Главная // Актуальные документы // ГОСТ (Государственный стандарт)СПРАВКА
Источник публикации
В данном виде документ опубликован не был.
Первоначальный текст документа опубликован в издании
М.: Стандартинформ, 2009.
Информацию о публикации документов, создающих данную редакцию, см. в справке к этим документам.
Примечание к документу
Документ утратил силу с 1 июля 2018 года в связи с изданием
Приказа Росстандарта от 12.09.2017 N 1053-ст. Взамен введен в действие
ГОСТ 4960-2017.
Название документа
"ГОСТ 4960-2009. Межгосударственный стандарт. Порошок медный электролитический. Технические условия"
(введен в действие Приказом Ростехрегулирования от 01.09.2009 N 313-ст)
(ред. от 26.11.2014)
"ГОСТ 4960-2009. Межгосударственный стандарт. Порошок медный электролитический. Технические условия"
(введен в действие Приказом Ростехрегулирования от 01.09.2009 N 313-ст)
(ред. от 26.11.2014)
агентства по техническому
регулированию и метрологии
от 1 сентября 2009 г. N 313-ст
МЕЖГОСУДАРСТВЕННЫЙ СТАНДАРТ
ПОРОШОК МЕДНЫЙ ЭЛЕКТРОЛИТИЧЕСКИЙ
ТЕХНИЧЕСКИЕ УСЛОВИЯ
Electrolytic copper powder. Specifications
ГОСТ 4960-2009
| | Список изменяющих документов Приказом Росстандарта от 26.11.2014 N 1792-ст) | |
Дата введения
1 июля 2010 года
Цели, основные принципы и основной порядок проведения работ по межгосударственной стандартизации установлены
ГОСТ 1.0-92 "Межгосударственная система стандартизации. Основные положения" и
ГОСТ 1.2-97 "Межгосударственная система стандартизации. Стандарты межгосударственные, правила и рекомендации по межгосударственной стандартизации. Порядок разработки, принятия, применения, обновления и отмены".
1. Разработан Межгосударственным техническим комитетом по стандартизации МТК 503 "Медь", ОАО "Уралмеханобр".
2. Внесен Федеральным агентством по техническому регулированию и метрологии.
3. Принят Межгосударственным советом по стандартизации, метрологии и сертификации (Протокол N 35 от 11 июня 2009 г.).
За принятие стандарта проголосовали:
Краткое наименование страны по МК (ИСО 3166) 004-97 | Код страны по МК (ИСО 3166) 004-97 | Сокращенное наименование национального органа по стандартизации |
Азербайджан | AZ | Азстандарт |
Беларусь | BY | Госстандарт Республики Беларусь |
Казахстан | KZ | Госстандарт Республики Казахстан |
Кыргызстан | KG | Кыргызстандарт |
Молдова | MD | Молдова-Стандарт |
Российская Федерация | RU | Федеральное агентство по техническому регулированию и метрологии |
Таджикистан | TJ | Таджикстандарт |
Украина | UA | Госпотребстандарт Украины |
4.
Приказом Федерального агентства по техническому регулированию и метрологии от 1 сентября 2009 г. N 313-ст межгосударственный стандарт ГОСТ 4960-2009 введен в действие в качестве национального стандарта Российской Федерации с 1 июля 2010 г.
Информация о введении в действие (прекращении действия) настоящего стандарта публикуется в указателе "Национальные стандарты".
Информация об изменениях к настоящему стандарту публикуется в указателе "Национальные стандарты", а текст изменений - в информационных указателях "Национальные стандарты". В случае пересмотра или отмены настоящего стандарта соответствующая информация будет опубликована в информационном указателе "Национальные стандарты".
Настоящий стандарт распространяется на медный порошок, получаемый электролитическим методом, предназначенный для производства деталей методом порошковой металлургии и других целей.
Стандарт устанавливает требования к медному порошку, применяемому в электротехнической, приборостроительной, автомобильной, авиационной, машиностроительной, химической и других отраслях промышленности и для поставки на экспорт.
В настоящем стандарте использованы нормативные ссылки на следующие межгосударственные стандарты:
ГОСТ 8.010-90 <*>. Государственная система обеспечения единства измерений. Методики выполнения измерений
--------------------------------
<*> На территории Российской Федерации действует
ГОСТ Р 8.563-2009 "Государственная система обеспечения единства измерений. Методики (методы) измерений".
(в ред.
Изменения N 1, введенного в действие Приказом Росстандарта от 26.11.2014 N 1792-ст)
ГОСТ 12.0.004-90. Система стандартов безопасности труда. Организация обучения безопасности труда. Общие положения
ГОСТ 12.1.004-91. Система стандартов безопасности труда. Пожарная безопасность. Общие требования
ГОСТ 12.1.005-88. Система стандартов безопасности труда. Общие санитарно-гигиенические требования к воздуху рабочей зоны
ГОСТ 12.1.007-76. Система стандартов безопасности труда. Вредные вещества. Классификация и общие требования безопасности
ГОСТ 12.1.016-79. Система стандартов безопасности труда. Воздух рабочей зоны. Требования к методикам измерения концентраций вредных веществ
ГОСТ 12.3.009-76. Система стандартов безопасности труда. Работы погрузочно-разгрузочные. Общие требования безопасности
ГОСТ 12.4.009-83. Система стандартов безопасности труда. Пожарная техника для защиты объектов. Основные виды. Размещение и обслуживание
ГОСТ 12.4.021-75. Система стандартов безопасности труда. Системы вентиляционные. Общие требования
ГОСТ 17.2.3.01-86. Охрана природы. Атмосфера. Правила контроля качества воздуха населенных пунктов
ГОСТ 17.2.3.02-78. Охрана природы. Атмосфера. Правила установления допустимых выбросов вредных веществ промышленными предприятиями
ГОСТ 4207-75. Калий железистосинеродистый 3-водный. Технические условия
ГОСТ 5044-79. Барабаны стальные тонкостенные для химических продуктов. Технические условия
ГОСТ 6613-86. Сетки проволочные тканые с квадратными ячейками. Технические условия
ГОСТ 9147-80. Посуда и оборудование лабораторные фарфоровые. Технические условия
ГОСТ 9557-87. Поддон плоский деревянный размером 800 x 1200 мм. Технические условия
Ссылка исключена с 1 сентября 2015 года. -
Изменение N 1, введенное в действие
Приказом Росстандарта от 26.11.2014 N 1792-ст.
