Главная // Актуальные документы // Методические указанияСПРАВКА
Источник публикации
М., 2022
Примечание к документу
Название документа
"МУК 4.3.3832-22. Методические указания. 4.3. Методы контроля. Физические факторы. Методические указания по проведению измерений и оценке освещения в помещениях жилых, общественных зданий и на территории жилой застройки"
(утв. Роспотребнадзором 26.12.2022)
"МУК 4.3.3832-22. Методические указания. 4.3. Методы контроля. Физические факторы. Методические указания по проведению измерений и оценке освещения в помещениях жилых, общественных зданий и на территории жилой застройки"
(утв. Роспотребнадзором 26.12.2022)
Руководитель Федеральной службы
по надзору в сфере защиты прав
потребителей и благополучия человека,
Главный государственный санитарный
врач Российской Федерации
А.Ю.ПОПОВА
26 декабря 2022 года
4.3. МЕТОДЫ КОНТРОЛЯ. ФИЗИЧЕСКИЕ ФАКТОРЫ
МЕТОДИЧЕСКИЕ УКАЗАНИЯ
ПО ПРОВЕДЕНИЮ ИЗМЕРЕНИЙ И ОЦЕНКЕ ОСВЕЩЕНИЯ В ПОМЕЩЕНИЯХ
ЖИЛЫХ, ОБЩЕСТВЕННЫХ ЗДАНИЙ И НА ТЕРРИТОРИИ ЖИЛОЙ ЗАСТРОЙКИ
Методические указания
МУК 4.3.3832-22
1. Разработаны ФБУН "Северо-Западный научный центр гигиены и общественного здоровья" (Крийт В.Е., Новацкий В.Е., Сладкова Ю.Н., Скляр Д.Н., Волчкова О.В., Плеханов В.П.); ФБУН "Екатеринбургский медицинский научный центр профилактики и охраны здоровья рабочих промпредприятий" Роспотребнадзора (Федорук А.А., Мартин С.В., Кудряшов И.Н., Рузаков В.О.) при участии ФГБУ "Научно-исследовательский институт строительной физики Российской академии архитектуры и строительных наук" (Шмаров И.А.).
2. Утверждены руководителем Федеральной службы по надзору в сфере защиты прав потребителей и благополучия человека, Главным государственным санитарным врачом Российской Федерации А.Ю. Поповой 26 декабря 2022 г.
3. Введены впервые.
I. ОБЛАСТЬ ПРИМЕНЕНИЯ И ОБЩИЕ ПОЛОЖЕНИЯ
1.1. Настоящие методические указания (далее - МУК) устанавливают порядок проведения инструментального контроля параметров освещения в помещениях жилых и общественных зданий, а также на территории жилой застройки для оценки их соответствия санитарно-эпидемиологическим требованиям и гигиеническим нормативам
<1>.
--------------------------------
<1>
Глава V СанПиН 1.2.3685-21 "Гигиенические нормативы и требования к обеспечению безопасности и (или) безвредности для человека факторов среды обитания", утвержденных постановлением Главного государственного санитарного врача Российской Федерации от 28.01.2021 N 2 (зарегистрировано Минюстом России 29.01.2021, регистрационный N 62296) (далее -
СанПиН 1.2.3685-21).
1.2. МУК не распространяются на проведение измерений показателей освещения на рабочих местах, на контроль параметров средств отображения информации.
1.3. МУК применяются при:
- осуществлении федерального государственного санитарно-эпидемиологического контроля (надзора);
- осуществлении санитарно-эпидемиологических экспертиз, обследований, исследований, испытаний, оценок;
- осуществлении производственного контроля;
- вводе объектов законченного строительства (капитального ремонта, реконструкции) в эксплуатацию;
- оценке освещения в помещениях жилых и общественных зданий, а также на территории жилой застройки (далее - территории).
1.4. МУК предназначены для органов и организаций Федеральной службы по надзору в сфере защиты прав потребителей и благополучия человека, а также могут быть использованы организациями, аккредитованными в установленном порядке
<2> на проведение измерений показателей естественного и искусственного освещения в помещениях жилых и общественных зданий, на территории жилой застройки и их гигиеническую оценку (санитарно-эпидемиологическую экспертизу).
--------------------------------
<2> Федеральный
закон от 28.12.2013 N 412-ФЗ "Об аккредитации в национальной системе аккредитации".
1.5. Объектами инструментального контроля являются помещения жилых зданий, зданий общежитий, организаций социального обслуживания, центров временного размещения иммигрантов, общественных зданий (в том числе административных зданий; организаций воспитания и обучения, отдыха и оздоровления детей и молодежи; учреждений досугового назначения; санаториев, домов отдыха; физкультурно-оздоровительных учреждений; предприятий общественного питания; магазинов; предприятий бытового обслуживания населения; гостиниц; палатных отделений, отделений консультативного приема, кабинетов диагностики и лечения, лабораторий в организациях, осуществляющих медицинскую деятельность; аптек; молочных кухонь и раздаточных пунктов; вокзалов и прочих вспомогательных зданий и помещений), а также освещаемые нормируемые объекты на территории жилой застройки (придомовой территории, территории образовательных организаций, организаций для детей-сирот и детей, оставшихся без попечения родителей, организаций отдыха и оздоровления детей, центров временного размещения иммигрантов).
1.6. Контролируемые показатели искусственного освещения в помещениях жилых и общественных зданий определяются гигиеническими нормативами и включают следующие показатели в соответствии с задачей обследования объекта:
- средняя освещенность (Eср), лк;
- равномерность освещенности (Uо);
- коэффициент пульсации освещенности (Kп), %;
- цилиндрическая освещенность (Eц), лк;
- средняя вертикальная освещенность окон зданий (Eв.ср), лк;
- энергетическая освещенность ультрафиолетового излучения от ИС (Eе), Вт/м2;
- объединенный показатель дискомфорта (UGR), отн. ед.;
а также светотехнические характеристики осветительных приборов (далее - ОП) (светильников) и источников света (далее - ИС):
- защитный угол, градус;
- габаритная яркость, кд/м2;
- неравномерность яркости выходного отверстия;
- индекс цветопередачи (Rа);
- коррелированная цветовая температура, КЦТ (Tцк), К.
1.6.1. Объединенный показатель дискомфорта применяется для нормирования при проектировании, строительстве, капитальном ремонте и реконструкции зданий, а также при обращениях граждан с жалобами на наличие посторонних ярких ИС в поле зрения. Объединенный показатель дискомфорта для общего искусственного освещения помещений обеспечивается у торцевой стены на центральной оси помещения на высоте 1,2 м от пола, не ограничивается для помещений, длина которых не превышает двойной высоты установки светильников над полом, не имеет инструментальных методов контроля и определяется расчетным методом на основе фотометрических данных светильников и их расположения в помещении
<3>.
--------------------------------
<3>
ГОСТ 33392 "Здания и сооружения. Метод определения показателя дискомфорта при искусственном освещении помещений".
1.6.2. Светотехнические характеристики ОП представлены в технических условиях и эксплуатационной документации на ОП конкретных типов или групп
<4>. Информация об индексе цветопередачи (общем индексе цветопередачи) и коррелированной цветовой температуре ИС представлена на маркировке изделия. Результаты измерений
Rа и
Tцк, полученные при тестировании ОП и ИС в аккредитованных светотехнических лабораториях, оцениваются с учетом области допустимых значений
<5> (
приложение 1 к настоящим МУК).
--------------------------------
<4>
Раздел 5 ГОСТ 34819 "Приборы осветительные. Светотехнические требования и методы испытаний".
<5>
Раздел VI постановления Правительства Российской Федерации от 24.12.2020 N 2255 "Об утверждении требований к осветительным устройствам и электрическим лампам, используемым в цепях переменного тока в целях освещения".
1.7. Контролируемым показателем естественного освещения в помещениях жилых и общественных зданий, применяемым для нормирования при проектировании, строительстве, капитальном ремонте и реконструкции, а также при обращениях граждан с жалобами на недостаточное естественное освещение помещений является:
- коэффициент естественной освещенности (далее - КЕО) (e), %.
1.8. Контролируемыми показателями искусственного освещения на территории являются:
- средняя горизонтальная освещенность покрытия на освещаемых объектах пешеходных пространств/зон, лк;
- средняя горизонтальная освещенность покрытия на площадках входа в жилые здания, лк;
- средняя вертикальная освещенность поверхности ограждающих конструкций на площадках входа в жилые здания, лк.
Для нормирования средней вертикальной освещенности окон зданий (
Eв.ср) могут применяться значения средней освещенности (или средней яркости) дорожного покрытия с учетом класса объекта
<6> (
приложение 2 к настоящим МУК) и расчетные значения величин показателей, определенных на стадии проектирования. Также могут проводиться измерения средней горизонтальной освещенности (или яркости) дорожного покрытия проезжей части прилегающей улицы. Для получения фактических значений яркости дорожного покрытия
<7> измерения яркости выполняются согласно действующим межгосударственным стандартам и национальному стандарту Российской Федерации
<8>.
--------------------------------
<6>
Таблицы 7.9 -
7.11 главы VII СП 52.13330.2016 "Естественное и искусственное освещение. Актуализированная редакция СНиП 23-05-95*", утвержденного приказом Минстроя России 07.11.2016 N 777/пр (далее -
СП 52.13330.2016).
<7>
ГОСТ Р 55706 "Освещение наружное утилитарное. Классификация и нормы".
<8>
ГОСТ 26824 "Здания и сооружения. Методы измерения яркости";
ГОСТ Р 55707 "Освещение наружное утилитарное. Методы измерений нормируемых параметров" (далее -
ГОСТ Р 55707);
ГОСТ 33175 "Дороги автомобильные общего пользования. Горизонтальная освещенность от искусственного освещения. Методы контроля".
1.9. Результаты измерений показателей освещения представляются с расширенной неопределенностью измерений (исключение могут составлять результаты измерений КЕО и равномерности освещенности).
1.10. МУК базируются на методах прямых измерений и аттестованных методиках, внесенных в эксплуатационную документацию применяемых средств измерений (далее - СИ) утвержденного типа.
1.11. МУК носят рекомендательный характер.
II. ПОДГОТОВКА К ПРОВЕДЕНИЮ ИЗМЕРЕНИЙ
2.1. При подготовке к выполнению измерений проводится:
- ознакомление с документацией по объекту и его обследование (сбор информации о функциональном назначении помещений, размещении помещений в здании, размерах и конфигурации помещений, ориентации окон; уточняется информация о наличии результатов ранее проведенных исследований, а также проектной документации и значений расчетных показателей (КЕО, объединенный показатель дискомфорта), при этом рекомендуется обращать внимание на соответствие существующей ситуации материалам проекта, реального состояния осветительных установок (например, количество, расположение, защитный угол светильников);
- определение объема работ на объекте (проводится выбор помещений для инструментального контроля освещения; определяются контролируемые показатели, контрольные точки (точки измерения), поверхность нормирования и ее высота над полом, а также время проведения измерений);
- сбор информации об особенностях освещения в помещениях (уточняются данные о наличии или отсутствии естественного освещения; системе искусственного освещения; тип светильников, параметры их размещения в помещениях, состояние светильников (например, исправность, загрязнение, укомплектованность отражателями, решетками, рассеивателями), наличие "расфазировки" светильников и тип пускорегулирующих аппаратов (далее - ПРА), светотехнические характеристики светильников со светодиодами; наличие и состояние светильников местного освещения, число неработающих ламп; тип ИС, их коррелированная цветовая температура (Tцк) и индекс цветопередачи (Rа); санитарное состояние остеклений светопроемов, стен, потолков);
- при подготовке к проведению измерений средней вертикальной освещенности окон зданий проводится сбор информации об источниках наружного освещения (виды наружного освещения, наличие/отсутствие динамичных видеорекламных световых установок, место их расположения), санитарном состоянии остеклений светопроемов, классе объекта (улично-дорожной сети);
- подготовка СИ в соответствии с эксплуатационной документацией.
Необходимые сведения запрашиваются у владельца объекта и проектной организации, которые несут ответственность за достоверность представленных материалов.
2.2. Измерения показателей освещения в помещениях жилых и общественных зданий проводятся выборочно (за исключением случаев, когда измерения проводятся по требованию заказчика или при рассмотрении обращений граждан с жалобами на неблагоприятное воздействие освещения), при этом общий объем контроля определяется с целью выявления в здании помещений, в которых могут быть несоответствия нормативным требованиям
<9>, а также для оценки значений в типичных помещениях (по функциональному назначению, размерам, расположению). В программу обследования рекомендуется включать помещения на первом этаже. Для обследования рекомендуется выбирать помещения с постоянным пребыванием людей.
--------------------------------
Измерения средней вертикальной освещенности окон зданий проводятся в жилых помещениях жилых зданий, в палатах лечебных учреждений, палатах и спальных комнатах объектов социального обеспечения.
В организациях воспитания и обучения, отдыха и оздоровления детей и молодежи оценка освещения проводится в классах, кабинетах, кабинетах, оборудованных электронными средствами обучения (ЭСО), спортивном и музыкальном залах, мастерских, при этом в программу обследования включают не менее 20% помещений
