Главная // Актуальные документы // РуководствоСПРАВКА
Источник публикации
М.: Стройиздат, 1982
Примечание к документу
Название документа
"Руководство по расчету и проектированию шумоглушения вентиляционных установок"
"Руководство по расчету и проектированию шумоглушения вентиляционных установок"
ПО РАСЧЕТУ И ПРОЕКТИРОВАНИЮ ШУМОГЛУШЕНИЯ
ВЕНТИЛЯЦИОННЫХ УСТАНОВОК
Рекомендовано к изданию решением секции Строительной акустики НТС НИИСФ.
Даны допустимые уровни шума от систем вентиляции и кондиционирования воздуха, данные для определения звуковой мощности основных источников шума, акустического расчета вентиляционных систем, выбора глушителей, допустимых скоростей в элементах воздуховода и т.п.
Для работников проектных организаций, а также для инженерно-технических работников, занимающихся решением вопросов борьбы с шумом.
Разработано НИИ строительной физики Госстроя СССР совместно с ГПИ Сантехпроект Госстроя СССР при участии НИИСК.
| | ИС МЕГАНОРМ: примечание. Взамен ГОСТ 12.1.003-76 Постановлением Госстандарта СССР от 06.06.1983 N 2473 с 1 июля 1984 года введен в действие ГОСТ 12.1.003-83. | |
Настоящее Руководство разработано к главе
СНиП II-12-77 "Защита от шума" и в соответствии с ГОСТ 12.1.003-76.
Защита от шума строительно-акустическими методами вентиляционных систем с механическим побуждением и систем кондиционирования воздуха должна проектироваться на основании акустического расчета и предусматривать применение глушителей шума, звукопоглощающих облицовок, ограничение скоростей в воздуховодах и другие мероприятия.
В Руководстве указаны допустимые уровни шума (звукового давления) для вентиляционных установок, охарактеризованы основные источники шума и приведены данные для расчета их звуковой мощности, изложены общие принципы акустических расчетов установок вентиляции и кондиционирования воздуха, рассмотрены возможные мероприятия по снижению шума до величин, установленных нормами.
Методика акустических расчетов основана на определении уровней звукового давления, образующегося при работе вентиляционных установок в расчетных точках на постоянных рабочих местах или в рабочей зоне помещений, местах отдыха людей и т.п., определении необходимости снижения этих уровней шума и мероприятий по уменьшению уровней звукового давления до величин, допускаемых нормами.
Акустический расчет должен входить в состав проектов установок вентиляции, кондиционирования воздуха и воздушного отопления с механическим побуждением для зданий и сооружений различного назначения.
Руководство разработано НИИ стройфизики (кандидаты техн. наук Э.А. Лесков и Н.Н. Северина, инженеры З.Ф. Сорокина, М.Ю. Лешко и В.В. Зорин), ГПИ Сантехпроект (инж. Р.Г. Котляр), НИИСК (инж. Н.А. Трохименко).
1.1. Акустический расчет следует делать только для помещений с нормируемыми уровнями шума.
При акустическом расчете центральной установки вентиляции, кондиционирования воздуха и воздушного отопления следует рассматривать наиболее короткую ветвь воздуховодов. Если центральная установка обслуживает несколько помещений, для которых нормативные требования к шуму различны, то дополнительно следует проводить расчет для ветви воздуховодов, обслуживающей помещение с наименьшим допустимым уровнем шума.
1.2. Отдельно следует выполнять расчет для автономных отопительно-вентиляционных агрегатов, автономных кондиционеров, агрегатов воздушно-тепловых завес, местных отсосов, агрегатов установок воздушного душирования, которые ближе всего расположены к расчетным точкам.
Необходимо определять уровни шума на прилегающей территории от вентиляторов и воздуховодов, выходящих в атмосферу (всасывание и выброс воздуха установками).
1.3. Нельзя упускать из виду, что в случае установки центрального глушителя, значительно снижающего шум от вентилятора, при повышенных скоростях воздуха источниками генерации шума могут оказаться любые элементы вентиляционной сети, и прежде всего дросселирующие и воздухораспределительные устройства, повороты, тройники и т.п.
1.4. Акустический расчет следует делать для каждой из восьми октавных полос слышимого диапазона (для которых нормируются уровни шума) со среднегеометрическими частотами 63, 125, 250, 500, 1000, 2000, 4000, 8000 Гц.
Требуемые мероприятия по снижению шума в случае необходимости следует определять для каждого источника в отдельности.
Примечания. 1. Для центральных систем вентиляции, кондиционирования, воздушного отопления при наличии разветвленной сети воздуховодов (минимальное число ответвлений 3) расчет требуемого снижения шума вентиляторов допускается производить только для частот 125 и 250 Гц. Ответвлениями следует считать воздуховоды, заканчивающиеся воздухораспределительными устройствами.
2. Расчет шума, генерируемого воздухораспределительными, воздухорегулирующими и фасонными элементами воздуховодов, допускается производить только для частот 500 и 1000 Гц.
3. Все промежуточные расчеты выполняются с точностью до 0,5 дБ. Конечный результат округляется до целого числа децибел.
2. ДОПУСТИМЫЕ УРОВНИ ШУМА СИСТЕМ
ВЕНТИЛЯЦИИ И КОНДИЦИОНИРОВАНИЯ ВОЗДУХА
2.1. При выборе допустимых уровней шума для вентиляционных систем необходимо учитывать уровень как собственного шума в помещении, обусловленного нормальной рабочей активностью, так и шума в помещении от городского транспорта.
2.2. Уровни звукового давления в октавных полосах частот в дБ и уровни звука в дБА для шума, создаваемого в помещениях и на территориях, прилегающих к зданиям, системами вентиляции, кондиционирования воздуха и воздушного отопления, в соответствии со
СНиП II-12-77 следует принимать на 5 дБ ниже допустимых уровней шума для помещений зданий и прилегающей территории или фактических уровней шума в помещениях, если последние не превышают допустимых уровней звукового давления и не ниже 30 дБА.
В табл. 1 даны допустимые уровни шума систем вентиляции и кондиционирования воздуха с учетом поправки

.
N п.п. | Объект | Допустимые уровни звукового давления, дБ, в октавных полосах частот со среднегеометрическими частотами, Гц | Уровни звука, дБА |
63 | 125 | 250 | 500 | 1000 | 2000 | 4000 | 8000 |
1 | Палаты больниц и санаториев, операционные больниц | 46 | 34 | 26 | 19 | 15 | 12 | 9 | 8 | 20 |
2 | Жилые комнаты квартир, жилые помещения домов отдыха и пансионатов, спальные помещения в детских дошкольных учреждениях и интернатах | 50 | 39 | 30 | 24 | 20 | 17 | 15 | 13 | 25 |
3 | Кабинеты врачей больниц, санаториев, поликлиник, концертные залы, номера гостиниц, жилые комнаты в общежитиях | 54 | 43 | 35 | 29 | 25 | 22 | 20 | 18 | 30 |
4 | Территории больниц, санаториев, непосредственно прилегающие к зданию | 54 | 43 | 35 | 29 | 25 | 22 | 20 | 18 | 30 |
5 | Территории, непосредственно прилегающие к жилым домам, площадки отдыха микрорайонов, площадки детских дошкольных учреждений, участки школ | 62 | 52 | 44 | 39 | 35 | 32 | 30 | 28 | 40 |
6 | Классные помещения, аудитории учебных заведений, конференц-залы, читальные залы, зрительные залы театров, клубов, кинотеатров, залы судебных заседаний и совещаний | 58 | 47 | 40 | 34 | 30 | 27 | 25 | 23 | 35 |
7 | Рабочие помещения управлений, конструкторских и проектных организаций и научно-исследовательских институтов | 66 | 56 | 49 | 44 | 40 | 37 | 35 | 33 | 45 |
8 | Залы кафе, ресторанов, столовых, фойе театров и кинотеатров | 70 | 61 | 54 | 49 | 45 | 42 | 40 | 38 | 50 |
9 | Торговые залы магазинов, спортивные залы, пассажирские залы аэропортов и вокзалов, приемные пункты предприятий бытового обслуживания | 74 | 65 | 58 | 53 | 50 | 47 | 45 | 44 | 55 |
| Производственные помещения | | | | | | | | | |
10 | Помещения конструкторских бюро, расчетчиков и программистов вычислительных машин, лабораторий для теоретических работ и обработки экспериментальных данных, приема больных в здравпунктах | 66 | 56 | 49 | 44 | 40 | 37 | 35 | 33 | 45 |
11 | Помещения управления, рабочие комнаты | 74 | 65 | 58 | 58 | 50 | 47 | 45 | 44 | 55 |
12 | Кабины наблюдений и дистанционного управления: | | | | | | | | | |
| без речевой связи по телефону | 89 | 82 | 77 | 73 | 70 | 68 | 66 | 65 | 75 |
| с речевой связью по телефону | 78 | 69 | 63 | 58 | 55 | 52 | 50 | 49 | 60 |
13 | Помещения счетно-электронных машин и участки точной сборки, машинописные бюро | 78 | 69 | 63 | 58 | 55 | 52 | 50 | 49 | 60 |
14 | Помещения лабораторий для проведения экспериментальных работ, помещения для размещения шумных агрегатов вычислительных машин | 89 | 82 | 77 | 73 | 70 | 68 | 66 | 65 | 75 |
15 | Постоянные рабочие места и рабочие зоны производственных помещений и на территории предприятий | 94 | 87 | 81 | 78 | 75 | 73 | 71 | 69 | 80 |
Примечание. Требования к

, приведенные в
табл. 1, не относятся к комнатным кондиционерам, оконным осевым вентиляторам и т.п., которые работают периодически под контролем потребителя.
2.3. Поправки к этим уровням на время суток и место расположения объекта следует принимать по табл. 2.
Таблица 2
Влияющий фактор | Условия | Поправки к Lдоп, дБ |
Время суток | Ночное время с 23 до 7 ч | 0 |
Дневное время с 7 до 23 ч | +10 |
Местоположение объекта | Курортный район | -5 |
Новый проектируемый городской жилой район | 0 |
Жилая застройка, расположенная в существующей (сложившейся) застройке | +5 |
Примечания. 1. Поправки на время суток вносятся при определении допустимых уровней звукового давления и уровней звука для жилых комнат квартир, спальных помещений домов отдыха и пансионатов, спальных помещений в детских дошкольных учреждениях и школах-интернатах, палат больниц и спальных комнат санаториев, жилых комнат общежитий, номеров гостиниц, для территорий, непосредственно прилегающих к жилым домам, территорий больниц, санаториев, непосредственно прилегающих к зданиям.
2. Поправки на местоположение объекта следует учитывать только для внешних источников шума при определении допустимых уровней звукового давления и уровней звука для жилых комнат квартир, спальных помещений домов отдыха и пансионатов, спальных помещений в детских дошкольных учреждениях и школах-интернатах, палат больниц и спальных комнат санаториев, жилых комнат общежитий и номеров гостиниц.
3. Поправку на местоположение объекта не следует применять для вновь строящихся зданий в существующей (сложившейся) застройке.
3. ИСТОЧНИКИ ШУМА В ВЕНТИЛЯЦИОННЫХ
УСТАНОВКАХ И ИХ ШУМОВЫЕ ХАРАКТЕРИСТИКИ
3.1. Источниками шума в системах вентиляции, кондиционирования воздуха и воздушного отопления являются вентиляторы, кондиционеры, отопительные агрегаты, воздухорегулирующие устройства (дросселирующие устройства, шиберы, диафрагмы, клапаны, задвижки), воздухораспределительные устройства (решетки, плафоны, анемостаты), элементы воздуховодов (повороты, изменения поперечного сечения, разветвления), насосы, холодильные и воздушные компрессоры.
Кроме того, шум может передаваться по вентиляционным каналам из одного помещения в другое через ограждения и перекрытия.
На рис. 1 показаны основные источники шума в системах вентиляции и кондиционирования воздуха, а также пути распространения звука и вибрации.
Рис. 1. Типичные источники шума и пути его распространения
Вентиляторы
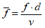
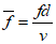
3.2. Основной источник шума в вентиляционных системах - вентилятор. Для правильной оценки акустических параметров вентилятора необходимо иметь шумовые (акустические) характеристики, определение которых предусматривается действующими стандартами и техническими условиями на вентиляторы.
3.3. Шумовые характеристики вентиляторов определяются по
ГОСТ 12.2.028-77, а электродвигателей - по ГОСТ 11929-66 и должны быть указаны в паспортах и каталогах вентиляционного оборудования, а при их отсутствии должны определяться расчетом по данным, приведенным в
пп. 3.4 -
3.7. Для вентилятора как источника шума характерно существование трех независимых путей распространения шума: по воздуховодам на всасывании и нагнетании и через стенки корпуса в пространство, окружающее вентилятор (вокруг вентилятора).
Радиальные (центробежные) и осевые вентиляторы
3.4. Октавные уровни звуковой мощности вентилятора, излучаемой:
а) в воздуховод всасывания или нагнетания следует определять по формуле

(1)
б) открытым входным или выходным патрубком вентилятора в помещение или в атмосферу следует определять по формуле

(2)
в) через стенки корпуса вентилятора в помещение или в атмосферу следует определять по формуле

(3)
где

,

- критерии шумности, дБ, зависящие от типа и конструкции вентилятора, величину которых соответственно для сторон всасывания, нагнетания и вокруг вентилятора следует принимать по
табл. 3;

- полное давление, создаваемое вентилятором, кгс/м
2;
Q - объемный расход воздуха вентилятора, м3/с;

- поправка на режим работы вентилятора, дБ, в зависимости от КПД вентилятора, приведена ниже:
КПД вентилятора

(0,91 - 1)

(0,8 - 0,9)

менее 0,8

;

- поправка, учитывающая распределение звуковой мощности вентилятора по октавным полосам частот, дБ, принимаемая в зависимости от типа и частоты вращения вентилятора по
табл. 4;

- поправка, дБ, учитывающая акустическое влияние присоединения воздуховода к вентилятору, определяемая по
табл. 5;

- частотная поправка, дБ, равная разнице потерь отражения звука от открытого конца патрубка всасывания или нагнетания вентилятора при его свободном расположении в помещении и заподлицо со стеной (как при акустических испытаниях вентиляторов) и определяемая по
табл. 6.
Вентилятор | Критерий шумности  , дБ, для сторон |
тип | N | диаметр рабочего колеса, % Дн <*> |
нагнетания | всасывания | вокруг вентилятора |
Радиальные | | | | |
Ц4-70 | 2,5; 3,2; 4; 5; 6,3; 8; 10; 12,5 | 90 - 100 | 53 | 50 | 51,5 |
105 | 56 | 52 | 54 |
Ц4-76 | 8; 10; 12; 16; 20 | 100 | 50 | 47 | 48,5 |
Ц14-46 | 2,5; 3,2; 4; 5; 6,3; 8 | 100 | 54 | 51 | 52,5 |
ВВД | 8; 9; 11 | 100 | 60 | 52 | 56 |
Ц10-28 | 2,5; 3,2; 4; 5 | 100 | 58 | 53 | 55,5 |
ЦП7-40 | 5; 6; 8 | 100 | 58 | 53 | 55,5 |
Осевой | | | | |
06-300 | 5; 6,3; 8; 10; 12,5 | 100 | 52 | 52 | 52 |
--------------------------------
<*>

- номинальный диаметр рабочего колеса вентилятора.
Тип и номер вентилятора | Частота вращения вентилятора, об/мин | Поправка  , дБ, при среднегеометрических частотах октавных полос, Гц |
63 | 125 | 250 | 500 | 1000 | 2000 | 4000 | 8000 |
Радиальные Ц4-70 N 2,5; 3,2; 4 | 930 - 1120 | 6 | 5 | 7 | 13 | 14 | 20 | 25 | 31 |
1370 - 1700 | 6 | 5 | 5 | 10 | 14 | 17 | 22 | 27 |
2800 - 3360 | 7 | 7 | 6 | 6 | 11 | 15 | 18 | 23 |
Ц4-70 N 5; 6,3; 8; 10; 12,5 Ц4-76 | 350 - 450 | 4 | 6 | 9 | 12 | 16 | 23 | 30 | 38 |
460 - 600 | 5 | 5 | 8 | 11 | 15 | 20 | 27 | 34 |
635 - 800 | 5 | 4 | 7 | 10 | 15 | 18 | 24 | 30 |
850 - 1000 | 6 | 5 | 5 | 9 | 11 | 16 | 22 | 28 |
1015 - 1290 | 6 | 5 | 4 | 8 | 11 | 15 | 19 | 27 |
1300 - 1620 | 7 | 6 | 5 | 8 | 11 | 15 | 19 | 25 |
Ц14-46 | 720 | 8 | 6 | 5 | 6 | 14 | 18 | 22 | 27 |
915 - 985 | 9 | 7 | 6 | 5 | 13 | 17 | 21 | 25 |
1360 - 1455 | 10 | 8 | 6 | 5 | 7 | 14 | 18 | 23 |
2815 - 2900 | 12 | 10 | 8 | 6 | 5 | 7 | 14 | 18 |
Ц10-28 | 2810 - 2940 | 12 | 4 | 11 | 8 | 9 | 10 | 14 | 18 |
ЦП-7-40 | 600 - 700 | 4 | 6 | 9 | 13 | 17 | 21 | 26 | 31 |
800 - 1400 | 6 | 6 | 6 | 9 | 13 | 17 | 21 | 26 |
1410 - 2600 | 9 | 6 | 6 | 6 | 9 | 13 | 17 | 21 |
ВВД | 600 - 700 | 4 | 6 | 9 | 13 | 17 | 21 | 26 | 31 |
800 - 1400 | 6 | 6 | 6 | 9 | 13 | 17 | 21 | 26 |
1410 - 1900 | 9 | 6 | 6 | 6 | 9 | 13 | 17 | 21 |
Осевые 06-300 | 700 - 1400 | 13 | 8 | 8 | 5 | 7 | 9 | 15 | 23 |
1410 - 2800 | 18 | 13 | 8 | 8 | 5 | 7 | 9 | 15 |
2810 - 2850 | 23 | 18 | 13 | 8 | 8 | 5 | 7 | 9 |
Диаметр воздуховода или корень квадратный из площади поперечного сечения конца прямоугольного воздуховода или решетки, мм | Снижение октавных уровней звуковой мощности  , дБ, при среднегеометрических частотах октавных полос, Гц |
63 | 125 | 250 | 500 | 1000 | 2000 | 4000 | 8000 |
25 | 24 | 22 | 19 | 15 | 10 | 6 | 2 | 0 |
50 | 22 | 19 | 15 | 10 | 5 | 2 | 0 | 0 |
80 | 20 | 16 | 11 | 7 | 3 | 0 | 0 | 0 |
100 | 19 | 14 | 10 | 5 | 2 | 0 | 0 | 0 |
125 | 18 | 13 | 8 | 4 | 1 | 0 | 0 | 0 |
140 | 16 | 12 | 8 | 4 | 1 | 0 | 0 | 0 |
160 | 16 | 11 | 7 | 3 | 0 | 0 | 0 | 0 |
180 | 15 | 11 | 6 | 2 | 0 | 0 | 0 | 0 |
200 | 14 | 10 | 6 | 2 | 0 | 0 | 0 | 0 |
225 | 14 | 9 | 5 | 1 | 0 | 0 | 0 | 0 |
250 | 13 | 8 | 4 | 1 | 0 | 0 | 0 | 0 |
280 | 12 | 8 | 3 | 1 | 0 | 0 | 0 | 0 |
315 | 11 | 7 | 3 | 0 | 0 | 0 | 0 | 0 |
350 | 11 | 6 | 2 | 0 | 0 | 0 | 0 | 0 |
400 | 10 | 5 | 2 | 0 | 0 | 0 | 0 | 0 |
450 | 8 | 5 | 1 | 0 | 0 | 0 | 0 | 0 |
500 | 8 | 4 | 1 | 0 | 0 | 0 | 0 | 0 |
560 | 8 | 3 | 1 | 0 | 0 | 0 | 0 | 0 |
630 | 7 | 3 | 1 | 0 | 0 | 0 | 0 | 0 |
710 | 6 | 2 | 0 | 0 | 0 | 0 | 0 | 0 |
800 | 5 | 2 | 0 | 0 | 0 | 0 | 0 | 0 |
900 | 5 | 2 | 0 | 0 | 0 | 0 | 0 | 0 |
1000 | 4 | 1 | 0 | 0 | 0 | 0 | 0 | 0 |
1250 | 3 | 0 | 0 | 0 | 0 | 0 | 0 | 0 |
1400 | 2 | 0 | 0 | 0 | 0 | 0 | 0 | 0 |
1600 | 2 | 0 | 0 | 0 | 0 | 0 | 0 | 0 |
2000 | 1 | 0 | 0 | 0 | 0 | 0 | 0 | 0 |
2500 | 0 | 0 | 0 | 0 | 0 | 0 | 0 | 0 |
Примечание. Данные настоящей таблицы относятся к случаю, когда воздуховод заканчивается заподлицо со стеной или потолком и расположен, как и воздухораспределительное устройство (решетка), на расстоянии двух диаметров воздуховода или более от других стен или потолка. Если воздуховод или воздухораспределительное устройство (решетка), заканчивающиеся заподлицо с ограждающими конструкциями, расположены ближе к другим ограждающим конструкциям помещения, то снижение октавных уровней звуковой мощности следует определять по данной таблице, принимая значение