ГОСТ 9717.2-82. Медь. Метод спектрального анализа по металлическим стандартным образцам с фотографической регистрацией спектра
ГОСТ 9717.3-82. Медь. Метод спектрального анализа по оксидным стандартным образцам
(ссылка введена
Изменением N 1, введенным в действие Приказом Росстандарта от 26.11.2014 N 1792-ст)
Ссылка исключена с 1 сентября 2015 года. -
Изменение N 1, введенное в действие
Приказом Росстандарта от 26.11.2014 N 1792-ст.
Ссылка исключена с 1 сентября 2015 года. -
Изменение N 1, введенное в действие
Приказом Росстандарта от 26.11.2014 N 1792-ст.
Ссылка исключена с 1 сентября 2015 года. -
Изменение N 1, введенное в действие
Приказом Росстандарта от 26.11.2014 N 1792-ст.
Ссылка исключена с 1 сентября 2015 года. -
Изменение N 1, введенное в действие
Приказом Росстандарта от 26.11.2014 N 1792-ст.
| | ИС МЕГАНОРМ: примечание. ГОСТ 13938.11-78 утратил силу с 1 января 2016 года в связи с введением в действие ГОСТ 13938.11-2014 (Приказ Росстандарта от 02.04.2015 N 207-ст). | |
ГОСТ 13938.11-78. Медь. Метод определения мышьяка
ГОСТ 17811-78. Мешки полиэтиленовые для химической продукции. Технические условия
ГОСТ 18897-98 (ИСО 4491-2-97). Порошки металлические. Определение содержания кислорода методами восстановления. Потери массы при восстановлении водородом (водородные потери)
ГОСТ 19440-94 (ИСО 3923-1-79, ИСО 3923-2-81). Порошки металлические. Определение насыпной плотности. Часть 1. Метод с использованием воронки. Часть 2. Метод волюмометра Скотта
ГОСТ 20899-98 (ИСО 4490-78). Порошки металлические. Определение текучести с помощью калиброванной воронки (прибора Холла)
ГОСТ 21650-76. Средства скрепления тарно-штучных грузов в транспортных пакетах. Общие требования
ГОСТ 22235-2010. Вагоны грузовые магистральных железных дорог колеи 1520 мм. Общие требования по обеспечению сохранности при производстве погрузочно-разгрузочных и маневровых работ
(в ред.
Изменения N 1, введенного в действие Приказом Росстандарта от 26.11.2014 N 1792-ст)
ГОСТ 23148-98 (ИСО 3954-77). Порошки, применяемые в порошковой металлургии. Отбор проб
(в ред.
Изменения N 1, введенного в действие Приказом Росстандарта от 26.11.2014 N 1792-ст)
--------------------------------
<*> На территории Российской Федерации действует
ГОСТ Р 53228-2008 "Весы неавтоматического действия. Часть 1. Метрологические и технические требования. Испытания".
(сноска введена
Изменением N 1, введенным в действие Приказом Росстандарта от 26.11.2014 N 1792-ст)
ГОСТ 24597-81. Пакеты тарно-штучных грузов. Основные параметры и размеры
ГОСТ 25336-82. Посуда и оборудование лабораторные стеклянные. Типы, основные параметры и размеры
ГОСТ 25849-83. Порошки металлические. Метод определения формы частиц
ГОСТ 26663-85. Пакеты транспортные. Формирование с применением средств пакетирования. Общие технические требования
ГОСТ 27417-98 (ИСО 4491-4-89). Порошки металлические. Определение общего содержания кислорода методом восстановительной экстракции
ГОСТ 31340-2007 Предупредительная маркировка химической продукции. Общие требования
(ссылка введена
Изменением N 1, введенным в действие Приказом Росстандарта от 26.11.2014 N 1792-ст)
(ссылка введена
Изменением N 1, введенным в действие Приказом Росстандарта от 26.11.2014 N 1792-ст)
Примечание. При пользовании настоящим стандартом целесообразно проверить действие ссылочных стандартов на территории государства по соответствующему указателю стандартов, составленному по состоянию на 1 января текущего года, и по соответствующим информационным указателям, опубликованным в текущем году. Если ссылочный стандарт заменен (изменен), то при пользовании настоящим стандартом следует руководствоваться заменяющим (измененным) стандартом. Если ссылочный стандарт отменен без замены, то положение, в котором дана ссылка на него, применяется в части, не затрагивающей эту ссылку.
3. Технические требования
3.1. Основные характеристики
| | ИС МЕГАНОРМ: примечание. Определения марок даны в соответствии с официальным текстом документа. | |
3.1.1. В зависимости от физико-химических свойств медный порошок изготовляют следующих марок:
ПМС-1, ПМС-А, ПМС-11 - порошок стабилизированный;
ПМС-К - порошок стабилизированный конопаточный;
ПМС-В - порошок стабилизированный;
ПМС-Н - порошок стабилизированный низкодисперсный.
3.1.2. Область применения медного порошка указана в
Приложении А.
