Главная // Актуальные документы // ГОСТ (Государственный стандарт)СПРАВКА
Источник публикации
М.: Издательство стандартов, 1989
Примечание к документу
Действие данного документа, утратившего силу с 1 января 2015 года в связи с введением в действие
ГОСТ 22283-2014 Приказом Росстандарта от 09.07.2014 N 821-ст, восстановлено на территории РФ только в отношении продукции, поставляемой по Государственному оборонному заказу с 1 марта 2016 года (
Приказ Росстандарта от 01.03.2016 N 101-ст).
С 1 июля 2003 года до вступления в силу технических регламентов акты федеральных органов исполнительной власти в сфере технического регулирования носят рекомендательный характер и подлежат обязательному исполнению только в части, соответствующей целям, указанным в
пункте 1 статьи 46 Федерального закона от 27.12.2002 N 184-ФЗ.
Текст данного документа приведен с учетом
поправки, опубликованной в "ИУС", N 12, 1989.
Ограничение срока действия снято по Протоколу N 7-95 Межгосударственного совета по стандартизации, метрологии и сертификации ("ИУС", N 11, 1995).
Документ
введен в действие с 1 января 1990 года.
Взамен ГОСТ 22283-76.
Название документа
"ГОСТ 22283-88. Государственный стандарт Союза ССР. Шум авиационный. Допустимые уровни шума на территории жилой застройки и методы его измерения"
(утв. и введен в действие Постановлением Госстандарта СССР от 22.12.1988 N 4457)
"ГОСТ 22283-88. Государственный стандарт Союза ССР. Шум авиационный. Допустимые уровни шума на территории жилой застройки и методы его измерения"
(утв. и введен в действие Постановлением Госстандарта СССР от 22.12.1988 N 4457)
Утвержден и введен в действие
Постановлением Государственного
комитета СССР по стандартам
от 22 декабря 1988 г. N 4457
ГОСУДАРСТВЕННЫЙ СТАНДАРТ СОЮЗА ССР
ШУМ АВИАЦИОННЫЙ
ДОПУСТИМЫЕ УРОВНИ ШУМА НА ТЕРРИТОРИИ
ЖИЛОЙ ЗАСТРОЙКИ И МЕТОДЫ ЕГО ИЗМЕРЕНИЯ
Aircraft noise. Admissible noise levels in the region
of dwelling-houses and methods of its measurement
ГОСТ 22283-88
Срок действия
с 1 января 1990 года
до 1 января 2000 года
1. Разработан и внесен Министерством гражданской авиации СССР.
Исполнители: Б.Н. Мельников, канд. техн. наук (руководитель темы); А.З. Лукьянова; С.А. Абрамян, канд. техн. наук; А.В. Тарасенко; Т.И. Никулина; Ю.С. Файрушин.
2. Утвержден и введен в действие Постановлением Государственного комитета СССР по стандартам от 22.12.1988 N 4457.
3. Срок первой проверки - 1995 г.,
периодичность проверки - 5 лет.
4. Стандарт соответствует международным стандартам ИСО 131-79, ИСО 3891-78.
5. Взамен ГОСТ 22283-76.
6. Ссылочные нормативно-технические документы
──────────────────────────────────────────────────────────┬────────────────
Обозначение НТД, на который дана ссылка │ Номер пункта
──────────────────────────────────────────────────────────┼────────────────
ИС МЕГАНОРМ: примечание.
ГОСТ 17228-87 утратил силу с 1 января 2015 года в связи с введением в
Приказом Росстандарта от 01.03.2016 N 101-ст срок действия ГОСТ 17228-87
восстановлен для добровольного применения на территории Российской
Федерации с 1 марта 2016 в отношении продукции, поставляемой по
Государственному оборонному заказу.
ГОСТ 17228-87 │Вводная часть
ИС МЕГАНОРМ: примечание.
ГОСТ 17229-85 утратил силу с 1 января 2015 года в связи с введением в
Приказом Росстандарта от 01.03.2016 N 101-ст срок действия ГОСТ 17229-85
восстановлен для добровольного применения на территории Российской
Федерации с 1 марта 2016 в отношении продукции, поставляемой по
Государственному оборонному заказу.
ГОСТ 23023-85 │Вводная часть
ГОСТ 24646-81 │Вводная часть
ИС МЕГАНОРМ: примечание.
Взамен ГОСТ 24647-81 Постановлением Госкомприроды СССР от 05.05.1991 N 6
с 1 января 1992 года введен в действие ГОСТ 24647-91. ГОСТ 24647-91
утратил силу с 1 января 2015 года в связи с введением в действие
ГОСТ 24647-81 │Вводная часть
Настоящий стандарт устанавливает максимально допустимые уровни авиационного шума на вновь проектируемых территориях жилой застройки вблизи существующих аэродромов и аэропортов, а также на территориях жилой застройки городов и поселков городского типа вокруг вновь проектируемых аэродромов и аэропортов при взлете, пролете и посадке самолетов и вертолетов, при опробовании двигателей на аэродромах при производстве полетов, а также устанавливает методы измерения авиационного шума.
Стандарт не распространяется на воздействие звуковых ударов, возникающих при пролете самолетов со сверхзвуковой скоростью.
1. КРИТЕРИЙ ОЦЕНКИ ВОЗДЕЙСТВИЯ ШУМА
И ЕГО ДОПУСТИМЫЕ ЗНАЧЕНИЯ
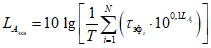
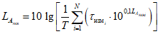
1.1. Нормируемыми параметрами авиационного шума на территории жилой застройки являются эквивалентный уровень звука