в дБ для диаметра воздуховода, увеличенное вдвое.
Диаметр или размер стороны патрубка вентилятора, мм | Частотная поправка  , дБ, при среднегеометрических частотах октавных полос, Гц |
63 | 125 | 250 | 500 | 1000 | 2000 | 4000 | 8000 |
200 | 4 | 3 | 2 | 1 | 1 | 0 | 0 | 0 |
225 | 3 | 3 | 2 | 1 | 0 | 0 | 0 | 0 |
250 | 3 | 3 | 2 | 1 | 0 | 0 | 0 | 0 |
280 | 4 | 2 | 3 | 1 | 0 | 0 | 0 | 0 |
315 | 3 | 3 | 1 | 1 | 0 | 0 | 0 | 0 |
350 | 3 | 2 | 2 | 1 | 0 | 0 | 0 | 0 |
400 | 2 | 3 | 1 | 0 | 0 | 0 | 0 | 0 |
450 | 4 | 1 | 1 | 0 | 0 | 0 | 0 | 0 |
500 | 3 | 2 | 1 | 0 | 0 | 0 | 0 | 0 |
560 | 2 | 3 | 1 | 0 | 0 | 0 | 0 | 0 |
630 | 3 | 2 | 0 | 0 | 0 | 0 | 0 | 0 |
710 | 2 | 2 | 1 | 0 | 0 | 0 | 0 | 0 |
800 | 3 | 1 | 1 | 0 | 0 | 0 | 0 | 0 |
900 | 2 | 1 | 0 | 0 | 0 | 0 | 0 | 0 |
1000 | 2 | 1 | 0 | 0 | 0 | 0 | 0 | 0 |
1250 | 1 | 1 | 0 | 0 | 0 | 0 | 0 | 0 |
1400 | 2 | 1 | 0 | 0 | 0 | 0 | 0 | 0 |
1600 | 1 | 0 | 0 | 0 | 0 | 0 | 0 | 0 |
2000 | 1 | 0 | 0 | 0 | 0 | 0 | 0 | 0 |
Для облегчения расчетов на рис. 2 приведен график для определения значений

.
Рис. 2. График для определения значений

Формула (3) для определения звуковой мощности шума вентилятора в помещении, где он установлен, должна использоваться вместо
формулы (58) главы СНиП II-12-77, поскольку результаты расчета по
формуле (3) больше соответствуют результатам измерений уровня шума вокруг вентилятора.
3.5. Для осевых вентиляторов уровни звуковой мощности шума на всасывании и нагнетании ввиду симметрии потока могут быть приняты одинаковыми.
3.6. Уровень шума электродвигателя, клиноременного привода и подшипников при их исправном состоянии значительно ниже аэродинамического шума вентилятора, и его можно не учитывать.
Примечания. 1. Полученные по
формулам (1) -
(3) величины

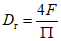
характеризуют звуковую мощность, излучаемую вентилятором при условии плавного подвода воздуха к входному патрубку. Условия плавного подвода воздуха к вентилятору обеспечиваются, когда на входе вентилятора имеется плавный коллектор или когда прямой участок воздуховода на стороне всасывания вентилятора при отсутствии дросселя имеет длину не менее

, где

- гидравлический диаметр прямого участка воздуховода, м; F - площадь поперечного сечения воздуховода, м
2; П - периметр воздуховода, м.
2. При неплавном подводе к входному патрубку вентилятора или при установке дросселя на прямом участке при длине воздуховода за ним менее

к величинам

, определенным по
формулам (1) -
(3), следует добавлять для осевых вентиляторов 8 дБ, для центробежных - 4 дБ.
Крышные вентиляторы
3.7. Октавные уровни звуковой мощности крышного вентилятора, излучаемой открытым патрубком нагнетания или всасывания в атмосферу или в помещение, следует определять по формуле

. (4)
При работе крышного вентилятора с сетью воздуховодов октавные уровни звуковой мощности, излучаемой входным патрубком в воздуховод, следует определять по формуле

, (5)
где

- отвлеченный уровень шума, дБ, зависящий от типа и конструкции вентилятора, т.е. уровень звуковой мощности, создаваемой вентилятором данного типа при диаметре рабочего колеса 1 м, окружной скорости 1 м/с при работе в заданной точке безразмерной аэродинамической характеристики вентилятора; величину

для сторон всасывания и нагнетания следует принимать по
табл. 7;
u - окружная скорость рабочего колеса, м/с;
D - диаметр рабочего колеса, м;

- поправка, учитывающая распределение звуковой мощности по октавным полосам частот, дБ, и принимаемая в зависимости от типа и частоты вращения вентилятора по
табл. 8;

- поправка, дБ, учитывающая акустическое влияние присоединения воздуховода к вентилятору и определяемая по
табл. 5.
Тип вентилятора | Отвлеченный уровень шума,  , дБ, для сторон |
нагнетания | всасывания |
Радиальные (центробежные) КЦ4-84 КЦ3-90 | 28 | 23 |
Осевые | 19 | 19 |
Тип вентилятора | Частота, вращения, об/мин | Поправка  , дБ, при среднегеометрических частотах октавных полос, Гц |
63 | 125 | 250 | 500 | 1000 | 2000 | 4000 | 8000 |
Радиальные КЦ4-84 КЦ3-90 | 400 - 480 | 5 | 4 | 8 | 10 | 16 | 23 | 28 | 33 |
570 | 7 | 4 | 6 | 9 | 15 | 21 | 26 | 31 |
920 - 950 | 11 | 5 | 4 | 8 | 10 | 16 | 23 | 28 |
Осевые | 720 - 920 | 7 | 6 | 6 | 9 | 12 | 16 | 21 | 29 |
1370 - 1400 | 9 | 7 | 6 | 6 | 9 | 13 | 17 | 23 |
Кондиционеры
3.8. Основным источником шума в центральных и местных кондиционерах является вентилятор, в автономных - вентилятор и компрессор.
При работе вентилятора возникает аэродинамический шум, вызываемый колебаниями скорости и давления в потоке, протекающем через вентилятор.
Основные источники шума в компрессорах - газодинамические процессы в газовых трактах, электродвигатели, клапаны и возникающие от них вибрации.
3.9. Октавные уровни звуковой мощности местных кондиционеров в помещении, где они установлены, создаваемые вентиляторами, следует определять для всасывания и нагнетания отдельно по
формуле (2) и значения полученных уровней суммировать по
табл. 11.
3.10. Октавные уровни звуковой мощности на стороне нагнетания для всех типов кондиционеров, кроме КТ-1,0-4,1 и КТ-1,0-4,3, приведены в табл. 9. Данные для шума всасывания этих типов кондиционеров следует принимать на 5 дБ ниже приведенных в таблице. Для кондиционеров типа КТ-1,0-4,1 и КТ-1,0-4,3 данные в таблице соответствуют суммарной мощности всасывания и нагнетания при их установке в помещении без сети воздуховодов.
Таблица 9
Тип кондиционера | Октавные уровни звуковой мощности кондиционеров, дБ, при среднегеометрических частотах октавных полос, Гц |
63 | 125 | 250 | 500 | 1000 | 2000 | 4000 | 8000 |
Кондиционеры местные неавтономные |
КНУ-18 на клиноременной передаче с муфтой | 90 | 100 | 101 | 103 | 104 | 104 | 103 | 97 |
90 | 100 | 106 | 104 | 109 | 107 | 108 | 103 |
Кондиционеры автономные |
КСИ-12А | 70 | 68 | 72 | 73 | 69 | 69 | 65 | 63 |
КСИ-12Б | 75 | 85 | 83 | 86 | 86 | 84 | 79 | 73 |
КС-25 | 80 | 82 | 80 | 74 | 77 | 72 | 67 | 61 |
КС-35 | 80 | 83 | 80 | 74 | 79 | 70 | 69 | 64 |
КС-50 | 82 | 86 | 88 | 83 | 81 | 77 | 73 | 65 |
КТА1-2,0-0,4А | 74 | 78 | 76 | 79 | 78 | 73 | 69 | 62 |
КТА1-2,0-0,4 | 76 | 82 | 76 | 77,5 | 76,5 | 66 | 65 | 60 |
КТА1-6,3-01 | 82 | 81 | 84 | 86 | 86 | 80 | 75 | 70 |
КТА1-10-01 | 88 | 85 | 88 | 91 | 93 | 93 | 79 | 74 |
КВ1-17 | 82 | 80 | 82 | 80 | 80 | 76 | 73 | 66 |
КТА1-4-01 | 80 | 80 | 80 | 80 | 81 | 76 | 73 | 66 |
КТА1-2,0-04Б | 74 | 76 | 78 | 77 | 76 | 70 | 66 | 60 |
Кондиционеры автономные крановые |
КТ-1,0-4,3 | 82 | 87 | 98 | 96 | 89 | 87 | 80 | 73 |
КТ-1,0-4,1 | 80 | 84 | 94 | 92 | 91 | 90 | 84 | 78 |
Кондиционеры автономные транспортные |
КТА2-053-01 | 64 | 65 | 68 | 63 | 61 | 56 | 54 | 49 |
Примечание. Кондиционеры КТА1-4-01, КТА1-2,0-0,4А, КТА1-2,0-04Б предназначены для замены старых моделей соответственно: КВ1-17; КТА1-2,0-0,4; КА-6А.
Отопительные агрегаты
3.11. К шуму отопительных агрегатов в соответствии с санитарными нормами предъявляются те же требования, ограничивающие величину уровня звукового давления, что и к системам вентиляции. Основным источником шума в отопительных агрегатах является вентилятор.
3.12. Октавные уровни звуковой мощности отопительно-рециркуляционных агрегатов приведены в табл. 10.
Таблица 10
Тип агрегата | Тип вентилятора | Октавные уровни звуковой мощности, дБ, при среднегеометрических частотах октавных полос, Гц |
63 | 125 | 250 | 500 | 1000 | 2000 | 4000 | 8000 |
АПВС 50/30 | МЦ | 86 | 95 | 99 | 98 | 94 | 86 | 77 | 70 |
АПВС 70/40 | МЦ | 82 | 91 | 91 | 92 | 88 | 81 | 72 | 68 |
АПВС 110/80 | МЦ | 90 | 96 | 97 | 96 | 90 | 85 | 76 | 69 |
АПВ-200/140 | МЦ | 92 | 96 | 97 | 98 | 91 | 86 | 75 | 70 |
АПВ-200/190 | МЦ | 93 | 97 | 98 | 99 | 92 | 88 | 76 | 72 |
ГСТМ-70 | МЦ | 84 | 86 | 89 | 89 | 86 | 81 | 75 | 67 |
СТД-100 | Ц3-04 | 90 | 96 | 93 | 96 | 88 | 82 | 72 | 67 |
СТД-300 М | Ц4-70 | 90 | 94 | 94 | 96 | 90 | 83 | 71 | 65 |
ГСТИ-200 | МЦ | 84 | 87 | 86 | 89 | 85 | 78 | 70 | 62 |
АО2-10-02УЗ | К-109-19 | 85 | 93 | 90 | 91 | 91 | 87 | 80 | 73 |
АОД2-10-02УЗ | К-109-19 | 85 | 91 | 92 | 91 | 89 | 84 | 79 | 69 |
АОУ2-10-02УЗ | К-109-19 | 85 | 98 | 86 | 88 | 87 | 83 | 78 | 70 |
3.13. Если в помещении одновременно работает несколько источников шума (вентиляторы, кондиционеры и т.д.) и требуется определить суммарный уровень звуковой мощности (например, при расчете звукоизоляции), то следует пользоваться формулой (6) или
табл. 11.

(6)
где

- уровень звуковой мощности одного источника, дБ;
n - число источников шума.
Разность двух складываемых уровней, дБ | 0 | 1 | 2 | 3 | 4 | 5 | 6 | 7 | 8 | 9 | 10 | 15 | 20 |
Добавка к более высокому уровню, необходимая для получения суммарного уровня, дБ | 3 | 2,5 | 2 | 1,8 | 1,5 | 1,2 | 1 | 0,8 | 0,6 | 0,5 | 0,4 | 0,2 | 0 |
Примечание. При пользовании таблицей следует последовательно складывать уровни, начиная с максимальных. Сначала следует определять разность двух складываемых уровней, затем - соответствующую этой разности добавку. После этого добавку следует прибавить к большему из складываемых уровней. Полученный уровень складывают со следующим по величине и т.д.
Суммарный уровень звуковой мощности

при работе n одинаковых источников определяют по формуле

(7)
3.14. При установке вентилятора в одном помещении с сетью воздуховодов и воздухоприемным или воздухораспределительным устройством определяют суммарный уровень звуковой мощности путем сложения шума самостоятельных источников:
шума вентилятора, распространяющегося по воздуховодам через воздухораспределительные или воздухоприемные устройства;
шума вентилятора, излучаемого открытым входным или выходным патрубком;
шума вокруг вентилятора, излучаемого через стенки его корпуса.
Шумообразование в элементах воздуховодов
3.15. После установки центрального глушителя, снижающего шум вентилятора до требуемого уровня, обычно начинает сильнее проявляться шум, генерируемый потоком в воздухорегулирующих, фасонных и воздухораспределительных элементах воздуховодов. Шум этих элементов, обусловленный пульсациями давления и скорости, зависит не только от скорости набегающего потока, коэффициента местного сопротивления, размеров и конструкции элемента, но также от степени турбулентности набегающего потока, равномерности скорости в поперечном сечении подводящего воздуховода и места расположения элемента в сети воздуховодов. Например, при плохих условиях входа потока в воздухораспределительное устройство уровень генерируемой звуковой мощности может увеличиться на 5 - 15 дБ.
При распространении по системе воздуховодов уровень шума этих устройств, так же как и шума вентилятора, значительно снижается. Поэтому в расчете в большинстве случаев следует учитывать только шум, создаваемый дросселирующими и воздухораспределительными устройствами, установленными на ответвлениях к рассматриваемому помещению.
Для снижения уровня шума в вентилируемых помещениях может потребоваться установка дополнительных глушителей на конечных ответвлениях.
Шумовые характеристики вышеперечисленных устройств, определенные экспериментально для конкретных условий их монтажа, должны приводиться в технических паспортах. При их отсутствии для ориентировочных расчетов можно пользоваться данными настоящего раздела.
Шумообразование в шиберах и дроссель-клапанах
3.16. Октавные уровни излучаемой в воздуховод звуковой мощности, генерируемой шибером или дроссель-клапаном, определяют по формуле

(8)
где v - скорость потока, набегающего на регулирующее устройство, м/с;

- коэффициент местного сопротивления регулирующего устройства, отнесенный к скорости v;
F - площадь поперечного сечения канала, м2;

- критерий подобия; величину

, дБ, определяют по графику
рис. 3 в зависимости от коэффициента местного сопротивления шибера или дроссель-клапана;

- поправка, дБ, на акустическое влияние присоединения воздуховода к дросселю, определяемая по
табл. 5;

- поправка на взаимное расположение фасонных элементов, дБ.
Если перед рассматриваемым элементом на расстоянии менее чем

расположен другой фасонный элемент, то турбулентность набегающего воздушного потока увеличивается и в результате уровни звуковой мощности, генерируемой потоком в элементе, возрастают дополнительно на 4 дБ. Если это расстояние более

, то

;

- частотная поправка, дБ, определяемая по графикам на
рис. 4 и
5 или по
табл. 12 в зависимости от величины параметра g:

(9)
где f - среднегеометрическая частота октавной полосы, Гц;
a - для шибера - отношение свободного (в свету) расстояния от кромки шибера до стенки канала к высоте канала в месте установки шибера; для дроссель-клапана - отношение угла закрытия дросселя к 360°;
v - скорость набегающего потока, м/с.
Рис. 3. Зависимость

от коэффициента местного
сопротивления шибера или дроссель-клапана
Рис. 4. Частотная поправка к общему уровню звуковой
мощности, генерируемой дроссель-клапаном
Рис. 5. Частотная поправка к общему уровню
звуковой мощности, генерируемой шибером
Источник шума | Поправка  , дБ, при g, равном |
0,2 | 0,4 | 0,8 | 1 | 2 | 4 | 8 | 10 | 20 | 40 | 80 | 100 | 200 | 400 | 600 | 800 |
Дроссель-клапан | 20 | 15 | 11 | 10 | 8 | 7 | 7,5 | 8 | 9,5 | 12 | 16 | 17 | 21 | 26 | 28 | 31 |
Шибер | 31 | 25 | 21 | 21 | 16 | 11,5 | 7,5 | 7 | 5,5 | 7 | 9 | 10 | 14 | 20 | 23 | 26 |
Рекомендации о месте установки регулирующих устройств
3.17. В воздуховоде за регулирующим устройством образуется замкнутая вихревая зона, на границе которой наблюдается интенсивный импульсный обмен между вихревой зоной и основным течением в канале в месте поджатия потока. В случае размыкания вихревой зоны импульсный обмен увеличивается, возникает противотечение в вихревую зону. Следствием этого является резкое увеличение уровня шума, генерируемого регулирующим устройством. Во избежание этого регулирующие устройства следует устанавливать в воздуховодах на достаточном расстоянии от выходных отверстий, ответвлений и разветвлений так, чтобы вихревая зона за устройством была замкнута.
Для определения длины замкнутой вихревой зоны за шибером следует пользоваться графиком рис. 6. Для дроссель-клапана использование этого графика также можно считать возможным, принимая во внимание, что полученные результаты будут приближенными.
Рис. 6. Определение длины замкнутой вихревой зоны l
а - шибер; б - дроссель-клапан; в - зависимость

для дроссель-клапана от угла закрытия

; г - зависимость
длины замкнутой вихревой зоны l от геометрических
соотношений шибера, дроссель-клапана и канала
Графический (приближенный) метод определения
октавных уровней звуковой мощности,
генерируемой шибером или дроссель-клапаном
3.18. Для определения уровней звуковой мощности, генерируемой шибером или дроссель-клапаном в присоединенный воздуховод, можно пользоваться номограммами рис. 7 и
8. Уровни шума, полученные по номограммам, учитывают присоединение регулирующих устройств к вентиляционной сети.
Рис. 7. Номограмма для определения октавных уровней
звуковой мощности, излучаемой в воздуховод шибером

Рис. 8. Номограмма для определения октавных
уровней звуковой мощности, излучаемой
в воздуховод дроссель-клапаном

Начинать следует в I квадранте. Порядок действия показан пунктиром. По оси абсцисс откладываем значения коэффициента местного сопротивления регулирующего устройства. Из полученной точки восстанавливаем перпендикуляр до пересечения с прямой интересующей частоты. Из точки пересечения проводим параллельно оси абсцисс прямую до пересечения с кривой скорости потока воздуха в канале (во II квадранте), откуда опускаем перпендикуляр в III квадрант до пересечения с кривой гидравлического диаметра

воздуховода, где установлено регулирующее устройство. Из этой точки проводим параллельно оси абсцисс прямую до пересечения с ординатой, на которой находим величину октавного уровня звуковой мощности.
Шумообразование в фасонных элементах
воздуховодов круглого сечения
3.19. На образование шума в фасонных элементах вентиляционной сети (крестовинах, тройниках, отводах) оказывает влияние соотношение скоростей потока в главном канале v и в ответвлении v', степень турбулентности потока, а также геометрическая форма (радиус поворота, отвода).
Октавный уровень излучаемой в воздуховод звуковой мощности, генерируемой крестовинами и тройниками на ответвлении и отводами круглого сечения, рассчитывают по формуле

(10)
где

- октавный уровень звуковой мощности, генерируемой элементом, определяется по номограмме
рис. 9 по заданному диаметру отвода D и отношению скоростей;

- поправка, дБ, учитывающая акустическое влияние присоединения воздуховода, определяется по
табл. 5;

- поправка, дБ, на отношение скоростей

, определяемая по
рис. 10;

- поправка, дБ, на геометрическое исполнение фасонного элемента, определяемая в зависимости от отношения радиуса закругления к диаметру отвода по
рис. 11;
Рис. 9. Номограмма для определения уровней
звуковой мощности шума, генерируемого воздушным
потоком в фасонных элементах воздуховодов
D - диаметр отвода; v' - скорость потока в отводе;
v - скорость в магистральном воздуховоде
Рис. 10. Поправка

, учитывающая влияние
соотношения скоростей в магистрали и в ответвлении
Рис. 11. Поправка

, учитывающая влияние
радиуса закругления поворота на шумообразование
Шумообразование в фасонных элементах
воздуховодов прямоугольного сечения
Тройники
3.20. Октавные уровни излучаемой в воздуховод звуковой мощности, генерируемой вентиляционными крестовинами, тройниками прямоугольного сечения для прохода и ответвления, определяют по формуле

, (11)
где K - частотный параметр, дБ, определяемый в зависимости от площади поперечного сечения ответвления

или прохода

тройника, м
2, и безразмерного числа Струхаля

по
рис. 12;

- число Струхаля определяют расчетом в зависимости от гидравлического диаметра

, м, скорости воздуха

, м/с, в магистральном воздуховоде тройника и частоты f, Гц, или по
рис. 13;
G - скоростная функция, дБ, определяемая в зависимости от отношения скоростей воздуха в ответвлении

и проходе

данного тройника по
рис. 14;
H - частотная поправка, дБ, определяется по
табл. 13 в зависимости от среднегеометрической частоты f, Гц;
Рис. 12. Номограмма для определения величины
частотного параметра K для тройников
Рис. 13. Номограмма для определения числа Струхаля
(пунктиром показан пример определения числа Струхаля)
Рис. 14. Номограмма для определения
величины параметра G для тройников
а - тройник с острыми кромками; б - тройник
с закругленными кромками;

- скорость воздуха
в магистральном воздуховоде;

- скорость воздуха в проходе
тройника;

- скорость воздуха в ответвлении тройника
Среднегеометрические частоты октавных полос, Гц | 63 | 125 | 250 | 500 | 1000 | 2000 | 4000 | 8000 |
Частотная поправка H, дБ | 16 | 19 | 22 | 25 | 28 | 31 | 34 | 37 |
Отводы
3.21. Октавные уровни излучаемой в воздуховод звуковой мощности, генерируемой отводами воздуховодов прямоугольного сечения, определяют по
формуле (11), но здесь для отводов K - частотный параметр, определяемый по рис. 15 в зависимости от безразмерного числа Струхаля (см.
рис. 13); G - скоростная функция, определяемая по
рис. 16 в зависимости от скорости воздуха

