Главная // Актуальные документы // ГрафикСПРАВКА
Источник публикации
В данном виде документ опубликован не был.
Первоначальный текст документа опубликован в издании
М.: Минрегион России, 2012.
Информацию о публикации документов, создающих данную редакцию, см. в справке к этим документам.
Примечание к документу
Документ утратил силу полностью с 01.08.2020 в связи признанием утратившим силу
Постановления Правительства РФ от 26.12.2014 N 1521.
Документ утратил силу с 31.07.2019, за исключением пунктов, включенных в
Перечень национальных стандартов и сводов правил (частей таких стандартов и сводов правил), в результате применения которых на обязательной основе обеспечивается соблюдение требований Федерального
закона "Технический регламент о безопасности зданий и сооружений", утвержденный
Постановлением Правительства РФ от 26.12.2014 N 1521, до внесения соответствующих изменений в указанный Перечень, в связи с изданием
Приказа Минстроя России от 30.01.2019 N 64/пр, утвердившего новый Свод правил
СП 121.13330.2019.
Документ включен в
Перечень документов в области стандартизации, в результате применения которых на добровольной основе обеспечивается соблюдение требований Федерального
закона от 30.12.2009 N 384-ФЗ "Технический регламент о безопасности зданий и сооружений" (
Приказ Росстандарта от 30.03.2015 N 365).
Отдельные положения данного документа включены в
Перечень национальных стандартов и сводов правил (частей таких стандартов и сводов правил), в результате применения которых на обязательной основе обеспечивается соблюдение требований Федерального
закона от 30.12.2009 N 384-ФЗ "Технический регламент о безопасности зданий и сооружений" (
Постановление Правительства РФ от 26.12.2014 N 1521).
На время переходного периода и с момента вступления в силу данный документ не отменяет действие
СНиП 32-03-96 (
Письмо Минрегиона России от 15.08.2011 N 18529-08/ИП-ОГ).
Документ
введен в действие с 01.01.2013.
Название документа
"СП 121.13330.2012. Свод правил. Аэродромы. Актуализированная редакция СНиП 32-03-96"
(утв. Приказом Минрегиона России от 30.06.2012 N 277)
(ред. от 30.01.2019)
"СП 121.13330.2012. Свод правил. Аэродромы. Актуализированная редакция СНиП 32-03-96"
(утв. Приказом Минрегиона России от 30.06.2012 N 277)
(ред. от 30.01.2019)
регионального развития
Российской Федерации
(Минрегион России)
от 30 июня 2012 г. N 277
СВОД ПРАВИЛ
АЭРОДРОМЫ
АКТУАЛИЗИРОВАННАЯ РЕДАКЦИЯ
Aerodromes
СП 121.13330.2012
| | Список изменяющих документов (в ред. Приказа Минстроя России от 30.01.2019 N 64/пр) | |
Дата введения
1 января 2013 года
Цели и принципы стандартизации в Российской Федерации установлены Федеральным
законом от 27 декабря 2002 г. N 184-ФЗ "О техническом регулировании", а правила разработки -
Постановлением Правительства Российской Федерации от 19 ноября 2008 г. N 858 "О порядке разработки и утверждения сводов правил".
1. ИСПОЛНИТЕЛЬ - Федеральное государственное унитарное предприятие Государственный проектно-изыскательский и научно-исследовательский институт гражданской авиации - ФГУП ГПИ и НИИ ГА "Аэропроект".
2. ВНЕСЕН Техническим комитетом по стандартизации ТК 465 "Строительство".
3. ПОДГОТОВЛЕН к утверждению Департаментом архитектуры, строительства и градостроительной политики.
4. УТВЕРЖДЕН
Приказом Министерства регионального развития Российской Федерации (Минрегион России) от 30.06.2012 N 277 и введен в действие с 1 января 2013 г.
5. ЗАРЕГИСТРИРОВАН Федеральным агентством по техническому регулированию и метрологии (Росстандарт). Пересмотр СП 121.13330.2011 "СНиП 32-03-96. Аэродромы".
Информация об изменениях к настоящему своду правил публикуется в ежегодно издаваемом информационном указателе "Национальные стандарты", а текст изменений и поправок - в ежемесячно издаваемых информационных указателях "Национальные стандарты". В случае пересмотра (замены) или отмены настоящего свода правил соответствующее уведомление будет опубликовано в ежемесячно издаваемом информационном указателе "Национальные стандарты". Соответствующая информация, уведомление и тексты размещаются также в информационной системе общего пользования - на официальном сайте разработчика (Минрегион России) в сети Интернет.
В своде правил установлены требования в соответствии с Федеральным
законом от 30 декабря 2009 г. N 384-ФЗ "Технический регламент о безопасности зданий и сооружений", учтены требования международных и европейских нормативных документов, применены единые методы определения эксплуатационных характеристик и методов оценки.
Актуализация выполнена авторским коллективом ФГУП ГПИ и НИИ ГА "Аэропроект".
| | Применение на обязательной основе раздела 1 обеспечивает соблюдение требований Федерального закона от 30.12.2009 N 384-ФЗ "Технический регламент о безопасности зданий и сооружений" (Постановление Правительства РФ от 26.12.2014 N 1521). | |
1.1. Настоящий свод правил устанавливает нормы проектирования и распространяется на вновь строящиеся, расширяемые и реконструируемые сооружения аэродромов (вертодромов).
1.2. Требования настоящего свода правил не распространяются на проектирование посадочных площадок для вертолетов на судах, буровых платформах, зданиях и специальных сооружениях.
Раздел 2 утратил силу с 31.07.2019. -
Приказ Минстроя России от 30.01.2019 N 64/пр.
Раздел 3 утратил силу с 31.07.2019. -
Приказ Минстроя России от 30.01.2019 N 64/пр.
Раздел 4 утратил силу с 31.07.2019. -
Приказ Минстроя России от 30.01.2019 N 64/пр.
| | Применение на обязательной основе раздела 5 обеспечивает соблюдение требований Федерального закона от 30.12.2009 N 384-ФЗ "Технический регламент о безопасности зданий и сооружений" (Постановление Правительства РФ от 26.12.2014 N 1521). | |
5. Грунтовые элементы летного поля аэродрома
5.1. Грунтовые элементы летного поля должны отвечать требованиям безопасности, ровности, прочности, эрозионной стойкости. Поверхность их должна быть очищена от посторонних предметов и иметь уклоны, обеспечивающие надежный сток талых и дождевых вод. Они могут быть с дерновым покровом и без него.
5.2. Допускаемые значения продольных и поперечных уклонов грунтовых элементов ЛП должны приниматься в соответствии с Федеральными авиационными правилами (ФАП) или с нормами того ведомства, к которому относится аэродром.
5.3. Грунтовая спланированная часть ЛП, как правило, должна быть без грунтовых лотков. В исключительных случаях, с целью уменьшения объема земляных работ при наличии склона с поперечным уклоном в сторону ЛП, допускается устройство грунтовых лотков.
5.4. Грунтовая поверхность спланированной части ЛП в местах сопряжения должна располагаться на одном уровне с поверхностью искусственных покрытий (ВПП, обочинами, рулежными дорожками и др.).
5.5. Часть ЛП, примыкающая к торцу ИВПП, должна быть укреплена с целью предотвращения эрозии от газовоздушных струй авиадвигателей и защиты приземляющихся воздушных судов от удара о торец ИВПП. Эти участки должны выдерживать нагрузки от воздушных судов при случайном выкатывании их при взлете или посадке, а также нагрузки от эксплуатационной техники.
5.6. Грунтовые обочины ИВПП, РД, МС и перронов должны обеспечивать отвод поверхностных вод с площадей искусственных покрытий и постепенный переход от искусственных покрытий к грунту, для чего следует устраивать укрепленные обочины (отмостки).
5.7. Укрепленные обочины должны выдерживать нагрузку, создаваемую воздушным судном при случайном выкатывании, не вызывая у него конструктивных повреждений, а также нагрузки наземных транспортных средств, которые могут передвигаться по обочине.
5.8. Грунты на грунтовых элементах летного поля должны быть уплотнены.
Коэффициент уплотнения грунтов на глубину до 30 см должен быть не менее:
на стартовых участках ГВПП, МС, местах опробования двигателей, путях руления: для песков и супесей - 0,95, для суглинков и глин - 1,00;
на средних участках ГВПП, спланированной части ЛП, обочинах путей руления и МС, а также для насыпных грунтов на летном поле, не входящих в ЛП:
для песков и супесей - 0,9, для суглинков и глин - 0,95.
Ниже (на глубину до 55 и до 70 см) коэффициент уплотнения может быть снижен не более чем на 5 и 15% соответственно.
5.9. При наличии просадочных грунтов на ГВПП, грунтовых РД, МС, местах опробования двигателей просадочность должна быть устранена на глубину активной зоны, устанавливаемой расчетом.
5.10. На грунтовых участках летного поля без дернового покрова следует предусматривать мероприятия по укреплению поверхностного слоя грунта.
5.11. Для повышения сопротивляемости грунта нагрузкам от воздушных судов и снижения эрозии от действия аэродинамических нагрузок, создаваемых газовоздушными струями авиадвигателей, рекомендуется устраивать дерновый покров.
5.12. Качество дернового покрова должно отвечать нормативным требованиям, приведенным в таблице 5.1. Приемку работ по созданию дернового покрова летного поля следует производить после развития (всхода) посеянных трав.
Таблица 5.1
Нормативные требования | Значение нормативных требований | Метод контроля |
Плотность дернового покрова (число побегов растений на участке площадью 400 см2) при преобладании трав с характером роста: | | |
низовым | 200 - 300 | Подсчет числа побегов |
верховым | 100 - 200 | То же |
Примечание - В случае неблагоприятных погодных условий допускается плотность с числом побегов 100 шт. для трав с низовым характером роста и 50 шт. - с верховым. |
5.13. Грунты спланированной части ЛП и грунтовых обочин ИВПП, РД, МС и перронов, а также насыпные грунты летного поля должны быть уплотнены. Коэффициент уплотнения грунтов должен быть не менее: для песков и супесей - 0,9, для суглинков и глин - 0,95.
5.14. Наибольшая крутизна откосов насыпей (выемок) должна назначаться из условия обеспечения их устойчивости в зависимости от высоты насыпи и вида грунта.
5.15. При расчете устойчивости насыпи (выемки) следует принимать коэффициент надежности по ответственности 1,2 при особо высоком уровне ответственности сооружений согласно
ГОСТ Р 54257.
| | Применение на обязательной основе раздела 6 обеспечивает соблюдение требований Федерального закона от 30.12.2009 N 384-ФЗ "Технический регламент о безопасности зданий и сооружений" (Постановление Правительства РФ от 26.12.2014 N 1521). | |
6.1. Грунтовые основания должны обеспечивать несущую способность аэродромного покрытия независимо от погодных условий и времени года. Проектировать грунтовые основания следует с учетом:
состава и свойств грунтов;
типов местности по гидрогеологическим условиям, приведенных в
Приложении А;
деления территории на дорожно-климатические зоны в соответствии с
рисунком Б.1;
сейсмического воздействия при повышенном уровне ответственности согласно техническому регламенту о безопасности зданий и сооружений;
нагрузки от воздушного судна, оказывающего максимальное силовое воздействие на покрытие, или категории нормативной нагрузки;
опыта строительства и эксплуатации аэродромов, расположенных в аналогичных инженерно-геологических, гидрогеологических и климатических условиях.
6.2. Номенклатура грунтов, используемых для грунтового основания, по генезису, составу, состоянию в природном залегании, пучинистости, набуханию и просадочности должна устанавливаться в соответствии с
ГОСТ 25100.
6.3. Характеристики грунтов природного залегания, а также искусственного происхождения должны определяться, как правило, на основе их непосредственных испытаний в полевых или лабораторных условиях с учетом возможного изменения влажности грунтов в процессе строительства и эксплуатации аэродромных сооружений.
Расчетные характеристики грунтов (коэффициент постели

для жестких покрытий и модуль упругости
E для нежестких покрытий) надлежит устанавливать для однородных грунтов в соответствии с
Приложением В. Для многослойных грунтовых оснований или когда верхний слой грунта уплотнен, а нижний остается неуплотненным и имеет коэффициент пористости
e > 0,8 либо при наличии в естественном основании сплошных скальных грунтов с временным сопротивлением одноосному сжатию не менее 5 МПа, коэффициентом размягчаемости в воде не более 0,75 и неспособных к растворению в воде следует использовать эквивалентный коэффициент постели

всего основания (учитывая подстилающий скальный грунт), определяемый согласно
Приложению Г.
Проектирование грунтовых оснований без соответствующего инженерно-геологического и гидрогеологического обоснования или при его недостаточности не допускается.
6.4. Глубина сжимаемой толщи грунтового основания, в пределах которой учитываются состав и свойства грунтов, принимается по таблице 6.1 в зависимости от числа колес на основной опоре воздушного судна и нагрузки на одно колесо этой опоры.
Число колес на основной опоре воздушного судна | Глубина сжимаемой толщи грунтового основания от верха покрытия, м, при нагрузке на одно колесо основной опоры, кН |
250 | 200 | 150 | 100 | 50 |
1 | 5 | 4,5 | 4 | 3 | 2 |
2 | 6 | 6 | 5 | 4,5 | 4 |
4 и более | 6 | 6 | 6 | 5 | 5 |
6.5. Глубина сезонного промерзания или для вечномерзлых грунтов - оттаивания определяется расчетом согласно
Приложению Д для открытой очищенной от снега поверхности покрытия и исчисляется от его верха с учетом вертикальной планировки поверхности аэродрома и теплотехнических характеристик материалов основания и покрытия.
6.6. При наличии в грунтовом основании слабых грунтов (водонасыщенных глинистых, заторфованных, торфа, ила, сапропеля), лессовых, засоленных, набухающих и других просадочных разновидностей грунтов, а также вечномерзлых, просадочных при оттаивании грунтов необходимо учитывать осадки (просадки) грунтов основания

, происходящие при производстве земляных работ, а также при дальнейшей консолидации грунта основания в период эксплуатации покрытия под влиянием природно-климатических факторов.
Примечание - К слабым грунтам относятся грунты, модуль деформации которых равен или менее 5 МПа.
6.7. Расчетные значения вертикальных деформаций основания

в период эксплуатации покрытия не должны превышать предельных значений

, указанных в таблице 6.2.
Аэродромные покрытия | Предельные значения вертикальных деформаций основания su, м, для |
ИВПП | магистральных РД | МС, РД и др. |
Капитальные с жестким покрытием: | | | |
бетонным, армобетонным, железобетонным монолитным | 0,02 | 0,03 | 0,04 |
железобетонным сборным | 0,03 | 0,04 | 0,06 |
Капитальные с нежестким покрытием | 0,03 | 0,04 | 0,06 |
Облегченные с нежестким покрытием | 0,04 | 0,05 | 0,08 |
При реконструкции или усилении существующих аэродромных покрытий в случаях, когда их фактические вертикальные деформации (по опыту эксплуатации) превышают предельные значения, указанные в
таблице 6.2, допустимость превышения деформаций после реконструкции (усиления) должна решаться с учетом опыта эксплуатации существующего покрытия.
6.8. В целях недопущения превышения предельных вертикальных деформаций грунтовых оснований следует предусматривать мероприятия по исключению или уменьшению вредного воздействия природных и эксплуатационных факторов, устранению неблагоприятных свойств грунта под аэродромным покрытием:
устройство специальных слоев искусственного основания и прослоек (гидроизолирующих, капилляропрерывающих, термоизоляционных, противозаиливающих, армирующих и др.);
водозащитные мероприятия на площадках, сложенных грунтами, чувствительными к изменению влажности (соответствующую горизонтальную и вертикальную планировку территории аэродрома, обеспечивающую сток поверхностных вод, устройство водосточно-дренажной сети);
улучшение строительных свойств грунтов основания (уплотнение трамбованием, предварительным замачиванием просадочных грунтов, полную или частичную замену грунтов с неудовлетворительными свойствами и др.) на глубину, определяемую расчетом из условия снижения возможной вертикальной деформации основания до допускаемого значения;
укрепление грунтов химическим, электрохимическим, термическим и другими способами, а также геосинтетическими материалами.
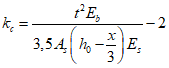
Модуль упругости укрепленного грунта определяется по формуле