и максимальный уровень звука

, измеряемые в дБ (А).
1.2. Эквивалентный уровень звука

представляет собой значение длительного постоянного шума, который в пределах регламентируемого интервала времени имеет то же среднее квадратическое значение уровня, что и рассматриваемый авиационный шум, уровень звука которого

(t) изменяется во времени. Регламентируемыми интервалами времени являются 16 ч дневного и 8 ч ночного времени суток (с 7.00 до 23.00 ч и с 23.00 до 7.00 ч) <*>.
--------------------------------
<*> С учетом местных условий допускается изменять граничное время с 7.00 до 6.00 ч без изменения общей продолжительности дневного и ночного периодов.
Эквивалентный уровень звука

в общем случае определяется по формуле

,
где T - регламентируемый интервал времени (57600 с в дневное время и 28800 с в ночное время).
1.3. На вновь проектируемых территориях жилой застройки вблизи существующих аэропортов и на существующих территориях жилой застройки вблизи вновь проектируемых аэропортов уровни авиационного шума не должны превышать значений, указанных в табл. 1.
Таблица 1
───────────────────────────┬──────────────────────┬────────────────────────
Время суток │Эквивалентный уровень │ Максимальный уровень
│ звука L , дБ (А) │ звука при единичном
│ A │ воздействии L , дБ (А)
│ экв │ A
───────────────────────────┼──────────────────────┼────────────────────────
День (с 7.00 до 23.00 ч) │ 65 │ 85
Ночь (с 23.00 до 7.00 ч) │ 55 │ 75
1.4. Допускается превышение в дневное время установленного уровня звука

на значение не более 10 дБ (А) для аэродромов 1-го, 2-го классов и для заводских аэродромов, но не более 10 пролетов в один день.
При реконструкции аэропортов или изменении условий эксплуатации воздушных судов акустическая обстановка на территориях жилой застройки не должна ухудшаться.
1.5. При пролетах сверхзвуковых самолетов допускается превышать установленные уровни звука