, м/с, и площади поперечного сечения отвода F, м
2; H - частотная поправка, определяемая в зависимости от частоты f по
табл. 13.
Рис. 15. Номограмма для определения величины
частотного параметра K для отводов
Рис. 16. Номограмма для определения параметра G для отводов
Шумообразование в воздухораспределительных
и воздухоприемных устройствах
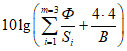
3.22. Октавные уровни звуковой мощности, генерируемой в приточных решетках типов P и PP, определяют по формуле

, (12)
где v - скорость воздуха в свободном сечении решетки, м/с;

- коэффициент местного сопротивления, отнесенный к скорости в свободном сечении решетки;
F - площадь свободного сечения решетки, м2;

- поправка, дБ, определяемая по
табл. 14 в зависимости от безразмерной частоты


, (13)
где f - среднегеометрическая частота октавной полосы, Гц;
d - характерный размер решетки, м (

, здесь F - площадь свободного сечения решетки, м
2);
v - скорость в свободном сечении решетки, м/с.
Примечание. Для воздухораспределительных устройств других типов следует пользоваться паспортными или опытными данными.
Частота | 1 | 2 | 3 | 4 | 6 | 10 | 20 | 30 | 40 | 50 | 60 | 80 | 100 | 150 | 200 | 300 | 400 | 500 | 700 | 900 |
Поправка  , дБ | 10 | 8 | 7,5 | 6,5 | 6 | 6 | 7,5 | 9,5 | 11 | 12,5 | 13,5 | 15,5 | 17,5 | 22 | 26 | 32 | 36,5 | 40 | 45,5 | 50 |
4. ОПРЕДЕЛЕНИЕ УРОВНЕЙ ЗВУКОВОГО ДАВЛЕНИЯ
В РАСЧЕТНЫХ ТОЧКАХ
4.1. Источники шума характеризуются октавными уровнями звуковой мощности - абсолютной характеристикой, практически не зависящей от внешних факторов. Санитарные нормы устанавливают допустимые уровни звукового давления (их можно измерить шумомером) в зависимости от назначения помещения для каждой из восьми октавных полос слышимого диапазона частот. Связь между звуковой мощностью и звуковым давлением аналогична соотношению между теплопроизводительностью нагревательного устройства и температурой воздуха в помещении.
4.2. В общем случае уровни звукового давления в помещении зависят от звуковой мощности и фактора направленности излучения источника шума, количества источников шума, от выбора расчетной точки (ее расположения относительно источника шума и ограждающих строительных конструкций), от размеров и акустических качеств помещения.
4.3. Расчетные точки следует выбирать внутри помещений на рабочих местах, ближайших к источникам шума, или в зоне постоянного пребывания людей (на высоте 1,2 - 1,5 м от уровня пола), а также на прилегающих территориях (например, на границе площадки отдыха).
Октавные уровни звукового давления L, дБ, в расчетных точках, если в помещение поступает шум от нескольких источников, следует определять для каждого источника отдельно (например, от вентиляторов - приточного и вытяжного, концевых дросселей, воздухораспределительных устройств и т.п.). Суммировать уровни звукового давления в случае необходимости следует, пользуясь
табл. 11.
Рассмотрим наиболее часто встречающиеся на практике варианты.
4.4. Источник шума (генерирующая шум решетка, плафон, автономный кондиционер и т.п.) находится в рассматриваемом помещении (см.
рис. 1).
Октавные уровни звукового давления, дБ, создаваемые в расчетной точке данным источником шума, следует определять по формуле

(14)
где

- октавный уровень звуковой мощности источника шума, дБ (определяется по данным
разд. 3);
Ф - фактор направленности излучения самого источника шума в направлении на расчетную точку, безразмерный (при отсутствии паспортных данных для решеток Ф принимается по кривым
рис. 17, в других случаях следует принимать Ф = 1);
S - площадь воображаемой поверхности сферы или ее части, окружающей источник и проходящей через расчетную точку, м2;
B - постоянная рассматриваемого помещения, м2.
Рис. 17. Фактор направленности Ф при излучении
шума из воздухораспределительной решетки
а - решетка в центре комнаты; б - решетка в центре стены;
в - решетка вблизи ребра; г - решетка вблизи угла;

- приведенный размер решетки, м; f - среднегеометрическая
частота, Гц; точка O - положение наблюдателя
При расположении источника шума в пространстве (например, на колонне в большом помещении)

(излучение в полную сферу), в средней части поверхности стены, перекрытия

(излучение в полусферу), в двугранном углу, образованном ограждающими конструкциями,

(излучение в 1/4 сферы), в трехгранном углу, образованном ограждающими конструкциями,

, где r - расстояние между акустическим центром источника и расчетной точкой, м.
Примечание. Акустический центр источника шума, расположенного на полу или стене, следует считать совпадающим с проекцией геометрического центра источника шума на горизонтальную или вертикальную плоскость.
Постоянную помещения B, м2, в октавных полосах частот следует определять по формуле

(15)
где

- постоянная помещения, м
2, на среднегеометрической частоте 1000 Гц, определяемая по
табл. 15 в зависимости от объема V, м
3, и типа помещения;

- частотный множитель, определяемый по
табл. 16.
Примечание. Для небольших помещений объемом до 120 м
3 и при расположении расчетной точки не менее чем на расстоянии 2 м от решетки и не менее чем 3 м от других источников шума (автономные кондиционеры и т.п.) можно октавные уровни звукового давления определять по формуле

(16)
Тип помещения | Помещения | Постоянная помещения B1000, м2 |
1 | С небольшим количеством людей (металлообрабатывающие цехи, вентиляционные камеры, генераторные и машинные залы, испытательные стенды и т.п.) | V --- 20 |
2 | С жесткой мебелью и большим количеством людей или с небольшим количеством людей и мягкой мебелью (лаборатории, ткацкие и деревообрабатывающие цехи, кабинеты и т.п.) | V --- 10 |
3 | С большим количеством людей и мягкой мебелью (рабочие помещения зданий управлений, залы конструкторских бюро, аудитории учебных заведений, залы ресторанов, торговые залы магазинов, залы ожидания аэропортов и вокзалов, номера гостиниц, классные помещения в школах, читальные залы библиотек, жилые помещения и т.п.) | V --- 6 |
4 | Помещения со звукопоглощающей облицовкой потолка и части стен | V ---- 1,5 |
Объем помещения V, м3 | Частотный множитель  для среднегеометрических частот октавных полос, Гц |
63 | 125 | 250 | 500 | 1000 | 2000 | 4000 | 8000 |
< 200 | 0,8 | 0,75 | 0,7 | 0,8 | 1 | 1,4 | 1,8 | 2,5 |
200 - 1000 | 0,65 | 0,62 | 0,64 | 0,75 | 1 | 1,5 | 2,4 | 4,2 |
> 1000 | 0,5 | 0,5 | 0,55 | 0,7 | 1 | 1,6 | 3 | 6 |
4.5. Несколько источников, генерирующих собственный шум воздухораспределительных устройств (решеток), одной вентиляционной системы или системы кондиционирования воздуха, находятся в рассматриваемом помещении.
Октавные уровни звукового давления, дБ, создаваемые в расчетной точке, следует определять по формуле

(17)
где

- октавный уровень звуковой мощности, дБ, генерируемой одним воздухораспределительным устройством (решеткой), определяемый в соответствии с
разд. 3 или по паспортным данным;
m - количество воздухораспределительных устройств (решеток), ближайших к расчетной точке, от одной системы вентиляции, кондиционирования воздуха или воздушного отопления (т.е. решеток, для которых

, здесь

- расстояние, м, от расчетной точки до акустического центра ближайшей решетки);
n - общее количество воздухораспределительных устройств (решеток) одной рассматриваемой системы;

,

- то же, что в
формуле (14) для i-го воздухораспределительного устройства (решетки);
4.6. Расчетная точка находится в вентилируемом помещении, которое надо изолировать от шума.
Шум от вентилятора или генерирующего шум дросселя, тройника и т.п. распространяется по воздуховодам систем и излучается в помещение через воздухораспределительные или воздухоприемные устройства (например, решетки или плафоны). Октавные уровни звукового давления в помещении определяют для каждого источника шума по формулам:
а) при проникновении шума в помещение через одно воздухораспределительное устройство

(18)
б) при проникновении шума в помещение через несколько воздухораспределительных устройств (решеток) одной системы

(19)
Примечания. 1. При расчете по
формуле (19) в

не следует включать снижение уровня звуковой мощности на несколько решеток в одном помещении, а при определении потерь отражения от открытого конца по
табл. 5 следует брать габаритную площадь одной решетки.
2. Расчет уровней звукового давления по
формулам (14) и
(17) -
(19) справедлив, если отношение меньшего размера помещения к большему не превышает 1:5. В других случаях (например, производственное помещение с большой площадью пола при небольшой высоте потолка) постоянную помещения B рекомендуется определять по
табл. 15 в зависимости от величины воображаемого объема V', определяемого по формуле

(20)
где h - меньший размер помещения, м;
b - второй по величине размер помещения, м, если b <= 5h.
Если b > 5h, то V' следует определять по формуле

(21)

(22)
где

- октавный уровень звуковой мощности источника шума (вентилятора, дроссель-клапана, тройника и т.п.), дБ, определяемый в соответствии с
разд. 3;

- суммарное снижение уровня (потери) звуковой мощности источника шума, дБ, в рассматриваемой октавной полосе частот по пути распространения шума в элементах сети до выхода в помещение через первую решетку, включая потери отражения от первой (по ходу звука) решетки;
Ф,

- фактор направленности излучения шума соответственно через воздухораспределительное или воздухоприемное устройство в направлении расчетной точки, безразмерный, определяемый для воздухораспределительных устройств (решеток) по графику
рис. 17, в остальных случаях - по опытным данным.
4.7. Расчетные точки находятся на прилегающей к зданию территории (например, площадке предприятия). Шум вентилятора распространяется по воздуховоду и излучается в окружающее пространство через решетку или шахту (см.
рис. 1) или непосредственно через стенки корпуса вентилятора или открытый патрубок при установке вентилятора снаружи здания.
Октавные уровни звукового давления в расчетных точках определяют по формуле

(23)
где

- октавный уровень звуковой мощности источника шума, дБ;

- суммарное снижение уровня звуковой мощности по пути распространения звука в воздуховоде в рассматриваемой октавной полосе, дБ;

- показатель направленности излучения звука, дБ, определяемый по
рис. 18;
r - расстояние от источника шума до расчетной точки, м;

- затухание звука в атмосфере, дБ/км, принимаемое по табл. 17.
Среднегеометрические частоты октавных полос, Гц | 63 | 125 | 250 | 500 | 1000 | 2000 | 4000 | 8000 |
 , дБ/км | 0 | 0,7 | 1,5 | 3 | 6 | 12 | 24 | 48 |
Примечания. 1. Октавные уровни звукового давления L, дБ, допускается определять по
формуле (23), если расчетные точки расположены на расстояниях r, м, больших удвоенного максимального размера источника шума.
2. При расстояниях r <= 50 м затухание звука в атмосфере в расчетах не учитывается.
Рис. 18. Показатель направленности излучения шума
при выходе его в атмосферу через выходные отверстия
шахт, решетки, жалюзи и подобные элементы
а - выпуск в одну сторону через жалюзи; б - выход в одну
сторону через решетку; в - равномерный выпуск во все
стороны через жалюзи; 1 - шахта (канал); 2 - жалюзи;
3 - воздухозаборная решетка; 4 - отверстия (проемы)
4.8. Источник шума находится в помещении. Шум проникает через канал, соединяющий два помещения.
Октавные уровни звукового давления, создаваемые данным источником шума в расчетной точке, находящейся в смежном помещении
(рис. 19), определяют по формуле

(24)
где

- октавный уровень звукового давления в помещении с источником шума, дБ, определяемый по
формуле (16);

- площадь решетки или решеток в помещении с источником шума, м
2;

- суммарное снижение уровня звуковой мощности по пути распространения звука в канале, дБ, в рассматриваемой октавной полосе частот, определяемое согласно
разд. 6;

- постоянная изолируемого от шума помещения, м
2, определяемая по
формуле (15).
Рис. 19. Схема расположения источника шума
и расчетной точки, находящихся в помещениях,
соединенных вентиляционным каналом
ИШ - источник шума; РТ - расчетная точка;
1 - вентиляционный канал; 2 - отводы
вентиляционного канала к помещениям;
3 - концевые устройства (плафоны, решетки)
4.9. Шум излучается источником в воздуховод. Расчетные точки находятся в помещении, по которому проходит "шумный" воздуховод, а шум в помещение проникает через стенки воздуховода. Октавные уровни звукового давления, дБ, определяют по формуле

(25)
где

- октавный уровень звуковой мощности источника шума, излучаемой в воздуховод, дБ;

- суммарное снижение уровней (потери) звуковой мощности по пути распространения звука от источника шума (вентилятора, дросселя и т.п.) до начала рассматриваемого участка воздуховода, излучающего шум в помещение, дБ (определяется в соответствии с
разд. 6);
S - площадь наружной поверхности участка воздуховода, через которую шум поступает в помещение, м2;
F - площадь поперечного сечения воздуховода, м2;

- звукоизолирующая способность стенок воздуховода, дБ, приведена в табл. 18 и
19;

- постоянная изолируемого помещения, м
2, определяемая по
формуле (15).
Материал воздуховода | Толщина материала, мм | Rв прямоугольных воздуховодов сечением не менее 0,25 м2, дБ, при среднегеометрических частотах октавных полос, Гц |
63 | 125 | 250 | 500 | 1000 | 2000 | 4000 | 8000 |
Сталь | 0,7 | 8 | 15 | 18 | 23 | 26 | 30 | 34 | 37 |
1 | 12 | 16 | 20 | 24 | 29 | 33 | 36 | 34 |
2 | 16 | 20 | 24 | 29 | 33 | 36 | 34 | 34 |
Сталь (1 мм) с облицовкой из минераловатных плит (  ) | 80 | | (20) | (26) | (30) | (34) | (38) | (42) | (45) |
Железобетон | 50 | 28 | 34 | 35 | 35 | 41 | 48 | 55 | 55 |
Кирпичная кладка | 130 | 32 | 39 | 40 | 43 | 48 | 54 | 60 | 60 |
Гипсобетонные плиты | 80 | (24) | 28 | 33 | 37 | 39 | 44 | 44 | - |
Керамзитобетонные плиты | 80 | (26) | 33 | 34 | 39 | 47 | 52 | - | - |
--------------------------------
<*> В скобках даны приблизительные значения.
Материал воздуховода | Толщина облицовки, мм | Rв круглых воздуховодов диаметром от 300 до 600 мм, дБ, при среднегеометрических частотах октавных полос, Гц |
63 | 125 | 250 | 500 | 1000 | 2000 | 4000 | 8000 |
Сталь  | - | | 24 | 28 | 29 | 24 | 24 | 22 | 29 |
То же, с облицовкой из асбестовой ткани | 5 | (38) | 31 | 36 | 36 | 34 | 34 | 39 | 48 |
То же, с облицовкой минераловатными плитами | 50 - 80 | (37) | 30 | 38 | 40 | 40 | 41 | 44 | 48 |
То же, с нанесением мастики ВД-17-59 | 6 | (35) | 32 | 32 | 35 | 34 | 32 | 35 | 34 |
--------------------------------
<*> В скобках приведены ориентировочные данные для воздуховодов диаметром менее 300 мм.
4.10. Воздуховод проходит через шумное помещение. Шум проникает через стенки в воздуховод и далее по нему в тихое помещение. Октавные уровни звукового давления в тихом помещении определяют по формуле

, (26)
где S - площадь поверхности воздуховода в пределах шумного помещения, м2;

- звукоизолирующая способность стенок воздуховода, дБ; определяемая по
табл. 18 и
19;

- суммарное снижение уровня звуковой мощности, дБ, по пути распространения звука от шумного до тихого помещений;

- постоянная изолируемого от шума тихого помещения, м
2, определяемая по
формуле (15);

- средний уровень звукового давления в шумном помещении в данной полосе частот, дБ, определяемый по формуле

(27)
где

- октавный уровень звуковой мощности отдельного источника шума, дБ;

- постоянная шумного помещения в данной октавной полосе, м
2.
Примечания. 1. Первый член в
формуле (27) можно определить по правилу сложения уровней, пользуясь
табл. 11.
2. Расчет уровней звукового давления по
формуле (27) справедлив, если отношение меньшего размера помещения к большему не превышает 1:5 (в других случаях см.
прим. 2 к п. 4.6).
4.11. Зная величину разности

для рассматриваемого помещения и допустимый уровень звукового давления

, можно ориентировочно определить допустимые уровни звуковой мощности от одного источника шума (например, плафона) для любой октавной полосы с учетом поправки на число источников шума одинаковой звуковой мощности n:

(28)
Для определения допустимого уровня звуковой мощности на одно приточное устройство из общего допустимого уровня звуковой мощности следует вычесть поправку, которая зависит от числа приточных устройств примерно одинаковой звуковой мощности (табл. 20).
Таблица 20
Число приточных устройств n | 2 | 3 | 4 | 8 | 10 | 20 |
Поправка 10lg n, дБ | 3 | 5 | 6 | 9 | 10 | 13 |
4.12. Формулы этого раздела получены на основе соответствующих формул главы
СНиП II-12-77 в предположении, что

источника шума и средний коэффициент звукопоглощения ограждений помещения составляет не более 0,3. При

и

расчет следует делать по
формулам (1) и
(3) указанной главы СНиП.
5. ОПРЕДЕЛЕНИЕ ТРЕБУЕМОГО СНИЖЕНИЯ ШУМА
5.1. Требуемое снижение октавных уровней звукового давления рассчитывают отдельно для каждого источника шума, но при этом учитывают общее число однотипных по спектру звуковой мощности источников шума и величины уровней звукового давления, создаваемых каждым из них в расчетной точке. В общем случае требуемое снижение шума для каждого источника должно быть таким, чтобы суммарные уровни во всех октавных полосах частот от всех источников шума не превышали допустимых уровней звукового давления. Контрольное сложение уровней можно сделать, пользуясь
табл. 11.
5.2. При наличии одного источника шума (например, автономного кондиционера) требуемое снижение уровней звукового давления

, дБ, в расчетной точке в помещении или на территории определяют по формуле

(29)
где L - уровень звукового давления в расчетной точке в рассматриваемой октавной полосе частот, создаваемый данным источником шума, дБ, определяемый в соответствии с
разд. 4;

- допустимый октавный уровень звукового давления, дБ, для систем вентиляции, кондиционирования воздуха и воздушного отопления, определяемый в соответствии с
разд. 2.
5.3. Требуемое снижение октавных уровней звукового давления

, дБ, в расчетной точке в помещении или на территории при наличии нескольких источников шума, отличающихся один от другого менее чем на 10 дБ, определяют для каждого источника в отдельности по формуле

(30)
где

- октавный уровень звукового давления, дБ, создаваемый рассматриваемым источником шума в расчетной точке;
n - общее количество принимаемых в расчет источников шума, определяемое в соответствии с пп. 5.4 и
5.5.
5.4. В общее количество источников шума n при определении требуемого снижения октавных уровней звукового давления

, дБ, в расчетных точках, расположенных на территории жилой застройки или на площадках промышленных предприятий, следует включать все источники шума, которые создают в расчетной точке октавные уровни звукового давления, отличающиеся менее чем на 10 дБ.
К источникам шума на прилегающей территории могут относиться открыто установленные вентиляторы, компрессоры и т.п., а также выбросные или воздухозаборные отверстия (проемы) каналов и шахт, излучающих шум в атмосферу.
5.5. При определении

, дБ, для расчетных точек в помещении, защищаемом от шума систем вентиляции, кондиционирования воздуха или воздушного отопления, в общее количество принимаемых в расчет источников шума следует включать:
при расчете требуемого снижения шума вентилятора (расчет центрального глушителя) приточной или вытяжной системы - количество систем с механическим побуждением, обслуживающих помещение с расчетной точкой; шум, генерируемый воздухораспределительными, воздухорегулирующими и фасонными элементами, при этом не учитывается, так как их спектры шума сильно отличаются и октавные уровни шума в помещении в результате этого не увеличиваются;
при расчете требуемого снижения шума, генерируемого воздухораспределительными устройствами одной вентиляционной системы (плафонами, решетками и т.п.), - количество систем вентиляции с механическим побуждением, обслуживающих рассматриваемое помещение; шум вентилятора, воздухорегулирующих и фасонных элементов при этом не учитывается;
при расчете снижения шума, генерируемого фасонными элементами и воздухорегулирующими устройствами рассматриваемого ответвления, - количество фасонных элементов и дросселей, уровни шума которых в данной октавной полосе отличаются один от другого менее чем на 10 дБ (например, тройников к ответвлению и дросселей, т.е. n = 2); шум вентилятора и решеток при этом не учитывается, но

увеличивается на 3 дБ.
Примечания. 1. В общем количестве принимаемых в расчет источников шума не учитываются дросселирующие и воздухораспределительные устройства, устанавливаемые в магистральных воздуховодах.
2. В общем количестве принимаемых в расчет источников шума не учитываются источники шума, создающие в расчетной точке в рассматриваемой октавной полосе уровни звукового давления меньшие, чем допустимые, на 10 дБ при их числе не более 3 и на 15 дБ меньше допустимых при их числе не более 10.
3. Требуемое снижение шума, генерируемого воздухораспределительными, воздухорегулирующими и фасонными элементами систем, допускается рассчитывать только для среднегеометрических частот 500 и 1000 Гц.
5.6. При определении по
формуле (23) октавных уровней звукового давления L, дБ, от различных источников шума для расчета требуемого снижения уровней звукового давления в расчетной точке по
формуле (30) допускается расстояния до источников шума принимать одинаковыми и равными среднему арифметическому