<10>. Оценка проводится по результатам измерений освещенности, равномерности освещенности, коэффициента пульсации освещенности на нормируемых поверхностях и по технической документации на ОП. Светотехнические характеристики ОП со светодиодами и светодиодных ИС оцениваются согласно
п. 1.6.2.
--------------------------------
<10>
Приложение 1 к МР 2.4.0242-21 "Методические рекомендации по обеспечению санитарно-эпидемиологических требований к организациям воспитания и обучения, отдыха и оздоровления детей и молодежи", утвержденные Руководителем Федеральной службы по надзору в сфере защиты прав потребителей и благополучия населения, Главным государственным санитарным врачом Российской Федерации 17.05.2021.
2.3. Точки измерений контролируемых показателей наносятся на план помещения, сооружения или освещаемого участка (или исполнительный чертеж осветительной установки) с указанием размещения светильников.
2.4. Для оценки соответствия фактических условий проведения измерений рабочим условиям эксплуатации СИ перед проведением измерений во всех включенных в программу обследования помещениях определяются значения параметров микроклимата.
При проведении измерений на территории параметры наружного воздуха (температура, относительная влажность воздуха, атмосферное давление) уточняются по данным из официальных источников
<11>. Допускается проведение измерений метеопараметров непосредственно на обследуемой территории, при этом подготовка прибора к проведению измерений и прямые измерения проводятся в соответствии с эксплуатационной документацией применяемого СИ.
--------------------------------
<11> www.meteorf.gov.ru - официальный сайт Федеральной Службы по гидрометеорологии и мониторингу окружающей среды (в свободном доступе); www.meteoinfo.ru - официальный сайт ФГБУ "Гидрометцентр России" (в свободном доступе).
III. СРЕДСТВА ИЗМЕРЕНИЙ И ПОРЯДОК ИХ ПРИМЕНЕНИЯ
3.1. Для проведения измерений используются СИ утвержденного типа, имеющие действующую поверку и соответствующую проводимым исследованиям область применения и диапазон измерений, в соответствии с требованиями законодательства Российской Федерации об обеспечении единства измерений
<12>.
--------------------------------
<12>
Статья 9 Федерального закона от 26.06.2008 N 102-ФЗ "Об обеспечении единства измерений";
постановление Правительства Российской Федерации от 16.11.2020 N 1847 "Об утверждении перечня измерений, относящихся к сфере государственного регулирования обеспечения единства измерений".
3.1.1. Сведения об утвержденных типах СИ, о внесенных в них изменениях включены в информационный фонд
<13>.
--------------------------------
<13> fgis.gost.ru/fundmetrology/registry/4 - официальный сайт Федерального информационного фонда по обеспечению единства измерений (в свободном доступе).
3.1.2. Измерения освещенности, коэффициента пульсации освещенности и энергетической освещенности ультрафиолетового излучения от ИС проводятся с использованием СИ, имеющих относительную погрешность не более +/- 10%. Для измерения напряжения электрической сети питания ОП применяются вольтметры класса точности не ниже 1,5.
3.2. Измерения проводятся в условиях, соответствующих рабочим условиям эксплуатации, изложенным в эксплуатационной документации используемых СИ.
3.3. Измерения не проводятся после резкого изменения условий окружающей среды, в которых находятся применяемые СИ. В подобных случаях для установления теплового равновесия с окружающей средой СИ выдерживаются в измененных условиях в течение времени, указанного в эксплуатационной документации СИ.
3.4. Перед проведением измерений рекомендуется проконтролировать отсутствие конденсата и загрязнений на оптическом рассеивателе прибора.
3.5. Эксплуатация, хранение и транспортирование СИ осуществляются в соответствии с эксплуатационной документацией данного СИ.
3.6. При проведении измерений рекомендуется соблюдать требования безопасности, установленные в эксплуатационной документации СИ.
IV. ИНСТРУМЕНТАЛЬНЫЙ КОНТРОЛЬ ЕСТЕСТВЕННОГО ОСВЕЩЕНИЯ
В ПОМЕЩЕНИЯХ ЖИЛЫХ И ОБЩЕСТВЕННЫХ ЗДАНИЙ
4.1. Оценка достаточности естественного освещения в помещениях выполняется по значениям КЕО в проектной документации, по результатам определения значений КЕО путем расчета
<14>. Измерения проводятся при необходимости получения фактических значений КЕО (например, при наличии жалоб населения).
--------------------------------
4.2. Для определения КЕО измерения проводятся в дни со сплошной облачностью, покрывающей весь небосвод.
4.3. При определении КЕО одновременно проводятся прямые измерения естественной освещенности в двух контрольных точках:
- в контрольной точке, расположенной вне здания на горизонтальной площадке, освещаемой всем светом небосвода (наружная горизонтальная освещенность);
- в контрольной точке, расположенной внутри помещения.
4.4. Измерения наружной горизонтальной освещенности проводятся при отсутствии атмосферных осадков, тумана, задымления.
4.5. Измерения естественной освещенности внутри помещений проводятся в помещениях, свободных от мебели и оборудования, не затеняемых внутренними и внешними объектами (например, озеленением), при вымытых и исправных светопрозрачных заполнениях светопроемов.
Допускается проводить измерения в реальных условиях без предварительной подготовки помещения и при затенении окон зелеными насаждениями и другими объектами, что отражается в первичных записях и в протоколе измерений.
Искусственное освещение в помещениях во время измерений выключается.
Размещение контрольных точек внутри помещений для оценки
естественного освещения помещений
4.6. При двустороннем боковом освещении помещений любого назначения измерения естественной освещенности проводятся в центре помещения на пересечении вертикальной плоскости характерного разреза помещения (поперечный разрез посредине помещения, плоскость которого перпендикулярна плоскости остекления световых проемов (при боковом освещении) или продольной оси пролетов помещения) и нормируемой поверхности (условной рабочей поверхности или пола).
4.7. При одностороннем боковом освещении жилых помещений в жилых зданиях измерения естественной освещенности проводятся в контрольной точке, расположенной на пересечении вертикальной плоскости характерного разреза помещения и плоскости пола на расстоянии 1 м (+/- 0,05 м) от стены, наиболее удаленной от световых проемов:
- в одной комнате для 1-, 2- и 3-комнатных квартир;
- в двух комнатах для 4- и более комнатных квартир.
В остальных жилых помещениях многокомнатных квартир и в кухне при боковом освещении измерения естественной освещенности проводятся в контрольной точке, расположенной на пересечении вертикальной плоскости характерного разреза помещения и плоскости пола в центре помещения.
4.8. При одностороннем боковом освещении жилых помещений общежитий, гостиных и номеров гостиниц измерения естественной освещенности проводятся в контрольной точке, расположенной на пересечении вертикальной плоскости характерного разреза помещения и плоскости пола в центре помещения.
4.9. При одностороннем боковом освещении помещений общественных зданий измерения естественной освещенности проводятся:
- в групповых и игровых помещениях дошкольных образовательных организаций, изоляторах и комнатах для заболевших детей - в контрольной точке, расположенной на пересечении вертикальной плоскости характерного разреза помещения и плоскости пола на расстоянии 1 м (+/- 0,05 м) от стены, наиболее удаленной от световых проемов;
- в учебных и учебно-производственных помещениях общеобразовательных, профессиональных образовательных организаций, интернатов - в контрольной точке, расположенной на пересечении вертикальной плоскости характерного разреза помещения и условной рабочей поверхности на расстоянии 1,2 м (+/- 0,05 м) от стены, наиболее удаленной от световых проемов;
- в палатах больниц, в палатах и спальных комнатах объектов социального обслуживания, санаториев, домов отдыха, пансионатов - в контрольной точке, расположенной на пересечении вертикальной плоскости характерного разреза помещения и плоскости пола на расстоянии 1 м (+/- 0,05 м) от стены, наиболее удаленной от световых проемов;
- в кабинетах врачей, ведущих прием больных, в перевязочных, смотровых, приемно-смотровых боксах организаций, осуществляющих медицинскую деятельность - в контрольной точке, расположенной на пересечении вертикальной плоскости характерного разреза помещения и условной рабочей поверхности в центре помещения;
- в остальных помещениях общественных зданий - в контрольной точке, расположенной в центре помещения на нормируемой поверхности (условной рабочей поверхности или пола).
4.10. В центральной части и исторических зонах города в помещениях жилых и общественных зданий с односторонним боковым освещением (кроме помещений, перечисленных в первых трех абзацах
п. 4.9) измерение естественной освещенности проводятся в центре помещения на нормируемой поверхности (условной рабочей поверхности или пола).
4.11. В помещениях непрямоугольной формы положение точки измерения определяется с учетом приведения формы помещения к прямоугольнику.
4.11.1. В Г-образных помещениях рекомендуется использовать эквивалентную глубину помещения
bэ, определяемую по
формуле (1) <15>:
где: S - площадь помещения, м2;
a - ширина помещения, м.
--------------------------------
На характерном разрезе помещения от центра светопроема откладывается эквивалентная глубина
bэ помещения. Точки измерения располагаются на пересечении вертикальной плоскости характерного разреза помещения и условной рабочей поверхности (или пола) на расстояниях от эквивалентной глубины помещения, указанных в
пунктах 4.6 -
4.9.
Если характерный разрез помещения не совпадает с центром светопроема (в случае сложной конфигурации помещения), то находится геометрический центр помещения, и характерный разрез проходит через найденный центр помещения.
4.12. В помещениях жилых и общественных зданий, в которых предусмотрено деление на зоны с различным функциональным назначением и нормированием, контрольные точки размещаются в каждой выделенной зоне.
4.13. При верхнем или комбинированном естественном освещении помещений любого назначения для оценки среднего значения КЕО измерения естественной освещенности проводятся в точках, расположенных на пересечении вертикальной плоскости характерного разреза помещения и нормируемой поверхности (условной рабочей поверхности или пола). Измерения проводятся не менее чем в 5 точках, расположенных на равном расстоянии друг от друга, при этом первая и последняя точки принимаются на расстоянии 1 м (+/- 0,05 м) от поверхности стен, перегородок или осей колонн.
4.14. При комбинированном естественном освещении допускается деление помещения на зоны с боковым освещением (примыкающие к наружным стенам с окнами) и зоны с верхним освещением, в данном случае контрольные точки размещаются в каждой выделенной зоне.
Проведение измерений
4.15. При выполнении измерений руководствуются требованиями, изложенными в настоящем разделе и эксплуатационной документации применяемого СИ.
4.16. Прямые измерения проводятся в соответствии с эксплуатационной документацией СИ.
При использовании СИ с функцией "Измерение КЕО" измерения проводятся в соответствии с методикой, представленной в эксплуатационной документации СИ.
4.17. Прямые одновременные измерения естественной освещенности для последующего расчета КЕО проводятся в двух контрольных точках согласно
п. 4.3. Одновременная пара измерений выполняется последовательно не менее 3 раз.
4.17.1. Если в помещении располагается несколько точек измерений, то одновременные измерения естественной освещенности проводятся в каждой из них согласно
п. 4.17.
4.18. Измерения естественной освещенности проводятся на нормируемой поверхности (на регламентированной высоте (+/- 0,05 м) в плоскости ее расположения).
4.19. При измерениях по возможности исключается падение теней от человека, деревьев, предметов, а также света от посторонних ИС на измерительный фотометрический датчик. При наличии неустранимых затенений и посторонних ИС измерения выполняются в реальных условиях, что отражается в первичных записях и в протоколе измерений.
4.20. Во время проведения измерений регистрируется информация согласно межгосударственному стандарту
<16> и в соответствии с прописанными в лаборатории требованиями системы менеджмента качества (далее - СМК) к первичным записям, а также возможности записи результатов в энергонезависимую память СИ в соответствии с эксплуатационной документацией.
--------------------------------
Дополнительно регистрируется информация: дата и время проведения измерений, параметры микроклимата в помещениях и метеопараметры, облачность, расположение и наименование обследуемых помещений, их функциональное назначение и размеры, ориентация окон, подготовка помещений, состояние остеклений светопроемов, наличие в помещении мебели и оборудования, наличие затеняющих окна объектов, плоскость проведения измерений и ее расположение, сведения о лицах, присутствующих при проведении измерений. В первичных записях отражается наличие любых факторов, создающих посторонний свет или затенение, и оказывающих влияние на оценку освещения.
Обработка и оформление результатов измерений
4.21. Коэффициент естественной освещенности КЕО,
e, %, вычисляется по
формуле (2) <17>:

(2)
где: Eвн - значение естественной освещенности в контрольной точке внутри помещения, лк;
Eнар - значение естественной освещенности в контрольной точке вне здания - наружная горизонтальная освещенность, лк.
--------------------------------
<17>
Пункт 7.2 ГОСТ 24940 "Здания и сооружения. Методы измерения освещенности" (далее -
ГОСТ 24940).
4.22. Результат измерений КЕО в помещении (функциональной зоне) представляется как среднеарифметическое значение результатов вычисления КЕО по
формуле (2) для не менее чем трех пар одновременных измерений внутренней и наружной естественной освещенности.
4.23. При верхнем или комбинированном естественном освещении помещений любого назначения среднее значение КЕО,
eср, %, вычисляется по
формуле (3) <18>:

(3)
где: e1 и eN - значения КЕО при верхнем или комбинированном освещении в первой и последней точках характерного разреза помещения;
ei - значения КЕО в остальных точках характерного разреза помещения (i = 2, 3, ..., N - 1).
--------------------------------
4.24. Для случаев, когда необходимо представить результат измерений КЕО с расширенной неопределенностью измерений, в
приложении 3 к настоящим МУК приведен алгоритм и пример расчета расширенной неопределенности измерений.
4.25. Результаты измерений оформляются в виде протокола измерений, оформленного согласно межгосударственному стандарту
<19> и в соответствии с прописанными в лаборатории требованиями СМК.
--------------------------------
Дополнительно вносится информация в соответствии с
п. 4.20, а также данные о СИ (тип СИ и его наименование, заводской номер, регистрационный номер типа СИ в Государственном реестре средств измерений, номер свидетельства и срок действия поверки, погрешность СИ).
К протоколу измерений прилагаются графические материалы с обозначением контрольных точек проведения измерений.
Гигиеническая оценка естественного освещения по результатам
проведенных измерений
4.26. При оценке расчетного и измеренного значения КЕО ориентируются на нормативное значение
<20> с учетом возможной поправки, вводимой для административных районов с различным световым климатом (коэффициент светового климата
CN). Группы административных районов по ресурсам светового климата представлены в
приложении 4 к настоящим МУК.
--------------------------------
4.26.1. При оценке результатов расчетов КЕО, проведенных с учетом коэффициента светового климата
CN <21>, расчетное значение КЕО (
eр) соответствует гигиеническим нормативам, если расчетное значение равно или больше нормативного значения (
eн), и выполняется условие
eр >=
eн.
--------------------------------
4.26.2. Если в проектной документации представлены расчетные значения КЕО без учета коэффициента светового климата
<22>, а также при оценке результатов проведенных измерений, расчетное и измеренное значения КЕО соответствуют гигиеническим нормативам, если их значение равно или больше нормативного значения (
eн), деленного на коэффициент светового климата, и выполняется условие (
eизм;
eр) >=
eн/
CN. Величины коэффициента светового климата
CN представлены в
приложении 4 к настоящим МУК.
--------------------------------
<22>
СП 23-102-2003 "Естественное освещение жилых и общественных зданий".
V. ИНСТРУМЕНТАЛЬНЫЙ КОНТРОЛЬ ИСКУССТВЕННОГО ОСВЕЩЕНИЯ
В ПОМЕЩЕНИЯХ ЖИЛЫХ И ОБЩЕСТВЕННЫХ ЗДАНИЙ
5.1. Измерения освещенности и коэффициента пульсации освещенности от искусственного освещения проводятся после замены всех перегоревших ламп и чистки светильников. Измерение допускается проводить без предварительной подготовки осветительных установок, что необходимо отразить в первичных записях и в протоколе измерений.
Измерения средней вертикальной освещенности окон зданий проводятся при вымытых и исправных светопрозрачных заполнениях светопроемов. Допускается проводить измерения в реальных условиях без предварительной подготовки окон в помещениях, что отражается в первичных записях и в протоколе измерений.
5.2. Измерения освещенности, коэффициента пульсации освещенности, а также вертикальной освещенности окон при засветке помещений наружным освещением проводятся в темное время суток или при фоновом естественном освещении, когда внутри помещения в точке измерения, расположенной на расстоянии не более 1 м от окна (или в ближайшей к окну точке измерений в сетке контрольных точек) на уровне условной рабочей поверхности, отношение естественной освещенности к искусственной составляет не более 0,1
<23>. Исключение составляют помещения без естественного света.
--------------------------------
Расчет отношения естественной освещенности к искусственной
Eотн выполняется по
формуле (4):
где: Eе - естественная освещенность в точке измерения;
Eиск - искусственная освещенность в точке измерения.
Измерения также могут проводиться СИ с использованием функции "Измерения с учетом естественного фона" в соответствии с аттестованной методикой, представленной в эксплуатационной документации СИ.
5.3. При измерениях освещенности, коэффициента пульсации освещенности от искусственного освещения в дневное время допускается занавешивание окон темной, не пропускающей свет тканью, а также применение светозащитных устройств (в том числе жалюзи) при соблюдении условия, установленного
п. 5.2 в отношении фонового естественного освещения.
5.4. В исключительных случаях, когда выполнение условий
п. 5.2 и
п. 5.3 невозможно, допускается определять искусственную освещенность в контрольных точках помещения по следующему алгоритму: в каждой контрольной точке сначала измеряется суммарная освещенность (освещенность от искусственных ИС в присутствии естественного освещения), затем в той же точке при выключенном искусственном освещении измеряется естественная освещенность.
Значение искусственной освещенности в контрольной точке определяется как разность между полученным суммарным значением освещенности и значением естественной освещенности в данной точке по
формуле (5):
где: Eиск - искусственная освещенность в контрольной точке, лк;
Eсум - суммарная освещенность в контрольной точке, лк;
Eест - естественная освещенность в контрольной точке, лк.
Указанный метод применим только при исключении попадания на оцениваемую поверхность прямых солнечных лучей, проведение измерений допустимо в дни со сплошной облачностью, покрывающей весь небосвод.
5.5. До начала проведения измерений рекомендуется обеспечить работу искусственного освещения в штатном режиме в течение времени, необходимого для стабилизации светового потока.
Время стабилизации световых характеристик ОП (не менее)
<24>:
- 5 минут - для ОП с лампами накаливания;
- 15 минут - для ОП с разрядными лампами высокого давления;
- 40 минут - для ОП с люминесцентными лампами.
--------------------------------
<24>
Пункт 5.3 ГОСТ 33393 "Здания и сооружения. Методы измерения коэффициента пульсации освещенности" (далее -
ГОСТ 33393).
Для ОП со светодиодами время стабилизации световых характеристик указывается в технических условиях на ОП конкретных типов или групп, а при отсутствии таких данных составляет не менее 30 минут
<25> или определяется опытным путем
<26>.
--------------------------------
<25>
ГОСТ Р 8.971 "Лампы, светильники и модули светодиодные. Методы измерения фотометрических и колориметрических характеристик" (далее -
ГОСТ Р 8.971).
<26>
ГОСТ Р 8.971; СВМТ.424179.001-01 МИ (N ФР.1.37.2019.34052) "Методика измерений параметров освещения приборами еЛайт".
5.6. При комбинированном искусственном освещении:
- освещенность измеряется сначала от светильников общего освещения, затем включаются светильники местного освещения в их рабочем положении и измеряется суммарная освещенность от светильников общего и местного освещения;
- коэффициент пульсации освещенности измеряется сначала от светильников общего освещения, затем включаются светильники местного освещения в их рабочем положении, выключается общее освещение и измеряется коэффициент пульсации освещенности от светильников местного освещения.
5.7. При проведении измерений вертикальной освещенности окон зданий при засветке всеми видами установок наружного освещения искусственное освещение в помещении выключается.
5.8. Прямые измерения показателей освещения выполняются на нормируемой поверхности в плоскости ее расположения.
Размещение контрольных точек для оценки искусственного
освещения помещений
5.9. Для проведения измерений освещенности, коэффициента пульсации освещенности и определения равномерности освещенности в помещении (оцениваемой зоне) от искусственного освещения применяется сетка контрольных точек, ячейка которой представляет собой площадку (квадратную или прямоугольную) с отношением сторон от 0,5 до 2,0. Предпочтительны ячейки сетки, имеющие форму, близкую к квадрату.
5.9.1. Максимальный размер ячейки сетки в метрах вычисляют по
формуле (6) <27>:
где: d - наибольший размер помещения или оцениваемой зоны (функциональной зоны, зоны зрительной работы), м;
p - максимальный размер шага сетки (не более 10 м).
--------------------------------
Полученное расстояние между точками сетки используется для вычисления ближайшего целого числа точек сетки по ширине помещения (оцениваемой зоны).
Полоса 0,5 м (+/- 0,05 м) от границ оцениваемой зоны или от стен исключается из измеряемой зоны, за исключением случаев, когда там располагаются зоны зрительной работы. Для узких помещений (шириной < 2 м) исключаемая полоса составляет не более 10% от ширины помещения.
5.9.2. Контрольные точки на плане помещения располагаются таким образом, чтобы их сетка не совпадала с сеткой размещения светильников. В случае совпадения сеток число контрольных точек на плане помещения целесообразно увеличить с учетом типовых параметров сетки контрольных точек при измерениях средней освещенности и коэффициента пульсации освещенности, представленных в
таблице 1.
Таблица 1
Типовые параметры сетки контрольных точек при измерениях
средней освещенности <28> и коэффициента пульсации
--------------------------------
Длина помещения или оцениваемой зоны, м | Максимальное расстояние между контрольными точками, м | Минимальное число контрольных точек (по длине помещения или оцениваемой зоны) |
0,40 | 0,15 | 3 |
0,60 | 0,20 | 3 |
1,00 | 0,20 | 5 |
2,00 | 0,30 | 6 |
5,00 | 0,60 | 8 |
10,00 | 1,00 | 10 |
25,00 | 2,00 | 12 |
50,00 | 3,00 | 17 |
100,00 | 5,00 | 20 |
5.9.3. Если контрольные точки совпадают с крупногабаритным оборудованием или стационарными объектами, то сетка контрольных точек делается более частой и исключаются точки, попадающие на эти объекты.
5.10. Контрольные точки измерения освещенности экрана монитора (дисплея) размещаются в пяти точках, равномерно распределенных по поверхности экрана монитора в вертикальной плоскости. Целесообразно размещать контрольные точки на участках экрана, предназначенных для измерения параметров изображения (метод "конверта")
<30>.
--------------------------------
<30>
ГОСТ Р 50949 "Средства отображения информации индивидуального пользования. Методы измерений и оценки эргономических параметров и параметров безопасности".
5.11. Контрольная точка измерения цилиндрической освещенности в помещениях, для которых установлены гигиенические нормативы по данному показателю световой среды, размещается на центральной продольной оси помещения на расстоянии не менее 1,0 м (+/- 0,05 м) от торцевой стены на высоте 1,5 м над полом.
5.12. Контрольные точки измерения вертикальной освещенности окон при засветке помещений наружным освещением размещаются равномерно на внутренней поверхности стекла (измерения на внутренней поверхности остекления балконов и лоджий не проводятся). Для каждого окна, на поверхности которого проводятся измерения, выбирается не менее пяти контрольных точек. Целесообразно размещать контрольные точки методом "конверта".
5.13. Контрольная точка измерения энергетической освещенности ультрафиолетового излучения от искусственных ИС размещается в точке с максимальной освещенностью на высоте 1,5 м.
Проведение измерений
5.14. При выполнении измерений руководствуются требованиями, изложенными в настоящем разделе и эксплуатационной документации применяемого СИ.
5.15. Прямые измерения проводятся в соответствии с эксплуатационной документацией СИ.
5.16. Измерения проводятся на нормируемой поверхности (на регламентированной высоте (+/- 0,05 м) в плоскости ее расположения), не менее трех последовательных измерений в каждой точке измерений.
При применении СИ с функцией расчета средней, минимальной и максимальной освещенности измерения проводятся в соответствии с аттестованной методикой, внесенной в эксплуатационную документацию применяемого СИ.
5.17. Измерения коэффициента пульсации освещенности проводятся на нормируемой поверхности (на регламентированной высоте (+/- 0,05 м) в плоскости ее расположения), не менее трех последовательных измерений в каждой точке измерений.
5.18. Измерение цилиндрической освещенности проводится люксметром, снабженным специальной насадкой. Измерение цилиндрической освещенности в каждой контрольной точке допускается также проводить путем проведения четырех измерений вертикальной освещенности во взаимно перпендикулярных плоскостях с шагом 90° вокруг вертикальной оси.
5.19. Измерения вертикальной освещенности на окнах зданий при засветке всеми видами установок наружного освещения проводятся люксметром, измерительная головка которого размещается вертикально с внутренней стороны окна на расстоянии не более 10 мм от его поверхности (без соприкосновения с поверхностью стекла), при этом входные окна фотоприемника обращаются по направлению к плоскости остекления.
5.20. Измерения энергетической освещенности ультрафиолетового излучения от искусственных ИС выполняются последовательно в диапазонах излучения A, B и C, при этом датчик размещается в контрольной точке перпендикулярно максимуму излучения источника.
5.21. Для средств измерений освещенности с магнитно-электрической измерительной системой не допускается установка измерителя (измерительной головки) на металлические поверхности.
5.22. При измерениях по возможности исключается падение теней от человека, деревьев, предметов, а также света от посторонних ИС на измерительный фотометрический датчик. При наличии неустранимых затенений и посторонних ИС измерения выполняются в реальных условиях, что отражается в первичных записях и в протоколе измерений.
5.23. Измерения искусственной освещенности проводятся в реальных условиях без учета изменений значений напряжения в электрической сети системы освещения, что отражается в первичных записях и в протоколе измерений.
5.23.1. При необходимости подтверждения результатов проведенных измерений, при наличии жалоб на изменение уровней искусственной освещенности в разное время суток, а также во всех спорных случаях, возникающих при оценке результатов измерений, проводятся повторные измерения показателей освещения с инструментальным контролем напряжения в электрической сети питания осветительных установок.
В данном случае в начале измерений искусственной освещенности в помещении (оцениваемой зоне) контролируют напряжение в электрической сети питания осветительных установок. По окончании измерений повторно измеряют напряжение в электрической сети, питающей осветительные установки. В случае выявления отклонений значения напряжения в сети более +/- 5% от номинального значения, установленного для данной электрической сети, питающей осветительные установки, полученные результаты измерений или бракуют, и повторно выполняют измерения
<31>, или проводят корректировку результатов измерений освещенности
<32> (
приложение 6 к настоящим МУК).
--------------------------------
<31> МИ СС.ИНТ-07.01 "Методика измерений показателей световой среды для целей специальной оценки условий труда".
5.23.2. Если осветительные установки сконструированы так, что световой поток не зависит от выявленного изменения напряжения в электрической сети (по результатам двух проведенных измерений), то
п. 5.23.1 допустимо пренебречь
<33>.
--------------------------------
<33> МИ СС.ИНТ-07.01 "Методика измерений показателей световой среды для целей специальной оценки условий труда".
5.24. Во время проведения измерений регистрируется информация согласно межгосударственному стандарту
<34> и в соответствии с прописанными в лаборатории требованиями СМК к первичным записям, а также возможности записи результатов в энергонезависимую память СИ в соответствии с эксплуатационной документацией.
--------------------------------
Дополнительно регистрируется информация: дата и время проведения измерений, время включения ОП, параметры микроклимата в помещениях, расположение и наименование обследуемых помещений, их функциональное назначение и размеры, плоскость проведения измерений и ее расположение, тип светильников, параметры их размещения в помещениях, состояние светильников, наличие "расфазировки" светильников и тип ПРА, наличие и состояние светильников местного освещения, число неработающих ламп, тип ИС, а также сведения о лицах, присутствующих при проведении измерений.
При проведении измерений средней вертикальной освещенности окон зданий регистрируется информация об источниках наружного освещения (виды наружного освещения, наличие/отсутствие динамичных видеорекламных световых установок, место их расположения), санитарное состояние остеклений светопроемов, классе объекта (улично-дорожной сети). При засветке окон зданий рекламной или информационной конструкцией, работающей в темное время суток в динамическом режиме, в первичной документации отмечается отсутствие или наличие прямой видимости конструкции из точки, расположенной на расстоянии 1 м от геометрического центра окна.
В первичных записях отражается наличие любых факторов, создающих посторонний свет или затенение, и оказывающих влияние на оценку освещения.
Обработка и оформление результатов измерений
5.25. Результат измерений каждого показателя световой среды в каждой контрольной точке представляется как среднеарифметическое значение не менее 3 последовательных измерений. В каждой контрольной точке рекомендуется проводить равное количество измерений.
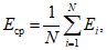
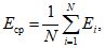
5.26. Средняя освещенность (
Eср, лк) в помещении (в оцениваемой зоне) вычисляется как среднеарифметическое значение измеренных освещенностей в контрольных точках по
формуле (7) <35>:

(7)
где: N - число точек измерения;
Ei - значения освещенности в контрольных точках, лк.
--------------------------------
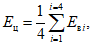
5.27. Цилиндрическая освещенность (
Eц, лк) в контрольной точке вычисляется как среднеарифметическое значение освещенностей, измеренных в четырех вертикальных плоскостях, по
формуле (8) <36>:

(8)
где: Eвi - измеренные значения освещенности в четырех вертикальных плоскостях, лк.
--------------------------------
5.28. Средняя вертикальная освещенность (
Eв.ср, лк) на поверхности окна при измерении уровня засветки окон зданий, создаваемого всеми видами установок наружного освещения (например, утилитарное, архитектурное, рекламное и витринное), вычисляется как среднеарифметическое значение измеренных вертикальных освещенностей в контрольных точках по
формуле (9) <37>:

(9)
где: N - число точек измерения;
Eвi - измеренные значения вертикальной освещенности в контрольных точках на поверхности окна, лк.
--------------------------------
5.29. Коэффициент пульсации освещенности (
Kп) вычисляется как среднеарифметическое значение измеренных коэффициентов пульсации освещенностей в контрольных точках в помещении (в оцениваемой зоне) по
формуле (10) <38>:

(10)
где: Kпi - измеренные значения коэффициента пульсации освещенности в контрольных точках, лк;
N - число точек измерения.
--------------------------------
5.30. Равномерность освещенности вычисляется как отношение значения минимальной освещенности к значению средней освещенности
<39> в помещении (в оцениваемой зоне) по
формуле (11):
где: Uо - равномерность освещенности;
Eмин - минимальная освещенность (минимальное измеренное значение освещенности из последовательности их значений в контрольных точках), лк;
Eср - средняя освещенность, лк.
--------------------------------
5.31. Результаты измерений представляются с расширенной неопределенностью согласно
п. 1.9. Алгоритм расчета расширенной неопределенности измерений представлен в
приложении 3 к настоящим МУК.
5.32. Результаты измерений оформляются в виде протокола измерений согласно межгосударственному стандарту
<40> и в соответствии с прописанными в лаборатории требованиями СМК.
--------------------------------
Дополнительно вносится информация в соответствии с
пунктом 5.24, а также данные о СИ (тип СИ и его наименование, заводской номер, регистрационный номер типа СИ в Государственном реестре средств измерений, номер свидетельства и срок действия поверки, погрешность СИ). В протоколе измерений отражается наличие любых факторов, создающих посторонний свет или затенение, и оказывающих влияние на оценку освещения.
К протоколу измерений прилагаются графические материалы с обозначением контрольных точек проведения измерений и мест расположения светильников или в протоколе представляют описание сетки контрольных точек в соответствии с
пунктом 5.9 и
подпунктами 5.9.1 -
5.9.3.
Гигиеническая оценка искусственного освещения
по результатам проведенных измерений
5.33. Оценку результатов измерений искусственной освещенности проводят в соответствии с
таблицей 2.
Таблица 2
Оценка результатов измерений искусственной освещенности
Вид контроля | Соотношение между измеренными и нормативными значениями освещенности | Оценка результатов измерений |
Система общего освещения | Система комбинированного освещения |
Общее | Суммарно общее и местное |
В эксплуатируемых помещениях | E >= Eн | E >= Eн.о | E >= Eн | Соответствует нормам |
Примечание: E - измеренное значение освещенности (Eизм) с учетом расширенной неопределенности измерений (U): E = Eизм - U; Eн - нормативное значение освещенности (средняя, цилиндрическая) <41>; при совмещенном освещении необходимо учитывать повышение нормативного значения искусственной освещенности на одну ступень по шкале освещенности: 1; 2; 3; 4; 5; 6; 7; 10; 15; 20; 30; 40; 50; 75; 100; 150; 200; 300; 400; 500; 600; 750; 1000; 1250; 1500; 2000; 2500; 3000; 3500; 4000; 4500; 5000 <42>; Eн.о - нормативное значение освещенности от общего освещения в системе комбинированного. |
--------------------------------
5.34. Коэффициент пульсации освещенности (
Kп) в помещении (в оцениваемой зоне) соответствует гигиеническим нормативам
<43>, если его среднее значение с учетом расширенной неопределенности измерений (
U) не превышает нормативное и выполняется условие
Kп +
U <=
Kпн, где
Kпн - нормативное значение.
--------------------------------
5.35. Равномерность освещенности (
Uо) соответствует гигиеническим нормативам
<44>, если ее значение больше или равно нормативному и выполняется условие
Uо >=
Uон, где
Uон - нормативное значение.
--------------------------------
5.36. Вертикальная освещенность на поверхности окна (
Eв.ср) при измерении уровня засветки окон зданий, создаваемых всеми видами установок наружного освещения (например, утилитарное, архитектурное, рекламное и витринное), соответствует гигиеническим нормативам
<45>, если ее среднее значение с учетом расширенной неопределенности измерений (
U) не превышает нормативное, установленное в зависимости от норм средней освещенности (средней яркости) на проезжей части прилегающих улиц, и выполняется условие
Eв.ср +
U <=
Eв.н, где
Eв.н - нормативное значение.
--------------------------------
5.37. Объединенный показатель дискомфорта соответствует гигиеническим нормативам
<46>, если его расчетное значение не превышает нормативное и выполняется условие
UGR <=
UGRн, где
UGRн - нормативное значение.
--------------------------------
VI. ИНСТРУМЕНТАЛЬНЫЙ КОНТРОЛЬ ИСКУССТВЕННОГО ОСВЕЩЕНИЯ
НА ТЕРРИТОРИИ ЖИЛОЙ ЗАСТРОЙКИ
6.1. Измерения средней горизонтальной освещенности на покрытии проезжей части дорог, пешеходных пространств/зон, средней вертикальной и горизонтальной освещенности на площадках входа в жилые здания проводятся в темное время суток или при фоновом естественном освещении, когда отношение естественной освещенности к искусственной составляет не более 0,1.
6.2. Измерения проводятся при отсутствии атмосферных осадков, тумана, задымления.
6.3. Измерения искусственной освещенности проводятся после замены всех перегоревших ламп. Измерение допускается проводить без предварительной подготовки осветительных установок, что отражается в первичных записях и в протоколе измерений.
6.4. До начала проведения измерений рекомендуется обеспечить работу искусственного освещения в штатном режиме в течение времени, необходимого для стабилизации светового потока.
6.5. Для проведения измерений освещенности дорожного покрытия выбирается участок, по возможности не затененный деревьями, припаркованными автомобилями, элементами обустройства дороги и другими стационарными или крупногабаритными объектами. При наличии неустранимых затеняющих объектов измерения проводятся в реальных условиях, что отражается в первичных записях и в протоколе измерений.
6.6. При измерениях по возможности исключается падение теней от человека, деревьев, предметов, а также света от посторонних ИС на измерительный фотометрический датчик. При наличии неустранимых затенений и посторонних ИС измерения выполняются в реальных условиях, что отражается в первичных записях и в протоколе измерений.
6.7. Освещенность определяется прямыми измерениями на нормируемой поверхности в плоскости ее расположения.
Размещение контрольных точек для оценки
искусственного освещения территории
6.8. На освещаемом объекте определяется контрольный участок.
6.8.1. На дороге (транспортной и пешеходной) контрольный участок представляет собой часть прямолинейного горизонтального полотна дороги, ширина которого равна ширине всей дороги (при движении в одну сторону), а длина - шагу S между ОП, расположенными по одной стороне дороги или по центру при установке ОП по осевой линии.
6.8.2. При определении освещенности для шахматной схемы расположения ОП длина контрольного участка S определяется проекцией на продольную ось дороги расстояния между двумя соседними ОП, расположенными на противоположных сторонах дороги.
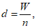
6.8.3. Контрольные точки для измерения средней освещенности дорог располагаются равномерно на участке дорожного покрытия, ограниченном шагом светильников, на расстоянии D = S/N, где S - шаг между ОП, N - число контрольных точек. При шаге между ОП S <= 30 м, число точек N выбирается равным 10 (N = 10), при шаге между ОП S > 30 м - число точек N выбирается таким образом, чтобы расстояние между ними было не более 3 м (D <= 3 м).
Расстояние между контрольными точками в поперечном направлении d определяется как d = Wr/n, где Wr - ширина контрольного участка, n - количество расчетных точек в поперечном направлении, n >= 3 (n = 3 при d <= 1,5 м).
При нанесении сетки отступают от границ контрольного участка на
D/2 в продольном направлении и
d/2 в поперечном направлении, как показано на
рис. (1):
Рис. 1. Расположение контрольных точек при проведении
измерений средней освещенности дорог
1 - светильники; 2 - ширина контрольного участка (Wr);
3 - контрольный участок;