на 10 дБ (А) и

на 5 дБ (А) в течение не более двух суток одной недели.
2. МЕТОДЫ И УСЛОВИЯ ИЗМЕРЕНИЯ ШУМА
2.1. Соответствие установленным в
п. 1.3 нормам определяется по результатам не менее чем трех непосредственных измерений в дневной и ночной периоды с последующим осреднением. При определении эквивалентных уровней звука допускается применять приближенные методы расчета, приведенные в
Приложении 1.
2.2. Измерения следует проводить в условиях нормальной деятельности аэропорта в периоды наиболее интенсивного движения и при полетах воздушных судов (ВС) наиболее шумных типов в точках, расположенных в характерных местах существующей или планируемой жилой застройки вблизи маршрутов движения ВС.
2.3. Измерения шума следует проводить в соответствии с требованиями
ГОСТ 23337 на открытых площадках (вне звуковой тени) или на расстоянии не менее 2 м от отражающих конструкций зданий.
Между точкой измерения и ВС не должно быть препятствий, искажающих звуковое поле. Места для измерения шума должны располагаться на ровной поверхности с соблюдением условий отсутствия чрезмерного избыточного затухания звука (высокая трава, кустарник или лесные участки).
| | ИС МЕГАНОРМ: примечание. ГОСТ 17229-85 утратил силу с 1 января 2015 года в связи с введением в действие ГОСТ 17229-2014 (Приказ Росстандарта от 17.10.2014 N 1353-ст). Приказом Росстандарта от 01.03.2016 N 101-ст срок действия ГОСТ 17229-85 восстановлен для добровольного применения на территории Российской Федерации с 1 марта 2016 в отношении продукции, поставляемой по Государственному оборонному заказу. | |
Рабочий центр микрофона располагают на высоте 1,2 - 1,5 м над уровнем земной поверхности или поверхностью сооружений. Ось микрофона должна быть ориентирована в сторону ожидаемого излучения максимального шума. Допускается использовать ориентацию микрофона, регламентируемую ГОСТ 17229 при сертификационных испытаниях ВС по шуму.
Если скорость ветра превышает 1 м/с, то при измерениях используют ветрозащитный экран для микрофона.
2.4. Измерения не проводят во время осадков, при скорости ветра более 5 м/с, а также при неблагоприятных сочетаниях температуры и относительной влажности окружающего воздуха, когда затухание звука в воздухе для третьоктавной полосы с центральной частотой 8 кГц превышает 10 дБ на 100 м. Зона неблагоприятных условий сочетания температуры и относительной влажности воздуха представлена на черт. 1 в виде заштрихованного участка.
Черт. 1
2.5. Не следует проводить измерения в случаях, когда уровень шумового фона отличается от уровней шума самолетов менее чем на 10 дБ.
2.6. Результаты измерений оформляют протоколом, в котором указывают время и место проведения измерений, характер поверхности в точке измерения, тип ВС, используемую аппаратуру, результаты измерений максимальных и эквивалентных уровней звука и уровней шумового фона или расчета эквивалентных уровней звука, заключение о соответствии уровней шума требованиям, установленным настоящим стандартом.
2.7. Систематический контроль соответствия шума на территории жилой застройки может осуществляться при помощи стационарных и передвижных аэродромных систем контроля авиационного шума. Основные требования и рекомендации по осуществлению такого контроля изложены в
