Главная // Актуальные документы // ИнформацияСПРАВКА
Источник публикации
М., 2021
Примечание к документу
Текст документа приведен в соответствии с публикацией на сайте https://www.rospotrebnadzor.ru/ по состоянию на 19.01.2022.
Документ
введен в действие с 01.02.2022.
Название документа
"МУК 4.3.3722-21. 4.3. Методы контроля. Физические факторы. Контроль уровня шума на территории жилой застройки, в жилых и общественных зданиях и помещениях. Методические указания"
(утв. Роспотребнадзором 27.12.2021)
"МУК 4.3.3722-21. 4.3. Методы контроля. Физические факторы. Контроль уровня шума на территории жилой застройки, в жилых и общественных зданиях и помещениях. Методические указания"
(утв. Роспотребнадзором 27.12.2021)
Руководитель Федеральной
службы по надзору в сфере
защиты прав потребителей
и благополучия человека,
Главный государственный
санитарный врач
Российской Федерации
А.Ю.ПОПОВА
27 декабря 2021 года
4.3. МЕТОДЫ КОНТРОЛЯ. ФИЗИЧЕСКИЕ ФАКТОРЫ
КОНТРОЛЬ УРОВНЯ ШУМА НА ТЕРРИТОРИИ ЖИЛОЙ ЗАСТРОЙКИ,
В ЖИЛЫХ И ОБЩЕСТВЕННЫХ ЗДАНИЯХ И ПОМЕЩЕНИЯХ
МЕТОДИЧЕСКИЕ УКАЗАНИЯ
МУК 4.3.3722-21
Дата введения:
1 февраля 2022 года
1. Разработаны ФБУЗ "Центр гигиены и эпидемиологии в г. Москве" Роспотребнадзора (Е.А. Руднева, Н.В. Лазаренко, И.А. Веретина) при участии Федеральной службы по надзору в сфере защиты прав потребителей и благополучия человека (С.Д. Башкетов), ФБУН "Екатеринбургский медицинский-научный центр профилактики и охраны здоровья рабочих промпредприятий" Роспотребнадзора (А.В. Власов), Управления Федеральной службы по надзору в сфере защиты прав потребителей и благополучия человека по городу Москве (А.И. Худобородов), ФБУЗ "Центр гигиены и эпидемиологии в Брянской области" (В.И. Филин), ФБУЗ "Центр гигиены и эпидемиологии в Кировской области" (В.И. Титлянов), ФБУЗ "Центр гигиены и эпидемиологии в Новосибирской области" (В.Г. Малявин), ФБУЗ "Центр гигиены и эпидемиологии в Хабаровском крае" (Т.А. Факащук), ФБУЗ "Центр гигиены и эпидемиологии в Костромской области" (О.М. Соловей), ФБУЗ "Центр гигиены и эпидемиологии в Красноярском крае" (М.А. Лашинский), ФБУЗ "Федеральный центр гигиены и эпидемиологии Роспотребнадзора" (Е.М. Малков), ООО "НТМ-Защита" (А.Д. Курепин), ФГБНУ "Научно-исследовательский институт медицины труда" им. академика Н.Ф. Измерова (Н.Н. Курьеров), ООО "ПКФ Цифровые приборы" (Ю.В. Куриленко), ФГУП "Научно-технический центр радиационно-химической безопасности и гигиены ФМБА России" (А.В. Стерликов), ФГБУ "Научно-исследовательский институт строительной физики РААСН" (В.А. Аистов), ООО "Центр экологической безопасности гражданской авиации" (М.О. Картышев).
2. Утверждены Руководителем Федеральной службы по надзору в сфере защиты прав потребителей и благополучия человека, Главным государственным санитарным врачом Российской Федерации А.Ю. Поповой 27 декабря 2021 г.
3. МУК 4.3.3722-21 введены взамен МУК 4.3.2194-07 "Контроль уровня шума на территории жилой застройки, в жилых и общественных зданиях и помещениях", утвержденных Руководителем Федеральной службы по надзору в сфере защиты прав потребителей и благополучия человека, Главным государственным санитарным врачом Российской Федерации 05.04.2007.
1.1. Методические указания (далее - МУК) устанавливают порядок контроля фактических значений нормируемых параметров шума (далее - шума) на территории жилой застройки, в жилых и общественных зданиях и помещениях на соответствие санитарно-эпидемиологическим требованиям, в том числе гигиенических нормативов.
1.2. МУК применяются при:
осуществлении федерального государственного санитарно-эпидемиологического надзора и контроля;
осуществлении социально-гигиенического мониторинга;
осуществлении санитарно-эпидемиологических экспертиз, обследований, исследований, испытаний, оценок;
осуществлении производственного лабораторного контроля;
оценке уровней шума на территории жилой застройки, в жилых и общественных зданиях и помещениях;
установлении санитарно-защитных зон;
проведении контроля за выполнением мероприятий, направленных на снижение шума <1>.
--------------------------------
<1>
СанПиН 1.2.3685-21 "Гигиенические нормативы и требования к обеспечению безопасности и (или) безвредности для человека факторов среды обитания", утвержденные постановлением Главного государственного санитарного врача Российской Федерации от 28.01.2021 N 2 (зарегистрировано Минюстом России 29.01.2021, регистрационный N 62296);
СанПиН 2.1.3684-21 "Санитарно-эпидемиологические требования к содержанию территорий городских и сельских поселений, к водным объектам, питьевой воде и питьевому водоснабжению, атмосферному воздуху, почвам, жилым помещениям, эксплуатации производственных, общественных помещений, организации и проведению санитарно-противоэпидемических (профилактических) мероприятий", утвержденные постановлением Главного государственного санитарного врача Российской Федерации от 28.01.2021 N 3 (зарегистрировано Минюстом России 29.01.2021, регистрационный N 62297), с изменением, внесенным постановлением Главного государственного санитарного врача Российской Федерации от 26.06.2021 N 16 (зарегистрировано Минюстом России 07.07.2021, регистрационный N 64146).
1.3. МУК не распространяются на измерения шума, обусловленного:
- естественными (природными) и случайными явлениями;
- поведением граждан, нарушением ими тишины и общественного спокойствия в жилых зданиях и на прилегающей территории (например, работа бытовой звуковоспроизводящей аппаратуры, размещенной в жилых квартирах; игра гражданами на музыкальных инструментах в жилых квартирах; применение пиротехнических средств; громкая речь и пение; выполнение гражданами каких-либо бытовых и ремонтно-строительных работ; проведение гражданами ручных погрузочно-разгрузочных работ; резкое закрытие дверей при отсутствии доводчика), если это не связано с предпринимательской деятельностью;
- подачей звуковых сигналов и срабатыванием звуковой охранной, пожарной и аварийной сигнализации;
- аварийно-спасательными и аварийными ремонтными работами, работами по предотвращению и ликвидации последствий аварий, стихийных бедствий и других чрезвычайных ситуаций, не носящими регулярный или плановый характер, в том числе при механизированной и немеханизированной уборке снега, льда;
- обычной жизнедеятельностью людей, в том числе шума, проникающего из соседних помещений квартир при передвижении людей, домашних животных, работе бытовых электроприборов, использовании инженерного и санитарно-технического оборудования ванных комнат и санузлов, если это не связано с предпринимательской деятельностью;
- проведением массовых мероприятий (например, митингов, уличных шествий, демонстраций и т.п.);
- проведением богослужений (в том числе колокольным звоном), других религиозных обрядов и церемоний в рамках канонических требований соответствующих конфессий.
1.4. МУК предназначены для органов и организаций Федеральной службы по надзору в сфере защиты прав потребителей, а также могут быть использованы юридическими и физическими лицами, в том числе индивидуальными предпринимателями, уполномоченными осуществлять инструментальный контроль (измерения) и гигиеническую оценку уровней шума на территории жилой застройки, в жилых и общественных зданиях, аккредитованными на данный вид работ в установленном порядке <2>.
--------------------------------
<2> Федеральный
закон от 28.12.2013 N 412-ФЗ "Об аккредитации в национальной системе аккредитации".
2.1. При планировании строительства объектов жилой застройки, промышленности и транспорта рекомендуется проведение санитарно-эпидемиологической оценки результатов расчета уровня шума на территории жилой застройки и в жилых и общественных зданиях по материалам проекта строительства объекта.
2.2. Оценка измеренного общего (суммарного) шума на соответствие санитарно-эпидемиологическим требованиям проводится с учетом всех источников шума, оказывающих воздействие на население в помещениях или на территории. Оценка вклада известного источника шума в общий (суммарный) шум проводится при выделении шума такого источника и определении его параметров (например, посредством включения-отключения этого источника).
2.3. С нормативными значениями должны сопоставляться результаты измерения в той точке помещения или территории (или зоны внутри них при наличии разных допустимых значений уровней шума), где получены наибольшие значения определяемых уровней звука (звукового давления).
2.4. Если источник шума может работать в нескольких режимах, измерения проводятся при максимальном (по шуму) режиме. Невозможность эксплуатации источника в сложившейся ситуации на максимальном режиме подтверждается документально.
2.5. Определение характера шума производится по результатам измерений для внесения поправок (коррекций) в допустимые уровни шума в соответствии с санитарно-эпидемиологическими требованиями.
2.6. Продолжительность измерения шума следует устанавливать в зависимости от характера шума и времени работы источника.
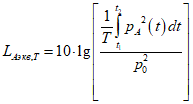
2.7. В жилых и общественных зданиях, на территории жилой застройки (за исключением застройки в границах седьмой подзоны приаэродромной территории) оценка непостоянного шума от работы установленного источника в дневное или в ночное время суток проводится по фактическим показателям эквивалентного и максимального уровней шума, измеренного за период времени, включающий не менее одного полного технологического цикла работы источника.
III. ИЗМЕРЯЕМЫЕ И ОЦЕНИВАЕМЫЕ ПАРАМЕТРЫ, ЕДИНИЦЫ ИЗМЕРЕНИЯ
3.1. Измерения и оценка шума осуществляются по следующим параметрам, определенным на каждом опорном временном интервале периода наблюдения:
- уровни звукового давления L, дБ, в октавных полосах со среднегеометрическими частотами в диапазоне от 31,5 до 8000 Гц - среднее значение не менее 3 измерений для источников постоянного шума;
- эквивалентные уровни звукового давления Lp,I/I,eq, дБ, в октавных полосах со среднегеометрическими частотами в диапазоне от 31,5 до 8000 Гц;
- уровень звука A LA, дБA, с временной коррекцией S (медленно) для источников постоянного шума, LAS;
- эквивалентный уровень звука A LAэкв, дБA, для источников непостоянного шума;
- максимальный уровень звука A LAмакс, дБA с временной коррекцией S (медленно) для источников непостоянного шума;
- уровень звука A LA, дБA, с временной коррекцией "импульс" для источников непостоянного шума, LAI.
IV. ИЗМЕРИТЕЛЬНАЯ АППАРАТУРА
4.1. Для проведения измерений используются интегрирующие усредняющие шумомеры 1-го класса по
ГОСТ 17187 (МЭК 61672) и октавные (третьоктавные) фильтры 1-го класса по ГОСТ Р 8.714 (МЭК 61260). Средства измерения должны быть утвержденного типа и поверены.
4.2. Проверка калибровки шумомера (измерительной системы) проводится с помощью внешнего акустического калибратора в соответствии с эксплуатационной документацией на средства измерения.
4.3. Измерения уровней звука и уровней звукового давления в контрольной точке с применением шумомера являются прямыми. Методики (методы) измерений, предназначенные для выполнения прямых измерений, содержатся в эксплуатационной документации на шумомеры. Подтверждение соответствия этих методик (методов) измерений обязательным метрологическим требованиям осуществляется в процессе утверждения типов данных шумомеров.
V. УСЛОВИЯ ПРОВЕДЕНИЯ ИЗМЕРЕНИЙ
5.1. Рабочие условия проведения измерений, порядок эксплуатации средств измерения шума и их калибровки должны соответствовать эксплуатационной документации.
5.2. Перед проведением измерений шума на открытом воздухе следует определять метеорологические условия (скорость ветра, температуру воздуха, влажность, атмосферное давление) по официальным данным метеослужбы либо с помощью соответствующих средств измерений, имеющих действующие свидетельства о поверке.
5.3. Измерения шума на открытой территории не должны проводиться во время выпадения атмосферных осадков и при скорости ветра более 5 м/с. При скорости ветра от 1 до 5 м/с следует применять ветрозащитное устройство.
Измерения уровней шума в помещениях не должны проводиться при выпадении дождя, наличии капели и порывах ветра более 7 м/с, если это создает акустические помехи.
5.4. В жилых помещениях и общественных зданиях, нормативные параметры микроклимата которых обеспечиваются эксплуатирующими организациями, конкретными показателями внешних (микроклиматических) условий считаются значения допустимых уровней параметров микроклимата в соответствии с санитарно-эпидемиологическими требованиями для данных категорий помещений при условии, что они попадают в рабочий диапазон используемого средства измерений.
Исключение составляют высокогорные регионы и регионы с повышенной влажностью, где в жилых помещениях и общественных зданиях проводятся инструментальные измерения.
5.5. При измерениях уровней шума рекомендуется нахождение в помещении только персонала, проводящего измерения. Наблюдатели, при необходимости их присутствия, должны соблюдать полную тишину, не производить действий, мешающих проведению измерений, в том числе несанкционированной фото-, видео- и аудиофиксации, и находиться на расстоянии не менее 2 м от микрофона.
5.6. Во время измерений в помещениях должны быть выключены радио- и телевизионные приемники, а также другие бытовые источники (например, холодильники, часы), создающие дополнительный шум.
5.7. Если источник шума располагается внутри здания, при проведении измерений в помещении все окна, наружные и межкомнатные (при наличии) двери должны быть закрыты.
5.8. Если источник шума располагается вне здания, при проведении измерений в помещении двери должны быть закрыты. При отсутствии в помещении принудительной механической вентиляции должны быть открыты форточки, фрамуги, узкие створки окон или вентиляционные устройства, обеспечивающие воздухообмен и нормируемые параметры микроклимата в помещениях.
При этом форточки, фрамуги или вентиляционные устройства открываются на ширину, определяемую конструкцией, а створки окон - на ширину 15 см.
В случае если межкомнатные двери отсутствуют, в том числе по причине свободной планировки либо перепланировки, этот факт отражается в протоколе.
VI. ОБЩИЙ ПОРЯДОК ПРОВЕДЕНИЯ ИЗМЕРЕНИЙ
6.1. Измерения шума в помещениях и на территории следует проводить не менее чем в 3 точках на высоте 1,5 +/- 0,075 м от уровня опорной поверхности. Шум в контрольной точке с наибольшим уровнем данного параметра сравнивается с нормативным значением.
6.2. Микрофон шумомера должен быть направлен в сторону основного источника шума и удален не менее чем на 0,5 м от человека, проводящего измерения. Если невозможно определить основной источник шума, микрофон должен быть направлен вертикально вверх.