в случаях, когда

для разных источников шума.
Для одинаковых по излучаемой мощности источников шума в этом случае достаточно рассчитать требуемое снижение уровня звукового давления для одного источника, принимая

. Тогда требуемое снижение уровня звукового давления

будет одинаковым для всех источников шума.
5.7. В случае необходимости (например, для контрольной проверки) требуемое суммарное снижение октавных уровней звукового давления

в помещении при одновременной работе всех источников шума следует определять по формуле

(31)
где

- октавный уровень звукового давления в расчетной точке от всех источников шума, дБ, определяемый по
табл. 11 или измерением для эксплуатируемых зданий.
6. СНИЖЕНИЕ УРОВНЕЙ ЗВУКОВОЙ МОЩНОСТИ
ПО ПУТИ РАСПРОСТРАНЕНИЯ ШУМА В ВОЗДУХОВОДАХ
6.1. Снижение уровней (затухание) звуковой мощности источников шума, например вентилятора или дросселя, при прохождении по воздуховодам определяют последовательно для каждого элемента сети и затем суммируют. Следует иметь в виду, что даже в акустически не обработанных системах вентиляции собственное затухание обычно весьма значительно и его необходимо учитывать.
Суммарное снижение уровней звуковой мощности

, дБ, по пути распространения шума следует определять по формуле

(32)
где

- снижение октавных уровней звуковой мощности в отдельных элементах воздуховодов, дБ;

- общее количество элементов сети воздуховодов.
Примечание. Данные этого раздела относятся к затуханию без учета влияния потока. Шум, генерируемый потоком в фасонных элементах, следует учитывать по данным
разд. 3, а затухание его при распространении в воздуховодах - по данным настоящего раздела.
6.2. При распространении шума по прямым участкам воздуховодов их стенки начинают вибрировать под воздействием звуковых волн, и на низких частотах происходит заметное снижение уровней звуковой мощности, причем у прямоугольных каналов оно более высокое, чем у круглых.
Снижение октавных уровней звуковой мощности

, дБ, на 1 м длины в прямых участках металлических воздуховодов прямоугольного и круглого сечений следует принимать по табл. 21.
Примечания. 1. При наличии теплоизоляции на металлических воздуховодах данные таблицы следует увеличивать в два раза.
2. Снижением уровней звуковой мощности на прямых участках кирпичных и бетонных каналов из-за высокой жесткости их стенок можно пренебречь.
Поперечное сечение воздуховода | Гидравлический диаметр Dг, мм | Снижение уровней звуковой мощности, дБ, при среднегеометрических частотах октавных полос, Гц |
63 | 125 | 250 | 500 | 1000 | 2000 | 4000 | 8000 |
Прямоугольное | 75 - 200 | 0,6 | 0,6 | 0,45 | 0,3 | 0,3 | 0,3 | 0,3 | 0,3 |
210 - 400 | 0,6 | 0,6 | 0,45 | 0,3 | 0,2 | 0,2 | 0,2 | 0,2 |
410 - 800 | 0,6 | 0,6 | 0,3 | 0,15 | 0,15 | 0,15 | 0,15 | 0,15 |
810 - 1600 | 0,45 | 0,3 | 0,15 | 0,1 | 0,06 | 0,06 | 0,06 | 0,06 |
Круглое | 75 - 200 | 0,1 | 0,1 | 0,15 | 0,15 | 0,3 | 0,3 | 0,3 | 0,3 |
210 - 400 | 0,06 | 0,1 | 0,1 | 0,15 | 0,2 | 0,2 | 0,2 | 0,2 |
410 - 800 | 0,03 | 0,06 | 0,06 | 0,1 | 0,15 | 0,15 | 0,15 | 0,15 |
810 - 1600 | 0,03 | 0,03 | 0,03 | 0,06 | 0,06 | 0,06 | 0,06 | 0,06 |
6.3. На поворотах воздуховодов значительная часть энергии отражается обратно к источнику звука. В круглых каналах отражение меньше, чем в прямоугольных. Отражение может быть увеличено посредством звукопоглощающей облицовки стенок канала до и после поворота.
Снижение уровней звуковой мощности в прямоугольных необлицованных и облицованных поворотах воздуховодов определяют по табл. 22. При угле поворота меньше или равном 45° снижение уровней звуковой мощности не учитывают.
Место облицовки и ширина поворота D, мм | Снижение уровней звуковой мощности, дБ, при среднегеометрических частотах октавных полос, Гц |
63 | 125 | 250 | 500 | 1000 | 2000 | 4000 | 8000 |
Без облицовки: | | | | | | | | |
125 | 0 | 0 | 0 | 1 | 5 | 7 | 5 | 3 |
250 | 0 | 0 | 1 | 5 | 7 | 5 | 3 | 3 |
500 | 0 | 1 | 5 | 7 | 5 | 3 | 3 | 3 |
1000 | 1 | 5 | 7 | 5 | 3 | 3 | 3 | 3 |
2000 | 5 | 7 | 5 | 3 | 3 | 3 | 3 | 3 |
До поворота: | | | | | | | | |
125 | 0 | 0 | 0 | 1 | 5 | 8 | 6 | 8 |
250 | 0 | 0 | 1 | 5 | 8 | 6 | 8 | 11 |
500 | 0 | 1 | 5 | 8 | 6 | 8 | 11 | 11 |
1000 | 1 | 5 | 8 | 6 | 8 | 11 | 11 | 11 |
После поворота: | | | | | | | | |
125 | 0 | 0 | 0 | 1 | 6 | 11 | 10 | 10 |
250 | 0 | 0 | 1 | 6 | 11 | 10 | 10 | 10 |
500 | 0 | 1 | 6 | 11 | 10 | 10 | 10 | 10 |
1000 | 1 | 6 | 11 | 10 | 10 | 10 | 10 | 10 |
2000 | 6 | 11 | 10 | 10 | 10 | 10 | 10 | 10 |
До и после поворота: | | | | | | | | |
125 | 0 | 0 | 0 | 1 | 6 | 12 | 14 | 16 |
250 | 0 | 0 | 1 | 6 | 12 | 14 | 16 | 18 |
500 | 0 | 1 | 6 | 12 | 14 | 16 | 18 | 18 |
1000 | 1 | 6 | 12 | 14 | 16 | 18 | 18 | 18 |
Примечание. Данные справедливы, если длина облицованного участка составляет не менее 2D, а толщина облицовки равна 10% ширины D (см. эскиз). Для облицовок меньшей толщины длину облицованного участка следует пропорционально увеличивать.
Для эффективного затухания необходимо облицевать именно боковые стороны в плоскости поворота.
Для плавных поворотов и прямых колен с направляющими лопатками снижение уровней звуковой мощности указано в табл. 23.
Ширина поворота D, мм | Снижение уровней звуковой мощности  , дБ, при среднегеометрических частотах октавных полос, Гц |
63 | 125 | 250 | 500 | 1000 | 2000 | 4000 | 8000 |
125 - 250 | 0 | 0 | 0 | 0 | 1 | 2 | 3 | 3 |
260 - 500 | 0 | 0 | 0 | 1 | 2 | 3 | 3 | 3 |
510 - 1000 | 0 | 0 | 1 | 2 | 3 | 3 | 3 | 3 |
1100 - 2000 | 0 | 1 | 2 | 3 | 3 | 3 | 3 | 3 |
6.4. Снижение октавных уровней звуковой мощности

, дБ, при изменении поперечного сечения воздуховода следует, в зависимости от частоты и размеров поперечного сечения воздуховодов, определять:
а) при размерах поперечного сечения воздуховода, мм, меньших, указанных в
табл. 24, - по формуле

(33)
где

- отношение площадей поперечных сечений воздуховода, равное

(34)
(

и

- площади поперечного сечения воздуховода соответственно до и после изменения сечения по пути распространения звука, м
2);
б) при размерах поперечного сечения воздуховода, мм, равных или больше указанных в табл. 24, - по формулам

(при

); (35)

(при

). (36)
Среднегеометрические частоты октавных полос, Гц | 63 | 125 | 250 | 500 | 1000 | 2000 | 4000 | 8000 |
Меньший размер первого по ходу звука поперечного сечения воздуховода, мм | 5000 | 2500 | 1400 | 700 | 400 | 200 | 100 | 50 |
При плавном переходе воздуховода от одного сечения к другому снижение октавных уровней звуковой мощности не учитывают.
Например, если по пути распространения звука воздуховод сечением 200 x 300 мм резко переходит в воздуховод сечением 500 x 600 мм, то снижение октавных уровней звуковой мощности на частотах 63 - 1000 Гц находят по
формуле (33) и оно равно 2,5 дБ, а начиная с 2000 Гц - по
формуле (36) и оно равно нулю.
6.5. Снижение октавных уровней звуковой мощности

, дБ, после разветвления воздуховода следует определять по формуле

, (37)
где

- отношение площадей сечений воздуховодов, равное
здесь

- площадь поперечного сечения воздуховода рассматриваемого ответвления, м
2;
F - площадь поперечного сечения воздуховода перед разветвлением, м2;

- суммарная площадь поперечных сечений воздуховодов всех ответвлений, м
2.
Формула (37) учитывает затухание за счет разделения звуковой мощности по ответвлениям и потери, обусловленные внезапным изменением площади поперечного сечения.
Если воздуховод рассматриваемого ответвления в разветвлении повернут на 90°, то к снижению октавных уровней звуковой мощности в разветвлении, рассчитываемому по
формуле (37), необходимо добавить снижение октавных уровней звуковой мощности в повороте.
6.6. Когда воздух выходит в помещение через открытый конец воздуховода или вентиляционную решетку, то при этом на выходе происходит отражение звука. Снижение уровней звуковой мощности зависит от частоты, поперечного сечения решетки или воздуховода и от расположения выходного отверстия относительно ограждений помещения.
Снижение октавных уровней звуковой мощности

, дБ, в результате отражения звука от открытого конца воздуховода или решетки дано в
табл. 5 - для расположения заподлицо со стеной и в табл. 25 - для случая, когда воздуховод (решетка) свободно выступает в помещение или атмосферу.
Диаметр воздуховода или корень квадратный из площади прямоугольного воздуховода или решетки, мм | Снижение октавных уровней звуковой мощности, дБ, в результате отражения от открытого конца воздуховода или решетки, выступающих в помещение или атмосферу, при среднегеометрических частотах октавных полос, Гц |
63 | 125 | 250 | 500 | 1000 | 2000 | 4000 | 8000 |
25 | 37 | 31 | 25 | 19 | 13 | 8 | 3 | 0 |
50 | 31 | 26 | 20 | 14 | 8 | 4 | 0 | 0 |
80 | 26 | 20 | 14 | 8 | 4 | 1 | 0 | 0 |
100 | 24 | 18 | 13 | 8 | 3 | 0 | 0 | 0 |
125 | 22 | 16 | 11 | 6 | 2 | 0 | 0 | 0 |
140 | 21 | 15 | 10 | 6 | 2 | 0 | 0 | 0 |
160 | 20 | 14 | 10 | 4 | 1 | 0 | 0 | 0 |
180 | 19 | 14 | 8 | 4 | 1 | 0 | 0 | 0 |
200 | 18 | 13 | 8 | 3 | 1 | 0 | 0 | 0 |
225 | 17 | 12 | 7 | 2 | 0 | 0 | 0 | 0 |
250 | 16 | 11 | 6 | 2 | 0 | 0 | 0 | 0 |
280 | 16 | 10 | 6 | 2 | 0 | 0 | 0 | 0 |
315 | 14 | 10 | 4 | 1 | 0 | 0 | 0 | 0 |
350 | 14 | 8 | 4 | 1 | 0 | 0 | 0 | 0 |
400 | 12 | 8 | 3 | 0 | 0 | 0 | 0 | 0 |
450 | 12 | 6 | 2 | 0 | 0 | 0 | 0 | 0 |
500 | 11 | 6 | 2 | 0 | 0 | 0 | 0 | 0 |
560 | 10 | 6 | 2 | 0 | 0 | 0 | 0 | 0 |
630 | 10 | 5 | 1 | 0 | 0 | 0 | 0 | 0 |
710 | 8 | 4 | 1 | 0 | 0 | 0 | 0 | 0 |
800 | 8 | 3 | 1 | 0 | 0 | 0 | 0 | 0 |
900 | 7 | 3 | 0 | 0 | 0 | 0 | 0 | 0 |
1000 | 6 | 2 | 0 | 0 | 0 | 0 | 0 | 0 |
1250 | 4 | 1 | 0 | 0 | 0 | 0 | 0 | 0 |
1400 | 4 | 1 | 0 | 0 | 0 | 0 | 0 | 0 |
1600 | 3 | 0 | 0 | 0 | 0 | 0 | 0 | 0 |
2000 | 2 | 0 | 0 | 0 | 0 | 0 | 0 | 0 |
2500 | 0 | 0 | 0 | 0 | 0 | 0 | 0 | 0 |
6.7. Снижение уровней звуковой мощности в сетчатых фильтрах не учитывают.
6.8. Снижение уровней звуковой мощности в калориферах и воздухоохладителях принимают равным 1,5 дБ.
6.9. Суммарное снижение уровней звуковой мощности в секциях центральных кондиционеров или типовых приточных камер можно принимать

на всех частотах.
7. ПРОЕКТИРОВАНИЕ ГЛУШИТЕЛЕЙ
7.1. В системах вентиляции и кондиционирования воздуха целесообразно применять только глушители со звукопоглощающим материалом, поскольку вентиляторы имеют широкополосный спектр шума. Рекомендуется применять трубчатые, пластинчатые и камерные глушители (рис. 20), а также облицованные изнутри звукопоглощающими материалами воздуховоды и повороты.
Рис. 20. Схема конструкций глушителей
а - пластинчатый с крайними пластинами; б - пластинчатый
без крайних пластин; в - трубчатый прямоугольного сечения;
г - трубчатый круглого сечения; д - камерный; 1 - кожух
глушителя; 2 - звукопоглощающая пластина; 3 - каналы
для воздуха; 4 - звукопоглощающая облицовка; 5 - внутренняя
перегородка; A - расстояние между пластинами; B - толщина
пластин; H,

- размеры воздуховода; C - толщина
облицовки воздуховода; D - диаметр воздуховода
Конструкции глушителей следует подбирать в зависимости от размеров воздуховода, допустимой скорости воздушного потока, требуемого снижения октавных уровней звукового давления и располагаемого места для установки глушителя.
Шумоглушители необходимы как на стороне нагнетания, так и на стороне всасывания.
Рабочие чертежи конструкций трубчатых и пластинчатых глушителей и их акустические характеристики приведены в типовом альбоме "Шумоглушители вентиляционных установок" (Центрального института типовых проектов, серия 4.904-18/76).
Серийное изготовление пластинчатых глушителей по СТП-СПВ-2.1-77 налажено Новосибирским заводом вентиляционных заготовок треста Сибпромвентиляция, технологическая конструкция трубчатых глушителей разработана и освоена трестом Сантехмонтаж-62 (Ленинград).
В настоящее время прошла проверку на практике новая конструкция глушителей - треугольно-призматических (рис. 21), изготовляемых по ТУ 401-07-48-77 заводом N 4 Сантехоборудование треста Сантехмонтаж-62 (Ленинград).
Рис. 21. Шумоглушители треугольно-призматические
1 - звукопоглощающий материал;
2 - канал для прохода воздуха
Измерение акустической эффективности глушителей должно выполняться в соответствии с ГОСТ 23793-79 "Шум. Методы измерения снижения шума глушителями систем вентиляции, кондиционирования воздуха и воздушного отопления".
7.2. В общем случае трубчатые глушители следует применять при размерах воздуховодов до 500 x 500 мм (D = 500 мм). При

размерах воздуховодов целесообразнее пластинчатые, треугольно-призматические или камерные глушители.
7.3. Пластинчатые глушители следует проектировать из звукопоглощающих пластин, устанавливаемых параллельно направлению потока на некотором расстоянии одна от другой в общем кожухе. Толщину пластин следует принимать по табл. 26.
Средняя частота октавной полосы, Гц, требуемое снижение уровней звукового давления в которой является определяющим при выборе длины глушителя | Толщина пластин, мм |
средних | крайних |
63 | 800 | 400 |
125 | 400 | 200 |
250 | 200 | 100 |
500 и выше | 100 | 50 |
Эффективность пластинчатого глушителя не зависит от количества пластин и каналов для воздуха и высоты пластин, а также от схемы компоновки глушителя (см.
рис. 20, а и б).
Для снижения стоимости центрального глушителя предпочтение следует отдавать глушителям без крайних пластин.
7.4. Необходимую длину пластинчатых и трубчатых глушителей можно определять (подбирать) в зависимости от частотной характеристики требуемого снижения уровней звукового давления по альбому ЦИТП или по уточненным данным о снижении уровней звуковой мощности глушителями, приведенным в
табл. 2 -
4 Прил. 1.
В большинстве случаев длина глушителя не должна превышать 2 м. Длина глушителя более 3 м нецелесообразна из-за неизбежных косвенных путей распространения шума. В тех случаях, когда требуемая длина более 3 м, следует делить глушитель на две части. Длина воздуховода между частями глушителя должна составлять 800 - 1000 мм. Во избежание распространения звука по металлическому воздуховоду желательно на этом участке устанавливать гибкую вставку длиной 100 - 150 мм.
7.5. Основные размеры изготовляемых секций треугольно-призматических глушителей приведены в табл. 27, а снижение уровней звуковой мощности глушителями - в
табл. 28.
Таблица 27
Шифр шумоглушителя | Размеры, мм |
длина | ширина | высота |
ШС-01 | 520 | 1010 | 1000 |
ШС-02 | 520 | 1010 | 445 |
ШС-03 | 520 | 510 | 1000 |
Звукопоглощающая конструкция | Длина глушителя, м | Снижение уровня звуковой мощности в треугольно-призматических глушителях, дБ, при среднегеометрической частоте, Гц |
63 | 125 | 250 | 500 | 1000 | 2000 | 4000 | 8000 |
Маты СТВ-15, стеклоткань | 1 | 4 | 6 | 12 | 19 | 23 | 15 | 9 | 8,5 |
Э2-80 и просечно-вытяжная сетка | 2 | 6 | 10 | 20 | 31 | 37 | 24 | 14 | 13 |
3 | 8 | 13 | 28 | 40 | 49 | 30 | 19 | 16 |
Шум, генерируемый потоком воздуха в треугольно-призматических глушителях, не превышает уровней шума потока в пластинчатых глушителях той же площади поперечного сечения (см.
п. 7.9).
7.6. Снижение уровней звуковой мощности в поворотах, облицованных изнутри звукопоглощающим материалом, следует определять по данным
табл. 22.
7.7. В случаях, когда из-за недостатка места устанавливается глушитель, не обеспечивающий требуемое снижение шума, рекомендуется дополнительно применять внутреннюю облицовку воздуховода звукопоглощающим материалом.
В облицованных каналах с поперечными размерами 0,5 x 0,5 м и более снижение уровней звуковой мощности определяют по формуле

(38)
где

- затухание на 1 м длины, дБ;

- поправка, учитывающая дополнительные потери на входе, дБ, и определяемая по
табл. 5 Прил. 1;
l - длина облицованного канала, м.
Снижение уровней звуковой мощности в облицованных воздуховодах небольшого размера следует принимать по данным для трубчатых глушителей соответствующего размера (см.
табл. 3 и
4 Прил. 1).
7.8. Необходимое свободное сечение глушителя определяют из соотношения

(39)
где Q - объемный расход воздуха через глушитель, м3/с;

- допустимая скорость воздуха в глушителе, м/с, зависящая от располагаемых потерь давления, конструкции защитного покрытия звукопоглотителя и уровня звуковой мощности собственного шумообразования в глушителе при движении бесшумного потока воздуха.
Воздушный поток, проходя через глушитель, генерирует так называемый собственный шум глушителя. Уровень звуковой мощности собственного шума зависит от конструкции глушителя, его размеров и скорости набегающего потока.
Если снижение уровней звуковой мощности в глушителе велико (например, при длине 3 м), то уровень звуковой мощности от вентилятора за глушителем может оказаться сопоставимым с уровнем звуковой мощности шумообразования в самом глушителе.
Чем дальше от помещения устанавливается глушитель, тем большую скорость воздуха можно принять при определении требуемой площади его поперечного сечения.
7.9. В общем случае допустимую скорость воздуха в глушителе следует выбирать в зависимости от располагаемых потерь давления и допустимого уровня звуковой мощности шумообразования в самом глушителе. При этом величину

определяют по формуле

(40)
где

- октавный уровень звуковой мощности на входе в глушитель, дБ;

- требуемое снижение октавного уровня звуковой мощности, дБ (см.
разд. 5).
Данные о собственном шумообразовании в глушителях с пластинами 100 и 200 мм при излучении шума в воздуховод сведены в
табл. 6 Прил. 1.
Значения уровней звуковой мощности, приведенные в
табл. 6 Прил. 1, получены экспериментально для сечения 0,5 x 0,8 = 0,4 м
2. Для других сечений на всех частотах следует вводить поправку

, где F - площадь сечения устанавливаемого глушителя, м
2.
Значения поправки

для различных сечений глушителей приведены в
табл. 8 Прил. 1.
Шумообразование в треугольно-призматических глушителях можно ориентировочно определять по данным для пластинчатых глушителей одинаковой площади поперечного сечения.
Шумообразование в трубчатых глушителях следует определять по данным для пластинчатых глушителей с обтекателями на входе с эквивалентным периметром звукопоглощающих поверхностей поперечного сечения.
Примечания. 1. Для предупреждения выдувания стекловолокнистого материала

