Главная // Актуальные документы // ГОСТ Р (Государственный стандарт)СПРАВКА
Источник публикации
М.: Стандартинформ, 2019
Примечание к документу
Документ
введен в действие с 01.04.2020.
Название документа
"ГОСТ Р ИСО 1996-1-2019. Национальный стандарт Российской Федерации. Акустика. Описание, измерение и оценка шума на местности. Часть 1. Основные величины и процедуры оценки"
(утв. и введен в действие Приказом Росстандарта от 05.09.2019 N 631-ст)
"ГОСТ Р ИСО 1996-1-2019. Национальный стандарт Российской Федерации. Акустика. Описание, измерение и оценка шума на местности. Часть 1. Основные величины и процедуры оценки"
(утв. и введен в действие Приказом Росстандарта от 05.09.2019 N 631-ст)
Утвержден и введен в действие
агентства по техническому
регулированию и метрологии
от 5 сентября 2019 г. N 631-ст
НАЦИОНАЛЬНЫЙ СТАНДАРТ РОССИЙСКОЙ ФЕДЕРАЦИИ
АКУСТИКА
ОПИСАНИЕ, ИЗМЕРЕНИЕ И ОЦЕНКА ШУМА НА МЕСТНОСТИ
ЧАСТЬ 1
ОСНОВНЫЕ ВЕЛИЧИНЫ И ПРОЦЕДУРЫ ОЦЕНКИ
Acoustics. Description, measurement and assessment
of environmental noise. Part 1. Basic quantities
and assessment procedures
(ISO 1996-1:2016, IDT)
ГОСТ Р ИСО 1996-1-2019
Дата введения
1 апреля 2020 года
1 ПОДГОТОВЛЕН Закрытым акционерным обществом "Научно-исследовательский центр контроля и диагностики технических систем" (ЗАО "НИЦ КД") на основе собственного перевода на русский язык англоязычной версии стандарта, указанного в
пункте 4
2 ВНЕСЕН Техническим комитетом по стандартизации ТК 358 "Акустика"
3 УТВЕРЖДЕН И ВВЕДЕН В ДЕЙСТВИЕ
Приказом Федерального агентства по техническому регулированию и метрологии от 5 сентября 2019 г. N 631-ст
4 Настоящий стандарт идентичен международному стандарту ИСО 1996-1:2016 "Акустика. Описание, измерение и оценка шума на местности. Часть 1. Основные величины и процедуры оценки" (ISO 1996-1:2016 "Acoustics - Description, measurement and assessment of environmental noise - Part 1: Basic quantities and assessment procedures", IDT).
При применении настоящего стандарта рекомендуется использовать вместо ссылочных международных стандартов соответствующие им национальные и межгосударственные стандарты, сведения о которых приведены в дополнительном
приложении ДА
5 ВВЕДЕН ВПЕРВЫЕ
Правила применения настоящего стандарта установлены в статье 26 Федерального закона от 29 июня 2015 г. N 162-ФЗ "О стандартизации в Российской Федерации". Информация об изменениях к настоящему стандарту публикуется в ежегодном (по состоянию на 1 января текущего года) информационном указателе "Национальные стандарты", а официальный текст изменений и поправок - в ежемесячном информационном указателе "Национальные стандарты". В случае пересмотра (замены) или отмены настоящего стандарта соответствующее уведомление будет опубликовано в ближайшем выпуске ежемесячного информационного указателя "Национальные стандарты". Соответствующая информация, уведомление и тексты размещаются также в информационной системе общего пользования - на официальном сайте Федерального агентства по техническому регулированию и метрологии в сети Интернет (www.gost.ru)
Любой метод описания, измерения и оценки шума на местности должен быть адекватен реакции человека на шум. В большинстве случаев негативное действие повышается при увеличении шума, но определение точного соотношения между уровнем шума и реакцией на него продолжает быть предметом научных исследований. Кроме того, важно, чтобы метод соответствовал социальному, экономическому и политическому состоянию общества, в котором он применяется. По этим причинам в странах используется большое число различных методов в зависимости от вида шума, что создает значительные трудности для международного сравнения и понимания результатов.
Основной целью настоящего стандарта является содействие международной гармонизации методов описания, измерения и оценки шума на местности от разных источников.
Методы и процедуры, описанные в настоящем стандарте, предназначены для различных источников, порознь или в комбинации вносящих вклад в экспозицию шума. На настоящем этапе наилучшая оценка раздражающего действия длительного шума лучше всего достигается по эквивалентному уровню звукового давления с учетом поправок с помощью величины, называемой оценочным уровнем.
Целью стандарта является также обеспечение компетентных органов нормативными документами по описанию и оценке шума в населенных пунктах. На основании настоящего стандарта могут быть разработаны стандарты, правила и другие документы, устанавливающие нормы шума.
Настоящий стандарт определяет основные величины, используемые для описания шума в населенных пунктах, и устанавливает основные методы и процедуры оценки шума. Стандарт является руководством для прогнозирования потенциального раздражающего воздействия на людей на селитебных территориях длительного шума различных видов от одиночных источников или их комбинации.
Реакция людей на шум одинакового уровня может сильно различаться в зависимости от источника шума. Настоящий стандарт устанавливает поправки для шума различных источников, прибавление которых к прогнозируемому или измеренному шуму позволяет определить оценочный уровень. По оценочному уровню может быть оценено негативное воздействие длительного шума на людей.
При оценке шума по требованию компетентных органов принимают во внимание его импульсность, тональность, наличие низких частот, различные характеристики шума автотранспортного потока, других видов транспортного шума, таких как шум воздушного транспорта, а также промышленного шума.
Настоящий стандарт не устанавливает нормы шума в окружающей среде.
Примечание 1 - В акустике некоторые физические величины, характеризующие шум (например, звуковое давление, максимальное звуковое давление, эквивалентное звуковое давление), могут выражаться в относительных единицах - децибелах. Уровни этих величин могут не совпадать для одного и того же шума. Часто это приводит к путанице. Поэтому уровни физических величин должны быть однозначно определены (например, уровень звукового давления, максимальный уровень звукового давления, эквивалентный уровень звукового давления).
Примечание 2 - В настоящем стандарте величины выражены в децибелах. Однако в некоторых странах принято выражать их в абсолютных единицах, например максимальное звуковое давление - в паскалях (Па), дозу шума - в паскалях квадратных на секунду (Па2·с).
Примечание 3 - Методы определения уровней звукового давления рассматриваются в ИСО 1996-2.
В настоящем стандарте использована нормативная ссылка на следующий стандарт. Для датированных ссылок применяют только указанное издание ссылочного стандарта, для недатированных - последнее издание (включая все поправки):
IEC 61672-1, Electroacoustics - Sound level meters - Part 1: Specifications (Электроакустика - Шумомеры - Часть 1. Технические требования)
В настоящем стандарте применены следующие термины с соответствующими определениями.
Примечание - Для уровней, определенных в терминологических
статьях 3.1.1 -
3.1.6, при необходимости указывают вид частотной коррекции или ширину частотной полосы, а также функцию временной коррекции <1>.
--------------------------------
<1> В настоящем стандарте применяют частотные коррекции по характеристикам
A и
C и функции временной коррекции
F и
S. Для уровней звукового давления, полученных с применением указанных коррекций, в национальных стандартах Российской Федерации существуют специальные термины (см.
ГОСТ 17187-2010), которые применяются далее по тексту. Так, например, корректированный по характеристике
A (или
C) уровень звукового давления
LpA(C) для краткости принято называть уровнем звука
A (или
C). Если уровень звука
A получен одновременно с применением функции временной коррекции
F,
LpAF, такой уровень называют уровнем звука
A с временной характеристикой
F. Аналогичный подход к образованию терминов распространяется на эквивалентные уровни звукового давления и оценочные уровни.
3.1.1
корректированный уровень звукового давления (time-weighted and frequency-weighted sound pressure level): Десять десятичных логарифмов квадрата отношения среднеквадратического звукового давления, измеренного при заданных функциях частотной и временной коррекции, к опорному значению звукового давления.
Примечание 1 - Звуковое давление выражают в паскалях, Па.
Примечание 2 - Опорное значение звукового давления равно 20 мкПа.
Примечание 3 - Корректированный уровень звукового давления выражают в децибелах, дБ.
Примечание 4 - Стандартными функциями частотной коррекции являются коррекции по характеристикам A и C согласно МЭК 61672-1. Стандартными функциями временной коррекции являются коррекции по характеристикам F и S согласно МЭК 61672-1.
3.1.2 максимальный корректированный уровень звукового давления (maximum time-weighted and frequency-weighted sound pressure level): Наибольший корректированный уровень звукового давления на заданном временном интервале.
Примечание - Максимальный корректированный уровень звукового давления выражают в децибелах, дБ.
3.1.3 уровень N-процентного превышения (N percentage exceedance level): Корректированный уровень звукового давления, превышенный в течение N процентов времени на рассматриваемом временном интервале.
Примечание - Уровень N-процентного превышения выражают в децибелах, дБ.
Пример - LAF95,1h представляет собой значение уровня звука A с временной характеристикой F, которое будет превышено в 95% времени на заданном временном интервале, например в общей сложности 57 мин на интервале в 1 ч.
3.1.4 пиковый уровень звукового давления (peak sound pressure level): Десять десятичных логарифмов отношения квадрата пикового звукового давления к квадрату опорного значения звукового давления
Примечание 1 - Опорное значение звукового давления равно 20 мкПа.
Примечание 2 - Пиковый уровень звукового давления выражают в децибелах, дБ.
Примечание 3 - Пиковый уровень звукового давления определяют с помощью детектора сигнала по МЭК 61672-1. МЭК 61672-1 устанавливает характеристики точности детектора только в случае применения частотной коррекции по характеристике C.
Примечание 4 - Пиковое звуковое давление является максимальным мгновенным значением модуля звукового давления на заданном интервале времени.
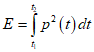
3.1.5 уровень звукового воздействия LE (sound exposure level): Десять десятичных логарифмов отношения дозы шума E к опорному значению дозы E0, где доза шума E - интеграл по времени от квадрата мгновенного корректированного звукового давления на временном интервале T (заданном или определяемом продолжительностью отдельного акустического события) с началом в момент времени t1 и окончанием в момент времени t2, т.е.