, где
k - коэффициент увеличения модуля упругости, полученный в результате испытаний фрагментов конструкций покрытий с армированием и без армирования основания. При отсутствии данных испытаний коэффициент
k принимается равным 1.
Границы специальных слоев основания или грунта с устраненными неблагоприятными свойствами должны отстоять от кромки покрытия не менее чем на 3 м.
6.9. Возвышение поверхности аэродромного покрытия над расчетным уровнем подземных вод следует принимать не менее установленного в таблице 6.3.
Грунт основания (насыпи) | Минимальное возвышение поверхности аэродромного покрытия над уровнем подземных вод, м, в дорожно-климатических зонах |
II | III | IV | V |
Песок средней крупности | 1,1 | 0,9 | 0,8 | 0,7 |
Песок мелкий, супесь | 1,6 | 1,2 | 1,1 | 1,0 |
Глина, суглинок, песок и супесь пылеватые | 2,3 | 1,8 | 1,5 | 1,3 |
За расчетный уровень подземных вод надлежит принимать максимально возможный осенний (перед замерзанием) уровень, а в районах, где наблюдаются частые продолжительные оттепели, - максимально возможный весенний уровень подземных вод. При отсутствии необходимых данных за расчетный допускается принимать уровень, определяемый по верхней линии оглеения грунтов.
В случаях, когда выполнение требований
таблицы 6.3 технико-экономически нецелесообразно, в грунтовом основании, сооружаемом во II и III дорожно-климатических зонах, следует предусматривать устройство капилляропрерывающих, а в IV и V дорожно-климатических зонах - гидроизолирующих прослоек, верх которых должен располагаться на расстоянии от поверхности покрытия 0,9 м - для II и III зон и 0,75 м - для IV и V зон. Низ прослоек должен отстоять от горизонта подземных вод не менее чем на 0,2 м.
6.10. Для аэродромов, располагаемых в I дорожно-климатической зоне, в случае отсутствия вечномерзлых грунтов, а также при использовании вечномерзлых грунтов в качестве естественного основания с предварительным оттаиванием, удалением или осушением переувлажненных грунтов минимальное возвышение поверхности аэродромного покрытия над уровнем подземных вод надлежит принимать как для II дорожно-климатической зоны
(таблица 6.3).
6.11. Требуемую степень уплотнения насыпных грунтов следует предусматривать исходя из коэффициента уплотнения (отношения наименьшей требуемой плотности сухого грунта к максимальной плотности сухого грунта при стандартном уплотнении), значения которого приведены в таблице 6.4.
Грунт | Коэффициент уплотнения грунта основания покрытий |
капитального типа | облегченного типа |
Песок, супесь | 0,98/0,95 | 0,95/0,95 |
Суглинок | 1,00/0,98 | 0,98/0,95 |
Глина | 1,00/0,98 | 0,98/0,95 |
Примечание - Перед чертой приведены значения коэффициента уплотнения грунта в зоне сезонного промерзания, после черты - ниже границы сезонного промерзания, а также для насыпей, возводимых в IV и V дорожно-климатических зонах. |
Если в выемках или в местах нулевых работ естественная плотность грунта ниже требуемой, следует предусматривать уплотнение грунта до норм, приведенных в
таблице 6.4, на глубину 1,2 м для I - III дорожно-климатических зон и 0,8 м - для IV и V зон, считая от поверхности грунтового основания.
6.12. При реконструкции (усилении) покрытия в случаях, когда фактическое возвышение поверхности существующего аэродромного покрытия над уровнем грунтовых вод менее установленных в
таблице 6.3 или плотность грунта под аэродромным покрытием ниже установленного в
таблице 6.4, допустимость сохранения такого положения после реконструкции должна решаться с учетом опыта эксплуатации существующего покрытия.
6.13. Нормативные требования, которые надлежит выполнять и контролировать при производстве земляных работ, и методы контроля приведены в таблице 6.5.
Таблица 6.5
Конструктивный элемент, вид работ и контролируемый параметр | Значения нормативных требований | Метод контроля |
Грунтовое основание, ГВПП, грунтовые элементы ЛП | | |
1. Толщина плодородного слоя | Не более 5% значений могут иметь отклонения от проектных до минус 20%, остальные - до минус 10% | Нивелирование |
2. Высотные отметки по оси | То же, до  30 мм, остальные - до  20 мм | То же |
3. Продольные уклоны | То же, до  0,002, остальные - до  0,001 | Расчет по результатам исполнительной геодезической съемки |
4. Поперечные уклоны | То же, до  0,008, остальные - до  0,003 | То же |
5. Плотность грунтового слоя | Не более 10% результатов определений могут иметь отклонения до минус 2%, остальные - должны быть не ниже проектных | ГОСТ 5180, допускается использовать ускоренные и полевые экспресс-методы и приборы |
6. Неровность по оси (просвет под рейкой длиной 3 м): | | |
на ГВПП, грунтовых элементах спланированной части ЛП | Не более 2% результатов определений могут иметь значения просветов до 60 мм, остальные - до 30 мм | |
на грунтовом основании | То же, до 40 мм, остальные - до 20 мм | То же |
7. Алгебраическая разность  высотных отметок точек по оси ГВПП с интервалами 5, 10 и 20 м | Не более 5% результатов определений могут иметь значения до 60, 100, 160 мм, остальные - до 30, 50, 80 мм | Нивелирование и расчет по формуле  , где  ,  ,  - отметки смежных точек |
Основания на набухающих грунтах
6.14. Свойства набухания глинистых грунтов, используемых для основания, следует учитывать, если при замачивании водой или химическими растворами относительная деформация набухания без нагрузки

.
Значение относительного набухания (отношение увеличения высоты образца грунта в результате его замачивания водой или другой жидкостью к начальной высоте образца грунта природной влажности) определяется по
ГОСТ 24143.
6.15. При проектировании оснований на набухающих грунтах следует предусматривать конструктивные мероприятия, предотвращающие увлажнение природного грунта, а также замену набухающего грунта ненабухающим или устройство насыпи из ненабухающих грунтов таким образом, чтобы верхняя граница набухающих грунтов находилась на глубине от верха аэродромного покрытия, м, не менее:
1,3 - для слабонабухающих грунтов

;
1,8 - " средненабухающих "

;
2,3 - " сильнонабухающих "

.
Основания на просадочных грунтах
6.16. Просадочные свойства грунтов, используемых в качестве основания, следует учитывать в пределах толщи грунта, где:
суммарное сжимающее напряжение от собственного веса грунта и аэродромного покрытия

и эксплуатационной нагрузки

превышает начальное просадочное давление

;
влажность грунта
w выше (или может стать выше) начальной просадочной влажности

(минимальной влажности, при которой проявляются просадочные свойства грунта);
относительная просадочность под действием внешней нагрузки

.
При проектировании оснований, сложенных просадочными грунтами, следует учитывать возможность повышения влажности грунтов, имеющих степень влажности

, из-за нарушения природных условий испарения вследствие устройства аэродромного покрытия (экранирования поверхности). Конечную влажность грунтов надлежит принимать равной влажности на границе раскатывания

.
Характеристики просадочных свойств грунтов определяют по
ГОСТ 23161.
6.17. Грунтовые условия площадок, сложенных просадочными грунтами, в зависимости от возможности проявления просадки подразделяются на два типа:
I - просадка происходит в пределах сжимаемой толщи грунта (в основном, в пределах ее верхней части) от действия эксплуатационной нагрузки, а просадка грунта от собственного веса отсутствует или не превышает 0,05 м;
II - помимо просадки грунта от эксплуатационной нагрузки возможна просадка (преимущественно в нижней части просадочной толщи) от собственного веса грунта и размер ее превышает 0,05 м.
6.18. Мероприятия по устранению просадочных свойств грунта должны предусматриваться в зависимости от выполнения условия

, (6.1)
где

- вертикальное сжимающее напряжение в грунте от эксплуатационной нагрузки, определяемое по
Приложению Ж;

- вертикальное сжимающее напряжение от собственного веса грунта и аэродромного покрытия;

- начальное просадочное давление (минимальное давление, при котором проявляются просадочные свойства грунта при его полном водонасыщении), определяемое по
ГОСТ 23161.
Если
условие (6.1) удовлетворено, следует предусматривать уплотнение верхнего слоя просадочного грунта в соответствии с требованиями
6.11.
Если

, необходимо кроме уплотнения верхнего слоя предусматривать мероприятия по устранению просадочных свойств грунта (предварительное замачивание, полную или частичную замену грунта подушками из песка, гравия, щебня и других непросадочных материалов) на глубину, обеспечивающую удовлетворение условия

, (6.2)
где

- значение вертикальной деформации основания, вызванной просадкой грунта, определяемое расчетом при влажности

на границе раскатывания;

- предельное значение вертикальной деформации, принимаемое по
таблице 6.2.
6.19. При проектировании элементов аэродрома, располагаемого на участках с грунтовыми условиями II типа по просадочности, наряду с устранением просадочных свойств грунтов основания следует предусматривать устройство гидроизоляционного слоя под аэродромной одеждой и на расстоянии 3 м в обе стороны от кромки покрытия, устройство водонепроницаемых отмосток шириной не менее 2 м, а если начальная просадочная влажность

меньше влажности на границе раскатывания

- устранение просадочных свойств грунта предварительным его замачиванием.
6.20. Для возведения низких насыпей (высотой до 1 м) на участках с грунтовыми условиями II типа по просадочности следует предусматривать применение недренирующих грунтов. Дренирующие грунты допускается применять при технико-экономическом обосновании только на участках с грунтовыми условиями I типа по просадочности.
Для возведения насыпей высотой более 1 м разрешается применять дренирующие грунты, однако естественный грунт под насыпью и на расстоянии не менее 5 м в обе стороны от нее должен быть уплотнен на глубину не менее 0,5 м до максимальной плотности сухого грунта или нижняя часть насыпи (высотой 0,5 м) должна быть выполнена из недренирующих грунтов.
Основания на торфах, заторфованных
и слабых глинистых грунтах
6.21. При проектировании грунтовых оснований под аэродромные покрытия, располагаемых на торфах, заторфованных и слабых глинистых грунтах, следует предусматривать:
для оснований под аэродромные покрытия, рассчитываемые на нормативные нагрузки в/к, I, II и III категорий, а под аэродромные покрытия с асфальтобетонным покрытием, рассчитываемые и на нормативные нагрузки IV, V и VI категорий, замену торфа и заторфованных грунтов на всю глубину их залегания и замену слабых глинистых грунтов на глубину сжимаемой толщи (см.
таблицу 6.1);
для оснований под аэродромные покрытия облегченного типа, а также под аэродромные покрытия с покрытием из сборных железобетонных плит, рассчитываемые на нормативную нагрузку IV категории, разрешается использовать торф, заторфованные и слабые грунты в пределах сжимаемой толщи грунтового основания, при этом устройство аэродромного покрытия следует предусматривать после предварительного обжатия торфа, заторфованного или слабого грунта весом насыпи до условной стабилизации осадок

, м, определяемой по формуле

, (6.3)
где

- полная осадка, м;

- предельная осадка аэродромного покрытия, м, принимаемая по
таблице 6.2.
Примечание - Категории нормативных нагрузок приведены в
таблице 7.9.
6.22. Для повышения несущей способности насыпи, возводимой на естественном основании из торфа, заторфованного и слабого грунтов, устойчивости ее к воздействию эксплуатационных нагрузок, исключения местных просадок и проникания этих грунтов в тело насыпи, а также обеспечения возможности выполнения работ по устройству насыпи в период переувлажнения естественного грунта необходимо предусматривать укладку рулонных геосинтетических материалов на поверхность торфа, заторфованного или слабого глинистого грунта.
Основания на засоленных грунтах
6.23. При проектировании оснований, предусматриваемых в районах распространения засоленных грунтов, особые свойства их надлежит учитывать, если солевой горизонт находится в пределах сжимаемой толщи грунта (см.
таблицу 6.1).
Возможность использования грунтов различной степени засоления в качестве естественного основания и в насыпях должна устанавливаться согласно таблице 6.6. При этом в случае неравномерного по глубине содержания солей степень засоления грунтового основания следует принимать по средневзвешенному содержанию солей.
Таблица 6.6
Грунт по степени засоления | Среднее содержание легкорастворимых солей, % к массе сухого грунта, при соотношении содержания ионов Cl' и  | Возможность использования в качестве основания |
хлоридное и сульфатно-хлоридное засоление  | сульфатное, хлоридно-сульфатное и содовое засоление  |
Слабозасоленный | От 0,3 до 1,0 | От 0,3 до 0,5 | Пригоден |
Засоленный | Св. 1,0 " 5,0 | Св. 0,5 " 2,0 | " |
Сильнозасоленный | " 5,0 " 8,0 | " 2,0 " 5,0 | " |
Избыточно засоленный | Св. 8,0 | Св. 5,0 | Не пригоден |
6.24. Грунты, содержащие гипс, допускается использовать в качестве естественного основания без ограничения, а в насыпях, возводимых во II - IV дорожно-климатических зонах, - при содержании гипса не более 30% массы сухого грунта, в V зоне - не более 40%.
Для аэродромов, расположенных в зоне искусственного орошения, или при глубине уровня подземных вод меньше глубины промерзания использование сильнозасоленных грунтов в качестве основания аэродромных одежд не допускается, а предельное содержание гипса в грунтах насыпей необходимо снижать на 10%.
6.25. Возвышение аэродромного покрытия над расчетным уровнем подземных вод следует принимать на 20% больше, чем указано в
таблице 6.3, а по поверхности основания, сложенного средне- и сильнозасоленными грунтами, необходимо предусматривать устройство гидроизолирующего слоя.
6.26. Коэффициент уплотнения насыпей, возводимых из засоленных грунтов, следует принимать не менее 0,98 при аэродромном покрытии облегченного типа и для грунтовой части летного поля, 1,00 - при аэродромном покрытии капитального типа.
Основания на вечномерзлых грунтах
6.27. При проектировании аэродромов, размещаемых в районах распространения вечномерзлых грунтов, следует принимать один из следующих трех принципов использования грунтов в качестве естественных оснований аэродромных покрытий:
I - грунты основания используются в мерзлом состоянии, сохраняемом в течение всего заданного периода эксплуатации аэродромных покрытий;
II - допускается частичное или полное оттаивание грунтов (сезонно-оттаивающего слоя), которые оттаивали до устройства аэродромного покрытия;
III - предусматривается предварительное оттаивание вечномерзлых грунтов с удалением или осушением переувлажненных слоев.
6.28. Принципы I и II использования вечномерзлых грунтов в качестве основания аэродромного покрытия должны применяться, если годовой температурный баланс покрытия отрицателен (сумма отрицательных градусо-часов покрытия не меньше суммы положительных градусо-часов), т.е. при соблюдении условия

, (6.4)
где i - месяц года;

- среднемесячная температура поверхности покрытия, определяемая с учетом среднемесячной температуры воздуха и среднемесячной солнечной радиации, принимаемых в соответствии с требованиями
СП 131.13330;