в глушителе не должна превышать 15 м/с.
2. Если глушитель устанавливается на конечном участке воздуховода перед помещением, то допустимую скорость воздуха можно ориентировочно принимать в зависимости от допустимого уровня звука в помещении по табл. 29.
3. Для центральных глушителей допустимая скорость может быть вдвое больше данных табл. 29.
Допустимый уровень звука в помещении, дБА | 30 | 40 | 50 | 55 | 80 |
Допустимая скорость воздуха, м/с | 4 | 6 | 8 | 10 | 15 |
7.10. В некоторых случаях допускается производить расчет требуемого снижения шума для самого дальнего ответвления воздуховодов и подбирать соответствующий центральный глушитель, а на ближайших ответвлениях воздуховодов к тихим помещениям устанавливать вспомогательные глушители меньшего поперечного сечения. Вспомогательные глушители, кроме того, предупреждают передачу шума из помещения в помещение по воздуховодам.
Рекомендуемые звукопоглощающие материалы для приточных и вытяжных систем приведены в
табл. 1 Прил. 1.
7.11. Для защиты звукопоглощающего материала глушителей от выдувания потоком воздуха при скоростях до 15 м/с без ухудшения звукопоглощения в приточных системах наиболее предпочтительно применять защитное покрытие, состоящее из перфорированного стального или алюминиевого листа толщиной 0,5 - 1 мм (диаметр отверстий 5 - 6 мм, шаг 10 - 12 мм) и тонкого слоя толщиной 3 - 5 мм мягкого войлока марки А из поливинилхлоридных (ПВХ) волокон, изготовляемого по ТУ-РСФСР 17-3941-76 Горьковским производственным валяльно-войлочным объединением (г. Бор Горьковской обл.).
| | ИС МЕГАНОРМ: примечание. Взамен ГОСТ 19907-74 Постановлением Госстандарта СССР от 03.02.1983 N 622 с 1 января 1984 года введен в действие ГОСТ 19907-83. ГОСТ 19907-83 утратил силу с 1 июня 2016 года в связи с введением в действие ГОСТ 19907-2015 (Приказ Росстандарта от 06.07.2015 N 857-ст). | |
Допускается замена перфорированного листа стальной сеткой (диаметр проволоки 1 мм, ячейки 4 x 4 мм) или просечно-вытяжной сеткой, а войлока ПВХ - стеклотканями марок Э3-100, Э2-100, Э2-80 по ГОСТ 19907-74 или другими стеклотканями с эквивалентным сопротивлением продуванию. Эти же стеклоткани рекомендуется применять для вытяжных систем.
7.12. Гидравлическое сопротивление глушителя рассчитывают по формуле

(41)
где

- суммарный коэффициент местного сопротивления; для пластинчатых глушителей принимается по табл. 30, для трубчатых

;
l - длина глушителя, м;

- гидравлический диаметр, м;

- плотность воздуха, кгс·с
2/м
4;
v - скорость воздуха в свободном сечении глушителя, м/с.
Таблица 30
Фактор свободной площади <*> | Коэффициент местного сопротивления  для пластин |
с обтекателями на входе | без обтекателей |
0,25 | 0,72 | 0,95 |
0,3 | 0,64 | 0,85 |
0,4 | 0,49 | 0,65 |
0,5 | 0,38 | 0,5 |
0,6 | 0,27 | 0,35 |
--------------------------------
<*>

и

- соответственно свободная площадь глушителя и площадь кожуха, в котором установлен пластинчатый глушитель.
Гидравлический диаметр глушителя Dг | 0,1 | 0,2 | 0,4 | 0,6 | 1 | 1,5 и более |
Коэффициент трения | 0,06 | 0,05 | 0,04 | 0,03 | 0,025 | 0,025 |
Примечание. Для пластинчатого глушителя величина гидравлического диаметра всего шумоглушителя та же, что и для одного из составляющих его одинаковых параллельных каналов.
7.13. Камерные глушители (расширительные камеры), облицованные звукопоглощающим материалом, могут применяться для снижения аэродинамического шума как в качестве самостоятельных устройств, так и дополнительно к глушителям других типов.
Камерные глушители особенно экономичны в тех случаях, когда они проектируются с использованием камер, устанавливаемых на стороне нагнетания для равномерного воздухораспределения, а на стороне воздухозабора - для размещения фильтров, калориферов и т.п.
Снижение уровней звуковой мощности в камерных глушителях определяют по формуле

, (42)
где

- реверберационный коэффициент звукопоглощения облицовки внутренних поверхностей камеры, принимаемый по табл. 32;
S - площадь поверхностей стенок камеры, м2;

- площадь выходного (по ходу звука) отверстия камеры, м
2;
d - расстояние между геометрическими центрами входного и выходного отверстий, м;

- угол, который составляет направление оси d с перпендикуляром относительно выходного отверстия, град.
Таблица 32
Звукопоглощающие материалы и конструкции | Реверберационный коэффициент звукопоглощения  при среднегеометрических частотах октавных полос, Гц |
63 | 125 | 250 | 500 | 1000 | 2000 | 4000 | 8000 |
Плиты "Силакпор" ГОСТ 21-22-76 (  , размеры 400 x 400 x 45 мм): | | | | | | | | |
| | | | | | | |
без относа | 0,10 | 0,25 | 0,40 | 0,55 | 0,65 | 0,80 | 1 | 0,95 |
с относом 100 мм | 0,12 | 0,45 | 0,50 | 0,45 | 0,60 | 0,75 | 1 | 0,90 |
Маты из супертонкого стекловолокна (  с защитным покрытием из стеклоткани и перфорированного листа) толщиной: | | | | | | | | |
100 мм | 0,2 | 0,47 | 1 | 1 | 1 | 1 | 1 | 0,9 |
50 мм | 0,05 | 0,12 | 0,5 | 1 | 1 | 0,95 | 0,9 | 0,8 |
Маты с перфорированной асбестоцементной плитой (вместо перфорированного листа) толщиной 4 мм (РСТ ЛатвССР 475-74) и площадью перфорации не менее 13% | 0,1 | 0,53 | 1 | 1 | 1 | 1 | 0,87 | 0,6 |
| | | | | | | |
Примечания. 1. Металлические листы должны иметь площадь перфорации не менее 20% общей площади листа.
2. Плитам "Силакпор" защитное покрытие не требуется.
Для повышения эффективности глушителя в первую очередь необходимо увеличивать поперечные размеры камеры, а не ее длину.
При смещении отверстий к центрам стенок (соосное расположение) заглушение в средне- и высокочастотном диапазоне уменьшается на 10 - 15 дБ по сравнению с угловым расположением. Это уменьшение происходит за счет прямой передачи звука

. В низкочастотной области камеры с соосными отверстиями эффективнее угловых. Частичное взаимное смещение отверстий нецелесообразно, так как заглушение в таком глушителе по сравнению с угловым расположением отверстий резко уменьшается практически во всем диапазоне частот, а суммарный коэффициент гидравлического сопротивления камеры

уменьшается незначительно.
Размещение отверстий на смежных стенках камеры приводит к увеличению

на 4 - 5 дБ по сравнению с угловым расположением отверстий той же камеры.
7.14. Для достижения значительного заглушения следует применять глушители, состоящие из двух камер, соединенных последовательно. При этом снижения уровней звуковой мощности отдельных камер суммируют почастотно. В
табл. 7 Прил. 1 приведены экспериментальные значения

камерных глушителей. Эти значения будут соответствовать и другим геометрически подобным глушителям при условии равенства диффузного коэффициента звукопоглощения облицовки на сходных частотах.
Гидравлическое сопротивление камерных глушителей рассчитывают по
формуле (41) при

, а

- по
табл. 7 Прил. 1.
7.15. Центральный глушитель необходимо размещать возможно ближе к вентилятору, чтобы ограничить до минимума шум, проникающий через стенки воздуховодов в помещения, через которые они проходят.
Помещение вентиляционной камеры рекомендуется отделять от помещения для глушителей стеной с поверхностной плотностью конструкции не менее 100 кг/м2. Если такой возможности нет, наружный кожух глушителя в воздуховоды после него, находящиеся в пределах вентиляционной камеры (или проходящие по шумному помещению), следует дополнительно изолировать снаружи с таким расчетом, чтобы звукоизолирующая способность стенок отвечала требуемой по расчету. Требуемую звукоизолирующую способность рассчитывают по формуле

, (43)
где

- октавный уровень звукового давления в помещении для вентиляционного оборудования, дБ [см.
формулу (27)];

- площадь поверхности глушителя и воздуховода в пределах помещения для вентиляционного оборудования, м
2;

- октавный уровень звуковой мощности, излучаемой вентилятором в воздуховод, дБ;

- суммарное снижение октавного уровня звуковой мощности на участке воздуховода (включая глушитель) от вентилятора до выхода из помещения для вентиляционного оборудования, дБ.
Для уменьшения значения требуемой изоляции от воздушного шума стенок глушителя и воздуховодов можно применять звукопоглощающую облицовку внутренних поверхностей ограждающих конструкций помещения для вентиляционного оборудования.
7.16. При проектировании вытяжных установок для агрессивных сред (со щелочами, кислотами и др.) материалы для заполнения глушителей, облицовок воздуховодов и камер и защитных оболочек выбирают для каждого случая отдельно с учетом свойств среды.
Таблица 1
Звукопоглощающие материалы, рекомендуемые
для заполнения шумоглушителей
Материал | Плотность заполнения (объемная масса), кг/м3 | ГОСТы или ТУ | Завод-изготовитель | Рекомендации по применению |
наименование | адрес |
Маты (холсты) из супертонкого стекловолокна (СТВ) марки Ш | 15 - 20 | ТУ 21-РСФСР-324-75 | Ивотский стеклозавод | Пос. Ивот Брянской обл. | Для приточных и вытяжных систем |
Холсты из ультрасупертонкого базальтового волокна (БСТВ) | 15 - 20 | ТУ 550.2-44-72 | Ирпеньский комбинат "Прогресс" Беличский НПО "Теплозвукоизоляция" | Пос. Ирпень Киевской обл., ст. Беличи Киевской обл., ул. Строительная, 7 |
Плиты полужесткие из стекловолокна марки ЦФД | 30 - 40 | ТУ 21-РСФСР-30-73 | Саратовский завод "Техстекло" | Саратов | Только для вытяжных систем, за исключением низкочастотных шумоглушителей |
Плиты полужесткие из минеральной ваты марки ПП-80 | 80 | ТУ 21-24-52-73 | Комбинат асбоизделий "Красный строитель" | Воскресенск Московской обл. |
Плиты мягкие из минеральной ваты марок ПМ-40 и ПМ-50 | 40 - 50 | ТУ 21-24-52-73 | То же | То же | Только для низкочастотных шумоглушителей (пластины толщиной 800 мм) вытяжных систем |
Примечания. 1. Для влажного воздуха предпочтительно применять холсты из БСТВ.
2. Плиты марок ЦФД, ПП и ПМ для приточных систем применять нельзя.
Таблица 2
Снижение уровней звуковой мощности
пластинчатыми глушителями
Схема поперечного сечения шумоглушителя | Толщина средних пластин B, мм | Расстояние между пластинами A, мм | Фактор свободной площади  | Длина шумоглушителя l, м | Снижение УЗМ, дБ, при среднегеометрических частотах октавных полос, Гц |
63 | 125 | 250 | 500 | 1000 | 2000 | 4000 | 8000 |
| 100 | 100 | 0,5 | 1 | 1 | 2,5 | 6 | 20 | 21 | 17 | 15 | 10 |
2 | 1,5 | 5 | 11 | 35 | 38 | 32 | 23 | 13 |
3 | 2 | 7,5 | 15 | 45 | 50 | 40 | 31 | 15 |
200 | 200 | 0,5 | 1 | 1,5 | 3,5 | 9 | 15 | 13,5 | 11 | 10 | 9 |
2 | 3 | 7 | 16 | 30 | 23 | 17,5 | 15 | 13 |
3 | 4,5 | 9,5 | 23 | 43 | 35 | 25 | 20 | 16 |
400 | 400 | 0,5 | 1 | 2,5 | 6,5 | 11 | 11,5 | 10,5 | 8 | 7 | 7 |
2 | 4,5 | 12 | 20 | 19 | 16 | 11 | 10 | 10 |
3 | 5,5 | 16,5 | 30 | 27 | 22 | 15 | 13 | 12 |
800 | 800 | 0,5 | 1 | 5 | 6 | 6,5 | 5 | 5 | 5 | 4 | 4 |
2 | 8,5 | 9 | 10,5 | 8 | 7,5 | 7,5 | 6,5 | 6,5 |
3 | 12 | 12,5 | 13,5 | 11 | 10,5 | 10,5 | 10 | 10 |
800 | 250 | 0,25 | 1 | 9,5 | 13,5 | 16,5 | 14 | 14 | 13,5 | 13 | 12 |
2 | 17,5 | 22,5 | 28 | 26 | 24 | 21 | 18,5 | 16,5 |
3 | 24 | 33 | 38 | 37 | 34 | 26 | 22 | 20 |
Примечания. 1. Приведенными данными можно пользоваться для интерполирования, учитывая, что с уменьшением ширины воздушных каналов глушителя затухание звука на единицу длины на низких и средних частотах увеличивается примерно обратно пропорционально фактору свободной площади глушителя

(где

- свободная для воздуха площадь поперечного сечения глушителя,

- его габаритная площадь поперечного сечения), а на частотах выше 1000 Гц - примерно обратно пропорционально ширине воздушного канала.
2. Данные не изменяются при скорости воздуха в глушителе v <= 15 м/с.
Таблица 3
Снижение уровней звуковой мощности трубчатыми глушителями
с кожухом круглого и воздуховодом квадратного сечения
N п.п. | Поперечное сечение воздуховода, мм | | Длина глушителя, м |  при среднегеометрических частотах октавных полос, Гц |
63 | 125 | 250 | 500 | 1000 | 2000 | 4000 | 8000 |
1 | 500 x 500 (800) | 0,5 | 0,75 | 1,5 | 2,5 | 9,5 | 12,5 | 12 | 8 | 6 | 5 |
| 1,5 | 4 | 7 | 10 | 24 | 21 | 13 | 8,5 | 8 |
| 2,25 | 6 | 12 | 29 | 35,5 | 28,5 | 17 | 12 | 12 |
2 | 400 x 400 (710) | 0,4 | 0,75 | 2,5 | 5 | 12 | 20 | 13 | 7 | 7 | 5 |
| 1,5 | 5 | 9 | 18 | 32 | 22 | 14 | 12 | 10 |
| 2,25 | 8 | 12 | 30 | 47 | 30 | 20 | 16 | 15 |
3 | 300 x 300 (560) | 0,36 | 0,75 | 3 | 5 | 13 | 19 | 22 | 15 | 8 | 6,5 |
| 1,5 | 6 | 10 | 25 | 33 | 38 | 25 | 15 | 12,5 |
| 2,25 | 8 | 14,5 | 35,5 | 49 | 53 | 33 | 20 | 17 |
4 | 250 x 250 (450) | 0,4 | 0,75 | 4,5 | 7,5 | 15 | 22,5 | 25 | 17,5 | 12 | 10 |
| 1,5 | 6,5 | 10,5 | 18 | 45 | 47,5 | 33 | 22 | 15 |
| 2,25 | 8 | 13 | 25 | 53 | 60 | 45 | 29 | 20 |
5 | 200 x 200 (400) | 0,3 | 0,75 | 1 | 7 | 12 | 23 | 28 | 23 | 14 | 13 |
| 1,5 | 2 | 9 | 21 | 41 | 43 | 39 | 23 | 21 |
| 2,25 | 3 | 13 | 29 | 45 | 52 | 54 | 32 | 25 |
6 | 150 x 150 (355) | 0,23 | 0,75 | 0,5 | 7 | 15 | 30,5 | 33 | 32,5 | 19 | 13 |
| 1,5 | 3,5 | 13 | 26 | 48,5 | 54 | 52,5 | 33 | 22,5 |
| 2,25 | 7 | 18 | 36 | 52 | 54,5 | 57,5 | 48,5 | 27 |
| | ИС МЕГАНОРМ: примечание. Сноска дана в соответствии с официальным текстом документа. | |
--------------------------------
<*> В скобках - диаметр кожуха, мм.
Таблица 4
Снижение уровней звуковой мощности трубчатыми
глушителями с круглыми воздуховодом и кожухом
N п.п. | Диаметр внутреннего и наружного воздуховодов, мм | | Длина глушителя, м |  при среднегеометрических частотах октавных полос, Гц |
63 | 125 | 250 | 500 | 1000 | 2000 | 4000 | 8000 |
1 | 500 и 710 | 0,5 | 0,75 | 1 | 4 | 11 | 15 | 13 | 7 | 6 | 5 |
1,5 | 2 | 6,5 | 18 | 28 | 23 | 13 | 10 | 8 |
2,25 | 3,5 | 9 | 25 | 43 | 34 | 17 | 12 | 10 |
2 | 450 и 710 | 0,4 | 0,75 | 2 | 4 | 12 | 16 | 14 | 8 | 7 | 6 |
1,5 | 3,5 | 7,5 | 22 | 30 | 26 | 14 | 11 | 9 |
2,25 | 4,5 | 10 | 30 | 43 | 38 | 20 | 14 | 12 |
3 | 400 и 630 | 0,4 | 0,75 | 2 | 4 | 12 | 20 | 20 | 10,5 | 8 | 6,5 |
1,5 | 3 | 8 | 21 | 32 | 31 | 16 | 12 | 10 |
2,25 | 5 | 11 | 30 | 43 | 41 | 24 | 17 | 12,5 |
4 | 350 и 560 | 0,4 | 0,75 | 2 | 6 | 12 | 19 | 20 | 12 | 10 | 7,5 |
1,5 | 3,5 | 9 | 20 | 34 | 38 | 21 | 14 | 12 |
2,25 | 5 | 11,5 | 27 | 47 | 52 | 29 | 19 | 16 |
5 | 315 и 500 | 0,4 | 0,75 | 4 | 5 | 10 | 22 | 23 | 14 | 10 | 9 |
1,5 | 6,5 | 9 | 17 | 39 | 40 | 24 | 16 | 14 |
2,25 | 8 | 12 | 25 | 52 | 53 | 32 | 22 | 19 |
6 | 280 и 450 | 0,4 | 0,75 | 6 | 6 | 10 | 25 | 26 | 18 | 14 | 12 |
1,5 | 8 | 9 | 17,5 | 42,5 | 42,5 | 31 | 20 | 15 |
2,25 | 9,5 | 12 | 25,5 | 56 | 55 | 40 | 26 | 18 |
7 | 200 и 400 | 0,25 | 0,75 | 6 | 7 | 11 | 29 | 31 | 22 | 17 | 14 |
1,5 | 8 | 8 | 17 | 46 | 45 | 36,5 | 25 | 17 |
2,25 | 9 | 10 | 23 | 63 | 62 | 47 | 34 | 21 |
8 | 160 и 355 | 0,2 | 0,75 | 6 | 7 | 10 | 30 | 35 | 27 | 20 | 16 |
1,5 | 9 | 9 | 16 | 48 | 49,5 | 38 | 28 | 20,5 |
2,25 | 9,5 | 10 | 23 | 60 | 61,5 | 49 | 36 | 23 |
9 | 100 и 315 | 0,1 | 0,75 | 7 | 8 | 12 | 33 | 40 | 31 | 23 | 17 |
1,5 | 8,5 | 9,5 | 17 | 50,5 | 53 | 42 | 32 | 23,5 |
2,25 | 9 | 10,5 | 21 | 60 | 62,5 | 52,5 | 39 | 27 |
Примечания. 1. Экспериментальные значения снижения уровней звуковой мощности получены для глушителей, звукопоглощающая конструкция которых включает супертонкое стекловолокно плотностью около 20 кг/м3, стеклоткань марки Э3-100 и металлический перфорированный лист толщиной 0,7 мм с отверстиями диаметром 10 мм и шагом 15 мм. Длина патрубков глушителей 100 мм.
2. Данные не изменяются при скорости воздуха в глушителе v <= 15 м/с.
Таблица 5
Затухание