,
где

;
E0 = 400 (мкПа)2·с.
Примечание 1 - Дозу шума выражают в паскалях квадратных на секунду, Па2·с. Уровень звукового воздействия выражают в децибелах, дБ.
Примечание 2 - Реальное средство измерений шума всегда осуществляет коррекцию звукового давления, поэтому под p2 всегда понимают квадрат корректированного звукового давления. Если применена одна из стандартных коррекций по МЭК 61672-1, то это указывают соответствующим подстрочным индексом, например EA,1h означает корректированную по A дозу шума на интервале времени 1 ч.
Примечание 3 - Длительность времени T в неявном виде присутствует в выражении интеграла и поэтому не требует указания в явном виде. Однако если измерение дозы шума проводят на заданном временном интервале, то время интегрирования должно быть зафиксировано и включено в обозначение величины LE,T.
Примечание 4 - Если уровень звукового воздействия определяют для отдельного акустического события, то необходимо указывать природу этого события.
Примечание 5 - Применительно к одиночному событию уровень звукового воздействия называют "уровень звукового воздействия отдельного события".
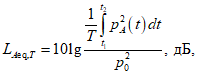
3.1.6
эквивалентный уровень звукового давления Leq,T (equivalent sound pressure level): Десять десятичных логарифмов отношения квадрата среднеквадратического звукового давления
p, усредненного на заданном интервале времени
T (с началом в момент времени
t1 и окончанием в момент времени
t2), к квадрату опорного значения звукового давления
p0.
Примечание 1 - При использовании частотной коррекции A данную величину рассчитывают по формуле
где pA(t) - мгновенное в момент времени t значение корректированного по A звукового давления;
p0 - опорное значение звукового давления, равное 20 мкПа.
Примечание 2 - Эквивалентный уровень звукового давления также называют средним по времени уровнем звукового давления и выражают в дБ.
3.2.1 опорный временной интервал (reference time interval): Временной интервал, на котором проводится определение (оценка) величины, характеризующей шум.
Примечание 1 - Опорный временной интервал может быть установлен в национальных или международных стандартах или местными органами власти так, чтобы он охватывал интервалы типичной деятельности людей и изменения в работе источников шума. Опорные временные интервалы могут представлять собой, например, часть дня, день или неделю. В некоторых странах могут быть приняты более продолжительные опорные временные интервалы.
Примечание 2 - Для различных опорных временных интервалов могут устанавливаться различные уровни или ряды уровней шума.
3.2.2
долгосрочный временной интервал (long-term time interval): Временной интервал, на котором усредняют или оценивают шум, измеренный на нескольких опорных временных интервалах.
Примечание 1 - Для описания шума на местности используют долгосрочный временной интервал, который обычно устанавливают компетентные органы.
Примечание 2 - Для долгосрочного оценивания и планирования землепользования долгосрочные временные интервалы представляют значительные части года (например, три месяца, шесть месяцев, год).
3.3.1 поправка (adjustment): Любая величина, положительная или отрицательная, постоянная или переменная, которая прибавляется к прогнозируемому или измеренному значению физической величины (уровню), чтобы учесть какую-нибудь особенность шума, влияние времени дня, типа источника шума.
3.3.2 оценочный уровень (rating level): Прогнозируемое или полученное в результате измерения значение физической величины (уровня) с учетом поправки.
Примечание 1 - Уровни звукового давления на периоде "день - ночь" или "день - вечер - ночь" являются примерами оценочных уровней. Их рассчитывают, исходя из измеренного или прогнозируемого уровня на различных опорных временных интервалах, и вносят поправки к эквивалентным уровням звукового давления на опорном временном интервале в зависимости от времени суток.
Примечание 2 - Оценочный уровень может быть определен с учетом характера шума путем внесения поправок, например, на тональность или импульсность шума.
Примечание 3 - Оценочный уровень может быть определен с учетом поправок на вид источника шума. Например, к шуму автотранспортного потока как основного источника шума могут прибавляться поправки, учитывающие влияние шума воздушного или железнодорожного транспорта.
Примечание - См. рисунок 1.
a) три рассматриваемых известных источника
шума A, B и C, остаточный шум и общий шум
b) два рассматриваемых источника шума
(A и B), остаточный шум и общий шум
1 - общий шум; 2 - известный источник A; 3 - известный
источник B; 4 - известный источник C; 5 - остаточный шум
Примечание 1 - Остаточный шум минимален при отключенных источниках.
Примечание 2 - Область, заполненная точками, показывает остаточный шум, когда источники A, B и C отключены.
Примечание 3 - На
рисунке 1 b) остаточный шум включает шум источника C, поскольку тот находится вне рассмотрения.
Рисунок 1 - Общий шум, шум известных источников
и остаточный шум
3.4.1 общий шум (total sound): Шум в данном месте в данное время, обычно состоящий из шума различных как далеко, так и близко расположенных источников.
3.4.2 шум известного источника (specific sound): Часть общего шума, которая может быть определена и приписана известному (заданному) источнику шума.
3.4.3 остаточный шум (residual sound): Общий шум после отключения известных источников.
3.4.4 начальный шум (initial sound): Общий шум в начальной ситуации до того, как произошло какое-либо ее изменение.
3.4.5 флуктуирующий шум (fluctuating sound): Непрерывный шум, уровень звукового давления которого значительно изменяется на интервале наблюдения, но не носящий характер импульсов.
3.4.6 прерывистый шум (intermittent sound): Шум, возникающий на определенных регулярных или нерегулярных интервалах, продолжительность каждого из которых более 5\с.
Пример - Шум транспортных средств при редком транспортном потоке, шум от проходящих поездов и пролетающих самолетов, шум от воздушного компрессора.
3.4.7 прирост шума (sound emergence): Величина, на которую возрастает общий уровень шума при включении некоторого известного источника.
3.4.8 импульсный шум (impulsive sound): Шум, характеризующийся резкими изменениями звукового давления.
Примечание 1 - Продолжительность одного импульса обычно менее 1 с.
3.4.9 тональный шум (tonal sound): Шум, характеризуемый единственной частотой или сосредоточенный в узкой полосе частот, который различим на слух на фоне общего шума.
3.5 Источники импульсного шума
Примечание - В настоящее время отсутствуют способы математически строго определить, какой шум следует считать импульсным, или разделить импульсный шум по видам, указанным в 3.5.1 -
3.5.3. Однако указанные ниже виды шума наилучшим образом отвечают качественным оценкам реакции людей на шум.
3.5.1 источник импульсного шума высокой энергии (high-energy impulsive sound source): Источник взрыва с массой тротилового эквивалента более 50 г или источники, сопоставимые с ним по акустическим характеристикам и раздражающему действию шума.
Примечание - Источниками ударных звуковых волн могут быть сверхзвуковые самолеты, ракеты, артиллерийские снаряды и другие аналогичные источники. К ударным звуковым волнам не относятся звуки стрелкового оружия и других аналогичных источников.
Пример - Взрывы в рудниках и карьерах; ударные звуковые волны; промышленные технологии и процессы, использующие взрывчатые вещества; стрельба из орудий (например, из танковых или артиллерийских орудий, минометов, пуски ракет), взрывы бомб.
3.5.2 источник сильного импульсного шума (highly impulsive sound source): Источник шума с высокой импульсностью и высоким раздражающим действием.
Пример - Выстрелы из стрелкового оружия, удары металлических предметов, удары пневматических молотков; удары падающего молота, свайного копра, звуки при горячей и ударной штамповке в прессах, удары при дроблении материалов для дорожного покрытия, соударения буферов вагонов при маневровых работах на сортировочных станциях.
3.5.3
источник умеренного импульсного шума (regular impulsive sound source): Источник импульсного шума, не относящийся ни к источникам сильного импульсного шума, ни к источникам импульсного шума высокой энергии.
Примечание - Данные источники излучают шум, который хотя иногда и относят к импульсным, но обычно не признают таким раздражающим, как сильный импульсный шум.
Пример - Хлопки дверей автомобилей, удары по футбольному или баскетбольному мячу, частые удары церковных колоколов. Быстро и низко пролетающие военные самолеты также могут входить в данную категорию.
3.6 Уровни шума в дневное, вечернее и ночное время <1>
--------------------------------
<1> При применении понятий и величин, определенных в настоящем подразделе, следует учитывать, что в Российской Федерации на основе
СН 2.2.4/2.1.8.562-96 приняты 16-часовой дневной (3.6.1) и 8-часовой ночной интервалы
(3.6.3) с границами с 7 до 23 ч и с 23 до 7 ч соответственно. Продолжительность и границы вечернего интервала
(3.6.2) нормативно не определены, но могут дополнительно устанавливаться в местных законодательных актах.
3.6.1 уровень шума в дневное время Lday,h (day sound level): Эквивалентный уровень звукового давления на дневном опорном временном интервале.
Примечание 1 - Вместо подстрочного индекса h в каждом конкретном случае указывают длительность опорного временного интервала в часах, например Lday,12.
Примечание 2 - Под дневным временем обычно понимают 12-часовой интервал между 7 и 19 ч или 15-часовой интервал между 7 и 22 ч. Однако в ряде стран дневное время может быть определено иным образом, например от 6 до 18 ч или от 6 до 22 ч.
3.6.2
уровень шума в вечернее время Levening,h (evening sound level): Эквивалентный уровень звукового давления на вечернем опорном временном интервале.
Примечание 1 - Вместо подстрочного индекса h в каждом конкретном случае указывают длительность опорного временного интервала в часах, например Levening,4.
Примечание 2 - Под вечерним временем обычно понимают 4-часовой интервал между 19 и 23 ч. Однако в ряде стран вечернее время может быть определено иным образом, например от 18 до 22 ч.
3.6.3
уровень шума в ночное время Lnight,h (night sound level): Эквивалентный уровень звукового давления на ночном опорном временном интервале.
Примечание 1 - Вместо подстрочного индекса h в каждом конкретном случае указывают длительность опорного временного интервала в часах, например Lnight,8.
Примечание 2 - Под ночным временем обычно понимают 8-часовой интервал между 23 и 7 ч или 9-часовой интервал между 22 и 7 ч. Однако в ряде стран ночное время может быть определено иным образом, например от 22 до 6 ч.
3.6.4 уровень шума на интервале "день - вечер - ночь" Lden (day-evening-night sound level): Величина, определяемая по формуле

,
где tday, tevening и tnight выражены в часах и tday + tevening + tnight = 24 ч.
Примечание 1 - По умолчанию для tday, tevening и tnight принимают значения 12, 4 и 8 ч соответственно. Однако в некоторых странах, например в странах Евросоюза, период вечернего времени может быть сокращен.
3.6.5 уровень шума на интервале "день - ночь" Ldn (day-night sound level): Величина, определяемая по формуле

,
где tday и tnight выражены в часах и tday + tnight = 24 ч.
Примечание 1 - По умолчанию для tday и tnight принимают значения 15 и 9 ч соответственно.
3.6.6
социально допустимый уровень шума Lct (community tolerance level): Уровень шума на интервале "день - ночь", для которого ожидается, что 50% жителей данного населенного пункта будут испытывать в связи с ним сильное раздражение <1>.
--------------------------------
<1> Социально допустимый уровень шума может отличаться от предельно допустимых уровней шума, определенных в Российской Федерации исходя из принципов гигиенического нормирования.
Примечание 1 - Lct является параметром, позволяющим принимать во внимание разницу между источниками и населенными пунктами при оценке доли жителей, у которых шум вызовет сильное раздражение.
Примечание 2 - Дополнительная информация в отношении
Lct приведена в
приложении H.
В таблице 1, где приведены обозначения акустических величин, подстрочные индексы A и F для частотной и временной коррекций приведены только в качестве примера и могут быть заменены обозначениями других частотных или временных коррекций, установленных в МЭК 61672-1. Исключением является обозначение LCpeak, поскольку для пиковых значений обычно используют коррекцию по характеристике C. При использовании других частотных и временных характеристик их указывают в обозначениях.
Таблица 1
Обозначения акустических величин
Величина | Обозначение |
Уровень звука A с временной характеристикой F | LpAF |
Максимальный уровень звука A с временной характеристикой F | LAFmax |
Уровень N %-ного превышения уровня звука A с временной характеристикой F | LAFNT |
Пиковый уровень звука C | LCpeak |
Корректированный по A уровень звукового воздействия | LEA |
Эквивалентный уровень звука | LAeq,T |
Оценочный уровень звукового воздействия | LRE |
Оценочный эквивалентный уровень | LReq,T |
5 Величины для описания шума на местности
5.1 Отдельные акустические события
5.1.1 Акустические величины
Звуки, вызываемые проезжающим грузовым автомобилем, пролетающим самолетом или взрывом в карьере, являются примерами отдельных акустических событий. Отдельное акустическое событие может быть охарактеризовано разными физическими величинами и соответствующими им уровнями в децибелах. Частотную характеристику A не применяют для измерений шума источников импульсного шума высокой энергии и преимущественно низкочастотного шума. Наиболее часто используют следующие величины:
a) уровень звукового воздействия с заданной частотной коррекцией;
b) максимальный корректированный уровень звукового давления с заданными временной и частотной коррекциями;
c) пиковый уровень звукового давления с заданной частотной коррекцией.
Примечание - Не рекомендуется измерять пиковый уровень звукового давления с использованием частотной коррекции A.
5.1.2 Продолжительность акустического события
Продолжительность акустического события должна быть определена через некоторую акустическую характеристику, например через число превышений некоторого фиксированного уровня.
Пример - Продолжительность звукового события может определяться временем, в течение которого уровень звукового давления отличается от максимального уровня звукового давления не более чем на 10 дБ.
Примечание - В то время как уровень звукового воздействия определяется уровнем шума и его продолжительностью, понятие продолжительности звукового события может быть полезно для дифференциации событий. Например, звук пролетающего самолета может длиться от 10 до 20 с, в то время как продолжительность звука выстрела менее 1 с.
5.2 Повторяющиеся акустические события
Обычно акустические события могут происходить последовательно. Примерами являются шум пролетающих самолетов возле аэропорта, шум поездов или автомобилей при редком транспортном потоке. Артиллерийский гул также является чередой звуков отдельных выстрелов. В настоящем стандарте для описания всех повторяющихся акустических событий используют уровни звукового воздействия отдельных событий и число этих событий, по которым определяют оценочные эквивалентные уровни звукового давления.
5.3 Непрерывный шум
Трансформаторы, вентиляторы и холодильные камеры являются примерами источников непрерывного шума. Уровень звукового давления источника непрерывного шума может быть постоянным, флуктуирующим или медленно изменяться со временем. Непрерывный шум преимущественно характеризуют эквивалентным уровнем звука на заданном временном интервале. Флуктуирующий или прерывистый шум может быть описан через максимальный уровень звука с заданной функцией временной коррекции.
Примечание - В зависимости от ситуации шум автотранспортного потока может классифицироваться как непрерывный шум или как повторяющиеся единичные звуковые события.
6 Раздражающее действие шума
6.1 Акустические величины для описания раздражающего действия шума
Настоящий стандарт является руководством по оценке воздействия на население шума, создаваемого одним или несколькими источниками. Компетентные органы могут решать, какие источники должны быть приняты во внимание и какие поправки (при необходимости) следует внести в результат измерений. Основной характеристикой шума является оценочный эквивалентный уровень звукового давления. Могут использоваться и другие характеристики, такие как максимальный уровень звукового давления, уровень звукового воздействия (с поправками) или пиковый уровень звукового давления.
Исследования показывают, что частотная коррекция A не позволяет адекватно описать раздражающее воздействие шума, если тот носит тональный, импульсный или преимущественно низкочастотный характер. Поэтому для долгосрочного прогнозирования раздражающего действия таких видов шума к уровню звука или эквивалентному уровню звука прибавляют соответствующую поправку в децибелах. Известно также, что различные транспортные или промышленные шумы вызывают неодинаковое раздражающее действие при одном и том же эквивалентном уровне звука. В библиографии приведены отчеты и публикации, содержащие технические основы методов оценки и прогнозирования звукового воздействия на местности.
6.2 Частотные коррекции
В общем случае частотную коррекцию A используют для оценки всех источников шума, кроме источников импульсного шума высокой энергии или преимущественно низкочастотного шума. Частотную коррекцию A не применяют для измерений пикового уровня звукового давления.
6.3.1 Поправка к уровню звукового воздействия
Если уровни воздействия акустических событий могут быть измерены или рассчитаны по отдельности, то используют нижеописанный метод. Если же шум отдельного события нельзя отделить от шума других источников, то применяют метод по
6.3.2.
Для любого отдельного акустического события i, если только оно не связано с действием источников импульсного шума высокой энергии или преимущественно низкочастотного шума, оценочный уровень звукового воздействия LREij, дБ, определяют как сумму уровня звукового воздействия LEij, дБ, для i-го события и поправки Kj, дБ, для j-го типа шума по формуле
LREij = LEij + Kj. (1)
Рекомендации в отношении поправок для разных категорий источников и типовых ситуаций приведены в
приложениях A,
B,
E и
F.
Примечание - Использование оценочных уровней шума подводит к концепции социально допустимого уровня
Lct применительно к жителям населенных пунктов (см.
[7] и
[8]). Объяснение социально допустимого уровня приведено в
приложении H. В
приложении E дан унифицированный набор поправок к уровню шума на интервале "день - вечер - ночь"
Lden и к уровню шума на интервале "день - ночь"
Ldn, которые непосредственно следуют из определения социально допустимого уровня шума. В
приложении F дан унифицированный набор поправок к уровню шума
Lden и
Ldn, которые получены косвенным образом из разностей оценок раздражающих воздействий для шума транспорта трех категорий с использованием регрессионного подхода (см.
[15]). Предполагается, что на национальном уровне будут применяться поправки либо из
приложения E, либо из
приложения F.
6.3.2 Поправки к эквивалентному уровню звука
На временном интервале
Tn оценочный эквивалентный уровень звукового давления

