Главная // Актуальные документы // ГОСТ Р (Государственный стандарт)СПРАВКА
Источник публикации
М.: Стандартинформ, 2008
Примечание к документу
Документ включен в
Перечень документов в области стандартизации, содержащих правила и методы исследований (испытаний) и измерений, в том числе правила отбора образцов, необходимых для применения и исполнения Федерального
закона от 27.12.2009 N 347-ФЗ и осуществления оценки соответствия (
Распоряжение Правительства РФ от 29.07.2010 N 1284-р).
С 1 июля 2003 года до вступления в силу технических регламентов акты федеральных органов исполнительной власти в сфере технического регулирования носят рекомендательный характер и подлежат обязательному исполнению только в части, соответствующей целям, указанным в
пункте 1 статьи 46 Федерального закона от 27.12.2002 г. N 184-ФЗ.
Документ
введен в действие с 1 июля 2002 года.
Название документа
"ГОСТ Р 50949-2001. Государственный стандарт Российской Федерации. Средства отображения информации индивидуального пользования. Методы измерений и оценки эргономических параметров и параметров безопасности"
(принят и введен в действие Постановлением Госстандарта РФ от 25.12.2001 N 576-ст)
"ГОСТ Р 50949-2001. Государственный стандарт Российской Федерации. Средства отображения информации индивидуального пользования. Методы измерений и оценки эргономических параметров и параметров безопасности"
(принят и введен в действие Постановлением Госстандарта РФ от 25.12.2001 N 576-ст)
Принят и введен в действие
Постановлением Госстандарта РФ
от 25 декабря 2001 г. N 576-ст
ГОСУДАРСТВЕННЫЙ СТАНДАРТ РОССИЙСКОЙ ФЕДЕРАЦИИ
СРЕДСТВА ОТОБРАЖЕНИЯ ИНФОРМАЦИИ ИНДИВИДУАЛЬНОГО ПОЛЬЗОВАНИЯ
МЕТОДЫ ИЗМЕРЕНИЙ И ОЦЕНКИ
ЭРГОНОМИЧЕСКИХ ПАРАМЕТРОВ И ПАРАМЕТРОВ БЕЗОПАСНОСТИ
Display means for individual use. Methods of measurement
and assessment of ergonomic and safety parameters
ГОСТ Р 50949-2001
Группа Т58
Дата введения
1 июля 2002 года
1. Разработан Автономной некоммерческой организацией "Научно-технический центр сертификации электрооборудования" (ИСЭП), Московским государственным институтом электроники и математики (технический университет) с участием ВНИИстандарта, Научного центра социально-производственных проблем охраны труда.
Внесен Техническим комитетом по стандартизации ТК 407 "Средства отображения информации".
2. Принят и введен в действие Постановлением Госстандарта России от 25 декабря 2001 г. N 576-ст.
3. Настоящий стандарт в части методов измерений и оценки визуальных эргономических параметров соответствует международному стандарту ИСО 9241-3-92; в части методов измерений параметров полей - шведскому стандарту МПР 1990:8-12-01-1990.
5. Переиздание. Июнь 2005 г.
Настоящий стандарт распространяется на средства отображения информации индивидуального пользования на электронно-лучевых трубках (ЭЛТ) и на плоских дискретных экранах (дисплеи, видеомониторы, видеомодули, видеодисплейные терминалы), являющиеся оконечными устройствами отображения средств информатизации и вычислительной техники, а также на устройства отображения портативных компьютеров (далее - дисплеи).
Стандарт устанавливает методы измерения и оценки следующих эргономических параметров и параметров безопасности, регламентированных
ГОСТ Р 50948:
- яркость изображения;
- неравномерность яркости рабочего поля экрана;
- неравномерность яркости элементов знаков на плоских дискретных экранах;
- контрастность деталей изображения;
- контрастность изображения на плоских экранах в зависимости от угла наблюдения;
- контрастность соседних уровней кодирования яркостью;
- постоянство размера знака;
- ширина контура знака;
- пространственные искажения изображения по рабочему полю;
- пространственная нестабильность изображения (дрожания);
- несведение цветов;
- временная нестабильность изображения (мелькания);
- электростатический потенциал экрана;
- напряженность переменного электрического поля;
- плотность магнитного потока.
В настоящем стандарте использованы ссылки на следующие стандарты:
ГОСТ 12.3.019-80. Система стандартов безопасности труда. Испытания и измерения электрические. Общие требования безопасности
ГОСТ 7721-89. Источники света для измерений цвета. Типы. Технические требования. Маркировка
ГОСТ 15150-69. Машины, приборы и другие технические изделия. Исполнения для различных климатических районов. Категории, условия эксплуатации, хранения и транспортирования в части воздействия климатических факторов внешней среды
ГОСТ 21552-84. Средства вычислительной техники. Общие технические требования, приемка, методы испытаний, маркировка, упаковка, транспортирование и хранение
ГОСТ 24940-96. Здания и сооружения. Методы измерения освещенности
ГОСТ Р 50948-2001. Средства отображения информации индивидуального пользования. Общие эргономические требования и требования безопасности.
В настоящем стандарте применяются термины с соответствующими определениями по
ГОСТ Р 50948, а также приведенные ниже:
системная установка параметров дисплея: реализация значений параметров дисплея посредством программного управления электронной вычислительной машиной (ЭВМ);
разрешение, поддерживаемое дисплеем: стандартный набор количества элементов изображения (пикселей) по вертикали и горизонтали и значения частоты обновления изображения;
уровень кодирования яркостью: программно установленная ступень шкалы градаций яркости, используемых при кодировании информации;
верхний уровень кодирования яркостью: уровень кодирования яркостью, устанавливающий наибольшую яркость используемой градационной шкалы яркости 100% (255
<*>);
нижний уровень кодирования яркостью: уровень кодирования яркостью, устанавливающий наименьшую яркость используемой градационной шкалы яркости 0% (0
<*>);
люминофорное пятно ЭЛТ: наименьший по площади участок люминофорного покрытия экрана ЭЛТ, излучающий свет одного из основных цветов;
проектная высота знака: высота знака, равная 3 мм, соответствующая расстоянию наблюдения 500 мм и оптимальному угловому размеру знака 20';
режимная составляющая погрешности: составляющая погрешности измерения, обусловленная погрешностью установления и поддержания параметров режима (условий измерения).
--------------------------------
<*> В скобках указаны уровни градационной шкалы яркости.
4.1. Средства измерения визуальных эргономических параметров
4.1.1. Яркомер
Предназначен для измерения яркости участков рабочего поля экрана: круглых участков диаметром от не более 0,1 мм до не менее 5 мм, прямоугольных участков шириной не более 0,05 мм, длиной от 2,0 до 5,0 мм.
Пределы измерения - от не более 1,0 кд/м2 до не менее 20000 кд/м2.
Основная погрешность измерения - не более 10%.
Погрешность коррекции относительной спектральной чувствительности фотоприемника под относительную спектральную световую эффективность монохроматического излучения для дневного зрения - не более 10%.
4.1.2. Люксметр
Предназначен для измерения освещенности. Минимальная измеряемая освещенность - не более 5 лк. Основная погрешность измерения - не более 10%.
Погрешность коррекции относительной спектральной чувствительности фотоприемника под относительную спектральную световую эффективность монохроматического излучения для дневного зрения - не более 10%.
4.1.3. Источник света типа А по
ГОСТ 7721. Используется при измерении коэффициента диффузного отражения экрана дисплея.
4.1.4. Матовая поверочная пластина с коэффициентом диффузного отражения 0,95 - 0,98. Используется при измерении коэффициента диффузного отражения экрана дисплея.
4.1.5. Микроскоп
Предназначен для оценки пространственной нестабильности изображения.
Кратность увеличения - не менее 20.
Минимальная цена деления шкалы окулярной сетки - не более 0,015 мм.
4.1.6. Линейка беспараллаксная
Предназначена для определения линейных размеров изображения на экране.
Пределы измерения - от 10 до 400 мм.
Цена деления - не более 0,1 мм.
4.2. Средства измерения параметров полей
4.2.1. Измерители электростатического поля
4.2.1.1. Измеритель электростатического потенциала поверхности экрана.
Предназначен для непосредственного измерения электростатического потенциала поверхности экрана.
Пределы измерения +/- 20 кВ.
Минимальная цена деления - не более 200 В.
Основная погрешность измерения - не более 10%.
4.2.1.2. Измеритель напряженности электростатического поля.
Предназначен для измерения напряженности электростатического поля перед экраном дисплея.
Пределы измерения - от 1,0 до 200 кВ/м.
Основная погрешность измерения - не более 10%.
4.2.2. Измеритель напряженности переменного электрического поля
Предназначен для измерения среднеквадратического значения напряженности переменного электрического поля в двух диапазонах частот:
диапазон I - от 5 Гц до 2 кГц;
диапазон II - от 2 до 400 кГц.
Пределы измерения напряженности переменного электрического поля: в диапазоне I - от 7 до 200 В/м, в диапазоне II - от 0,7 до 20 В/м.
Основная погрешность измерения - не более 10%.
Конструкция пробника и калибровка измерителя напряженности переменного электрического поля приведены в
Приложении А.
4.2.3. Измеритель плотности магнитного потока
Предназначен для измерения среднеквадратического значения плотности магнитного потока в двух диапазонах частот:
диапазон I - от 5 Гц до 2 кГц;
диапазон II - от 2 до 400 кГц.
Пределы измерения плотности магнитного потока: в диапазоне I - от 200 до 1000 нТл, в диапазоне II - от 10 до 100 нТл.
Основная погрешность измерения - не более 10%.
Конструкция пробника и калибровка измерителя плотности магнитного потока приведены в
Приложении Б.
5. Общие требования к подготовке и проведению измерений,
обработке и оценке результатов
5.1. Перед проведением измерений должна быть обеспечена подготовка дисплея и средств измерения в соответствии с их эксплуатационной документацией.
5.2. Измерения проводят в нормальных климатических условиях по
ГОСТ 21552, если другое не установлено нормативными документами (НД) на дисплей.
5.3. Измерения проводят не ранее чем через 20 мин после включения питания, если не предусмотрен иной режим технической документацией на изделие и программой испытаний.
5.4. Измерения параметров изображения проводят в пяти участках экрана, указанных на рисунке 1, если иное не установлено методами измерения конкретных параметров.
Рисунок 1. Участки экрана, предусмотренные для измерения
параметров изображения
5.5. Измерение параметров изображения проводят в затемненном помещении или при наличии искусственного внешнего освещения. Освещение экрана должно быть диффузным, или угол падения света должен быть равен или более 45° относительно нормали к плоскости, касательной к поверхности экрана в его центре.
5.6. Яркость изображения