6.3. Продолжительность измерений определяется целью их проведения и характером шума и составляет не менее 15 минут.
В случае влияния на результат измерения посторонних помех измерение должно быть проведено заново, если это влияние невозможно исключить средствами, описанными в эксплуатационной документации к прибору.
Продолжительность измерений может быть уменьшена, если значение измеряемого параметра стабилизировалось, его изменение за последнюю минуту не превышает 0,5 дБ и изменение характера измеряемого шума исключено.
Особенности продолжительности измерений в частных случаях определены в
п.п. 7.8 -
7.32,
9.1 -
9.10.
6.4. По результатам измерений следует определить характер шума источника (постоянный или непостоянный).
6.5. Общий (суммарный) шум измеряется при всех работающих на данный момент источниках.
6.6. Фоновый шум предпочтительно измерять при работе наименьшего количества источников (в период наименьшей интенсивности движения транспорта или в интервалах между движением транспорта, при отключении дополнительных источников шума и др.). При определении параметров фонового шума, наблюдающегося в коротких перерывах между работой источников (например, в паузах движения транспорта), допускается использовать временную запись измерения. В этом случае за фактическое значение нормируемого параметра фонового шума принимается средний результат по не менее чем трем интервалам фонового шума длительностью 3 - 5 минут.
6.7. При измерении шума известного источника (оборудования) проводится измерение общего (суммарного) шума и измерение фонового шума при отключении известного источника.
Измерения общего и фонового шума проводятся в одной и той же точке последовательно.
Уровни общего и фонового шума могут быть определены при анализе хронограмм.
При невозможности отключения источника в момент проведения измерений общего шума (например, РТС, ТЭЦ и т.п.) в исключительных случаях допускается проведение измерений фонового шума в период плановых остановок данного оборудования либо в зоне акустической тени данного оборудования при отсутствии воздействия других значимых источников шума.
Если разность результатов измерений уровней звукового давления (уровня звука A) общего шума и фонового шума составляет от 3 дБ (дБA) до 10 дБ (дБA), шум источника рассчитывают вычитанием поправки (таблица 1) из результата измерения общего шума.
Таблица 1
Поправки для учета влияния фонового шума
Разность уровней звукового давления (уровня звука A) общего и фонового шума, дБ (дБA) | 3,0 - 3,4 | 3,5 - 3,9 | 4,0 - 4,4 | 4,5 - 4,9 | 5,0 - 5,9 | 6,0 - 6,9 | 7,0 - 7,9 | 8,0 - 8,9 | 9,0 - 9,9 |
Величина (K), вычитаемая из измеренного значения уровня шума, дБ (дБA) | 2,8 | 2,4 | 2,0 | 1,8 | 1,4 | 1,1 | 0,9 | 0,7 | 0,5 |
Если разность результатов измерений уровней звукового давления (уровня звука A) общего шума и фонового шума меньше 3 дБ (дБA), оценивается только общий (суммарный) уровень шума. При измерении общего (суммарного) шума поправки на источник шума к нормативным значениям не применяются. При этом поправки к нормативным значениям при тональном или импульсном характере шума могут применяться.
В случае если разность между измеренным уровнем шума от оборудования и его фоновой величиной составляет 10 дБ (дБA) и более, поправка к результатам измерения не применяется.
В протокол вносятся значения с точностью до 0,1.
Для более точного расчета коррекции может применяться формула (1):
Lcorr = 10lg(10Lmeas/10 - 10Lresid/10), (1)
где Lcorr - корректированный уровень звукового давления, дБ;
Lmeas - измеренный уровень звукового давления, дБ;
Lresid - уровень звукового давления остаточного шума, дБ.
Измерения уровня шума проводят в дневное или в ночное время суток в зависимости от режима работы оборудования.
При круглосуточной эксплуатации оборудования в одном и том же рабочем режиме измерения можно проводить в любое время суток, если это позволяет фоновый уровень (т.е. фоновые уровни шума не превышают допустимые уровни для ночного времени суток). В этом случае возможно сравнение результатов с гигиеническими нормативами для ночного времени.
Допускается проводить оценку для ночного периода по результатам измерений уровней шума, выполненных в дневное время суток, если:
- измеренные фоновые уровни шума больше гигиенических нормативов для ночного времени, но разница со значениями, полученными при работе исследуемого источника, составляет 10 дБ и более;
- измеренные уровни суммарного шума днем ниже гигиенических нормативов для ночного времени суток с учетом поправки минус 5 дБ.
Измерения выполняются только в ночной период (при круглосуточной работе источника) в случаях, если:
- разница между уровнями фонового шума и работой источника менее 10 дБ;
- отсутствует возможность отключения источника шума для измерения фоновых величин (например, работа ТЭЦ, ТП и т.д.) или в случае измерения суммарного шума;
- проводятся измерения транспортного шума (автомобильный, авиационный, железнодорожный транспорт, в том числе метро, трамваи и т.п.), т.к. это связано с другой интенсивностью и составом транспортного потока в ночное время суток.
Если измеренные в помещении или на территории суммарные уровни шума от всех источников не превышают допустимых значений, уровни фонового шума не измеряются и поправки на влияние фоновых уровней не принимаются.
6.8. Измерения непостоянного шума проводятся в период наиболее интенсивной работы источника в дневное и (или) ночное время суток. Измеряются эквивалентные и максимальные уровни звука на характеристике "медленно". Для импульсного шума измеряются максимальные уровни звука на характеристиках "медленно" и "импульс". Оцениваются эквивалентные и максимальные уровни звука.
При постоянном шуме измеряются уровни звука и уровни звукового давления в нормируемых октавных полосах частот.
6.9. Измерения уровня шума проводятся в дневное и ночное время. Для измерений выбираются периоды времени, характеризующие шум за весь период контроля. Продолжительность измерений планируется таким образом, чтобы можно было определить все необходимые нормируемые параметры шума.
6.10. При рассмотрении жалоб населения необходимые условия проведения измерений, установленные нормативными документами на методы измерений, должны учитываться при организации контрольно-надзорных мероприятий специалистами и должностными лицами, организующими измерения.
VII. ИНСТРУМЕНТАЛЬНЫЙ КОНТРОЛЬ УРОВНЯ ШУМА В ПОМЕЩЕНИЯХ
Общие подходы
7.1. Примерный перечень источников шума в жилых помещениях и общественных зданиях включает:
- источники внешнего шума: транспорт, объекты производства различных работ на окружающей территории (например, ремонтных, строительных), системы вентиляции, кондиционирования и холодоснабжения (в том числе расположенные на внешней стороне зданий), звуковоспроизводящее оборудование объектов (например, громкоговорящая связь, внешняя звуковая реклама), погрузо-разгрузочные работы, промышленные предприятия;
- источники внутреннего шума: инженерно-технологическое оборудование, технологические процессы, производственное и другое оборудование в жилых и общественных зданиях, инженерно-технологическое оборудование и функционирование встроенных и пристроенных объектов (в том числе электроакустическое звуковоспроизводящее оборудование).
7.2. При решении вопроса о вводе жилых и общественных зданий в эксплуатацию измерения уровня шума проводят в помещениях, для которых установлены нормативные значения уровней шума, расположенных наиболее близко к внешним источникам шума (например, с окнами, выходящими на улицы с интенсивным движением, на производящие шум предприятия) и внутренним источникам шума (например, лифтам и оборудованию лифтов, вентиляционным системам, насосам, электрощитовым и другому оборудованию встроено-пристроенных объектов).
7.3. Для целей МУК инженерно-технологическим оборудованием считается: системы вентиляции и кондиционирования, отопления (в т.ч. насосное оборудование), воздушного отопления, водоснабжения, оборудование лифтов, мусоропроводов, электрощитовые, трансформаторные подстанции, компрессорное оборудование, оборудование холодоснабжения самого здания и встроенно-пристроенных объектов как запроектированных, так и размещенных после ввода в эксплуатацию самого здания.
7.4. Измерения шума в помещениях жилых и общественных зданий проводятся не менее чем в 3 точках, равномерно распределенных по помещению, не ближе 1 м от стен и не ближе 1,5 м от окон.
Допускается проведение измерения шума в одной точке в помещении площадью менее 20 м2.
7.5. При проведении измерений уровней шума в необорудованных (немеблированных, т.е. с полным отсутствием мебели) помещениях из полученного при измерении значения уровней звука (звукового давления) в дБA (дБ) вычитается поправка 2 дБ (дБA).
7.6. При необходимости измерения могут проводиться дистанционно, т.е. с расположением микрофона в заданной точке, а измерительной аппаратуры в другом помещении.
7.7. В случаях если значимым источником шума является автомобильный, рельсовый городской и железнодорожный транспорт, измерения следует проводить в часы пикового движения (в том числе в период наиболее интенсивного движения пассажирских, пригородных и грузовых поездов) в квартирах нижних, средних и верхних этажей секций дома, ориентированных окнами на транспортные магистрали и железнодорожные пути, или в квартирах заявителей.
При этом внутреннее (инженерно-технологическое) оборудование здания функционирует в обычном режиме.
Особенности измерения авиационного шума определены в
главе IX.
Измерения шума от лифтовых установок
7.8. Измерения шума от лифтовых установок в жилых и общественных зданиях по жалобам граждан проводятся в периоды максимальной эксплуатации лифтов или при непрерывном движении всех лифтов в течение не менее 10 минут, в том числе с остановками и открыванием-закрыванием дверей на смежных и измеряемых этажах.
Аналогично выполняются измерения шума при вводе в эксплуатацию лифтовых установок, которые проводят в помещениях, для которых установлены нормативные значения уровней шума, нижнего, среднего и верхнего этажей, прилегающих к лифтовым шахтам.
7.9. Измерения шума от вертикального транспорта (подъемников) встроенно-пристроенных объектов в жилых домах по жалобам граждан проводятся в течение фактического времени использования оборудования, захватывающего весь цикл загрузки, подъема, разгрузки товара, но не менее 10 мин.
7.10. Измеренные уровни звука лифтовых установок, в том числе и от вертикального транспорта (подъемников) встроенно-пристроенных объектов в жилых домах, оцениваются для дневного и ночного времени суток. Измеренные максимальные уровни звука сопоставляются с допустимыми уровнями для ночного времени, а эквивалентные уровни звука с допустимыми эквивалентными уровнями звука для соответствующего периода суток.
Измерения шума от мусоропровода
7.11. Мусоропровод является составной частью комплекса инженерного оборудования здания <3> и включает включает ствол, загрузочные клапаны, шибер <4>, противопожарный клапан, очистное устройство со средством автоматического тушения возможного пожара в стволе, вентиляционный узел и мусоросборную камеру, укомплектованную контейнерами и санитарно-техническим оборудованием.
--------------------------------
<3>
Пункт 3 СП 31-108-2002 "Мусоропроводы жилых и общественных зданий и сооружений", введенные в действие
постановлением Государственного комитета Российской Федерации по строительству и жилищно-коммунальному комплексу от 29.10.2002 N 148.
<4> Шибер - стальное устройство, предназначенное для временного перекрытия нижней оконечности ствола при вывозе заполненных мусором контейнеров, безопасного проведения в мусоросборной камере профилактических, санитарных и ремонтных работ. В остальное время эксплуатации мусоропровода положение шибера открытое.
7.12. Измерения шума от эксплуатации мусоропровода (приемка в эксплуатацию) проводятся в жилых помещениях квартир на трех уровнях: верхний, средний и нижний этажи. На нижнем этаже обследуется жилое помещение, ближайшее к мусоросборной камере. Измерения проводятся при открытом шибере, в процессе сброса бытового мусора в мусоропровод, в количестве 3 серий, каждая продолжительностью 5 мин, в течение каждой серии - 3 сброса. Мусор должен содержать мягкие и твердые предметы. За результат Leq следует принимать среднее арифметическое значение по всем сериям. За результат Lмакс - наибольший из максимумов, зафиксированных в каждой серии.
Измерения шума по жалобе проводятся в конкретной квартире, при этом загрузка клапана должна быть на один или два этажа выше в зависимости от схемы мусоропровода (размещение загрузочного клапана на каждом этаже или через этаж).
7.13. Измеренные уровни оцениваются для дневного и ночного времени суток.
Измерение шума от звуковоспроизводящих и звукоусилительных
устройств, эксплуатируемых юридическими лицами,
в том числе индивидуальными предпринимателями
7.14. В зависимости от места расположения звуковоспроизводящего оборудования его рассматривают как внешний и (или) внутренний источник шума.
7.15. Для проведения измерений рекомендуется выбирать музыкальные композиции с преобладанием низких частот, которые должны непрерывно воспроизводиться в течение не менее 15 минут (времени, необходимого для измерения всех параметров шума). Временной интервал измерений должен включать воспроизведение не менее трех музыкальных композиций.
7.16. Включение оборудования и установка регулятора громкости звуковоспроизводящего оборудования на максимальный режим, который может быть использован в данных условиях эксплуатации, контролируется организующими и/или проводящими измерения.
7.17. В протоколе измерений дополнительно отражаются значения регулятора громкости звуковоспроизводящего оборудования, эквалайзеров. Рекомендуется проводить фотофиксацию микшерного пульта.
Измерения шума от индивидуальных тепловых пунктов,
центральных тепловых пунктов, элеваторных узлов,
электрощитовых, трансформаторных подстанций
Измерения шума от оборудования тепловых пунктов
7.18. Оборудование тепловых пунктов может быть источником внешнего и (или) внутреннего шума.
Внешним источником шума могут являться насосы отдельно стоящего центрального теплового пункта (далее - ЦТП). Шум распространяется по воздуху через монтажные ворота, световые проемы и вентиляционные отверстия.
Внутренними источниками шума могут являться насосы встроенных и встроенно-пристроенных индивидуальных тепловых пунктов (далее - ИТП), ЦТП и трубопроводы, по которым вода от насосов под давлением с пульсацией поступает в систему водоснабжения и отопления.