, дБ, для
j-го источника определяют как сумму эквивалентного уровня звука

и поправки
Kj для
j-го источника по формуле

. (2)
Рекомендации в отношении поправок для разных категорий источников и типовых ситуаций приведены в
приложениях A,
E и
F.
Если поправки связаны с видом шума, то их следует применять только при наличии шума данного вида. Например, поправку на тональный шум применяют только в случае, когда он ярко выражен в общем воспринимаемом шуме.
6.4 Оценочные уровни
6.4.1 Один источник шума
Если на временном интервале
Tn действует только один источник шума
j, то в качестве оценочного уровня

, дБ, принимают либо оценочный эквивалентный уровень звука по
6.3.2, либо величину, рассчитанную на основе оценочного уровня звукового воздействия
LREij, дБ (см.
6.3.1) по формуле

, (3)
где t0 = 1 с.
Оценочные уровни могут быть определены для любого временного интервала, определенного в
3.2.
6.4.2 Несколько источников шума
Общее руководство по определению оценочных уровней при совокупном действии разных источников приведено в
приложении G. Оценочный уровень можно рассчитать для любого временного интервала, определенного в
3.2. В общем случае временной интервал
T состоит из суммы отдельных интервалов
Tnj действия каждого из источников
j. Интервалы
Tnj выбирают таким образом, чтобы поправка для него при расчете

была постоянной величиной. Разбивка интервала
T на отдельные интервалы может быть разной для разных источников. Оценочный эквивалентный уровень звукового давления

, дБ, рассчитывают по формуле

, (4)
где

для каждого
j.
Примечание - На практике
формулу (4) обычно применяют последовательно для оценки разных источников.
6.5 Оценочные уровни для полных суток
Другим широко применяемым методом описания шума в населенном пункте является получение оценочного уровня для полных суток по оценочным уровням на разных периодах суток. Например, оценочный уровень на интервале "день - ночь" LRdn, дБ, определяют по формуле

, (5)
где d - продолжительность дневного времени суток, ч;
LRd - оценочный уровень для шума в дневное время с учетом поправок на источник и характер шума, дБ;
LRn - оценочный уровень для шума в ночное время с учетом поправок на источник и характер шума, дБ;
Kd - поправка на дневное время (если такую применяют), дБ;
Kn - поправка на ночное время, дБ.
Для определения оценочного уровня на интервале "день - вечер - ночь" LRden, дБ, может быть использована аналогичная формула:

, (6)
где e - продолжительность вечернего времени суток, ч;
LRe - оценочный уровень для шума в вечернее время с учетом поправок на источник и характер шума, дБ;
Ke - поправка на вечернее время, дБ;
Продолжительность дневного времени и его границы должны определить компетентные органы.
При необходимости включить поправки на выходные дни оценочные уровни определяют отдельно для субботы и воскресенья. При усреднении за год необходимо учитывать долю выходных дней в году.
7 Требования по ограничению шума
7.1 Общие положения
Нормы шума устанавливают компетентные органы на основе знаний о влиянии шума на здоровье и самочувствие людей (особенно о связи уровня шума и реакции на него населения), а также принимая во внимание социальные и экономические обстоятельства.
Нормы шума зависят от таких факторов, как время суток (день, вечер, ночь, сутки в целом), применяемые защитные меры для отдельных видов деятельности (например, пребывание в помещениях или на открытом воздухе, занятия в школах, отдых в парках), тип источника шума и особые условия (например, строительство новых жилых домов на месте существующей застройки, строительство новых промышленных объектов или транспортных сооружений вблизи жилых районов, проведение восстановительных мероприятий после завершенного строительства).
Регулирование шума включает в себя как установление норм, так и описание условий, при которых соблюдение этих норм проверяют. Проверки могут быть основаны на результатах прогнозирования с использованием соответствующих моделей или измерений.
При определении условий проверок учитывают следующую информацию:
a) оцениваемые характеристики шума (одна или несколько);
b) соответствующие временные интервалы;
c) источники шума, режимы и условия их работы;
d) места, где проверяют соблюдение норм шума;
e) условия распространения шума от источника к месту контроля;
f) методы учета неопределенности результата измерений (прогноза);
g) вид и характер территории, для которой устанавливают нормы шума;
h) критерии оценки соответствия норме.
7.2 Требования
7.2.1 Оцениваемые характеристики шума
Предпочтительной характеристикой при нормировании шума является оценочный уровень на одном или нескольких опорных временных интервалах. Для определения оценочных уровней должны быть указаны необходимые поправки.
В некоторых странах дифференциацию норм по источнику шума осуществляют не через поправку на характер источника, а установлением нормы шума для данного источника. Нормы шума для акустических событий устанавливают в виде предельного значения уровня звукового воздействия или максимального уровня звукового давления. В обоих случаях должна быть указана проверяемая (статистическая) характеристика нормируемой величины (например, максимальный уровень звукового давления на данном временном интервале и среднее значение максимальных уровней звукового давления наиболее громких источников шума).
Если дополнительно заданы нормы для других характеристик шума, таких как прирост шума, то должны быть установлены методы определения значений этих характеристик.
7.2.2 Временные интервалы
Опорные временные интервалы выбирают с учетом типичной деятельности людей и вариаций в работе источников шума. Должно быть точно установлено, какие вариации звукового излучения и передачи звука следует учитывать на опорных временных интервалах при проверке соответствия нормам шума.
Должны быть определены долгосрочные временные интервалы (см.
3.2.2).
7.2.3 Источники шума и режим их работы
Источники, шум которых нормируется, должны быть определены. При необходимости указывают режимы работы этих источников.
7.2.4 Места, в которых проверяют соблюдение нормы шума
Места, в которых должны быть соблюдены нормы шума, должны быть четко определены. Если необходимо подтвердить соблюдение нормы при измерениях вблизи зданий или других больших звукоотражающих поверхностей, то следует учитывать рекомендации ИСО 1996-2.
7.2.5 Условия распространения шума
При распространении звука вне помещений метеорологические условия могут влиять на уровни шума в местах их проверки. В таких случаях норму шума следует устанавливать на основе среднего значения либо для всех возможных метеорологических условий, либо для конкретных выбранных условий.
Должен быть указан метод учета неопределенности при прогнозировании или измерениях с целью оценки соответствия нормам шума. В случае измерений может быть необходимо определить минимальное число статистически независимых измерений.
Примечание - Дополнительные рекомендации в отношении неопределенности измерений приведены в ИСО 1996-2.
8 Отчет по оценке шума на местности и долгосрочному прогнозу раздражающего действия шума
8.1 Оценка долгосрочного раздражающего действия шума
Оценку шума на долгосрочном временном интервале (обычно год) используют для определения раздражающего действия шума в условиях неизменной звуковой ситуации.
Для оценки долгосрочного воздействия шума, создаваемого самолетами, движением автотранспортных средств и поездов, можно использовать рекомендации
приложения E или
F. Они позволяют оценить долю типичного населения, которое с большой вероятностью испытывает сильное раздражение от шума при заданном среднегодовом значении оценочного уровня шума на интервале "день - ночь". Данные, приведенные в
приложениях E и
F, показывают большой разброс наблюдаемых значений, что видно из 95%-ного предсказательного интервала. Реакция конкретной группы людей может сильно отличаться от типичного значения. Эти изменения в реакции для разных групп людей описаны численно через социально допустимый уровень, введенный в
приложении H и используемый в
приложениях A,
D и
E.
8.2 Протокол испытаний
8.2.1 В протокол испытаний включают следующие сведения:
a) опорный временной интервал;
b) долгосрочный временной интервал;
c) наименование средств измерений, данные об их калибровке, конфигурацию измерительной системы, продолжительность измерений;
d) оценочный уровень и его составляющие;
e) описание источников шума, включенных в опорные временные интервалы;
f) описание режима работы источников шума;
g) описание места оценки шума, включая топографию, геометрию зданий, покров земли и его состояние;
h) описание процедур, используемых для внесения поправок на влияние остаточного шума и описание остаточного шума;
i) результаты долгосрочной оценки раздражающего действия шума, включая 95%-ный предсказательный интервал;
j) погодные условия во время измерений, особенно направление и скорость ветра, наличие облаков и осадков;
k) неопределенность измерений и методы ее учета (см.
7.2.6);
l) исходные данные для расчета и действия, выполняемые для проверки надежности исходных данных.
Хотя в настоящем стандарте уровни звукового давления и оценочные уровни даны в децибелах, возможно выражение результатов в абсолютных единицах измерений, например в Па2·с для дозы шума. Поправки должны быть выражены в тех же единицах.
8.2.2 Ниже перечислены дополнительные требования, учитываемые при определении соответствия нормам:
a) соответствующий раздел нормативного-правового документа по ограничению шума;
b) если используется прогнозирование, то описание расчетной модели и использованных предположений при ее построении;
c) если используется прогнозирование, то неопределенность прогнозирования характеристики шума.
(справочное)
ПОПРАВКИ ДЛЯ ОЦЕНОЧНЫХ УРОВНЕЙ
Последние научные данные показывают, что раздражающее действие транспортного шума зависит от вида транспорта. Обычно при равном эквивалентном уровне звукового давления авиационный шум вызывает большее раздражение, чем шум автотранспортного потока. В свою очередь, иногда отмечают, что шум от проходящего поезда вызывает меньшее раздражение, чем шум автотранспортного потока. Однако следует иметь в виду, что метод анализа на основе социально допустимого уровня
(приложение E) и данные новых исследований (см.
[22]) исходят из предположения, что в случае шума автотранспортного потока общепринятый диапазон типичных поправок будет от +2 до +3 дБ. Отрицательные поправки (вплоть до -9 дБ) возможны только в особых случаях, когда шум связан в основном с передаваемой через грунт вибрацией от движущегося состава, но эта вибрация сильно ослаблена системой изоляции рельсового пути или вследствие поглощающих свойств грунта.
Примечание - В настоящем стандарте используется оценочный уровень согласно
разделу 6. Изменения оценочного уровня в большую сторону можно рассматривать как "штраф" за "неприятный" характер источника. Тогда изменение в меньшую сторону можно рассматривать как некое "поощрение". Так, если
Lct для источника A на 5 дБ больше, чем
Lct для источника B, то для источника B при одинаковых уровнях шума вероятность штрафа более высока и определяется этой разницей в 5 дБ.
Таким образом, для сопоставления оценочного уровня шума от поездов Ldn с оценкой шума автотранспортного потока к последней следует применить положительную поправку от 2 до 3 дБ. Аналогично поправка -9 дБ означает, что для сравнения шума железнодорожного транспорта с шумом автотранспортного потока следует вычесть 9 дБ из Ldn. Данное обстоятельство учтено во всех таблицах настоящего приложения.
Низкочастотную вибрацию и повышенный шум наблюдают от обычных пассажирских поездов на электрической тяге, для которых вибрация в области контакта поезда и рельсового пути значительно ослабляется. Ряд данных (объем которых, однако, ограничен) показывает, что положительная поправка должна быть несколько больше для случая высокоскоростного поезда, чья скорость превышает 230 км/ч.
Величину
Lct используют для оценок изменения со временем распространенности негативных реакций населения на шум. На
рисунке A.1, взятого из
[7], показан небольшой спад
Lct для авиационного шума приблизительно в 0,2 дБ в год за период наблюдения с 1960 по 2005 гг., за который общее изменение
Lct достигло почти 10 дБ. Приблизительно такие же данные за тот же период времени приведены в
[10]. Анализ этих данных, осуществленный в период с 1967 по 2005 годы методом мета-регрессии, показывает увеличение раздражительности населения в ответ на ту же дозу шума, что эквивалентно указанному снижению социально допустимого уровня приблизительно на 10 дБ.
Доказано, что умеренный и сильный импульсный шум при одинаковых эквивалентных уровнях звукового давления вызывает большее раздражение, чем шум автотранспорта. Аналогично, экспериментальные данные показывают, что раздражение при преобладающем тональном шуме выше, чем при шуме автотранспорта того же уровня. Поправки на тональность и импульсность шума были установлены во всех редакциях серии стандартов ИСО 1966, начиная с 1971 года. В настоящем стандарте использованы те же поправки на импульсность, что и в ИСО 1996-2.
В отношении непрерывного промышленного шума нет достаточной информации о соотношении между его уровнем и реакцией на него. Опыт некоторых стран показывает, что промышленный шум может быть более раздражающим, чем шум автотранспорта, даже если он не содержит ясно различимых на слух тонов или импульсов. В некоторых странах степень раздражающего действия промышленного шума предполагают зависящей от прироста шума. Однако в большинстве случаев промышленный шум по природе либо тональный (вентиляторы и насосы), либо импульсный. Тогда его оценивают с учетом поправок, соответствующих его характеру.
Поправки на время суток в настоящее время применяют во многих странах. Эти поправки используются для расширения сопоставимости раздражающего действия шума в разное время суток или в разные дни недели. Настоящий стандарт рекомендует применение поправок для вечернего и ночного времени, а также для выходных дней. Предлагаемые поправки могут быть одобрены соответствующими компетентными органами.
Вследствие различия реакции людей на шум разных источников и разного характера в разное время суток и пр. в полученные в результате измерения или прогноза уровни шума обычно вносят поправки. Эти поправки вносят в уровень звукового воздействия или в эквивалентный уровень звука согласно
6.3. В случае отдельного акустического события поправку прибавляют к уровню звукового воздействия для каждого события. В случае действия источников непрерывного шума поправку прибавляют к эквивалентному уровню звука.
X - годы изучения реакции населения на авиационный шум;
Y - социально допустимый уровень Lct, дБ
Примечание - На рисунке показана подогнанная под данные линия регрессии, имеющая спад 0,2 дБ/год. Данные очевидным образом свидетельствуют об уменьшении Lct со временем.
Рисунок A.1 - Изменение
Lct для авиационного шума
за годы наблюдений
Примечание - Указанные поправки применяют только для уровней, связанных с учитываемыми источниками шума, и не применяют к уровням остаточного шума. Например, если учитываемым источником является штамповочный пресс, вместе с которым работает установка подготовки сжатого воздуха, и обе машины излучают шум, воздействующий на население, то поправку на импульсность применяют только в отношении шума, создаваемого прессом.
Поправки на время суток могут быть внесены в уровень звукового воздействия или в эквивалентный уровень звука, как это принято или удобно. Поправка на время суток одна и та же для всех источников шума. Например, для авиационного шума поправка в 5 дБ на вечернее время может быть добавлена к уровню звукового воздействия или к эквивалентному уровню звука - результат от этого не изменится. Рекомендуемые значения поправок приведены в таблице A.1. Во многих случаях они могут зависеть от характера источника.
Таблица A.1
Типичные поправки для разных источников
шума и разного времени суток
Основание введения поправки | Категория источника шума или время суток | Коррекция, дБ |
Источник шума | Автотранспортный поток | 0 |
Воздушный транспорт | |
Железнодорожный транспорт | |
Промышленные объекты | |
Характер шума | Умеренный импульсный | |
Сильный импульсный | 12 |
Импульсный высокой энергии | |
С преобладанием тонов | |
Период времени | Вечер | 5 |
Ночь | 10 |
Выходные дни | |
<a> В предыдущем издании ИСО 1996-1 для шума воздушного транспорта был указан диапазон поправок от 3 до 6 дБ. <b> Указанные поправки применяют в отношении обычных пассажирских поездов с электрическими двигателями при вибрационной изоляции железнодорожного пути или при состоянии грунта, не способствующего распространению вибрации. <c> Отсутствие поправки для промышленных объектов связано с недостаточной информацией о соотношении между уровнем создаваемого ими шума и реакцией населения. <d> Поправку на импульсный характер шума применяют только в том случае, если импульсы звука отчетливо различимы в месте контроля. Поправку на тональный характер шума применяют только в том случае, если тоны отчетливо различимы в общем шуме. Примечание - Вопросы различимости и тональности шума рассматриваются в ИСО 1996-2. <e> Если шум от источника импульсного шума столь слаб, что не может быть выделен на фоне шума от других источников, или если импульсы столь редки, что не влияют на восприятие шума, то поправку на импульсность не вносят. Поправку 5 дБ применяют, если частота следования импульсов превышает некоторое предельное значение, установленное компетентными органами. Обычно шум считают импульсным, если период его повторения лежит в диапазоне от нескольких секунд до двух минут. Вопрос разделения импульсного и остаточного шума при измерениях рассматривается в ИСО 1996-2. Однако в связи с новизной вопроса можно ожидать, что в будущем вносимая поправка может быть изменена. В [19] для оценки слышимости и заметности звука на фоне остаточного шума использован параметр D', представляющий собой зависящее от полосы частот отношение сигнал/шум, которое должно быть не менее 4 дБ для слышимости и 14 дБ для заметности. Предполагается, что при D' менее 14 дБ импульсный звук не заметен на фоне остаточного шума. <f> В некоторых странах применяют инструментальные методы проверки, чтобы определить, можно ли шум считать умеренным импульсным. <g> Если присутствие тонов в общем шуме вызывает сомнения, то для решения вопроса можно воспользоваться процедурой, приведенной в ИСО 1996-2. <h> Поправку на дневное время для выходного дня (обычно от 7 до 22 ч), если таковая установлена компетентным органом, применяют с учетом необходимости полноценного отдыха и восстановления сил работающих, а также с учетом того, что в эти дни большее число людей проводят свое время дома. |
Анализ на основе социально допустимого уровня шума
Lct позволяет сразу получить поправки для разных источников шума, подобные приведенным в
таблице A.1 и в
таблице E.3. Например, в
таблице E.3 показано, что если взять за основу шум автотранспортного потока, то в авиационный шум должна быть внесена поправка +5 дБ. Знание
Lct также позволяет оценить изменения в жалобах на раздражающее действие источника шума со временем. На
рисунке A.1 показано, как значение
Lct изменялось в разные годы. Так, для 1988 г. его среднее значение было 73,3 дБ. Экстраполяция линейной регрессией до 2012 г. (см.
рисунок A.1) предполагает значение
Lct, равное 68,0 дБ, т.е. уменьшение более чем на 5 дБ по сравнению со значением, приведенным в
таблице E.3. Однако в настоящее время уменьшать значение
Lct до 68,0 дБ не рекомендуется, поскольку в дальнейшем значения
Lct вполне могут начать изменяться в другую сторону, что заранее предсказать невозможно.
С учетом неопределенности имеющихся данных, а также того, что в настоящее время для анализа доступны только результаты исследований, проведенных до 2005 г., допустимые поправки к авиационному шуму, рекомендуемые
таблицей A.1, составляют от +5 до +8 дБ, что отличается от диапазона поправок от +3 до +6 дБ, рекомендованного предыдущей редакцией настоящего стандарта. Таким образом, хотя данные свидетельствуют о снижении
Lct для авиационного шума на 5 дБ, в настоящее время не рекомендуется изменять это значение более чем на 2 дБ, поскольку указанное изменение диапазона поправок для авиационного шума уже учло эту тенденцию.
Если шум оценивают на основе
Lct-метода, то изменение поправки для авиационного шума с 5 до 7 дБ будет соответствовать уменьшению социально допустимого уровня шума
Lct на 2 дБ. Если же используется методология подгонки данных кривой регрессии, то поправку 5 дБ на отличие восприятия авиационного шума по сравнению с шумом автотранспорта вводить не нужно - она уже учтена процедурой подгонки (см.
[15]). Если страны желают увеличить поправку на авиационный шум в явном виде, то им следует ориентироваться на методологию на основе
Lct (см.
приложение E), где такие изменения предполагаются в явном виде.
В качестве примера изменения социально допустимого уровня шума со временем на рисунке A.2 приведен график Lct для шума автотранспортного потока. Исследование всей совокупности полученных данных показывает отсутствие значительного тренда и корреляции с линией регрессии. Так, если рассматривать только 15-летний период с 1969 по 1983 годы, то можно прийти к выводу о наличии спада в 0,3 дБ/год, однако анализ данных за период с 1989 по 2003 годы покажет уже рост в 0,9 дБ/год.
X - годы изучения реакции населения на шум автотранспортного
потока; Y - социально допустимый уровень Lct, дБ
Примечание 1 - На рисунке показана подогнанная под данные линия регрессии, имеющая спад 0,1 дБ/год. Однако в данном случае, в отличие от
рисунка A.1, очевидная тенденция не просматривается. При наличии периодов роста и спада общий долговременный тренд можно считать нулевым.
Примечание 2 - Для проверки изменения реакции населения на шум со временем использована характеристика Lct. Схожий анализ может быть проведен для любой другой теоретической функции.
Рисунок A.2 - Изменение Lct для шума
автотранспортного потока за годы наблюдений
(справочное)
ИМПУЛЬСНЫЙ ШУМ ВЫСОКОЙ ЭНЕРГИИ
B.1 Введение
Методика, изложенная в настоящем приложении, основана на исследованиях, проведенных в Германии, Нидерландах и США, а также на обзоре этих исследований Комитетом по слуху, биоакустике и биомеханике (Committee on Hearing, Bioacoustics and Biomechanics - CHABA) Национального совета исследований (National Research Council), опубликованном в 1996 г. (см.
[29]).
B.2 Основная шумовая характеристика
Для источников импульсного шума высокой энергии основной шумовой характеристикой является корректированный по C уровень звукового воздействия LEC.
B.3 Расчет оценочного уровня воздействия импульсного шума высокой энергии на основе корректированного по C уровня звукового воздействия
Для каждого отдельного акустического события оценочный уровень воздействия импульсного шума высокой энергии LRE, дБ, рассчитывают на основе корректированного по C уровня звукового воздействия LEC, дБ, по формулам:
LRE = 2
LEC - 93 для
LEC >= 100 дБ, (B.1)
LRE = 1,18
LEC - 11 для
LEC < 100 дБ. (B.2)
Примечание -
Формулу (B.2) применяют только для значений
LRE, превышающих 70 дБ. Ниже этого уровня нельзя считать, что импульсный шум обладает высокой энергией и поэтому он не рассматривается как таковой с точки зрения реакции населения.
При
LEC = 100 дБ
формулы (B.1) и
(B.2) дают одинаковое значение
LRE = 107 дБ. График зависимости
LRE от
LEC приведен на рисунке B.1
X - корректированный по C уровень звукового
воздействия LEC, дБ; Y - оценочный уровень воздействия
импульсного шума высокой энергии LRE, дБ
Примечание - Пунктирной линией показано значение LRE = 107 дБ для LEC = 100 дБ.
Рисунок B.1 - Зависимость оценочного уровня воздействия
импульсного шума высокой энергии от корректированного
по C уровня звукового воздействия
B.4 Другие методы расчета оценочного уровня звукового воздействия
На основе исследований шума при стрельбе были разработаны две модели, охватывающие стрелковое оружие и артиллерийские орудия среднего (например, 35 мм) и тяжелого (например, 155 мм) калибров. В каждой из них использована разность между уровнями с применением коррекций A и C в сочетании с одним из этих уровней. Эти методы, подобно методу на основе функции громкости, более чувствительны к спектральному составу шума, чем если бы использовалась только частотная коррекция A.
В первой модели (см.
[32]) расчетная формула имеет вид
LRE = 1,40LEC - 0,92(LCFmax - LAFmax) - 21,9 дБ. (B.3)
В ней используется разность максимальных корректированных уровней звукового давления при использовании частотных коррекций C и A соответственно и временной характеристикой F в сочетании с корректированным по C уровнем звукового воздействия, т.е. три величины, для каждой из которых при измерениях может быть получено достаточное отношение сигнал/шум.
В другой модели (см.
[34]) расчетная формула имеет вид
LRE = LEA + 0,015(LEC - LEA)(LEA - 47) + 12 дБ. (B.4)
Здесь разность корректированных по C и по A уровней звукового воздействия применена в сочетании с корректированным по A уровнем звукового воздействия. Однако для отдаленного выстрела могут возникнуть трудности с надежным измерением корректированного по A уровня звукового воздействия, что потребует применения соответствующей модели распространения звука.
(справочное)
ПРЕИМУЩЕСТВЕННО НИЗКОЧАСТОТНЫЙ ШУМ
C.1 Общие положения
Исследования показывают сильные различия в восприятии и воздействии шума низких частот и шума средних и высоких частот. Основными причинами этих различий являются:
- ослабление восприятия изменения высоты тона по мере того, как частота звука падает ниже 60 Гц;
- восприятие низкочастотных звуков как пульсации и флуктуаций;
- значительно более быстрый рост громкости и раздражающего действия с ростом уровня звука на низких частотах по сравнению со средними и высокими частотами;
- жалобы на чувство давления в ушах при низкочастотном шуме;
- раздражающее действие вторичных эффектов низкочастотного шума, таких как дребезжание элементов зданий, окон и дверей или позвякивание мелких предметов обихода;
- меньшие потери при распространении в зданиях низкочастотного звука по сравнению со средними и высокими частотами.
Перечисленные причины требуют модификации метода расчета оценочного уровня в случае, когда в шуме сильны низкочастотные составляющие. Может потребоваться изменение, как точки контроля шума, так и вида частотной коррекции, поскольку низкочастотный шум оказывает большее раздражающее действие, чем это прогнозируется на основе уровня звука.
C.2 Аспекты анализа
В отношении шума преимущественно низкочастотного характера могут быть приняты во внимание следующие сведения:
a) шум данного вида сосредоточен в частотном диапазоне с нижней границей вблизи 5 Гц и верхней границей около 100 Гц. Для оценки шума, сосредоточенного на частотах ниже 20 Гц некоторые страны используют коррекцию по частотной характеристике
G. Если нижняя граница превышает 15 Гц, то в ряде стран для оценки используют октавный или третьоктавный анализ в полосах частот со среднегеометрическими значениями от 16 до 100 Гц.
Примечание - Функция частотной коррекции G определена в ИСО 7196.
b) в странах, где установлены процедуры оценки низкочастотного шума, не используют частотную коррекцию
A так, как для оценки шума средних и высоких частот. Чаще шум оценивают только в диапазоне, указанном в
перечислении a);
c) некоторые страны разработали критерии оценки низкочастотного шума, основанные на измерениях звука внутри помещений. Ряд других используют в своих национальных стандартах измерения как внутри помещений, так и снаружи;
d) одна из особенностей оценки низкочастотного шума состоит в том, что низкочастотные резонансы помещения могут затруднить прогнозирование шума внутри помещения по результатам наружных измерений. Это может быть особенно важно для отдельных видов зданий. Тем не менее, для целей оценки степени раздражения от шума в местах массового заселения может быть достаточно иметь результаты измерений вне помещений;
e) существенным раздражающим фактором, связанным с низкочастотным шумом, является вибрация элементов зданий. Методы
приложения B учитывают данный фактор при импульсном шуме высокой энергии. Как указано в
перечислениях c) и
d) для непрерывного шума в некоторых странах разработаны специальные критерии оценки шума внутри помещений с учетом как слышимого звука, так и вызванной им вибрации. В других странах установлены отдельные предельные значения для шума внутри помещений с учетом потенциально возможного возбуждения вибрации предметов обстановки.
(справочное)
ДОЛИ НАСЕЛЕНИЯ, ИСПЫТЫВАЮЩЕГО СИЛЬНОЕ РАЗДРАЖЕНИЕ
ОТ ВОЗДЕЙСТВИЯ ШУМА, И 95%-НЫЙ ПРЕДСКАЗАТЕЛЬНЫЙ ИНТЕРВАЛ
В ЗАВИСИМОСТИ ОТ ОЦЕНОЧНОГО УРОВНЯ ШУМА НА ИНТЕРВАЛАХ
"ДЕНЬ - ВЕЧЕР - НОЧЬ" И "ДЕНЬ - НОЧЬ"
D.1 Общие положения
В публикации 1978 г. (см.
[19]) была установлена связь между долей населения, испытывающего сильное раздражение от воздействия шума самолетов, автомобилей и поездов, и уровнем звука на интервале "день - ночь". В другой несколько более поздней публикации (см.
[11]) приводились аргументы в пользу того, что невозможно использовать одну зависимость для шума от разных транспортных средств, поскольку доля респондентов, испытывавших сильное раздражение при одном и том же уровне звука, в случае авиационного шума оказалась выше, а в случае шума поездов ниже, чем для шума автотранспортного потока.
Начиная с 1978 г. были опубликованы данные нескольких метаанализов, каждый из которых подтвердил наличие систематического различия, аналогичного указанному в
[11], в восприятии населением шума от самолетов, поездов и автомобильного транспорта. Во всех отчетах, за исключением
[7] и
[18], были приведены кривые, подогнанные под экспериментальные данные. Как правило, подгонка осуществлялась по крупным массивам данных за исключением работы
[15], где она сделана для отдельных категорий населения.
Работы
[7] и
[18] вместо подгонки данных содержали теоретические рассуждения о виде подгоняемой кривой для
Ldn и ее параметрах.
D.2 Зависимость между уровнем шума и ответной реакцией населения
Зависимость реакции от уровня шума определена для величин
Lden и
Ldn только в диапазоне от 45 до 75 дБ. Эти зависимости, полученные в
[7] и
[18] для авиационного шума и шума автотранспортного потока, приведены в
приложении E. Они похожи, но не полностью идентичны тем же зависимостям, полученным в
[15] и приведенным в
приложении F.
Примечание 1 - Указанные зависимости построены с учетом всех имеющихся данных, однако табулированы в более узком диапазоне и в еще более узком диапазоне рекомендованы для использования.
Примечание 2 - Разность между Lden и Ldn взята равной 0,6 дБ, хотя в отдельных случаях она может быть существенно выше.
D.3 95%-ный предсказательный интервал
В
приложении E приведен 95%-ный предсказательный интервал, содержащий диапазон, в который попадают 95% всех собранных данных. В целом при одинаковых значениях уровня шума на интервалах "день - ночь" и "день - вечер - ночь" в последнем случае этот интервал будет несколько больше, но не более чем на несколько десятых процента. Поэтому в настоящем стандарте использованы с некоторым запасом только 95%-ные предсказательные интервалы для уровня шума на интервале "день - ночь". В
приложении E рассматриваются предсказательные интервалы для уровней как
Ldn, так и
Lden, каждый из которых получен исходя из социально допустимого уровня шума
Lct. Аналогичные предсказательные интервалы приведены в
приложении F на основе данных из
[15].
Примечание - Расчет 95%-ных предсказательных интервалов являлся составной частью разработки настоящего стандарта и был основан на данных работы
[7]. Эти данные и методы их обработки отличаются от статистических процедур, использованных в
[15] (больше информации о статистической неопределенности, связанной с обрабатываемыми данными, приведено в
[9]). Тем не менее, обе работы основаны преимущественно на одних и тех же данных, обобщающих накопленные по всему миру результаты наблюдений за шумом самолетов за период 35 лет.
D.4 Формулы расчета доли населения с сильной реакцией на шум
D.4.1 В
приложениях E и
F приведены расчетные формулы [
(E.1) -
(E.9) и
(F.1) -
(F.8) соответственно] для оценки доли населения, испытывающего сильное раздражение от воздействия шума разных источников. Эти формулы применимы только для оценки длительного воздействия шума, например усредненного за год.
D.4.2 Эти формулы не применяют для более коротких промежутков времени (выходные дни, сезон года, дни с особенно высокой шумовой нагрузкой).
D.4.3 Формулы не применяют в отношении шума, характер которого изменился за относительно короткий промежуток времени. Примером может служить изменение шума движения автотранспорта при проведении временных дорожных работ.
D.4.4 Формулы применяют только для установившейся шумовой обстановки.
В новых ситуациях, особенно, когда население еще не адаптировалось к источникам шума, его раздражающий эффект может быть выше. Разница в уровнях шума, соответствующих одинаковой степени раздражения в новых и привычных условиях, может достигать 5 дБ.
Исследования показывают, что в тихих сельских районах требования к "тишине и покою" выше. Поэтому при изменении шумовой ситуации в сельских районах восприятие шума может быть эквивалентно тому, что наблюдалось бы у населения в районах с установившейся шумовой обстановкой при действии шума на 10 дБ выше.
Два вышеуказанных фактора действуют независимо друг от друга. Поэтому новый, непривычный источник шума в тихом сельском районе может вызвать намного большее раздражение, чем обычно прогнозируемое по указанным формулам. Увеличение степени раздражения может быть эквивалентно прибавлению 15 дБ к измеренному или прогнозируемому уровню шума.
(справочное)
ОЦЕНКА ДОЛИ НАСЕЛЕНИЯ, ИСПЫТЫВАЮЩЕГО СИЛЬНОЕ РАЗДРАЖЕНИЕ
ОТ ВОЗДЕЙСТВИЯ ШУМА, В ЗАВИСИМОСТИ ОТ ОЦЕНОЧНОГО УРОВНЯ ШУМА
НА ИНТЕРВАЛАХ "ДЕНЬ - ВЕЧЕР - НОЧЬ" И "ДЕНЬ - НОЧЬ"
НА ОСНОВЕ СОЦИАЛЬНО ДОПУСТИМОГО УРОВНЯ ШУМА
E.1.1 Использование оценочного уровня шума на интервале "день - ночь"
Зависимость доли населения, испытывающего сильное раздражение от воздействия авиационного шума,
PHA, %, от значения
Ldn, дБ, согласно
[7], имеет вид