- контрольные точки
измерения освещенности
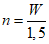
6.8.4. На освещаемых объектах пешеходных пространств/зон (например, придомовые территории, территории образовательных организаций, организаций для детей-сирот и детей, оставшихся без попечения родителей, организаций отдыха и оздоровления детей, детских санаториев, территории центров временного размещения иммигрантов) для проведения измерений средней освещенности применяется сетка контрольных точек, длина и ширина ячейки которой выбирается максимально близкой к 1,5 м по формулам (
12,
13):
Ширина ячейки сетки:

(12)
где: W - ширина площадки, м;

(ближайшее целое число).
Длина ячейки сетки:

(13)
где: L - длина площадки, м;

(ближайшее целое число).
Полоса шириной 0,5 м (+/- 0,05 м) от границ оцениваемой площадки или от ограждающих конструкций исключается из измеряемой зоны.
При нанесении сетки исключаются контрольные точки, расположенные под стационарными объектами и объектами, перемещение которых невозможно в условиях проведения измерений.
6.8.5. Измерения проводятся не менее чем в 10 точках.
6.9. Контрольные точки для измерения средней горизонтальной освещенности площадки основного входа в здание размещаются равномерно в границах площадки. Измерения проводятся не менее чем в 5 точках. Рекомендуется размещать контрольные точки в центре и по углам площадки (метод "конверта").
6.10. Для оценки средней вертикальной освещенности площадки основного входа в здание на вертикальной поверхности ограждающей конструкции здания, ограниченной проекциями границ площадки, на высоте 2,0 м размещаются 5 контрольных точек, равномерно распределенных между границами измеряемой зоны.
Проведение измерений
6.11. При выполнении измерений руководствуются требованиями, изложенными в настоящем разделе и эксплуатационной документации применяемого СИ.
6.12. Прямые измерения проводятся в соответствии с эксплуатационной документацией СИ.
6.13. Измерения проводятся на нормируемой поверхности (на регламентированной высоте (+/- 0,05 м) в плоскости ее расположения), не менее 3 последовательных измерений в каждой точке измерений.
6.14. Датчик поочередно располагается в точках измерений так, чтобы плоскость приемной поверхности была параллельна плоскости нормирования.
6.15. Во время проведения измерений регистрируется информация согласно межгосударственному стандарту
<47> и в соответствии с прописанными в лаборатории требованиями СМК к первичным записям, а также возможности записи результатов в энергонезависимую память СИ в соответствии с эксплуатационной документацией.
--------------------------------
Дополнительно регистрируется информация: дата и время проведения измерений, время включения ОП, метеопараметры, уровень фоновой естественной освещенности, плоскость проведения измерений и ее расположение, тип светильников, параметры их размещения, состояние светильников, число неработающих ламп, тип ИС, а также сведения о лицах, присутствующих при проведении измерений. В первичных записях отражается наличие любых факторов, создающих посторонний свет или затенение, и оказывающих влияние на оценку освещения.
Обработка и оформление результатов измерений
6.16. Результат измерений освещенности в каждой контрольной точке представляется как среднеарифметическое значение не менее 3 последовательных измерений.
6.17. Значения средней освещенности на контрольном участке, а также средней вертикальной освещенности площадки основного входа в здание вычисляются как среднеарифметическое значение полученных результатов измерений освещенностей во всех точках измерения контрольного участка (измеряемой зоны) по
формуле (14) <48>:

(14)
где: Nо - число точек измерений на контрольном участке (в измеряемой зоне);
Ei - значение освещенности в i-й точке измерения, лк.
--------------------------------
6.18. Результаты измерений представляются с расширенной неопределенностью. Алгоритм расчета расширенной неопределенности измерений представлен в
приложении 3 к настоящим МУК.
6.19. Результаты измерений оформляются в виде протокола измерений согласно межгосударственному стандарту
<49> и в соответствии с прописанными в лаборатории требованиями СМК.
--------------------------------
Дополнительно вносится информация в соответствии с
пунктом 6.15, а также данные о СИ (тип СИ и его наименование, заводской номер, регистрационный номер типа СИ в Государственном реестре средств измерений, номер свидетельства и срок действия поверки, погрешность СИ). В протоколе измерений отражается наличие любых факторов, создающих посторонний свет или затенение и оказывающих влияние на оценку освещения.
К протоколу измерений прилагаются графические материалы с обозначением контрольных точек проведения измерений и мест расположения ОП.
Гигиеническая оценка искусственного освещения
по результатам проведенных измерений
6.20. Оценка результатов измерений искусственной освещенности на территории проводится в соответствии с
таблицей 4.
Таблица 4
Оценка результатов измерений искусственной освещенности
на территории
Вид контроля | Соотношение между измеренными и нормативными значениями освещенности | Оценка результатов измерений |
На эксплуатируемых участках | E >= Eн | Соответствует нормам |
Примечание: E - измеренное значение средней освещенности ( Eизм) с учетом расширенной неопределенности измерений ( U): E = Eизм - U; Eн - нормативное значение средней освещенности <50>. |
--------------------------------
к МУК 4.3.3832-22
ТЕСТИРОВАНИЕ ОСВЕТИТЕЛЬНЫХ ПРИБОРОВ И ЭЛЕКТРИЧЕСКИХ ЛАМП
ПО ОТДЕЛЬНЫМ СВЕТОТЕХНИЧЕСКИМ ХАРАКТЕРИСТИКАМ <51>
--------------------------------
<51>
Раздел VI постановления Правительства Российской Федерации от 24.12.2020 N 2255 "Об утверждении требований к осветительным устройствам и электрическим лампам, используемым в цепях переменного тока в целях освещения".
1. Критериями соответствия измеренных значений номинальным являются:
1.1. Значение коррелированной цветовой температуры считают соответствующим номинальному значению, если полученное значение находится в пределах области следующих допустимых значений
(таблица 1.1).
Таблица 1.1
Область допустимых значений коррелированной цветовой
температуры при проведении измерений <*>
Номинальное значение коррелированной цветовой температуры, К | Область допустимых значений, К |
2700 | 2725 +/- 145 |
3000 | 3045 +/- 175 |
3500 | 3465 +/- 245 |
4000 | 3985 +/- 275 |
4500 | 4503 +/- 243 |
5000 | 5028 +/- 283 |
5700 | 5665 +/- 355 |
6500 | 6530 +/- 510 |
Примечание: <*> Измерения проводятся в испытательных лабораториях, аккредитованных на проведение спектральных измерений и определение светотехнических характеристик. |
1.2. Значение общего индекса цветопередачи (Rа) считают соответствующим номинальному значению (Rа.ном) при выполнении соотношения Rа.ном - 2.
к МУК 4.3.3832-22
РЕКОМЕНДУЕМЫЕ ПОКАЗАТЕЛИ ОСВЕЩЕНИЯ УЛИЦ И ДОРОГ
ГОРОДСКИХ И СЕЛЬСКИХ ПОСЕЛЕНИЙ <52>
--------------------------------
I. Классификация городской улично-дорожной сети
Таблица 2.1
Классификация городской улично-дорожной сети
Категория объекта | Класс объекта | Основное назначение объекта | Транспортная характеристика | Расчетная скорость, км/ч | Число полос движения в обоих направлениях | Пропускная способность, тыс. ед./ч |
А. Магистральные дороги и улицы общегородского значения | За пределами центра города <*> | А1 | Транспортные и функциональные оси крупных городов. Выходы на внешние федеральные автомагистрали | Все виды транспорта; движение скоростное, непрерывное; пересечения в разных уровнях; наличие центральной разделительной полосы | 100 | 6 - 8 | Свыше 10 |
А2 | Основные транспортные каналы города, в том числе имеющие выходы на внешние автомагистрали и скоростные дороги | Все виды транспорта; движение непрерывное или регулируемое; пересечение с магистралями в одном или разных уровнях | 80 - 100 | 6 - 8 | 7 - 9 |
В центре города | А3 | Транспортные и функциональные оси исторического центра города. Центральные магистрали, связующие улицы с выходом на магистрали А1 и А2 | Все виды транспорта, кроме грузового, не связанного с обслуживанием центра; движение регулируемое; пересечение с магистралями в одном уровне; интенсивное пешеходное движение | 90 | 6 - 8 | 4 - 7 |
А4 | Основные транспортные каналы исторического центра города, обеспечивают внутренние связи центра. Имеют выход на магистральные улицы общегородского и районного значения | То же | 80 | 4 - 6 | 3 - 5 |
Б. Магистрали и улицы районного значения | За пределами центра города | Б1 | Основные оси районов города. Обеспечивают связи в пределах жилых районов и производственных зон, а также между ними | Все виды транспорта; движение регулируемое; пересечения в одном уровне | 60 - 70 | 4 - 6 | 3 - 5 |
В центре города | Б2 | Оси функционально-планировочных зон исторического центра города. Обеспечивают его внутренние связи. Имеют выход на магистральные улицы общегородского и районного значения | Все виды транспорта, кроме грузового, не связанного с обслуживанием центра; движение регулируемое; пересечения в одном уровне | 60 | 3 - 6 | 2 - 5 |
В. Улицы и дороги местного значения | Жилая застройка за пределами центра города | В1 | Транспортные и пешеходные связи в пределах жилых районов и выход на магистрали, за исключением улиц с непрерывным движением транспорта | Легковой, специальный и обслуживающий район грузовой транспорт, в отдельных случаях допускается общественный пассажирский транспорт; движение регулируемое; пересечения в одном уровне | 60 | 2 - 4 | 1,5 - 3 |
Жилая застройка в центре города | В2 | Транспортные и пешеходные связи в пределах жилых районов и микрорайонов, выход на магистральные улицы центра | Легковой, специальный и обслуживающий район грузовой транспорт; движение регулируемое; пересечения в одном уровне | 60 | 2 - 4 | 1,5 - 3 |
В городских промышленных, коммунальных и складских зонах | В3 | Транспортные связи в пределах производственных и коммунально-складских зон | Все виды транспорта; движение регулируемое; пересечения в одном уровне | 60 | 2 - 4 | 0,5 - 2 |
Примечание: 1) <*> центр города - территория центральной части города, устанавливаемая городскими властями; |
II. Рекомендуемые показатели освещения улиц и дорог
городских населенных пунктов
Таблица 2.2
Рекомендуемые показатели освещения улиц и дорог городских
населенных пунктов с регулярным транспортным движением
Класс объекта | Средняя яркость дорожного покрытия, кд/м2, не менее | Средняя освещенность дорожного покрытия, лк, не менее |
А1 | 2,00 | 30,0 |
А2 | 1,60 | 20,0 |
А3 | 1,40 | 20,0 |
А4 | 1,20 | 20,0 |
Б1 | 1,20 | 20,0 |
Б2 | 1,00 | 15,0 |
В1 | 0,80 | 15,0 |
В2 | 0,60 | 10,0 |
В3 | 0,40 | 6,0 |
Примечание: 1) для проезжей части участков городских улиц и дорог со стандартной геометрией и асфальтобетонным покрытием нормируют среднюю яркость и среднюю освещенность дорожного покрытия; 2) для проезжей части участков городских улиц и дорог с нестандартной геометрией или с покрытием, отличным от асфальтобетонного (например, брусчатка, цементобетонное), или расположенных в северной строительно-климатической зоне азиатской части Российской Федерации либо севернее 66° северной широты европейской части Российской Федерации нормируется средняя освещенность на дорожном покрытии; |
III. Рекомендуемые показатели освещения улиц и дорог
сельских поселений
Таблица 2.3
Рекомендуемые показатели освещения улиц и дорог
сельских поселений
Освещаемые объекты | Средняя освещенность дорожного покрытия, лк, не менее |
Главные улицы, площади общественных и торговых центров | 10,0 |
Улицы в жилой застройке: | |
- основные | 6,0 |
- второстепенные (переулки) | 4,0 |
Поселковые дороги, проезды на территории садовых товариществ и дачных кооперативов | 2,0 |
|
к МУК 4.3.3832-22
АЛГОРИТМ РАСЧЕТА РАСШИРЕННОЙ НЕОПРЕДЕЛЕННОСТИ ИЗМЕРЕНИЙ
I. Алгоритм расчета расширенной неопределенности измерений
показателя в контрольной точке
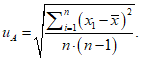
1. Оценка неопределенности результатов измерений с уровнем доверия p = 0,95 проводится в 4 этапа по следующей схеме:
2. Оценивается стандартная неопределенность по типу A (
uA) результата, вычисленного как среднее арифметическое
x из
n измерений, по
формуле (15):