(дБ) на 1 м длины и поправка

на потери входа (дБ) для каналов квадратного
сечения (скорость потока не более 15 м/с)
Звукопоглощающая конструкция | Поперечный размер необлицованного канала, м | Толщина облицовки, мм | Внутренний размер облицованного канала, м | Обозначение величин | Среднегеометрическая частота, Гц |
63 | 125 | 250 | 500 | 1000 | 2000 | 4000 | 8000 |
Волокно супертонкое стеклянное (  ) или супертонкое базальтовое волокно (  ) в оболочке из стеклоткани марки Э2-80 и перфорированного металлического листа | 0,5 x 0,5 | 100 | 0,3 x 0,3 | | 2,5 | 6,5 | 11,5 | 17 | 17 | 13 | 8 | 0 |
| 0 | 0 | 0 | 0 | 6,5 | 8,5 | 10 | 10 |
0,7 x 0,7 | 0,5 x 0,5 | | 1,5 | 4 | 7 | 10 | 9 | 6 | 1 | 0 |
| 0 | 0 | 0 | 5 | 8 | 9,5 | 10 | 10 |
1 x 1 | 0,8 x 0,8 | | 1,3 | 3,5 | 6 | 6,5 | 5 | 3 | 0,5 | 0 |
| 0 | 0 | 3,5 | 7 | 9 | 10 | 10 | 10 |
1,2 x 1,2 | 200 | 0,8 x 0,8 | | 3,8 | 4,1 | 3,6 | 5 | 4,4 | 1,9 | 0,8 | 0,6 |
| 0 | 0 | 3,5 | 7,5 | 9 | 10 | 10 | 10 |
1,2 x 1,2 | 100 | 1 x 1 | | 1 | 3 | 5 | 4,5 | 3,5 | 1 | 0 | 0 |
| 0 | 0 | 5 | 8 | 10 | 10 | 10 | 10 |
1,4 x 1,4 | 1,2 x 1,2 | | 1 | 3 | 4 | 4 | 2,5 | 0,5 | 0 | 0 |
| 0 | 1,5 | 6 | 8,5 | 10 | 10 | 10 | 10 |
1,6 x 1,6 | 1,4 x 1,4 | | 1 | 2,5 | 3,5 | 3 | 1,5 | 0,5 | 0 | 0 |
| 0 | 3 | 7 | 9 | 10 | 10 | 10 | 10 |
от 1,8 x 1,8 до 2 x 2 | от 1,6 x 1,6 до 1,8 x 1,8 | | 1 | 2 | 2,5 | 2 | 1 | 0,5 | 0 | 0 |
| 0 | 4,5 | 7,5 | 9,5 | 10 | 10 | 10 | 10 |
2,2 x 2,2 | 300 | 2 x 2 | | 0,8 | 2 | 2 | 1 | 0,5 | 0 | 0 | 0 |
| 0 | 5 | 8 | 10 | 10 | 10 | 10 | 10 |
2,7 x 2,7 | 2,5 x 2,5 | | 0,6 | 1,7 | 1,8 | 0,8 | 0 | 0 | 0 | 0 |
| 1,5 | 6,5 | 9 | 10 | 10 | 10 | 10 | 10 |
Полужесткие минераловатные плиты (  ) в оболочке из стеклоткани марки Э2-80 и металлического перфорированного листа | | 0,6 x 0,6 | | 5,5 | 6,5 | 8 | 8,7 | 6,5 | 2 | 0 | 0 |
| 0 | 0 | 1 | 6,5 | 8,5 | 10 | 10 | 10 |
2,3 x 2,3 | | 1,2 | 1,8 | 2,6 | 0,9 | 0 | 0 | 0 | 0 |
| 0 | 5,5 | 8,5 | 10 | 10 | 10 | 10 | 10 |
Примечания. 1. Для каналов прямоугольного сечения величины

и

принимаются такими же, как для каналов квадратного сечения с равной площадью.
2. Величины

соответствуют приведенным в таблице только при длине облицованной части канала не менее

.
Таблица 6
Уровни звуковой мощности шума,
генерируемого в глушителях

Форма пластин | Толщина пластин, мм | Скорость потока в глушителе, м/с | Уровни звуковой мощности  , дБ, в октавных полосах частот, Гц |
63 | 125 | 250 | 500 | 1000 | 2000 | 4000 | 8000 |
1. Без обтекателей | 200 | 10 | 47 | 48 | 48,5 | 50,5 | 47,5 | 41 | 32 | 23,5 |
| 15 | 55 | 56,5 | 55,5 | 57,5 | 57,5 | 54,5 | 46 | 38,5 |
| 20 | 61 | 62,5 | 61,5 | 62 | 62,5 | 62 | 57,5 | 50 |
2. С цилиндрическими обтекателями только на входе | 200 | 10 | 44 | 45,5 | 48,5 | 48 | 45 | 38,5 | 28,5 | 21,5 |
| 15 | 53 | 54 | 55,5 | 57,5 | 56,5 | 54 | 46 | 35,5 |
| 20 | 58,5 | 60 | 60,5 | 61 | 61 | 59,5 | 52,5 | 44,5 |
3. С цилиндрическими обтекателями на входе и призматическими на выходе | 200 | 10 | 44 | 45,5 | 45 | 44,5 | 40 | 33 | 24,5 | 19 |
| 15 | 52 | 53 | 52,5 | 54,5 | 53 | 49,5 | 41 | 30,5 |
| 20 | 57 | 58 | 57,5 | 59 | 59,5 | 57 | 51 | 41,5 |
4. Без обтекателей | 100 | 10 | 44 | 44 | 47,5 | 48,5 | 46 | 39 | 29 | 24,5 |
| 15 | 53 | 54 | 54 | 58 | 58 | 55 | 48,5 | 39,5 |
| 20 | 58 | 59,5 | 59 | 61 | 63 | 61 | 56 | 48 |
5. С цилиндрическими обтекателями на входе | 100 | 10 | 44 | 45 | 48 | 48 | 44,5 | 37 | 25 | 22 |
| 15 | 52 | 53 | 53,5 | 56,5 | 56 | 53 | 44,5 | 32,4 |
| 20 | 57 | 58 | 58,5 | 61 | 62 | 60,5 | 54,5 | 44 |
6. С цилиндрическими обтекателями на входе и призматическими на выходе | 100 | 10 | 43 | 44 | 45 | 46 | 44 | 36,5 | 23 | 21 |
| 15 | 50 | 51 | 52,5 | 56,5 | 57,5 | 54 | 43 | 30,5 |
| 20 | 56 | 57 | 58,5 | 61 | 62 | 60 | 53,5 | 43 |
Примечания. 1. Звуковая мощность собственного шума глушителя практически не зависит от его длины, а определяется конструкцией глушителя.
2. Периметр звукопоглощающих конструкций поперечного сечения глушителей составлял при толщине пластин 200 мм - 2 м, при толщине 100 мм - 4 м.
Таблица 7
Снижение уровней звуковой мощности в камерных
глушителях, облицованных матами СТВ

толщиной 25 мм, покрытыми стеклотканью Э3-100
Размеры камеры (высота x ширина x длина), м | Площадь поперечного сечения канала, м2 | Угол входа (выхода) потока  | Расстояние, d, м |  , дБ, при среднегеометрических частотах октавных полос, Гц | Суммарный коэффициент местного сопротивления глушителя  |
входного | выходного | 63 | 125 | 250 | 500 | 1000 | 2000 | 4000 | 8000 |
Угловое расположение отверстий |
1 x 0,75 x 1 | 0,25 x 0,25 | 0,25 x 0,25 | 39 | 1,29 | 13,5 | 6 | 10 | 25 | 30,5 | 27,5 | 23 | 21 | 2,11 |
1 x 0,75 x 0,5 | 59 | 0,96 | 1 | 3 | 9 | 20,5 | 31,5 | 29,5 | 27 | 24 | 2,23 |
1 x 0,75 x 0,67 | 51 | 1,06 | 9 | 3,5 | 11 | 21 | 28,5 | 26,5 | 22,5 | 21,5 | 2,05 |
0,75 x 0,75 x 1 | 31 | 1,17 | 8 | 5,5 | 8,5 | 22 | 28 | 22,5 | 20,5 | 19 | 1,85 |
0,5 x 0,75 x 0,5 | 44 | 0,69 | 2,5 | 4 | 5,5 | 14 | 21,5 | 19 | 14 | 13 | 2,2 |
0,75 x 0,75 x 0,67 | 43 | 0,92 | 7,5 | 6,5 | 8,5 | 24 | 26 | 22,5 | 17,5 | 16 | 1,93 |
0,75 x 0,75 x 0,5 | 52 | 0,8 | 3 | 4,5 | 6 | 21 | 25,5 | 24 | 18,5 | 17,5 | 2,19 |
0,5 x 0,75 x 0,67 | 36 | 0,83 | 4,5 | 4 | 6 | 19 | 21,5 | 19 | 13,5 | 14,5 | 1,92 |
0,5 x 0,75 x 1 | 24 | 1,1 | 8 | 4 | 6,5 | 19 | 26,5 | 20 | 16,5 | 18 | 1,89 |
1 x 0,5 x 0,75 | 44 | 1,04 | 8,5 | 6,5 | 9,5 | 22,5 | 31 | 27,5 | 25 | 22 | - |
0,5 x 0,5 x 0,75 | 14 | 0,77 | 7 | 4,5 | 4,5 | 15 | 25,5 | 17,5 | 16 | 14,5 | - |
1 x 1 x 0,75 | 52 | 1,23 | 13 | 6,5 | 13,5 | 32 | 29 | 23,5 | 22,5 | 18,5 | 1,95 |
1 x 0,75 x 1 | 0,15 x 0,15 | 0,15 x 0,15 | 39 | 1,29 | 9,5 | 3,5 | 12 | 29,5 | 36,5 | 28 | 25,5 | 24,5 | - |
0,5 x 0,75 x 1 | 24 | 1,1 | 2,5 | 3,5 | 13,5 | 23,5 | 33,5 | 23,5 | 21 | 20,5 | - |
0,5 x 0,5 x 0,75 | 14 | 0,77 | 6,5 | 7,5 | 11,5 | 17 | 29,5 | 20,5 | 20 | 21,5 | - |
1 x 0,5 x 0,75 | 44 | 1,04 | 6 | 7,5 | 13 | 24,5 | 36 | 27 | 25,5 | 26 | - |
1 x 0,5 x 0,75 | 0,2 x 0,2 | 0,2 x 0,2 | 44 | 1,04 | 13 | 0,5 | 12 | 19 | 30,5 | 25,5 | 23 | 23 | - |
1 x 0,75 x 1 | 39 | 1,29 | 14 | 0,5 | 12 | 27 | 31,5 | 27 | 23,5 | 18,5 | - |
Частичное смещение отверстий |
1 x 0,75 x 1 | 0,25 x 0,25 | 0,25 x 0,25 | 0 | 1 | 11 | 15,5 | 7 | 21 | 22,5 | 17,5 | 18 | 16,5 | 0,61 |
1 x 0,75 x 1 | 11 | 1,02 | 10 | 10,5 | 11 | 22 | 21,5 | 16,5 | 18 | 15,5 | 1,05 |
1 x 0,75 x 1 | 24 | 1,09 | 7 | 3,5 | 14 | 28,5 | 22,5 | 19 | 21 | 19 | 1,55 |
1 x 0,75 x 1 | 34 | 1,22 | 9,5 | 2 | 6,5 | 27,5 | 26 | 23,5 | 23 | 23,5 | 1,64 |
1 x 0,75 x 0,5 | 0,25 x 0,25 | 0,25 x 0,25 | 0 | 0,5 | 11 | 4 | 12 | 14 | 13,5 | 10,5 | 11,5 | 11 | 0,46 |
1 x 0,75 x 0,5 | 21 | 0,54 | 11 | 3,5 | 9 | 17,5 | 16 | 12 | 12,5 | 11,5 | 1,06 |
1 x 0,75 x 0,5 | 41 | 0,67 | 8,5 | 4 | 8 | 23,5 | 20,5 | 20 | 17 | 17 | 1,45 |
1 x 0,75 x 0,5 | 54 | 0,86 | 8,5 | 0,5 | 14,5 | 20 | 25 | 27 | 23 | 25 | 1,81 |
1 x 0,75 x 0,5 | 34 | 0,61 | 10,5 | 13,5 | 13,5 | 20 | 18 | 15,5 | 15 | 14,5 | 1,84 |
Соосное расположение отверстий |
1 x 0,75 x 0,5 | 0,25 x 0,25 | 0,25 x 0,25 | 0 | 5 | 3,5 | 13,5 | 16 | 13,5 | 12 | 7,5 | 9,5 | 9 | 0,42 |
1 x 0,75 x 0,67 | 0 | 0,67 | 8 | 13,5 | 9,5 | 16,5 | 14 | 10 | 11,5 | 10 | 0,52 |
1 x 0,75 x 1 | 0 | 1 | 11 | 6,5 | 15 | 22,5 | 18,5 | 12,5 | 16 | 15 | 0,78 |
Расположение отверстий на смежных стенках |
1 x 0,75 x 1 | 0,25 x 0,25 | 0,25 x 0,25 | 80 | 0,86 | 8 | 20,5 | 15 | 20 | 27 | 24,5 | 24,5 | 26,5 | - |
1 x 0,75 x 1 | 82 | 1,1 | 6 | 5,5 | 10,5 | 26,5 | 32,5 | 30 | 30,5 | 28,5 | - |
1 x 0,75 x 1 | 54 | 1,03 | 7,5 | 18,5 | 11,5 | 26,5 | 30 | 23 | 29 | 17 | - |
1 x 0,75 x 1 | 61 | 1,24 | 6,5 | 5,5 | 13,5 | 31 | 32 | 27 | 25,5 | 23,5 | - |
Таблица 8
Поправка

, дБ, на шумообразование
в пластинчатых глушителях различных сечений
Площадь поперечного сечения глушителя, м2 | 0,25 | 0,4 | 0,8 | 1,2 | 1,8 | 2,4 | 3 | 4 |
Поправка  | -2 | 0 | 3 | 5 | 6,5 | 8 | 9 | 10 |
Пример 1. Определение октавных уровней звуковой мощности шума вентилятора.
Дано: центробежный вентилятор Ц4-70 N 5 с колесом

установлен в производственном помещении, производительность вентилятора Q = 2700 м
3/ч, полное давление

, число оборотов n = 1400 об/мин, КПД

(отклонение КПД от максимума 17%).
Требуется определить октавные уровни звуковой мощности шума вентилятора, излучаемой открытым выходным патрубком в помещение.
Решение. Октавные уровни звуковой мощности вентилятора рассчитываем по
формуле (2). Для этого предварительно находим по
табл. 3 для стороны нагнетания критерий шумности

. Для данного режима работы вентилятора


определяем величину
(п. 3.4).
Поправки

на распределение звуковой мощности шума вентилятора по октавным полосам в зависимости от частоты вращения вентилятора находим по
табл. 4 и вносим в
поз. 1 табл. 1 Прил. 2. Поправки

для выходного патрубка на стороне нагнетания размером 350 x 350 мм (размер находим по справочнику проектировщика "Вентиляция и кондиционирование воздуха" М., Стройиздат, 1977) определяем по
табл. 6 и приводим в
поз. 2 табл. 1 Прил. 2.
Таблица 1
N п.п. | Рассчитываемая величина | Ссылка | Значения рассчитываемой величины, дБ, при среднегеометрической частоте октавных полос, Гц |
63 | 125 | 250 | 500 | 1000 | 2000 | 4000 | 8000 |
| Поправка  , дБ | | 13 | 8 | 3 | 9 | 10 | 14 | 18 | 24 |
| Поправка  , дБ | | 3 | 2 | 2 | 0 | 0 | 0 | 0 | 0 |
| Октавные уровни звуковой мощности вентилятора, излучаемой открытым выходным патрубком в помещение, LPокт | | 75 | 81 | 86 | 82 | 81 | 77 | 73 | 67 |
Подсчитаем величину суммы первых четырех членов в
формуле (2), постоянную для всех частот:
Подставив все найденные величины в
формулу (2), вычисляем октавные уровни звуковой мощности

шума вентилятора, излучаемой открытым выходным патрубком в помещение, и вносим в
поз. 3 табл. 1 Прил. 2.
Пример 2. Определение октавных уровней звуковой мощности, излучаемой:
а) входным патрубком;
б) через стенки корпуса в помещение (вокруг вентилятора).
Дано: центробежный вентилятор Ц4-76 N 16 (исполнение 6) установлен в производственном помещении; производительность вентилятора Q = 70000 м
3/ч, полное давление

, частота вращения n = 510 об/мин, КПД

(что соответствует максимальному).
Требуется определить октавные уровни звуковой мощности:
а) излучаемой входным патрубком в помещение;
б) вокруг вентилятора.
Решение: а) Рассчитываем октавные уровни звуковой мощности вентилятора, излучаемой открытым входным патрубком вентилятора в помещение, по
формуле (2). Критерий шумности вентилятора на стороне всасывания находим по
табл. 3, при этом

. Величина

при заданном режиме работы

равна нулю
(п. 3.4). Поправки

, найденные в зависимости от частоты вращения по
табл. 4, вносим в
поз. 1 табл. 2 Прил. 2. Поправки

на отражение от открытого патрубка вентилятора диаметром 1440 мм определяем по
табл. 6 и вносим в
поз. 2 табл. 2 Прил. 2. Вычисленные по
формуле (2) октавные уровни звуковой мощности

вентилятора, излучаемой открытым входным патрубком в помещение, приведены в
поз. 3 табл. 2 Прил. 2.
Таблица 2
N п.п. | Рассчитываемая величина | Ссылка | Значения рассчитываемой величины, дБ, при среднегеометрических частотах октавных полос, Гц |
63 | 125 | 250 | 500 | 1000 | 2000 | 4000 | 8000 |
| Поправка  , дБ | | 5 | 4 | 8 | 11 | 15 | 20 | 27 | 34 |
| Поправка  , дБ | | 2 | 1 | 0 | 0 | 0 | 0 | 0 | 0 |
| Октавные уровни звуковой мощности вентилятора, излучаемой открытым входным патрубком в помещение, LPокт, дБ | | 92 | 94 | 91 | 88 | 84 | 79 | 72 | 65 |
| Октавные уровни звуковой мощности вентилятора, излучаемой через стенки корпуса в помещение, LPокт, дБ | | 95,5 | 96,5 | 92,5 | 89,5 | 85,5 | 80,5 | 73,5 | 66,5 |
б) Октавные уровни звуковой мощности вентилятора, излучаемой через стенки корпуса в помещение, определяем по
формуле (3). При этом величины поправок

и

не изменились, а значение критерия шумности

берем из
табл. 3, для нашего случая

. Рассчитанные по
формуле (3) октавные уровни звуковой мощности, излучаемой вентилятором через стенки корпуса в окружающее пространство, внесены в
поз. 4 табл. 2 Прил. 2.
Пример 3. Определение октавных уровней звуковой мощности крышного вентилятора на стороне нагнетания, излучаемой открытым патрубком.
Дано: крышный центробежный вентилятор КЦ4-84 N 12, частота вращения n = 400 об/мин, диаметр рабочего колеса D = 1,2 м.
Требуется определить октавные уровни звуковой мощности, излучаемой открытым патрубком крышного вентилятора на стороне нагнетания.
Решение. Октавные уровни звуковой мощности крышного вентилятора определяем по
формуле (4). Для этого предварительно необходимо определить окружную скорость рабочего колеса по формуле
По
табл. 8, зная частоту вращения n = 400 об/мин, находим поправку

. Результаты внесены в
поз. 1 табл. 3 Прил. 2.
Таблица 3
N п.п. | Рассматриваемая величина | Ссылка | Значения рассчитываемой величины, дБ, при среднегеометрической частоте октавной полосы, Гц |
63 | 125 | 250 | 500 | 1000 | 2000 | 4000 | 8000 |
| Поправка  , дБ | | 5 | 4 | 8 | 10 | 16 | 23 | 28 | 33 |
| Октавные уровни звуковой мощности крышного вентилятора, излучаемой открытым патрубком на стороне нагнетания, дБ | | 95 | 96 | 92 | 90 | 84 | 77 | 72 | 67 |
Вычисленные по
формуле (4) октавные уровни звуковой мощности крышного вентилятора, излучаемой открытым патрубком на стороне нагнетания, даны в
поз. 2 табл. 3 Прил. 2.
Пример 4
(п. 4.6 а). Определение октавных уровней звукового давления в помещении при проникновении шума в помещение через одно воздухораспределительное устройство.
Дано: вытяжная вентиляционная установка оборудована вентилятором Ц4-70 N 6,3 с параметрами: Q = 10000 м
3/ч,

, n = 950 об/мин, при отклонении режима работы вентилятора от режима максимума КПД на 20%. Воздух забирается через решетку из рабочего кабинета с площадью пола 5 x 10 м
2 и высотой потолка 3,5 м. Схема вытяжной вентиляционной установки представлена на рис. 22. Решетка расположена в середине стены под потолком на расстоянии r = 1,3 м от ближайшего рабочего места. Площадь решетки F = 0,2 x 0,2 = 0,04 м
2.
Рис. 22. Схема расчетной ветви
Требуется определить октавные уровни звукового давления на рабочих местах в помещении.
Решение. Октавные уровни звукового давления на рабочих местах определяем по
формуле (18). Весь расчет сведен в табл. 4 Прил. 2, где в
поз. 3 внесены уровни звуковой мощности (УЗМ) данного вентилятора, а в
поз. 13 приведены суммарные потери УЗМ по пути распространения шума от вентилятора к обслуживаемому помещению.
N п.п. | Рассматриваемая величина | Ссылка | Значения рассматриваемой величины, дБ, при среднегеометрической частоте октавной полосы, Гц |
63 | 125 | 250 | 500 | 1000 | 2000 | 4000 | 8000 |
1 | Поправка  при n = 950 об/мин, дБ | | 9 | 4 | 7 | 9 | 11 | 16 | 22 | 28 |
2 | Поправка  , дБ | | 7 | 3 | 1 | 0 | 0 | 0 | 0 | 0 |
| Октавные уровни звуковой мощности вентилятора (УЗМ) LPокт, дБ Снижение УЗМ | | 90 | 91 | 86 | 83 | 81 | 76 | 70 | 64 |
| В плавном повороте 800 мм, дБ | | 0 | 0 | 1 | 2 | 3 | 3 | 3 | 3 |
5 | В разветвлении m = 1,8 (Fотв = 0,09 м), дБ | | 7 | 7 | 7 | 7 | 7 | 7 | 7 | 7 |
6 | При внезапном расширении m = 0,5, дБ | | 0,5 | 0,5 | 0,5 | 0,5 | 0 | 0 | 0 | 0 |
7 | При внезапном сужении m = 8,9, дБ | | 4,5 | 4,5 | 4,5 | 4,5 | 9,5 | 9,5 | 9,5 | 9,5 |
8 | При разветвлении m = 0,86, дБ | | 0,5 | 0,5 | 0,5 | 0,5 | 0,5 | 0,5 | 0,5 | 0,5 |
9 | В двух плавных поворотах 300 мм, дБ | | 0 | 0 | 0 | 2 | 4 | 6 | 6 | 6 |
10 | В прямоугольном повороте 150 мм, дБ | | 0 | 0 | 0 | 1 | 5 | 7 | 5 | 3 |
11 | При разветвлении m = 0,86, дБ | | 8,5 | 8,5 | 8,5 | 8,5 | 8,5 | 8,5 | 8,5 | 8,5 |
| В воздуховоде 300 x 300 мм длиной 10 м, дБ | | 6 | 6 | 4,5 | 3 | 2 | 2 | 2 | 2 |
| При отражении от конца воздуховода 100 x 150 мм (под потолком), дБ | | 13 | 8 | 4 | 1 | 0 | 0 | 0 | 0 |
14 | Суммарные потери УЗМ,  , дБ | | 39,5 | 34,5 | 30 | 29,5 | 39 | 43 | 41 | 39 |
15 | Частотный множитель  | | 0,8 | 0,75 | 0,7 | 0,8 | 1 | 1,4 | 1,8 | 2,5 |
16 | Постоянная помещения (  ), м 2 | | 14 | 13 | 12 | 14 | 17 | 24 | 31 | 44 |
17 | Параметр  , Гц·м | | 12,5 | 25,5 | 50 | 100 | 200 | 400 | 800 | 1600 |
18 | Фактор направленности Ф шума, излучаемого из решетки (  ) | | 1 | 1 | 1 | 0,8 | 0,8 | 0,9 | 1 | 1 |
19 | Величина  ( r = 1,3 м) | | 0,2 | 0,2 | 0,2 | 0,15 | 0,15 | 0,17 | 0,2 | 0,2 |
20 | Величина 4/B | | 0,29 | 0,31 | 0,33 | 0,29 | 0,24 | 0,17 | 0,13 | 0,09 |
21 | | | 0,49 | 0,51 | 0,53 | 0,44 | 0,39 | 0,34 | 0,33 | 0,29 |
22 | Величина  , дБ | | -3 | -3 | -2,5 | -3,5 | -4 | -4,5 | -5 | -5,5 |
23 | Уровни звукового давления в расчетной точке, дБ | | 47 | 53 | 53 | 50,5 | 37,5 | 28 | 23,5 | 19 |
Пример 5.
(п. 4.6 б). Определение уровней звукового давления в помещении при проникновении шума через несколько воздухораспределительных устройств (решеток).
Дано: исходные данные те же, что в
примере 4, только воздух забирается через четыре решетки, находящиеся от расчетной точки на расстояниях