Приложении 3.
К КОНТРОЛЬНО-ИЗМЕРИТЕЛЬНОЙ АППАРАТУРЕ
3.1. Для акустических измерений следует применять шумомеры, комбинированные измерительные системы или автоматические устройства, предназначенные для определения максимальных и эквивалентных уровней звука и соответствующие классам точности 0; 1 или 2
ГОСТ 17187.
3.2. Аппаратура, используемая для непосредственных измерений максимальных и эквивалентных уровней звука в соответствии с
п. 1.2 настоящего стандарта, может включать:
цифровую измерительную систему с соответствующим программным обеспечением;
анализатор шума со встроенными микропроцессорами;
шумомер;
шумомер и регистратор уровня;
шумомер, регистратор уровня и статистический анализатор;
шумомер и магнитный регистратор.
3.3. До начала измерений, в процессе их проведения и после завершения следует проводить проверку общей чувствительности измерительной системы при помощи акустического калибратора, генерирующего известные уровни звукового давления на известных частотах, либо любым другим способом, оговоренным в инструкции по эксплуатации средства измерения.
3.4. Используемая измерительная аппаратура должна иметь действующее свидетельство о поверке, выданное компетентным органом.
| | ИС МЕГАНОРМ: примечание. ГОСТ 17229-85 утратил силу с 1 января 2015 года в связи с введением в действие ГОСТ 17229-2014 (Приказ Росстандарта от 17.10.2014 N 1353-ст). Приказом Росстандарта от 01.03.2016 N 101-ст срок действия ГОСТ 17229-85 восстановлен для добровольного применения на территории Российской Федерации с 1 марта 2016 в отношении продукции, поставляемой по Государственному оборонному заказу. | |
3.5. Характеристики используемых в измерениях магнитных регистраторов должны удовлетворять требованиям ГОСТ 17229.
4. ОФОРМЛЕНИЕ И ПРЕДСТАВЛЕНИЕ
РЕЗУЛЬТАТОВ ИЗМЕРЕНИЙ И РАСЧЕТА
4.1. Результаты выполненных измерений оформляют актом, утверждаемым руководителем организации, специалисты которой осуществляли указанные измерения. В акте четко указывают цель предпринятых исследований, приводят необходимую информацию о режиме работы аэропорта и типах эксплуатируемых ВС, сведения о наличии акустического паспорта аэропорта и возможность использования его рекомендаций по снижению шума применительно к конкретным условиям и поставленным целям.
4.2. При измерениях рекомендуется использовать протокол, форма которого приведена в
Приложении 2.
4.3. Важнейшая исходная информация, на основании которой выполняются необходимые расчеты эквивалентного уровня, включая расчетную интенсивность полетов в дневное и ночное время с указанием типов эксплуатируемых ВС, режим работы аэропорта и действующие в нем ограничения, представляется руководством аэропорта или согласовывается с ним.
4.4. Для согласования плана расположения новой жилой застройки вблизи аэропорта из условий создаваемого ВС шума следует использовать расчетные зоны воздействия шума с допустимыми значениями по
п. 1.3 настоящего стандарта. Исходная информация и основные требования для расчетного определения указанных зон воздействия шума для существующих и перспективных условий эксплуатации аэропорта приведены в
Приложении 4.
Рекомендуемое
ПРИБЛИЖЕННЫЕ МЕТОДЫ ВЫЧИСЛЕНИЯ УРОВНЕЙ ЗВУКА
Приближенные методы определения значения