на экране складывается из двух составляющих:
яркости излучения

и отраженной яркости

, обусловленной внешним освещением.
Яркость изображения

, кд/м2, рассчитывают по формуле

. (1)
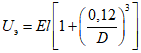
5.7. Измерение яркости излучения в затемненном помещении проводят при освещенности экрана, не превышающей 5 лк.
5.8. Отраженную яркость измеряют при выключенном дисплее, при этом поле фотометрирования должно быть в пределах от 0,2 до 0,5% площади экрана.
Отраженную яркость

, кд/м2, допускается рассчитывать по формуле

, (2)
где E - освещенность экрана, лк;

- коэффициент диффузного отражения экрана дисплея.
Значение E устанавливают в соответствии с НД. Если значение E в НД не указано, его принимают равным 250 лк.
5.9. При измерении яркости оптическую ось яркомера ориентируют параллельно нормали к плоскости, касательной к поверхности экрана в его центре, если иное не определено в методах измерения конкретных параметров, содержащихся в настоящем стандарте. Используемую диафрагму яркомера и расстояние фотометрирования устанавливают в методах измерения конкретных параметров, содержащихся в настоящем стандарте.
5.10. Измерение визуальных эргономических параметров проводят с использованием специальных тест-изображений, установленных в методах измерения конкретных параметров, содержащихся в настоящем стандарте. Разрешение испытываемого дисплея должно соответствовать рекомендуемому значению, указанному в НД на дисплей.
При отсутствии в НД данных для дисплеев на ЭЛТ о рекомендуемом разрешении следует применять данные таблицы 1.
Таблица 1
Разрешение, пиксель | Допускаемое разрешение при размере экрана |
14" | 15" | 17" | 19" | 20" - 22" |
640 x 480 | + | | | | |
800 x 600 | + | + | + | | |
1024 x 768 | | | + | + | |
1280 x 1024 | | | | + | + |
1600 x 1280 | | | | | + |
5.11. В дисплеях на ЭЛТ проводят начальную установку положения регуляторов яркости и контраста дисплея. В центре экрана воспроизводят в белом цвете тест-изображение в виде двух примыкающих друг к другу светлых квадратов со сторонами от 15 до 30 мм на темном фоне. Установку проводят в затемненном помещении. Регулятор контраста дисплея устанавливают в положение максимального контраста. Системный уровень кодирования яркостью для одного из квадратов устанавливают равным 8 (из диапазона 0 - 255), другого - равным 16. Системный уровень кодирования яркостью для фона устанавливают равным нижнему уровню кодирования яркостью (0). Регулятор яркости дисплея устанавливают в такое положение, при котором квадрат с уровнем 8 не различается на темном фоне, тогда как второй квадрат с уровнем 16 различается. Изменение положения регулятора яркости дисплея в дальнейшем не допускается.
В дисплеях с плоскими дискретными экранами используют заводскую установку яркости и контраста.
5.12. Измерение контрастности деталей изображения, ширины контура знака и размера знака проводят по профилю яркости детали изображения в соответствии с
Приложением Г.
5.13. Для проведения измерений параметров полей всю рабочую зону экрана заполняют прописной буквой Н, имеющей высоту, близкую к проектной, либо эквивалентным знаком такой же высоты.
Для многоцветных дисплеев измерения проводят в белом цвете (светлые знаки на темном фоне).
5.14. При проведении испытаний следует соблюдать требования безопасности, установленные в технической документации на дисплей и средства измерения.
6. Методы измерения параметров
6.1. Метод измерения яркости изображения
6.1.1. Подготовка и проведение измерений
6.1.1.1. Общие требования к подготовке и проведению измерений - по
5.1 -
5.3,
5.5 -
5.11,
5.14.
6.1.1.2. Измерение яркости изображения проводят в центре экрана, если иное не указано в НД на дисплей. В центре экрана выводят изображение светлого квадрата на темном фоне со стороной размером от 15 до 30 мм. Устанавливают верхний уровень кодирования яркостью. Для многоцветных дисплеев измерение яркости проводят в белом цвете, если иное не указано в НД на дисплей.
6.1.1.3. Размеры диафрагмы и расстояние между яркомером и экраном должно быть таким, чтобы площадь фотометрируемого поля не превышала половины площади квадрата.
6.1.1.4. Яркость знака (яркость фона) определяют по
5.6 -
5.9 путем измерения яркости тест-изображения.
6.1.2. Обработка и оценка результатов
6.1.2.1. Яркость знака (яркость фона) рассчитывают по
формуле (1).
6.1.2.2. Основная погрешность измерения (без учета режимной составляющей) яркости изображения - в пределах +/- 10% при доверительной вероятности 0,95.
6.2. Метод измерения неравномерности яркости рабочего поля экрана
6.2.1. Подготовка и проведение измерений
6.2.1.1. Общие требования к подготовке и проведению измерений - по
5.1 -
5.3,
5.5 -
5.11,
5.14.
6.2.1.2. На экране воспроизводят изображение светлого поля с установленным верхним уровнем кодирования яркостью.
6.2.1.3. Измеряют яркость каждого из пяти участков экрана по
5.4. Измерения проводят в затемненном помещении.
Для многоцветных дисплеев измерения проводят в белом цвете, если другое не указано в НД.
6.2.2. Обработка и оценка результатов
6.2.2.1. Яркость изображения определяют по
5.6 -
5.9 для каждой из пяти точек экрана.
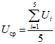
6.2.2.2. Среднюю яркость изображения