(E.1)
Если социально допустимый уровень шума
Lct установлен равным 71,3 дБ (с учетом поправки 7 дБ на отличие авиационного шума от шума автотранспортного потока), то
формула (E.1) приобретает вид

(E.2)
Согласно
таблице A.1 рекомендуемая поправка для авиационного шума находится в диапазоне от +5 до +8 дБ. В
формуле (E.2) использована поправка 7 дБ. Таким образом, чтобы получить аналогичную формулу для поправок 5, 6 и 8 дБ, нужно к числу 66 в
формуле (E.2) прибавить 2 и 1 дБ или вычесть 1 дБ соответственно. Так, в случае поправки 8 дБ в
формуле (E.2) нужно заменить число 66 на 65. При использовании таблицы E.1 нужно к значениям
Ldn (или
Lden) во втором столбце, соответствующем поправке 7 дБ, прибавить 2 и 1 дБ или вычесть 1 дБ соответственно. Например, из таблицы E.1 видно, что при
Ldn = 60 дБ доля населения, испытывающего сильное раздражение, составляет 22%. Чтобы получить результат для поправки 8 дБ, нужно весь столбец 2 сместить на одну строку вниз, тогда то же самое значение 22% будет соответствовать
Ldn = 59 дБ.
Таблица E.1
Доля населения, испытывающего сильное раздражение
от воздействия авиационного шума, и соответствующие
95%-ные предсказательные интервалы в зависимости
от Ldn (или Lden) с внесенными поправками 5 и 7 дБ
относительного шума автотранспортного потока
Ldn (или Lden), поправка 5 дБ, дБ | Ldn (или Lden), поправка 7 дБ, дБ | Верхняя граница 95%-ного интервала, % | Нижняя граница 95%-ного интервала, % | PHA, %, для Ldn (на основе [7]) | PHA, %, для Lden (на основе [7]) |
45 | 43 | 33,5 | 0,3 | 0,7 | 0,6 |
46 | 44 | 35,7 | 0,4 | 1,0 | 0,9 |
47 | 45 | 38,0 | 0,4 | 1,4 | 1,2 |
48 | 46 | 40,3 | 0,5 | 1,9 | 1,6 |
49 | 47 | 42,7 | 0,6 | 2,4 | 2,1 |
50 | 48 | 45,1 | 0,7 | 3,1 | 2,7 |
51 | 49 | 47,5 | 0,9 | 3,9 | 3,4 |
52 | 50 | 49,9 | 1,0 | 4,9 | 4,3 |
53 | 51 | 52,3 | 1,2 | 6,0 | 5,3 |
54 | 52 | 54,7 | 1,4 | 7,2 | 6,5 |
55 | 53 | 57,1 | 1,7 | 8,6 | 7,7 |
56 | 54 | 59,5 | 1,9 | 10,1 | 9,2 |
57 | 55 | 61,8 | 2,2 | 11,8 | 10,8 |
58 | 56 | 64,1 | 2,6 | 13,6 | 12,5 |
59 | 57 | 66,3 | 3,0 | 15,5 | 14,4 |
60 | 58 | 68,5 | 3,4 | 17,6 | 16,4 |
61 | 59 | 70,6 | 3,9 | 19,8 | 18,5 |
62 | 60 | 72,7 | 4,4 | 22,0 | 20,7 |
63 | 61 | 74,7 | 5,0 | 24,4 | 22,9 |
64 | 62 | 76,6 | 5,7 | 26,8 | 25,3 |
65 | 63 | 78,4 | 6,4 | 29,2 | 27,7 |
66 | 64 | 80,1 | 7,2 | 31,7 | 30,2 |
67 | 65 | 81,8 | 8,1 | 34,3 | 32,7 |
68 | 66 | 83,4 | 9,0 | 36,8 | 35,3 |
69 | 67 | 84,8 | 10,0 | 39,3 | 37,8 |
70 | 68 | 86,2 | 11,1 | 41,9 | 40,3 |
71 | 69 | 87,5 | 12,3 | 44,4 | 42,9 |
72 | 70 | 88,7 | 13,6 | 46,8 | 45,4 |
73 | 71 | 89,9 | 15,0 | 49,3 | 47,8 |
74 | 72 | 90,9 | 16,4 | 51,7 | 50,2 |
75 | 73 | 91,9 | 18,0 | 54,0 | 52,6 |
76 | 74 | 92,7 | 19,6 | 56,3 | 54,9 |
77 | 75 | 93,6 | 21,3 | 58,5 | 57,1 |
78 | 76 | 94,3 | 23,1 | 60,6 | 59,3 |
Примечание - Четыре правых столбца (с 3-го по 6-й) следует использовать либо с первым столбцом (поправка 5 дБ), либо со вторым столбцом (поправка 7 дБ). |
E.1.2 Использование оценочного уровня шума на интервале "день - вечер - ночь"
Типичная разница между уровнями "день - ночь"
Ldn, дБ, и "день - вечер - ночь"
Lden, дБ, составляет 0,6 дБ. Таким образом, чтобы представить
PHA в виде функции
Lden, следует в
формуле (E.1) заменить
Ldn на (
Lden - 0,6):

(E.3)
Значения
Ldn (или
Lden) в
таблице E.1 приведены с поправками +5 дБ и +7 дБ на отличие авиационного шума от шума автотранспортного потока, т.е. при
Lct, равном 78,3 дБ для шума автотранспортного потока значение
Lct для авиационного шума будет 73,3 дБ при использовании поправки 5 дБ
(столбец 1 таблицы E.1) и 71,2 дБ при использовании поправки 7 дБ
(столбец 2 таблицы E.1).
Чтобы применить, например, поправку 7 дБ, пользователю нужно вычесть 2 дБ (разность между желаемой поправкой и поправкой 5 дБ) из каждого значения в первом столбце
таблицы E.1.
Данные
таблицы E.1 проиллюстрированы
рисунком E.1 с использованием двух осей абсцисс для
Ldn (или
Lden). Верхняя ось соответствует поправке 5 дБ, нижняя - поправке 7 дБ.
Данные, отображенные на рисунке E.1, взяты из
[7]. Пунктирные линии показывают 95%-ный предсказательный интервал, построенный для всей совокупности данных. Можно ожидать попадания в этот интервал данных исследований для новых сценариев. Например, если при строительстве нового аэропорта использован прогноз
Lden = 58 дБ и поправка 5 дБ
(первый столбец таблицы E.1) или 7 дБ
(второй столбец таблицы E.1), тогда, как следует из
таблицы E.1, прогнозное значение
PHA составит 12,5% (или соответственно 16,4%), и для 95% населенных пунктов (т.е. в среднем для 19 из 20) доля населения, выражающего крайнее недовольство шумом от самолетов, составит от 2,6% до 64,1% (или соответственно от 3,4% до 68,5%).
X1 - оценочный уровень шума на интервале
"день - вечер - ночь" Lden, дБ, с поправкой 5 дБ;
X2 - оценочный уровень шума на интервале
"день - вечер - ночь" Lden, дБ, с поправкой 7 дБ;
Y - доля населения, испытывающего сильное
раздражение от действия шума PHA, %
Примечание 1 - Рисунок E.1 может быть применен как для
Lden, так и для
Ldn, поскольку шкала для этих величин весьма грубая. Разница между
Ldn и
Lden, выраженная в единицах
PHA, составит самое большее 1,5%. Рисунок E.1 построен для данных из
таблицы E.1 для значений
Lden, но мог бы быть построен для значений
Ldn, которые приблизительно на 0,6 дБ меньше. Эта разница практически неразличима на взгляд, поэтому вместо двух графиков приведен только один.
Примечание 2 - Ось X2 соответствует сдвигу на 2 дБ в социально допустимом уровне шума Lct, который будет отличаться на 7 дБ от значения Lct для шума автотранспортного потока.
Примечание 3 - Рисунок E.1 включает фактически два набора данных для Lden - один для поправки 5 дБ (ось X1), другой - для поправки 7 дБ (ось X2).
Рисунок E.1 - Доля населения, испытывающая сильное
раздражение от авиационного шума (сплошная кривая),
и границы 95%-ного предсказательного интервала
(штриховые линии) для разных значений
Lden (на основе
[7])
E.2 Шум автотранспортного потока
E.2.1 Использование оценочного уровня шума на интервале "день - ночь"
Зависимость доли населения, испытывающего сильное раздражение от воздействия шума автотранспортного потока,
PHA, %, от значения
Ldn, дБ, согласно
[18], имеет вид (см. также
рисунок E.2)