допускают использование в качестве исходной информации результатов расчетов или измерений максимальных уровней звука при отдельных воздействиях шума, а также измерений эквивалентных уровней звука за отдельные промежутки времени вместо непрерывных измерений в течение установленного стандартом дневного и ночного времени суток.
Метод 1. Измеряются максимальные уровни звука

при каждом воздействии, при этом в протоколе измерений отмечается тип самолета (турбореактивный или турбовинтовой) и этап полета (различается взлет, набор высоты, снижение на посадку, полет в зоне ожидания). Для каждого пролета в зависимости от значения

по табл. 2 определяется параметр

.
Таблица 2
─────────────────────┬─────────────────────────────────────────────────────
│ 0,1L
│ A
│ i
Максимальный уровень │ Параметр тау x 10 для
звука L , дБ (А) │ эф
A │ i
i ├────────────────────────────────────┬────────────────
│ реактивных самолетов при │ винтовых
├──────────────────┬─────────────────┤ самолетов
│ взлете │ посадке │
─────────────────────┼──────────────────┼─────────────────┼────────────────
│ 9 │ 9 │ 9
70 │ 0,24 x 10 │ 0,18 x 10 │ 0,12 x 10
│ 9 │ 9 │ 9
71 │ 0,28 x 10 │ 0,21 x 10 │ 0,14 x 10
─────────────────────┼──────────────────┼─────────────────┼────────────────
│ 9 │ 9 │ 9
72 │ 0,33 x 10 │ 0,25 x 10 │ 0,17 x 10
│ 9 │ 9 │ 9
73 │ 0,39 x 10 │ 0,29 x 10 │ 0,19 x 10
│ 9 │ 9 │ 9
74 │ 0,46 x 10 │ 0,34 x 10 │ 0,23 x 10
│ 9 │ 9 │ 9
75 │ 0,54 x 10 │ 0,40 x 10 │ 0,27 x 10
│ 9 │ 9 │ 9
76 │ 0,63 x 10 │ 0,47 x 10 │ 0,31 x 10
│ 9 │ 9 │ 9
77 │ 0,74 x 10 │ 0,55 x 10 │ 0,37 x 10
│ 9 │ 9 │ 9
78 │ 0,87 x 10 │ 0,65 x 10 │ 0,43 x 10
│ 9 │ 9 │ 9
79 │ 1,02 x 10 │ 0,77 x 10 │ 0,51 x 10
─────────────────────┼──────────────────┼─────────────────┼────────────────
│ 9 │ 9 │ 9
80 │ 1,20 x 10 │ 0,90 x 10 │ 0,60 x 10
│ 9 │ 9 │ 9
81 │ 1,41 x 10 │ 1,06 x 10 │ 0,70 x 10
│ 9 │ 9 │ 9
82 │ 1,66 x 10 │ 1,24 x 10 │ 0,83 x 10
│ 9 │ 9 │ 9
83 │ 1,94 x 10 │ 1,46 x 10 │ 0,97 x 10
│ 9 │ 9 │ 9
84 │ 2,28 x 10 │ 1,71 x 10 │ 1,14 x 10
│ 9 │ 9 │ 9
85 │ 2,68 x 10 │ 2,01 x 10 │ 1,34 x 10
│ 9 │ 9 │ 9
86 │ 3,15 x 10 │ 2,36 x 10 │ 1,58 x 10
│ 9 │ 9 │ 9
87 │ 3,70 x 10 │ 2,78 x 10 │ 1,85 x 10
│ 9 │ 9 │ 9
88 │ 4,35 x 10 │ 3,26 x 10 │ 2,17 x 10
│ 9 │ 9 │ 9
89 │ 5,11 x 10 │ 3,83 x 10 │ 2,55 x 10
─────────────────────┼──────────────────┼─────────────────┼────────────────
│ 9 │ 9 │ 9
90 │ 6,00 x 10 │ 4,50 x 10 │ 3,00 x 10
│ 9 │ 9 │ 9
91 │ 7,05 x 10 │ 5,29 x 10 │ 3,52 x 10
│ 9 │ 9 │ 9
92 │ 8,28 x 10 │ 6,21 x 10 │ 4,14 x 10
│ 9 │ 9 │ 9
93 │ 9,72 x 10 │ 7,29 x 10 │ 4,86 x 10
│ 9 │ 9 │ 9
94 │ 11,42 x 10 │ 8,57 x 10 │ 5,71 x 10
│ 9 │ 9 │ 9
95 │ 13,42 x 10 │ 10,06 x 10 │ 6,71 x 10
│ 9 │ 9 │ 9
96 │ 15,76 x 10 │ 11,82 x 10 │ 7,88 x 10
│ 9 │ 9 │ 9
97 │ 18,51 x 10 │ 13,88 x 10 │ 9,25 x 10
│ 9 │ 9 │ 9
98 │ 21,74 x 10 │ 16,30 x 10 │ 10,87 x 10
│ 9 │ 9 │ 9
99 │ 25,54 x 10 │ 19,15 x 10 │ 12,77 x 10
─────────────────────┼──────────────────┼─────────────────┼────────────────
│ 9 │ 9 │ 9
100 │ 30,00 x 10 │ 22,50 x 10 │ 15,00 x 10
│ 9 │ │
101 │ 35,24 x 10 │ - │ -
│ 9 │ │
102 │ 41,39 x 10 │ - │ -
│ 9 │ │
103 │ 48,62 x 10 │ - │ -
│ 9 │ │
104 │ 57,11 x 10 │ - │ -
│ 9 │ │
105 │ 67,08 x 10 │ - │ -
Эквивалентный уровень звука за период определяется по формуле

,
где T - регламентируемый интервал времени, равный 57600 с для дневного времени (с 7.00 до 23.00 ч) и 28800 с для ночного времени (с 23.00 до 7.00 ч);
N - число воздействий за рассматриваемый период.
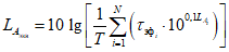
Метод 2. Измеряются максимальные уровни звука

при каждом воздействии, а также время воздействия

(за время воздействия принимается значение, равное времени звучания "верхних" 10 дБ (А), т.е. время превышения уровня звука на 10 дБ (А) ниже максимального измеренного значения).
Эквивалентный уровень звука определяется по формуле

,
где T - регламентируемый интервал времени, равный 57600 с для дневного времени (с 7.00 до 23.00 ч) и 28800 с для ночного времени (с 23.00 до 7.00 ч);
N - число воздействий за рассматриваемый период;

- максимальный уровень звука при i-м воздействии;