3.1.3. Медный порошок должен изготовляться в соответствии с требованиями настоящего стандарта по технологическому регламенту, утвержденному в установленном порядке. Химический состав медного порошка должен соответствовать нормам, указанным в таблице 1.
Таблица 1
Химический состав медного порошка
Марка порошка | | Массовая доля, % |
меди, не менее | примесей, не более | влаги, не более |
железа | свинца | мышьяка | сурьмы | кислорода | сернокислых соединений металлов в пересчете на сульфат-ион | прокаленного остатка после обработки азотной кислотой |
ПМС-В | 17 9311 0008 | 99,5 | 0,018 | 0,05 | 0,003 | 0,005 | 0,10 | 0,01 | 0,04 | 0,05 |
ПМС-1 | 17 9311 0003 | 99,5 | 0,018 | 0,05 | 0,003 | 0,005 | 0,20 | 0,01 | 0,04 | 0,05 |
ПМС-11 | 17 9311 0015 | 99,5 | 0,018 | 0,05 | 0,003 | 0,005 | 0,20 | 0,01 | 0,04 | 0,05 |
ПМС-А | 17 9311 0007 | 99,5 | 0,018 | 0,05 | 0,003 | 0,005 | 0,30 | 0,01 | 0,04 | 0,05 |
ПМС-К | 17 9311 0005 | 99,5 | 0,06 | 0,05 | 0,003 | 0,005 | 0,50 | 0,01 | 0,05 | 0,05 |
ПМС-Н | 17 9311 0006 | 99,5 | 0,06 | 0,05 | 0,003 | 0,005 | 0,50 | 0,01 | 0,05 | 0,05 |
Примечание. По требованию потребителя массовая доля меди для порошка марки ПМС-В - не менее 99,8%, для остальных марок - не менее 99,7%. |
3.1.4. Гранулометрический состав и насыпная плотность медного порошка должны соответствовать нормам, указанным в таблицах 2 и 3 соответственно.
Таблица 2
Гранулометрический состав медного порошка
Номер сита с сетками | Размер частиц, мкм | Гранулометрический состав медного порошка, %, для марок |
ПМС-В | ПМС-К | ПМС-Н | ПМС-1 | ПМС-А | ПМС-11 |
045 К | < 450 | - | 90,0 - 100,0 | - | - | - | - |
0224 К | >= 224 | 0,1 max | - | - | - | - | - |
< 224 | - | - | 95,0 - 100,0 | - | - | - |
018 К | < 180 | - | 10 max | - | - | - | - |
014 К | < 224 - >= 140 | 1,0 max | - | - | - | - | - |
01 К | < 140 - >= 100 | 5,0 - 15,0 | - | - | - | - | - |
>= 100 | - | - | - | - | - | 0,1 max |
< 100 | - | - | - | 99,5 - 100,0 | 99,5 - 100,0 | - |
0071 К | < 71 | - | - | - | 90,0 - 100,0 | 90,0 - 100,0 | - |
0063 К | < 100 - >= 63 | 35,0 - 45,0 | - | - | - | - | - |
< 63 | - | - | - | - | - | 95,0 - 100,0 |
0045 К | < 63 - >= 45 | 25,0 - 35,0 | - | - | - | - | - |
< 45 | 10,0 - 25,0 | - | - | 65,0 - 80,0 | 73,0 - 80,0 | - |
Примечание. Знак "<" - проход через сито, знак ">=" - остаток на сите. |
Таблица 3
Насыпная плотность медного порошка
Насыпная плотность медного порошка, г/см3, для марок |
ПМС-В | ПМС-К | ПМС-Н | ПМС-1 | ПМС-А | ПМС-11 |
2,4 - 2,7 | 2,5 - 3,5 | 2,5 - 3,5 | 1,25 - 2,0 | 1,3 - 1,5 | 1,25 - 1,9 |
Примечания 1. Предельное отклонение значения насыпной плотности порошка в единичной упаковке от среднего значения насыпной плотности порошка в партии составляет +/- 0,1 г/см3 при доверительной вероятности P = 0,95. 2. Насыпная плотность медного порошка для электротехнической промышленности должна соответствовать для марки ПМС-1 значениям от 1,7 до 2,0 г/см3. 3. Допускается ограничение диапазона насыпной плотности медного порошка марки ПМС-1 для электротехнической промышленности по согласованию изготовителя с потребителем. |
3.1.5. Прочность сырой прессовки медного порошка марки ПМС-В плотностью 6,7 г/см3 должна быть не менее 60 кгс/см2.
(п. 3.1.5 в ред.
Изменения N 1, введенного в действие Приказом Росстандарта от 26.11.2014 N 1792-ст)
3.1.6. Текучесть порошка марки ПМС-В не должна превышать 36 с.
3.1.7. По требованию потребителя в медном порошке марки ПМС-А определяют удельную поверхность, удельное электрическое сопротивление и количество частиц условным диаметром не более 10 мкм.
Медный порошок марки ПМС-А:
- должен иметь удельную поверхность частиц от 1000 до 1700 см2/г;
- удельное электрическое сопротивление медного порошка не должно превышать

;
- количество частиц условным диаметром не более 10 мкм в медном порошке должно быть от 25% до 60%.
3.1.8. Порошок не должен иметь посторонних включений и комков.
3.1.9. Исключен с 1 сентября 2015 года. -
Изменение N 1, введенное в действие
Приказом Росстандарта от 26.11.2014 N 1792-ст.
3.1.10. Форма частиц медного порошка всех марок должна быть дендритной.
3.1.11. Установленные значения показателей качества порошка марки ПМС-В в каждой единице упаковки партии не должны отличаться от средних значений соответствующих показателей качества порошка в партии более чем на +/- 10% при доверительной вероятности P = 0,95.