- продолжительность
i-го месяца, ч.
Принцип I должен применяться, если естественные грунты сезонно-оттаивающего слоя в талом состоянии не обладают достаточной несущей способностью или дают недопустимые осадки, при экономически целесообразных затратах на мероприятия по сохранению вечномерзлого состояния.
Принцип II должен применяться при наличии в основании грунтов, деформация которых при сезонном оттаивании на расчетную глубину не превышает предельно допускаемых значений для аэродромов данного класса.
Принцип III должен применяться, если годовой температурный баланс покрытия положителен, при этом предварительное оттаивание вечномерзлых грунтов производится до горизонта непросадочных при оттаивании грунтов. Применение данного принципа использования грунтов в качестве оснований аэродромных покрытий должно обосновываться технологическими возможностями и экономической целесообразностью намечаемых способов оттаивания вечномерзлых грунтов.
6.29. Вертикальную планировку аэродромов с использованием грунтов естественного основания по принципам I и II следует осуществлять подсыпкой в виде теплоизолирующей насыпи без нарушения сложившегося торфомохового покрова.
В качестве основных материалов для насыпи следует применять грунты и материалы, не подвергающиеся деформациям при промерзании или оттаивании.
6.30. Для уменьшения толщины теплоизолирующей насыпи (при соответствующем технико-экономическом обосновании) следует предусматривать в ее теле слои из высокоэффективных теплоизолирующих материалов: полимерных (пенопластов); легких бетонов, в которых содержатся пористые заполнители (керамзит, аглопорит, измельченные частицы пенопласта и т.п.); золошлаковых смесей и др.
Требуемую толщину теплоизолирующего слоя следует определять на основании теплотехнических расчетов (см.
Приложение Д) исходя из условия, чтобы для оснований, проектируемых по принципу I, расчетная глубина оттаивания находилась в пределах теплоизолирующей насыпи, а для оснований, проектируемых по принципу II, соблюдалось условие

, (6.5)
где

- значение ожидаемой деформации пучения сезонно-оттаивающего слоя грунтов, определяемое согласно
Приложению Е;

- предельное значение вертикальной деформации, принимаемое по
таблице 6.2.
6.31. При использовании грунтов в качестве оснований по принципу II, а также по принципу I, если в процессе производства земляных работ допускается временное оттаивание грунтов основания, необходимо предусматривать устройство дренирующего слоя толщиной не менее 0,5 м из грунтов и материалов, имеющих коэффициент фильтрации не менее 7 м/сут.
6.32. При использовании грунтов в качестве оснований по принципу III величину ожидаемой осадки вечномерзлых грунтов

, м, после их оттаивания следует определять по формуле

, (6.6)
где n - число слоев грунта, на которое разделяется оттаивающее основание в зависимости от просадочных свойств грунта;

- значение относительной осадки
i-го слоя грунта, определяемое натурными испытаниями вечномерзлых грунтов путем оттаивания кернов под суммарным давлением от собственного веса грунта, аэродромного покрытия и от эксплуатационной нагрузки или методом горячего штампа. Значения

допускается определять расчетом в зависимости от природной влажности грунта
w, коэффициента пористости
e и числа пластичности

. Для уплотненного торфяного слоя значение

допускается принимать равным от 0,03 до 0,04, а для неуплотненного слоя - 0,5;

- толщина
i-го слоя сжимаемого грунта в природном состоянии, м.
6.33. При назначении коэффициента морозного пучения и коэффициента постели следует основания, проектируемые по принципу I, относить к первому типу гидрогеологических условий, а проектируемые по принципам II и III - ко второму типу при обеспеченном водоотводе и к третьему типу, если отвод воды из оттаивающего слоя не обеспечен.
Основания на пучинистых грунтах
6.34. Пучинные свойства грунтов следует учитывать, если глинистые грунты к началу промерзания имеют показатель текучести

или если уровень подземных вод находится ниже расчетной глубины промерзания, м, менее чем на:
1,0 - для песков мелких;
1,5 - для песков пылеватых, супесей;
2,5 - для суглинков, крупнообломочных грунтов с глинистым заполнителем;
3,0 - для глин.
6.35. Основания на пучинистых грунтах должны удовлетворять условию

, (6.7)
где

- равномерная деформация пучения поверхности грунтового основания, определяемая в соответствии с
Приложением Е;

- предельное значение вертикальной деформации пучения, принимаемое по
таблице 6.2.
понижение уровня подземных вод;
устройство в основании стабильного слоя из непучинистых материалов с применением в отдельных случаях теплоизолирующих материалов для уменьшения глубины промерзания пучинистого грунта;
мероприятия по уменьшению пучинистости грунтов основания путем обработки их на расчетную глубину солями (NaCl,