- эффективное время i-го воздействия шума, равное

при пролетах и

при опробовании двигателей.
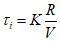
Допускается определять время воздействия при пролетах: по формуле

,
где K - постоянная, равная 3, 4 для реактивных и 2,5 для винтовых ВС;
R - кратчайшее расстояние до источника шума, м;
V - скорость полета ВС, м/с;
с использованием осредненных зависимостей времени воздействия от высоты и режима пролета для каждого типа ВС, представленных его изготовителем или компетентной организацией заказчика;
по известному времени звучания "верхних" 10 дБ (А) для заданного удаления, когда пересчет этого времени для другого удаления осуществляется с использованием поправки, равной 7,5 дБ (А) при каждом 10-кратном изменении удаления (метод ИКАО).
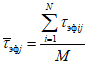
Разновидностью метода является случай, когда измеренные в данной точке максимальные уровни звука осредняются для однородных операций (взлет, посадка, опробование двигателей) каждого типа эксплуатируемого в аэропорту ВС (по данным не менее чем 5 измерений) с последующим использованием этой информации для расчета ожидаемого эквивалентного уровня для дневного и ночного времени. Осреднение выполняется по формуле

,
где

- максимальный уровень звука ВС j-го типа при i-м воздействии;
зная интенсивность полетов по расписанию каждого типа ВС и маршруты их движения, значение

можно определить по формуле

,
где M - число эксплуатируемых в аэропорту типов ВС;

- эффективное среднее время воздействия ВС j-го типа, причем

, (здесь

- эффективное время воздействия шума при i-м воздействии ВС j-го типа);

- число воздействий ВС j-го типа за рассматриваемый период наблюдения по расписанию.
Метод 3. Измеряются уровни звуковой экспозиции

при каждом воздействии с последующим суммированием измеренных уровней отдельно для дневного и ночного времени суток.
Уровень звуковой экспозиции в общем виде выражается формулой

,
где

- исходная длительность, равная 1 с;

- выбранный временной интервал;

- текущее значение уровня звука.
Расчет эквивалентного уровня осуществляется по формуле

.
Разновидностью метода является случай использования в качестве исходной информации для определения уровня звуковой экспозиции измеренного максимального уровня звука


.
Метод 4. Измеряется эквивалентный уровень звука

за время

при каждом воздействии с последующим суммированием измеренных уровней отдельно для дневного и ночного времени суток по формуле

,
где

- время измерения значения

при i-м воздействии.
Метод 5. Максимальные уровни звука

для каждого типа самолета определяются по расчетно-экспериментальным зависимостям "максимальный уровень звука - наклонное удаление - режим работы двигателей", представленным для самолета данного типа его изготовителем или компетентной организацией заказчика. Определение времени воздействия шума и эквивалентных уровней звука выполняется в соответствии с
методом 2 настоящего приложения.
Рекомендуемое
ПРОТОКОЛ ИЗМЕРЕНИЙ УРОВНЕЙ ШУМА
"___" _________________ 19___ г. ___________________________________
1. Место измерения
2. Поставленная задача, цель измерений
3. Используемая измерительная аппаратура
Блок-схема измерительной аппаратуры с указанием типов и серийных
номеров приборов, сведения о государственной или ведомственной поверке
используемых приборов
4. Метеоусловия при проведении измерений (температура, относительная
влажность, давление, направление и скорость ветра)
5. Результаты измерений уровней звука
Начало наблюдений ___________________ ч
Конец наблюдений ____________________ ч
Таблица 3
─────┬─────────┬─────┬───────┬──────────┬───────┬─────────┬───────┬────────
Номер│ Этап и │Тип │Макси- │Измеренный│Уровень│Время │Фоновый│Примеча-
изме-│ время │само-│мальный│эквива- │экспо- │воздейст-│уровень│ние
рения│измерения│лета │уровень│лентный │зиции │вия тау, │ L , │(помехи,
│(местное)│ │L , │уровень │L , │с │ A │обста-
│ │ │ A │L , │ AE │ │дБ (А) │новка
│ │ │дБ (А) │ A │дБ (А) │ │ │и др.)
│ │ │ │ экв │ │ │ │
│ │ │ │дБ (А) │ │ │ │
─────┼─────────┼─────┼───────┼──────────┼───────┼─────────┼───────┼────────
│ │ │ │ │ │ │ │
│ │ │ │ │ │ │ │
│ │ │ │ │ │ │ │
6. Расчет эквивалентного уровня звука (используемый метод, исходная
информация и последовательность расчета)
7. Заключение о соответствии результатов измерений требованиям
ГОСТ 22283
Организация, выполняющая измерения ________________________________________
(название организации, город)
Ответственный исполнитель _________________________________________________
(должность, фамилия)
Рекомендуемое
КОНТРОЛЬ АВИАЦИОННОГО ШУМА
Контроль авиационного шума на территориях вблизи аэропорта осуществляется при помощи аэродромной системы контроля шума, представляющей собой комплекс автоматических или автоматизированных средств измерения, передачи, регистрации и обработки информации о характеристиках воздействующего шума и включающей пункты контроля шума (ПК), систему передачи информации и центральную станцию (ЦС) обработки информации.
Система контроля должна обеспечивать получение следующей информации:
значения максимальных уровней шума -