В случае если трубопровод связан со строительными конструкциями в техническом подполье жилого дома без виброизоляции, вибрация трубопровода передается на конструкции здания, которые становятся источником звуковых волн.
7.19. Насосы отопления, горячего и холодного водоснабжения обычно устанавливаются парами (основной и резервный) и работают попеременно. Необходимо проводить измерения при совместной работе насосов (отопления, горячего и холодного водоснабжения) каждой группы (основные и резервные насосы), а также фонового уровня при полностью выключенном оборудовании.
При выявлении превышений шума от какой-либо группы насосов (основной или резервной), при необходимости, проводятся измерения от каждого насоса в этой группе.
7.20. В протоколе измерений (акте обследования) дополнительно рекомендуется указывать схему размещения насосов, тип, количество, характеристики насосного оборудования, температуру воды, давление на момент исследования на входе и на выходе насосов.
Измерения шума от элеваторного узла
7.21. Элеваторные узлы (рис. 1), установленные в техническом или подвальном этаже жилого дома, предназначаются для присоединения источника теплоснабжения (тепловых сетей) к местной системе отопления. Для снижения температуры воды, подаваемой из тепловых сетей, в камере смешения происходит подмешивание оборотной воды. При данном процессе может возникать вибрация трубопровода, передающаяся на конструкции здания, которые становятся источником звуковых волн.
Рис. 1. Пример элеваторного узла
В основном шум элеваторного узла может прослушиваться в жилых помещениях 1-го этажа, расположенных над элеваторным узлом.
7.22. Для измерения фоновых значений необходимо перекрыть 1-ю прямую и 2-ю обратную задвижки (выполняется эксплуатирующей организацией). В этом случае циркуляция теплоносителя в отопительной системе дома прекращается.
Измерение шума от трансформаторных подстанций
7.23. Трансформаторные подстанции (далее - ТП) могут быть источниками внешнего шума (отдельно стоящие - шум проникает через вентиляционные решетки) и внутреннего шума (встроенные и встроенно-пристроенные - "структурный" шум передается через несущие конструкции здания).
Основными источниками шума в ТП являются трансформаторы, устройства автоматического контроля и управления (контакторы основного и резервного питания) и система принудительной механической вентиляции (в случае ее наличия). От трансформаторов питание поступает на контакторную станцию, затем на "сборку" и затем по силовым кабелям к потребителям. Контакторная станция обеспечивает переключение нагрузки с одного трансформатора на другой и в момент переключения может издавать кратковременные повышенные уровни шума ("щелчки").
При измерениях необходимо присутствие представителей организации, обслуживающей данную ТП, с целью обеспечения отключения оборудования ТП для измерения фоновых уровней.
Измерения шума от холодильного оборудования
7.24. Холодильное оборудование (центральные холодильные машины (далее - ЦХМ), компрессорно-конденсаторные блоки (далее - ККБ)) предполагает наличие низко- и (или) среднетемпературных компрессоров, которые могут размещаться в помещении ЦХМ, и внешних компрессорно-конденсаторных блоков (ККБ), состоящих из нескольких осевых вентиляторов.
Компрессорное оборудование и система трубопроводов являются источниками внутреннего шума, ККБ - как внутреннего, так и внешнего шума. Режим работы холодильного оборудования - круглосуточный (как правило, в автоматическом режиме).
7.25. Длительность цикла работы ККБ, количество вращающихся вентиляторов и генерируемый ими уровень шума зависят от температуры окружающего воздуха. В холодный период года длительного охлаждения не требуется, поэтому включается часть вентиляторов на непродолжительное время. В теплый период года определенный промежуток времени работают все вентиляторы ККБ, поэтому рекомендуется проведение измерений в теплый период года.
7.26. При проведении измерений шума от ЦХМ и ККБ рекомендуется контролировать их работу, в том числе количество работающих вентиляторов.
7.27. В протоколе исследований (акте обследования) рекомендуется дополнительно указывать модель (тип) и фирму производителя оборудования, количество работающих вентиляторов, наличие мероприятий по звуко- и виброизоляции.
Измерения уровней шума от передвижения
тележек торговых объектов (по жалобам)
7.28. Измерения уровней шума от передвижения тележек торгового объекта выполняются при загруженных и пустых средствах механизации.
Продолжительность измерений должна захватывать весь цикл разгрузки товаров и маршрут их передвижения. Тип и количество тележек определяется особенностями технологического процесса конкретного объекта. Например:
1) При жалобе на передвижение покупательских тележек измерения проводятся при передвижении нескольких тележек разной степени загруженности.
2) При жалобе на перевозку товаров на грузовых тележках (в т.ч. типа "Рокла"), транспортировочных тележках по транспортировочному коридору количество и загруженность тележек определяется типичной фактической ситуацией.
7.29. Измерения проводятся по максимальным и эквивалентным уровням звука для дневного и ночного времени суток в зависимости от режима эксплуатации объекта торговли и графика разгрузки товара.
7.30. В протоколах дополнительно указывается: тип тележек (например, промышленные типа "Рокла", "Роллы", покупательские, тележки-стеллажи), тип колес (например, пластиковые, резиновые), маршрут передвижения тележек (например, транспортный коридор, складские помещения, торговый зал), покрытие пола на пути их следования (например, кафельная плитка, резиновые коврики, ПВХ-покрытие).
Измерения шума от вентиляционных установок
7.31. Вентиляторы могут являться источниками внешнего и внутреннего шума. При обследовании объекта рекомендуется получить информацию, необходимую для внесения в протокол исследований (акт обследования):
- данные о типе (марке), мощности и производительности каждой вентиляционной системы;
- описание систем вентиляции и указание месторасположения вентиляторов, в том числе относительно жилых помещений;
- чертеж или описание размещения вибродемпфирующих, звукоизолирующих и звукопоглощающих материалов и устройств (например, шумоглушителей, виброизоляторов).
Для получения указанной выше информации рекомендуется использовать также паспорта на приточно-вытяжное оборудование вентиляционных систем.
7.32. При измерении шума вентиляционных установок вентиляторы должны быть включены в наиболее шумном режиме, предусмотренном изготовителем, которые определяются либо механическим или электронным ограничителем скорости установки, если такой используется.
VIII. ИНСТРУМЕНТАЛЬНЫЙ КОНТРОЛЬ УРОВНЯ
ШУМА НА ТЕРРИТОРИИ ЖИЛОЙ ЗАСТРОЙКИ
8.1. Примерный перечень источников шума на территории жилой застройки включает:
- различные предприятия (промышленные, сферы услуг, торговли и т.п.);
- транспорт автомобильный, рельсовый, воздушный и др.;
- звукоусилительные устройства, в том числе рекламные;
- ремонтные и строительные работы;
- системы вентиляции и кондиционирования;
- погрузо-разгрузочные работы (за исключением проведения гражданами ручных погрузочно-разгрузочных работ).
8.2. Точки для измерения выбираются на границе участков территории, для которых имеются гигиенические нормативы уровня шума (на площадках отдыха микрорайонов и групп жилых домов, площадках детских дошкольных учреждений и участках школ, территориях больниц и санаториев), наиболее приближенные к источникам шума и располагаемые не ближе 2 м от стен зданий (во избежание ошибки в связи с отражением звука) и вне зоны звуковой тени.
Количество точек на территории определяется экспертом в зависимости от целей исследования (рассмотрение жалоб, установление/изменение санитарной защитной зоны (далее - СЗЗ), оценка акустической ситуации для принятия градостроительных решений и др.), пожеланий заказчика или жалоб заявителя с учетом количества источников шума и их расположения.
Например, при установлении/изменении СЗЗ контрольные точки рекомендуется выбирать исходя из следующих критериев:
а) во всех направлениях (по румбам: северном и/или северо-восточном, и/или восточном, и/или юго-восточном, и/или южном, и/или юго-западном, и/или западном, и/или северо-западном) изменения (сокращения, увеличения) размеров СЗЗ относительно ориентировочных размеров санитарно-защитных зон, предусмотренных санитарной классификацией, или ранее установленной СЗЗ;
б) в направлении (по румбам: северном и/или северо-восточном, и/или восточном, и/или юго-восточном, и/или южном, и/или юго-западном, и/или западном, и/или северо-западном) минимального расстояния до нормируемых территорий (земельных участков, объектов), размещение которых в СЗЗ не допускается;
в) в направлении (по румбам: северном и/или северо-восточном, и/или восточном, и/или юго-восточном, и/или южном, и/или юго-западном, и/или западном, и/или северо-западном) максимальных уровней физического воздействия объекта, групп объектов на среду обитания и здоровье человека.
При прекращении существования СЗЗ измерения уровней шума проводятся на границе земельного участка (участков) (контуре) объекта, от которого установлена СЗЗ.
Месторасположение точек контроля определяется путем проекции контрольных точек, в которых проводились исследования (измерения) при установлении (изменении) СЗЗ, на границу земельного участка (участков) (контур) объекта.
Информация о необходимом количестве точек содержится в протоколе измерений и экспертном заключении.
На территориях, непосредственно прилегающих к жилым домам, общежитиям, гостиницам, зданиям больниц, санаториев, детских дошкольных учреждений и школ, измерения проводятся в точках, расположенных на расстоянии не менее 2 м от ограждающих конструкций зданий на высоте 1,5 +/- 0,075 м от земли, а при многоэтажной застройке на высоте не менее высоты источника.
При измерении уровней шума на территории от источника, расположенного внутри здания и имеющего вентиляционные проемы, эти проемы (форточки, фрамуги, клапаны и пр.) должны быть открыты на столько, чтобы обеспечивался воздухообмен и нормируемые параметры микроклимата в помещениях.
8.3. При проведении измерений необходимо определить характер шума (широкополосный, тональный) и его временные характеристики (постоянный, непостоянный, импульсный). С учетом характера шума выбираются нормируемые параметры и нормативные значения.
Измерения уровня шума проводятся отдельно в дневное и ночное время. Для измерений выбираются периоды времени, когда возможно ожидать наибольших уровней шума. Продолжительность измерений планируется таким образом, чтобы можно было определить все необходимые нормируемые параметры шума.
Примечание: в отдельных случаях, когда возникает необходимость оценить уровень шума от отдельного объекта на территории жилой застройки, возможно проведение измерений лишь в дневное время при имитации режима работы объекта в ночное время с дальнейшим сравнением результатов измерений с гигиеническими нормативами для ночного времени суток. При этом в зоне этого объекта не должно находиться других значимых источников шума, уровень которого невозможно регулировать при проведении измерений. Например, проведение измерений уровней шума от строительной площадки, для которой существуют дневной и ночной режимы работы механизмов и движения обслуживающего ее транспорта, возможно в дневное время при условии отсутствия других выраженных "нерегулируемых" источников шума, таких как проходящие рядом автомагистрали и т.п.
IX. ОСОБЕННОСТИ ИЗМЕРЕНИЯ АВИАЦИОННОГО ШУМА
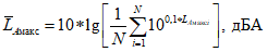
9.1. Нормируемыми параметрами авиационного шума (далее - АШ) как источника непостоянного шума в жилых помещениях являются корректированный по A эквивалентный уровень звука L
Aэкв и максимальный корректированный по A уровень звука с временной коррекцией S (медленно) L
ASмакс. На территории жилой застройки нормируемой величиной является корректированный по A эквивалентный уровень звука L
Aэкв.
Максимальный корректированный по A уровень звука не является нормируемым параметром на территории, результаты его измерения на территории рассматриваются как справочные величины, которые могут использоваться для расчета эквивалентных уровней и разработки шумозащитных мероприятий для территорий, зданий (помещений), нормируемых по шуму.
Оценка эквивалентного средневзвешенного уровня шума LAдн проводится в рамках выполнения работ по оценке риска здоровью населения, в том числе при обосновании ограничений использования земельных участков и (или) расположенных на них объектов недвижимости и осуществления деятельности в границах шумовой зоны, обусловленной полетами воздушных судов.
9.2. Измерения АШ проводятся с целью:
- рассмотрения жалоб населения;
- обоснования возможности размещения объектов капитального строительства (далее - ОКС) до утверждения седьмой подзоны приаэродромной территории в соответствии с установленным порядком.
9.3. Измерения АШ выполняются при летной (разбеге, взлете, наборе высоты, пролете, заходе и снижении на посадку, послепосадочном пробеге по взлетно-посадочной полосе (далее - ВПП), в том числе с использованием реверса тяги авиадвигателей) и при наземной эксплуатации воздушных судов (далее - ВС) (работе вспомогательной силовой установки (далее - ВСУ), запуске и остановке авиадвигателей, прогреве авиадвигателей, рулении, опробовании авиадвигателей, работе аэродромных тепловых и ветровых машин, оборудованных авиадвигателями).
9.4. Перед началом проведения натурных измерений исходные данные по маршрутам полетов, расположению аэродрома и контрольной точке аэродрома (далее - КТА), эксплуатируемым типам ВС, порядку набора высоты при вылете и снижению высоты при заходе на посадку можно получить в сборнике аэронавигационной информации аэродрома <5> для аэродромов гражданской авиации на основании информации, приведенной в инструкции по производству полетов (далее - ИПП), или в аэронавигационном паспорте аэродрома (далее - АНПА) для аэродромов государственной и экспериментальной авиации.
--------------------------------
<5> www.caiga.ru - официальный сайт ФГУП "Центр аэронавигационной информации" (в свободном доступе).
9.4.1. По результатам анализа схем (маршрутов) выхода/захода ВС с/на аэродром определяются схемы (маршруты) движения ВС, предположительно оказывающие наибольшее акустическое воздействие на обследуемую территорию (объект).
Критерии выбора схемы (маршрута), подлежащей исследованию:
Расстояние от точки измерения уровней АШ до воздушного судна, находящегося на маршруте полета, не должно превышать 3000 метров; расстояние определяется по формуле (2):