,

и др.), понижающими температуру замерзания, органическими и минеральными вяжущими, а также путем электрохимической обработки.
| | Применение на обязательной основе раздела 7 обеспечивает соблюдение требований Федерального закона от 30.12.2009 N 384-ФЗ "Технический регламент о безопасности зданий и сооружений" (Постановление Правительства РФ от 26.12.2014 N 1521). | |
7.1.1. Аэродромные покрытия по характеру сопротивления действию нагрузок от воздушных судов подразделяются на:
жесткие (бетонные; армобетонные; железобетонные; а также асфальтобетонные покрытия на цементобетонном основании);
нежесткие (из асфальтобетона; прочных каменных материалов подобранного состава, обработанных органическими вяжущими; из щебеночных и гравийных материалов, грунтов и местных материалов, обработанных неорганическими или органическими вяжущими; сборных металлических элементов).
Примечания
1. Армобетонным считается покрытие из цементного бетона, армированного металлической сеткой, предназначенной для восприятия температурных напряжений.
2. Железобетонным считается армированное цементобетонное покрытие, в котором необходимую площадь сечения арматуры определяют расчетом на прочность и ширину раскрытия трещин.
7.1.2. Покрытия подразделяются по степени капитальности на:
капитальные (с жестким и асфальтобетонным покрытиями);
облегченные (с нежестким покрытием, кроме покрытия из асфальтобетона).
7.1.3. Аэродромные покрытия должны отвечать требованиям:
безопасности и регулярности выполнения взлетно-посадочных операций воздушных судов;
прочности, надежности и долговечности конструкции в целом и составных ее элементов (обеспечиваются расчетом прочности и выполнением требований к строительным материалам);
ровности и шероховатости поверхности в соответствии с
таблицей 7.1;
Конструктивный элемент, вид работ и контролируемый параметр | Нормативные требования | Метод контроля |
1. Все слои искусственных оснований и покрытий | | |
1.1. Высотные отметки по оси каждого ряда | Не более 5% результатов определений могут иметь отклонения от проектных значений до  15 мм, остальные - до  5 мм | Нивелирование |
1.2. Поперечный уклон каждого ряда | То же, до  0,005, остальные -  0,002 (но не выше предельно допускаемых уклонов) | Расчет по результатам исполнительной геодезической съемки |
2. Основания, выравнивающие прослойки и покрытия (кроме сборных бетонных) | | |
2.1. Ширина ряда укладки: | | |
монолитных бетонных, армобетонных, железобетонных покрытий (оснований) и асфальтобетонных покрытий | То же, до  10 см, остальные - до  5 см | Измерение мерной лентой, рулеткой |
всех остальных типов оснований, покрытий и выравнивающих прослоек | То же, до  20 см, остальные - до  10 см | То же |
2.2. Прямолинейность продольных и поперечных швов покрытий | Не более 5% результатов определений могут иметь отклонения от прямой линии до 8 мм, остальные - до 5 мм на 1 м (но не более 10 мм на 7,5 м) | Измерение металлической линейкой по краю слоя |
2.3. Ширина пазов деформационных швов всех типов покрытий | Не менее проектной, но не более 35 мм | Измерение щупом или штангенциркулем |
2.4. Толщина конструктивного слоя: | | |
монолитных бетонных, армобетонных, железобетонных и асфальтобетонных покрытий и цементобетонных оснований | Не более 5% результатов определений могут иметь отклонения от проектных значений до минус 5%, но не более 10 мм, остальные - не менее проектной | Измерение металлической линейкой по краю слоя |
всех остальных типов покрытий и оснований | То же, до минус 5%, но не более 20 мм, остальные - не менее проектной | То же |
2.5. Коэффициенты уплотнения конструктивных слоев асфальтобетона, не ниже типов А и Б - 0,99, В, Г и Д - 0,98; пористого и высокопористого - 0,98; холодного - 0,96 | Не более 5% результатов определений могут иметь отклонения от указанных значений до минус 0,02, остальные - не менее указанных | |
2.6. Прочность бетона | Не ниже расчетного сопротивления растяжению при изгибе, соответствующего проектному классу прочности | |
2.7. Морозостойкость бетона | Не ниже проектной марки | По ГОСТ 10060 |
2.8. Неровность по оси ряда (просвет под рейкой длиной 3 м): | | |
искусственных оснований | Не более 2% результатов определений могут иметь значения просветов до 10 мм, остальные - до 5 мм | |
всех типов покрытий и выравнивающих слоев | То же, до 6 мм, остальные - до 3 мм | То же |
2.9. Алгебраическая разность  высотных отметок покрытия по оси ряда (точек, отстоящих друг от друга на расстоянии 5, 10 и 20 м) | Не более 5% результатов определений могут иметь значения до 10, 16, 24 мм, остальные - до 5, 8, 16 мм | Нивелирование и расчет по формуле  , где  ,  ,  - отметки смежных точек |
2.10. Превышение граней смежных плит в швах монолитных жестких покрытий: | | |
поперечных | Не более 10% результатов определений могут иметь значения до 6 мм, остальные - до 3 мм | Измерения металлической линейкой или штангенциркулем |
продольных | То же, до 10 мм, остальные - до 3 мм | То же |
3. Сборные покрытия из предварительно напряженных железобетонных плит | | |
3.1. Неровность (просвет под рейкой длиной 3 м) | Не более 2% результатов определений могут иметь значения просветов до 10 мм, остальные - до 5 мм | |
3.2. Превышение граней смежных плит в швах сборных покрытий: | | |
поперечных | Не более 10% результатов определений могут иметь значения до 6 мм, остальные - до 3 мм | Измерения металлической линейкой или штангенциркулем |
продольных | То же, до 10 мм, остальные - до 5 мм | То же |
4. Длина покрытий ВПП, РД, перрона и МС по их осям | Не менее проектного значения | Измерение мерной лентой |
5. Глубина текстуры новой поверхности монолитных бетонных, армобетонных, железобетонных и асфальтобетонных покрытий | Не менее 1 мм, но не более 2,5 мм | Измерения методом "песчаного пятна" |
6. Коэффициент сцепления колеса с покрытием ВПП | Не менее 0,45 | По ГОСТ 30413 или измерение машиной АТТ-2 по мокрой поверхности покрытия толщиной слоя воды 1 мм |
Нормативные требования, которые следует выполнять и контролировать при строительстве каждого слоя аэродромного покрытия, и методы контроля приведены в
таблице 7.1.
7.1.4. Нормативные и расчетные характеристики бетона, асфальтобетона, материалов, применяемых для устройства оснований под покрытия жесткого и нежесткого видов, следует принимать по
Приложению И.
7.1.5. Проектный срок службы капитальных покрытий, обеспечивающих эксплуатацию воздушных судов с заданной интенсивностью, должен быть не менее 20 лет для жестких покрытий и 10 лет для нежестких покрытий и жестких, усиленных асфальтобетоном. Покрытия облегченного типа должны проектироваться на срок службы не менее 5 лет.
7.1.6. Покрытия аэродромов, включая слои искусственных оснований, надлежит рассчитывать по методу предельных состояний на многократное воздействие вертикальных нагрузок от воздушных судов как многослойные конструкции, лежащие на упругом основании.
Асфальтобетонные покрытия, кроме того, следует рассчитывать на восприятие аэродинамических нагрузок от газовоздушных струй авиадвигателей, если скорость струи в зоне контакта с покрытием равна или более 100 м/с.
7.1.7. Покрытия на обочинах ИВПП, РД, МС, перронов, укрепляемых участках, примыкающих к торцам ИВПП, и покрытия концевых полос торможения следует предусматривать устойчивыми к воздействию газовоздушных струй от авиадвигателей, а также возможных нагрузок от транспортных и эксплуатационных средств.
7.1.8. Толщину покрытия на укрепляемых участках надлежит принимать по расчету, но не менее минимально допускаемой для конструктивного слоя из данного материала.
7.1.9. Во избежание повреждения воздушных судов при их случайных выкатываниях с ИВПП на гражданских аэродромах с категориями нормативных нагрузок IV и выше сопряжения укрепляемых участков обочин РД, укрепляемых участков, примыкающих к торцам ИВПП, а также отмосток вокруг сооружений водосточно-дренажной сети и кабельной канализации (колодцев, закрытых канав, лотков и т.п.) с грунтовой поверхностью спланированной части ЛП следует устраивать в виде пандуса с заглублением края покрытия (отмостки) в грунт на глубину, равную глубине колеи расчетного типа воздушного судна в грунте, определяемой расчетом. При этом крутизна пандуса должна быть не более 1:10. Отмостки смотровых колодцев рекомендуется устраивать из покрытий нежесткого типа (асфальтобетон, щебень, укрепленный органическим вяжущим и т.д.).
7.1.10. Для обеспечения проектного срока службы возникающие во время эксплуатации дефекты (трещины, сколы, шелушение бетона и т.п.) должны устраняться по мере их появления методами текущего ремонта, поврежденная герметизирующая конструкция в деформационных швах должна восстанавливаться. Также необходимо оценивать работоспособность деформационных швов. При неудовлетворительной оценке следует предусматривать устройство дополнительных компенсационных швов.
Через каждые 5 лет следует определять фактические значения критериев пригодности аэродромных покрытий: прочности, ровности, шероховатости в соответствии с нормативными документами.
Пленка, образовавшаяся после применения средства по уходу за свежеуложенным бетоном, должна быть удалена до наступления отрицательных температур. Вновь построенные жесткие покрытия должны быть пропитаны укрепляющим паропроницаемым составом перед зимней эксплуатацией.
Необходимо отслеживать динамику изменений этих критериев с тем, чтобы планировать необходимые мероприятия по техническому обслуживанию и реконструкции.
7.2. Искусственные основания
7.2.1. Для искусственных оснований и термоизоляционных слоев следует применять бетон тяжелый и мелкозернистый по
ГОСТ 26633, бетон легкий - по
ГОСТ 25820, жесткие бетонные смеси - по
ГОСТ 7473, асфальтобетон плотный, пористый и высокопористый - по
ГОСТ 9128, материалы щебеночные, гравийные и песчаные, не обработанные - по
ГОСТ 25607 и обработанные неорганическими - по
ГОСТ 23558 и органическими вяжущими, щебень и гравий - по
ГОСТ 8267, щебень и песок - по
ГОСТ 3344, песок - по
ГОСТ 8736, грунты, укрепленные органическими вяжущими - по
ГОСТ 30491, а также другие местные материалы.
7.2.2. Материалы всех слоев искусственных оснований должны обладать морозостойкостью, соответствующей климатическим условиям района строительства. Требования к морозостойкости приведены в таблице 7.2.
Таблица 7.2
Материал слоев искусственных оснований | Морозостойкость материалов, не ниже, при среднемесячной температуре воздуха наиболее холодного месяца, °C |
ниже минус 15 | ниже минус 5 до минус 15 включительно | минус 5 и выше |
Щебень, щебень из гравия, щебеночно-гравийно-песчаные смеси | F 50 | F 25 | F 15 |
Гравий | F 25 | F 15 | F 15 |
Щебень, гравий, песчано-гравийные, грунтогравийные и грунтощебеночные смеси, укрепленные органическими вяжущими | F 25 | F 25 | F 15 |
Щебень, обработанный неорганическими вяжущими | F 50 | F 25 | F 15 |
Гравий, песчано-гравийные, грунтогравийные и грунтощебеночные смеси, укрепленные неорганическими вяжущими, пескоцемент и грунтоцемент в части основания: | | | |
верхней | F 25 | F 25 | F 15 |
нижней | F 15 | F 15 | F 10 |
Песчано-гравийные, грунтогравийные и грунтощебеночные смеси | F 25 | F 15 | F 15 |
Мелкозернистый бетон, керамзитобетон, шлакобетон, тяжелый бетон низких классов прочности (B < 20) | F 50 | F 50 | F 25 |
Примечание - К верхней части основания относятся слои, лежащие в пределах верхней половины глубины промерзания участков, к нижней - слои, лежащие в пределах нижней половины глубины промерзания, считая от поверхности покрытия. |
7.2.3. При устройстве искусственных оснований из крупнозернистых материалов, укладываемых непосредственно на глинистый и пылеватый грунты, должна быть предусмотрена противозаиливающая прослойка, которая исключала бы возможность проникания грунта основания при его увлажнении в слой крупнопористого материала.
В качестве материала противозаиливающей прослойки может быть использован водопроницаемый синтетический рулонный геотекстиль или зернистый материал, не переходящий в пластическое состояние при увлажнении (песок, местный грунт, обработанный вяжущими, шлак и др.). В случае устройства противозаиливающей прослойки из зернистого материала ее толщина должна быть не менее размера наиболее крупных частиц используемого зернистого материала, но не менее 0,05 м.
7.2.4. При грунтовом основании, состоящем из недренирующих грунтов (глин, суглинков и супесей пылеватых) в конструкциях искусственных оснований необходимо устраивать дренирующие слои из материалов с коэффициентом фильтрации не менее 7 м/сут, определяемом по
ГОСТ 25584. Толщину дренирующих слоев следует определять расчетом. Толщина дренирующих слоев из песков (крупных и средней крупности) должна быть не менее указанной в таблице 7.3.
Таблица 7.3
Грунт естественного основания | Минимальная толщина дренирующего слоя для дорожно-климатических зон, м |
I | II | III | IV |
Глина, суглинок | 0,35 | 0,30/0,35 | 0,20/0,25 | 0,15 |
Суглинок и супесь пылеватые | 0,50 | 0,40/0,50 | 0,30/0,35 | 0,15/0,20 |
Примечания 1 Толщину слоя, указанную перед чертой, следует принимать для районов, расположенных в южной части дорожно-климатической зоны, за чертой - в северной части. 2 Толщина дренирующего слоя в конструкции покрытия на пучинистых грунтах должна уточняться расчетом на морозное пучение (приложение Е). 3 Для снижения толщины дренирующего слоя допускается использовать дренирующие геосинтетические прослойки. Толщина дренирующего слоя при этом должна уточняться расчетом. |
7.2.5. Прочность несущих слоев искусственных оснований должна быть достаточной для восприятия нагрузок от построечного транспорта, используемого при строительстве искусственных покрытий.
7.2.6. Ширина слоев искусственного основания должна определяться с учетом технических требований, предъявляемых к технологии укладки материалов слоев основания и покрытия.
7.3.1. Новые жесткие монолитные покрытия следует проектировать, как правило, однослойными. Двухслойные монолитные покрытия могут применяться только при технической невозможности укладки слоя бетона требуемой расчетом толщины или усилении существующих покрытий, обоснованными технико-экономическими расчетами.
7.3.2. Строительство жестких покрытий следует, как правило, выполнять из тяжелого бетона, отвечающего требованиям
ГОСТ 26633 и настоящего свода правил. Допускается применять при технико-экономическом обосновании мелкозернистый бетон, отвечающий требованиям
ГОСТ 26633, при этом класс прочности на сжатие при использовании его в однослойном или верхнем слое двухслойного покрытия должен быть не ниже B30.
Коррозийная стойкость бетона должна быть обеспечена с учетом химической агрессивности среды и компонентов бетонной смеси.
Классы бетона по прочности на сжатие и растяжение при изгибе необходимо принимать не ниже указанных в таблице 7.4.
Таблица 7.4
Аэродромное покрытие | Минимальный класс бетона по прочности на |
растяжение при изгибе | сжатие |
Однослойное монолитное покрытие из бетона, армобетона, железобетона (с ненапрягаемой арматурой) | Btb4,0 | B30 |
Верхний слой двухслойного монолитного покрытия из бетона, армобетона, железобетона (с ненапрягаемой арматурой) | Btb4,0 | B30 |
Нижний слой двухслойного покрытия | Btb2,8 | B20 |
Сборное из железобетонных предварительно напряженных плит, армированных: | | |
проволочной арматурой или арматурными канатами | Btb4,0 | B30 |
стержневой арматурой | Btb3,6 | B25 |
Примечания 1 Для покрытий, рассчитанных на внекатегорийную нагрузку (таблица 7.8), следует применять бетон класса не ниже B tb4,4 (B40). 2 Для сборных предварительно напряженных железобетонных плит должно быть обеспечено дополнительное требование к минимальному проектному классу прочности бетона на сжатие: B30 - для плит, армированных проволочной арматурой или арматурными канатами, и B25 - для плит, армированных стержневой арматурой. 3 Для покрытий, рассчитанных на нагрузки с давлением воздуха в пневматиках колес не более 0,6 МПа, допускается при соответствующем технико-экономическом обосновании применять бетон класса Btb3,2 (B25). |
7.3.3. Марку бетона по морозостойкости для покрытий следует назначать в соответствии с картой, приведенной на рисунке 7.1.
Рисунок 7.1. Районирование территории Российской
Федерации по требуемой морозостойкости бетона
для однослойных и верхнего слоя двухслойных покрытий
Для аэродромов, расположенных на границе районов, указанных на карте, следует принимать большую марку по морозостойкости.
Для нижнего слоя двухслойных покрытий марку бетона по морозостойкости следует принимать при среднемесячной температуре наиболее холодного месяца, °C:
от 0 до минус 5 ................................... не ниже F50
от минус 5 до минус 15 ............................ " " F75
ниже минус 15 ..................................... " " F100
Примечания
1. Расчетная среднемесячная температура наружного воздуха принимается в соответствии с требованиями
СП 131.13330.
2. Если нижний слой на зимний период остается открытым, он должен быть покрыт гидрофобизирующим или другими защитными составами.
7.3.4. Требуемую толщину монолитного жесткого слоя следует определять расчетом и принимать не менее 0,16 м.
При усилении жестких покрытий бетоном или армобетоном требуемую толщину слоя усиления следует определять расчетом и принимать не менее 0,2 м.
7.3.5. Вид и класс арматуры следует устанавливать в зависимости от вида покрытия, назначения арматуры, технологии приготовления арматурных элементов и способов их использования (ненапрягаемая и напрягаемая арматура).
Характеристики арматурных сталей приведены в
[2].
В качестве ненапрягаемой арматуры следует применять обыкновенную арматурную проволоку классов В500 (Вр-I) (в сварных сетках и каркасах) или горячекатаную арматурную сталь периодического профиля классов А300 (А-II) и А400 (А-III). В качестве монтажной, распределительной и конструктивной арматуры, а также для элементов стыковых соединений следует использовать горячекатаную арматурную сталь гладкую класса А240 (А-I).
7.3.6. Толщина защитного слоя в монолитных железобетонных покрытиях должна быть не менее 40 мм для верхней арматуры и 30 мм - для нижней.
7.3.7. Армобетонные покрытия при толщине плит до 0,3 м следует армировать сетками из стержневой арматуры диаметром от 10 до 14 мм, при толщине плиты свыше 0,3 м - диаметром от 14 до 18 мм. Сетки надлежит располагать на расстоянии от верха плиты, равном от 1/3 до 1/2 толщины плиты.
Процент продольного армирования плит (степень насыщения бетона арматурой) следует принимать от 0,1 до 0,15, а шаг стержней - от 0,15 до 0,4 м в зависимости от ширины плиты и диаметра стержней арматуры.
Поперечное армирование - конструктивное; расстояние между поперечными стержнями следует принимать равным 0,4 м.
7.3.8. Для армирования железобетонных покрытий с ненапрягаемой арматурой надлежит применять арматуру диаметром от 12 до 18 мм в виде сварных каркасов. Необходимую площадь сечения арматуры следует определять расчетом, при этом процент армирования должен быть не менее 0,25. Арматуру необходимо размещать в продольном и поперечном направлениях в верхней и нижней зонах сечения плиты в соответствии с величиной изгибающих моментов.
Расстояние между стержнями в зависимости от требуемой площади арматуры и принятого диаметра стержней следует принимать от 0,1 до 0,3 м.
7.3.9. Арматурные сетки и каркасы не должны сдвигаться в процессе бетонирования. Конструктивные элементы, обеспечивающие их устойчивость, не должны препятствовать свободному температурному перемещению плит в процессе эксплуатации.
7.3.10. Сборные покрытия из типовых плит ПАГ-14 следует применять для нагрузок на колесо не более 100 кН для многоколесной опоры и не более 170 кН для одноколесной, ПАГ-18 - не более 140 кН для многоколесной опоры и не более 200 кН для одноколесной опоры, ПАГ-20 - не более 180 кН и 250 кН соответственно. Плиты должны удовлетворять требованиям ГОСТ 25912.0 - ГОСТ 25912.4.
7.3.11. Между плитами жестких монолитных покрытий и искусственными основаниями, а также между слоями двухслойных монолитных покрытий необходимо предусматривать конструктивные мероприятия, обеспечивающие независимость горизонтальных перемещений слоев (разделительные прослойки из пергамина и пленочных полимерных материалов). В покрытиях без швов расширения необходимо использовать два слоя пленочных материалов, при устройстве швов расширения допускается использовать один слой. Применение пескобитумного коврика не допускается.
При устройстве двухслойных покрытий методом сращивания разделительная прослойка не устраивается.
7.3.12. Сборные покрытия из предварительно напряженных железобетонных плит, устраиваемых на основаниях всех типов, кроме песчаных, следует укладывать по выравнивающей прослойке из пескоцементной смеси толщиной 3 - 5 см. Разделительную прослойку в этом случае не устраивают.
7.4. Деформационные швы в жестких покрытиях
7.4.1. Жесткие монолитные покрытия следует разделять на отдельные плиты деформационными швами. Размеры плит должны устанавливаться в зависимости от местных климатических условий; колеи опор от воздушного судна, оказывающего максимальное силовое воздействие на покрытие; размещения огней системы светосигнального оборудования, а также в соответствии с намеченной технологией производства строительных работ.
7.4.2. Расстояния между деформационными швами сжатия (длина плит) не должны превышать, м, для монолитных покрытий:
бетонных толщиной менее 30 см ................. 25-кратной толщины слоя
(допускается округление до целых метров)
бетонных толщиной 30 см и более ............... 7,5
железобетонных с арматурой в одном уровне ..... 7,5
железобетонных с арматурой в двух уровнях ..... 20
армобетонных при годовой амплитуде среднемесячных температур, °C:
45 и выше ..................................... 10
менее 45 ...................................... 15
Примечание - Годовую амплитуду среднемесячных температур вычисляют как разницу средних температур воздуха наиболее жаркого и наиболее холодного месяцев, определяемых в соответствии с требованиями
СП 131.13330.
7.4.3. В районах со сложными природными условиями расстояния между деформационными швами сжатия для армобетонных и железобетонных покрытий не должны превышать 10 м.
7.4.4. В монолитных покрытиях технологические швы, как правило, следует совмещать с деформационными швами. Для смежных полос покрытия одинаковой конструкции поперечные швы следует совмещать.
К технологическим относятся швы, устройство которых обусловливается шириной захвата бетоноукладочных машин и возможными перерывами в строительном процессе.
7.4.5. Необходимость устройства швов расширения в жестких монолитных покрытиях на ИВПП, РД, МС, перронах и расстояние между ними следует обосновывать расчетом с учетом климатических условий и конструктивных особенностей покрытий.
7.4.6. Швы расширения необходимо устраивать при примыкании покрытий к другим сооружениям, а также при примыкании РД к ИВПП и перрону, криволинейных участков к прямолинейным.
7.4.7. В сборных покрытиях из предварительно напряженных плит со стыковыми соединениями, препятствующими горизонтальной подвижке плит, следует устраивать деформационные швы.
7.4.8. Расстояния, м, между поперечными деформационными швами, а также между продольными деформационными швами сборных покрытий на перронах, МС и площадках специального назначения не должны превышать при годовой амплитуде среднемесячных температур, °C:
св. 45 ........................................... 12
от 30 до 45 ...................................... 18
менее 30 ......................................... 24
7.4.9. Продольные деформационные швы в сборных покрытиях ИВПП и РД не устраиваются.
7.4.10. Расстояние между деформационными швами в нижнем бетонном слое двухслойных покрытий не должно превышать 10 м.
7.4.11. В основаниях из тяжелого бетона низких классов прочности, керамзитобетона, песчаного (мелкозернистого) бетона, а также шлакобетона следует устраивать швы сжатия, расстояние между которыми должно быть не более 15 м. Швы в основаниях, как правило, должны совмещаться со швами покрытий.
Примечание - Если предусматривается перерыв в строительных работах на зимний период, расстояния между деформационными швами в нижних слоях двухслойных покрытий и основаниях следует принимать как для бетонных покрытий в соответствии с требованиями
7.4.2.
7.4.12. В деформационных швах покрытий применяются стыковые соединения, обеспечивающие передачу нагрузки с одной плиты на другую и возможность взаимного горизонтального смещения плит в направлении, перпендикулярном шву. Вместо устройства стыковых соединений допускается усиление краевых участков плит армированием или увеличение толщины плиты, обоснованное расчетом.
7.4.13. Двухслойные покрытия, как правило, следует устраивать с совмещением швов в слоях. В отдельных случаях допускается устраивать двухслойные покрытия с несовмещением швов (с несовмещенными швами считаются покрытия, в которых продольные и поперечные швы в верхнем и нижнем слоях взаимно смещены более чем на