3.2. Маркировка
3.2.1. Транспортная маркировка медного порошка, упакованного в стальные барабаны или мягкие специализированные контейнеры, должна соответствовать требованиям
ГОСТ 14192, предупредительная маркировка - по
ГОСТ 31340.
(п. 3.2.1 в ред.
Изменения N 1, введенного в действие Приказом Росстандарта от 26.11.2014 N 1792-ст)
3.2.2. Маркировку потребительской тары следует наносить на каждый барабан или мягкий специализированный контейнер при помощи трафарета несмываемой краской или наклеивать бумажные ярлыки с указанием:
(в ред.
Изменения N 1, введенного в действие Приказом Росстандарта от 26.11.2014 N 1792-ст)
- товарного знака или наименования предприятия-изготовителя и его товарного знака;
- наименования продукта;
- марки;
- номера партии;
- номера единицы упаковки;
- даты изготовления;
- массы брутто;
- массы нетто;
- обозначения настоящего стандарта.
В упаковочное место номер один должен быть вложен документ о качестве, в маркировке которого должно быть дополнительно указано: "Документ о качестве".
Медный порошок, предназначенный для экспорта, маркируют и транспортируют в соответствии с заказом-нарядом внешнеторгового объединения или контрактом.
3.2.3. Транспортная маркировка тары с грузом - по
ГОСТ 14192 с нанесением манипуляционного знака "Беречь от влаги", предупредительная маркировка - по
ГОСТ 31340.
(в ред.
Изменения N 1, введенного в действие Приказом Росстандарта от 26.11.2014 N 1792-ст)
3.3. Упаковка
Медный порошок упаковывают в стальные барабаны типа II исполнения

по
ГОСТ 5044 с полиэтиленовым мешком по
ГОСТ 17811. Вместимость барабанов - 25,45 дм
3.
Полиэтиленовые мешки увязывают двойной увязкой, обеспечивающей сохранность порошка при транспортировании и хранении.
По согласованию с потребителем допускается упаковка медного порошка в полипропиленовые мягкие специализированные контейнеры с вкладышами из полиэтиленовой пленки по
ГОСТ 10354 грузоподъемностью 1000 кг и 1250 кг по
[9],
[10],
[11],
[12] или иному нормативному документу, утвержденному и согласованному в установленном порядке, с аналогичными или более высокими техническими характеристиками, обеспечивающими сохранность продукции и безопасность транспортирования.
(абзац введен
Изменением N 1, введенным в действие Приказом Росстандарта от 26.11.2014 N 1792-ст)
4. Требования безопасности
4.1. В соответствии с требованиями
ГОСТ 12.1.007 по степени воздействия на организм человека медный порошок относят ко 2-му классу опасности.
Пыль медного порошка, поступая в организм контактирующих с ним людей через органы дыхания и желудочно-кишечный тракт, может вызывать нарушение функций нервной, пищеварительной, кроветворной и сердечно-сосудистой систем, кожные заболевания.
4.3. Медный порошок негорюч, пожаровзрывобезопасен.
4.4. Производственные помещения (включая помещения для проведения химических анализов) должны быть оборудованы общеобменной приточно-вытяжной вентиляцией согласно
ГОСТ 12.4.021, а в местах выделения вредных веществ должны быть оборудованы местные отсосы от производственного оборудования.
Воздуховоды вентиляционных систем, стены и элементы строительных конструкций цехов, проемы и поверхности окон, арматура освещения должны очищаться от пыли и копоти не реже одного раза в три месяца согласно требованиям санитарно-эпидемиологических
правил [2].
4.5. Контроль содержания вредных веществ в воздухе рабочей зоны следует осуществлять в соответствии с
ГОСТ 12.1.005,
ГОСТ 12.1.016 и санитарными правилами, утвержденными соответствующими органами каждой страны СНГ.
4.6. Документы на методики выполнения измерений содержания вредных веществ в воздухе рабочей зоны должны отвечать требованиям ГОСТ 8.010 и
ГОСТ 12.1.016.
4.7. Производственные помещения (включая помещение для проведения химических анализов) должны соответствовать требованиям пожарной безопасности по
Правилам [3] и
ГОСТ 12.1.004. Средства и способы пожаротушения следует применять в соответствии с
ГОСТ 12.4.009, в зависимости от источника возникновения и характера пожара.
4.8. Персонал, занятый в производстве медного порошка и выполнении анализов, должен быть не моложе 18 лет, проходить медицинские осмотры в соответствии с порядком и сроками проведения предварительных (при поступлении на работу) и периодических осмотров в соответствии с требованиями национальных органов здравоохранения.
Постоянные рабочие места на производственных объектах, а также рабочие места женщин, согласно требованиям
санитарных правил и норм [4], должны иметь санитарно-гигиенические паспорта с общей и количественной характеристиками факторов производственной среды и трудового процесса.
4.9. Организация обучения требованиям безопасности труда и проверка знаний работников - по
ГОСТ 12.0.004.
4.10. Производственный персонал должен быть обеспечен специальной одеждой, специальной обувью и другими средствами индивидуальной защиты в соответствии с правилами, принятыми на территории каждой страны СНГ.
4.11. Средства индивидуальной защиты необходимо использовать в соответствии с утвержденным в установленном порядке нормативным документом о порядке выдачи, хранения и использования специальной одежды, специальной обуви и других предохранительных средств. Средства индивидуальной защиты должны храниться в специально отведенных шкафах; вынос их и пребывание в них вне территории предприятия запрещаются.
4.12. Персонал, занятый на производстве, при переработке медного порошка и выполнении анализов должен быть обеспечен в профилактических целях молоком или другими равноценными пищевыми продуктами в соответствии с правилами и нормами, принятыми на территории каждой страны СНГ.