, (2)
где |AB| - расстояние от точки измерения до воздушного судна;
|AC| - кратчайшее расстояние от точки измерения до линии пути следования воздушного судна;
|BC| - высота пролета воздушного судна над землей.
Линия пути следования воздушного судна - горизонтальная проекция траектории полета на земную поверхность
Высота пролета воздушного судна в каждой точке следования по маршруту взлета составляет по формуле (3):
где Lp - длина линии пути следования ВС от стартового торца ВПП.
Высота пролета воздушного судна в каждой точке следования по маршруту посадки составляет по формуле (4):
где Lп - длина линии пути следования воздушного судна до посадочного торца ВПП.
Сведения о высоте пролета воздушного судна, приведенные в данном пункте, являются приблизительными и могут использоваться только для обоснования выбора маршрутов движения ВС, подлежащих исследованию по фактору АШ.
Расчеты по обоснованию выбора маршрутов фиксируются в протоколах и (или) рабочих записях;
После установления наиболее значимого маршрута движения ВС проводятся измерения уровней шума.
При невозможности фиксации 5 пролетов ВС в течение четырех часов эксплуатации исследуемого маршрута, определенного в соответствии с п. 9.4.1, с учетом соответствующего обоснования невозможности фиксации требуемого количества пролетов ВС, допускается провести определение среднего максимального уровня шума по
формуле (5) на основании результатов фактических измерений.
Пример выбора наиболее значимого маршрута представлен в
приложении 4 к настоящим МУК.
9.4.2. У оператора обследуемого аэродрома или из других источников (ФГУП "Государственная корпорация по организации воздушного движения в Российской Федерации", органы Роспотребнадзора и др.) необходимо получить следующую информацию:
- о месторасположении и количестве ВПП аэродрома;
- о годовой интенсивности полетов (с указанием количества взлетов и посадок ВС) с распределением на дневной и ночной периоды времени;
- об интенсивности полетов в отношении каждого типа ВС для среднегодового летного дня, рассчитанного для года, в период которого интенсивность была наибольшей в течение последних 3 лет, с распределением на дневное и ночное время суток;
- о загрузке каждого маршрута вылета/посадки в процентном (%) соотношении для среднегодового летного дня с распределением на дневное и ночное время суток.
Рекомендуемая форма предоставления данных от оператора аэродрома представлена в
приложении 3 к настоящим методическим указаниям.
9.5. Измерения могут проводиться непрерывно в течение установленного дневного и ночного времени суток (непрерывные мониторинговые измерения) или в отдельные промежутки времени.
| | ИС МЕГАНОРМ: примечание. В официальном тексте документа, видимо, допущена опечатка: п. 9.5.7 отсутствует. | |
Выбор периода и продолжительности измерений указаны в п. 9.5.1 - 9.5.7.
9.5.1. В связи с меняющейся интенсивностью полетов в течение суток (дневного и ночного времени), дней недели, месяцев года наиболее объективными и достоверными для оценки являются эквивалентные уровни звука, полученные прямыми измерениями акустических событий (пролетов ВС) за вышеуказанные периоды (например, день/ночь, месяц, год) системами мониторинга авиационного шума.
Для оценки соответствия допустимым эквивалентным уровням звука для дневного и ночного времени суток мониторинговые измерения соответственно проводятся 16 часов (57600 с) дневного времени и (или) 8 часов (28800 с) ночного времени суток.
9.5.2. Допускается применять приближенные методы вычисления эквивалентного уровня звука L
Aэкв, которые используют в качестве исходной информации результаты расчетов или измерений максимальных уровней звука при отдельных воздействиях шума, а также измерения эквивалентных уровней звука за отдельные промежутки времени вместо непрерывных измерений в течение установленных дневного и ночного времени суток
[13]. Объем выполненных измерений должен быть достаточным для обеспечения необходимой точности измерений.
9.5.3. Продолжительность измерений шума в целях рассмотрения жалоб населения (для оценки соответствия/несоответствия допустимым уровням звука) составляет не менее 2 часов в дневное время и одного часа в ночное время. В случае пролета более 20 ВС за меньший интервал времени измерения можно прекратить. В протоколе измерений делается соответствующая запись.
В случае если уровни звука при пролете 10 ВС не превышают фоновых значений, измерения можно досрочно прекратить. В протоколе измерений делается соответствующая запись.
9.5.4. При выполнении измерений АШ для обоснования возможности размещения ОКС на территории земельного участка необходимо проведение прямых инструментальных измерений в объеме, достаточном для объективной оценки эквивалентных уровней звука на исследуемой территории.
9.5.5. При определении продолжительности измерений в целях обоснования возможности размещения ОКС, территория которых нормируется по шуму в соответствии с санитарным законодательством, за период(ы) измерений должны быть зафиксированы типы ВС, на долю которых приходится не менее 80% взлетно-посадочных операций (далее - ВПО) среднегодового летного дня, при этом расширенная неопределенность должна быть не более 2 дБA; для объектов, которые имеют нормирование по шуму только внутри помещений и на рабочих местах, продолжительность измерений определяется
п. 9.5.3 настоящих МУК.
9.6. При проведении измерений шума в целях рассмотрения жалоб населения измеряются эквивалентные L
Aэкв за период наблюдения и максимальные уровни L
ASмаксi каждого события (при пролете каждого воздушного судна). Для определения вклада АШ в измеренный суммарный шум проводится измерение фонового шума (при отсутствии полетов ВС). Учет влияния фонового шума проводится в соответствии с
п. 6.7.
Определение нормируемых параметров возможно с применением анализа шумовых хронограмм или временной записи.
9.7. Рекомендации по выбору месторасположения точек измерений АШ и определению их количества в целях обоснования возможности размещения ОКС.
9.7.1. Измерения АШ рекомендуется проводить на открытых площадках, с достаточным обзором для возможности наблюдения за движением ВС, вне звуковой тени препятствий и вне влияния отраженной звуковой волны от фасадов близко расположенных зданий, искажающих звуковое поле. Места для измерения шума располагаются на ровной поверхности с соблюдением условий отсутствия чрезмерного избыточного затухания звука (например, высокая трава, кустарник или лесистые участки).
На территории, непосредственно прилегающей к жилым домам и зданиям больниц, санаториев, детских дошкольных учреждений и школ, измерения проводятся в точке, расположенной на расстоянии не менее 2 м от ограждающих конструкций здания со стороны источника шума (например, ВПП, траектория полетов ВС, место стоянки для опробования авиадвигателей).
На площадках отдыха микрорайонов и групп жилых домов, площадках детских дошкольных учреждений и участках школ, территориях больниц и санаториев, в точке, расположенной на ближайшей к источнику шума границе площадок (вне звуковой тени), при необходимости - дополнительно в центре площадки или участка.
На территории исследуемого участка точки (места) измерения следует выбирать в непосредственной близости от маршрута движения в прямой видимости ВС. Микрофон шумомера должен располагаться на высоте 1,5 м над уровнем земной поверхности, ось чувствительности микрофона должна быть ориентирована в сторону ожидаемого излучения максимального шума.
9.7.2. При обосновании возможности размещения ОКС точки проведения измерений АШ располагаются равномерно по территории исследуемого земельного участка в соответствии с таблицей 3.
| | ИС МЕГАНОРМ: примечание. Нумерация таблиц дана в соответствии с официальным текстом документа. | |
Таблица 3
ТОЧКИ ПРОВЕДЕНИЯ ИЗМЕРЕНИЙ АВИАЦИОННОГО ШУМА
Площадь земельного участка (Га) | Количество точек измерений (не менее) |
< 1 | 1 |
>= 1; < 3 | 2 |
>= 3; < 6 | 3 |
>= 6; < 9 | 4 |
>= 9; < 13 | 5 |
>= 13; < 18 | 6 |
>= 18; < 24 | 7 |
>= 24; < 31 | 8 |
>= 31; < 38 | 9 |
>= 38; < 45 | 10 |
>= 45 | 10 + 1 на каждые 10 Га сверх 45 Га |
Измерения на территории, по возможности, следует проводить единовременно во всех точках.
9.8. Размещение микрофонов шумомеров на фасаде здания для оценки уровней АШ, степени его затухания в зависимости от этажа здания и оценки эффективности ограждающей конструкции здания:
- микрофон должен быть закреплен на удалении 2 м от фасада здания;
- при измерении уровня АШ в помещении единовременно с измерениями уровней АШ на фасаде здания необходимо избегать искажения результатов измерений в помещении. Допускается размещать микрофон на фасаде здания на удалении до 7 м в горизонтальной плоскости от окна исследуемого помещения.
9.9. При проведении измерений уровней АШ в тех же точках (точке) следует определять уровни фонового шума (при отсутствии пролетов самолетов, проведении наземных операций при рулении ВС, работе ВСУ). Учет влияния фонового шума выполняется в соответствии с
табл. 1 п. 6.7 как для максимального (для каждого зафиксированного пролета ВС, в случае разницы L
A фона и L
Aмакс пролета < 10 дБA), так и для эквивалентного уровня звука, полученных путем прямых измерений.
При получении эквивалентного уровня звука расчетным способом поправка на фон применяется для результатов прямых измерений максимального уровня звука, на основании которых проводится расчет эквивалентного уровня.
9.10. В зависимости от поставленной задачи расчет эквивалентного уровня звука может проводиться за среднегодовой летный день на текущий период времени или на другой период времени, например, на перспективное развитие аэродрома.
9.10.1. При расчете эквивалентного уровня звука применяется среднее значение измеренных уровней максимального звука всех зафиксированных пролетов ВС (как в дневное, так и ночное время суток в связи с неизменностью шумовых характеристик), рассчитанное по формуле (5):