, кд/м2, рассчитывают по формуле

, (3)
где

- значение яркости изображения в каждой из пяти точек экрана по
5.4, кд/м2.
6.2.2.3. Неравномерность яркости рабочего поля

, %, рассчитывают по формуле

. (4)
За результат измерения принимают наибольшее по модулю значение величины

.
6.2.2.4. Основная погрешность измерения (без учета режимной составляющей) - в пределах +/- 10% при доверительной вероятности 0,95.
6.3. Метод измерения неравномерности яркости элементов знаков на плоских дискретных экранах
6.3.1. Подготовка и проведение измерений
6.3.1.1. Общие требования к подготовке и проведению измерений - по
5.1 -
5.3,
5.5 -
5.11,
5.14.
6.3.1.2. Измерение неравномерности яркости элементов знаков на плоских дискретных экранах проводят раздельно для каждого из основных цветов на участке экрана, на котором эта неравномерность по визуальной оценке наибольшая. Для выбора участка для измерения включают все элементы экрана в пределах его рабочего поля, устанавливают верхний уровень кодирования яркостью и проводят визуальную оценку неравномерности яркости участков экрана.
На участке с наибольшей неравномерностью яркости выводят изображение матрицы знака со всеми включенными элементами и яркостью, соответствующей верхнему уровню кодирования яркостью.
Устанавливают такую диафрагму яркомера, чтобы после фотометрирования не выходило за пределы одного элемента. Проводят последовательно измерение яркости каждого элемента матрицы знака.
6.3.2. Обработка и оценка результатов
6.3.2.1. Среднюю яркость элементов

, кд/м2, матрицы знака рассчитывают по формуле

, (5)
где

- яркость i-го элемента матрицы знака, кд/м2;
n - число элементов в матрице знака.
6.3.2.2. Неравномерность яркости элементов знаков на плоском дискретном экране

, %, определяют по наибольшему значению модуля отношения по формуле

. (6)
Основная погрешность измерения (без учета режимной составляющей) - в пределах +/- 10% при доверительной вероятности 0,95.
6.4. Метод измерения контрастности изображения на плоских экранах в зависимости от угла наблюдения
6.4.1. Подготовка и проведение измерений
6.4.1.1. Общие требования к подготовке и проведению измерений - по
5.1 -
5.3,
5.5 -
5.11,
5.14.
6.4.1.2. При измерении зависимости яркостного контраста изображения для плоских экранов от угла наблюдения используют тест-изображение по
6.1.1.2. Расстояние между яркомером и экраном устанавливают в 1,5 раза большим, чем размер диагонали экрана дисплея, но не менее 0,5 м. Поле фотометрирования не должно выходить за пределы контрольного квадрата при всех заданных углах наблюдения. Измерения проводят в белом цвете, если другое не указано в НД на дисплей. Проводят последовательно по два измерения яркости тест-изображения в центре экрана (при верхнем уровне кодирования яркостью, равном 255, и при уровне фона, равном 0) для различных углов наблюдения в горизонтальной плоскости в пределах +/- 40° с интервалом 10°.
6.4.2. Обработка и оценка результатов
Для каждого угла наблюдения определяют отношение

(где

- яркость тест-изображения при верхнем уровне кодирования яркостью,

- яркость фона).
Основная погрешность измерения (без учета режимной составляющей) - в пределах +/- 10% при доверительной вероятности 0,95.
6.5. Метод измерения контрастности деталей изображения для дисплеев на ЭЛТ и на плоских дискретных экранах и неравномерности яркости элементов знаков для дисплеев на ЭЛТ
6.5.1. Подготовка и проведение измерений
6.5.1.1. Общие требования к подготовке и проведению измерений - по
5.1 -
5.3,
5.5 -
5.12,
5.14.
6.5.1.2. Для измерения контрастности деталей изображения используют тест-изображение следующего вида. В пяти участках экрана, выбранных по
5.4, воспроизводят одинаковые штриховые решетки, содержащие каждая по четыре линии длиной не менее 8 мм. Ширина первой, второй и четвертой линий решетки - один пиксель, третьей линии - два пикселя. Промежуток между первой и второй линиями - один пиксель, между второй и третьей - два, а между третьей и четвертой линиями - от 5 до 10 пикселей. На каждом участке экрана размещают по две решетки: одну вертикально, другую горизонтально. Яркость изображения соответствует верхнему уровню кодирования яркостью, яркость фона - по
5.11. Для многоцветных дисплеев используют белый цвет, если иное не указано в НД на дисплей.
6.5.1.3. Строят профили яркости вертикальных и горизонтальных штрихов в соответствии с
Приложением Г для участка экрана с наименьшей контрастностью деталей изображения по предварительной визуальной оценке. Если визуально определить указанный участок невозможно, то измерения проводят в центре экрана.
Расположение штрихов в решетке, принятые обозначения и условные изображения профилей яркости показаны на
рисунке 2.
Рисунок 2. Расположение штрихов и профили
яркости тест-изображения
6.5.2. Обработка и оценка результатов
6.5.2.1. Контрастность деталей изображения относительно фона для деталей размером один пиксель, разделенных промежутком в один пиксель,