4.13. Персонал, занятый на производстве, при переработке медного порошка и проведении анализов должен быть обеспечен бытовыми помещениями согласно
строительным нормам и правилам [5] для группы 1б производственных процессов.
4.14. В производственных помещениях, включая помещения для проведения химических анализов, запрещается хранить пищевые продукты и воду, принимать пищу, пить и курить.
4.15. После окончания работ необходимо провести уборку рабочего места, очистить специальную одежду, другие защитные средства и используемые инструменты, вымыть руки и лицо с мылом, а в конце смены принять душ.
5. Требования охраны окружающей среды
5.1. Медный порошок в воздушной и водной средах в присутствии других веществ или факторов токсичных соединений не образует.
5.2. Основными видами воздействия медного порошка на окружающую среду могут быть загрязнения воздуха, водоемов и почв в результате нарушения правил хранения или транспортирования, чрезвычайных ситуаций, что приводит к изменению санитарного режима атмосферного воздуха, водных объектов и деградации почв.
5.3. Контроль за содержанием в объектах окружающей среды вредных веществ, выделяющихся при производстве медного порошка, осуществляют аккредитованные экоаналитические службы предприятий или аккредитованные лаборатории специализированных организаций.
5.4. При производстве медного порошка в атмосферный воздух через организованные источники выбросов возможны выделения аэрозолей загрязняющих веществ, нормируемые гигиеническими нормативами, принятыми на территории каждой страны СНГ, концентрации которых в приземном слое, начиная с границы санитарно-защитной зоны и далее, с учетом рассеивания, не должны превышать значений предельно допустимых концентраций (ПДК) и ориентировочных безопасных уровней воздействия (ОБУВ).
5.5. Контроль качества атмосферного воздуха должен осуществляться в соответствии с требованиями санитарных норм и правил, принятых на территории каждой страны СНГ, а также
ГОСТ 17.2.3.01 и
ГОСТ 17.2.3.02.
5.6. Концентрация меди в воде водных объектов хозяйственно-питьевого и культурно-бытового водопользования согласно требованиям гигиенических нормативов в случае попадания медного порошка в водоем не должна превышать значений ПДК, принятых на территории каждой страны СНГ.
5.7. Концентрация меди в воде водных объектов рыбохозяйственного назначения согласно требованиям гигиенических нормативов в случае попадания медного порошка в водоем не должна превышать значений ПДК, принятых на территории каждой страны СНГ.
5.8. Уровень загрязнения почвенного покрова населенных мест медью не должен превышать значений ПДК согласно гигиеническим нормативам, принятым на территории каждой страны СНГ.
6.1. Медный порошок к приемке предъявляют партиями массой не более 1000 кг. Партия состоит из усредненного порошка одной марки, изготовленного по одному технологическому режиму и оформленного одним документом о качестве.
Документ о качестве должен содержать:
- товарный знак или товарный знак и наименование предприятия-изготовителя;
- наименование и марку порошка;
- номер партии;
- количество мест в партии;
- массы нетто и брутто;
- результаты проведенных анализов и измерений;
- дату изготовления;
- обозначение настоящего стандарта.
6.2. Для проверки соответствия качества медного порошка требованиям настоящего стандарта от партии берут выборку согласно таблице 4.
Таблица 4
Количество единиц упаковки в партии | Объем выборки для проверки (количество единиц упаковки) |
От 1 до 5 включ. | Все |
Св. 5 " 15 " | 5 |
" 15 " 30 " | 7 |
6.3. Определение массовой доли меди и примесей, формы частиц изготовитель проводит периодически не реже одного раза в месяц, массовой доли влаги - в каждой пятой партии.
6.4. Наличие посторонних включений и комков проверяют в каждой единице упаковки.
6.5. При получении неудовлетворительных результатов испытаний хотя бы по одному из показателей по нему проводят повторные испытания на удвоенной выборке, взятой от той же партии медного порошка. Результаты повторных испытаний распространяют на всю партию.
7.1. Отбор и подготовка проб - по
ГОСТ 23148 со следующими дополнениями:
- точечные пробы от нетекучих порошков в упаковках отбирают щупом согласно
рисунку 1;
- масса точечной пробы должна быть не менее 0,2% массы единицы упаковки;
- масса объединенной пробы должна быть не менее 0,2% массы партии.
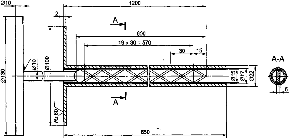
Рисунок 1. Щуп для отбора проб
7.2. Объединенную пробу тщательно перемешивают и сокращают методом квартования до представительной пробы массой не менее 500 г.
Полученную представительную пробу делят на две части и помещают в отдельные упаковки. Одна часть пробы предназначается для испытаний, другая - хранится до получения результатов испытаний.
В случае разногласий в оценке качества медного порошка проводят повторный отбор проб в соответствии с
ГОСТ 23148 (4.1).
7.3. Определение массовой доли меди - по
ГОСТ 31382 со следующим дополнением.
(в ред.
Изменения N 1, введенного в действие Приказом Росстандарта от 26.11.2014 N 1792-ст)
Допускается медь в электролите определять методом визуальной фотометрии с применением гексацианоферрата (II) калия.
В электролит после проведения электролиза прибавляют от 3 до 5 см3 гексацианоферрата (II) калия массовой концентрацией 30 г/дм3, доливают водой до объема 200 см3 и перемешивают. Массу меди в растворе устанавливают визуально по растворам сравнения.