(5)
где LAмаксi - значение измеренного максимального уровня звука, полученное для i-го измерения в данной точке измерения, дБA;
i = 1, 2, 3,..., n (n - общее количество измерений в данной точке).
9.10.2. На основании результатов проведенных измерений L
Aмаксi каждого события (при пролете каждого ВС и наземных операциях ВС) проводится определение длительности воздействия каждого события

(за время воздействия принимают значение, равное времени звучания "верхних" 10 дБA, т.е. время превышения уровня звука на 10 дБA ниже максимального измеренного значения).

- эффективное время
i-го воздействия шума, равное

при пролетах и

при опробовании двигателей, рулении ВС, работе ВСУ.
Рассчитывается среднеарифметическое значение

за все зафиксированные пролеты ВС или зафиксированные наземные операции при рулении ВС, работе ВСУ.
9.10.3. Эквивалентный уровень звука LAэкв дБA за дневное и ночное время суток, вычисляют по формуле (6):

(6)
где
T - регламентируемый интервал времени, равный 57600 с для дневного времени и 28800 с для ночного времени. Также расчет эквивалентного уровня звука может быть проведен для иного интервала времени;
N - число воздействий за рассматриваемый период (интенсивность полетов ВС в соответствии с
таблицей 3 приложения 3 к настоящим МУК, полетов ВС с учетом режима эксплуатации наиболее значимого маршрута, полетов ВС в соответствии с
таблицами 4.1,
4.2 приложения 3 к настоящим МУК);

- среднее значение измеренных уровней максимального звука;

- среднеарифметическое значение

за все зафиксированные пролеты ВС или зафиксированные наземные операции при рулении ВС, работе ВСУ.
Пример расчета эквивалентного уровня звука представлен в
приложении 4 к настоящим МУК.
X. ОСОБЕННОСТИ ИЗМЕРЕНИЯ ШУМА ОТ СТРОИТЕЛЬНЫХ РАБОТ
10.1. Строительная техника и строительные технологические процессы могут являться источниками постоянного и непостоянного шума.
10.2. Измерения уровней шума от строительной площадки проводятся в помещениях зданий (например, жилых домах, офисах, медицинских и образовательных организациях) и на нормируемых по шуму территориях.
10.3. В зависимости от времени работы строительной техники измерения проводятся в дневное или в ночное время суток.
10.4. Точки измерения на селитебной территории выбираются таким образом, чтобы между ними и границами стройплощадки не было объектов, создающих экранирующий эффект.
10.5. При наличии нескольких источников шума на строительной площадке микрофон направляют в сторону наиболее мощного источника звука.
10.6. Фоновые уровни измеряются при полностью отключенном оборудовании и неработающей строительной технике, имеющейся на стройплощадке.
10.7. Продолжительность измерения в каждой точке должна быть не менее 1 мин для постоянного шума и не менее 0,5 часа для непостоянного шума. При различных технологических циклах работы строительной техники измерения шума следует проводить для каждого характерного режима (технологического цикла) выполняемых на стройплощадке работ в периоды его максимальной интенсивности.
10.8. В протоколе измерений (акте обследования) рекомендуется указывать дополнительные данные:
- схему расположения стройплощадки и окружающей ее застройки с указанием точек измерения;
- время проведения и продолжительность измерений;
- число и перечень работающих на строительной площадке источников шума;
- наименование выполняемых видов работ или технологических операций (циклов) и их продолжительность;
- метеорологические условия проведения измерений.
XI. ПРОВЕДЕНИЕ ИЗМЕРЕНИЙ ПРИ ОПРЕДЕЛЕНИИ
ГРАНИЦ САНИТАРНО-ЗАЩИТНОЙ ЗОНЫ
ПРОМЫШЛЕННОГО ПРЕДПРИЯТИЯ ПО УРОВНЮ ШУМА
11.1. Определение границ СЗЗ предприятий, сооружений и иных объектов производится первоначально расчетным путем на стадии проектирования. Впоследствии границы СЗЗ подтверждаются измерениями шума в контрольных точках.
При определении расчетных границ СЗЗ должны быть учтены все источники шума, оказывающие влияние на население в зоне расположения предприятия: соседние предприятия, автомагистрали и другие источники шума наземного транспорта и т.д. Учет указанных источников шума может быть выполнен путем проведения прямых измерений уровней шума в заданных точках (фоновый шум).
11.2. Контрольные точки выбираются в соответствии с программой проведения инструментальных исследований шума для подтверждения установленного размера санитарно-защитной зоны. Для проведения измерений уровней шума с целью подтверждения границ СЗЗ контрольные точки рекомендуется выбирать в соответствии с
п. 8.2 настоящих методических указаний.
Первое измерение проводится на границе СЗЗ, а последующие - в направлении к территории жилой застройки или от нее в зависимости от результатов первого измерения.
11.3. При размещении объектов многоэтажной жилой застройки вблизи границы СЗЗ предприятий расчетные точки следует выбирать не только на высоте 1,5 - 2 м от уровня земли, но и на высоте размещения основных источников шума объекта (например, срезов воздуховодов вытяжных вентиляционных систем, наружных блоков систем холодоснабжения).
При проведении измерений контрольные точки определяются на высоте 1,5 м над поверхностью земли. При наличии объективной возможности одну или несколько контрольных точек измерений выбирают в зоне действия прямого звука (вне зоны звуковой тени источника шума).
11.4. Если в проекте СЗЗ были предусмотрены мероприятия по снижению шума от оборудования, то в протоколе измерений в дополнительных сведениях рекомендуется указывать информацию о выполнении комплекса шумозащитных мероприятий, предложенных в проекте СЗЗ.
11.5. При проведении измерений шума в контрольных точках в протоколе инструментальных исследований необходимо отметить, какое оборудование предприятия функционировало на момент обследования. Во время измерений оборудование, являющееся источником шума, должно работать на полную мощность в соответствии с технологией. Источники шума устанавливаются при обследовании объекта и на основании официальной информации, предоставленной предприятием. В протоколе отражается только оборудование, являющееся источником (возможным источником) шума.
11.6. В случае если проведению измерений уровней шума при контроле параметров СЗЗ мешают периодически возникающие помехи в виде посторонних шумов (например, проходящий по прилегающим улицам транспорт, источники шума, не принадлежащие исследуемому объекту), допускается использовать методику измерений с записью шума (хронограммы) с последующим исключением из нее помех в виде посторонних шумов и оценкой полученных результатов.
11.7. Рекомендуемая периодичность измерений: не менее 2 раз в течение 1 года (в теплый и холодный периоды); в дневное и ночное время суток (в зависимости от времени функционирования предприятия и его оборудования).
11.8. Точки измерений шума указываются на план-схеме, прикладываемой к протоколу измерений.
к МУК 4.3.3722-21
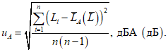
1. Для оценки шумового режима на территориях жилой застройки или в помещениях жилых и общественных зданий проводят серию измерений, в результате которых получают совокупность отдельных значений исследуемой величины (например, уровней звука, дБA, уровней звукового давления, дБ). На точность измерений влияет целый ряд случайных факторов, связанных с функционированием измерительной системы, методикой измерений, квалификацией оператора, состоянием окружающей среды и т.п., поэтому полученные значения исследуемой величины носят случайный характер.
В качестве наилучшей оценки измеряемой величины согласно
ГОСТ 34100.1 следует рассматривать результат измерений. Результат измерений должен быть представлен оценочным значением измеряемой величины с указанием неопределенности измерений. В качестве количественной характеристики неопределенности результата измерений допускается использовать среднее квадратическое отклонение, стандартную, суммарную стандартную и расширенную неопределенность измерений.
2. В общем случае неопределенность измерений представляет собой неотрицательный параметр, характеризующий рассеяние возможных значений измеряемой величины, которые достаточно обоснованно могли бы быть приписаны измеряемой величине.
3. Расширенная неопределенность (
U) - величина, определяющая интервал вокруг результата измерения, в пределах которого, как можно ожидать, находится

