 | -0,06 | 0,0036 | 23 | +0,10 | 0,0100 |
83 | +0,06 | 0,0086 | 12 | -0,01 | 0,0001 |
78 | +0,01 | 0,0001 | 14 | 0,01 | 0,0001 |
72 | -0,05 | 0,0025 | 18 | +0,05 | 0,0025 |
71 | -0,06 | 0,0036 | 13 | 0,001 | 0,0000 |
| |
| |
| |
То есть полученные значения

не превышают указанное в
п. 7.4.1.
Находим значения кинематической вязкости градуировочной жидкости, определенные по двум вискозиметрам по
формуле (9) и получаем на вискозиметре N 670909

, на вискозиметре N 670910

, значит

.
Расхождение результатов не превышает 0,1%, то есть

.
Обязательное
ПРИМЕР ЗАПИСИ ОБОРОТНОЙ СТОРОНЫ СВИДЕТЕЛЬСТВА
О ПОВЕРКЕ ОБРАЗЦОВОГО ВИСКОЗИМЕТРА
Постоянная K = 0,14812 мм2/с2.
Постоянная B = 0,24 мм2.
Кинематическую вязкость жидкости определяют по формуле

,
где

- кинематическая вязкость жидкости, мм
2/с;

- время истечения жидкости, с;
g - ускорение свободного падения в месте измерения вязкости, м/с2.
Доверительная погрешность

при доверительной вероятности
P = 0,95.
Поверитель _______________________ Ф.И.О. | __________________ Подпись |
Примечание. Числовые значения постоянных K и B, приведенные в данном приложении, указаны для конкретного поверенного прибора.