Растворы сравнения готовят с содержанием 0; 40; 60; 80; 100 мкг меди в 200 см3. В ряд мерных колб вместимостью 200 см3 помещают 0,4; 0,6; 0,8; 1,0 см3 раствора меди концентрацией 0,1 г/дм3, прибавляют 100 см3 воды, раствор серной кислоты, разбавленной 1:1 до pH = 1 по универсальной индикаторной бумаге, и от 3 до 5 см3 гексацианоферрата (II) калия концентрацией 30 г/дм3, доливают водой до метки и перемешивают.
| | ИС МЕГАНОРМ: примечание. ГОСТ 13938.11-78 утратил силу с 1 января 2016 года в связи с введением в действие ГОСТ 13938.11-2014 (Приказ Росстандарта от 02.04.2015 N 207-ст). | |
Определение массовой доли железа, свинца, сурьмы и мышьяка - по ГОСТ 9717.2, ГОСТ 9717.3, ГОСТ 13938.11,
ГОСТ 31382.
(в ред.
Изменения N 1, введенного в действие Приказом Росстандарта от 26.11.2014 N 1792-ст)
Допускается применение других методик (методов) измерений, аттестованных в установленном порядке в соответствии с ГОСТ 8.010 и обеспечивающих получение результатов измерений с погрешностями, не превышающими указанных в ГОСТ 9717.2, ГОСТ 9717.3, ГОСТ 13938.11,
ГОСТ 31382. При возникновении разногласий между поставщиком и потребителем по качеству медного порошка арбитражными методами измерений являются методы, изложенные в ГОСТ 9717.2, ГОСТ 9717.3, ГОСТ 13938.11,
ГОСТ 31382.
(абзац введен
Изменением N 1, введенным в действие Приказом Росстандарта от 26.11.2014 N 1792-ст)
7.4. Определение массовой доли кислорода - по ГОСТ 27417. Допускается по согласованию потребителя с изготовителем определять потерю массы при прокаливании в водороде по ГОСТ 18897. При возникновении разногласий при определении массовой доли кислорода анализ проводят по ГОСТ 27417.
7.5. Массовую долю сернокислых соединений металлов в пересчете на сульфат-ион определяют по
ГОСТ 10671.5 со следующим дополнением.
Навеску массой не менее 10 г помещают в стакан вместимостью 500 см
3, добавляют 100 см
3 воды и нагревают от 30 до 40 мин на кипящей водяной бане при постоянном перемешивании. Фильтруют через двойной фильтр средней плотности, промывают порошок декантацией 2 - 3 раза. Фильтрат помещают в мерную колбу вместимостью 100 см
3, доводят водой до метки и перемешивают. Аликвотную часть раствора объемом от 2 до 10 см
3 (в зависимости от массовой доли сульфат-иона) помещают в мерную колбу вместимостью 25 см
3, прибавляют от 0,5 до 1 см
3 соляной кислоты, разбавленной 1:1,3 см
3 раствора крахмала, и перемешивают. Затем приливают 3 см
3 хлористого бария, доливают водой до метки и снова перемешивают. Далее анализ проводят по
ГОСТ 10671.5 (фототурбидиметрический метод).
В растворах сравнения (объемом 25 см3) должно содержаться 0; 0,01; 0,02; 0,04; 0,06; 0,08; 0,10; 0,15; 0,20 мг сульфата-иона.
7.6. Определение массовой доли прокаленного остатка после обработки азотной кислотой
7.6.1. Характеристики погрешности анализа
Метод анализа обеспечивает получение результатов анализа с погрешностью, не превышающей значений, приведенных в таблице 5.
Таблица 5
Диапазон измерений, погрешность, стандартные отклонения
повторяемости и воспроизводимости
В процентах
Диапазон измерений массовой доли | Стандартное отклонение повторяемости  | Стандартное отклонение воспроизводимости  | Погрешность  при вероятности P = 0,95 |
От 0,020 до 0,200 включ. | 0,0018 | 0,0025 | 0,005 |
7.6.2. Средства измерений, вспомогательные устройства, материалы, растворы
При выполнении анализа применяют следующие средства измерений, вспомогательные устройства:
- весы лабораторные специального класса точности по
ГОСТ 24104;
- печь муфельную с температурой нагрева до 850 °C;
- фильтры обеззоленные.
При выполнении анализа применяют следующие материалы:
7.6.3. Метод анализа
Гравиметрический метод определения прокаленного остатка основан на точном измерении массы нерастворимого в азотной кислоте остатка, полученного после прокаливания.
7.6.4. Выполнение анализа
Навеску медного порошка массой 5,0000 г взвешивают с погрешностью не более 0,0002 г, помещают в стакан вместимостью 600 см3, приливают небольшими порциями азотную кислоту, разбавленную 1:1, объемом от 100 до 120 см3 и накрывают часовым стеклом. Растворение ведут без нагревания.
В конце реакции содержимое стакана подогревают, кипятят от 10 до 15 мин, после чего раствор разбавляют дистиллированной водой и фильтруют. Остаток на фильтре промывают несколько раз горячей водой до исчезновения реакции промывных вод на медь (с гексацианоферратом калия). Фильтр с осадком помещают в прокаленный и взвешенный фарфоровый тигель, осторожно озоляют и прокаливают в муфельной печи до постоянной массы при температуре от 800 °C до 850 °C. Тигель с прокаленным остатком охлаждают в эксикаторе и взвешивают.
7.6.5. Обработка результатов анализа
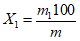
Массовую долю прокаленного остатка после обработки азотной кислотой

, %, вычисляют по формуле

, (1)
где m1 - масса прокаленного нерастворимого остатка, г;
m - масса порошка до прокаливания, г.
За результат анализа принимают среднеарифметическое значение результатов двух параллельных определений при условии, что абсолютная разность между ними в условиях повторяемости не превышает значения (при доверительной вероятности P = 0,95) предела повторяемости r = 0,005%.
Абсолютное значение расхождения между результатами анализа, полученными в двух лабораториях, не должно превышать предела воспроизводимости R = 0,007%.