(E.4)
Эта формула получена для социально допустимого уровня шума Lct = 78,3 дБ. В значение Ldn никаких поправок не внесено.
E.2.2 Использование оценочного уровня шума на интервале "день - вечер - ночь"
Типичная разница между уровнями "день - ночь"
Ldn, дБ, и "день - вечер - ночь"
Lden, дБ, составляет 0,6 дБ. Таким образом, чтобы представить
PHA в виде функции
Lden, следует в
формуле (E.4) заменить
Ldn на (
Lden - 0,6):

(E.5)
Данные таблицы E.2 проиллюстрированы
рисунком E.2. Пунктирные линии показывают 95%-ный предсказательный интервал, построенный для всей совокупности данных. Можно ожидать попадания в этот интервал данных исследований для новых сценариев. Например, если при строительстве новой трассы использован прогноз
Lden = 53 дБ, тогда, как следует из таблицы E.2, прогнозное значение
PHA составит 1,6%, и для 95% населенных пунктов (т.е. в среднем для 19 из 20) доля населения, выражающего крайнее недовольство шумом от движущегося транспорта, составит от 0,0% до 18,3%.
Таблица E.2
Доля населения, испытывающего сильное раздражение
от воздействия шума автотранспортного потока,
и соответствующие 95%-ные предсказательные
интервалы в зависимости от Ldn (или Lden)
Ldn (или Lden), дБ | Верхняя граница 95%-ного интервала, % | Нижняя граница 95%-ного интервала, % | PHA, %, для Ldn (на основе [18]) | PHA, %, для Lden (на основе [18]) |
45 | 8,2 | 0,0 | 0,1 | 0,1 |
46 | 9,1 | 0,0 | 0,2 | 0,1 |
47 | 10,2 | 0,0 | 0,2 | 0,2 |
48 | 11,3 | 0,0 | 0,4 | 0,3 |
49 | 12,5 | 0,0 | 0,5 | 0,4 |
50 | 13,8 | 0,0 | 0,7 | 0,6 |
51 | 15,2 | 0,0 | 1,0 | 0,9 |
52 | 16,7 | 0,0 | 1,4 | 1,2 |
53 | 18,3 | 0,0 | 1,9 | 1,6 |
54 | 19,9 | 0,0 | 2,4 | 2,1 |
55 | 21,7 | 0,0 | 3,1 | 2,7 |
56 | 23,5 | 0,0 | 3,9 | 3,4 |
57 | 25,5 | 0,0 | 4,9 | 4,3 |
58 | 27,5 | 0,0 | 6,0 | 5,3 |
59 | 29,5 | 0,0 | 7,2 | 6,5 |
60 | 31,7 | 0,0 | 8,6 | 7,7 |
61 | 33,9 | 0,0 | 10,1 | 9,2 |
62 | 36,2 | 0,0 | 11,8 | 10,8 |
63 | 38,5 | 0,0 | 13,6 | 12,5 |
64 | 40,8 | 0,0 | 15,5 | 14,4 |
65 | 43,2 | 0,0 | 17,6 | 16,3 |
66 | 45,7 | 0,0 | 19,8 | 18,4 |
67 | 48,1 | 0,0 | 22,0 | 20,7 |
68 | 50,6 | 0,0 | 24,4 | 22,9 |
69 | 53,0 | 0,0 | 26,8 | 25,3 |
70 | 55,4 | 0,0 | 29,2 | 27,7 |
71 | 57,8 | 0,0 | 31,7 | 30,2 |
72 | 60,2 | 0,1 | 34,3 | 32,7 |
73 | 62,6 | 0,1 | 36,8 | 35,3 |
74 | 64,9 | 0,1 | 39,3 | 37,8 |
75 | 67,1 | 0,1 | 41,9 | 40,3 |
Примечание - Приведенные в таблице значения получены для Lct = 78,3 дБ. |
X - оценочный уровень шума на интервале
"день - вечер - ночь" Lden, дБ; Y - доля населения,
испытывающего сильное раздражение от действия шума PHA, %
Примечание 1 - Рисунок E.2 может быть применен как для
Lden, так и для
Ldn (см.
примечание 1 к рисунку E.1).
Примечание 2 - Для большей части рассматриваемого диапазона нижняя граница 95%-ного предсказательного интервала равна нулю и лежит на оси абсцисс.
Рисунок E.2 - Доля населения, испытывающая сильное
раздражение от шума автотранспортного потока (сплошная
кривая), и верхняя граница 95%-ного предсказательного
интервала (штриховая линия) для разных значений
E.3.1 Общие положения
Данные шума от движущихся поездов обычно различают в зависимости от того, насколько сильна вибрация, передаваемая через воздух или через грунт, от взаимодействия железнодорожного состава и рельсового пути. Обычно вибрацию считают низкой в случае движения электропоездов по изолированному пути или пути, проложенному по грунту, препятствующему передаче вибрации. В остальных случаях вибрацию считают высокой.
В таблице E.3 приведены данные, взятые из
[18], о значениях
Lct для указанных двух категорий. Для наглядности в таблицу E.3 включены также данные по авиационному шуму из
[7].
Таблица E.3
Среднее значение
Lct для разных
источников транспортного шума
Источник шума | Lct, дБ | Разность с шумом автотранспортного потока, дБ |
Автотранспортный поток | 78,3 | 0 |
Воздушный транспорт | 73,3 | 5 |
Железнодорожный транспорт, низкая вибрация | 87,8 | -9,5 |
Железнодорожный транспорт, сильная вибрация | 75,8 | 2,5 |
Примечание - Для высокоскоростных поездов (скорость более 230 км/ч) даже в случае низкой вибрации отклонение от Lct может быть  . |
В таблице E.4 приведены стандартные отклонения, рассчитанные по данным из
[18].
Таблица E.4
Стандартные отклонения для шума поездов
Источник шума и условия | Среднее Lct, дБ | Разность с шумом автотранспортного потока, дБ | Стандартное отклонение, дБ | 95%-ный предсказательный интервал, дБ |
Поезд, низкая вибрация | 87,8 | -9,5 | 3,5 | 87,8 +/- 7,0 |
Поезд, сильная вибрация | 75,8 | 2,5 | 4,2 | 75,8 +/- 8,4 |
E.3.2 Использование оценочного уровня шума на интервале "день - вечер - ночь"
Нижеследующие формулы описывают зависимость доли населения, испытывающего сильное раздражение от воздействия шума железнодорожного транспорта, PHA, %, от значения Lden, дБ.
В случае сильной передаваемой вибрации (Lct = 75,8 дБ) формула имеет вид

(E.6)
В случае низкой вибрации (Lct = 87,8 дБ) формула имеет вид

(E.7)
E.3.3 Использование оценочного уровня шума на интервале "день - ночь"
Нижеследующие формулы описывают зависимость доли населения, испытывающего сильное раздражение от воздействия шума железнодорожного транспорта, PHA, %, от значения Ldn, дБ.
В случае сильной передаваемой вибрации (Lct = 75,8 дБ) формула имеет вид