, где

- толщина верхнего слоя).
7.4.14. Двухслойные покрытия с совмещенными швами следует, как правило, устраивать со стыковыми соединениями в продольных и поперечных швах. Допускается устраивать стыковые соединения только в верхнем слое, но параметры их принимать как для однослойной плиты, имеющей жесткость, равную суммарной жесткости слоев.
7.4.15. В двухслойных покрытиях с несовмещенными швами нижнюю зону плит верхнего слоя надлежит армировать над швами нижнего слоя в соответствии с расчетом. Допускается заменять армирование увеличением толщины верхнего слоя.
7.4.16. Деформационные швы жестких покрытий должны быть защищены от проникновения поверхностных вод и эксплуатационных жидкостей, а также от засорения их песком, щебнем и другими твердыми материалами. В качестве заполнителей швов должны использоваться специальные герметизирующие материалы горячего и холодного применения, отвечающие ведомственным требованиям деформативности, адгезии к бетону, температуроустойчивости, химической стойкости, липкости к пневматикам авиационных колес и усталостным деформациям, соответствующим условиям их применения. Материалы для герметизации швов не должны изменять свои эксплуатационные свойства при кратковременном воздействии горячих газовоздушных струй от авиадвигателей.
7.5.1. Нежесткие покрытия устраивают многослойными. Требуемую толщину слоев обосновывают расчетом. Минимально допускаемую толщину конструктивного слоя (в уплотненном состоянии) принимают согласно таблице 7.5.
Таблица 7.5
Материал конструктивного слоя нежесткого покрытия и искусственного основания | Минимальная толщина конструктивного слоя, м |
Асфальтобетон при внутреннем давлении воздуха в пневматиках колес воздушных судов, МПа: | |
менее 0,6 | 0,05 |
от 0,6 до 0,7 | 0,07 |
св. 0,7 " 1,0 | 0,09 |
св. 1,0 | 0,12 |
Щебень, гравий, грунты, обработанные органическими вяжущими | 0,08 |
Щебень, обработанный органическими вяжущими по способу пропитки | 0,08 |
Щебень, не обработанный вяжущим и укладываемый на прочное (каменное или укрепленное вяжущими, грунтовое) основание | 0,08 |
Грунты и малопрочные каменные материалы, обработанные минеральными вяжущими | 0,15 |
Щебень или гравий, не обработанные вяжущими и укладываемые на песчаное основание | 0,15 |
Примечания 1 Максимальный размер зерна крупной фракции, применяемого в слое минерального материала, должен быть не менее чем в 1,5 раза меньше толщины конструктивного слоя. 2 Допускается устройство асфальтобетонных слоев толщиной 0,09 - 0,12 м в два слоя из смеси того же качества при условии обеспечения сцепления между ними. |
7.5.2. Общая толщина асфальтобетонных слоев на основаниях из материалов, обработанных неорганическими вяжущими, должна быть не менее приведенной в таблице 7.6.
Среднемесячная температура воздуха наиболее холодного месяца, °C | Общая минимальная толщина асфальтобетонных слоев, м, на основаниях из материалов, обработанных неорганическими вяжущими, и покрытиях из цементобетона |
на ИВПП, магистральной РД | на остальных участках аэродрома |
при категории нормативных нагрузок |
в/к, I, II | III, IV | V, VI | в/к, I, II | III, IV | V, VI |
Минус 5 и выше | 0,09 | 0,07 | 0,07 | 0,09 | 0,07 | 0,06 |
Ниже минус 5 до минус 15 | 0,12 | 0,09 | 0,07 | 0,09 | 0,07 | 0,06 |
Ниже минус 15 или число переходов температуры через 0 °C свыше 50 раз в год | 0,16 | 0,13 | 0,07 | 0,12 | 0,09 | 0,07 |
7.5.3. Асфальтобетонные покрытия необходимо устраивать из асфальтобетонных смесей, отвечающих требованиям
ГОСТ 9128, в том числе из щебеночно-мастичных асфальтобетонных смесей, отвечающих требованиям
ГОСТ 31015 и асфальтобетонных смесей на полимерно-битумном вяжущем (полимерасфальтобетон), отвечающих требованиям
ГОСТ Р 52056.
7.5.4. Верхние слои асфальтобетонных покрытий следует устраивать из плотных смесей, нижние - из плотных или пористых смесей. Применение пористых асфальтобетонных смесей на основаниях, представляющих собой водоупорный слой, не допускается.
7.5.5. Под нагрузки III нормативной категории и выше в верхних слоях нежестких покрытий следует применять плотные асфальтобетонные смеси марки I, под нагрузки IV категории - марки не ниже II, под нагрузки V и VI категорий - не ниже марки III по прочности.
7.5.6. Холодные асфальтобетонные смеси допускается применять при соответствующем технико-экономическом обосновании только на РД, перронах и МС под нагрузки IV категории и ниже.
7.5.7. Тип асфальтобетонной смеси и соответствующую марку битума надлежит принимать с учетом климатических условий в соответствии с
ГОСТ 9128 и
ГОСТ 22245.
7.5.8. Под нагрузки IV нормативной категории и выше асфальтобетонные покрытия следует устраивать на искусственных основаниях из материалов, обработанных вяжущими.
7.6. Усиление существующих покрытий
7.6.1. Необходимость и методы усиления существующих покрытий при реконструкции аэродромов следует устанавливать с учетом прогнозируемого состава и интенсивности движения воздушных судов, а также в зависимости от состояния существующего покрытия, естественного и искусственного оснований, водоотводной и дренажной системы, местных гидрогеологических и климатических условий, характеристик материалов существующего покрытия и основания, высотного положения поверхности покрытия.
7.6.2. Требуемая толщина слоя усиления должна устанавливаться расчетом с учетом фактического состояния и несущей способности существующего покрытия. При этом расчетные характеристики существующего покрытия и основания следует, как правило, определять на основе данных испытаний.
Примечание - В тех случаях, когда проведение испытаний не представляется возможным, допускается расчетные характеристики конструктивных слоев существующего покрытия определять по данным проекта с учетом категории разрушения.
7.6.3. Категорию разрушения существующих жестких покрытий следует устанавливать в соответствии с
таблицей 7.7.
7.6.4. Проектом усиления покрытия следует предусматривать предварительное исправление основания и восстановление разрушенного покрытия, включая устройство выравнивающего слоя при уступах, выбоинах и других неровностях существующего покрытия свыше 2 см, а также восстановление и развитие водоотводной и дренажной системы, в случае отсутствия водоотвода - решить вопрос о необходимости его устройства.
Категория разрушения плит существующих жестких покрытий | Число плит, %, имеющих |
шелушение глубиной св. 1 см | отколы кромок в местах швов | сквозные трещины (продольные или поперечные) | отколы углов, диагональные сквозные трещины наряду со сквозными продольными и поперечными |
I | Менее 10 | - | - | - |
II | От 10 до 30 | Менее 30 | Менее 20 | - |
III | Свыше 30 | 30 и более | От 20 до 30 | Менее 20 |
IV | Не нормируется | Свыше 30 | 20 и более |
Примечания 1 Категорию разрушения устанавливают по признаку, дающему наиболее высокую категорию разрушения. 2 Сквозные трещины учитываются, если среднее расстояние между ними менее 5 м и они не допускаются расчетным предельным состоянием. 3 При определении процента разрушенных плит следует принимать: для ИВПП - среднюю полосу шириной, равной половине ширины ИВПП по всей ее длине; для РД и других элементов покрытия - ряд плит, подвергающихся воздействию нагрузок от основных опор воздушных судов; для МС и перронов - всю рабочую площадь. |
7.6.5. Жесткие покрытия могут усиливаться всеми типами жестких покрытий и асфальтобетоном, исходя из наиболее эффективного использования несущей способности существующего покрытия с учетом конкретных условий. Монолитные железобетонные покрытия надлежит усиливать, как правило, монолитным железобетоном или асфальтобетоном, сборные покрытия из предварительно напряженных плит - сборными покрытиями из предварительно напряженных плит или асфальтобетоном.
7.6.6. Верхний несущий слой (слои) существующих жестких монолитных покрытий, относящихся к III и IV категориям разрушения
(таблица 7.7), как правило, перед усилением следует подвергать разборке или фрагментации.
7.6.7. При реконструкции жестких аэродромных покрытий возможен вариант замены покрытий на участках систематического руления воздушных судов с одновременным устранением дефектов на других участках посредством выполнения ремонтных работ.
7.6.8. При усилении сборных покрытий сборными плитами швы слоя усиления по отношению к швам существующего покрытия следует смещать не менее чем на 0,5 м для продольных и на 1 м для поперечных швов.
7.6.9. При усилении монолитных жестких покрытий монолитным бетоном, армобетоном или железобетоном должны быть удовлетворены требования к двухслойным покрытиям. При числе слоев более двух нижним следует считать слой, расположенный непосредственно под верхним, а остальные слои - рассматривать как искусственные основания.
7.6.10. Для обеспечения контакта плит с основанием при усилении жестких покрытий сборными предварительно напряженными железобетонными плитами между существующим покрытием и сборными плитами следует обязательно, независимо от ровности существующего покрытия, устраивать выравнивающий слой из пескоцемента средней толщиной не менее 3 см; разделительную прослойку в этом случае не устраивают.
7.6.11. Общая минимальная толщина слоев асфальтобетона при усилении жестких покрытий должна соответствовать требованиям
таблицы 7.6. Для усиления жестких покрытий асфальтобетоном во всех слоях должны применяться только плотные асфальтобетонные смеси.
7.6.12. Усиление нежестких покрытий может быть выполнено нежесткими и жесткими покрытиями всех типов.
7.6.13. При усилении существующих жестких покрытий асфальтобетоном следует применять конструктивные мероприятия (армирование, нарезку деформационных швов в асфальтобетоне и др.), направленные на снижение вероятности образования отраженных трещин в слое усиления и выравнивающем слое. Допускается производить фрагментацию верхнего слоя существующих жестких покрытий.
7.6.14. Армирование асфальтобетонного слоя усиления полимерными сетками (специально выпускаемыми для этой цели) необходимо предусматривать на участках, имеющих большое число сквозных трещин.
При усилении жестких покрытий асфальтобетоном независимо от их состояния следует предусматривать армирование сетками слоя усиления:
в местах систематического запуска и опробования двигателей воздушных судов;
на участках примыкания РД к ИВПП;
в местах предварительного запуска двигателей по всей ширине магистральной РД с длиной армированного участка 20 м;
по всей ширине концевых участков ИВПП длиной 150 м;
по всей ширине групповых МС вдоль линии размещения основных опор и двигателей воздушных судов, включая зону воздействия газовой струи.
7.6.15. Нарезка деформационных швов должна осуществляться над всеми швами расширения, над остальными швами следует предусматривать армирование асфальтобетона. При отсутствии швов расширения на существующем жестком покрытии расстояние между деформационными швами (шаг нарезки швов) принимать по таблице 7.8.
Среднемесячная температура воздуха наиболее холодного месяца, °C | Расстояние между деформационными швами, м |
Минус 5 и выше | 25 - 35 |
Ниже минус 5 до минус 15 | 15 - 25 |
Ниже минус 15 или число переходов температуры через 0 °C более 50 раз в году | 10 - 15 |
Примечание - Расстояния между деформационными швами должны быть кратными длине плит существующего покрытия. |
7.7. Расчет аэродромных покрытий
7.7.1. Аэродромные покрытия, как правило, следует рассчитывать на воздействие нагрузок от воздушного судна конкретного типа.
Допускается проводить расчет на нормативные нагрузки, категории и параметры которых приведены в таблицах 7.9 (для самолетов) и
7.10 (для вертолетов).
Категория нормативной нагрузки для аэродромов | Нормативная нагрузка Fn, на основную (условную) опору самолета, кН | Внутреннее давление воздуха в пневматиках колес pa, МПа | Основная опора |
в/к | 850 | 1,0 | Четырехколесная |
I | 700 | |
II | 550 | 1,0 |
III | 400 | |
IV | 300 | |
V | 80 | 0,6 | Одноколесная |
VI | 50 | 0,4 |
Примечания 1 Расстояния между пневматиками четырехколесной опоры приняты равными 0,7 м между смежными колесами и 1,3 м - между рядами колес. 2 Нормативные нагрузки III и IV категорий допускается заменять нагрузками на одноколесную основную опору и принимать соответственно 170 и 120 кН, а давление в пневматиках колес для нормативных нагрузок V и VI категорий - равным 0,8 МПа. |
Категория вертолетов по взлетной массе | Нормативная нагрузка Fn, на основную (условную) опору, кН | Внутреннее давление воздуха в пневматиках колес pa, МПа |
Тяжелые | 170 | 0,7 |
Средние | 60 | 0,6 |
Легкие | 20 | 0,4 |
Примечания 1 Основная опора - одноколесная. 2 При назначении конструктивных требований к вертодромам и их элементам нагрузки тяжелых вертолетов (со взлетной массой свыше 15 т) приравниваются к III категории нормативной нагрузки, средних (от 5 до 15 т) - к V категории, легких (менее 5 т) - к VI категории. |
7.7.2. Аэродромные покрытия надлежит рассчитывать по методу предельных состояний. Расчетными предельными состояниями жестких покрытий являются:
бетонных и армобетонных - предельное состояние по прочности;
железобетонных с ненапрягаемой арматурой - предельные состояния по прочности, раскрытию трещин и давлению на грунтовое основание;
железобетонных с напрягаемой арматурой - предельное состояние по образованию трещин и давлению на грунтовое основание.
Расчетными предельными состояниями нежестких покрытий являются:
для покрытий капитального типа - предельные состояния по относительному прогибу всей конструкции и по прочности слоев из асфальтобетона;
для покрытий облегченного типа - предельное состояние по относительному прогибу всей конструкции.
7.7.3. При расчете прочности покрытий воздействие нагрузок от различных типов воздушных судов следует приводить к эквивалентному воздействию расчетной нагрузки. В качестве расчетной нагрузки должно приниматься воздушное судно (категория нормативной нагрузки), оказывающее максимальное силовое воздействие на покрытие.
7.7.4. Покрытия аэродромов по степени воздействия нагрузок воздушных судов и несущей способности подразделяются на группы участков в соответствии с
Приложением Л. Приведенные в нем схемы следует уточнять в зависимости от назначения и ведомственной принадлежности аэродромов.
Расчет покрытий вертодромов следует выполнять в соответствии с требованиями для участков группы А
(рисунок Л.1).
Толщины конструктивных слоев покрытия обочин и укрепляемых участков, примыкающих к торцам ИВПП, надлежит рассчитывать как для участков группы Г с однократным приложением расчетной нагрузки, но принимать не менее минимально допускаемых значений для материалов конструктивных слоев.
7.7.5. При расчете аэродромных покрытий на прочность коэффициенты динамичности

и разгрузки

(учитывающий движение по покрытию воздушных судов с большими скоростями) для всех групп участков аэродрома следует принимать в соответствии с таблицей 7.11.
Группа участков аэродромных покрытий | Коэффициент разгрузки  | Коэффициент динамичности kd при внутреннем давлении воздуха в пневматиках колес, МПа |
1,0 и менее | свыше 1,0 до 1,5 | свыше 1,5 |
А | 1 | 1,2 | 1,25 | 1,3 |
Б | 1 | 1,1 | 1,15 | 1,2 |
В и Г | 0,85 | 1,1 | 1,1 | 1,1 |
Примечания 1 При расчете нежестких покрытий для всех участков и давлений воздуха в пневматиках колес коэффициент динамичности принимают равным 1,1. 2 Для искусственных покрытий обочин и укрепляемых участков, примыкающих к торцам ИВПП, коэффициенты динамичности и разгрузки принимают равными 1. |
7.7.6. При расчете усиления многослойной конструкции допускается использовать в качестве расчетной модель упругого многослойного полупространства ограниченной мощности.
7.8. Расчет жестких аэродромных покрытий
7.8.1. При расчете жестких аэродромных покрытий по прочности и образованию трещин должно удовлетворяться условие

, (7.1)
где

- расчетный изгибающий момент в рассматриваемом сечении плиты покрытия, определяемый в соответствии с
7.8.2, если слой (слои) основания предусматривают из неукрепленных материалов, и в соответствии с
Приложением М, если слой основания предусматривают из материалов, укрепленных вяжущими;

- предельный изгибающий момент в рассматриваемом сечении плиты покрытия, определяемый в соответствии с
7.8.4.
7.8.2. Расчетные значения изгибающих моментов

, МН·м/м, на единицу ширины сечения однослойных жестких покрытий всех типов следует определять по формуле

, (7.2)
где

- максимальный изгибающий момент при центральном загружении плиты, МН·м/м, который вычисляется как наибольший суммарный момент, создаваемый колесами опоры воздушного судна в расчетных сечениях плиты, перпендикулярных осям
x или
y (рисунок 7.2), при этом должны исключаться колеса, вызывающие отрицательное значение изгибающего момента в расчетном сечении:

;
k - переходный коэффициент от изгибающего момента при центральном загружении к моменту при краевом загружении плиты, принимаемый равным: для бетонных и армобетонных покрытий со стыковыми соединениями или конструктивным краевым армированием - 1,2; для бетонных и армобетонных покрытий, устраиваемых без стыковых соединений и краевого армирования плит, - 1,5; для сборных покрытий из предварительно напряженных железобетонных плит - 1,0; для железобетонных покрытий с ненапрягаемой арматурой - по
рисунку К.1 как для покрытий со стыковыми соединениями;

- коэффициент, учитывающий накопление остаточных прогибов в основании из материалов, не обработанных вяжущими, и принимаемый равным 1,1 для участков группы А и МС (см. схему
рисунка Л.1); для оснований из материалов, обработанных вяжущими, а также независимо от вида оснований для участков групп Б (кроме МС), В и Г следует принимать