часть распределения значений измеряемой величины.
4. Причинами неопределенности измерений являются:
- систематические погрешности - погрешности измерения, остающиеся постоянными или закономерно меняющимися при повторных измерениях одной и той же физической величины. Систематические погрешности подразделяются на инструментальные, методические и субъективные. Перед началом обработки данных измерений все известные систематические погрешности должны быть исключены путем внесения соответствующих поправок. При дальнейшей обработке результатов измерений учитывают только неисключенные систематические погрешности;
- случайные погрешности - погрешности измерения, изменяющиеся случайным образом (как по знаку, так и по значению) в серии повторных измерений одной и той же физической величины, проведенных с одинаковой тщательностью в одних и тех же условиях. Источниками случайных погрешностей являются приборная погрешность, погрешность отсчета, ошибки оператора, влияние окружающей среды и др.;
- грубые погрешности (промахи) - это случайная погрешность результата отдельного наблюдения, резко отличающегося от остальных результатов. Такие значения должны быть исключены из дальнейшего рассмотрения. В сомнительных случаях следует выполнить более точный их анализ на основе метода Граббса (см.
ГОСТ Р 8.736).
5. Для возможности вычисления неопределенности результатов измерений необходимо выполнять многократные измерения исследуемой величины в одних и тех же условиях. В соответствии с
ГОСТ Р 8.736 многократными считаются измерения, количество которых
n > 4.
В таких случаях при проведении расчетов неопределенности предполагается, что распределение случайных погрешностей не противоречит нормальному распределению, а неисключенные систематические погрешности, представленные заданными границами, имеют равномерное (прямоугольное) распределение.
При однократных измерениях случайная величина подчиняется равномерному распределению, когда появление того или иного значения случайной величины имеет одинаковую вероятность. За результат однократного измерения принимают значение величины, полученное при таком измерении.
6. Расширенную неопределенность измерений исследуемой величины - уровня звука, дБA, или уровней звукового давления, дБ, или др., характеризующих тот или иной шумовой процесс, рекомендуется определять в соответствии с
ГОСТ 34100.1,
ГОСТ 34100.3 в следующем порядке:
1) По откорректированным результатам нескольких аналогичных измерений уровней звука (уровней звукового давления), выполненных в одной и той же точке измерения одним и тем же прибором и по одной и той же методике, вычисляют среднее значение

измеренных уровней звука (уровней звукового давления) по формуле (7):

, (7)
где Li - значение измеренного и откорректированного уровня звука (уровня звукового давления), полученное для i-го измерения в данной точке измерения, дБA (дБ);
i = 1, 2, 3,..., n (n - общее количество измерений в данной точке).
2) Для полученной серии измерений в данной точке измерения оценивают составляющую неопределенности по типу A, связанную с источниками неопределенности случайного характера (например, погрешности методики измерений, влияние факторов окружающей среды), по формуле (8):

(8)
3) Затем оценивают составляющую неопределенности по типу B, обусловленную источниками неопределенности, имеющими систематический характер (например, инструментальная погрешность измерительных приборов, погрешность калибровки). При этом учитывают какие-либо сведения следующего характера:
- данные предшествующих измерений соответствующих величин;
- экспертные оценки, основанные на опыте исследователей;
- общие знания о поведении и свойствах соответствующих средств измерений;
- неопределенности констант и справочных данных;
- данные поверки и калибровки измерительных приборов;
- сведения изготовителя о приборе и др.
Такие данные рекомендуется представлять в виде границ отклонений значений величин от их оценок.
4) Составляющую неопределенности по типу B определяют по формуле (9):

, (9)
где

- инструментальная погрешность измерений уровня звука (уровней звукового давления), дБ
A (дБ), определяется в соответствии с инструкцией по эксплуатации шумомера или другого применявшегося для измерений прибора или на основе иных вышеуказанных сведений.
При отсутствии таких данных допустимо воспользоваться значением стандартной неопределенности
uB = 0,7 дБ
A (дБ) для шумомеров 1-го класса по
ГОСТ 17187, полученным на основании проводившихся ранее специальных экспериментальных исследований.
5) Далее вычисляют суммарную стандартную неопределенность по формуле (10):

. (10)
6) В качестве расширенной неопределенности измерений U(N) исследуемой величины применяют односторонний или двухсторонний интервал охвата усредненного уровня звука, дБA (усредненного уровня звукового давления, дБ) с уровнем доверия N% и коэффициентом охвата k.
Вычисление расширенной неопределенности измерений U(N) выполняют по формуле (11):
U(N) = k·uc, дБA (дБ), (11)
где k - коэффициент охвата, значение которого зависит от распределения возможных значений измеряемой величины и уровня доверия N;
uc - суммарная стандартная неопределенность измерений по
формуле (10), дБA (дБ).
7) Значение коэффициента охвата принимается в зависимости от цели измерений и от вида интервала (односторонний или двусторонний).
При предположении нормального закона распределения значений измеряемой величины коэффициент охвата для одностороннего интервала составляет k = 1,3 при уровне доверия N = 90%; k = 1,65 при N = 95%.
Для двустороннего интервала коэффициент охвата составляет k = 1,65 при N = 90%; k = 2 при N = 95%; k = 3 при N = 99%.
Для равномерного закона распределения принимают k = 1,65 при N = 95% и k = 1,71 при N = 99%.
При неизвестном распределении принимают коэффициент охвата, равный k = 2;
8) расширенную неопределенность измерений U(N) для уровня доверия N% рассчитывают по формуле (12):

(12)
N%-ый расширенный интервал охвата составляет по формуле (13):

(13)
7. Для эквивалентных уровней звука, для эквивалентных уровней звукового давления и др. расчет производится в соответствии с вышеуказанными формулами.
8. Для максимальных уровней звука (максимальных уровней звукового давления) расширенная неопределенность не рассчитывается.
9. При оценке соответствия следует учитывать верхнюю границу интервала охвата, которую рассчитывают по формуле (14):

(14)
В этом случае для расчета расширенной неопределенности
U(
N) по
формуле (8) следует применять коэффициент охвата
k для одностороннего интервала. При уровне доверия
N = 95% коэффициент охвата
k = 1,65.
Например, для проверки, удовлетворяет ли эквивалентный уровень звука

, рассчитанный по
формуле (10), гигиеническим нормативам, принимается односторонний интервал охвата с уровнем доверия
N = 95% и коэффициентом охвата
k = 1,65.
Если

, то гигиенические нормативы выполнены.
к МУК 4.3.3722-21
ИНФОРМАЦИЯ, ОТРАЖАЕМАЯ В ПРОТОКОЛЕ ИЗМЕРЕНИЙ
1. В протоколе измерений отражается:
1) информация, которую просит отразить заказчик;
2) информация, необходимая для толкования результатов измерений;
3) информация, требуемая для используемой методики.
2. Общие сведения содержат:
1) наименование документа (протокол измерений), уникальную идентификацию протокола, идентификацию каждой страницы и конца протокола, наименование и адрес ИЛЦ или органа инспекции;
2) наименование и адрес заказчика;
3) описание, состояние и однозначную идентификацию объекта измерений;
4) дату и время проведения измерений;
5) информацию о средствах измерений: диапазон измерений, погрешность измерений, сведения о поверке, сведения о калибровке (при необходимости);
6) информацию об использованной методике измерений;
7) информацию об условиях измерений;
8) результаты измерений с указанием единиц измерений, расширенной неопределенности измерений. Значение уровней звука (уровней звукового давления) следует считывать с прибора с точностью до 0,1 дБA (дБ). Промежуточные результаты вычислений фиксировать с точностью 0,01 дБ. В протокол измерений вносить конечный результат с точностью до 0.1 дБA (дБ) с округлением, при необходимости, согласно общим правилам математического округления. Информация об использованных поправках к допустимым и измеренным уровням шума вносится в протокол;
9) информацию о лицах, проводивших измерения и утвердивших протокол.
3. Дополнительно в протоколе отражается: описание места проведения измерений, источники шума, работающие во время проведения измерений, расположение источников шума по отношению к точке (месту) измерения, режимы работы источников шума, фоновый шум, характер шума, время суток и временной интервал проведения измерений, условия проведения измерений, влияющие на уровень и характер шума, информация о проведении проверки калибровки и др.
4. При оформлении протокола и (или) рабочих записей измерений уровней авиационного шума с целью обоснования возможности размещения объектов капитального строительства на территории земельного участка дополнительно приводятся следующие сведения:
1) максимальная и среднегодовая интенсивности полетов ВС (с указанием источника информации);
2) обоснование выбора наиболее значимого маршрута движения ВС на основании анализа геометрической удаленности места (точки) проведения измерений;
3) фоновый уровень шума;
4) тип каждого зафиксированного ВС;
5) совершаемая операция (взлет/посадка), курс операции;
6) номер используемой ВПП;
7) максимальный уровень звука при единичном пролете ВС, откорректированный максимальный уровень звука с учетом фонового уровня шума;
8) время эффективного звучания каждого шумового события;
9) результаты расчета неопределенности измерений;
10) рассчитанный уровень эквивалентного звука.
к МУК 4.3.3722-21
(рекомендуемый образец)
ПРИМЕР ФОРМЫ ЗАПРОСА ДАННЫХ ОПЕРАТОРУ АЭРОДРОМА <6>
--------------------------------
<6> Данные в таблицах указаны в качестве примера (дата, тип воздушного судна и т.д.).
1. Пример запрашиваемой информации по интенсивности выполнения полетов <7> у оператора аэродрома указаны в
таблицах 1,
2.1 -
2.3,
3,
4.1,
4.2,
5 приложения 3 к настоящим МУК.
--------------------------------
<7> В качестве примера использован период за 2019 год и неполный 2020 год.
Таблица 1
Интенсивность полетов ВС за среднегодовой летный день,
рассчитанная для года, в период которого интенсивность
была наибольшей в течение последних 3 лет в дневное
и ночное время суток; перспективный период
Тип ВС | 19.07.2019 | 17.07.2020 | Перспективный период |
День (07.00 - 23.00) | Ночь (23.00 - 07.00) | День (07.00 - 23.00) | Ночь (23.00 - 07.00) | День (07.00 - 23.00) | Ночь (23.00 - 07.00) |
Ан-24 | | | | | | |
Л-410 | | | | | | |
Ил-76 | | | | | | |
ЦЕССНА С182 | | | | | | |
Таблица 2.1
Интенсивность полетов ВС:
общее количество взлетов и посадок - взлетно-посадочные
операции (ВПО) - за 12 месяцев года, в период
которого интенсивность была наибольшей в течение
последних 3 лет в дневное (07.00 - 23.00)
и ночное (23.00 - 07.00) время суток
Тип ВС | ... год. |
Январь | Февраль | Март | Апрель | Май | Июнь |
День | Ночь | День | Ночь | День | Ночь | День | Ночь | День | Ночь | День | Ночь |
Ан-24 | | | | | | | | | | | | |
Ил-76 | | | | | | | | | | | | |
Л-410 | | | | | | | | | | | | |
ЦЕССНА С182... | | | | | | | | | | | | |
Тип ВС | ... год. |
Июль | Август | Сентябрь | Октябрь | Ноябрь | Декабрь |
День | Ночь | День | Ночь | День | Ночь | День | Ночь | День | Ночь | День | Ночь |
Ан-24 | | | | | | | | | | | | |
Ил-76 | | | | | | | | | | | | |
Л-410 | | | | | | | | | | | | |
ЦЕССНА С182... | | | | | | | | | | | | |
Таблица 2.2
Интенсивность полетов ВС: общее количество взлетов и посадок
(ВПО) за 10 месяцев текущего года в дневное (07.00 - 23.00)
и ночное (23.00 - 07.00) время суток
Тип ВС | Текущий год. |
Январь | Февраль | Март | Апрель | Май | Июнь |
День | Ночь | День | Ночь | День | Ночь | День | Ночь | День | Ночь | День | Ночь |
Ан-24 | | | | | | | | | | | | |
Ил-76 | | | | | | | | | | | | |
Л-410 | | | | | | | | | | | | |
ЦЕССНА С182 | | | | | | | | | | | | |
Тип ВС | Текущий год. |
Июль | Август | Сентябрь | Октябрь |
День | Ночь | День | Ночь | День | Ночь | День | Ночь |
Ан-24 | | | | | | | | |
Ил-76 | | | | | | | | |
Л-410 | | | | | | | | |
ЦЕССНА С182 | | | | | | | | |
Таблица 2.3
Интенсивность полетов ВС: общее количество взлетов и посадок
(ВПО) за 12 месяцев перспективного периода времени в дневное
(07.00 - 23.00) и ночное (23.00 - 07.00) время суток
Тип ВС | Перспективный период |
Январь | Февраль | Март | Апрель | Май | Июнь |
День | Ночь | День | Ночь | День | Ночь | День | Ночь | День | Ночь | День | Ночь |
Ан-24 | | | | | | | | | | | | |
Ил-76 | | | | | | | | | | | | |
Л-410 | | | | | | | | | | | | |
ЦЕССНА С182 | | | | | | | | | | | | |
Тип ВС | Перспективный период |
Июль | Август | Сентябрь | Октябрь | Ноябрь | Декабрь |
День | Ночь | День | Ночь | День | Ночь | День | Ночь | День | Ночь | День | Ночь |
Ан-24 | | | | | | | | | | | | |
Ил-76 | | | | | | | | | | | | |
Л-410 | | | | | | | | | | | | |
ЦЕССНА С182 | | | | | | | | | | | | |
Таблица 3
Интенсивность полетов ВС: общее количество взлетов
и посадок (ВПО) за среднегодовой летный день (усредненная
интенсивность полетов по каждому типу ВС) за прошедший
и неполный текущий календарный год с распределением
на дневной и ночной периоды времени
Тип ВС | среднегодовой летный день 2019 года | среднегодовой летный день 2020 года |
День (07.00 - 23.00) | Ночь (23.00 - 07.00) | День (07.00 - 23.00) | Ночь (23.00 - 07.00) |
Ан-24 | | | | |
Л-410 | | | | |
Ил-76 | | | | |
ЦЕССНА С182 | | | | |
Примечание: Определяется среднеарифметическое значение количества всех ВС по каждому типу, эксплуатируемых на аэродроме с округлением до целого числа в большую сторону. Данные рассчитываются на основании сведений, приведенных в таблицах 2.1 и 2.2. |
Таблица 4.1
Эксплуатация каждого курса в процентном (%) соотношении
от максимально возможного на текущий период времени
с распределением на дневное и ночное время
Курс | Максимально возможная загрузка курса в течение дня (07.00 - 23.00) | Максимально возможная загрузка курса в течение ночи (23.00 - 07.00) |
МК = 013 | 50% | 30% |
МК = 058 | 100% | 100% |
МК = 193 | 60% | 40% |
МК = 238 | 100% | 100% |
Примечание: 1. Например, курс 013 никогда не работает 24 часа из 24 часов, а курс 058 может работать 24 часа из 24 часов. 2. Приведен пример анализа загрузки курсов аэродрома по состоянию на январь 2021 года. Данные сведения не могут быть использованы для оценки шумовой обстановки. |
Таблица 4.2
Загрузка каждого маршрута взлета/посадки в процентном (%)
соотношении для среднегодового летного дня на текущий период
времени с распределением на дневное и ночное время
Маршрут (Изменение курса на ...) | Максимально возможная загрузка маршрута в течение дня (07.00 - 23.00) | Максимально возможная загрузка маршрута в течение ночи (23.00 - 07.00) |
МК = 013 |
357° | 5% | 5% |
027° далее 117° далее 110° | 70% | 70% |
027° далее 117° далее 205° | 70% | 70% |
027° далее 117° | 100% | 100% |
МК = 058 |
057° далее 112° далее 049° | 70% | 70% |
057° далее 112° далее 180° | 70% | 70% |
057° далее 112° далее 126° | 70% | 70% |
057° далее 112° | 100% | 100% |
057° далее 147° далее 230° | 70% | 70% |
МК = 193 |
207° далее 260° далее 349° | 90% | 90% |
207° далее 207° | 15% | 15% |
МК = 237 |
223° далее 259° | 90% | 90% |
223° далее 183° | 15% | 15% |
Примечание: 1. За 100% взята максимальная загрузка каждого курса для среднегодового летного дня. 2. Сумма загрузки для всех направлений необязательно должна составлять 100%. Приводятся сведения об объективно возможной загрузке курса для среднегодового летного дня. Представление информации о гипотетически возможной 100%-й загрузке редко эксплуатируемого маршрута недопустимо и будет способствовать необъективно высоким показателям эквивалентного уровня шума, что может установить необоснованные ограничения на эксплуатацию земельных участков и (или) объектов недвижимости. 3. В случае внесения изменений в схемы маневрирования ВС данные справки рекомендуется актуализировать. 4. Приведен пример анализа маршрутов аэродрома. В случае внесения изменений в схемы маневрирования ВС данные справки следует актуализировать. |
Таблица 5
Почасовое распределение количества
взлетно-посадочных операций в процентном (%) отношении
от наиболее интенсивного летного дня в текущем году
Час | 00 - 01 | 01 - 02 | 02 - 03 | 03 - 04 | 04 - 05 | 05 - 06 | 06 - 07 | 07 - 08 | 08 - 09 | 09 - 10 | 10 - 11 | 11 - 12 |
Интенсивность (%) | 2 | 2 | 1 | 1 | 1 | 2 | 3 | 5 | 7 | 5 | 5 | 3 |
Час | 12 - 13 | 13 - 14 | 14 - 15 | 15 - 16 | 16 - 17 | 17 - 18 | 18 - 19 | 19 - 20 | 20 - 21 | 21 - 22 | 22 - 23 | 23 - 00 |
Интенсивность (%) | 3 | 3 | 3 | 3 | 6 | 9 | 10 | 9 | 8 | 4 | 3 | 2 |
к МУК 4.3.3722-21
ПО ПРОВЕДЕНИЮ ИЗМЕРЕНИЙ АВИАЦИОННОГО ШУМА
Получение аэронавигационной информации,
анализ маршрутов вылета/захода на посадку ВС
1. Исходные данные о маршрутах полетов, расположении аэродрома и его КТА, эксплуатируемых типах ВС на соответствующих аэродромах, порядке набора высоты при вылете и снижении высоты при заходе на посадку рассматриваются на основании официальной государственной информации (см.
п. 9.4).
На
рис. 1 -
4 приведены примеры схем движения и расположения места наблюдений (точки измерения АШ) относительно ВПП аэродрома <8>.
--------------------------------
<8> Рассматриваемые схемы предоставлены в Сборнике аэронавигационной информации. Часть 3. Аэродромы. UUWW Москва (Внуково) (www.caiga.ru/common/AirInter/validaip/html/rus.htm).
Рис. 1. Схема вылета ВС с МК = 013°
Рис. 2. Схема вылета ВС с МК = 058°
Рис. 3. Схема захода на посадку ВС с МК = 193°
Рис. 4. Схема захода на посадку ВС с МК = 238°
2. Место наблюдения характеризуется расстоянием |AB| от точки измерения до воздушного судна, которое рассчитывается по
формуле (2):