рассчитывают по формуле

, (7)
где

- максимальная яркость первого горизонтального или вертикального штриха, кд/м2;

- максимальная яркость второго горизонтального или вертикального штриха, кд/м2;

- минимальная яркость в промежутке между первым и вторым штрихами, кд/м2.
Контрастность деталей изображения размером более одного пикселя относительно фона

рассчитывают по формуле

, (8)
где

- максимальная яркость третьего горизонтального или вертикального штриха, кд/м2;

- минимальная яркость в промежутке между вторым и третьим штрихами, кд/м2.
В обоих случаях оценку полученных результатов проводят по наименьшему значению контрастности деталей изображения.
6.5.2.2. Неравномерность яркости элементов знаков

, %, для дисплеев на ЭЛТ определяют по модулю отношения

, (9)
где

- максимальная яркость четвертого горизонтального штриха;

- максимальная яркость четвертого вертикального штриха.
Основная погрешность измерений (без учета режимной составляющей) - в пределах +/- 10% при доверительной вероятности 0,95.
6.6. Метод измерения контрастности соседних уровней кодирования яркостью
6.6.1. Подготовка и проведение измерений
6.6.1.1. Общие требования к подготовке и проведению измерений - по
5.1 -
5.3,
5.5 -
5.11,
5.14.
6.6.1.2. Для измерения контрастности соседних уровней кодирования яркостью в центре экрана выводят изображение светлого квадрата на темном фоне со стороной размером от 15 до 30 мм. Для многоцветных дисплеев измерения проводят в белом цвете. Уровни кодирования яркостью последовательно устанавливают равными 0, 128, 192, 255, что соответствует черному, серому, светло-серому и белому цветам.
6.6.1.3. Проводят измерение яркости

светлого квадрата, соответствующей каждому уровню кодирования.
6.6.2. Обработка и оценка результатов
6.6.2.1. Контрастность соседних уровней кодирования яркостью

рассчитывают по формуле

, (10)
где

- яркость i-го уровня кодирования (i = 1, 2, 3,..., n - 1; где n - число уровней кодирования по
ГОСТ Р 50948).
За результат измерения принимают меньшее значение

.
6.6.2.2. Основная погрешность измерений (без учета режимной составляющей) - в пределах +/- 10% при доверительной вероятности 0,95.
6.7. Метод измерения ширины контура знака
6.7.1. Подготовка и проведение измерений
6.7.1.1. Общие требования к подготовке и проведению измерений - по
5.1 -
5.3,
5.5 -
5.11,
5.14.
6.7.1.2. Для измерения ширины контура знака используют четвертые штрихи вертикальной и горизонтальной решеток (см.
рисунок 2) на участке экрана, выбранном по
6.5.1.3. Для многоцветных дисплеев изображение выводят в белом цвете, если иное не указано в НД на дисплей.
6.7.1.3. Проводят построение профиля яркости детали изображения вертикального и горизонтального штрихов по
Приложению Г.
6.7.2. Обработка и оценка результатов
6.7.2.1. По профилю яркости определяют ширину штрихов

, мм, на уровне половины разности максимальной яркости штриха и яркости фона (см. рисунок 3) на участке экрана, определенном по
6.5.1.3.
A - разность максимальной яркости горизонтального штриха
и яркости фона; B - разность максимальной яркости
вертикального штриха и яркости фона;

- ширина штриха
Рисунок 3. Определение ширины штриха по профилю яркости
6.7.2.2. Основная погрешность измерения (без учета режимной составляющей) - +/- 20% при доверительной вероятности 0,95.
6.8. Метод измерения пространственных искажений изображения по рабочему полю
6.8.1. Измерение пространственных искажений изображения по рабочему полю проводят по следующим показателям:
- постоянство размеров знаков в пределах рабочего поля;
- максимальное различие длины строк в пределах рабочего поля и длины столбцов в пределах рабочего поля;
- различие длин верхней и нижней строк на рабочем поле, различие длин крайнего левого и крайнего правого столбцов на рабочем поле;
- различие длин диагоналей рабочего поля.
6.8.2. Подготовка и проведение измерений
6.8.2.1. Общие требования к подготовке и проведению измерений - по
5.1 -
5.3,
5.5 -
5.11,
5.14.
6.8.2.2. Рабочее поле заполняют светлыми знаками на темном фоне (прописной буквой Н либо прямоугольниками тех же размеров). Размер знака по высоте устанавливают близким к проектному значению. Изображение воспроизводят при яркости знаков, соответствующей верхнему уровню кодирования яркостью. Для многоцветных дисплеев используют белый цвет.
6.8.2.3. Измеряют, используя построение профиля яркости детали изображения по
Приложению Г, размер знака в центре рабочего поля по вертикали и по горизонтали в соответствии с рисунком 4. Аналогично измеряют размер знака по вертикали и по горизонтали, наиболее отличающегося по размерам от знака в центре экрана и расположенного в одной из точек, определенных на
рисунке 1.
A - разность максимальной яркости знака и яркости фона;
h - высота знака; b - ширина знака
Рисунок 4. Определение ширины
и высоты знака по профилю яркости
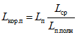
6.8.2.4. В соответствии с
рисунками 5 и
6 измеряют в миллиметрах с помощью беспараллаксного измерителя следующие длины:
- максимальную

и минимальную

длину строк знаков;
- максимальную

и минимальную

длину столбцов знаков;
- длину верхней

и нижней

строк знаков;
- длину крайнего левого

и крайнего правого

столбцов знаков;
- длину диагоналей

и

рабочего поля.
Допускается для проведения измерений использовать изображение сетчатого поля в одном из основных цветов.
Рисунок 5. Определение максимальной и минимальной
длин строк и максимальной и минимальной длин столбцов
Рисунок 6. Определение отклонения рабочего поля
от прямоугольной формы
6.8.3. Обработка и оценка результатов
6.8.3.1. Постоянство размера знаков по вертикали

и по горизонтали

в процентах определяют по наибольшему значению модуля отношения по формулам:

, (11)
где

- размер знака в центре рабочего поля по вертикали, мм;

- размер знака по вертикали вне центра, мм;

, (12)
где

- размер знака в центре рабочего поля по горизонтали, мм;

- размер знака по горизонтали вне центра, мм.
6.8.3.2. Относительную разность длин строк

и относительную разность длин столбцов

(см.
рисунок 5) в процентах определяют по формулам:

; (13)

. (14)
6.8.3.3. Отклонение рабочего поля от прямоугольной формы (см.
рисунок 6) определяют по наибольшим значениям модулей отношений по формулам:

; (15)

; (16)

, (17)
где

- относительная разность длин верхней и нижней строк знаков;

- относительная разность длин крайних левого и правого столбцов знаков;