(15)
3. Оценивается стандартная неопределенность по типу B (
uB), обусловленная приборной погрешностью (
b) по
формуле (16):

(16)
Если приборная погрешность
b выражена в процентах, то стандартная неопределенность по типу B (
uB) вычисляется по
формуле (17):

(17)
4. Вычисляется суммарная стандартная неопределенность (
uC) по
формуле (18):

(18)
5. Вычисляется расширенная неопределенность (
Up) по
формуле (19):
где: k - коэффициент охвата, равный 2.
6. Результат измерения представляется в виде:
.
II. Алгоритм расчета расширенной неопределенности измерений
среднего значения показателя в оцениваемой зоне
1. Для каждой контрольной точки оценивается стандартная неопределенность по типу A, стандартная неопределенность по типу B и суммарная стандартная неопределенность результатов измерений.
2. По
формуле (15) вычисляется стандартная неопределенность по типу A результата измерений
uA,i(
xi).
3. По
формуле (16) или
(17) вычисляется стандартная неопределенность по типу B результата измерений
uB,i(
xi).
4. По
формуле (18) вычисляется суммарная стандартная неопределенность результата измерений
uC,i(
xi).
5. Рассчитывается суммарная стандартная неопределенность

результата измерений среднего значения показателя (
xср) в оцениваемой зоне по
формуле (20):

(20)
где: N - число контрольных точек;
uC,i(xi) - суммарная стандартная неопределенность измерений в i-ой точке.
6. Расширенная неопределенность измерений оцениваемого показателя (
xср) определяется по
формуле (21):

(21)
где: k - коэффициент охвата, равный 2.
7. Результат измерения представляется в виде:
.
III. Алгоритм расчета расширенной неопределенности
измерений КЕО
1. Оценивается стандартная неопределенность по типу B результатов измерений внутренней
uB(
Eвн) и наружной
uB(
Eнар) естественной освещенности, проведенных в контрольных точках, расположенных внутри помещения и вне здания, по формулам (
16 или
17).
2. Оценивается стандартная неопределенность по типу A

результата расчета КЕО в контрольной точке, по
формуле (15).
3. Оценивается стандартная неопределенность расчетной величины КЕО по типу B

по
формуле (22):

(22)
где:

- среднее значение КЕО в контрольной точке;
Eвн - среднее значение естественной освещенности в контрольной точке внутри помещения;
Eнар - среднее значение естественной освещенности в контрольной точке вне здания - наружная горизонтальная освещенность;
uB(Eнар) и uB(Eвн) - неопределенность по типу B результатов измерений, проведенных в контрольных точках, расположенных вне здания и внутри помещения соответственно.
4. Вычисляется суммарная стандартная неопределенность

по
формуле (23):

(23)
5. Расширенная неопределенность измерений КЕО
UКЕО определяется по
формуле (24):

(24)
где: k - коэффициент охвата, равный 2.
6. Результат измерения представляется в виде:

.
IV. Пример расчета расширенной неопределенности измерений
средней освещенности (eср) в оцениваемой зоне
1. Измерения искусственной освещенности в помещении проведены в 4 контрольных точках, по 4 последовательных измерения в каждой.
Средняя освещенность в помещении (
Eср, лк) вычисляется по
формуле (7):
где: N - число точек измерения;
Ei - значение освещенности в контрольной точке, лк.
Таблица 3.1
Результаты измерений искусственной освещенности в помещении
N контрольной точки | Фактические уровни освещенности в контрольной точке |
Измерение 1, E1, лк | Измерение 2, E2, лк | Измерение 3, E3, лк | Измерение 4, E4, лк | Значение освещенности в контрольной точке  , лк |
1 | 282 | 286 | 284 | 284 | 284 |
2 | 278 | 281 | 280 | 280 | 280 |
3 | 284 | 288 | 288 | 287 | 287 |
4 | 275 | 277 | 281 | 278 | 278 |
Средняя освещенность в помещении, Eср,  лк | 282 |
2. Расчет расширенной неопределенности измерений в контрольных точках.
3. Оценивается стандартная неопределенность по типу A (
uA) по
формуле (15). Этапы расчета представлены в
таблице 3.2.
Таблица 3.2
Расчет стандартной неопределенности по типу A
N измерения в контрольной точке, j | Ej, лк | |
Контрольная точка N 1 |
1 | 282 | (282 - 284)2 = 4 |
2 | 286 | (286 - 284)2 = 4 |
3 | 284 | (284 - 284)2 = 0 |
4 | 284 | (284 - 284)2 = 0 |
n(n - 1) = 4(4 - 1) = 12 | | |
Контрольная точка N 2 |
1 | 278 | (278 - 280)2 = 4 |
2 | 281 | (281 - 280)2 = 1 |
3 | 280 | (280 - 280)2 = 0 |
4 | 280 | (280 - 280)2 = 0 |
n(n - 1) = 4(4 - 1) = 12 | | |
Контрольная точка N 3 |
1 | 284 | (284 - 287)2 = 9 |
2 | 288 | (288 - 287)2 = 1 |
3 | 288 | (288 - 287)2 = 1 |
4 | 287 | (287 - 287)2 = 0 |
n(n - 1) = 4(4 - 1) = 12 | | |
Контрольная точка N 4 |
1 | 275 | (275 - 278)2 = 9 |
2 | 277 | (277 - 278)2 = 1 |
3 | 281 | (281 - 278)2 = 9 |
4 | 278 | (278 - 278)2 = 0 |
n(n - 1) = 4(4 - 1) = 12 | | |
-

(или 0,8/284 = 0,003 = 0,3%)
-

(или 0,6/280 = 0,002 = 0,2%)
-

(или 1,0/287 = 0,003 = 0,3%)
-

(или 1,3/278 = 0,005 = 0,5%)
4. Оценивается стандартная неопределенность по типу B (
uB), обусловленная приборной погрешностью по
формуле (17) настоящего документа:

(или 13,1/284 = 0,046 = 4,6%)

(или 12,9/280 = 0,046 = 4,6%)

(или 13,3/287 = 0,046 = 4,6%)

(или 12,9/278 = 0,046 = 4,6%)
5. Вычисляется суммарная стандартная неопределенность (
uC) по
формуле (18):

(или 13,1/284 = 0,046 = 4,6%)

(или 12,9/280 = 0,046 = 4,6%)

(или 13,3/287 = 0,046 = 4,6%)

(или 13,0/278 = 0,047 = 4,7%)
6. Вычисляется суммарная стандартная неопределенность измерений средней освещенности в помещении

по
формуле (20):
(или 6,5/282 = 0,023 = 2,3%).
7. Вычисляется расширенная неопределенность измерений средней освещенности в помещении

по
формуле (21):

(или 13,0/282 = 0,046 = 4,6%).
8. Результат измерений средней освещенности в помещении: 282 +/- 13,0 лк.
V. Пример расчета расширенной неопределенности измерений КЕО
в контрольной точке
1. Полученные результаты измерений внутренней и наружной естественной освещенности в двух контрольных точках, расположенных внутри и вне здания, представлены в
таблице 3.3.
Таблица 3.3
Результаты измерений естественной освещенности
Контрольные точки | Результаты последовательных измерений в контрольной точке, Ei, лк |
Измерение 1 | Измерение 2 | Измерение 3 | Измерение 4 | Среднее значение |
Внутри помещения | 180 | 200 | 220 | 200 | 10,0 |
Вне здания | 1900 | 2000 | 2100 | 2000 |
КЕО, % | 9,5 | 10,0 | 10,5 | 10,0 |
2. Вычисляется КЕО в контрольной точке для каждой пары одновременных измерений по
формуле (2).
3. Среднее значение КЕО в контрольной точке вычисляется как среднеарифметическое значений КЕО: (9,5 + 10,0 + 10,5 + 10,0)/4 = 10,0%.
4. Оценивается стандартная неопределенность по типу A (
uA) результатов вычисления КЕО по
формуле (15). Этапы расчета представлены в
таблице 3.4.
Таблица 3.4
Расчет стандартной неопределенности по типу A
N измерения | ei, % | |
1 | 9,5 | (9,5 - 10,0)2 = 0,25 |
2 | 10,0 | (10,0 - 10,0)2 = 0 |
3 | 10,5 | (10,5 - 10,0)2 = 0,25 |
4 | 10,0 | (10,0 - 10,0)2 = 0 |
n(n - 1) = 4(4 - 1) = 12 | | |
5. Оценивается стандартная неопределенность по типу B (
uB) результатов измерений естественной освещенности, проведенных в контрольных точках, расположенных внутри помещения и вне здания, по
формуле (17):
6. Оценивается стандартная неопределенность расчетной величины КЕО по типу B