,
где |AC| - кратчайшее расстояние от точки измерения до линии пути следования воздушного судна, которое измеряется линейкой и рассчитывается в соответствии с масштабом карты;
|BC| - высота пролета воздушного судна над землей, которая приблизительно рассчитывается для целей обоснования выбора маршрута по
формулам 3 и
4.
Высота пролета воздушного судна в каждой точке следования по маршруту взлета рассчитывается по
формуле (3):
Hв = Lр * 0,087,
где Lр - длина линии пути следования ВС от места начала разбега;
Высота пролета воздушного судна в каждой точке следования по маршруту посадки рассчитывается по
формуле (4):
Hп = Lп * 0,052,
где Lп - длина линии пути следования ВС до места приземления.
Линия пути следования воздушного судна - горизонтальная проекция траектории полета на земную поверхность.
3. На рис. 5 пример расчета удаления места (точки) измерения АШ от ВС на маршруте движения.
Рис. 5. Схема расчета захода на посадку ВС с МК = 193°
Таблица 1
Результаты расчета удаления
воздушного судна от точки наблюдений
Маршрут движения ВС | Высота пролета ВС, м | Расстояние от точки наблюдений, м | Удаление ВС от точки наблюдений, м |
Взлет с МК = 013° | 691 | 710 | 991 |
Взлет с МК = 058° | 1001 | 1720 | 1990 |
Посадка с МК = 193° | 225 | 1320 | 1339 |
Посадка с МК = 238° | 196 | 3880 | 3885 |
4. Вывод о выборе маршрута измерений.
На
рис. 1 -
2 визуализировано отображение маршрутов при взлете ВС с МК = 013° и МК = 058° относительно точки (места) наблюдения. На
рис. 3 -
4 также визуализировано отображение маршрутов захода ВС на посадку относительно точки (места) исследования с МК = 193° и МК = 238°. При анализе представленных схем осуществления полетов можно сделать вывод, что наибольшее сближение ВС и точки (места) измерения АШ происходит при следовании ВС по маршрутам: при взлете с МК = 013°, МК = 058° и при посадке с МК = 193°. При следовании ВС по маршруту посадки с МК = 238° удаление ВС от места проведения измерений составляет более 3000 м - в этой связи принято решение об отсутствии необходимости проводить анализ влияния полетов ВС по данному маршруту на точку проведения измерений АШ.
Таблица 2
Информация, представленная оператором аэродрома,
об интенсивности взлетно-посадочных операций (ВПО)
Интенсивность ВПО |
Тип ВС | День | Ночь | Сутки |
Ближнемагистральные | 59 | 8 | 67 |
ТУ-154 | 4 | - | 4 |
CRJ 200 | 2 | - | 2 |
EMB RJ135 | 14 | 2 | 16 |
... | ... | ... | ... |
Грузовые | 5 | 2 | 7 |
Airbus A330 Груз | 1 | - | 1 |
Boeing 737-400 Груз | 2 | 1 | 3 |
... | ... | ... | ... |
Дальнемагистральные | 64 | 24 | 88 |
Airbus A330 | 13 | 11 | 24 |
Boeing 747-400 | 13 | 9 | 22 |
Boeing 767-200 | 9 | 2 | 11 |
Boeing 777-300 | 14 | - | 14 |
ИЛ-96-300 | 7 | - | 7 |
... | ... | ... | ... |
Малая и бизнес авиация | 64 | 7 | 71 |
Bombardier BD-700 | 11 | 1 | 12 |
Gulfstream Г650 | 2 | - | 2 |
Falcon 7X | 4 | - | 4 |
Falcon 900/900B | 2 | - | 2 |
Hoker 125 | 5 | 1 | 6 |
Cessna 560X | 2 | - | 2 |
... | ... | ... | ... |
Среднемагистральные | 450 | 115 | 565 |
Airbus A319 | 60 | 9 | 69 |
Airbus A320 | 11 | 6 | 17 |
Boeing 737-400 | 13 | 6 | 19 |
Boeing 737-500 | 112 | 6 | 22 |
Boeing 737-800 | 134 | 35 | 169 |
SSJ-100 (Сухой суперджет) | 80 | 47 | 228 |
Boeing 757-200 | 4 | 2 | 6 |
ТУ-204 | 4 | - | 4 |
Ту-214 | 6 | - | 6 |
.... | ... | ... | ... |
Общий итог | 600 | 160 | 760 |
Примечание: Приводится в качестве примера, не может быть использована при определении уровней АШ как справочная информация. |
В соответствии с информацией оператора аэродрома заданная интенсивность полетов составляет 600 ВПО (или 300 взлетов) в дневное время суток и 160 ВПО (или 80 взлетов) в ночное время суток.
Проведение измерений и расчет эквивалентного уровня АШ
Рис. 6. Схема расположения точки (места) измерения
относительно маршрута посадки с МК = 193° аэродрома
Рис. 7. Схема расположения точки (места) измерения
относительно маршрутов взлета с МК = 058° аэродрома
Рис. 8. Схема расположения точки (места) измерения
относительно маршрутов взлета с МК = 013° аэродрома
Анализ загрузки курсов и маршрутов полетов аэродрома
5. В
таблицах 3 -
4 приложения 4 к настоящим МУК приведен пример возможной загрузки курсов и маршрутов полетов аэродрома. Данные сведения должны быть получены от оператора аэродрома <9>.
--------------------------------
<9>
Примечание: в таблицах 3 и
4 приложения 4 к настоящим МУК приведены теоретические сведения о загрузке маршрутов полетов для аэродрома В. в 2020 году (т.е. до вступления в силу новой структуры воздушного пространства 03.12.2020).
Таблица 3
Эксплуатация каждого курса в процентном (%) соотношении
от максимально возможного на текущий период времени
с распределением на дневное и ночное время
Курс | Максимально возможная загрузка курса в течение дня (7.00 - 23.00) | Максимально возможная загрузка курса в течение ночи (23.00 - 7.00) |
МК = 013 | 100% | 100% |
МК = 058 | 100% | 100% |
МК = 193 | 60% | 40% |
МК = 238 | 100% | 100% |
Примечание: Например, курс 013 никогда не работает 24 часа из 24 часов, а курс 058 может работать 24 часа из 24 часов. |
Таблица 4
Загрузка каждого маршрута взлета/посадки в процентном (%)
соотношении для среднегодового летного дня на текущий период
времени с распределением на дневное и ночное время
Маршрут (Изменение курса на ...) | Максимально возможная загрузка маршрута в течение дня (7.00 - 23.00) | Максимально возможная загрузка маршрута в течение ночи (23.00 - 7.00) |
МК = 058 взлет |
117° (BITSA 06E) | 85% | 85% |
157° (LO 06E) | 70% | 70% |
225° (BITSA 06F) | 50% | 50% |
161° (BITSA 06D) | 40% | 40% |
... | | |
МК = 013 взлет |
162° (BITSA 06E) | 70% | 70% |
201°/208° (WZ01E/BADNI01E) | 40% | 40% |
231° (BADNI 01D) | 40% | 40% |
137° (LO 01D) | 40% | 40% |
.... | .... | .... |
МК = 193 взлет |
.... | .... | .... |
Примечание: За 100% взята максимальная загрузка каждого курса. |
На основании проведенного анализа маршрутов, подлежащих учету (представлен в
п. 5 приложения 4 к настоящим МУК), было установлено, что наиболее значимым маршрутом является взлет ВС с МК = 013°. На основании сведений, приведенных в
таблице 4 приложения 4 к настоящим МУК, установлено, что для взлета ВС с МК = 013° возможна 100%-я интенсивность полетов от среднегодового летного дня.
Дальнейшие измерения должны быть проведены с учетом условий, приведенных в
п. 9.5.5.
Результаты измерений максимальных уровней авиационного шума
и времени воздействия при полетах воздушных судов аэродрома
6. В таблице 5 приложения 4 к настоящим МУК представлены примеры результатов измерений максимальных уровней авиационного шума и времени воздействия при полетах ВС, осуществляющих ВПО конкретного аэродрома.
Таблица 5
Результаты измерений максимальных LAmax уровней шума в точке
(месте) измерения при взлете ВС с МК = 013°, посадке
с МК = 193° с/на ИВПП 01/19 и взлете с МК = 058°
с ИВПП 06/24 аэродрома и времени воздействия
N | Дата | Время события | Источник шума | Уровень звука, дБA | 1/2 времени воздействия, сек | Маршрут движения ВС |
LAmax | |
1 | 2 | 3 | 4 | | | 7 |
1 | 23.03.2020 | 7:37:00 | A319 | 66 | 17 | Взлет МК = 058° |
2 | 23.03.2020 | 8:36:00 | H25B | 65 | 17 | Взлет МК = 058° |
3 | 23.03.2020 | 8:41:00 | B737-800 | 71 | 14 | Взлет МК = 058° |
4 | 23.03.2020 | 8:59:00 | CL60 | 62 | 18 | Взлет МК = 058° |
5 | 23.03.2020 | 9:18:00 | A319 | 68 | 16 | Взлет МК = 058° |
6 | 23.03.2020 | 9:26:00 | B737-800 | 68 | 16 | Взлет МК = 058° |
7 | 23.03.2020 | 9:29:00 | B737-500 | 65 | 17 | Взлет МК = 058° |
8 | 23.03.2020 | 10:01:00 | B737-500 | 65 | 17 | Взлет МК = 058° |
9 | 23.03.2020 | 10:19:00 | Ту-154 | 75 | 11 | Взлет МК = 058° |
10 | 23.03.2020 | 10:36:00 | CRJ-100 | 62 | 18 | Взлет МК = 058° |
11 | 07.04.2020 | 10:06:00 | Ту-204 | 64 | 17 | Посадка МК = 193° |
12 | 07.04.2020 | 11:16:00 | B737-800 | 63 | 17 | Посадка МК = 193° |
13 | 07.04.2020 | 12:55:00 | GLEX | 59 | 20 | Посадка МК = 193° |
14 | 07.04.2020 | 13:31:00 | B777-300 | 68 | 16 | Посадка МК = 193° |
15 | 07.04.2020 | 14:01:00 | B737-500 | 68 | 16 | Посадка МК = 193° |
16 | 07.04.2020 | 15:22:00 | B737-800 | 62 | 17 | Посадка МК = 193° |
17 | 07.04.2020 | 15:31:00 | B737-500 | 68 | 16 | Посадка МК = 193° |
18 | 07.04.2020 | 15:38:00 | SSJ-100 | 67 | 16 | Посадка МК = 193° |
19 | 07.04.2020 | 15:46:00 | B737-500 | 67 | 16 | Посадка МК = 193° |
20 | 07.04.2020 | 16:09:00 | SSJ-100 | 66 | 16 | Посадка МК = 193° |
21 | 16.09.2020 | 13:16:00 | B737-800 | 78 | 10 | Взлет МК = 013° |
22 | 16.09.2020 | 13:24:00 | PC-24 | 72 | 14 | Взлет МК = 013° |
23 | 16.09.2020 | 13:38:00 | A321 | 75 | 11 | Взлет МК = 013° |
24 | 16.09.2020 | 13:47:00 | B737-800 | 76 | 10 | Взлет МК = 013° |
25 | 16.09.2020 | 13:55:00 | B737-800 | 74 | 12 | Взлет МК = 013° |
26 | 16.09.2020 | 13:57:00 | Cessna 750 | 75 | 11 | Взлет МК = 013° |
27 | 16.09.2020 | 14:03:00 | A330 | 75 | 11 | Взлет МК = 013° |
28 | 16.09.2020 | 14:12:00 | Ил-96 | 77 | 10 | Взлет МК = 013° |
29 | 16.09.2020 | 14:15:00 | B737-800 | 75 | 9 | Взлет МК = 013° |
30 | 16.09.2020 | 14:17:00 | B737-800 | 78 | 10 | Взлет МК = 013° |
31 | 16.09.2020 | 14:20:00 | B737-800 | 79 | 10 | Взлет МК = 013° |
32 | 16.09.2020 | 14:21:00 | A319 | 76 | 11 | Взлет МК = 013° |
33 | 16.09.2020 | 14:30:00 | B737-800 | 77 | 10 | Взлет МК = 013° |
34 | 16.09.2020 | 14:49:00 | Ил-96 | 81 | 8 | Взлет МК = 013° |
35 | 16.09.2020 | 14:59:00 | Falcon 8х | 73 | 14 | Взлет МК = 013° |
36 | 16.09.2020 | 13:16:00 | B737-800 | 78 | 10 | Взлет МК = 013° |
37 | 16.09.2020 | 13:24:00 | PC-24 | 72 | 14 | Взлет МК = 013° |
38 | 16.09.2020 | 13:38:00 | A321 | 75 | 11 | Взлет МК = 013° |
39 | 16.09.2020 | 13:47:00 | B737-800 | 76 | 11 | Взлет МК = 013° |
40 | 30.09.2020 | 17:48:00 | B737-800 | 77 | 10 | Взлет МК = 013° |
41 | 30.09.2020 | 17:50:00 | B737-800 | 76 | 11 | Взлет МК = 013° |
42 | 30.09.2020 | 18:05:00 | B737-800 | 73 | 14 | Взлет МК = 013° |
43 | 30.09.2020 | 18:09:00 | Global 6000 | 69 | 16 | Взлет МК = 013° |
44 | 30.09.2020 | 18:11:00 | B737-400 | 78 | 10 | Взлет МК = 013° |
45 | 30.09.2020 | 18:13:00 | B737-800 | 71 | 14 | Взлет МК = 013° |
46 | 30.09.2020 | 18:14:00 | A319 | 69 | 16 | Взлет МК = 013° |
47 | 30.09.2020 | 18:40:00 | Challenger 350 | 65 | 16 | Взлет МК = 013° |
48 | 30.09.2020 | 18:45:00 | B737-800 | 81 | 8 | Взлет МК = 013° |
49 | 30.09.2020 | 18:49:00 | B737-800 | 80 | 8 | Взлет МК = 013° |
50 | 30.09.2020 | 18:50:00 | B737-800 | 76 | 11 | Взлет МК = 013° |
51 | 30.09.2020 | 18:54:00 | B737-800 | 77 | 11 | Взлет МК = 013° |
52 | 30.09.2020 | 18:57:00 | B737-800 | 77 | 11 | Взлет МК = 013° |
53 | 30.09.2020 | 19:02:00 | B737-800 | 78 | 10 | Взлет МК = 013° |
54 | 30.09.2020 | 19:06:00 | B737-800 | 76 | 11 | Взлет МК = 013° |
55 | 30.09.2020 | 19:09:00 | B737-800 | 75 | 11 | Взлет МК = 013° |
56 | 30.09.2020 | 19:17:00 | B737-800 | 81 | 8 | Взлет МК = 013° |
57 | 30.09.2020 | 17:48:00 | B737-800 | 77 | 11 | Взлет МК = 013° |
58 | 30.09.2020 | 17:50:00 | B737-800 | 76 | 11 | Взлет МК = 013° |
59 | 30.09.2020 | 18:05:00 | B737-800 | 73 | 14 | Взлет МК = 013° |
60 | 30.09.2020 | 18:09:00 | Global 6000 | 69 | 16 | Взлет МК = 013° |
61 | 30.09.2020 | 18:11:00 | B737-400 | 78 | 10 | Взлет МК = 013° |
62 | 30.09.2020 | 18:13:00 | B737-800 | 71 | 14 | Взлет МК = 013° |
63 | 30.09.2020 | 18:14:00 | A319 | 69 | 16 | Взлет МК = 013° |
64 | 30.09.2020 | 18:40:00 | Challenger 350 | 65 | 17 | Взлет МК = 013° |
65 | 30.09.2020 | 18:45:00 | B737-800 | 81 | 8 | Взлет МК = 013° |
66 | 30.09.2020 | 18:49:00 | B737-800 | 80 | 8 | Взлет МК = 013° |
67 | 30.09.2020 | 18:50:00 | B737-800 | 76 | 11 | Взлет МК = 013° |
68 | 30.09.2020 | 18:54:00 | B737-800 | 77 | 11 | Взлет МК = 013° |
69 | 30.09.2020 | 18:57:00 | B737-800 | 77 | 11 | Взлет МК = 013° |
70 | 30.09.2020 | 19:02:00 | B737-800 | 78 | 10 | Взлет МК = 013° |
71 | 30.09.2020 | 19:06:00 | B737-800 | 76 | 11 | Взлет МК = 013° |
72 | 30.09.2020 | 19:09:00 | B737-400 | 75 | 11 | Взлет МК = 013° |
73 | 30.09.2020 | 19:17:00 | B737-800 | 81 | 8 | Взлет МК = 013° |
74 | 28.10.2020 | 11:52:00 | B737-800 | 66 | 16 | Посадка МК = 193° |
75 | 28.10.2020 | 11:59:00 | B737-800 | 66,5 | 16 | Посадка МК = 193° |
76 | 28.10.2020 | 12:04:00 | B737-800 | 61,2 | 18 | Посадка МК = 193° |
77 | 28.10.2020 | 12:10:00 | B737-800 | 68,4 | 16 | Посадка МК = 193° |
78 | 28.10.2020 | 12:12:00 | B737-800 | 67,3 | 16 | Посадка МК = 193° |
79 | 28.10.2020 | 12:19:00 | Legacy 650 | 60,6 | 20 | Посадка МК = 193° |
80 | 28.10.2020 | 12:30:00 | B757-200 | 64,1 | 16 | Посадка МК = 193° |
81 | 28.10.2020 | 12:32:00 | B737-800 | 59,5 | 20 | Посадка МК = 193° |
82 | 28.10.2020 | 12:37:00 | B737-800 | 66 | 16 | Посадка МК = 193° |
83 | 28.10.2020 | 12:54:00 | B737-800 | 70,3 | 11 | Посадка МК = 193° |
84 | 28.10.2020 | 13:10:00 | B737-800 | 65,8 | 16 | Посадка МК = 193° |
85 | 28.10.2020 | 13:27:00 | B737-800 | 66,3 | 16 | Посадка МК = 193° |
86 | 28.10.2020 | 13:34:00 | Cessna 560 | 69,8 | 16 | Посадка МК = 193° |
87 | 28.10.2020 | 13:40:00 | B737-800 | 65,5 | 16 | Посадка МК = 193° |
88 | 28.10.2020 | 13:48:00 | B737-800 | 65,3 | 16 | Посадка МК = 193° |
89 | 28.10.2020 | 14:08:00 | B737-800 | 66,7 | 16 | Посадка МК = 193° |
90 | 28.10.2020 | 14:10:00 | B737-800 | 66,4 | 16 | Посадка МК = 193° |
91 | 28.10.2020 | 14:21:00 | Tu-204 | 67,7 | 15 | Посадка МК = 193° |
92 | 28.10.2020 | 14:37:00 | A319 | 66,8 | 15 | Посадка МК = 193° |
93 | 28.10.2020 | 14:47:00 | G650 | 74,2 | 14 | Посадка МК = 193° |
94 | 28.10.2020 | 14:51:00 | SSJ-100 | 65,2 | 16 | Посадка МК = 193° |
95 | 28.10.2020 | 15:08:00 | A321 | 64,6 | 16 | Посадка МК = 193° |
96 | 29.10.2020 | 13:58:00 | Global 6000 | 61,2 | 18 | Посадка МК = 193° |
97 | 29.10.2020 | 14:05:00 | B737-800 | 66,5 | 16 | Посадка МК = 193° |
98 | 29.10.2020 | 14:16:00 | B737-800 | 66 | 16 | Посадка МК = 193° |
99 | 29.10.2020 | 8:58:00 | B737-800 | 56,3 | 20 | Взлет МК = 058° |
100 | 29.10.2020 | 9:04:00 | B737-800 | 60,6 | 18 | Взлет МК = 058° |
101 | 29.10.2020 | 9:17:00 | B737-800 | 75,3 | 11 | Взлет МК = 058° |
102 | 29.10.2020 | 9:23:00 | B737-800 | 71,8 | 14 | Взлет МК = 058° |
103 | 29.10.2020 | 9:25:00 | SSJ-100 | 62,8 | 17 | Взлет МК = 058° |
104 | 29.10.2020 | 9:27:00 | Hawker 125-750 | 64,7 | 16 | Взлет МК = 058° |
105 | 29.10.2020 | 9:29:00 | Cessna 680A | 68 | 15 | Взлет МК = 058° |
106 | 29.10.2020 | 9:44:00 | Bombardier GL 600 | 71,1 | 14 | Взлет МК = 058° |
107 | 29.10.2020 | 10:00:00 | B737-800 | 74,6 | 11 | Взлет МК = 058° |
108 | 29.10.2020 | 10:06:00 | B737-800 | 74,8 | 11 | Взлет МК = 058° |
109 | 29.10.2020 | 10:20:00 | B737-800 | 77,8 | 10 | Взлет МК = 058° |
110 | 29.10.2020 | 10:33:00 | B737-800 | 73,5 | 14 | Взлет МК = 058° |
111 | 29.10.2020 | 10:40:00 | B737-500 | 75,6 | 11 | Взлет МК = 058° |
112 | 29.10.2020 | 10:40:00 | SSJ-100 | 75,6 | 11 | Взлет МК = 058° |
113 | 29.10.2020 | 10:46:00 | B737-800 | 77,2 | 10 | Взлет МК = 058° |
114 | 29.10.2020 | 10:53:00 | B737-800 | 72,1 | 14 | Взлет МК = 058° |
115 | 29.10.2020 | 10:58:00 | Embraer Legacy 600 | 70,3 | 15 | Взлет МК = 058° |
116 | 29.10.2020 | 11:02:00 | Cessna 560XL | 68,7 | 16 | Взлет МК = 058° |
117 | 29.10.2020 | 11:05:00 | B767-200 | 73,4 | 14 | Взлет МК = 058° |
118 | 29.10.2020 | 11:14:00 | B737-800 | 76,6 | 11 | Взлет МК = 058° |
119 | 29.10.2020 | 11:17:00 | B737-75B | 67,3 | 16 | Взлет МК = 058° |
120 | 29.10.2020 | 11:27:00 | B757-200 | 77,3 | 10 | Взлет МК = 058° |
121 | 29.10.2020 | 11:28:00 | B737-800 | 68,7 | 16 | Взлет МК = 058° |
122 | 29.10.2020 | 11:39:00 | Bombardier CL 600 | 56,9 | 21 | Взлет МК = 058° |
123 | 29.10.2020 | 11:45:00 | Hawker 850XP | 72,6 | 13 | Взлет МК = 058° |
124 | 31.10.2020 | 12:21:00 | B767-300 | 79,5 | 9 | Взлет МК = 013° |
125 | 31.10.2020 | 12:26:00 | SSJ-100 | 73,2 | 14 | Взлет МК = 013° |
126 | 31.10.2020 | 12:44:00 | G550 | 75,6 | 12 | Взлет МК = 013° |
127 | 31.10.2020 | 12:54:00 | A319 | 79,1 | 10 | Взлет МК = 013° |
128 | 31.10.2020 | 12:58:00 | B737-800 | 82,1 | 8 | Взлет МК = 013° |
129 | 31.10.2020 | 12:59:00 | B737-800 | 82 | 8 | Взлет МК = 013° |
130 | 31.10.2020 | 13:20:00 | B737-800 | 81,7 | 8 | Взлет МК = 013° |
131 | 31.10.2020 | 13:27:00 | B737-800 | 80,4 | 8 | Взлет МК = 013° |
132 | 31.10.2020 | 13:31:00 | B737-800 | 82,8 | 8 | Взлет МК = 013° |
133 | 31.10.2020 | 13:35:00 | B737-800 | 81,2 | 8 | Взлет МК = 013° |
134 | 31.10.2020 | 13:58:00 | B737-800 | 83,4 | 8 | Взлет МК = 013° |
135 | 31.10.2020 | 14:29:00 | B737-400 | 76,4 | 11 | Взлет МК = 013° |
136 | 31.10.2020 | 14:49:00 | Legacy 600 | 64,7 | 16 | Взлет МК = 013° |
137 | 31.10.2020 | 15:34:00 | B737-800 | 77,6 | 11 | Взлет МК = 013° |
138 | 31.10.2020 | 15:38:00 | Challenger 605 | 65,3 | 16 | Взлет МК = 013° |
139 | 31.10.2020 | 15:42:00 | Falcon 7x | 80,9 | 8 | Взлет МК = 013° |
140 | 31.10.2020 | 15:45:00 | SSJ-100 | 79,5 | 8 | Взлет МК = 013° |
141 | 31.10.2020 | 15:57:00 | B737-800 | 81,8 | 8 | Взлет МК = 013° |
142 | 31.10.2020 | 16:00:00 | A319 | 75,7 | 12 | Взлет МК = 013° |
143 | 31.10.2020 | 16:06:00 | Hawker 800 | 76,7 | 12 | Взлет МК = 013° |
144 | 31.10.2020 | 16:21:00 | B737-800 | 72,9 | 14 | Взлет МК = 013° |
145 | 31.10.2020 | 16:30:00 | SSJ-100 | 79,2 | 10 | Взлет МК = 013° |
146 | 31.10.2020 | 16:48:00 | A321 | 70,4 | 15 | Взлет МК = 013° |
147 | 31.10.2020 | 16:59:00 | B737-800 | 82 | 8 | Взлет МК = 013° |
148 | 31.10.2020 | 17:06:00 | B737-400 | 83,5 | 8 | Взлет МК = 013° |
149 | 31.10.2020 | 17:07:00 | B737-800 | 72 | 14 | Взлет МК = 013° |
150 | 31.10.2020 | 17:08:00 | Global 6000 | 62,7 | 17 | Взлет МК = 013° |
Расчет эквивалентного уровня звука за дневной
и (или) ночной период времени по интенсивности
полетов, представленной оператором аэродрома
7. Эквивалентный уровень шума рассчитывается на основе среднего максимального