- относительная разность длин диагоналей рабочего поля.
6.8.3.4. Основная погрешность измерения пространственных искажений изображения по рабочему полю (без учета режимной составляющей) составляет +/- 30% для
6.8.3.1 и +/- 25% - для
6.8.3.2,
6.8.3.3 при доверительной вероятности 0,95.
6.9. Метод измерения пространственной нестабильности изображения (дрожания)
6.9.1. Подготовка и проведение измерений
6.9.1.1. Общие требования к подготовке и проведению измерений - по
5.1 -
5.11,
5.14. Измерения проводят в центре экрана по тест-изображению, указанному в
6.8.2.2, при яркости, соответствующей верхнему уровню кодирования яркостью.
6.9.1.2. Для одноцветных дисплеев дрожание оценивают с помощью микроскопа путем измерения перемещения вертикальной границы знака по горизонтали и горизонтальной границы знака - по вертикали.
6.9.1.3. Для многоцветных дисплеев дрожание оценивают наблюдением в микроскоп одиночного люминофорного пятна зеленого цвета, расположенного в крайнем из светящихся рядов люминофорных пятен на границе изображения знака и фона. Дрожание по горизонтали определяют по вертикальной границе знака, а дрожание по вертикали - по горизонтальной.
При наблюдении люминофорного пятна возможны два варианта:
первый - яркость пятна однородна и неизменна во времени или изменяется в пределах, меньших диаметра пятна;
второй - яркость изменяется во времени на всей поверхности пятна.
6.9.2. Обработка и оценка результатов
6.9.2.1. Для одноцветного дисплея полное перемещение знака S, мм, рассчитывают по формуле

, (18)
где

- перемещение границы знака по горизонтали, мм;

- перемещение границы знака по вертикали, мм.
Основная погрешность измерения дрожания изображения (без учета режимной составляющей) - +/- 30% при доверительной вероятности 0,95.
6.9.2.2. Результаты наблюдения люминофорного пятна в соответствии с
6.9.1.3 оценивают следующим образом.
В первом варианте принимают, что дрожание не превышает допустимой величины, во втором варианте принимают, что дрожание превышает допустимую величину.
Для дисплеев с линейчатым люминофорным покрытием дрожание по вертикали оценивают по значению величины

, измерение перемещения границы знака осуществляют с помощью микроскопа. Дрожание по горизонтали оценивают так же, как для люминофорного пятна.
6.10. Метод измерения несведения цветов
6.10.1 Подготовка и проведение измерений
6.10.1.1. Общие требования к подготовке и проведению измерений - по
5.1 -
5.3,
5.5 -
5.11,
5.14.
6.10.1.2. Выводят изображение сетчатого поля в белом цвете, устанавливают верхний уровень кодирования яркостью. Визуально определяют участок экрана с наибольшим несведением. С помощью микроскопа либо другого специального инструмента определяют расстояние между осями линий разных цветов, смещенных относительно друг друга. Несведение цветов по вертикали измеряют, используя горизонтальную линию сетчатого поля, по горизонтали - с помощью вертикальной линии. Расстояние в миллиметрах между наиболее удаленными цветными линиями по вертикали

и по горизонтали

определяют непосредственным измерением.
6.10.2. Обработка результатов
6.10.2.1. Несведение цветов оценивают по значению угла

в угловых минутах, вычисляемого по формуле

, (19)
где l - проектное расстояние наблюдения по
ГОСТ Р 50948, мм.
6.10.2.2. Абсолютная погрешность измерения

и

- в пределах +/- 0,02 мм.
6.11. Метод оценки временной нестабильности изображения (мелькания)
6.11.1. Принимают, что временная нестабильность изображения (мелькание) не фиксируется наблюдателем при установленной частоте обновления изображения, равной или более 75 Гц для дисплеев на ЭЛТ и 60 Гц - для дисплеев на плоских дискретных экранах. Возможность использования указанной частоты обновления изображения проверяют по НД на дисплей.
6.12. Метод измерения электростатического потенциала экрана дисплея
6.12.1. Электростатический потенциал экрана дисплея определяют либо как эквивалентный потенциал экрана, либо как средний потенциал экрана (среднеарифметическое значение потенциала экрана, измеренного в пяти точках экрана, выбранных по
5.4).
6.12.2. Условия измерения
6.12.2.1. Электростатический потенциал экрана дисплея измеряют при следующих условиях:
- температура окружающего воздуха (21 +/- 2) °C;
- относительная влажность воздуха (20 +/- 5)%;
- скорость движения воздуха по периметру испытательной установки - не более 0,3 м/с;
- концентрация положительных или отрицательных ионов в воздухе - не более

ионов/м3.
6.12.2.2. Для дисплеев, предназначенных для использования в условиях УХЛ по
ГОСТ 15150, электростатический потенциал экрана допускается измерять в нормальных климатических условиях по
ГОСТ 21552.
6.12.3. Подготовка и проведение измерений
6.12.3.1. Общие требования к подготовке и проведению измерений - по
5.1,
5.3,
5.13,
5.14.
6.12.3.2. Дисплей не должен подвергаться антистатической обработке, если иное не указано в НД на конкретное изделие.
6.12.3.3. Для измерения эквивалентного потенциала поверхности экрана применяют измерительную установку, приведенную на рисунке 7.
1 - измерительная пластина; 2 - измеритель напряженности
электростатического поля; 3 - экран дисплея
Рисунок 7. Измерительная установка для определения
эквивалентного потенциала поверхности экрана
Измерительная пластина предназначена для фиксации положения измерителя напряженности электростатического поля относительно экрана дисплея и образования равномерного электростатического поля в пространстве между экраном и измерителем. Измерительная пластина представляет собой металлическую пластину размером 0,5 x 0,5 м с отверстием в центре, позволяющим установить измеритель напряженности электростатического поля таким образом, чтобы его приемная поверхность находилась в плоскости, совпадающей с поверхностью пластины, обращенной к экрану. Измерительную пластину устанавливают на расстоянии 100 мм от поверхности экрана дисплея параллельно плоскости, касательной к экрану в его центральной точке, с допускаемым отклонением +/- 2 мм в центре и +/- 5 мм - на краях.
Центр пластины и центр экрана должны находиться на одной прямой, перпендикулярной поверхности экрана. В центре измерительной пластины устанавливают измеритель напряженности электростатического поля таким образом, чтобы его приемная поверхность совпадала с поверхностью измерительной пластины, обращенной к экрану. Измеритель напряженности электростатического поля и измерительная пластина должны быть заземлены и иметь общую точку заземления.
Перед проведением измерений экран и фронтальное обрамление дисплея в выключенном состоянии должны быть промыты деионизированной водой с удельной проводимостью не более 10 мкСм/м. После этого дисплей следует выдержать в течение не менее 6 ч в помещении, соответствующем
ГОСТ 21552. Для обработки дисплея допускается использование дистиллированной воды.
6.12.3.4. Регистрируют показания измерителя напряженности электростатического поля R, В/м. Затем рассчитывают напряженность электростатического поля E, В/м, в пространстве перед экраном дисплея по формуле
E = RF, (20)
где F - калибровочный коэффициент, определяемый по
Приложению Д.
6.12.3.5. При измерении среднего потенциала поверхности экрана отсчет значений потенциала проводят непосредственно по шкале измерителя потенциала после 20 мин выдержки дисплея во включенном состоянии. Измерения проводят в пяти точках экрана по
5.4.
6.12.4. Обработка и оценка результатов
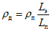
6.12.4.1. Эквивалентный потенциал экрана