;

- коэффициент, учитывающий перераспределение внутренних усилий в ортотропных плитах покрытий с различной жесткостью

и

в продольном и поперечном направлениях и принимаемый по графику
рисунка К.2; для бетонных, армобетонных и железобетонных покрытий с ненапрягаемой арматурой

;

- изгибающий момент от действия колеса, центр отпечатка которого совпадает с расчетным сечением, МН·м/м:

;

- изгибающий момент, создаваемый действием
i-го колеса, расположенного за пределами расчетного сечения плиты, МН·м/м:

;

- расчетная нагрузка на колесо, МН:

;

- единичный изгибающий момент от действия колеса, центр отпечатка которого совпадает с расчетным сечением, определяемый по
таблице К.1 в зависимости от приведенного радиуса

;

- радиус круга, равновеликого площади отпечатка пневматика колеса, м:

;

- внутреннее давление воздуха в пневматиках колес, МПа;
l - упругая характеристика плиты, м:

,

- нагрузка на основную опору расчетного воздушного судна (или нормативная нагрузка), МН;

- число колес на опоре;

,

- коэффициенты соответственно динамичности и разгрузки, определяемые по
таблице 7.11;

- расчетный коэффициент постели однородного грунтового основания, МН/м3, определяемый в соответствии с
Приложением В. Для многослойного грунтового основания, а также для искусственного основания, не обработанного вяжущим, в расчет вводится значение эквивалентного коэффициента постели

, определяемого в соответствии с
Приложением Г;

,

- единичные изгибающие моменты, действующие в расчетном сечении плиты, от воздействия
i-го колеса опоры воздушного судна, определяемые по
таблице К.2 в зависимости от координат

и

, где

,

- координаты приложения силы

, считая за начало координат пересечение рассматриваемых сечений (см.
рисунок 7.2);
B - жесткость сечения плиты покрытия,

, отнесенная к единице ширины ее сечения и определяемая в соответствии с
7.8.3.
Примечание - Для многоколесных опор необходимо путем пробных расчетов найти колесо, под центром отпечатка которого возникает максимальный изгибающий момент.
Рисунок 7.2. Расчетная схема параметров
загружения опор воздушного судна
7.8.3. Жесткость сечений плит покрытия
B надлежит определять на единицу ширины сечения по формулам:
для сечений бетонных, армобетонных и предварительно напряженных железобетонных плит

; (7.3)
для сечений железобетонных плит с ненапрягаемой арматурой

, (7.4)
где

- модуль упругости арматуры, МПа, принимаемый согласно
СП 63.13330;

- начальный модуль упругости бетона, МПа, принимаемый по
таблице И.1;

- площадь сечения растянутой арматуры на единицу ширины сечения плиты, м2/м;

- коэффициент, учитывающий работу бетона между трещинами в растянутой зоне и принимаемый равным при расчете по прочности - 0,2, по раскрытию трещин - 1;

- рабочая высота сечения (расстояние от сжатой грани сечения до центра тяжести растянутой арматуры), м:

;
t - толщина плиты, м;
x - высота сжатой зоны бетона в сечении, м:

;

;
d - номинальный диаметр арматурных стержней, м;

- коэффициент, учитывающий неравномерность распределения деформаций крайнего волокна сжатой зоны сечения на участке между трещинами и принимаемый в зависимости от отношения шага арматуры

, параллельной рассматриваемому сечению, к толщине плиты
t:
| 0,5 | 0,75 | 1 | 1,25 | 1,5 и более |
| 0,79 | 0,67 | 0,59 | 0,53 | 0,48 |
Для сечений с ненапрягаемой арматурой в предварительно напряженных плитах коэффициент

следует принимать равным 0,6;

- коэффициент армирования:

;

- толщина защитного слоя, м.
7.8.4. Предельный изгибающий момент

, МН·м/м, на единицу ширины сечения следует определять по формулам:
для бетонных и армобетонных покрытий

; (7.5)
для железобетонных покрытий с ненапрягаемой арматурой

; (7.6)
для железобетонных предварительно напряженных плит

, (7.7)
где

- коэффициент условий работы покрытий, принимаемый по
таблице 7.12;

,

- расчетные сопротивления бетона растяжению при изгибе, МПа, принимаемые по
таблице И.1;

- расчетное сопротивление арматуры растяжению, МПа;

- коэффициент, учитывающий число

приложений колесных нагрузок воздушных судов за проектный срок службы покрытия:

;

- момент, МН·м/м, равнодействующей усилий

в нижней и верхней напрягаемой арматуре на единицу ширины сечения относительно оси, проходящей через ядровую точку, наиболее удаленную от зоны сечения, трещинообразование которой проверяют;

определяют по
СП 63.13330.
Аэродромные покрытия | Коэффициент  условий работы жестких покрытий при расположении аэродромов |
севернее 50° северной широты | между 43 и 50° северной широты | южнее 43° северной широты |
для групп участков |
А | Б, В | Г | А | Б, В | Г | А | Б, В | Г |
Бетонные | 0,80 | 0,90 | 1,10 | 0,75 | 0,85 | 1,05 | 0,70 | 0,80 | 1,00 |
Армобетонные | 0,90 | 1,00 | 1,20 | 0,85 | 0,95 | 1,15 | 0,80 | 0,90 | 1,10 |
Железобетонные с ненапрягаемой арматурой | 1,00 | 1,10 | 1,30 | 0,95 | 1,05 | 1,25 | 0,90 | 1,00 | 1,20 |
Из сборных железобетонных предварительно напряженных плит | 1,20 | 1,30 | 1,40 | 1,20 | 1,30 | 1,40 | 1,20 | 1,30 | 1,40 |
7.8.5. Расчетное число приложений нагрузки

следует определять по формуле

, (7.8)
где

- эквивалентное число приложений нагрузки от опоры
i-го воздушного судна, приведенное к приложению нагрузки от опоры расчетного воздушного судна:

;
n - число учитываемых типов воздушных судов;

,

- центральные изгибающие моменты соответственно от нагрузок
i-го и расчетного воздушных судов, определяемые в соответствии с
7.8.2;

- число приложений нагрузки от опоры
i-го воздушного судна;

- число осей на основной опоре
i-го воздушного судна;

- число взлетов
i-го воздушного судна за проектный срок службы покрытия.
7.8.6. При расчете железобетонных покрытий с ненапрягаемой арматурой по раскрытию трещин надлежит выполнять условие

, (7.9)
где

- ширина раскрытия трещин в расчетном сечении плиты, мм, определяемая в соответствии с 7.8.7.
7.8.7. Ширину раскрытия трещин

в расчетном сечении плиты, армированной ненапрягаемой арматурой, следует определять по формуле

, (7.10)
где

- величина напряжения в растянутой арматуре, МПа:

;

- расстояние между трещинами, м:

;

- периметр сечения арматуры, приходящейся на единицу ширины сечения плиты, м;

;

- коэффициент, принимаемый равным: для стержневой арматуры периодического профиля - 0,7; для сварных сеток из холоднотянутой проволоки - 1,25.
7.8.8. При расчете двухслойных покрытий должно удовлетворяться
условие (7.1) для плит верхнего и нижнего слоев.
Предельный изгибающий момент

определяют по
формуле (7.5), при этом предельный изгибающий момент в плитах нижнего слоя, вычисленный по этой формуле, следует умножать на поправочный коэффициент

, определяемый по графику
рисунка К.3.
Расчетные изгибающие моменты в плитах верхнего и нижнего слоев двухслойного покрытия

, кН·м/м, на единицу ширины сечения плиты следует определять по формулам:
в плитах верхнего слоя покрытий с совмещенными швами

; (7.11)
в плитах нижнего слоя покрытий с совмещенными швами

; (7.12)
в плитах верхнего слоя покрытий с несовмещенными швами

; (7.13)
в плитах нижнего слоя покрытий с несовмещенными швами

, (7.14)
где

- максимальный изгибающий момент, кН·м/м, при центральном загружении однослойной плиты жесткостью

, вычисляемый согласно
7.8.2;

,

- жесткость плит соответственно верхнего и нижнего слоев, отнесенная к единицам ширины их сечений и вычисляемая согласно
7.8.3;
k' - коэффициент, принимаемый равным: 1,5 - при отсутствии стыковых соединений в верхнем и нижнем слоях; 1,4 - при устройстве стыковых соединений только в нижнем слое; 1,2 - при устройстве стыковых соединений в верхнем и нижнем слоях или только в верхнем слое, но с параметрами, принятыми по толщине покрытия, вычисленной по суммарной жесткости слоев;

- коэффициент, учитывающий концентрацию изгибающих моментов в верхнем слое двухслойного покрытия над краями и углами плит нижнего слоя, принимаемый равным:
| k1 |
0 | 1,20 |
0,15 | 1,04 |
1 | 1,25 |
2 | 1,50 |
3 | 1,75 |
4 | 2,00 |
5 | 2,25 |
6 | 2,50 |
7 | 2,75 |
8 | 3,00 |
7.8.9. Расчет толщины искусственных оснований следует производить в соответствии с
Приложением Г, если слой основания предусматривают из неукрепленных материалов, и в соответствии с
Приложением М, если слой основания предусматривают из материалов, укрепленных вяжущими.
7.9. Расчет нежестких аэродромных покрытий
7.9.1. При расчете нежестких аэродромных покрытий по предельному относительному прогибу всей конструкции должно удовлетворяться условие

, (7.15)
где

- расчетный относительный прогиб покрытия от нагрузки, определяемый в соответствии с
7.9.2;

- коэффициент условий работы, принимаемый для групп участков аэродромных покрытий (см.
рисунок Л.1): А - 1; Б и В - 1,05; Г - 1,1;

- предельный относительный прогиб покрытия, определяемый в соответствии с
7.9.3.
Если в результате расчета общая толщина нежесткой конструкции превышает 0,5 м, модули упругости связных грунтов, равные 24 МПа и менее, следует повысить: на 5% - при толщине конструкции от 0,51 до 0,75 м, 10 - при толщине от 0,76 до 1,0 м, 15 - при толщине от 1,01 до 1,25 м и на 20% - при толщине свыше 1,25 м.
7.9.2. Расчетный относительный прогиб покрытия от нагрузки определяют по формуле

, (7.16)
где

- внутреннее давление воздуха в пневматиках колес, МПа;

- эквивалентный модуль упругости нежесткой конструкции, включая грунтовое основание, МПа:

,

- средний модуль упругости, МПа, многослойной конструкции (включая покрытие, искусственное основание и насыпь) из
n слоев в пределах сжимаемой толщи:

;

;

,

, ...,

- расчетные модули упругости отдельных конструктивных слоев, МПа;

,

, ...,

- толщины отдельных конструктивных слоев, м;

- суммарная толщина конструктивных слоев, м;
E - модуль упругости грунта естественного основания, МПа;

- диаметр круга, м, равновеликого площади отпечатка пневматика одноколесной эквивалентной нагрузки, определяемый в соответствии с
7.9.5.
7.9.3. Предельный относительный прогиб покрытия

принимают по графикам
рисунка К.5 в зависимости от вида грунта, давления воздуха в пневматиках колес и приведенной повторяемости приложения нагрузки

, вычисляемой в соответствии с
7.9.6.
Величины предельных относительных прогибов, принимаемые по графикам
рисунка К.5, следует увеличивать на 20% для покрытий облегченного типа из прочных каменных материалов подобранного состава, обработанных органическими или минеральными вяжущими.
7.9.4. Прочность асфальтобетонных слоев нежесткой конструкции аэродромного покрытия должна удовлетворять условию

, (7.17)
где

- наибольшее растягивающее напряжение при изгибе в рассматриваемом слое от расчетной нагрузки, МПа:

;

- коэффициент условий работы для асфальтобетона, принимаемый равным для групп участков аэродромных покрытий: А - 1; Б и В - 1,1; Г - 1,2;

- расчетное сопротивление растяжению при изгибе асфальтобетона, МПа, принимаемое согласно
И.2;

- удельное растягивающее напряжение при изгибе, определяемое по номограмме
рисунка К.6:

,

- средний модуль упругости асфальтобетонных слоев, МПа, вычисляемый аналогично

(см.
7.9.2);

- эквивалентный модуль упругости основания под асфальтобетоном, включая грунтовое основание, МПа:

;

- средний модуль упругости слоев оснований под асфальтобетоном (без учета грунтового основания), МПа, определяемый согласно
7.9.2;

- коэффициент, определяемый по номограмме
рисунка К.4, принимая вместо величин

и

соответственно величины

и

:

;

- диаметр круга, м, равновеликого площади отпечатка пневматика одноколесной эквивалентной нагрузки для асфальтобетонного слоя (слоев), определяемый в соответствии с
7.9.5.
При расчете прочности двух- или трехслойного асфальтобетонного покрытия следует рассчитывать на растяжение при изгибе только нижний слой, предварительно приведя многослойный асфальтобетон к однослойному со средним модулем упругости

.
7.9.5. Диаметр

круга, равновеликого площади отпечатка пневматика одноколесной эквивалентной нагрузки вычисляют по формуле

, (7.18)
где

- одноколесная эквивалентная нагрузка, МН, заменяющая силовое воздействие многоколесной опорной нагрузки, которую принимают равной

при

,

при

, а в остальных случаях определяют по формуле
a - минимальное расстояние между ближайшими колесами главной опоры в свету, м:

;

,

- соответственно расстояние между осями ближайших колес в опоре и максимальное расстояние между колесами в основной опоре, м, принимаемые по
рисунку К.7 в зависимости от схемы расстановки колес в опоре;

- суммарная толщина слоев нежесткой конструкции, м, для которых определяется

(

принимают равной общей толщине конструкции при расчете прочности по предельному относительному прогибу и суммарной толщине асфальтобетонных слоев при расчете их прочности на растяжение при изгибе).
7.9.6. При расчете прочности покрытия воздействие нагрузок от различных типов воздушных судов следует приводить к эквивалентному воздействию расчетной нагрузки через приведенную повторяемость приложения нагрузки

. При этом надлежит учитывать только те воздушные суда, у которых нагрузки на главную опору больше или равны половине величины нагрузки на главную опору расчетного воздушного судна.
Значение

определяют по формуле

, (7.19)
где n - число типов воздушных судов, включая расчетное;

- среднесуточное число взлетов
i-го воздушного судна;

- число осей на опоре
i-го воздушного судна; в расчете прочности по предельному относительному прогибу принимают

;

- коэффициент приведения нагрузок:

; (7.20)

,

- внутреннее давление воздуха в пневматиках колес соответственно
i-го и расчетного воздушных судов;

,

- диаметры кругов, равновеликих площадям отпечатков эквивалентных одноколесных нагрузок, соответственно
i-го и расчетного воздушных судов. Значения

и

определяют по
формуле (7.18) отдельно при расчете асфальтобетонных слоев на растяжение при изгибе и при расчете прочности конструкции по предельному относительному прогибу.
7.10. Расчет слоев усиления существующих
покрытий при реконструкции аэродромов
7.10.1. При расчете жесткого слоя усиления жестких аэродромных покрытий должно выполняться условие

, (7.21)
где

,

- соответственно расчетный и предельный изгибающие моменты в слое усиления на единицу ширины сечения.
7.10.2. Расчетные изгибающие моменты

в слое усиления следует определять по формулам:
при усилении монолитных бетонных или армобетонных покрытий на основании из неукрепленных материалов слоем из монолитного бетона или армобетона

, (7.22)
где

- коэффициент, учитывающий концентрацию изгибающих моментов в верхнем слое двухслойного покрытия над краями и углами плит нижнего слоя, принимаемый максимальным из значений коэффициентов

или

:
| | ИС МЕГАНОРМ: примечание. Обозначения в формуле даны в соответствии с официальным текстом документа. | |

;

- максимальный изгибающий момент, МН·м/м, при центральном загружении плиты с суммарной жесткостью

, определяемый согласно
7.8.2;

,

- жесткость плит соответственно верхнего и нижнего слоев, отнесенная к единицам ширины их сечений и вычисляемая согласно
7.8.3;
при усилении сборных предварительно напряженных и монолитных бетонных и армобетонных покрытий сборными предварительно напряженными железобетонными плитами

, (7.23)
при усилении существующего железобетонного покрытия слоем из монолитного железобетона

, (7.24)
где

- наибольший изгибающий момент, МН·м/м, в бесконечной плите с суммарной жесткостью, определяемой по
7.8.2;
k',

- коэффициенты, определяемые по
7.8.8;

- коэффициент, учитывающий перераспределение внутренних усилий в ортотропных плитах и принимаемый по
рисунку К.2;

,

- жесткость соответственно нижнего (существующего) и верхнего слоев покрытия, определяемая для средней зоны плит;
k - коэффициент, определяемый по
рисунку К.1 для края со стыковыми соединениями.
При усилении монолитных бетонных или армобетонных покрытий на основании из материалов, укрепленных вяжущими, слоем из монолитного бетона или армобетона, изгибающий момент

следует определять в соответствии с
Приложением М.
При усилении монолитного железобетонного покрытия слоем из монолитного бетона или армобетона существующее железобетонное покрытие следует при расчете учитывать как армобетонное.
7.10.3. При определении жесткости и предельного изгибающего момента бетонных и армобетонных слоев существующих покрытий расчетную толщину их

следует принимать в зависимости от категории разрушения, устанавливаемой по
таблице 7.7, и толщины

существующего покрытия при категории разрушения:
I .....................................................