,

,

,

.
Число решеток, для которых расстояние до расчетной точки меньше или равно пяти расстояниям от расчетной точки до акустического центра ближайшей решетки

, m = 3 (см.
п. 4.5).
Требуется определить октавные уровни звукового давления на рабочих местах в помещении.
Решение. Расчет ведем по
формуле (19), которая в данном примере приобретает следующий вид:
Весь расчет сведен в табл. 5 Прил. 2.
Таблица 5
N п.п. | Рассматриваемая величина | Ссылка | Значения рассчитываемой величины, дБ, при среднегеометрической частоте октавной полосы, Гц |
63 | 125 | 250 | 500 | 1000 | 2000 | 4000 | 8000 |
1 | Октавный уровень звуковой мощности вентилятора LPокт, дБ | | 90 | 91 | 86 | 83 | 81 | 76 | 70 | 64 |
2 | Потери звуковой мощности вентилятора по пути распространения шума  , дБ | То же | 39,5 | 34,5 | | 29,5 | 39 | 43 | 41 | 39 |
3 | Постоянная помещения B, м2 | " | 14 | 13 | 12 | 14 | 17 | 24 | 31 | 44 |
4 | Фактор направленности Ф шума, излучаемого из решеток | | 1 | 1 | 1 | 0,8 | 0,8 | 0,9 | 1 | 1 |
5 | | | 0 | 0 | 0 | 0 | 0 | 0 | 0 | 0 |
6 | Величина  | | 0,2 | 0,2 | 0,2 | 0,2 | 0,2 | 0,2 | 0,2 | 0,2 |
7 | Величина  | | 1,2 | 1,2 | 1,3 | 1,3 | 1 | 0,7 | 0,5 | 0,4 |
8 | | | 1,4 | 1,4 | 1,5 | 1,5 | 1,2 | 0,9 | 0,7 | 0,6 |
9 |  , дБ | | 1,5 | 1,5 | 2 | 1,5 | 1 | -0,5 | -1,5 | -2 |
| Уровни звукового давления в расчетной точке, дБ | | 52 | 58 | 58 | 55 | 43 | 32,5 | 27,5 | 23 |
Пример 6
(п. 4.7). Определение уровней звукового давления на прилегающей к зданию территории.
Дано: центробежный вентилятор Ц4-76 N 16 установлен в вентиляционной камере и выбрасывает воздух через воздуховод диаметром 1250 мм, расположенный на крыше здания. Параметры вентилятора: производительность Q = 88000 м
3/ч, полное давление

, частота вращения n = 580 об/мин. Отклонение режима работы вентилятора от режима максимума КПД - 10%. Воздуховоды в системе установлены металлические. На крыше промышленного здания расположены еще четыре вентиляционные шахты, которые создают в расчетной точке уровни звукового давления, отличающиеся менее чем на 10 дБ от уровней, создаваемых при работе рассматриваемой установки. Схема вытяжной установки показана на рис. 23.
Рис. 23. Схема расчетной ветви
Требуется определить уровни звукового давления у окон соседнего жилого дома, расположенного на расстоянии 30 м от вентиляционной шахты, выявить требуемое снижение уровня шума и подобрать глушитель.
Решение. Уровни звукового давления на прилегающей территории не должны превышать уровней звукового давления ПС-35 (
поз. 10 табл. 6 Прил. 2).
Таблица 6
N п.п. | Рассматриваемая величина | Ссылка | Значения рассчитываемой величины, дБ, при среднегеометрической частоте октавной полосы, Гц |
63 | 125 | 250 | 500 | 1000 | 2000 | 4000 | 8000 |
1 | Поправка  ( n = 580 об/мин), дБ | | 5 | 4 | 8 | 11 | 15 | 20 | 27 | 34 |
2 | Поправка  (патрубок 1120 x 1280 мм), дБ | | 3 | 0 | 0 | 0 | 0 | 0 | 0 | 0 |
| Октавные УЗМ вентилятора LPокт, дБ | | 105,5 | 103,5 | 99,5 | 96,5 | 92,5 | 87,5 | 80,5 | 73,5 |
| Снижение УЗМ в шести плавных поворотах  , дБ | | 0 | 6 | 12 | 18 | 18 | 18 | 18 | 18 |
5 | Снижение УЗМ при отражении от конца воздуховода  , дБ | | 4 | 1 | 0 | 0 | 0 | 0 | 0 | 0 |
| Снижение УЗМ в воздуховоде  , длиной 10 м, дБ | | 0,5 | 0,5 | 0,5 | 0,5 | 0,5 | 0,5 | 0,5 | 0,5 |
| Суммарное снижение УЗМ,  , дБ | | 4,5 | 7,5 | 12,5 | 18,5 | 18,5 | 18,5 | 18,5 | 18,5 |
8 | Показатель направленности  , дБ | | 5 | 5 | 5 | 5 | 5 | 5 | 5 | 5 |
| Октавные уровни звукового давления на территории жилой застройки при r = 30 м, дБ | | 76 | 71 | 62 | 53 | 49 | 49 | 37 | 30 |
| Допустимые уровни звукового давления Lдоп, дБ | | 62 | 52 | 44 | 39 | 35 | 32 | 30 | 28 |
| Требуемое снижение УЗД  , дБ, при n = 5 | | 21 | 26 | 25 | 21 | 20,5 | 19 | 14 | 9 |
12 | Снижение УЗМ в глушителе длиной 2,5 м, дБ | | 21 | 29 | 34 | 32 | 30 | 24 | 20,5 | 18,5 |
Октавные уровни звуковой мощности вентилятора (УЗМ), излучаемой в воздуховод на нагнетании, определяем по
формуле (1), для чего находим критерий шумности

на нагнетании по
табл. 3, поправку

- по
табл. 4, поправку

- по
табл. 5. В
п. 3.4 находим поправку

, так как

.
Подсчитываем величину суммы первых четырех членов в
формуле (1), постоянную для всех частот,
Рассчитанные таким образом октавные уровни звуковой мощности вентилятора внесены в
поз. 3 табл. 6 Прил. 2.
Снижение октавных уровней звуковой мощности по пути распространения шума определяем по данным
разд. 6 и вносим в
поз. 4 -
6 табл. 6 Прил. 2.
Суммарное снижение уровней звуковой мощности приведено в
поз. 7 табл. 6 Прил. 2.
Октавные уровни звукового давления на территории жилой застройки в расчетной точке вычислены по
формуле (23) и сведены в
поз. 9. Значение величины

(выброс воздуха на крышу здания через шахту (
рис. 18, в),

.
Учитывая, что общее число принимаемых в расчет источников шума n = 5, по
формуле (30) подсчитываем требуемое снижение уровней звукового давления. Полученные данные приведены в
поз. 11 табл. 6 Прил. 2. Требуемую длину глушителя, толщину пластин и расстояние между ними подбираем по
табл. 2 Прил. 1.
Требуемое снижение уровней звукового давления (УЗД) обеспечит пластинчатый глушитель длиной 2,5 м с пластинами толщиной 800 мм на расстоянии 250 мм.
Допустимую скорость в центральном глушителе принимаем согласно
прим. 3 к п. 7.9:

(для

).
Необходимое свободное сечение глушителя определяем по
формуле (39)

;

Принимаем кожух глушителя шириной 3150 мм, высотой 2,5 м, длиной 2,5 м. В кожухе устанавливаем три средние пластины шириной 800 мм (без крайних пластин).
Гидравлическое сопротивление глушителя рассчитываем по
формуле (41), предварительно определив

,

(для пластин с обтекателями на входе при

);
Пример 7
(п. 4.9). Определение уровней звукового давления в помещении при проникновении шума через стенки "шумного" воздуховода, проходящего по помещению.
Дано: воздуховод вытяжной системы прямоугольного сечения 500 x 500 мм, длиной 5 м с толщиной стенок 1 мм проходит через административное помещение размером 8 x 5 x 4,5 м. В установке предусмотрен вентилятор Ц4-70 N 6,3 с диаметром колеса, равным

, с параметрами: Q = 10000 м
3/ч,

, n = 950 об/мин, при отклонении режима работы вентилятора от режима максимума КПД на 20%. От вентилятора к помещению подходит прямой воздуховод сечением 500 x 500 мм, длиной 15 м.
Требуется определить уровни звукового давления в помещении, создаваемого вентилятором на стороне всасывания.
Решение. Октавные уровни звукового давления в помещении определяем по
формуле (25), для чего предварительно определяем все необходимые параметры. Расчет сведен в табл. 7 Прил. 2.
Таблица 7
N п.п. | Рассматриваемая величина | Ссылка | Значения рассматриваемой величины, дБ, при среднегеометрической частоте октавной полосы, Гц |
63 | 125 | 250 | 500 | 1000 | 2000 | 4000 | 8000 |
1 | Поправка  , при n = 950 об/мин, дБ | | 9 | 4 | 7 | 9 | 11 | 16 | 22 | 28 |
2 | Поправка  , дБ | | 7 | 3 | 1 | 0 | 0 | 0 | 0 | 0 |
3 | Октавные уровни звуковой мощности вентилятора (УЗМ) LPокт, дБ | | 90 | 91 | 86 | 83 | 81 | 76 | 70 | 64 |
4 | Снижение октавных уровней звуковой мощности вентилятора в прямом участке воздуховода длиной 15 м, сечением 500 x 500 мм,  , дБ | | 9 | 9 | 4,5 | 2 | 2 | 2 | 2 | 2 |
5 | | | 16 | 16 | 16 | 16 | 16 | 16 | 16 | 16 |
6 | Звукоизолирующая способность воздуховода Rв, дБ | | 12 | 16 | 20 | 24 | 29 | 33 | 36 | 34 |
7 | Частотный множитель  | | 0,8 | 0,75 | 0,7 | 0,8 | 1 | 1,4 | 1,8 | 2,5 |
8 | Постоянная помещения B, м2 (B1000 = 30 м2) | | 24 | 22,5 | 21 | 24 | 30 | 42 | 54 | 75 |
9 | Величина 10 lg B, дБ | | 14 | 13,5 | 13 | 14 | 14,5 | 16 | 17,5 | 18,5 |
10 | Уровни звукового давления в помещении, дБ | | 74 | 71,5 | 67,5 | 62 | 54,5 | 44 | 33,5 | 28,5 |
Пример 8. Акустический расчет шума от вентилятора приточной установки, определение размеров и сопротивления центрального глушителя.
Дано: в конструкторское помещение с площадью пола 6 x 10 м
2 и высотой потолка 3,5 м через две жалюзийные решетки размером 400 x 200 мм подается воздух в количестве 1400 м
3/ч; забирается воздух механической системой вентиляции через две решетки таких же размеров. Решетки смонтированы заподлицо в средней части стены, имеют относительное свободное сечение 0,7 и расположены на расстоянии r = 2,5 м и под углом

от ближайшего рабочего места. В приточной установке используется центробежный вентилятор Ц4-76 N 16 с параметрами: объемный расход 45000 м
3/ч, давление 130 кгс/м
2, частота вращения 555 об/мин, отклонение режима работы вентилятора от режима максимума КПД - 12%. Размер выходного патрубка вентилятора 1120 x 1280 мм. Металлические воздуховоды теплоизоляции не имеют.
Схема приточной установки показана на рис. 24.
Рис. 24. Схема расчетной ветви воздуховодов для
примера 8
1 - вентилятор; 2 - плавный поворот; 3 - тройник;
4 - камера статического давления; 5 - крестовина;
6 - жалюзийная решетка (цифры в кружках - номера участков)
Требуется определить шум на ближайшем рабочем месте, создаваемый при работе вентилятора, выявить требуемое снижение уровня шума и подобрать шумоглушитель.
| | ИС МЕГАНОРМ: примечание. В официальном тексте документа, видимо, допущена опечатка: позиция 7 в таблице 1 Приложения 2 отсутствует. | |
Решение. Шум от системы вентиляции в конструкторском помещении не должен превышать 45 дБА (поз. 7 табл. 1).
| | ИС МЕГАНОРМ: примечание. В официальном тексте документа, видимо, допущена опечатка: пункт 14 отсутствует. | |
Поскольку система разветвленная, то в соответствии с прим. 1 к п. 14 расчет можно делать только для частот 125 и 250 Гц. Однако для примера расчет выполнен для всех частот.
Октавные уровни звуковой мощности вентилятора, излучаемой в сеть, определим по
формуле (1), для чего предварительно определим величину выражения
Для наглядности расчета промежуточные данные и конечные результаты сведены в табл. 8 Прил. 2.
N п.п. | Рассматриваемая величина | Ссылка | Значения рассчитываемой величины, дБ, при среднегеометрической частоте октавной полосы, Гц |
63 | 125 | 250 | 500 | 1000 | 2000 | 4000 | 8000 |
1 | 2 | 3 | 4 | 5 | 6 | 7 | 8 | 9 | 10 | 11 |
1 | Lдоп, дБ | | 66 | 56 | 49 | 44 | 40 | 37 | 35 | 33 |
2 | Поправка  , дБ | | 5 | 4 | 8 | 11 | 15 | 20 | 27 | 34 |
3 | Поправка  , дБ | | 3 | 0 | 0 | 0 | 0 | 0 | 0 | 0 |
| Октавные УЗМ вентилятора, излучаемые выходным патрубком в воздуховод, LPокт, дБ Снижение уровней звуковой мощности в элементах сети: Участок 1 | | 105 | 103 | 99 | 96 | 92 | 87 | 80 | 73 |
| В металлическом воздуховоде 1000 x 1600 мм, длиной 10 м, дБ | | 4,5 | 3 | 1,5 | 1 | 0,5 | 0,5 | 0,5 | 0,5 |
6 | В плавном повороте шириной 1600 мм, дБ | | 0 | 1 | 2 | 3 | 3 | 3 | 3 | 3 |
7 | В плавном повороте шириной 1000 мм, дБ | То же | 0 | 0 | 1 | 2 | 3 | 3 | 3 | 3 |
8 | В разветвлении (m = 0,8), дБ | | 2 | 2 | 2 | 2 | 2 | 2 | 2 | 2 |
| Участок 2 | | | | | | | | | |
9 | В воздуховоде сечением 1200 x 1000 мм, длиной 5 м, дБ | | 2 | 1,5 | 1 | 0,5 | 0,5 | 0,5 | 0,5 | 0,5 |
| Участок 3 | | | | | | | | | |
10 | При изменении поперечного сечения (m = 0,3), дБ | | 1,5 | 1,5 | 1,5 | 0 | 0 | 0 | 0 | 0 |
11 | В разветвлении камеры 3 при m = 2,65, дБ | | 7,5 | 7,5 | 7,5 | 7,5 | 7,5 | 7,5 | 7,5 | 7,5 |
12 | В прямоугольном повороте шириной 500 мм, дБ | | 0 | 1 | 5 | 7 | 5 | 3 | 3 | 3 |
| Участок 4 | | | | | | | | | |
13 | В металлическом воздуховоде сечением 500 x 500 мм, длиной 5 м, дБ | | 3 | 3 | 1,5 | 1 | 1 | 1 | 1 | 1 |
14 | В разветвлении крестовины (m = 0,61), дБ | | 5,5 | 5,5 | 5,5 | 5,5 | 5,5 | 5,5 | 5,5 | 5,5 |
| Участок 5 | | | | | | | | | |
15 | В прямоугольном повороте шириной 300 мм, дБ | | 0 | 0 | 1 | 5 | 7 | 5 | 3 | 3 |
16 | В металлическом воздуховоде сечением 300 x 400 мм, длиной 2,5 м, дБ | | 1,5 | 1,5 | 1 | 1 | 0,5 | 0,5 | 0,5 | 0,5 |
17 | В прямоугольном повороте шириной 300 мм, дБ | | 0 | 0 | 1 | 5 | 7 | 5 | 3 | 3 |
| В результате отражения от решетки сечением 400 x 200 мм, дБ | | 12 | 8 | 3 | 1 | 0 | 0 | 0 | 0 |
| Суммарное снижение уровня звуковой мощности,  , дБ | | 39,5 | 35,5 | 34,5 | 41,5 | 42,5 | 36,5 | 32,5 | 32,5 |
20 | Параметр  | - | 17,5 | 35 | 70 | 140 | 280 | 560 | 1120 | 2240 |
21 | Фактор направленности шума Ф, излучаемого из решетки (  ) | | 1 | 1 | 1,2 | 1,4 | 1,6 | 1,8 | 2 | 2 |
22 | Величина  | | 0,03 | 0,03 | 0,03 | 0,04 | 0,04 | 0,05 | 0,05 | 0,05 |
| Частотный множитель  | | 0,65 | 0,62 | 0,64 | 0,75 | 1 | 1,5 | 2,4 | 4,2 |
| Постоянная помещения  | | 22,8 | 21,7 | 22,4 | 26,3 | 35 | 51,5 | 84 | 147 |
25 | Величина 4/B | | 0,18 | 0,18 | 0,18 | 0,15 | 0,11 | 0,08 | 0,05 | 0,03 |
26 | Величина  , дБ | | -7 | -7 | -7 | -5,5 | -8 | -9 | -10 | -11 |
| Октавные УЗД в расчетной точке, дБ | | 58,5 | 60,5 | 57,5 | 49 | 41,5 | 41,5 | 37,5 | 28,5 |
| Требуемое снижение уровня звукового давления (n = 2), дБ | | - | 7,5 | 11,5 | 8 | 4,5 | 7,5 | 5,5 | - |
29 | Эффективность выбранного глушителя при длине 2 м, дБ | | 3 | 7 | 16 | 30 | 23 | 17,5 | 15 | 13 |
Рассчитанные таким образом октавные уровни звуковой мощности вентилятора внесены в
поз. 4 табл. 8 Прил. 2.
Снижение уровней звуковой мощности в отдельных элементах вентиляционной сети определяем по данным
разд. 6 и вносим в
поз. 5 -
18 табл. 8 Прил. 2.
Снижение шума в разветвлении на две приточные решетки не учитывается, поскольку решетки находятся в одном помещении.
Суммарное снижение уровней звуковой мощности приведено в
поз. 19 табл. 8 Прил. 2.
Постоянную конструкторского помещения находим по
табл. 15 и
16, учитывая, что конструкторское помещение относится к помещениям с жесткой мебелью и большим количеством людей.
Зная объем помещения V = 210 м
3, тип помещения 3, по
табл. 15 находим постоянную помещения на частоте 1000 Гц, которая равна 35 м
2.
По
табл. 16 для объема V = 210 м
3 находим частотный множитель

и записываем его величину в
поз. 23 табл. 8 Прил. 2. Умножив

на

, получим постоянную помещения для других частот -
поз. 24 табл. 8 Прил. 2.
Рассчитанные по
формуле (19) октавные уровни звукового давления в расчетных точках от рассматриваемой системы сведены в
поз. 27 табл. 8 Прил. 2.
Учитывая, что общее число вентиляционных систем, обслуживающих помещение n = 2 (приточная и вытяжная), по
формуле (30) подсчитаем требуемое снижение уровней звукового давления. Полученные данные приведены в
поз. 28. Требуемые длину глушителя, толщину пластин и расстояние между ними подбираем по
табл. 2 Прил. 1.
Требуемое снижение уровней звукового давления обеспечит пластинчатый глушитель длиной 2 м с пластинами толщиной 200 мм на расстоянии 200 мм. Расчет показал, что определяющее значение при выборе глушителя имеет требуемое снижение уровней звукового давления на частоте 125 Гц.
Рабочие чертежи глушителей приведены в типовом альбоме ЦИТП "Шумоглушители вентиляционных установок" (серия 4.904-18/76).
Чтобы подобрать размеры поперечного сечения глушителя, рассчитываем предварительно по
формуле (40) допустимый уровень звуковой мощности шумообразования в самом глушителе на частоте 125 Гц, так как она имеет определяющее значение при выборе длины глушителя. Необходимые для этого данные берем из
табл. 8 нашего расчета
Зная допустимый уровень