, В, рассчитывают по формуле

, (21)
где E - напряженность поля, В/м;
l - расстояние от экрана до измерительной пластины, м;
D - размер экрана по диагонали, м.
6.12.4.2. Средний потенциал поверхности экрана

, В, рассчитывают по формуле

, (22)
где

- значение потенциала в i-й точке экрана.
6.12.4.3. Основная погрешность измерения эквивалентного потенциала экрана - в пределах

.
Основная погрешность измерения среднего потенциала экрана - в пределах +/- 10% при доверительной вероятности 0,95.
6.13. Метод измерения напряженности переменного электрического поля
6.13.1. Условия проведения измерений
6.13.1.1. Измерения напряженности переменного электрического поля проводят в двух частотных диапазонах:
диапазон I - от 5 Гц до 2 кГц;
диапазон II - от 2 до 400 кГц.
6.13.1.2. Измерения в частотном диапазоне I проводят при двух возможных положениях подключения вилки питания дисплея.
6.13.1.3. Фоновый уровень напряженности переменного электрического поля, включая помехи от сети питания и внутренние шумы измерителя, не должен превышать:
в частотном диапазоне I - 2,0 В/м;
в частотном диапазоне II - 0,2 В/м.
6.13.2. Подготовка и проведение измерений
6.13.2.1. Общие требования к подготовке и проведению измерений - по
5.1 -
5.3,
5.13,
5.14. Испытываемый дисплей располагают на горизонтальной поверхности таким образом, чтобы касательная к экрану плоскость в его центральной точке была перпендикулярна этой поверхности. Массивные металлические предметы, вспомогательные приборы и соединительные кабели (провода), не входящие в комплект измерительных приборов, должны быть удалены от дисплея и приемника излучения на расстояние не менее 1 м.
6.13.2.2. Измерения напряженности переменного электрического поля проводят в точках с координатами в цилиндрической системе координат (
рисунок 8):
Размеры в метрах
а - дисплей на ЭЛТ
б - портативная электронная вычислительная машина
а - габаритный размер дисплея, измеряемый по нормали
к экрану в его центральной точке, м
Рисунок 8. Схема расположения дисплеев
в цилиндрической системе координат
Z = 0;
r = (a/2 + 0,5) м;

- для частотного диапазона I;

- для частотного диапазона II.
Начало отсчета цилиндрической системы координат относительно дисплея показано на рисунке 8.
6.13.3. Обработка и оценка результатов
6.13.3.1. Для частотного диапазона I представляют наибольший результат измерения по
6.13.1.2.
Для частотного диапазона II представляют значения напряженности переменного электрического поля перед экраном и максимальное из измеренных значений.
6.13.3.2. Если измеренные значения не превышают 10 и 1 В/м для I и II частотных диапазонов соответственно, то в качестве фактических значений напряженности указывают: < 10 В/м и < 1 В/м для I и II частотных диапазонов измерения соответственно.
6.13.3.3. Оценку результатов измерений проводят по максимальному значению напряженности переменного электрического поля.
6.13.3.4. Погрешность измерения для диапазона I - +/- (0,1R + 1,5) В/м; для диапазона II - +/- (0,1R + 0,1) В/м (где R - отсчет измеряемого значения).
6.14. Метод измерения плотности магнитного потока
6.14.1. Условия проведения измерений
6.14.1.1. Измерения плотности магнитного потока проводят в двух частотных диапазонах:
диапазон I - от 5 Гц до 2 кГц;
диапазон II - от 2 до 400 кГц.
6.14.1.2. Измерения плотности магнитного потока проводят по
6.13.1.2.
6.14.1.3. Фоновый уровень плотности магнитного потока, включая помехи от сети питания и внутренних шумов измерителя, не должен превышать:
в частотном диапазоне I - 40 нТл;
в частотном диапазоне II - 5 нТл.
6.14.2. Подготовка и проведение измерений
6.14.2.1. Общие требования к подготовке и проведению измерений - по
6.13.2.1.
6.14.2.2. Измерения плотности магнитного потока проводят в 48 точках, имеющих следующие координаты в цилиндрической системе координат:
Z = -0,3 м; 0,0 м; +0,3 м;
r = (a/2 + 0,5) м;