, дБ (А);
эквивалентные уровни шума с осреднением за различные периоды времени -

, дБ (А);
превышение допустимых уровней;
исходную информацию, необходимую для оценки вклада отдельных типов ВС или парка ВС отдельных авиакомпаний в общее воздействие шума.
В ПК выполняют измерение звукового сигнала и его регистрацию, затем результаты измерений передают на ЦС для дальнейшей обработки, включающей анализ полученной информации как из ПК, так и из службы движения и метеостанции аэропорта (рейс с указанием авиакомпаний и типа ВС, время вылета или прибытия, используемая взлетно-посадочная полоса (ВПП), маршрут вылета, метеоусловия и другая информация, необходимая для идентификации событий и сравнительной оценки).
ПК размещают таким образом, чтобы обеспечить решение всех задач по контролю шума на территориях в окрестностях аэропорта при минимальных затратах на оборудование и эксплуатацию системы. Число, тип и размещение ПК зависят от особенностей эксплуатации конкретного аэропорта и расположения районов жилой застройки вблизи него.
ПК могут быть стационарными и передвижными. Последние используются для решения оперативных задач, связанных с проверкой жалоб населения, разовым контролем в местах возможного превышения допустимых уровней шума, для вновь возводимых строений, выбора мест для возможного размещения зон отдыха, больниц и т.п., а также для предварительных исследований по обоснованию выбора мест расположения стационарных ПК.
Обычно ПК используются в составе автоматических систем контроля с передачей информации по телефонной линии или по каналам радиосвязи, а также при помощи средств телеметрии. Стационарные ПК могут быть автономными (обеспечивающими регистрацию и хранение информации непосредственно в месте регистрации).
Контроль шума в окрестностях аэропортов осуществляют непрерывно или в отдельные промежутки времени. Временный контроль проводят для оценки существующей в аэропорту ситуации, проверки эффективности отдельных мероприятий по снижению шума и выборочного контроля их использования, причем длительность проведения контроля зависит от поставленных целей. Круглосуточный контроль обеспечивает регистрацию всех случаев нарушения установленных ограничений, обеспечивая тем самым максимальную эффективность применяемых в аэропорту методов снижения шума.
Система устанавливаемых в ПК ограничений предусматривает использование в качестве максимально допустимых:
уровни, регламентируемые на территории жилой застройки в окрестностях аэропортов действующими стандартами;
уровни, установленные для ВС конкретных типов или групп из условий максимального снижения шума при повседневной эксплуатации.
Информация о местах размещения ПК, установленных максимально допустимых уровнях шума и рекомендациях по их соблюдению обязательно помещается в установленной документации, определяющей правила эксплуатации ВС в данном аэропорту.
Результаты контроля авиационного шума представляются в виде периодического (обычно месячного) информационного бюллетеня контроля. Подготовка такого бюллетеня осуществляется для информации эксплуатирующих организаций о зарегистрированных случаях нарушений установленных в аэропорту требований по шуму, а также обобщения статистической информации о характеристиках шума в окрестностях аэропорта. В бюллетень включают следующую информацию:
расположение используемых для контроля шума ПК и допустимые в них уровни шума;
перечень ВС, превысивших установленные в ПК ограничения, и метеоусловия при регистрации нарушения;
эквивалентные уровни шума, рассчитанные за различные периоды времени (день, ночь, сутки, неделя, месяц) и общее число зарегистрированных событий;