(E.8)
В случае низкой вибрации (Lct = 87,8 дБ) формула имеет вид

(E.9)
(справочное)
ОЦЕНКА ДОЛИ НАСЕЛЕНИЯ, ИСПЫТЫВАЮЩЕГО СИЛЬНОЕ РАЗДРАЖЕНИЕ
ОТ ВОЗДЕЙСТВИЯ ШУМА, В ЗАВИСИМОСТИ ОТ ОЦЕНОЧНОГО УРОВНЯ ШУМА
НА ИНТЕРВАЛАХ "ДЕНЬ - ВЕЧЕР - НОЧЬ" И "ДЕНЬ - НОЧЬ"
НА ОСНОВЕ УРАВНЕНИЯ РЕГРЕССИИ
F.1.1 Использование оценочного уровня шума на интервале "день - вечер - ночь"
Зависимость доли населения, испытывающего сильное раздражение от воздействия авиационного шума,
PHA, %, от значения
Lden, дБ, согласно
[15], имеет вид
PHA = -9,199·10
-5(
Lden - 42)
3 + 3,932·10
-2(
Lden - 42)
2 +
+ 0,294(Lden - 42). (F.1)
Эта зависимость табулирована в таблице F.1.
Таблица F.1
Доля населения, испытывающего сильное раздражение
от воздействия авиационного шума, и соответствующие
95%-ные предсказательные интервалы в зависимости
от Ldn (или Lden) с внесенными поправками 5 и 7 дБ
относительного шума автотранспортного потока
Ldn (или Lden), поправка 5 дБ, дБ | Ldn (или Lden), поправка 7 дБ, дБ | Верхняя граница 95%-ного интервала, % | Нижняя граница 95%-ного интервала, % | PHA, %, для Ldn (на основе [15]) | PHA, %, для Lden (на основе [15]) |
45 | 43 | 33,5 | 0,3 | 1,4 | 1,2 |
46 | 44 | 35,7 | 0,4 | 2,0 | 1,8 |
47 | 45 | 38,0 | 0,4 | 2,7 | 2,4 |
48 | 46 | 40,3 | 0,5 | 3,5 | 3,2 |
49 | 47 | 42,7 | 0,6 | 4,3 | 4,0 |
50 | 48 | 45,1 | 0,7 | 5,3 | 4,8 |
51 | 49 | 47,5 | 0,9 | 6,3 | 5,8 |
52 | 50 | 49,9 | 1,0 | 7,4 | 6,8 |
53 | 51 | 52,3 | 1,2 | 8,5 | 7,9 |
54 | 52 | 54,7 | 1,4 | 9,7 | 9,0 |
55 | 53 | 57,1 | 1,7 | 11,0 | 10,3 |
56 | 54 | 59,5 | 1,9 | 12,4 | 11,6 |
57 | 55 | 61,8 | 2,2 | 13,8 | 12,9 |
58 | 56 | 64,1 | 2,6 | 15,3 | 14,4 |
59 | 57 | 66,3 | 3,0 | 16,9 | 15,9 |
60 | 58 | 68,5 | 3,4 | 18,6 | 17,5 |
61 | 59 | 70,6 | 3,9 | 20,3 | 19,1 |
62 | 60 | 72,7 | 4,4 | 22,0 | 20,9 |
63 | 61 | 74,7 | 5,0 | 23,9 | 22,7 |
64 | 62 | 76,6 | 5,7 | 25,8 | 24,5 |
65 | 63 | 78,4 | 6,4 | 27,8 | 26,4 |
66 | 64 | 80,1 | 7,2 | 29,8 | 28,4 |
67 | 65 | 81,8 | 8,1 | 31,9 | 30,5 |
68 | 66 | 83,4 | 9,0 | 34,0 | 32,6 |
69 | 67 | 84,8 | 10,0 | 36,2 | 34,8 |
70 | 68 | 86,2 | 11,1 | 38,5 | 37,0 |
71 | 69 | 87,5 | 12,3 | 40,8 | 39,3 |
72 | 70 | 88,7 | 13,6 | 43,2 | 41,7 |
73 | 71 | 89,9 | 15,0 | 45,7 | 44,2 |
74 | 72 | 90,9 | 16,4 | 48,2 | 46,7 |
75 | 73 | 91,9 | 18,0 | 50,7 | 49,2 |
Примечание - Четыре правых столбца (с 3-го по 6-й) следует использовать либо с первым столбцом (поправка 5 дБ), либо со вторым столбцом (поправка 7 дБ). |
Формула (F.1) учитывает внесенную поправку около 5 дБ на отличие авиационного шума от шума автотранспортного потока.
Согласно
приложению A рекомендуемая поправка на отличие авиационного шума от шума автотранспортного потока составляет 7 дБ. Чтобы преобразовать
формулу (F.1) с учетом этой поправки, необходимо из каждого числа 42 в
формуле (F.1) вычесть 2, что дает
PHA = -9,199·10-5(Lden - 40)3 + 3,932·10-2(Lden - 40)2 +
+ 0,294(Lden - 40). (F.2)
F.1.2 Использование оценочного уровня шума на интервале "день - ночь"
Зависимость доли населения, испытывающего сильное раздражение от воздействия авиационного шума,
PHA, %, от значения
Ldn, дБ, согласно
[15], имеет вид
PHA = -1,395·10
-4(
Ldn - 42)
3 + 4,081·10
-2(
Ldn - 42)
2 +
+ 0,342(Ldn - 42). (F.3)
Формула (F.3) учитывает внесенную поправку около 5 дБ на отличие авиационного шума от шума автотранспортного потока.
Согласно
приложению A рекомендуемая поправка на отличие авиационного шума от шума автотранспортного потока составляет 7 дБ. Чтобы преобразовать
формулу (F.3) с учетом этой поправки, необходимо из каждого числа 42 в
формуле (F.3) вычесть 2, что дает
PHA = -1,395·10
-4(
Ldn - 40)
3 + 4,081·10
-2(
Ldn - 40)
2 +
+ 0,342(Ldn - 40). (F.4)
Примечание -
Формулы (F.1) -
(F.4), так же как и
формулы (F.5) -
(F.8) для других источников шума являются результатом аппроксимации данных полиномиальной зависимостью от
Ldn (или
Lden) и применимы только в диапазоне аппроксимации от 45 до 75 дБ. Более подробная информация о статистическом методе многоуровневой регрессии, где во внимание принимают разброс данных как по отдельным представителям, так и по их группам, приведена в
[9]).
Данные
таблицы F.1 проиллюстрированы рисунком F.1 с использованием двух осей абсцисс для
Ldn или
Lden. Верхняя ось соответствует поправке 5 дБ, нижняя - поправке 7 дБ.
X1 - оценочный уровень шума на интервале
"день - вечер - ночь" Lden, дБ, с поправкой 5 дБ;
X2 - оценочный уровень шума на интервале
"день - вечер - ночь" Lden, дБ, с поправкой 7 дБ;
Y - доля населения, испытывающего сильное
раздражение от действия шума PHA, %
Примечание - Рисунок F.1 включает, фактически, два набора данных для Lden - один для поправки 5 дБ (ось X1), другой - для поправки 7 дБ (ось X2).
Рисунок F.1 - Доля населения, испытывающая сильное
раздражение от авиационного шума (сплошная кривая),
и границы 95%-ного предсказательного интервала
(штриховые линии) для разных значений
Lden (на основе
[15])
Данные, отображенные на
рисунке F.1, взяты из
[7]. Пунктирные линии показывают 95%-ный предсказательный интервал, построенный для всей совокупности данных. Можно ожидать попадания в этот интервал данных исследований для новых сценариев. Например, если при строительстве нового аэропорта использован прогноз
Lden = 58 дБ и поправка 5 дБ
(первый столбец таблицы F.1) или 7 дБ
(второй столбец таблицы F.1), тогда, как следует из
таблицы F.1, прогнозное значение
PHA составит 14,4% (или соответственно 17,5%), и для 95% населенных пунктов (т.е. в среднем для 19 из 20) доля населения, выражающего крайнее недовольство шумом от самолетов, составит от 2,6% до 64,1% (или соответственно от 3,4% до 68,5%).
F.2 Шум автотранспортного потока
F.2.1 Использование оценочного уровня шума на интервале "день - вечер - ночь"
Зависимость доли населения, испытывающего сильное раздражение от воздействия шума автотранспортного потока,
PHA, %, от значения
Ldn, дБ, согласно
[15] имеет вид (см. также
таблицу F.2)
PHA = 9,868·10
-4(
Lden - 42)
3 - 1,436·10
-2(
Lden - 42)
2 +
+ 0,512(Lden - 42). (F.5)
График этой функции вместе с границами 95%-ного предсказательного интервала (штриховые линии) построен на рисунке F.2 по данным из
[18].
X - оценочный уровень шума на интервале
"день - вечер - ночь" Lden, дБ; Y - доля населения,
испытывающего сильное раздражение от действия шума PHA, %
Примечание - Для большей части рассматриваемого диапазона нижняя граница 95%-ного предсказательного интервала равна нулю и лежит на оси абсцисс.
Рисунок F.2 - Доля населения, испытывающая сильное
раздражение от шума автотранспортного потока (сплошная
кривая), и верхняя граница 95%-ного предсказательного
интервала (штриховая линия) для разных значений
F.2.2 Использование оценочного уровня шума на интервале "день - ночь"
Зависимость доли населения, испытывающего сильное раздражение от воздействия шума автотранспортного потока,
PHA, %, от значения
Ldn, дБ, согласно
[15] имеет вид (см. также
таблицу F.2)
PHA = 9,994·10
-4(
Ldn - 42)
3 - 1,523·10
-2(
Ldn - 42)
2 +
+ 0,538(Ldn - 42). (F.6)
Таблица F.2
Доля населения, испытывающего сильное раздражение
от воздействия шума автотранспортного потока,
и соответствующие 95%-ные предсказательные
интервалы в зависимости от Ldn (или Lden)
Ldn (или Lden), дБ | Верхняя граница 95%-ного интервала, % | Нижняя граница 95%-ного интервала, % | PHA, %, для Ldn (на основе [18]) | PHA, %, для Lden (на основе [18]) |
45 | 8,0 | 0,0 | 1,5 | 1,4 |
46 | 9,0 | 0,0 | 2,0 | 1,9 |
47 | 10,0 | 0,0 | 2,4 | 2,3 |
48 | 11,1 | 0,0 | 2,9 | 2,8 |
49 | 12,3 | 0,0 | 3,4 | 3,2 |
50 | 13,6 | 0,0 | 3,8 | 3,7 |
51 | 15,0 | 0,0 | 4,3 | 4,2 |
52 | 16,5 | 0,0 | 4,9 | 4,7 |
53 | 18,1 | 0,0 | 5,4 | 5,2 |
54 | 19,7 | 0,0 | 6,0 | 5,8 |
55 | 21,5 | 0,0 | 6,6 | 6,4 |
56 | 23,3 | 0,0 | 7,3 | 7,1 |
57 | 25,2 | 0,0 | 8,0 | 7,8 |
58 | 27,3 | 0,0 | 8,8 | 8,6 |
59 | 29,3 | 0,0 | 9,7 | 9,4 |
60 | 31,5 | 0,0 | 10,6 | 10,3 |
61 | 33,7 | 0,0 | 11,6 | 11,3 |
62 | 36,0 | 0,0 | 12,7 | 12,4 |
63 | 38,3 | 0,0 | 13,8 | 13,6 |
64 | 40,7 | 0,0 | 15,1 | 14,8 |
65 | 43,1 | 0,0 | 16,5 | 16,2 |
66 | 45,5 | 0,0 | 18,0 | 17,7 |
67 | 48,0 | 0,0 | 19,5 | 19,2 |
68 | 50,4 | 0,0 | 21,3 | 20,9 |
69 | 52,9 | 0,0 | 23,1 | 22,8 |
70 | 55,3 | 0,0 | 25,1 | 24,7 |
71 | 57,8 | 0,0 | 27,2 | 26,8 |
72 | 60,2 | 0,1 | 29,4 | 29,1 |
73 | 62,5 | 0,1 | 31,8 | 31,5 |
74 | 64,8 | 0,1 | 34,4 | 34,0 |
75 | 67,1 | 0,1 | 37,1 | 36,7 |
Нижеследующие формулы, основанные на
[15], описывают зависимости доли населения, испытывающего сильное раздражение от воздействия шума железнодорожного транспорта,
PHA, %, от значений
Ldn и
Lden, дБ. Зависимости построены по всему массиву данных наблюдений без разделения их на относящиеся к сильной или слабой вибрации, передаваемой от движущегося транспортного средства.
Для Lden зависимость имеет вид
PHA = 7,239·10-4(Lden - 42)3 - 7,851·10-3(Lden - 42)2 +
+ 0,170(Lden - 42). (F.7)
Для Ldn зависимость имеет вид
PHA = 7,158·10
-4(
Ldn - 42)
3 - 7,774·10
-3(
Ldn - 42)
2 +
+ 0,163(Ldn - 42). (F.8)
(справочное)
РЕАКЦИЯ НА ШУМ ОТ НЕСКОЛЬКИХ ИСТОЧНИКОВ
G.1 Общие положения
В настоящем приложении рассматриваются три наиболее общих подхода к оценке реакции населения на шум, создаваемый несколькими источниками:
метод комбинации событий. Данный метод исходит из того, что общее раздражение, связанное с действием нескольких источников, может быть определено через общий оценочный уровень, как описано в
6.4.2 и
6.5;
метод эквивалентного уровня. Данный метод исходит из того, что общее раздражение определяется суммарной мощностью всех источников звука, выражаемой через оценочные эквивалентные уровни звука.
На практике, когда поправки (см.
приложение A) представляют собой константы, эти два метода дают одинаковые результаты. Таким образом, методы различаются только в случае, когда поправки не являются постоянными (см.
приложение B);
метод громкости звука. В данном методе используется характеристика, не зависящая от типа и характера источников шума, а также от поправок, которые предполагается вносить согласно настоящему стандарту.
Вопросы применения данных методов еще находятся в стадии обсуждения, некоторые общие аспекты которого рассмотрены в разделах G.2 -
G.4.
G.2 Метод комбинации событий
В данном методе предполагается, что общее раздражение непосредственно может быть определено через общий оценочный уровень, получаемый по
формуле (4). В частности, можно рассчитать оценочный уровень для сочетания источников за полные сутки. С учетом соответствующих поправок на время дня и ночи может быть рассчитан оценочный уровень на интервале "день - ночь"
LRdn по
формуле (5). Так как в настоящем стандарте все источники шума сопоставляются с шумом автотранспортного потока, то в первом приближении для оценки доли населения, испытывающего сильное раздражение от действующего шума, могут быть применены
формулы (E.4) и
(E.5) или
(F.6) и
(F.5), а также таблицы
приложения E или
F в зависимости от выбранного подхода. Если выбран подход
приложения E, то в
формулу (E.4) следует вместо
Ldn подставить
LRdn, а в
формулу (E.5) -
LRden вместо
Lden или использовать соответствующую строчку в
таблице E.2. Если выбран подход
приложения F, то в
формулу (F.6) следует вместо
Ldn подставить
LRdn, а в
формулу (F.5) -
LRden вместо
Lden или использовать соответствующую строчку в
таблице F.2.
G.3 Метод эквивалентного уровня
В данном методе предполагается, что общее раздражение непосредственно определяется суммарной мощностью всех источников звука, выражаемой через оценочные эквивалентные уровни звука за какой-то представительный день. Данная модель предполагает, что субъект по отдельности накапливает (суммирует) раздражение от каждого источника, а затем "суммирует" эти суммы.
Для применения этого метода рекомендуется измерить уровень звукового воздействия каждого отдельного акустического события, связанного с одним источником шума, а затем суммировать по энергии эти воздействия. Соответствующая кривая зависимости реакции от уровня шума (для автотранспорта) позволяет определить по величине шума (например, по корректированному эквивалентному уровню звука) примерную оценку раздражения.
Чтобы распространить этот метод на случай нескольких источников, действуют следующим образом.
Сначала выполняют вышеописанную процедуру для каждого источника. Затем из всех источников выбирают один в качестве опорного и с помощью кривых зависимости реакции от уровня шума преобразуют уровень шума каждого источника в соответствующий уровень шума опорного источника таким образом, чтобы этим уровням соответствовало одно и то же значение PHA. Далее суммируют по энергии все преобразованные вклады от разных источников (включая собственный вклад опорного источника) и по зависимости реакции от уровня шума для опорного источника определяют суммарную оценку раздражения при воздействии множества источников. В указанных зависимостях в качестве меры уровня шума рекомендуется использовать эквивалентный уровень звука LAeq или его производные Ldn или Lden.
G.4 Метод громкости звука
Для оценки раздражения от воздействия шума могут быть также использованы расчетная громкость звука и корректированный уровень громкости звука. В расчетах используют логарифм по основанию 2, применяемый во всех случаях, когда прибегают к понятию громкости.
Метод с использованием корректированного уровня громкости вместо уровня звука для кривых равной громкости (см. ИСО 226) обеспечивает учет влияния амплитуды и частоты звука. Данный метод использует логарифм по основанию 10, как и при оценке уровня звука, сохраняя тем самым концепцию эквивалентного уровня звука и уровня звукового воздействия.
(справочное)
ТЕОРЕТИЧЕСКИЕ ОСНОВЫ ПРЕДСКАЗАНИЯ РОСТА ЖАЛОБ НА ШУМ
На
рисунке E.1 представлены данные исследований степени раздраженности людей в ответ на воздействие авиационного шума в форме доли населения, испытывающих сильное раздражение, в зависимости от
Lden. Совокупность этих данных имеет форму облака без четко выраженной формы. Кривые, подогнанные под эти данные, обычно слабо соответствуют их разбросу, что делает предсказательные интервалы очень большими. Так, при
Lden = 60 дБ предсказанная подогнанной кривой доля населения с высокой степень раздражения будет 16%, в то время как границы 95%-ного предсказательного интервала составляют 3% и 69%. Это слишком большой диапазон. Аналогом данной ситуации было бы, как если при запланированном времени вылета рейса 15 ч мы могли бы только сказать, что в 19 случаях из 20 вылет состоится в интервале между 12 и 22 ч. Такой большой разброс при обработке результатов исследований связан с отсутствием теории, которая объясняла бы вариативность полученных данных. Некоторые объяснения этой вариативности рассматриваются в настоящем приложении.
В
[7] и
[18] сделано предположение, что рост числа жалоб с увеличением эквивалентного уровня звука на интервале "день - ночь"
Ldn для шума разных видов транспорта имеет большое сходство с ростом громкости звука с поправкой на время его действия. Известно, что громкость растет пропорционально квадрату звукового давления, возведенному в степень 0,3. Но ощущение громкости усиливается только в течение доли секунды, а потом уже не зависит от продолжительности звука. И напротив, раздраженность сильным шумом прямо пропорциональна его продолжительности. Поэтому в
[7] и
[18] использовано значение
Ldn, чтобы сначала преобразовать его в квадрат звукового давления, а затем возвести в степень 0,3, сохранив при этом прямо пропорциональную зависимость от продолжительности шумового воздействия. Таким образом, по сути,
PHA предполагалось пропорциональным произведению громкости звука на время его действия. В
[7] и
[18] сделан вывод, что совокупность собранных данных хорошо объясняется указанной теорией. Теория описывает две трети вариабельности данных и указывает некоторые факторы, объясняющие эту вариабельность. Как результат, это позволяет лучше оценить разброс данных, чем простая подгонка кривых зависимости от
Ldn.
Примечание 1 - Точный прогноз громкости в соответствии с ИСО 532, ANSI/ASA S3.5 или DIN 45631 требует учета нескольких факторов. Однако в качестве первого приближения достаточно принять, что она растет пропорционально уровню звукового давления в степени 0.3.
В дополнение к предположению о связи доли сильно раздраженного населения с интегрированной по времени громкостью шума было сделано предположение относительно функции перехода от второй величины к первой. Выбранное функциональное соотношение в виде спадающей экспоненты является простейшим (однопараметрическим) видом функции перехода. Она предполагает, что при изменении звука от очень-очень тихого до очень-очень громкого, величина PHA растет от 0 (соответствует 0% раздраженного населения при очень-очень тихом звуке) до 100 (соответствует 100% раздраженного населения при предельно громком звуке).
Предсказание PHA основывается на семействе таких функций перехода, различающихся только масштабированием вдоль оси Ldn. В современной практике принято рассчитывать Lct с точностью до 0,1 дБ в диапазоне изменений, установленном пользователем. Однако в настоящем стандарте диапазон изменений Ldn определен границами 45 и 75 дБ. Пользователь должен понимать, что в методе, основанном на социально допустимом уровне шума Lct, происходит не подгонка кривой под данные, а, наоборот, подгонка данных под имеющуюся кривую. Другими словами, набор данных, полученных в ходе исследований, т.е. пары значений Ldn и PHA, сравниваются с семейством функций перехода. Та кривая Lct, которой данные отвечают в максимальной степени (по критерию максимального правдоподобия или наименьших квадратов), используется для определения Lct.
Представление PHA через функцию перехода имеет вид:

(H.1)
где m - доза шума в единицах квадрата давления.
Примечание 2 - В предыдущей формулировке прогнозной функции экспонента задавалась через скалярную величину
A, зависящую от рассматриваемой группы населения, и дозу шума
m. В представлении
формулы (H.1) форма прогнозной функции определяется единственным параметром
m, в то время как величина
Lct служит для сдвига прогнозной функции вдоль оси абсцисс с учетом специфики конкретной группы населения.
В
формуле (H.1) показатель степени 0,3 служит для преобразования квадрата давления в величину, пропорциональную громкости звука. Если общую дозу шума представить как

и подставить в
формулу (H.1), то получим выражение для доли населения, испытывающего сильное раздражение от транспортного шума, в виде

(H.2)
Здесь величина Lct выражена в тех же единицах, что и Ldn.
Примечание 4 - Численное значение
Lct выбрано таким образом, чтобы, с одной стороны, минимизировать сумму квадратов разностей между эмпирически наблюденными значениями
PHA и данными, предсказываемыми
зависимостью (H.2), и в то же самое время соответствовать значению
PHA = 50%. Константа 5,3 дБ в
формуле (H.2), точное значение которой будет 5,306 дБ, необходима именно для того, чтобы подогнать
Lct под значение
PHA = 50%. Выбор значения
PHA = 50% является произвольным. Вместо этого можно было взять, допустим
PHA = 10% или
PHA = 33,3%. Однако после того, как определение
Lct было дано (см.
3.6.6), данный уровень уже не может быть изменен.
Таким образом, можно считать, что теория прямо пропорциональной зависимости показателя жалоб населения PHA от произведения громкости звука на длительность его воздействия, подтверждается имеющимися экспериментальными данными. Однако Ldn не является той величиной, которая однозначно определяет степень раздраженности населения. В данном методе оставлена дополнительная свободная переменная Lct, позволяющая подогнать статистические данные для разных групп населения, источников шума и т.д.
На момент разработки настоящего стандарта еще отсутствовал теоретически обоснованный опубликованный метод, который позволял бы предсказывать значение
Lct для конкретной группы населения. На практике значение
Lct находят экспериментальным способом, подгоняя данные, т.е. пары значений (
Ldn,
PHA), полученные для людей данной группы методом социального опроса, под
формулу (H.2) методом наименьших квадратов. Рисунок H.1 иллюстрирует этот процесс на примере пар данных (
Ldn, P
HA), полученных в Австрии в ходе социологического анкетирования в отношении реакции на шум, создаваемый железнодорожным транспортом.
X - оценочный уровень шума на интервале "день - ночь"
Ldn, дБ; Y - доля населения, испытывающего сильное
раздражение от действия шума PHA, %; 1 - Lct = 64,3 дБ;
2 - Lct = 69,3 дБ; 3 - Lct = 74,3 дБ; 4 - Lct = 79,3 дБ
Примечание - Наилучшая подгонка (методом наименьших квадратов) данных под кривую данного вида была получена при Lct = 69,3 дБ. На рисунке показаны также кривые для значений Lct 64,3; 74,3 и 79,3 (т.е. с шагом 5 дБ).
Рисунок H.1 - Пример подгонки
экспериментальных данных под Lct-кривую
Примечание 5 - Хотя значение Lct в настоящее время теоретически предсказано быть не может, известен ряд факторов, влияющих на Lct. Эти факторы включают в себя привычку населения к шуму данного вида, вид населенного пункта (город, пригород, сельские поселения), вид шума (импульсный, тональный), характер изменения шума во времени.
Таблица H.1
Среднее значение Lct и стандартные отклонения
для разных источников транспортного шума
Источник шума и условия | Среднее Lct, дБ | Разность с шумом автотранспортного потока, дБ | Число обследований | Стандартное отклонение, дБ | 95%-ный предсказательный интервал, дБ |
Самолет | 73,3 | 5 | 43 | 7,1 | 73,3 +/- 14,2 |
Автотранспортный поток | 78,3 | 0 | 37 | 5,1 | 78,3 +/- 10,2 |
Поезд, низкая вибрация | 87,8 | -9,5 | 9 | 3,5 | 87,8 +/- 7,0 |
Поезд, сильная вибрация | 75,8 | 2,5 | 6 | 4,2 | 75,8 +/- 8,4 |
Одна из потенциальных возможностей использования Lct - численно характеризовать преимущества или недостатки тех или иных решений. Поскольку Lct является свободной переменной при подгонке данных, ее можно использовать для оценки, например, преимущества звукоизоляции жилого помещения, преимущества проживания на "тихой стороне" дома, разницы между "сильно раздраженным", "умеренно раздраженным" и "слегка раздраженным" населением, ущерба от плохих отношений внутри данной группы населения.
В дальнейшем следует ожидать возможность предсказывать
Lct на основе атрибутов, стандартов и условий для каждой конкретной ситуации оценки шума (см.
[18]).
(справочное)
СВЕДЕНИЯ О СООТВЕТСТВИИ ССЫЛОЧНЫХ МЕЖДУНАРОДНЫХ СТАНДАРТОВ
НАЦИОНАЛЬНЫМ И МЕЖГОСУДАРСТВЕННЫМ СТАНДАРТАМ
Таблица ДА.1
Обозначение ссылочного международного стандарта | Степень соответствия | Обозначение и наименование соответствующего национального, межгосударственного стандарта |
IEC 61672-1 | MOD | |
Примечание - В настоящей таблице использовано следующее условное обозначение степени соответствия стандарта: - MOD - модифицированный стандарт. |
| Общие вопросы |
[1] | ISO 226, Acoustics - Normal equal-loudness-level contours |
[2] | ISO 532 (all parts), Acoustics - Method for calculating loudness level |
[3] | ISO 1999, Acoustics - Estimation of noise-induced hearing loss |
[4] | ISO 9613 (all parts), Acoustics - Attenuation of sound during propagation outdoors |
[5] | ANSI/ASA S3.4, Procedure for the computation of loudness of steady sounds |
[6] | DIN 45631 and Amendment 1, Berechnung des  und der Lautheit aus dem  - Verfahren nach E. Zwicker (Calculation of loudness level and loudness from the sound spectrum - Zwicker method) |
| Fidell S., Mestre V., Schomer P., Berry B., Gjestland T., Vallet M. A first-principles model for estimating the prevalence of annoyance with aircraft noise exposure. J. Acoust. Soc. Am. 2011, 130 (2) pp. 791 - 806 |
| Finegold L.S., Harris C.S., von Gierke H.E. Community annoyance and sleep disturbance: Updated criteria for assessing the impacts of general transportation noise on people. Noise Control Eng. J. 1994, 42 (1) pp. 25 - 30 |
| Groothuis-Oudshoorn C.G.M., & Miedema H.M.E. Multilevel grouped regression for analyzing self-reported health in relation to environmental factors: the model and its application. Biom. J. 2006, 48 (1) pp. 67 - 82 |
| Janssen S.A., Vos H., van Kempen E.E.M.M., Breugelmans O.R.P., Miedema H.M.E. Trends in aircraft noise annoyance: the role of study and sample characteristics. J. Acoust. Soc. Am. 2011, 129 (4) pp. 1953 - 1962 |
| Kryter K.D. Community annoyance from aircraft and ground vehicle noise. J. Acoust. Soc. Am. 1982, 72 pp. 1212 - 1242 |
[12] | Kryter K.D. Effects of noise on man. Academic, New York, 1985 |
[13] | Lercher P. Deviant dose response curves for traffic noise in sensitive areas. Internoise 98, Christchurch, New Zealand, pp. 1141 - 1145 |
[14] | Miedema H.M.E., & Vos H. Exposure-response relationships for transportation noise. J. Acoust. Soc. Am. 1998, 104 (6) pp. 3432 - 3445 |
| Miedema H.M.E., & Oudshoorn C.G.M. Annoyance from transportation noise: Relationships with exposure metrics DNL and DENL and their confidence intervals. Environ. Health. 2001, 109 pp. 409 - 416 |
[16] | Miedema H.M.E. Relationship between exposure to multiple noise sources and noise annoyance. J. Acoust. Soc. Am. 2004, 116 pp. 949 - 957 |
[17] | Schomer P. Loudness-level weighting for environmental noise assessment. Acta Acustica. 2000, 86 (1) |
| Schomer P., Mestre V., Fidell S., Berry B., Gjestland T., Vallet M. Role of a community tolerance value in predictions of the prevalence of annoyance due to road and rail noise. J. Acoust. Soc. Am. 2012, 131 (4) pp. 2772 - 2786 |
| Schultz T.J. Synthesis of social surveys on noise annoyance. J. Acoust. Soc. Am. 1978, 64 (2) pp. 337 - 405 |
[20] | Sneddon M., Pearsons K., Fidell S. Laboratory study of the noticeability and annoyance of low signal-to-noise ratio sounds. Noise Control Eng. J. 2003, 51 (5) pp. 300 - 305 |
[21] | Viollon S., Marquis-Favre C, Junker F, Baumann C Environmental assessment of industrial noises annoyance with the criterion "sound emergence". International Congress on Acoustics. 2004 Th5.X1.1 pp. 3045 - 3048 |
| Yokoshima S., Yano T., Kawai K., Morinaga M., Ota A. Representative dose-response curves for individual transportation noises in Japan. Internoise, New York, 2012, pp. 1922. |
[23] | Vos J. Annoyance caused by simultaneous impulse, road-traffic, and aircraft sounds: A quantitative model. J. Acoust. Soc. Am. 1992, 91 (6) pp. 3330 - 3345 |
| Импульсный шум |
[24] | ISO 10843, Acoustics - Methods for the description and physical measurement of single impulses or series of impulses |
[25] | Berry B.F., & Bisping R. CEC joint project on impulse noise: Physical quantification methods. Proc. 5th Intl. Congress on Noise as a Public Health Problem. Stockholm, 1988 pp. 153 - 158 |
[26] | Buchta E. Annoyance caused by shooting noise - Determination of the penalty for various weapon calibers. Internoise 96, Liverpool, UK, pp. 495 - 2500 |
[27] | Buchta E., & Vos J. A field survey on the annoyance caused by sounds from large firearms and road traffic. J. Acoust. Soc. Am. 1998, 104 (5) pp. 2890 - 2902 |
[28] | NRC. Assessment of community response to high-energy impulsive sounds. Report of Working Group 84, Committee on Hearing, Bioacoustics and Biomechanics (CHABA), National Research Council, National Academy of Science, Washington, D.C., 1981, NTIS ADA110100 |
| NRC. Community response to high-energy impulsive sounds: An assessment of the field since 1981. Committee on Hearing, Bioacoustics and Biomechanics (CHABA), National Research Council, National Academy of Science. NTIS PB, Washington, D.C., 1996, pp. 97 - 124044. |
[30] | Schomer P.D. New descriptor for high-energy impulsive sounds. Noise Control Eng. J. 1994, 42 (5) pp. 179 - 191 |
[31] | Schomer P.D., & Sias J.W. Maglieri D. A comparative study of human response, indoors, to blast noise and sonic booms. Noise Control Eng. J. 1997, 45 (4) pp. 169 - 182 |
| Vos J. A review of research on the annoyance caused by impulse sounds produced by small firearms. Internoise 95, Newport Beach, USA, Vol. 2, pp. 875 - 878 |
[33] | Vos J. Comments on a procedure for rating high-energy impulse sounds: Analyses of previous and new data sets, and suggestions for a revision. Noise Vib. Worldwide. 2000, 31 (1) pp. 18 - 29 |
| Vos J. On the annoyance caused by impulse sounds produced by small, medium-large, and large firearms. J. Acoust. Soc. Am. 2001, 109 (1) pp. 244 - 253 |
| Поправки на тональный шум |
[35] | Scharf B., Hellman R., Bauer J. Comparison of various methods for predicting the loudness and acceptability of noise. Office of Noise Abatement and Control (U. S. Environmental Protection Agency, Washington D.C., 1977), NTIS PB81-243826 |
[36] | Scharf B., & Hellman R. Comparison of various methods for predicting the loudness and acceptability of noise, Part II, Effects of spectral pattern and tonal components. Office of Noise Abatement and Control (U. S. Environmental Protection Agency, Washington D.C., 1979), NTIS PB82-138702 |
| Низкочастотный шум |
[37] | ISO 7196, Acoustics - Frequency-weighting characteristic for infrasound measurements |
[38] | ANSI S12.9 Part 4, Quantities and procedures for description and measurement of environmental sound - Part 4: Noise assessment and prediction of long-term community response |
[39] | DIN 45680 and Supplement 1, Messung und Beurteilung tieffrequenter  (Measurement and assessment of low-frequency noise immissions) |
[40] | Broner N., & Leventhall H.G. Low frequency noise annoyance assessment by low frequency noise rating (LFNR) curves. J. Low Frequency Noise Vibration. 1983, 2 (1) pp. 20 - 28 |
[41] | Broner N., & Leventhall H.G. Annoyance loudness and unacceptability of higher level low frequency noise. J Low Frequency Noise and Vibration. 1985, 4 (1) pp. 1 - 11 |
[42] | Gottlob D.P.A. German standard for rating low-frequency noise immissions. Internoise 98, Christchurch, New Zealand |
[43] | Jakobsen J. Measurement and assessment of environmental low frequency noise and infrasound. Internoise 98, Christchurch, New Zealand, pp. 1199 - 1202 |
[44] | Mirowska M. Results of measurements and limits proposal for low frequency noise in the living environment. J. Low Frequency Noise and Vibration. 1995, 14 pp. 135 - 141 |
[45] | Piorr D., & Wietlake K.H. Assessment of low frequency noise in the vicinity of industrial noise sources. J. Low Frequency Noise and Vibration. 1990, 9 p. 116 |
[46] | Vercammen M.L.S. Low-frequency noise limits. J. Low Frequency Noise and Vibration. 1992, pp. 7 - 12 |
УДК 628.517.2:006.354 | | |
Ключевые слова: шум, шум на местности, население, раздражающее действие шума, виды шума, источники шума, поправки, социально допустимый уровень шума |