Главная // Актуальные документы // ГОСТ (Государственный стандарт)СПРАВКА
Источник публикации
М.: Издательство стандартов, 1982
Примечание к документу
С 1 июля 2003 года до вступления в силу технических регламентов акты федеральных органов исполнительной власти в сфере технического регулирования носят рекомендательный характер и подлежат обязательному исполнению только в части, соответствующей целям, указанным в
пункте 1 статьи 46 Федерального закона от 27.12.2002 г. N 184-ФЗ.
Ограничение срока действия снято по Протоколу Межгосударственного Совета по стандартизации, метрологии и сертификации ("ИУС", N 2, 1993).
Утрачивает силу с 1 июля 1988 года.
Введен в действие с 1 июля 1983 года.
Взамен ГОСТ 20426-75.
Название документа
"ГОСТ 20426-82. Контроль неразрушающий. Методы дефектоскопии радиационные. Область применения"
(введен Постановлением Госстандарта СССР от 05.02.1982 N 484)
"ГОСТ 20426-82. Контроль неразрушающий. Методы дефектоскопии радиационные. Область применения"
(введен Постановлением Госстандарта СССР от 05.02.1982 N 484)
Постановлением Госстандарта СССР
от 5 февраля 1982 г. N 484
ГОСУДАРСТВЕННЫЙ СТАНДАРТ СОЮЗА ССР
КОНТРОЛЬ НЕРАЗРУШАЮЩИЙ
МЕТОДЫ ДЕФЕКТОСКОПИИ РАДИАЦИОННЫЕ
ОБЛАСТЬ ПРИМЕНЕНИЯ
Non-destructive testing.
Methods of defectoscopy radiation.
Field of application
ГОСТ 20426-82
Взамен ГОСТ 20426-75
Постановлением Государственного комитета СССР по стандартам от 5 февраля 1982 г. N 484 срок действия установлен с 01.07.1983 г. до 01.07.1988 г.
Настоящий стандарт устанавливает область применения радиационных (радиографического, электрорадиографического, радиоскопического и радиометрического) методов дефектоскопии продукции с использованием излучения рентгеновских аппаратов, излучения закрытых радиоактивных источников на основе