,
где a - габаритный размер дисплея по нормали к экрану в его центральной точке, м;
p - целое число от 0 до 15.
6.14.3. Обработка и оценка результатов
6.14.3.1. Для частотного диапазона I представляют наибольший результат измерений по
6.13.1.2.
Для обоих частотных диапазонов указывают значения, полученные перед экраном, а также максимальное значение из измерений, полученных в остальных точках, и координаты точки, в которой получено это значение.
6.14.3.2. Если измеренное значение составляет менее 200 нТл в диапазоне I или менее 10 нТл в диапазоне II, то указывают: < 200 нТл и < 10 нТл для I и II частотных диапазонов соответственно.
6.14.3.3. Оценку результатов измерений проводят по максимальному значению плотности магнитного потока.
6.14.3.4. Погрешность измерения для диапазона I - +/- (0,1R + 30) нТл; для диапазона II - +/- (0,1R + 1,5) нТл (где R - отсчет измеряемого значения).
(обязательное)
КОНСТРУКЦИЯ ПРОБНИКА И КАЛИБРОВКА ИЗМЕРИТЕЛЯ
НАПРЯЖЕННОСТИ ПЕРЕМЕННОГО ЭЛЕКТРИЧЕСКОГО ПОЛЯ
Пробник измерителя напряженности переменного электрического поля представляет собой металлизированный с двух сторон диэлектрический диск диаметром 300 мм. На обращенной к измеряемому объекту стороне диска удалено кольцо металлического покрытия между радиусами 50 и 52 мм. Вывод центрального круга металлизирующего слоя измерительной поверхности соединен с входом расположенного в непосредственной близости операционного усилителя с емкостной обратной связью. Остальная проводящая поверхность лицевой и обратной сторон диска соединена с вторым входом операционного усилителя и заземлена (рисунок А.1).
R и C - резистор и конденсатор в цепи обратной связи
операционного усилителя
Рисунок А.1. Принципиальная схема пробника измерителя
напряженности переменного электрического поля
Выходные сигналы пробника U пропускают через полосовые фильтры, раздельные для частотных диапазонов I и II. Технические данные фильтров указаны в таблице А.1.
Таблица А.1
Технические данные фильтров
Наименование параметра | Значение параметра |
| Частотный диапазон I |
Частота | < 5 Гц | 5 Гц | 100 Гц | 2 кГц | > 2 кГц |
Затухание | > 80 дБ/дек | 3 дБ | 0 дБ | 3 дБ | > 40 дБ/дек |
| Частотный диапазон II |
Частота | < 2 кГц | 2 кГц | 30 кГц | 400 кГц | > 400 кГц |
Затухание | > 80 дБ/дек | 3 дБ | 0 дБ | 3 дБ | > 40 дБ/дек |
Обозначение. Дек - декада. |
После фильтрации выходное напряжение пробника используют для определения среднеквадратического значения напряженности переменного электрического поля.
Калибровку измерителя проводят с помощью металлической пластины диаметром не менее 300 мм, соединенной с генератором синусоидального напряжения и образующей с поверхностью пробника измерителя плоский конденсатор с воздушным диэлектриком. Расстояние между пластиной и пробником не должно превышать 30 мм. Значения частоты и напряженности переменного электрического поля, используемые для калибровки, приведены в таблице А.2.
Таблица А.2
Калибровочные частоты и значения напряженности
переменного электрического поля
Частота | Напряженность, В/м |
Частотный диапазон I: | |
50, 100, 500, 1000 Гц | 25; 250 |
Частотный диапазон II: | |
15, 30, 60, 120 кГц | 2,5; 10; 25 |
Отклонение значений напряженности переменного электрического поля в калибровочных точках от номинальных не должно выходить за пределы +/- 5%. На частоте 1000 Гц отклонения напряженности следует вычислять относительно значений 22,5 и 225 в/м; на частоте 120 кГц - относительно значений 2,4; 9,5 и 24 В/м.
(обязательное)
КОНСТРУКЦИЯ ПРОБНИКА И КАЛИБРОВКА ИЗМЕРИТЕЛЯ
ПЛОТНОСТИ МАГНИТНОГО ПОТОКА
Пробник (приемная антенна) измерителя плотности магнитного потока представляет собой систему из трех катушек, имеющих общий центр и расположенных в трех взаимно перпендикулярных плоскостях.
Площадь среднего витка каждой катушки - 0,01 м2. В местах пересечения катушек их форма может отличаться от круглой. Минимальный внутренний диаметр катушек 110 мм, максимальный наружный диаметр - 116 мм. Катушки должны быть не чувствительны к электрическим полям.
Резонансная частота каждой катушки вместе с присоединенными элементами должна быть выше 12 кГц в диапазоне I и выше 2,5 МГц - в диапазоне II.
Выходные сигналы катушек преобразуются с помощью согласующего усилителя в напряжение и проходят полосовой фильтр с характеристиками, указанными в таблице Б.1. Предусматриваются две системы катушек, каждая из которых используется в своем частотном диапазоне (I или II).
Таблица Б.1
Технические данные фильтров
Наименование параметра | Значение параметра |
| Частотный диапазон I |
Частота | < 5 Гц | 5 Гц | 100 Гц | 2 кГц | > 2 кГц |
Затухание | > 80 дБ/дек | 3 дБ | 0 дБ | 3 дБ | > 40 дБ/дек |
| Частотный диапазон II |
Частота | < 2 кГц | 2 кГц | 30 кГц | 400 кГц | > 400 кГц |
Затухание | > 80 дБ/дек | 3 дБ | 0 дБ | 3 дБ | > 40 дБ/дек |
Обозначение: Дек - декада. |
После усиления, интегрирования и фильтрации сигналы от каждой из трех катушек используют для расчета среднеквадратического значения плотности магнитного потока в двух частотных диапазонах.
Допускается рассчитывать среднеквадратическое значение по сигналам каждой катушки, а результат измерений вычислять как корень квадратный из суммы квадратов их среднеквадратических значений.
Измерительную систему калибруют с помощью катушки Гельмгольца, создающей поле синусоидальной формы, значения частоты и плотности магнитного потока которого приведены в таблице Б.2.
Таблица Б.2
Калибровочные частоты и значения плотности
магнитного потока
Частота | Плотность магнитного потока, нТл |
Частотный диапазон I: | |
50, 100, 500, 1000 Гц | 200; 2000 |
Частотный диапазон II: | |
15, 30, 60, 120 кГц | 25; 250 |
Схема катушки Гельмгольца приведена на рисунке Б.1.
Рисунок Б.1. Схема катушки Гельмгольца
Значения, полученные в калибровочных точках, не должны выходить за пределы +/- 5% относительно номинальных значений. На частоте 1 кГц отклонения следует вычислять относительно значений 180 и 1800 нТл, на частоте 120 кГц - относительно значений 24 и 240 нТл.
Плотность магнитного потока B, Тл, рассчитывают по формуле

, (Б.1)
где N - число витков катушки Гельмгольца;
r - радиус катушки Гельмгольца, м;
I - значение тока, протекающего через катушку, А.
(обязательное)
ИЗМЕРЕНИЕ КОЭФФИЦИЕНТА ДИФФУЗНОГО ОТРАЖЕНИЯ ЭКРАНА ДИСПЛЕЯ
Измерение коэффициента диффузного отражения экрана дисплея проводят при выключенном дисплее в условиях затемненного помещения одним из нижеуказанных способов.
В.1. Первый способ. Освещают центральную часть поверхности экрана источником света типа А по
ГОСТ 7721, при этом плоскость, проходящая через тело накала источника, должна быть параллельна плоскости, касательной к поверхности экрана в его центре. Устанавливают яркомер таким образом, чтобы его оптическая ось составляла угол 45° с нормалью к плоскости, касательной к поверхности экрана в его центре, и измеряют отраженную яркость экрана

в его центре. Поле фотометрирования устанавливают в соответствии с
5.8 настоящего стандарта. На место дисплея устанавливают матовую поверочную пластину с известным коэффициентом диффузного отражения

. Положения отражающей поверхности поверочной пластины и поверхности экрана относительно источника света должны совпадать.
Измеряют яркость поверочной пластины

. Коэффициент диффузного отражения экрана дисплея

рассчитывают по формуле

. (В.1)
В.2. Второй способ. Устанавливают дисплей относительно источника света типа А и яркомера так же, как в
В.1. С помощью люксметра измеряют освещенность E в центре экрана. Измерение освещенности проводят по
ГОСТ 24940. Яркомером измеряют отраженную яркость экрана

в его центре. Поле фотометрирования устанавливают в соответствии с
5.8 настоящего стандарта. Коэффициент диффузного отражения экрана дисплея

рассчитывают по формуле

. (В.2)
(обязательное)
ПОСТРОЕНИЕ ПРОФИЛЯ ЯРКОСТИ ДЕТАЛИ ИЗОБРАЖЕНИЯ
Г.1. Построение профиля яркости детали изображения для одноцветных дисплеев на ЭЛТ
Профиль яркости деталей изображения на экране со сплошным люминофорным покрытием (одноцветные дисплеи) определяют путем сканирования тест-изображения в горизонтальном и вертикальном направлениях и измерения яркости в точках отсчета с постоянным шагом. Измерение яркости проводят яркомером с малыми размерами поля фотометрирования. Используют апертурные диафрагмы: круглую диаметром, не превышающим 1/5 размера одного пикселя, или прямоугольную шириной не более 1/8 размера одного пикселя и длиной, по крайней мере, в четыре раза большей размера одного пикселя, но не более 90% размера измеряемой детали. Прямоугольную диафрагму по длинной стороне ориентируют перпендикулярно направлению сканирования. По отсчетам яркости строят сглаженную кривую профиля яркости детали изображения (
рисунок Г.1). Если измерения проводят в отсутствие внешнего освещения экрана, то к отсчетным значениям яркости излучения прибавляют значения отраженной яркости, определяемые по
5.8 настоящего стандарта.