При превышении предела воспроизводимости могут быть использованы методы оценки приемлемости результатов анализа согласно
[6] и
[7] (раздел 5).
7.7. Массовую долю влаги в порошке определяют по методике, согласованной изготовителем с потребителем.
7.8. Определение гранулометрического состава
7.8.1. Средства измерений, вспомогательные устройства, материалы, растворы
При выполнении измерений применяют следующие средства измерений, вспомогательные устройства:
- весы лабораторные высокого класса точности по
ГОСТ 24104;
- набор сит с сетками контрольной точности по
ГОСТ 6613 или сит по
[8];
- встряхиватель, обеспечивающий частоту встряхиваний от 140 до 180 ударов в минуту.
7.8.2. Метод измерений
Гранулометрический состав определяют ситовым методом, основанным на измерении массы фракций после механического разделения частиц по крупности с помощью набора сит.
7.8.3. Выполнение измерений
Масса пробы медного порошка марки ПМС-В должна составлять 100 г, для остальных марок - 25 г.
Сита укладывают по возрастающему размеру ячеек, поддон помещают под ситами. Испытуемую пробу высыпают на верхнее сито и прикрывают его крышкой. Систему сит помещают на встряхиватель и включают его на 20 мин. Отдельные фракции удаляют из набора сит путем снятия самого крупного сита. Порошок, прилипший ко дну и обечайке сита, сметают мягкой щеткой в следующее более мелкое сито. Слегка постукивая сито, перебрасывают содержимое на одну сторону и высыпают на бумагу, затем переворачивают сито верхней частью на бумагу и очищают. Фракцию взвешивают с погрешностью не более 0,01 г. Процесс повторяют для каждого сита и поддона.
Сумму масс всех фракций регистрируют. Разницу между этой суммой и массой пробы прибавляют к массе фракции, собранной на поддоне. Для порошка марки ПМС-В сумма масс должна составлять не менее 99% массы испытуемой пробы, для порошка остальных марок - 98% массы испытуемой пробы. Если сумма меньше, то необходимо повторить рассев.
7.8.4. Обработка результатов измерений
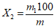
Массовую долю фракций X2, %, вычисляют по формуле

, (2)
где m1 - масса данной фракции, г;
m - масса испытуемой пробы, г.
Результат измерения округляют до первого десятичного знака.
Массовую долю фракций порошка менее 0,1% записывают: "< 0,1%".
7.9. Определение насыпной плотности проводят по
ГОСТ 19440.
7.10. Определение прочности сырой прессовки
7.10.1. Средства измерений, вспомогательные устройства, материалы, растворы
При выполнении измерений применяют следующие средства измерений, вспомогательные устройства:
- пресс, обеспечивающий усилие 30000 кгс (300 кН) и погрешность измерения не более 2% и позволяющий прикладывать нагрузку со скоростью 50 кН/с;
- пресс-форму;
- испытательную машину, обеспечивающую нагрузку с усилием до 20 кгс и погрешность измерения не более 1%;
- весы лабораторные высокого класса точности по
ГОСТ 24104;
- микрометр МК25 - 1 или МК50 - 1 по
ГОСТ 6507 или другие устройства погрешностью измерения не более 0,01 мм.
При выполнении измерений применяют следующие материалы:
- цинка стеарат;
7.10.2. Метод измерений
Метод основан на изготовлении прессовки с заданной плотностью, испытанием ее поперечным изгибом с нагрузкой и последующим вычислением предела прочности в момент разрушения.
(в ред.
Изменения N 1, введенного в действие Приказом Росстандарта от 26.11.2014 N 1792-ст)
7.10.3. Выполнение измерений
Прессовка должна быть длиной (30 +/- 0,1) мм, шириной (10 +/- 0,1) мм, высотой от 5,0 до 6,0 мм. При изготовлении прессовки внутреннюю поверхность матрицы смазывают кисточкой раствором, состоящим из 100 г стеарата цинка, разведенного в 1 дм3 ацетона, затем дают ей просохнуть.
Массу навески m, г, для изготовления прессовки вычисляют по формуле

, (3)
где

- заданная плотность прессовки, г/см
3;
V - объем прессовки, см3.
Навеску порошка засыпают в матрицу, равномерно распределяют. Прессуют предварительно до усилия 2000 кгс (20 кН), затем до упора, что обеспечивает получение прессовки заданной высоты.
Указанным способом получают три прессовки. Прессовки взвешивают, измеряют длину, ширину и высоту с погрешностью измерений не более 0,01 мм и вычисляют их плотности. Абсолютное значение расхождения между наибольшим и наименьшим результатами вычисления плотности полученных прессовок не должно превышать значения критического диапазона

.
Отметив верхнюю часть прессовки, подвергают ее испытанию на прочность. Нагрузку на прессовку прикладывают постепенно и определяют величину усилия в момент разрушения прессовки.
7.10.4. Обработка результатов измерений
Предел прочности прессовки

, кгс/см
2, вычисляют по формуле

, (4)
где Pк - усилие в момент излома, кгс;
l - расстояние между опорами, мм;
b - ширина образца, мм;
a - высота образца, мм.
За результат измерений принимают среднеарифметическое значение результатов трех измерений.
Результат измерения округляют до первого десятичного знака.
7.11. Определение текучести проводят по ГОСТ 20899.
7.12. Удельную поверхность медного порошка определяют по методике, согласованной изготовителем с потребителем.
7.13. Удельное электрическое сопротивление медного порошка определяют по методике, согласованной изготовителем с потребителем.
7.14. Количество частиц медного порошка условным диаметром не более 10 мкм определяют по методике, согласованной между изготовителем и потребителем.
7.15. Форму частиц определяют с помощью микроскопа при 300-кратном увеличении по ГОСТ 25849.