по
формуле (22):
7. Оценивается суммарная стандартная неопределенность

по
формуле (23):
8. Расширенная неопределенность измерений КЕО (
UКЕО) определяется по
формуле (24), коэффициент охвата
k = 2:
UКЕО = 2·0,73 = 1,5%.
9. Результат измерения КЕО в помещении: 10,0 +/- 1,5%.
к МУК 4.3.3832-22
ГРУППЫ АДМИНИСТРАТИВНЫХ РАЙОНОВ РОССИЙСКОЙ ФЕДЕРАЦИИ
И КОЭФФИЦИЕНТЫ СВЕТОВОГО КЛИМАТА
I. Группы административных районов по ресурсам
светового климата
Таблица 4.1
Группы административных районов по ресурсам
--------------------------------
Номер группы административных районов N | Административный район |
1 | Владимирская, Калужская области, Камчатский край, Кемеровская область, Красноярский край (севернее 63° с.ш.), Курганская, Московская области, г. Москва, Нижегородская, Новосибирская области, Пермский край, Рязанская область, Республика Башкортостан, Республика Марий Эл, Республика Мордовия, Республика Татарстан (Татарстан), Республика Саха (Якутия) (севернее 63° с.ш.), Свердловская, Смоленская, Тульская, Тюменская области, Удмуртская Республика, Хабаровский край (севернее 55° с.ш.), Челябинская область, Чувашская Республика - Чувашия, Чукотский автономный округ |
2 | Белгородская, Брянская, Волгоградская, Воронежская области, Еврейская автономная область, Забайкальский край, Кабардино-Балкарская Республика, Красноярский край (южнее 63° с.ш.), Иркутская, Курская, Липецкая, Магаданская, Оренбургская, Орловская, Пензенская области, Алтайский край, Республика Бурятия, Республика Ингушетия, Республика Коми, Республика Саха (Якутия) (южнее 63° с.ш.), Республика Северная Осетия - Алания, Республика Тыва, Республика Хакасия, Омская, Самарская, Саратовская, Сахалинская, Тамбовская, Томская, Ульяновская области, Хабаровский край (южнее 55° с.ш.), Ханты-Мансийский автономный округ - Югра, Чеченская Республика |
3 | Вологодская, Ивановская, Калининградская, Кировская, Костромская, Ленинградская области, Ненецкий автономный округ, Новгородская, Псковская области, Республика Карелия, г. Санкт-Петербург, Тверская область, Ямало-Ненецкий автономный округ, Ярославская область |
4 | Архангельская, Мурманская области |
5 | Астраханская, Амурская области, Карачаево-Черкесская Республика, Краснодарский край, Приморский край, Республика Адыгея, Республика Дагестан, Республика Калмыкия, Республика Крым, Ростовская область, г. Севастополь, Ставропольский край |
Примечание: административные районы Российской Федерации объединены в группы по ресурсам светового климата по критерию суммарного количества освещенности, поступающей в помещение в течение года. |
II. Коэффициенты светового климата в зависимости от группы
административного района и ориентации световых проемов
по сторонам горизонта <54>
--------------------------------
Таблица 4.2
Коэффициенты светового климата в зависимости от группы
административного района и ориентации световых проемов
по сторонам горизонта
Световые проемы | Ориентация световых проемов по сторонам горизонта | Коэффициент светового климата CN |
Номер группы административных районов N |
1 | 2 | 3 | 4 | 5 |
В наружных стенах зданий | С | 1 | 1,11 | 0,91 | 0,83 | 1,25 |
| СВ-СЗ | 1 | 1,11 | 0,91 | 0,83 | 1,25 |
| З-В | 1 | 1,11 | 0,91 | 0,91 | 1,25 |
| ЮВ-ЮЗ | 1 | 1,18 | 1,00 | 0,91 | 1,25 |
| Ю | 1 | 1,18 | 1,00 | 0,91 | 1,33 |
В прямоугольных и трапециевидных фонарях | С-Ю | 1 | 1,11 | 0,91 | 0,83 | 1,33 |
| СВ-ЮЗ | 1 | 1,11 | 0,83 | 0,83 | 1,43 |
| ЮВ-СЗ | | | | | |
| В-З | 1 | 1,11 | 0,91 | 0,83 | 1,43 |
В фонарях типа "шед" | С | 1 | 1,11 | 0,83 | 0,83 | 1,43 |
В зенитных фонарях | - | 1 | 1,11 | 0,83 | 0,83 | 1,33 |
Примечание: 1) С - север; СВ - северо-восток; СЗ - северо-запад; В - восток; З - запад; С-Ю - север-юг; В-З - восток-запад; Ю - юг; ЮВ - юго-восток; ЮЗ - юго-запад. 2) Группы административных районов Российской Федерации по ресурсам светового климата приведены в таблице 4.1 приложения 4 к настоящим МУК. |
к МУК 4.3.3832-22
АЛГОРИТМ ПРОВЕДЕНИЯ ИЗМЕРЕНИЙ ИСКУССТВЕННОЙ ОСВЕЩЕННОСТИ
ПРИ ФОНОВОМ ЕСТЕСТВЕННОМ ОСВЕЩЕНИИ
Примечание:
Eсум - суммарная освещенность (естественная и искусственная освещенность) в контрольной точке, лк;
Eест - естественная освещенность в контрольной точке, лк;
Eиск - искусственная освещенность в контрольной точке, лк;

- погрешность средства измерения освещенности, %.
к МУК 4.3.3832-22
ОПРЕДЕЛЕНИЕ ФАКТИЧЕСКОГО ЗНАЧЕНИЯ ОСВЕЩЕННОСТИ
ПРИ ОТКЛОНЕНИИ НАПРЯЖЕНИЯ В СЕТИ ОТ НОМИНАЛЬНОГО
--------------------------------
1. При отклонении напряжения в сети от номинального значения более чем на 5% фактическое значение освещенности
Eф, лк, вычисляют по
формуле (25):

(25)
где: E - измеренные значения минимальной, средней, цилиндрической освещенности, лк;
Uном - номинальное напряжение в сети, В;
K - коэффициент, равный 0 для светодиодов с импульсными блоками питания, 1 - для люминесцентных ламп при использовании емкостного балластного сопротивления и электронных ПРА, 2 - для люминесцентных ламп при использовании индуктивного балластного сопротивления и дуговых ртутных ламп, 3 - для металлогалогенных ламп, дуговых ртутных ламп с излучающими добавками, натриевых ламп высокого давления, 4 - для ламп накаливания и светодиодов с мостовыми схемами включения;
Uср - среднее значение напряжения, вычисляемое по
формуле (26):