, среднеарифметического

и заданной интенсивности полетов N.
| | ИС МЕГАНОРМ: примечание. В официальном тексте документа, видимо, допущена опечатка: имеется в виду формула (6), а не формула (5). | |
На основании имеющихся сведений об интенсивности полетов для исследуемого аэродрома и установленных маршрутов полетов ВС, влияющих на исследуемую точку в наибольшей степени (см.
главу V), значение
LAэкв вычисляется по
формуле (5):

(5)
| | ИС МЕГАНОРМ: примечание. В официальном тексте документа, видимо, допущена опечатка: имеется в виду формула (5), а не формула (6). | |
8. Расчет среднего максимального уровня шума

выполняется по
формуле (6):

, (6)
где: N = 150;
Средний максимальный уровень шума за период наблюдений составляет:
9. Расширенная неопределенность измерений при уровне доверия 95%, рассчитанная в соответствии с
приложением 1 к настоящим МУК, составляет:
U(95%) = 1,45
10. Среднеарифметическое время эффективного звучания всех установленных в процессе проведения измерений воздушных судов составляет (расчет выполнен для всех значений, приведенных в
столбце 6 таблицы 5 приложения 4 к настоящим МУК):
В соответствии с примером интенсивность полетов исследуемого аэродрома составляет:
- для дневного времени суток Nд = 300 взлетов;
- для ночного времени суток Nн = 80 взлетов.
11. Эквивалентный уровень шума, рассчитанный по
формуле (6) для дневного и ночного времени суток для данной интенсивности полетов (N
д = 300 взлетов и N
н = 80 взлетов), соответственно составляет:
LAэквд. = 62,57;
LAэквн = 59,86.
Примечание: в примере приведен расчет при условии возможной 100%-й загрузки курса от среднегодовой интенсивности полетов (т.е., если испытательная лаборатория обладает сведениями о реальной возможной загрузке маршрута полета ВС, расчет необходимо производить исходя из имеющихся сведений).
12. По выполненным измерениям максимальных уровней шума и длительности воздействия могут быть произведены расчеты эквивалентного уровня шума для любой заданной интенсивности полетов в зависимости от поставленной задачи: за самый интенсивный летный день, за среднегодовой летный день, за летный день с перспективной интенсивностью, фактическую интенсивность полетов определенного дня и пр.
В качестве примера приведен результат расчета эквивалентного уровня шума, рассчитанного по
формуле (6) для дневного и ночного времени суток для текущей интенсивности полетов (N
д = 150 взлетов и N
н = 40 взлетов), который соответственно составляет:
LAэквд. = 59,58;
LAэквн = 56,90.
13. Вся полученная информация от операторов аэродрома, записи о выполненных расчетах, результаты расчетов фиксируются в рабочих записях и (или) протоколах измерений.
1. Федеральный
закон от 30.03.1999 N 52-ФЗ "О санитарно-эпидемиологическом благополучии населения".
2. Воздушный
кодекс Российской Федерации от 19.03.1997 N 60-ФЗ.
3. Федеральный
закон от 28.12.2013 N 412-ФЗ "Об аккредитации в национальной системе аккредитации".
4.
СанПиН 1.2.3685-21 "Гигиенические нормативы и требования к обеспечению безопасности и (или) безвредности для человека факторов среды обитания".
5.
СанПиН 2.1.3684-21 "Санитарно-эпидемиологические требования к содержанию территорий городских и сельских поселений, к водным объектам, питьевой воде и питьевому водоснабжению, атмосферному воздуху, почвам, жилым помещениям, эксплуатации производственных, общественных помещений, организации и проведению санитарно-противоэпидемических (профилактических) мероприятий".
7.
СП 51.13330.2011 "Защита от шума. Актуализированная редакция СНиП 23-03-2003".
8.
СП 31-108-2002 "Мусоропроводы жилых и общественных зданий и сооружений".
9.
СП 1.1.1058-01 "Организация и проведение производственного контроля за соблюдением санитарных правил и выполнением санитарно-противоэпидемических (профилактических) мероприятий".
10.
МР 2.5/4.3.0258-21 "Методика установления (изменения) седьмой подзоны приаэродромной территории".
11.
МР 2.1.10.0059-12 "Оценка риска здоровью населения от воздействия транспортного шума".
12.
ГОСТ 23337 "Шум. Методы измерения шума на селитебной территории и в помещениях жилых и общественных зданий".
13.
ГОСТ 22283 "Шум авиационный. Допустимые уровни шума на территории жилой застройки и методы его измерения".
14.
ГОСТ 20444 "Шум. Транспортные потоки. Методы определения шумовой характеристики".
| | ИС МЕГАНОРМ: примечание. В официальном тексте документа, видимо, допущена опечатка: имеется в виду ГОСТ Р ИСО 1996-1, а не ГОСТ 1996-1. | |
15.
ГОСТ 1996-1 "Акустика. Описание, измерение и оценка шума на местности. Часть 1. Основные величины и процедуры оценки".
16.
ГОСТ 31296.2 (ИСО 1996-2) "Шум. Описание, измерение и оценка шума на местности. Часть 2. Определение уровней звукового давления".
17.
ГОСТ 17187 (МЭК 61672) "Шумомеры. Часть 1. Технические требования".
18. ГОСТ Р 8.714 (МЭК 61260) "Фильтры полосовые октавные и на доли октавы. Технические требования и методы испытаний".
19.
ГОСТ Р 8.736 "Измерения прямые многократные. Методы обработки результатов измерений. Основные положения".
21.
ГОСТ 34100.1 "Неопределенность измерения. Часть 1. Ведение в руководства по выражению неопределенности измерения".
22.
ГОСТ 34100.3 "Неопределенность измерения. Часть 3. Руководство по выражению неопределенности измерения".
23. Руководство по технико-экономической оценке шумозащитных мероприятий, осуществляемых строительно-акустическими методами. М.: Стройиздат, 1987 - 39.
24.
Руководство по расчету и проектированию шумоглушения вентиляционных установок. М.: Стройиздат, 1982.
25. Справочник проектировщика "Защита от шума". М.: Стройиздат, 1974.
26. Типовой альбом ГПИ Сантехпроект. Серия 5.904-17. Глушители шума вентиляционных установок.
27. Борьба с шумом на производстве. Справочник/Под ред. Е.Я. Юдина. М.: Машиностроение, 1985.
28. Сборник аэронавигационной информации. (http://www.caiga.ru).
Для целей настоящих МУК использованы следующие понятия:
1.
Общий (суммарный) шум - шум в определенной ситуации в определенное время и в определенном месте, обычно состоящий из шума различных источников - как подвижных, так и расположенных стационарно (промышленные предприятия, энергетические и прочие установки, а также инженерно-техническое и прочее оборудование в жилых и общественных зданиях)
[9].
2.
Шум известного источника - часть общего шума, которая может быть определена и приписана конкретному источнику шума
[12].
3.
Фоновый (остаточный) шум - часть общего шума при отключении одного или нескольких известных источников)
[12].
4.
Внешние источники шума - источники шума, расположенные вне здания с помещениями, в которых измеряются уровни шума, или на территории либо вне ее пределов в помещениях специального назначения или открыто
[8].
5.
Внутренние источники - источники шума внутри здания с помещениями, в которых измеряются уровни шума. Внутренними источниками шума могут являться также ограждающие конструкции помещений, если они совершают вынужденные колебания под воздействием источников вибрации, находящихся как внутри здания, так и вне его
[8].
6.
Постоянный шум - шум, для которого разность между наибольшим и наименьшим значениями уровня звука за время измерения не превышает 5 дБA при измерении на временной характеристике "медленно" шумомера по
ГОСТ 17187 [8].
7.
Непостоянный шум - шум, для которого разность между наибольшим и наименьшим значениями уровня звука за время измерения превышает 5 дБA при измерении на временной характеристике "медленно" шумомера по
ГОСТ 17187. Непостоянный шум подразделяется на колеблющийся, прерывистый, импульсный
[8].
8. Колеблющийся шум - непостоянный шум, уровень звука которого непрерывно изменяется во времени.
9.
Прерывистый шум - непостоянный шум, уровень звука которого ступенчато изменяется за время измерений, причем длительность интервалов, в течение которых уровень звука остается постоянным, составляет не менее 1 с.
[8].
10.
Импульсный шум - шум, состоящий из одного или ряда звуковых сигналов длительностью менее 1 с, уровни звука A которых, измеренные соответственно на временных характеристиках "импульс" и "медленно" шумомера по
ГОСТ 17187, различаются между собой не менее чем на 7 дБA.
[8]
11.
Тональный шум - шум, характеризуемый единственной частотой или узкополосными компонентами
[8]. Тональный характер шума для практических целей устанавливается измерением звукового давления в третьоктавных полосах частот в диапазоне частот 25 - 10000 Гц по превышению уровня звукового давления в одной из третьоктавных полос над соседними не менее чем на 10 дБ или по превышению суммарного уровня двух соседних третьоктавных полос, уровни которых отличаются менее чем на 3 дБA, над соседними не менее чем на 12 дБ.
12.
Диапазон частот измерений - диапазон частот, включающий октавные полосы со среднегеометрическими частотами от 31.5 до 8000 Гц по ГОСТ 12090 или третьоктавные полосы со среднегеометрическими частотами от 25 до 10000 Гц по ГОСТ 12090
[8].
13.
Уровень звукового давления L, дБ - величина, равная десяти десятичным логарифмам отношения квадрата среднеквадратичного звукового давления, измеренного при стандартных временной и частотной характеристиках измерительной системы по
ГОСТ 17187, к квадрату опорного звукового давления.
14. Уровень звука A, LA, дБA - уровень звукового давления, корректированный по частотной характеристике A.
15.
Эквивалентный уровень звука A, LAэкв,T, дБA - величина, равная десяти десятичным логарифмам отношения квадрата среднеквадратичного звукового давления на заданном временном интервале, измеренного при стандартной частотной характеристике измерительной системы по
ГОСТ 17187, к квадрату опорного звукового давления (
p0 = 20 мкПа)
[8]:
16.
Максимальный уровень звука A, LAmax, дБA - наибольший корректированный по характеристике A уровень звука на характеристике шумомера S (медленно) на заданном временном интервале
[8].
17. Звуковое воздействие (экспозиция шума) - интеграл по времени от квадрата звукового давления за указанный интервал времени или продолжительность события.
18. Уровень звукового воздействия, дБ - десять десятичных логарифмов отношения звукового воздействия к опорному звуковому воздействию; опорное звуковое воздействие - произведение квадрата опорного звукового давления и опорного интервала времени 1 с.
Уровень звукового воздействия шума связан с его эквивалентным уровнем звука формулой LAEX = LAeq + 10lg(T), где T - время измерения эквивалентного уровня звука.
19. Поправка - здесь величина, на которую уменьшают измеренное значение уровня шума для того, чтобы учесть влияние дополнительных факторов (влияния фонового шума, звукопоглощающих свойств помещения), либо уменьшают величину допустимых уровней нормируемых параметров шума, проникающего в помещения жилых и общественных зданий и шума на территории жилой застройки, чтобы учесть тональный или импульсный характер шума.
20.
Точка измерения (контрольная точка) - место, в котором измеряют шум и размещают измерительный микрофон
[6].
21. Временная запись (хронограмма) - автоматическая запись результатов измерения с заданным интервалом времени их регистрации.
22. Опорный временной интервал - временной интервал, на котором проводится определение (оценка) величины, характеризующий шум <10>.
--------------------------------
<10> В Российской Федерации нормирование уровней шума в жилых помещениях и на территории жилой застройки осуществляется отдельно для 16-часового дневного интервала (с 7-00 до 23-00) и 8-часового ночного интервала (с 23-00 до 7-00)
[3]. Исключение составляет метод измерения, применяемый для обоснования размещения объектов капитального строительства в зонах подлета воздушных судов к аэродромам и подтверждения границ 7 подзоны приаэродромной территории (
глава IX настоящих МУК).
23. Период наблюдения или интервал наблюдения - временной интервал, в течение которого проводят серию измерений.
24. Нормальная деятельность аэродрома - ситуация, при которой эксплуатация ВПП и (или) маршрутов полетов осуществляются в соответствии с действующим аэронавигационным паспортом аэродрома (АНПА) или инструкцией по производству полетов (ИПП).
25. Эквивалентный уровень средневзвешенного суточного шума LAдн - показатель, действующих уровней шума используемый в качестве основной единицы при оценке риска, который может быть определен по формуле с учетом дневных и ночных уровней шума:
LAдэкв = корректированный по A эквивалентный уровень дневного шума за 16-часовой период времени;
L
Aнэкв = корректированный по A эквивалентный уровень ночного шума за 8-часовой период времени
[22].
26.
Продолжительность измерения - временной интервал, в течение которого проводят единичное (однократное) измерение
[13].
27. Авиационный шум - шумовое загрязнение, создаваемое воздушным судном или его частями во время различных фаз полета: на земле в припаркованном состоянии, во время руления, разбега, взлета, пролета, при приземлении.
28. Аэродром (вертодром) - земельный или водный участок, специально подготовленный и оборудованный для обеспечения взлета, посадки, руления, стоянки и обслуживания воздушных судов. Подразделяются на аэродромы (вертодромы) гражданской авиации, государственной авиации и экспериментальной авиации.
29. Аэропорт - комплекс сооружений, включающий в себя аэродром, аэровокзал, другие сооружения, предназначенный для приема и отправки воздушных судов, обслуживания воздушных перевозок и имеющий для этих целей необходимое оборудование.
30. Взлетно-посадочная полоса - определенный прямоугольный участок сухопутного аэродрома, подготовленный для посадки и взлета воздушных судов.
31. Взлет - это этап полета с момента начала ускоренного движения воздушного судна с линии старта на земной (водной) или искусственной поверхности (момента отделения от указанной поверхности при вертикальном взлете) до момента набора установленных высоты и скорости полета применительно к конкретному воздушному судну.
32. Посадка - это этап полета от момента замедленного движения воздушного судна с высоты начала выравнивания (начала торможения при вертикальной посадке) до момента касания земной, водной или иной поверхности и окончания пробега (дросселирования двигателя после приземления при вертикальной посадке).
33. Оператор аэродрома - хозяйствующий субъект, имеющий сертификат аэропорта и свидетельство о государственной регистрации и годности аэродрома к эксплуатации.
34. Интенсивность за среднегодовой летный день - среднеарифметическое значение взлетно-посадочных операций для каждого типа ВС в течение года, разделенного на 365 дней и округленное до целого числа в большую сторону.
35. Контрольная точка аэродрома (КТА) - точка, определяющая местоположение аэродрома в выбранной системе координат.