II ....................................................

III ...................................................

Существующие жесткие покрытия IV категории разрушения в расчете надлежит учитывать как искусственные основания с коэффициентом постели

.
7.10.4. Толщину слоя асфальтобетона

, необходимого для усиления существующего жесткого покрытия, следует определять по формуле

, (7.25)
где

- требуемая для заданной расчетной нагрузки толщина однослойного бетонного покрытия, м;

- толщина бетонного покрытия, эквивалентного по несущей способности существующему покрытию, принимаемая равной для покрытий:
бетонных

;
армобетонных

;
железобетонных с ненапрягаемой арматурой при проценте армирования:
0,25 .................................................

0,3 ..................................................

0,35 .................................................

0,4 ..................................................

сборных и монолитных предварительно напряженных

;

- минимальная толщина слоя усиления из асфальтобетона, принимаемая по
таблице 7.6;

,

- модули упругости бетона и асфальтобетона, принимаемые по
таблицам И.1 и
И.2.
7.10.5. При определении толщины требуемого однослойного бетонного покрытия следует:
характеристики материалов, типы швов и стыковых соединений принимать как для существующего покрытия;
значение коэффициента динамичности

уменьшать на 15% по сравнению с данными, приведенными в
таблице 7.10, но принимать не менее 1;
коэффициент условий работы

устанавливать с учетом поправочного коэффициента

, определяемого по графику
рисунка К.3.
7.10.6. Расчет слоев усиления нежестких покрытий надлежит выполнять как для вновь проектируемых покрытий, учитывая конструктивные слои существующих покрытий и оснований и их состояние.
При усилении существующих нежестких покрытий жестким слоем существующее покрытие следует рассматривать как искусственное основание.
| | Применение на обязательной основе раздела 8 обеспечивает соблюдение требований Федерального закона от 30.12.2009 N 384-ФЗ "Технический регламент о безопасности зданий и сооружений" (Постановление Правительства РФ от 26.12.2014 N 1521). | |
8. Водоотводные и дренажные системы
8.1. Для сбора и отвода поверхностных и подземных вод в зависимости от климатических и гидрогеологических условий на аэродромах следует устраивать водоотводные и дренажные системы.
Водоотводные системы следует предусматривать для участков аэродромов с глинистыми грунтами, а также для участков, располагаемых в условиях опасности размыва (при наличии грунтов, подверженных эрозии, значительных уклонов местности, осадков ливневого характера).
Для участков с песчаными, супесчаными и другими хорошо фильтрующими грунтами, а также в V дорожно-климатической зоне водоотводные системы надлежит предусматривать выборочно.
Примечание - Требования настоящего раздела распространяются также на проектирование вертодромов.
8.2. При наличии дренирующего слоя в основании аэродромного покрытия следует проектировать закромочные дрены.
Для отвода воды из дренирующих слоев покрытий перронов и мест стоянки воздушных судов при ширине склона более 40 м допускается устройство дрен под аэродромным покрытием.
При невыполнении условия возвышения поверхности аэродромного покрытия над расчетным уровнем подземных вод
6.7, необходимо устраивать глубинные дрены. Глубинные дрены при необходимости допускается использовать и для отвода воды из дренирующих слоев оснований.
В случае направленного поступления подземных вод со смежных с покрытием территорий вдоль кромок покрытий следует предусматривать экранирующие дрены.
8.3. Размеры поперечных сечений элементов водоотводных и дренажных систем и их проектные уклоны необходимо принимать по результатам гидравлических расчетов, приведенных в
Приложении Н.
8.4. Выбор принципиальной схемы водоотводных и дренажных систем следует осуществлять в зависимости от дорожно-климатической зоны расположения аэродрома, типа местности по характеру поверхностного стока и степени увлажнения, вида грунта, конструктивных и планировочных решений аэродромных покрытий, топографических, гидрогеологических и других местных условий. Следует применять схемы водоотведения:
с устройством закрытых и открытых лотков в кромках искусственных аэродромных покрытий;
со сбросом поверхностных вод на прилегающие грунтовые обочины без дождеприемных устройств на аэродромных покрытиях.
8.5. Водоотводные и дренажные системы следует проектировать с учетом перспективы развития элементов аэродрома и соблюдением следующих правил:
протяженность линейных сооружений водоотвода и дренажа должна быть минимальной;
прокладка коллекторов под аэродромными покрытиями допускается в отдельных случаях при обязательном принятии мер предотвращения осадки грунтового основания аэродромного покрытия (засыпку траншей пескоцементом, песчаным грунтом и др.);
сброс воды из водоотводных и дренажных систем, в том числе и через очистные сооружения после завершения очистки, должен производиться на рельеф, в природный водоем или водоток с соблюдением требований охраны окружающей природной среды, изложенные в
разделе 10;
при расчете сооружений элементов водоотводных систем летного поля на прочность следует принимать коэффициент надежности по ответственности 1,2 при особо высоком уровне ответственности сооружений согласно
ГОСТ Р 54257.
Элементы водоотводных и дренажных систем
8.6. Для отвода воды с поверхности искусственных покрытий следует применять водоотводные лотки открытого или закрытого типа, в зависимости от конструкции и планировки элементов аэродромных покрытий.
8.7. Грунтовые лотки следует проектировать открытыми треугольного профиля. В случаях, если продольный уклон грунтового лотка менее 0,005, допускается предусматривать трубчатые осушители, располагаемые по оси лотка. На участках с необеспеченным стоком следует устраивать осушительно-собирательные системы.
Ось грунтового лотка должна быть расположена на расстоянии от кромок покрытий обочин ИВПП не менее 25 м, РД - не менее 10 м.
8.8. По оси лотков, располагаемых по кромкам искусственных покрытий, следует предусматривать дождеприемные колодцы или модульные элементы лотков закрытого типа, а по оси грунтовых лотков - тальвежные колодцы, обеспечивающие прием и отвод воды по перепускам в коллекторы.
Расстояния между соседними дождеприемными, а также тальвежными колодцами следует устанавливать в соответствии с гидравлическими расчетами.
8.9. Коллекторы следует располагать вдоль кромок обочин аэродромных покрытий на расстоянии от 10 до 15 м от них.
Глубину укладки труб (расстояние от поверхности грунта до шелыги) коллекторов надлежит принимать не менее глубины промерзания грунтов при поверхности, свободной от снега, и достаточной по условиям прочности труб при воздействии эксплуатационных нагрузок.
В районах с глубиной промерзания грунта свыше 1,5 м допускается укладывать трубы коллектора в зоне промерзания, при этом следует предусматривать теплоизоляцию труб коллектора.
8.10. Смотровые колодцы следует предусматривать в начале коллекторов, в местах изменения их направления и уклонов, подключения к коллекторам перепусков или других водоотводных линий, а также на прямых участках коллекторов на расстояниях, не более, м, при диаметре труб коллектора:
менее 250 мм ........................................ 50
от 250 до 400 мм .................................... 75
свыше 400 до 600 мм ................................. 100
свыше 600 мм ........................................ 125
В пониженных местах рельефа смотровые колодцы допускается использовать для приема и отвода поверхностных вод, в этом случае они должны иметь решетчатую крышку и отстойник глубиной от 0,3 до 0,5 м. Смотровые колодцы, принимающие воду из тальвежных колодцев, также должны устраиваться с отстойниками.
8.11. При проектировании закромочных водоотводных дрен и осушителей дренажных систем, предназначенных для перехвата и отвода подземной и поверхностной воды на участках с необеспеченным стоком, а также для сбора и отвода воды из пористых оснований искусственных покрытий, следует:
диаметр дрен и осушителей принимать не менее 100 мм;
длину дрен и осушителей принимать от 50 до 125 м;
предусматривать мероприятия, предотвращающие заиливание дренажных труб: обмотку труб геосинтетическим материалом или применение специальных дренажных труб с профильными пропилами;
фильтрующую обсыпку вокруг дрен и осушителей осуществлять по принципу обратного фильтра с применением разделительно-фильтрующих геосинтетических материалов;
минимальное заглубление труб устанавливать расчетом на прочность, а глубинных дрен, предназначенных для понижения уровня подземных вод, - гидрологическим расчетом из условия снижения этого уровня до величин, указанных в
таблице 6.3.
8.12. Диаметр труб перепусков от дождеприемных и тальвежных колодцев к коллектору должен быть не менее 200 мм.
8.13. Соединения труб коллекторов с оголовками следует предусматривать эластичными.
Превышение отметки лотка трубы коллектора над отметкой дна водоотводной канавы должно быть не менее 30 см.
Перед входными оголовками коллекторов с трубами диаметром до 500 мм следует предусматривать устройство колодцев-отстойников с крышкой-решеткой.
Откосы водоотводных канав, примыкающих к оголовкам, следует укреплять на длину от 3 до 10 м.
8.14. Для перехвата и отвода поверхностных вод, поступающих со смежных с аэродромом водосборных площадей, надлежит проектировать нагорные канавы, располагаемые, как правило, за внешними границами летной полосы.
Радиус закругления канав на углах поворота надлежит принимать равным 20-кратной ширине канавы по дну, на примыкании канавы к канаве - не менее 10-кратной ширины канавы по дну.
Дно водоотводной канавы в месте примыкания ее к водоприемнику должно быть на 0,3 - 0,5 м выше уровня наивысшего горизонта паводковых вод в водоприемнике при повторяемости паводка один раз в 5 лет.
При отсутствии в районе расположения аэродрома естественных водоприемников допускается проектировать водоприемные испарительные бассейны.
8.15. Отвод и сбор поверхностных сточных вод с поверхности площадок для обработки воздушных судов антигололедной жидкостью (ПОЖ) должны осуществляться специальной водоотводной системой, оснащенной устройствами для измерения концентраций веществ-загрязнителей и регулировки направления стока в емкости для сбора сточных вод.
8.16. Для защиты территории аэродрома от затопления при подъеме уровня воды в соседних водоемах следует предусматривать устройство ограждающих дамб высотой не менее чем на 0,5 м выше расчетного уровня высокой воды с учетом высоты волны и высоты набега ее на откос дамбы.
8.17. Расчетный уровень высокой воды при необходимости защиты аэродрома от затопления паводковыми водами следует принимать с вероятностью превышения 1:100 для аэродромов, предназначенных для эксплуатации воздушных судов II категории нормативной нагрузки и выше, и 1:50 - для остальных аэродромов.
8.18. Водоперепускные сооружения, пересекающие ВПП, РД следует рассчитывать при вероятностях превышения, приведенных в
8.17.
8.19. Скорость движения воды в грунтовых лотках, водоотводных и нагорных канавах, имеющих неукрепленную поверхность, не должна превышать, м/с, для:
песков мелких и средней крупности, супесей ........................ 0,4
песка крупного .................................................... 0,8
суглинка пылеватого ............................................... 0,7
суглинка .......................................................... 1,0
глины ............................................................. 1,2
При больших скоростях движения воды поверхность грунтовых лотков, водоотводных и нагорных канав следует укреплять одерновкой, обработкой грунта вяжущими, армированием геосетками, мощением или бетонированием, а также предусматривать при необходимости быстротоки и перепады.
8.20. Продольные уклоны линейных элементов водоотводных и дренажных систем следует принимать, не менее, для:
открытых лотков, располагаемых по кромкам искусственных покрытий 0,003
открытых грунтовых лотков; трубчатых осушителей, располагаемых
по оси грунтовых лотков; труб закромочных дрен и дренажных систем 0,005
перепусков к коллектору от дождеприемных колодцев ..... от 0,02 до 0,03
то же, от тальвежных колодцев ........................ от 0,005 до 0,03
водоотводных канав .............................................. 0,002
Трубы коллекторов, укладываемые вне зоны промерзания грунтов, при диаметре не более 500 мм должны иметь уклоны не менее 0,003. При диаметре более 500 мм должны иметь уклоны не менее значений, обеспечивающих допустимые минимальные скорости движения воды, исключающие заиливание труб.
Трубы коллектора и перепусков, укладываемые в зоне промерзания грунта, должны иметь уклон не менее критического, принимаемый в зависимости от диаметра трубы, мм:
до 750 .......................................................... 0,008
от 1000 до 1250 ................................................. 0,007
1500 ............................................................ 0,006
Примечание - Продольный уклон водоотводных канав допускается принимать менее 0,002, если гидравлический расчет подтверждает незаиливаемость канав.
Особенности проектирования водоотводных
и дренажных систем для аэродромов, располагаемых
в сложных инженерно-геологических условиях
Водоотводные системы на вечномерзлых грунтах
8.21. При проектировании водоотводных и дренажных систем аэродромов, располагаемых в I дорожно-климатической зоне, следует:
при сплошной сливающейся низкотемпературной мерзлоте (температура на горизонте нулевых амплитуд ниже минус 3 °C) проектировать водоотводные системы. Устройство дренажных систем, как правило, не допускается;
при островной мерзлоте и сплошной сливающейся высокотемпературной мерзлоте (температура на горизонте нулевых амплитуд минус 3 °C и выше) проектировать водоотводные и дренажные системы на основе результатов соответствующих инженерно-геологических и инженерно-геокриологических исследований;
при несливающейся мерзлоте и слое сезонного промерзания и оттаивания, сложенного грунтами с льдистостью

, а также на участках, где отсутствуют вечномерзлые грунты, водоотводные и дренажные системы, проектировать, как для II дорожно-климатической зоны.
8.22. Водоотводные системы аэродромов при сплошной низкотемпературной мерзлоте должны состоять из следующих основных элементов:
нагорных канав или водоотводных валов, предназначенных для защиты термоизоляционных насыпей ВПП, РД, МС от подтопления талыми и поверхностными водами;
грунтовых лотков или водоотводных канав для перехвата и отвода поверхностной воды, стекающей с поверхности покрытий ИВПП, РД и МС, а также грунтовых участков, расположенных между ними;
водоотводных лотков, предупреждающих размыв склонов и оврагообразование;
водозащитных сооружений для перехвата и отвода надмерзлотных подземных вод;
перепусков воды под термоизоляционными насыпями ВПП, РД и МС и сброса ее в естественные водоемы или на поверхность рельефа.
8.23. Нагорные канавы, водоотводные валы, канавы и лотки следует располагать параллельно термоизоляционным насыпям на расстоянии от них, м, при грунтах:
крупнообломочных слабольдистых