из
табл. 6 Прил. 1, видим, что скорость воздуха в глушителе может быть более 20 м/с. Однако, принимая во внимание опасность выдувания звукопоглотителя, максимальную скорость воздуха в глушителях применяемых на практике конструкций ограничивают до 15 м/с (см.
прим. 1 к п. 7.9).
Необходимое свободное сечение глушителя определяем по
формуле (39):
По альбому ЦИТП подбираем две секции кожуха глушителя К-31 шириной 1200 мм, высотой 1500 мм, длиной 1000 мм и площадью свободного сечения 0,9 м2.
Фактическая скорость в свободном сечении глушителя составит
Гидравлическое сопротивление глушителя рассчитываем по
формуле (41), предварительно определив

,

(для пластин с обтекателями на входе при

);
Расчет генерации шума в элементах воздуховодов (конечного ответвления) и воздухораспределительных устройствах дан отдельно в
примере 10, так как этот расчет не зависит от расчета шума вентилятора и центрального глушителя.
Пример 9. Определение октавных уровней звуковой мощности шума, создаваемого тройником и отводом прямоугольного сечения вентиляционных систем.
Дано. 1) Тройник: скорости движения воздуха в магистральном воздуховоде

; на проходе

; в ответвлении

(рис. 25).
Рис. 25. Схема расчетной ветви
Размеры тройника: магистрального воздуховода 500 x 600 мм,

; воздуховода на проходе 500 x 500 мм,

; воздуховода на ответвлении 300 x 500 мм

.
2) Отвод: скорость воздуха в отводе v = 18 м/с; размер отвода 500 x 600 мм, площадь поперечного сечения F = 0,3 м2.
Необходимо определить октавные уровни звуковой мощности шума, создаваемого тройником и отводом прямоугольного сечения.
Решение. 1) Тройник. Определяем гидравлический диаметр

для магистрального воздуховода тройника
На
рис. 13, зная гидравлический диаметр магистрального воздуховода тройника

(точку a) и скорость воздуха в магистральном воздуховоде

(точка b), соединяем точки a и b прямой, пересекающей шкалу А (линия сноски) в точке c. Далее проводим прямые, соединяющие точку c с величинами на шкале Б, соответствующими среднегеометрическим частотам октавных полос. Точки пересечения этих прямых со шкалой В соответствуют числу Струхаля

для тройника (например, при частоте f = 1000 Гц,

). Число Струхаля

для тройника для всех частот приведено в
табл. 9, поз 1.
Таблица 9
N п.п. | Показатель | Ссылка | Среднегеометрические частоты октавной полосы, Гц |
63 | 125 | 250 | 500 | 1000 | 2000 | 4000 | 8000 |
| Число Струхаля Nst для тройника | | 2 | 4 | 8 | 16 | 32 | 65 | 130 | 260 |
| Частотный параметр тройника на проходе Kпр при F2 = 0,25 м2 | | 66 | 60 | 52 | 46 | 41 | 33 | 25 | 17 |
| Частотный параметр тройника на ответвлении Kотв при F3 = 0,15 | То же | 64 | 58 | 50 | 44 | 38 | 31 | 23 | 15 |
| Скоростная функция G для тройника | | 8 | 8 | 8 | 8 | 8 | 8 | 8 | 8 |
| Частотная функция H | | 16 | 19 | 22 | 25 | 28 | 31 | 34 | 37 |
| Октавный уровень звуковой мощности, генерируемой тройником на проходе, дБ | | 90 | 87 | 82 | 79 | 77 | 72 | 67 | 62 |
| Октавный уровень звуковой мощности, генерируемой тройником на ответвлении, дБ | То же | 88 | 85 | 80 | 77 | 74 | 70 | 65 | 60 |
| Число Струхаля для отвода Nst | | 2 | 4 | 8 | 16 | 32 | 65 | 130 | 260 |
| Частотный параметр K для отвода | | 57 | 48 | 41 | 35 | 33 | 29 | 25 | 21 |
| Скоростная функция G для отвода | | 3 | 3 | 3 | 3 | 3 | 3 | 3 | 3 |
| Октавный уровень звуковой мощности, генерируемой отводом, дБ | | 76 | 70 | 66 | 63 | 64 | 63 | 62 | 61 |
12 | Суммарные октавные УЗМ, генерируемые тройником и отводом, дБ | | 8,5 | 85 | 80 | 77 | 74,5 | 71 | 67 | 63,5 |
На
рис. 12, зная число Струхаля, проводим вертикальную прямую до пересечения с кривой, соответствующей площади тройника на проходе

. Например, для частоты f = 1000 Гц

при площади поперечного сечения тройника на проходе

, частотный параметр тройника на проходе

.
Частотный параметр тройника на проходе для всех частот приведен в
табл. 9, поз. 2.
Частотный параметр тройника на ответвлении

при площади поперечного сечения тройника на ответвлении

приведен в
табл. 9, поз. 3 (например, при f = 1000 Гц

,

,

).
На
рис. 14, а, зная скорость воздуха на проходе тройника

, проводим вертикальную прямую до пересечения с кривой, соответствующей скорости воздуха на ответвлении тройника

.
Из точки их пересечения проводим горизонтальную прямую и находим скоростную функцию тройника G = 8 для всех частот (
табл. 9, поз. 4). Частотную функцию H для тройников принимаем по
табл. 13 и приводим в
табл. 9, поз. 5.
Октавные уровни звуковой мощности, генерируемой тройником на проходе и ответвлении, определяем по
формуле (11) и приводим соответственно в
табл. 9, поз. 6 и
7.
2) Отвод. Определяем гидравлический диаметр

для отвода:
На
рис. 13, зная гидравлический диаметр для отвода

и скорость воздуха в отводе v = 18 м/с, определяем число Струхаля

для отвода (например, при частоте f = 1000 Гц

) аналогично описанному выше методу определения числа Струхаля для тройника и приводим его в
поз. 8 табл. 9 Прил. 2.
На
рис. 15, зная число Струхаля для отвода, проводим вертикальную прямую до пересечения с кривой. Из точки их пересечения a проводим горизонтальную прямую и находим частотный параметр K для отвода. Например, для частоты f = 1000 Гц,

, частотный параметр отвода

. Частотный параметр отвода для всех частот приведен в
табл. 9, поз. 9.
На
рис. 16, зная скорость воздуха в отводе v = 18 м/с, проводим вертикальную прямую до пересечения с кривой, соответствующей площади поперечного сечения отвода F = 0,3 м
2. Из точки их пересечения проводим горизонтальную прямую и находим скоростную функцию отвода G = 3 для всех частот
(табл. 9, поз. 10).
Пример 10. Расчет генерации шума элементами вентиляционной сети.
Дано: в кабинет административного здания объемом 110 м
3 через решетку типа РР с размерами 100 x 100 мм (F свободное = 0,008 м
2,

), расположенную под потолком в середине помещения, подается воздух в количестве 220 м
3/ч. В помещении имеется еще одна решетка вытяжной механической вентиляции.
Шум в помещении не должен превышать ПС = 35.
Рассматриваемый участок сети, представленный на
рис. 26, состоит из воздуховода 1, скорость потока воздуха в котором составляет 5 м/с, прямоугольного тройника на ответвлении 2, отводов 3 и 5, скорость воздуха в которых составляет 3,5 м/с, дроссель-клапана 4 с углом закрытия

(коэффициент местного сопротивления

) и решетки РР 6.
Рис. 26. Схема расчетной ветви воздуховодов для
примера 10
1 - прямой канал; 2 - тройник; 3, 5 - отводы
по радиусу; 4 - дроссель-клапан; 6 - решетка РР
Требуется определить уровни звукового давления в помещении, создаваемого в результате аэродинамической генерации элементами вентиляционной сети (без учета шума от вентилятора).
Решение. При определении шумообразования в разветвленной вентиляционной сети шумом прямых участков можно пренебречь, поскольку он всегда ниже шума фасонных и концевых устройств. В случае если имеется транзитный воздуховод большой протяженности со скоростями движения воздуха более 15 м/с или воздух подается в помещение с большой скоростью прямым воздуховодом без установки на его конце воздухораспределительного устройства, шум прямого участка должен быть учтен в акустическом расчете (см. ЦИНИС, Шумообразование в прямых воздуховодах. Серия VIII, вып. 11, 1978).
Шум решетки излучается непосредственно в помещение, поэтому потери по пути распространения в сети

[см.
формулу (14)]. Поэтому расчет целесообразно начать с этого элемента, так как в случае повышенного шума приходится увеличивать размеры воздухораспределительного устройства, что влечет за собой изменение потерь отражения от открытого конца (см.
табл. 26).
При изменении размеров приточной решетки общий уровень звуковой мощности решетки можно определить по
формуле (14). Например, увеличение габаритов вдвое дает увеличение звуковой мощности на 3 дБ

. Скорость в свободном сечении решетки при этом снижается в два раза, что приводит к уменьшению уровня звуковой мощности на 12 дБ

. Общий уровень звуковой мощности решетки в целом уменьшается на 9 дБ. При этом следует особо подчеркнуть, что октавные уровни звуковой мощности, генерируемой первой и второй решетками, не будут одинаковыми, поскольку частотные поправки к общему уровню звуковой мощности зависят от безразмерной частоты

, куда входят изменяющиеся параметры v и d (скорость воздуха в свободном сечении и характерный линейный размер решетки соответственно). Поэтому при изменении габаритов приточного устройства следует определять и октавные уровни звуковой мощности. После расчета шума решетки следует оценить уровни звуковой мощности, генерируемой фасонными и дросселирующими элементами, и при определении

учитывать только наиболее шумные элементы, т.е. такие, уровни шума которых отличаются менее чем на 10 дБ.
| | ИС МЕГАНОРМ: примечание. В официальном тексте документа, видимо, допущена опечатка: пункт 1.5 отсутствует. | |
В соответствии с п. 1.5 расчет генерации шума можно сделать только для частот 500 и 1000 Гц. В данном примере для наглядности расчет выполнен для всех частот.
Расчет сводим в табл. 10 -
15.
Таблица 10
N п.п. | Величина | Ссылка | Значения рассчитываемой величины, дБ, при среднегеометрической частоте октавной полосы, Гц |
63 | 125 | 250 | 500 | 1000 | 2000 | 4000 | 8000 |
1 | Нормируемые уровни звукового давления, дБ | | 62 | 52 | 45 | 39 | 35 | 32 | 30 | 28 |
2 | Частотный множитель  при V = 110 м 3 | | 0,8 | 0,75 | 0,7 | 0,8 | 1 | 1,4 | 1,8 | 2,5 |
3 | Постоянная помещения B, м2 | | 9 | 8 | 7,5 | 9 | 11 | 15,5 | 20 | 27,5 |
4 | Величина -10 lg B + 6 | | -3,5 | -3 | -3 | -3,5 | -4,5 | -6 | -7 | -8,5 |
| Решетка РР | | | | | | | | | |
5 | Уровни звуковой мощности, генерируемой решеткой РР 100 x 100 мм (Fсв = 0,008 м2, vсв = 7,65 м/с) | | | | | | | | | |
| а) безразмерная частота  при  | | 0,75 | 1,5 | 3 | 6 | 12 | 23,5 | 47 | 94 |
| б) поправка  , дБ | | 10,5 | 9 | 7,5 | 6 | 6,5 | 8 | 12 | 17 |
| в) октавные уровни звуковой мощности решетки  , дБ | | 55 | 56,5 | 58 | 59,5 | 58 | 57,5 | 53,5 | 48,5 |
6 | Уровни звукового давления, создаваемого в помещении решеткой РР 100 x 100 мм | | 51,5 | 53,5 | 55 | 56 | 54,5 | 51,5 | 46,5 | 40 |
| Требуемое снижение октавных уровней звукового давления  , дБ, n = 2 (приточная и вытяжная системы вентиляции) | | - | 4,5 | 13 | 20 | 23,5 | 22,5 | 19,5 | 15 |
N п.п. | Величина | Ссылка | Значения рассчитываемой величины, дБ, при среднегеометрической частоте октавной полосы, Гц |
63 | 125 | 250 | 500 | 1000 | 2000 | 4000 | 8000 |
1 | Уровни звуковой мощности, генерируемой решеткой РР 100 x 400 мм | | | | | | | | | |
| а) безразмерная частота  | - | 6 | 12 | 23 | 47 | 94 | 187 | 374 | 748 |
| б) поправка  , дБ | | 6 | 6 | 8 | 12 | 16,5 | 25 | 35 | 46,5 |
| в) октавные уровни звуковой мощности LPокт, генерируемой решеткой РР 100 x 400 мм, дБ | | 41,5 | 41,5 | 39,5 | 35,5 | 31 | 22,5 | 12,5 | 1 |
2 | Уровни звукового давления, создаваемого в помещении решеткой РР 100 x 400 мм, дБ | | 38 | 38,5 | 36,5 | 32 | 26,5 | 16,5 | 5,5 | - |
3 | Требуемое снижение октавных уровней звукового давления  при n = 2, дБ | | -21 | -10,5 | -5,5 | -4 | -5,5 | -12,5 | -21,5 | -28 |
N п.п. | Величина | Ссылка | Значения рассчитываемой величины, дБ, при среднегеометрической частоте октавных полос, Гц |
63 | 125 | 250 | 500 | 1000 | 2000 | 4000 | 8000 |
1 | Уровни звуковой мощности, генерируемой решеткой РР 100 x 350 мм | | | | | | | | | |
| а) безразмерная частота  | - | 4,5 | 8,5 | 17 | 34 | 68 | 137 | 274 | 548 |
| б) поправка  , дБ | | 6,5 | 6 | 7 | 10 | 14,5 | 21 | 30,5 | 41,5 |
| в) октавные уровни звуковой мощности LPокт, генерируемой решеткой РР 100 x 350 мм, дБ | | 42,5 | 43 | 42 | 39 | 34,5 | 28 | 18,5 | 7,5 |
2 | Уровни звукового давления, создаваемого в помещении решеткой РР 100 x 350 мм | | 39 | 40 | 39 | 35,5 | 30 | 22 | 11,5 | - |
3 | Требуемое снижение октавных уровней звукового давления  при n = 2, дБ | | -20 | -9 | -3 | -0,5 | -2 | -7 | -15,5 | -28 |
N п.п. | Величина | Ссылка | Значения рассчитываемой величины, дБ, при среднегеометрической частоте октавной полосы, Гц |
63 | 125 | 250 | 500 | 1000 | 2000 | 4000 | 8000 |
| Отвод (3,5) | | | | | | | | | |
1 | Уровни звуковой мощности, генерируемой отводом | | | | | | | | | |
| а) число Струхаля Nst в зависимости от D гидравлического отвода и скорости в отводе v | | 2 | 3,8 | 7,6 | 15 | 30 | 61 | 122 | 243 |
| б) параметр K, дБ, в зависимости от Nst | | 57 | 47 | 40 | 36 | 32,5 | 28,5 | 26 | 20 |
| в) скоростная функция G в зависимости от скорости v и площади поперечного сечения отвода F, дБ | | -47 | -47 | -47 | -47 | -47 | -47 | -47 | -47 |
| г) частотная функция H в зависимости от частоты f, дБ | | 16 | 19 | 22 | 25 | 28 | 31 | 34 | 37 |
| д) уровни звуковой мощности, генерируемой отводом, дБ | | 26 | 19 | 15 | 14 | 13,5 | 12,5 | 13 | 10 |
| Дроссель-клапан (4) | | | | | | | | | |
| Аналитический расчет | | | | | | | | | |
2 | Октавные уровни звуковой мощности при v = 3,5 м/с,  ,  | | | | | | | | | |
| а) частотная поправка в зависимости от параметра  при  | | 1,97 | 3,94 | 7,88 | 15 | 31,5 | 6 | 126 | 262 |
|  , дБ | | 8 | 7 | 7,5 | 9 | 11 | 14 | 19 | 22,5 |
| б) поправка  на присоединение к воздуховоду, дБ | | 19 | 14 | 10 | 5 | 2 | 0 | 0 | 0 |
| в) октавные уровни звуковой мощности LPокт, дБ | | 51,5 | 47,5 | 43 | 36,5 | 31,5 | 26,5 | 21,5 | 18 |
| Графический (приближенный) метод | | | | | | | | | |
3 | Октавные уровни звуковой мощности, LPокт, дБ | | 65 | 52 | 43 | 37 | 32 | 26 | 20,5 | 18 |
| Тройник на ответвлении (2) | | | | | | | | | |
4 | Октавные уровни звуковой мощности, генерируемой тройником на ответвлении | | | | | | | | | |
| а) число Струхаля Nst в зависимости от D гидравлического магистрального участка и скорости v в магистрали | | 5 | 10 | 20 | 40 | 80 | 160 | 320 | 640 |
| б) параметр K, дБ, в зависимости от Nst | | 53 | 46 | 40 | 33 | 25 | 16 | 8 | - |
| в) скоростная функция G в зависимости от соотношения скоростей воздуха в ответвлении и проходе тройника (в разбираемом случае для тройника с острыми кромками) | | -8 | -8 | -8 | -8 | -8 | -8 | -8 | -8 |
| г) частотная функция H в зависимости от частоты f, дБ | | 16 | 19 | 22 | 25 | 28 | 31 | 34 | 37 |
| д) октавные уровни звуковой мощности, генерируемой тройником на ответвлении, дБ | | 61 | 57 | 54 | 50 | 45 | 39 | 34 | 29 |
N п.п. | Величина | Ссылка | Значения рассчитываемой величины, дБ, при среднегеометрической частоте октавной полосы, Гц |
63 | 125 | 250 | 500 | 1000 | 2000 | 4000 | 8000 |
1 | Снижение уровней звуковой мощности по пути распространения от источника (тройника на ответвлении) к помещению | | | | | | | | | |
| а) в двух отводах (3,5), дБ | | 0 | 0 | 0 | 0 | 2 | 4 | 6 | 6 |
| б) за счет отражения от конца (решетки РР 100 x 350 мм) | | 15,5 | 11 | 6,5 | 2,5 | 0 | 0 | 0 | 0 |
2 | Уровни звукового давления, создаваемого в помещении тройником на ответвлении | | 42 | 43 | 44,5 | 43 | 38,5 | 29 | 21 | 14,5 |
3 | Требуемое снижение октавных уровней звукового давления  , дБ, при n = 1 (один источник) | | - | - | 2,5 | 7 | 6,5 | - | - | - |
Величина | Значения рассчитываемой величины, дБ, при среднегеометрической частоте октавной полосы, Гц |
63 | 125 | 250 | 500 | 1000 | 2000 | 4000 | 8000 |
Эффективность подобранной конструкции глушителя, дБ | 0,5 | 1 | 3 | 10 | 10,5 | 8,5 | 7,5 | 5 |
Как видно из
поз. 7 табл. 10, требуемое снижение велико, поэтому необходимо увеличить габариты решетки. Если увеличить габариты в четыре раза, то общий уровень звуковой мощности, генерируемой решеткой, снизится на величину
Расчет октавных уровней шума решетки РР 100 x 400 мм сводим в
табл. 11.
Поскольку запас требуемого снижения велик, перейдем на решетку меньшего размера, например решетку РР 100 x 350 мм (

, скорость воздуха в свободном сечении решетки v = 2,73 м/с).
Расчет октавных уровней шума решетки РР 100 x 350 мм сводим в
табл. 12.
Из расчета видно, что определяющее значение имеют уровни в полосах частот 500 и 1000 Гц.
Окончательно принимаем решетку РР 100 x 350 мм.
Далее определяем уровни шума, генерируемого элементами ответвления вентиляционной сети к расчетному помещению. Расчет сводим в
табл. 13.
Поскольку снижения уровней звуковой мощности по сети до приточной решетки приблизительно одинаковые, то расчет каждого элемента не обязательно доводить до уровней звукового давления в помещении и можно производить сравнение уже по уровням звуковой мощности в дБ.
Сравнение шума, генерируемого рассматриваемыми источниками, показывает, что уровни звуковой мощности тройника превышают уровни других элементов на 10 дБ и более. Поэтому в дальнейшем расчете в соответствии с
прим. 3 к п. 5.5 учитываем только уровни звуковой мощности, генерируемой тройником на ответвлении (
табл. 14 Прил. 2).
Поскольку требуемое снижение незначительно, а эффективность типовых глушителей высокая, то по аналогии с пластинчатым глушителем (см. "Шумоглушители вентиляционных установок" - альбом серии 4.904 = 18/76) подбираем нетиповой глушитель.
Рис. 27. Пример нетипового глушителя
Эффективность такого глушителя соответствует снижению уровней звуковой мощности в пластинчатом глушителе с толщиной пластин 100 мм и расстоянием между пластинами 100 мм

. Длина подобранной конструкции глушителя из расчета требуемого снижения шума составляет 500 мм, а ее эффективность приведена в
табл. 15.
Из
табл. 29 видно, что фактическая скорость воздуха в концевом глушителе

не превышает допустимой

.
Следует отметить, что, несмотря на проведенный расчет, глушитель шума следует располагать по возможности после дросселирующего устройства, так как в процессе наладки системы коэффициент местного сопротивления последнего по сравнению с расчетным может измениться, что повлечет за собой изменение уровня генерируемого шума.