Люминофорные пятна:

- зеленые,

- синие,

- красные,

- неподсвеченные
Рисунок Г.1. Построение профиля яркости детали изображения
Г.2. Построение профиля яркости детали изображения для многоцветных дисплеев на ЭЛТ
Г.2.1. Профиль яркости детали изображения на экране многоцветных дисплеев с дискретным (точечным или линейчатым) люминофорным покрытием для белого цвета или для цвета, указанного в НД на дисплей, определяют, используя сканирование тест-изображения и измерение яркости в точках отсчета. Измерения проводят с помощью яркомера с диафрагмами, указанными в
Г.1. При этом убеждаются в том, что круглая диафрагма не выходит за пределы светящегося люминофорного пятна или линии, а ширина прямоугольной диафрагмы не превышает диаметра люминофорного пятна или ширины линии люминофорного покрытия. Измерения проводят в затемненном помещении.
Г.2.2. При построении профиля яркости детали изображения в горизонтальном направлении (см.
рисунок Г.1) прямоугольную диафрагму яркомера устанавливают таким образом, чтобы ее длинная сторона совпадала с направлением вертикальных рядов точечного или линейчатого люминофорного покрытия экрана. Проводят измерение яркости вертикальных рядов в точках отсчета в пределах определяемого профиля, перемещая последовательно яркомер относительно экрана по горизонтали и устанавливая диафрагму по центру люминофорных пятен или по центральным осям линий линейчатого покрытия. Круглую диафрагму устанавливают в середине люминофорного пятна (линии) каждого ряда в пределах определяемого профиля яркости детали изображения. В точках отсчета измеряют яркость

и линейное перемещение яркомера в направлении сканирования. Линейное перемещение определяют как произведение числа промежутков между рядами на измеренное расстояние между рядами, либо измеряя перемещение яркомера в направлении сканирования.
Профиль яркости определяют по одному из основных цветов, участвующих в формировании цвета изображения. Корректируют измеренное значение яркости по формуле

, (Г.1)
где

- корректированное значение измеренной яркости ряда;

- значение средней яркости однородного по яркости поля (контрольного квадрата) в белом или в другом используемом цвете изображения;

- значение яркости рядов люминофорных пятен (линий) однородного по яркости протяженного поля в выбранном основном цвете.
Для определения значения

выводят на участке экрана вместо тест-изображения изображение однородного по яркости контрольного квадрата размером не менее 7 x 7 мм в белом или другом используемом цвете изображения (рисунок Г.2). Уровни кодирования яркостью тест- изображения и контрольного квадрата должны совпадать.
Рисунок Г.2. Контрольный квадрат для коррекции яркости
основного цвета
Значение

определяют при размерах поля фотометрирования, в несколько раз превышающих один пиксель, но не выходящих за пределы квадрата.
Значение

определяют по контрольному квадрату в выбранном основном цвете.
К значениям

прибавляют значение отраженной яркости, определяемое по
5.8 настоящего стандарта. Реконструируют профиль яркости детали изображения, соединяя полученные точки отсчета прямыми линиями.
Г.2.3. При построении профиля яркости детали изображения в вертикальном направлении (направлении, перпендикулярном строкам) действуют различным образом в зависимости от вида люминофорного покрытия экрана и формы диафрагмы яркомера.
Для ЭЛТ с точечным люминофорным покрытием экрана при использовании прямоугольной диафрагмы проводят измерение яркости горизонтальных рядов люминофорных пятен выбранного основного цвета

. Для этого длинную сторону прямоугольной диафрагмы ориентируют параллельно горизонтальным рядам. В точках отсчета диафрагму совмещают с серединой люминофорных пятен. Измерение яркости

проводят для всех рядов в пределах определяемого профиля яркости, перемещая яркомер по вертикали относительно экрана и фиксируя его линейное перемещение. Корректируют измеренное значение яркости горизонтальных рядов по формуле

, (Г.2)
где

- корректированное значение измеренной яркости горизонтального ряда;

- значение яркости горизонтального ряда точек контрольного квадрата в выбранном основном цвете.
Значения

получают измерением яркости горизонтальных рядов люминофорных точек контрольного квадрата, воспроизводимого в выбранном основном цвете (
рисунок Г.2).
По корректированным значениям яркости горизонтальных рядов и значению отраженной яркости, определяемому по
5.8 настоящего стандарта, строят профиль яркости в вертикальном направлении аналогично тому, как это делают при построении профиля яркости по горизонтали.
В случае ЭЛТ с точечным люминофорным покрытием экрана и при использовании круглой диафрагмы в точках отсчета измеряют яркость пятен

выбранного основного цвета в каждом ряду в пределах определяемого профиля яркости и линейное перемещение яркомера в направлении сканирования. Корректируют измеренное значение

по формуле

, (Г.3)
где

- корректированное значение измеренной яркости пятна;

- значение яркости люминофорных пятен однородного по яркости контрольного квадрата в выбранном основном цвете.
Полученные значения

и значение отраженной яркости, определяемое по
5.8 настоящего стандарта, используют для построения профиля яркости по вертикали аналогично тому, как это делают при использовании прямоугольной диафрагмы.
При построении профиля яркости детали изображения в вертикальном направлении для экранов с линейчатым люминофорным покрытием точки отсчета выбирают так же, как указано в
Г.1 для экранов со сплошным люминофорным покрытием. Используют прямоугольную или круглую диафрагму по
Г.1. При использовании прямоугольной диафрагмы ее длинную сторону ориентируют перпендикулярно линиям люминофорного покрытия. В точках отсчета по вертикали измеряют яркость люминофорных линий

выбранного основного цвета. Корректируют измеренное значение

по формуле

, (Г.4)
где

- корректированное значение яркости люминофорной линии;

- значение яркости люминофорной линии однородного по яркости контрольного квадрата в выбранном основном цвете.
Полученные значения

и значение отраженной яркости, определяемое по
5.8 настоящего стандарта, используют для построения профиля яркости по вертикали.
(обязательное)
ОПРЕДЕЛЕНИЕ КАЛИБРОВОЧНОГО КОЭФФИЦИЕНТА
Калибровочный коэффициент определяют на установке, схема которой приведена на рисунке Д.1.
1 - измерительная пластина; 2 - измеритель напряженности
поля; 3 - контрольная пластина
Рисунок Д.1. Схема установки для определения
калибровочного коэффициента
Установка содержит измерительную пластину с измерителем напряженности электростатического поля и контрольную пластину, установленные на общем диэлектрическом основании на расстоянии друг от друга (100 +/- 0,5) мм в центре пластины и (100 +/- 2,0) мм по краям.
На контрольную пластину (размером 0,5 x 0,5 м) подают напряжение постоянного тока (500 +/- 10) В. Минус источника напряжения и измерительную пластину заземляют.
Снимают показание R измерителя напряженности электростатического поля. Номинальное показание измерителя напряженности электростатического поля должно быть равно 5000 В/м. Поэтому калибровочный коэффициент F рассчитывают по формуле

, (Д.1)
где R - показание измерителя напряженности электростатического поля, В/м.