7.16. Контроль наличия посторонних включений и комков проводят внешним осмотром и просевом через сито N 018К (по
ГОСТ 6613) 1/3 части объединенной пробы, отобранной по
7.1.
7.17. Допускается применение других методов измерений, не уступающих по точности указанным в настоящем стандарте. При возникновении разногласий в оценке качества между изготовителем и потребителем измерения проводят методами, указанными в настоящем стандарте.
8. Транспортирование и хранение
8.1. Транспортируют медный порошок транспортом всех видов в крытых транспортных средствах в соответствии с правилами перевозки грузов, действующими на транспорте данного вида. По железной дороге - в крытых вагонах, с учетом требований технических документов размещения и крепления грузов в вагонах и контейнерах и
ГОСТ 22235.
Барабаны транспортируют в пакетированном виде в соответствии с требованиями
ГОСТ 26663 и правилами перевозки грузов, утвержденными соответствующими ведомствами.
При пакетировании должны использоваться плоские деревянные поддоны по
ГОСТ 9557.
Допускается транспортирование медного порошка в непакетированном виде, если партия составляет менее четырех барабанов.
Не допускается транспортирование медного порошка с веществами подкласса 5.1
ГОСТ 19433.
Погрузочно-разгрузочные работы - в соответствии с требованиями
ГОСТ 12.3.009.
8.2. У изготовителя и потребителя медный порошок хранят в упаковке изготовителя в закрытых помещениях при температуре не выше +35 °C, при отсутствии в окружающей атмосфере окисляющих веществ.
8.3. Медный порошок не классифицируется по
ГОСТ 19433 и не относится к числу опасных грузов.
Медный порошок должен быть принят техническим контролем предприятия-изготовителя. Изготовитель должен гарантировать соответствие медного порошка требованиям настоящего стандарта при соблюдении потребителем условий хранения, установленных стандартом.
Гарантийный срок хранения медного порошка марок ПМС-В, ПМС-1, ПМС-11, ПМС-А, ПМС-К, ПМС-Н - шесть месяцев с момента изготовления.
По истечении гарантийного срока хранения медный порошок может быть применен после его проверки на соответствие всем требованиям настоящего стандарта.
(рекомендуемое)
ОБЛАСТЬ ПРИМЕНЕНИЯ МЕДНОГО ПОРОШКА
Таблица А.1
Марка | Применение |
ПМС-1, ПМС-Н, ПМС-А, ПМС-В, ПМС-К, ПМС-11 | Производство спеченных изделий в автомобильной, металлургической, электротехнической (в том числе взамен фасонного проката), авиационной, машиностроительной промышленности для изготовления колец, втулок, подшипников, электрических контактов, электродов, щеток электрических машин, товаров народного потребления и фильтров для тонкой очистки масел |
ПМС-1 | В качестве легирующих добавок, катализаторов, для изготовления реактивов в металлургической, химической промышленности; в обработке оптических стекол, линз; для смешения с железным порошком в машиностроении |
ПМС-1, ПМС-В, ПМС-А, ПМС-Н | Производство антифрикционных деталей, фрикционных колодок, алмазных фрез, отрезных алмазных кругов в автомобильной, машиностроительной промышленности |
ПМС-К | В электроугольной промышленности для заделки контактов, для производства угольных электродов |
ПМС-Н | В металлокерамической промышленности для изготовления менее ответственных деталей |
ПМС-1, ПМС-Н | Производство изделий из дисперсно-упрочненных композиционных материалов - токопроводящих наконечников и электродов для сварки, жал паяльников, тяжело нагруженных сухих подшипников скольжения |
[1] Гигиенические Химические факторы производственной среды.
нормативы Предельно допустимые концентрации (ПДК) вредных
[2] Санитарно- Гигиенические требования к организации
эпидемиологические технологических процессов, производственному
правила оборудованию и рабочему инструменту
[3]
ППБ-01-03 <*> Правила пожарной безопасности в Российской
Федерации
[4] Санитарные правила Гигиена труда. Гигиенические требования к
и нормы СанПиН условиям труда женщин
[5] Строительные Административные и бытовые здания
нормы и правила
[6] ИСО 5725-1:1994 <**> Точность (правильность и прецизионность) методов
и результатов измерений. Часть 1. Основные
положения и определения
[7] ИСО 5725-6:1994 <***> Точность (правильность и прецизионность) методов
и результатов измерений. Часть 6. Использование
значений точности на практике
[8] ИСО 565:1990 Сита контрольные. Проволочная ткань,
перфорированные пластины и листы, изготовленные
гальваническим методом. Номинальные размеры
отверстий
[9] Технические условия Контейнеры мягкие специализированные из
ТУ 2297-007-21701787 полипропиленовой ткани
-2006
от 26.11.2014 N 1792-ст)
[10] Технические условия Контейнеры мягкие для сыпучих продуктов из
ТУ полипропиленовой ткани
2297-005-40394291-02
от 26.11.2014 N 1792-ст)
[11] Технические условия Контейнеры мягкие специализированные
ТУ четырехстропные ленточные из полипропиленовой
2297-099-00209728-01 ткани для сыпучих продуктов
от 26.11.2014 N 1792-ст)
[12] Технические условия Контейнеры мягкие специализированные из
ТУ полипропиленовой ткани ленточные
2297-255-00209728-07
от 26.11.2014 N 1792-ст)
--------------------------------
<*> Действуют на территории Российской Федерации
<**> На территории Российской Федерации действует
ГОСТ 5725.1-2002 "Точность (правильность и прецизионность) методов и результатов измерений. Часть 1. Основные положения и определения".
<***> На территории Российской Федерации действует
ГОСТ 5725-6-2002 "Точность (правильность и прецизионность) методов и результатов измерений. Часть 6. Использование значений точности на практике".