(26)
где: U1 - напряжение в сети в начале измерения, В;
U2 - напряжение в сети в конце измерения, В.
1. Федеральный
закон от 30.03.1999 N 52-ФЗ "О санитарно-эпидемиологическом благополучии населения".
2. Федеральный
закон от 29.12.2004 N 188-ФЗ "Жилищный кодекс Российской Федерации".
3. Федеральный
закон от 28.12.2013 N 412-ФЗ "Об аккредитации в национальной системе аккредитации".
4. Федеральный
закон от 26.06.2008 N 102-ФЗ "Об обеспечении единства измерений".
5. Федеральный
закон от 30.12.2009 N 384-ФЗ "Технический регламент о безопасности зданий и сооружений".
6. Технический
регламент Евразийского экономического союза "О требованиях к энергетической эффективности энергопотребляющих устройств" (ТР ЕАЭС 048/2019).
7.
Постановление Правительства Российской Федерации от 24.12.2020 N 2255 "Об утверждении требований к осветительным устройствам и электрическим лампам, используемым в цепях переменного тока в целях освещения".
8.
Постановление Правительства Российской Федерации от 16.11.2020 N 1847 "Об утверждении перечня измерений, относящихся к сфере государственного регулирования обеспечения единства измерений".
9.
Постановление Правительства Российской Федерации от 28.05.2021 N 815 "Об утверждении перечня национальных стандартов и сводов правил (частей таких стандартов и сводов правил), в результате применения которых на обязательной основе обеспечивается соблюдение требований Федерального закона "Технический регламент о безопасности зданий и сооружений", и о признании утратившим силу Постановления Правительства Российской Федерации от 04.07.2020 г. N 985".
10.
СанПиН 1.2.3685-21 "Гигиенические нормативы и требования к обеспечению безопасности и (или) безвредности для человека факторов среды обитания".
11.
СанПиН 2.1.3684-21 "Санитарно-эпидемиологические требования к содержанию территорий городских и сельских поселений, к водным объектам, питьевой воде и питьевому водоснабжению, атмосферному воздуху, почвам, жилым помещениям, эксплуатации производственных, общественных помещений, организации и проведению санитарно-противоэпидемических (профилактических) мероприятий".
12.
СП 2.1.3678-20 "Санитарно-эпидемиологические требования к эксплуатации помещений, зданий, сооружений, оборудования и транспорта, а также условиям деятельности хозяйствующих субъектов, осуществляющих продажу товаров, выполнение работ или оказание услуг".
13.
СП 2.3.6.3668-20 "Санитарно-эпидемиологические требования к условиям деятельности торговых объектов и рынков, реализующих пищевую продукцию".
14.
СанПиН 2.3/2.4.3590-20 "Санитарно-эпидемиологические требования к организации общественного питания населения".
15.
СП 2.4.3648-20 "Санитарно-эпидемиологические требования к организациям воспитания и обучения, отдыха и оздоровления детей и молодежи".
16.
СП 1.1.1058-01 "Организация и проведение производственного контроля за соблюдением санитарных правил и выполнением санитарно-противоэпидемических (профилактических) мероприятий".
17.
МР 2.4.0242-21 "Методические рекомендации по обеспечению санитарно-эпидемиологических требований к организациям воспитания и обучения, отдыха и оздоровления детей и молодежи".
18.
СП 52.13330.2016 "Естественное и искусственное освещение. Актуализированная редакция СНиП 23-05-95*".
19.
СП 367.1325800.2017 "Здания жилые и общественные. Правила проектирования естественного и совмещенного освещения".
20.
СП 23-102-2003 "Естественное освещение жилых и общественных зданий".
21.
ГОСТ 24940 "Здания и сооружения. Методы измерения освещенности".
22.
ГОСТ 26824 "Здания и сооружения. Методы измерения яркости".
23.
ГОСТ 33175 "Дороги автомобильные общего пользования. Горизонтальная освещенность от искусственного освещения. Методы контроля".
24.
ГОСТ 33392 "Здания и сооружения. Метод определения показателя дискомфорта при искусственном освещении помещений".
25.
ГОСТ 33393 "Здания и сооружения. Методы измерения коэффициента пульсации освещенности".
26.
ГОСТ 34819 "Приборы осветительные. Светотехнические требования и методы испытаний".
27.
ГОСТ Р 50949 "Средства отображения информации индивидуального пользования. Методы измерений и оценки эргономических параметров и параметров безопасности".
28.
ГОСТ Р 55392 "Приборы и комплексы осветительные. Термины и определения".
29.
ГОСТ Р 55706 "Освещение наружное утилитарное. Классификация и нормы".
30.
ГОСТ Р 55707 "Освещение наружное утилитарное. Методы измерений нормируемых параметров".
31.
ГОСТ Р 55708 "Освещение наружное утилитарное. Методы расчета нормируемых параметров".
32.
ГОСТ Р 55709 "Освещение рабочих мест вне зданий. Нормы и методы измерений".
33.
ГОСТ Р 55710 "Освещение рабочих мест внутри зданий. Нормы и методы измерений".
34.
ГОСТ Р 55840 "Источники света и приборы осветительные. Представление данных для расчета освещения".
35.
ГОСТ Р 56228 "Освещение искусственное. Термины и определения".
36.
ГОСТ Р 8.971 "Лампы, светильники и модули светодиодные. Методы измерения фотометрических и колориметрических характеристик".
37.
ГОСТ Р МЭК 62471 "Лампы и ламповые системы. Светобиологическая безопасность".
38.
ГОСТ ISO/IEC 17025 "Общие требования к компетентности испытательных и калибровочных лабораторий".
39.
ГОСТ Р ИСО/МЭК 17020 "Оценка соответствия. Требования к работе различных типов органов инспекции".
40.
ГОСТ 34100.1-2017/ISO/IEC Guide 98-1:2009 "Неопределенность измерения. Часть 1. Введение в руководства по выражению неопределенности измерения".
41.
ГОСТ 34100.3-2017/ISO/IEC Guide 98-3:2008 "Неопределенность измерения. Часть 3. Руководство по выражению неопределенности измерения".
42.
ГОСТ Р ИСО 10576-1 "Статистические методы. Руководство по оценке соответствия установленным требованиям. Часть 1. Общие принципы".
43. МИ СС.ИНТ-07.01 "Методика измерений показателей световой среды для целей специальной оценки условий труда".
44. Письмо Роспотребнадзора от 13.06.2012 N 01/6620-12-32 "Об оценке данных, получаемых при инструментальных измерениях физических факторов неионизирующей природы".
ТЕРМИНЫ И ОПРЕДЕЛЕНИЯ
С целью применения настоящих МУК используются следующие понятия:
Световая среда - полная совокупность внешних световых факторов, способных повлиять на зрительное восприятие человеком окружающей обстановки.
Внутреннее освещение - освещение объектов, находящихся внутри помещений, и/или их окружения.
Наружное освещение - освещение объектов, находящихся вне зданий, и/или их окружения. Наружное освещение подразделяют на утилитарное, архитектурное, ландшафтное, рекламное, спортивное, производственное, охранное.
Утилитарное наружное освещение - стационарное освещение, обеспечивающее безопасное и комфортное движение транспортных средств и пешеходов на дорогах, улицах, велосипедных дорожках и в пешеходных зонах парков и скверов в темное время суток.
Естественное освещение - освещение помещений светом неба (прямым или отраженным), проникающим через световые проемы в наружных ограждающих конструкциях, а также через световоды.
Комбинированное естественное освещение - сочетание верхнего и бокового естественного освещения.
Боковое естественное освещение - естественное освещение помещения через световые проемы в наружных стенах.
Верхнее естественное освещение - естественное освещение помещения через фонари, световые проемы в стенах в местах перепада высоты здания.
Двухстороннее боковое естественное освещение - естественное освещение помещения за счет светопроемов, расположенных в различных плоскостях двух стен.
Коэффициент естественной освещенности (КЕО), e, % - отношение естественной освещенности, создаваемой в расчетной (контрольной) точке заданной плоскости внутри помещения светом неба (непосредственным или после отражений), к одновременно измеренному значению наружной горизонтальной освещенности, создаваемой светом полностью открытого небосвода; при этом участие прямого солнечного света в создании той или другой освещенности исключается.
Расчетное значение КЕО, eр, % - значение, полученное расчетным путем при оценке естественного или совмещенного освещения помещений.
Коэффициент светового климата, CN, относительные единицы - коэффициент, учитывающий особенности светового климата района строительства, N - номер группы административных районов. Коэффициент светового климата CN - величина, обратная ранее применявшемуся коэффициенту mN (CN = 1/mN).
Искусственное освещение - освещение помещения источниками искусственного света при недостатке естественного освещения.
Комбинированное искусственное освещение - искусственное освещение, при котором к общему искусственному освещению добавляется местное.
Общее освещение - освещение, при котором светильники размещаются в верхней зоне помещения равномерно (общее равномерное освещение) или применительно к расположению оборудования (общее локализованное освещение).
Местное освещение - освещение, дополнительное к общему, создаваемое светильниками, концентрирующими световой поток непосредственно на рабочих местах и имеющее независимое от него управление.
Локализованное освещение - освещение зон с повышенными требованиями к уровню освещенности.
Совмещенное освещение - освещение, при котором недостаточное по нормам естественное освещение дополняется искусственным в течение полного рабочего дня.
Освещенность (E), лк - физическая величина, определяемая отношением светового потока, падающего на элемент поверхности, содержащий рассматриваемую точку, к площади этого элемента.
Горизонтальная освещенность, лк - освещенность на горизонтальной плоскости.
Вертикальная освещенность, лк - освещенность на вертикальной плоскости.
Минимальная освещенность (Eмин), лк - наименьшее значение освещенности в помещении, на освещаемом участке, в рабочей зоне.
Средняя освещенность (Eср), лк - освещенность, усредненная по площади освещаемого помещения, участка, рабочей зоны.
Средняя освещенность на дорожном покрытии, лк - освещенность на дорожном покрытии, средневзвешенная по площади заданного участка.
Средняя яркость дорожного покрытия, кд/м2 - яркость сухого дорожного покрытия в направлении глаза наблюдателя, находящегося в стандартных условиях наблюдения на оси полосы движения транспорта, средневзвешенная по площади проезжей части заданного участка.
Пульсация освещенности - изменение освещенности на рабочей поверхности в результате изменения во времени светового потока источников света в осветительной установке.
Коэффициент пульсации освещенности (Kп), % - критерий оценки относительной глубины колебаний освещенности в осветительной установке в результате изменения во времени светового потока источников света при их питании переменным током, выражающийся формулой

, где:
Eмакс - максимальное значение освещенности за период ее колебания, лк;
Eмин - минимальное значение освещенности за период ее колебания, лк;
Eср - среднее значение освещенности за этот же период, лк. Коэффициент пульсации освещенности учитывает пульсацию светового потока до 300 Гц. Пульсация освещенности свыше 300 Гц не оказывает влияния на общую и зрительную работоспособность. Соблюдение норм коэффициента пульсации освещенности позволяет предотвратить отрицательное влияние стробоскопического эффекта и снизить зрительное и общее утомление человека.
Объединенный показатель дискомфорта (UGR), относительные единицы - критерий оценки дискомфортной блескости, вызывающей неприятные ощущения при неравномерном распределении яркостей в поле зрения.
Цветопередача - общее понятие, характеризующее влияние спектрального состава источника света на зрительное восприятие цветных объектов, сознательно или бессознательно сравниваемое с восприятием тех же объектов, освещенных стандартным источником света.
Индекс цветопередачи (Rа) - мера соответствия зрительных восприятий цветного объекта, освещенного исследуемым и стандартным источниками света при определенных условиях наблюдения (с учетом хроматической адаптации наблюдателя).
Общий индекс цветопередачи - величина, предназначенная для определения степени соответствия цвета объектов, освещенных исследуемым осветительным прибором, цвету этих объектов при эталонном освещении. Общий индекс цветопередачи характеризуется степенью соответствия визуального восприятия цвета восьми эталонных образцов, освещенных исследуемым осветительным прибором, с цветом тех же образцов, освещенных эталонным источником света, учитывая цветовую адаптацию. Общий индекс цветопередачи может достигать максимального значения, равного 100, когда спектральное распределение излучения испытуемого осветительного прибора и эталонного источника совпадают.
Коррелированная цветовая температура КЦТ, (Tцк), К - температура излучателя Планка (черного тела), имеющего значения координат цветности, наиболее близкие к значениям координат цветности, соответствующим спектральному распределению излучения рассматриваемого объекта.
Цилиндрическая освещенность (Eц), лк - отношение светового потока, падающего на боковую поверхность бесконечно малого цилиндра с центром в заданной точке, к площади боковой поверхности этого цилиндра.
Примечания:
- если не оговорено иное, то ось цилиндра должна быть расположена вертикально;
- применительно к внутреннему освещению цилиндрическую освещенность используют в качестве критерия оценки насыщенности помещения светом.
Равномерность освещенности (Uо) - отношение значения минимальной освещенности к значению средней освещенности поверхности: Uо = Eмин/Eср, где: Uо - равномерность освещенности; Eмин - минимальная освещенность поверхности, лк; Eср - средняя освещенность поверхности, лк.
Энергетическая освещенность ультрафиолетового излучения (Ee), Вт/м2 - поверхностная плотность потока энергии, падающая на единицу облучаемой площади.
Помещение с постоянным пребыванием людей - помещение, в котором люди находятся большую часть (более 50%) своего рабочего времени в течение суток или более 2 ч непрерывно.
Темное время суток - промежуток времени от конца вечерних сумерек до начала утренних сумерек.
Посторонний свет - свет, попадающий в рассматриваемую область от осветительных установок, не предназначенных для ее освещения.
Рабочая поверхность - поверхность, на которой проводится работа, нормируется и измеряется освещенность.
Условная рабочая поверхность - условная горизонтальная поверхность, расположенная на высоте 0,8 м от пола.
Зрительная работа - видение объекта, характеризуемое размером объекта различения, его яркостью, контрастом с фоном и продолжительностью работы.
Зона зрительной работы - часть рабочей поверхности, на которой выполняют зрительную работу.
Характерный разрез помещения - поперечный разрез посредине помещения, плоскость которого перпендикулярна плоскости остекления световых проемов (при боковом освещении) или продольной оси пролетов помещения. В характерный разрез помещения должны попадать участки с наибольшим числом рабочих мест, а также точки рабочей зоны, наиболее удаленные от световых проемов.
Сетка контрольных точек - организация расположения контрольных точек и определения их количества на рабочей поверхности для расчета и измерения показателей освещения.
Контрольный участок - часть площади объекта освещения (например, дороги, улицы, площади) установленных формы и размеров, предназначенная для проведения измерений.
Точка измерений (контрольная точка) - точка пространства, в которой осуществляется измерение и размещается датчик средства измерения.
Группа результатов измерений величин - несколько результатов измерений (не менее четырех, n >= 4), полученных при измерениях одной и той же величины, выполненных с одинаковой тщательностью, одним и тем же средством измерений, одним и тем же методом и одним и тем же оператором.
Осветительный прибор - прибор, перераспределяющий излучение одного или нескольких источников света и содержащий оптическую систему, элементы крепления источников света внутри осветительного прибора, подключения осветительного прибора к системе питания, помещенные в корпус с выходным отверстием и узлом крепления осветительного прибора, обеспечивающего защиту источников света и оптическую систему от внешних воздействий окружающей среды, защиту от прикосновения к токоведущим частям осветительного прибора.
Светильник - осветительный прибор, перераспределяющий излучение источника света внутри больших, вплоть до

, телесных углов.
Источник света - устройство, излучающее свет в результате преобразования электрической энергии.
Маркировка источника света или осветительного прибора - комбинация цифр и букв, используемая для идентификации источника света или осветительного прибора.
Номинальное значение - количественное значение параметра, заявленное производителем.
Время стабилизации - время, необходимое для достижения стабильных тепловых условий осветительного прибора.
Выходное отверстие (светильника) - окно в осветительной арматуре светильника, предназначенное для выхода света в окружающее пространство (термин применяют для светильников, оптическая система которых содержит экранирующие свет элементы (отражатель, решетку).
Габаритная яркость - средняя яркость светящей поверхности осветительного прибора, видимой в данном направлении; определяется отношением силы света осветительного прибора в данном направлении к площади проекции его светящей поверхности на плоскость, перпендикулярную к этому направлению.
Зона ограничения яркости - часть внешнего пространства, в пределах которого значения габаритной и/или максимальной яркости светильника не должны превышать нормируемых значений.
Защитный угол - угол в характерной плоскости, в пределах которого глаз наблюдателя защищен от прямого излучения источников света в светильниках, имеющих открытое выходное отверстие или перекрытое прозрачным защитным стеклом или светоотражающей решеткой как для нижней, так и для верхней полусферы.