вечномерзлых - от 2 до 3;
песчаных слабольдистых и льдистых

- от 10 до 15;
песчаных, суглинистых и глинистых сильнольдистых

- 50.
Для крутых склонов (с уклоном свыше 1:5) и большой водосборной площади следует проектировать два ряда нагорных канав или водоотводных валов.
При сильнольдистых супесях, суглинках и глинах допускается предусматривать устройство лотков, располагаемых вдоль земляных берм, примыкающих к термоизоляционным насыпям.
8.24. Водоотводные лотки (сборные бетонные и железобетонные), предупреждающие размыв склонов и оврагообразование, следует располагать, как правило, в тальвегах и пониженных местах рельефа местности, прилегающей к термоизоляционным насыпям ВПП, РД и МС.
8.25. Размеры поперечного сечения лотков, водоотводных и нагорных канав следует определять по результатам гидравлических расчетов на сток талых вод, при этом заглубление дна канав должно быть не более половины глубины сезонного протаивания грунта в естественном залегании.
Увеличение поперечного сечения канав (в случае необходимости, подтвержденной результатами гидравлического расчета) надлежит производить за счет их уширения по дну и уменьшения крутизны откосов или увеличения глубины канав путем отсыпки кавальеров с низовой стороны или с низовой и верховой сторон канав.
Дно и откосы канав, бермы, а также откосы водоотводных валов следует укреплять одерновкой, армированием геосетками, мощением, бетонными плитами по слою мха, синтетических и других теплоизоляционных материалов.
8.26. Водозащитные сооружения для перехвата надмерзлотных вод следует проектировать в виде водонепроницаемых экранов, располагаемых по кромкам термоизоляционных насыпей или искусственных покрытий. Водонепроницаемые экраны надлежит создавать за счет поднятия уровня вечномерзлых грунтов до дневной поверхности путем укладки по трассе экрана слоя термоизоляционных материалов (пенопласта типа пенополистирола, полиуретана и т.п.), заглубленного на 20 - 30 см (мерзлотного валика), толщиной до 20 см и шириной, устанавливаемой теплотехническим расчетом.
Для устройства экрана допускается применять пластичные глины, песчаные грунты, обработанные органическими вяжущими, или полиэтиленовый пластикат.
8.27. Перепуски воды под термоизоляционными насыпями ИВПП, РД и МС следует проектировать в виде не заглубленных в вечномерзлый грунт железобетонных труб с открытыми оголовками воротникового типа, имеющими в верхнем бьефе защитные устройства для предотвращения попадания в трубы снега и льда.
Основание перепусков надлежит предусматривать железобетонное с термоизоляционным слоем из пенопластов и других теплоизоляционных синтетических материалов, располагаемым по ненарушенной поверхности вечномерзлого грунта. Толщина железобетона и термоизоляционного слоя должна определяться по результатам прочностного и теплотехнического расчетов.
8.28. Гидравлический расчет перепускных труб под покрытиями следует производить из условия пропуска талых вод без аккумуляции их перед входным оголовком трубы. Степень наполнения труб должна быть не более 0,75 диаметра трубы. При этом надлежит учитывать возможность уменьшения сечения труб за счет образования наледи в период таяния снега.
Диаметр труб перепусков следует принимать по гидравлическому расчету, но не менее:
750 мм - при длине трубы до 25 м;
1000 мм - " " " свыше 25 до 50 м;
1250 мм - " " " " 50 " 75 м;
1500 мм - " " " " 75 " 100 м.
Водоотводные и дренажные системы на пучинистых грунтах
8.29. Для аэродромов, располагаемых на участках с пучинистыми грунтами, следует проектировать водоотводные, а при необходимости - и дренажные системы.
При проектировании водоотвода следует предусматривать:
устройство закрытых или открытых лотков;
укладку дренирующей прослойки из синтетического нетканого материала на спланированное и уплотненное грунтовое основание с выпуском полотнищ в закромочные дрены и обертыванием труб, а толщину дренирующих слоев из песков крупных и средней крупности, устраиваемых на готовой дренирующей прослойке из синтетического нетканого материала, надлежит принимать по расчету;
дождеприемные колодцы мелкого заложения в виде дождеприемных воронок глубиной, не превышающей толщину покрытия и искусственного основания;
тальвежные колодцы с гладкими наклонными стенками.
8.30. Глубина расположения днища смотровых и тальвежных колодцев или их оснований из непучинистых материалов должна быть ниже глубины промерзания грунта, очищенного от снежного покрова.
8.31. Вокруг смотровых и тальвежных колодцев, а также оголовков труб следует предусматривать обсыпку несмерзающимся крупнозернистым каменным материалом толщиной не менее 20 см.
8.32. В местах пересечения коллекторами ИВПП, РД и МС обратную засыпку труб следует производить песком, песчано-гравийной смесью, пескоцементом или другими непучинистыми материалами, исключающими просадки и деформации покрытия.
Водоотводные и дренажные системы на просадочных грунтах
8.33. Для аэродромов, располагаемых на участках с просадочными грунтами, следует проектировать водоотводные системы, полностью предупреждающие проникание дождевых и талых вод в основание аэродромных покрытий. Для этого необходимо:
располагать коллекторы на расстоянии не менее 15 м от кромок покрытий обочин ИВПП, РД и МС;
гидроизолировать дно и стенки траншей перед укладкой в них труб коллекторов;
применять дождеприемные колодцы мелкого заложения в виде дождеприемных воронок глубиной, равной толщине аэродромной конструкции;
гидроизолировать смотровые и дождеприемные колодцы, входы и выходы труб коллекторов и перепусков в соответствии с требованиями
СП 71.13330.
Водоотводные и дренажные системы на засоленных грунтах
8.34. При агрессивных к бетону и хризотилцементу засоленных грунтах и подземных водах необходимо предусматривать обмазочную изоляцию труб коллекторов, внешних поверхностей смотровых и тальвежных колодцев в соответствии с требованиями
СП 71.13330.
8.35. Для устройства коллекторов, перепусков следует использовать полимерные трубы в соответствии с расчетом на прочность.
| | Применение на обязательной основе разделов 9 и 10 обеспечивает соблюдение требований Федерального закона от 30.12.2009 N 384-ФЗ "Технический регламент о безопасности зданий и сооружений" (Постановление Правительства РФ от 26.12.2014 N 1521). | |
9. Автомобильные дороги на аэродромах
9.1. Автомобильные дороги на аэродромах включают:
подъездные автодороги к обособленным участкам и охранной сигнализации аэродрома;
служебно-производственные автодороги, расположенные по периметру ограждения аэродрома.
9.2. Автомобильные дороги должны быть пригодны к эксплуатации в любых погодных условиях, выдерживать нагрузку от самых тяжелых транспортных средств, которые эксплуатируются на аэродроме. Они должны иметь:
капитальное искусственное покрытие жесткого или нежесткого типа на аэродромах класса А, Б и В;
покрытие облегченного или переходного типа - на аэродромах класса Г, Д и Е.
10. Охрана окружающей среды
10.1. В состав природоохранных мероприятий при строительстве и эксплуатации аэродромов необходимо включать инженерные мероприятия по обеспечению безопасного уровня воздействия на окружающую среду и рациональному использованию природных ресурсов, в том числе мероприятия по:
охране атмосферного воздуха;
охране и рациональному использованию земельных ресурсов и почвенного покрова;
сбору, использованию, обезвреживанию, транспортированию и размещению отходов;
охране недр;
охране объектов растительного и животного мира и среды их обитания;
минимизации возникновения возможных аварийных ситуаций;
рациональному использованию и охране водных объектов, а также сохранению водных биологических ресурсов.
10.2. При выборе участка для строительства аэродрома или его элементов необходимо отдавать предпочтения решениям, оказывающим минимальное воздействие на окружающую среду.
10.3. Следует, по возможности, исключать размещение аэродромов или его отдельных элементов на особо охраняемых природных территориях или предусматривать дополнительные инженерные мероприятия, позволяющие обеспечить безопасный уровень воздействия на них.
10.4. Вновь строящиеся аэродромы или их отдельные элементы следует размещать за пределами городов и населенных пунктов. При этом расстояния от границ территории аэродрома до границ селитебной территории следует определять на основании расчетов в каждом конкретном случае с учетом: обеспечения безопасности полетов, типов воздушных судов, эксплуатируемых или предполагаемых к эксплуатации на данном аэродроме, интенсивности их полетов, количества ВПП на аэродроме, рельефа, температуры и влажности воздуха, направления и скорости ветра, а также других местных условий. В качестве расчетного следует принимать наибольшее расстояние, полученное на основе учета следующих факторов: обеспечение безопасности полетов, допустимый уровень авиационного шума, допустимая концентрация загрязняющих веществ в атмосферном воздухе и допустимый уровень электромагнитного излучения от передающих радиотехнических средств, устанавливаемых на аэродроме.
10.5. Уровень акустического воздействия на территорию жилой и иной застройки вблизи аэродрома не должен превышать значений, нормируемых
ГОСТ 22283.
10.6. Для защиты обслуживающего персонала, пассажиров и местного населения от воздействия электромагнитных излучений необходимо вокруг передающих радиотехнических объектов устраивать санитарно-защитные зоны (СЗЗ) и зоны ограничения застройки (ЗОЗ). Размеры этих зон должны определяться расчетами в соответствии с действующими санитарными нормами, которые должны быть подтверждены замерами на стадии ввода объекта в эксплуатацию.
10.7. Концентрация загрязняющих веществ, поступающих в атмосферу при производстве строительных работ, а также из двигателей воздушных судов и наземного транспорта при эксплуатации аэродрома, не должна превышать предельно допустимых значений, устанавливаемых гигиеническими нормативами.
10.8. Аэродромы с длиной ВПП 1500 м и более, имеющие системы водоотвода с искусственных покрытий и дренажа подземных и поверхностных сточных вод (ливневых и талых), должны быть оборудованы локальными сооружениями для механической, биологической и иной очистки и обеззараживания загрязненных вод.
10.9. Участки аэродрома, предназначенные для обслуживания воздушных судов, используемых для внесения удобрений и пестицидов в сельском хозяйстве и при лесозащите, и другие спецплощадки (предангарные, доводочные, мойки и антиобледенительной обработки воздушных судов, спецавтобаз, складов горюче-смазочных материалов и др.) должны быть оснащены сооружениями для химико-реагентной и механической очистки, а также обезвреживания сточных вод, сбрасываемых в канализацию аэропорта.
10.10. Состав очистных сооружений, их эффективность и производительность должны соответствовать требованиям
СП 32.13330 и
СП 129.13330 по проектированию сооружений для очистки поверхностного стока дождевых и талых вод с территории аэропортов. Качественный состав сбрасываемого очищенного поверхностного стока должен соответствовать нормативам качества воды, утвержденных в установленном порядке соответствующими органами.
10.11. При строительстве аэродрома или его отдельных элементов должен быть снят плодородный слой почвы с целью последующего использования его для восстановления (рекультивации) нарушенных земель и для озеленения территории аэропорта или аэродрома.
10.12. В районах распространения вечномерзлых грунтов следует предусматривать мероприятия, направленные на предупреждение возникновения и активизации термокарста, термоэрозии, термоабразии, пучения, морозного растрескивания, солифлюкции, наледеобразования и других криогенных процессов.
10.13. В случае выявления при производстве работ погребенных в грунте археологических или палеонтологических объектов, других памятников культуры и истории или природных феноменов следует приостановить работы на данном участке, приняв меры по сохранению объектов, и сообщить об этом в соответствующий орган управления.
10.14. Производство всех видов работ допускается только в пределах вынесенных заказчиком на местность границ площадей, отведенных в установленном порядке в постоянное или временное пользование.
10.15. Перед приемкой законченного строительством аэродрома (его участка) прилегающая к аэродрому территория должна быть полностью очищена от отходов, образовавшихся при производстве работ.
(обязательное)
ТИПЫ МЕСТНОСТИ ПО ГИДРОГЕОЛОГИЧЕСКИМ УСЛОВИЯМ
Приложение А утратило силу с 31.07.2019. -
Приказ Минстроя России от 30.01.2019 N 64/пр.
(обязательное)
ДОРОЖНО-КЛИМАТИЧЕСКИЕ ЗОНЫ РОССИЙСКОЙ ФЕДЕРАЦИИ
Приложение Б утратило силу с 31.07.2019. -
Приказ Минстроя России от 30.01.2019 N 64/пр.
(обязательное)
РАСЧЕТНЫЕ ХАРАКТЕРИСТИКИ ГРУНТОВ
Приложение В утратило силу с 31.07.2019. -
Приказ Минстроя России от 30.01.2019 N 64/пр.
(рекомендуемое)
ОПРЕДЕЛЕНИЕ ЭКВИВАЛЕНТНОГО КОЭФФИЦИЕНТА ПОСТЕЛИ
Приложение Г утратило силу с 31.07.2019. -
Приказ Минстроя России от 30.01.2019 N 64/пр.
(обязательное)
ТЕПЛОТЕХНИЧЕСКИЕ РАСЧЕТЫ ОСНОВАНИЙ НА ВЕЧНОМЕРЗЛЫХ ГРУНТАХ
Приложение Д утратило силу с 31.07.2019. -
Приказ Минстроя России от 30.01.2019 N 64/пр.
(обязательное)
РАСЧЕТ ОСНОВАНИЙ НА ПУЧИНИСТЫХ ГРУНТАХ
Приложение Е утратило силу с 31.07.2019. -
Приказ Минстроя России от 30.01.2019 N 64/пр.
(обязательное)
ОПРЕДЕЛЕНИЕ СЖИМАЮЩИХ НАПРЯЖЕНИЙ В ГРУНТЕ
ОТ ЭКСПЛУАТАЦИОННОЙ НАГРУЗКИ И СОБСТВЕННОГО ВЕСА КОНСТРУКЦИИ
Приложение Ж утратило силу с 31.07.2019. -
Приказ Минстроя России от 30.01.2019 N 64/пр.
(обязательное)
ХАРАКТЕРИСТИКИ МАТЕРИАЛОВ АЭРОДРОМНЫХ ПОКРЫТИЙ
Приложение И утратило силу с 31.07.2019. -
Приказ Минстроя России от 30.01.2019 N 64/пр.
(обязательное)
ГРАФИКИ, НОМОГРАММЫ И ТАБЛИЦЫ
ДЛЯ РАСЧЕТА АЭРОДРОМНЫХ ПОКРЫТИЙ
Приложение К утратило силу с 31.07.2019. -
Приказ Минстроя России от 30.01.2019 N 64/пр.
(рекомендуемое)
СХЕМЫ ДЕЛЕНИЯ ПОКРЫТИЯ АЭРОДРОМОВ
НА ХАРАКТЕРНЫЕ ГРУППЫ УЧАСТКОВ
Приложение Л утратило силу с 31.07.2019. -
Приказ Минстроя России от 30.01.2019 N 64/пр.
(рекомендуемое)
РАСЧЕТ ИСКУССТВЕННЫХ ОСНОВАНИЙ ПОД ЖЕСТКИЕ
ПОКРЫТИЯ ИЗ МАТЕРИАЛОВ, ОБРАБОТАННЫХ ВЯЖУЩИМИ
Приложение М утратило силу с 31.07.2019. -
Приказ Минстроя России от 30.01.2019 N 64/пр.
(обязательное)
ГИДРАВЛИЧЕСКИЙ РАСЧЕТ ВОДООТВОДНЫХ СИСТЕМ
Приложение Н утратило силу с 31.07.2019. -
Приказ Минстроя России от 30.01.2019 N 64/пр.
Раздел утратил силу с 31.07.2019. -
Приказ Минстроя России от 30.01.2019 N 64/пр.