статистическая информация о характеристиках шума, создаваемого в ПК ВС различных типов и авиакомпаний для различных условий эксплуатации, включая диапазон изменения измеренных уровней, среднестатистические значения и сравнительную оценку уровней шума.
Бюллетень контроля шума является также информационной базой для проверки жалоб, уточнения фактических зон воздействия шума в окрестностях аэропорта, а также подготовки уведомлений о нарушениях или применения штрафных санкций к эксплуатирующим организациям за нарушение установленных в аэропорту требований по шуму.
Обязательное
ИСХОДНАЯ ИНФОРМАЦИЯ И ТРЕБОВАНИЯ
К ОПРЕДЕЛЕНИЮ ЗОН ВОЗДЕЙСТВИЯ ШУМА ДЛЯ СУЩЕСТВУЮЩИХ
И ПЕРСПЕКТИВНЫХ УСЛОВИЙ ЭКСПЛУАТАЦИИ АЭРОПОРТА
Принятие решений по размещению жилой застройки в районе существующего или проектируемого аэропорта, а также оценка состояния проблемы авиационного шума вблизи аэропорта и необходимость разработки и внедрения конкретных мероприятий по его снижению осуществляется с использованием расчетных зон воздействия шума. Зона воздействия шума представляет собой огибающую контуров равных нормируемых уровней шума, рассчитанных для принятых условий эксплуатации ВС в аэропорту. Нормируемые значения максимального и эквивалентного уровня звука принимаются и соответствии с
разд. 1 настоящего стандарта. Исходная информация и требования, которые необходимо учитывать при определении указанных зон воздействия шума, осуществляются с учетом следующих положений.
1. Должны быть учтены все типы ВС, осуществляющих регулярные полеты или планируемых к внедрению в данном аэропорту на перспективу.
2. Расчет осуществляется для всех существующих или планируемых на расчетный срок маршрутов полетов в районе данного аэропорта. Допускается исключать из расчетов те направления ВПП или маршруты полета, которые по подтвержденным результатам длительного осреднения или планируемых условий на перспективу используют менее чем в 10% случаев.
3. В качестве расчетных при определении контуров равного шума для каждого маршрута (площадки опробования двигателей) принимается число полетов (общая продолжительность наземных гонок двигателей) по типам ВС в соответствии с расписанием или планом регулярных полетов (опробований), при которых размеры контура для выбранного периода суток (дня или ночи) являются максимальными.
4. Эксплуатационные факторы и методика выполнения полетов по каждому из маршрутов должны соответствовать принятым условиям в данном аэропорту.
5. Представленные данные по шуму и летно-техническим характеристикам каждого типа ВС, согласованные изготовителем или компетентной организацией заказчика, должны соответствовать следующим исходным условиям:
международной стандартной атмосфере (МСА);
высоте расположения ВПП, соответствующей уровню моря;
отсутствию уклона ВПП;
встречному ветру 4 м/с при отсутствии ветрового градиента;
взлетной и посадочной массе самолета, составляющей 95% максимального значения;
работе всех двигателей;
использованию нормальной полетной конфигурации самолета.
6. При расчете зон воздействия шума следует учитывать отклонение ВС от заданных (идеальных) маршрутов полета. Указанные отклонения определяют по схеме, приведенной на черт. 2. Допускается использовать другие соотношения для оценки отклонения от идеальных маршрутов полета, полученные, например, в результате непосредственных измерений и учитывающие особенности полетов в конкретном аэропорту, должны быть согласованы с руководством эксплуатационного подразделения.
Построение зоны воздействия шума с учетом возможных
отклонений самолетов от стандартных маршрутов полета
1 - контур шума построенный для взлета самолета
по идеальной прямой; 2 - то же, с учетом отклонения
от идеального маршрута полета
Черт. 2
7. Результаты расчета зон воздействия шума могут уточняться по данным измерений фактических уровней шума.