,

,

,

,

и тормозного излучения бетатронов.
1.1. Радиационные методы дефектоскопии следует применять для обнаружения в объектах контроля дефектов: нарушений сплошности и однородности материала, внутренней конфигурации и взаимного расположения объектов контроля, не доступных для технического осмотра при их изготовлении, сборке, ремонте и эксплуатации.
1.2. Выбор метода или комплекса методов и средств контроля следует проводить в соответствии с требованиями стандартов, технических условий и рабочих чертежей, утвержденных в установленном порядке, на конкретный объект контроля, а также с учетом требований настоящего стандарта, технических характеристик средств контроля, конструктивных особенностей объектов контроля, технологии их изготовления, размеров выявляемых дефектов и производительности контроля.
1.3. Радиационные методы неразрушающего контроля следует указывать в стандартах и технических условиях на объекты контроля.
1.4. Виды дефектов, выявляемых радиационными методами при контроле объектов, указаны в табл. 1.
| | ИС МЕГАНОРМ: примечание. Взамен ГОСТ 7512-75 Постановлением Госстандарта СССР от 20.10.1982 N 4923 с 1 января 1984 года введен в действие ГОСТ 7512-82. | |
Таблица 1
────────────────────┬─────────────────────────────────────────────
Объект контроля │ Вид дефекта
────────────────────┼─────────────────────────────────────────────
Слитки и отливки │ Трещины, раковины, поры, рыхлоты,
│металлические и неметаллические включения,
│неслитины, ликвации
────────────────────┼─────────────────────────────────────────────
Сварные соединения,│ Трещины, непровары, поры, раковины, метал-
выполненные сваркой │лические и неметаллические включения,
плавлением │утяжины, превышения проплава, подрезы,
│прожоги, смещения кромок
────────────────────┼─────────────────────────────────────────────
Сварные соединения,│ Трещины, поры, металлические и неметал-
выполненные точечной│лические включения, выплески, непровары
и роликовой сваркой │(непровары определяют по отсутствию темного
│и светлого колец на изображении сварной
│точки при резко выраженной неоднородности
│литой зоны или при применении
│контрастирующих материалов)
────────────────────┼─────────────────────────────────────────────
Паяные соединения │ Трещины, непропаи, раковины, поры,
│металлические и неметаллические включения
────────────────────┼─────────────────────────────────────────────
Клепаные соединения│ Трещины в головке заклепки или основном
│материале, зазоры между телом заклепки и
│основным материалом, изменение формы тела
│заклепки
────────────────────┼─────────────────────────────────────────────
Сборочные единицы │ Трещины, раковины, коррозия, отклонения
и детали, железо- │размеров, зазоры, перекосы, разрушение и
бетонные изделия и │отсутствие внутренних элементов изделия,
конструкции и т.п. │отклонения толщины защитного слоя бетона,
│размеров и расположения арматуры и т.п.
2.1. Радиографический метод
2.1.1. Напряжение на рентгеновской трубке, радиоактивный источник излучения, энергию ускоренных электронов бетатрона следует выбирать в зависимости от толщины и плотности просвечиваемого материала по табл. 2 -
4.
Таблица 2
Область применения радиографического метода
дефектоскопии при использовании
рентгеновских аппаратов
────────────────────────────────────────────────────┬─────────────
Толщина просвечиваемого материала, мм │Напряжение
─────────────────────────┬──────────────────────────┤на рентге-
Сплав на основе │ Неметаллический материал │новской
│со средним атомным номером│трубке, кВ,
│ (плотность, г/см3) │не более
─────┬─────┬──────┬──────┼───────┬────────┬─────────┤
желе-│тита-│алюми-│магния│ 14 │ 6,2 │ 5,5 │
за │на │ния │ │ (1,4) │ (1,4) │ (0,9) │
─────┼─────┼──────┼──────┼───────┼────────┼─────────┼─────────────
0,02 │0,05 │0,25 │0,75 │0,5 │5 │8 │20
0,3 │0,75 │3,75 │11 │8 │50 │75 │40
0,4 │1 │5 │14 │10 │60 │80 │50
0,7 │2 │12 │22 │20 │70 │120 │60
1,5 │5 │29 │46 │- │- │- │80
3 │8 │45 │66 │- │- │- │100
6 │14 │56 │92 │- │- │- │120
12 │29 │60 │150 │- │- │- │150
20 │45 │97 │160 │- │- │- │200
23 │53 │102 │166 │- │- │- │250
32 │70 │128 │233 │- │- │- │300
40 │90 │180 │270 │- │- │- │400
130 │230 │370 │560 │- │- │- │1000
Таблица 3
Область применения радиографического метода
дефектоскопии при использовании
гамма-дефектоскопов
──────────────────────────────────────────────────┬───────────────
Толщина просвечиваемого сплава, мм, на основе │ Закрытый
───────────┬───────────┬────────────┬─────────────┤ радиоактивный
железа │ титана │ алюминия │ магния │ источник
───────────┼───────────┼────────────┼─────────────┼───────────────
От 1 до 20 │От 2 до 40 │От 3 до 70 │От 10 до 200 │170
│ │ │ │ Tm
│ │ │ │
" 5 " 30 │" 7 " 50 │" 20 " 200 │" 30 " 300 │75
│ │ │ │ Se
│ │ │ │
" 5 " 100 │" 10 " 120 │" 40 " 350 │" 70 " 450 │192
│ │ │ │ Jr
│ │ │ │
" 10 " 120 │" 20 " 150 │" 50 " 350 │" 100 " 500 │137
│ │ │ │ Cs
│ │ │ │
" 30 " 200 │" 60 " 300 │" 200 " 500 │" 300 " 700 │60
│ │ │ │ Со
Таблица 4
радиографического метода дефектоскопии
при использовании бетатронов
───────────────────────────────────────────────────┬──────────────
Толщина просвечиваемого сплава, мм, на основе │Энергия уско-
────────────┬────────────┬─────────────┬───────────┤ренных элек-
железа │ титана │ алюминия │ свинца │тронов, МэВ
────────────┼────────────┼─────────────┼───────────┼──────────────
От 50 до 100│От 90 до 190│От 150 до 310│От 30 до 60│6
" 70 " 180│" 130 " 350│" 220 " 570│" 40 " 110│9
" 100 " 220│" 190 " 430│" 330 " 740│" 50 " 110│18
" 130 " 250│" 250 " 490│" 480 " 920│" 60 " 120│25
" 150 " 350│" 290 " 680│" 570 " 1300│" 60 " 150│30
" 150 " 450│" 290 " 880│" 610 " 1800│" 60 " 180│35
2.1.2. При радиографическом методе неразрушающего контроля в зависимости от энергии излучения, требуемой чувствительности и производительности контроля должны быть использованы следующие преобразователи излучения:
радиографическая пленка без усиливающих экранов;
радиографическая пленка в различных комбинациях с усиливающими металлическими и флуоресцирующими экранами;
фотобумага.
2.2. Электрорадиографический метод
2.2.1. Напряжение на рентгеновской трубке следует выбирать в зависимости от толщины и плотности просвечиваемого материала по табл. 5.
Таблица 5
электрорадиографического метода дефектоскопии
при использовании рентгеновских аппаратов
────────────────────────────────────────────────────┬─────────────
Толщина просвечиваемого материала, мм │Напряжение
─────────────────────────┬──────────────────────────┤на рентге-
Сплав на основе │ Неметаллический материал │новской
│со средним атомным номером│трубке, кВ,
│ (плотность, г/см3) │не более
─────┬─────┬──────┬──────┼───────┬─────────┬────────┤
желе-│тита-│алюми-│магния│ 14 │ 6,2 │ 5,8 │
за │на │ния │ │ (1,4) │ (1,4) │ (0,9) │
─────┼─────┼──────┼──────┼───────┼─────────┼────────┼─────────────
0,2 │0,6 │4 │7 │5 │40 │60 │40
0,4 │1,5 │6 │9 │7 │50 │75 │50
0,8 │2,4 │8 │17 │14 │60 │80 │60
2 │6 │15 │27 │25 │90 │120 │80
4 │11 │22 │40 │- │- │- │100
7 │18 │35 │56 │- │- │- │120
11 │26 │52 │82 │- │- │- │150
18 │41 │82 │124 │- │- │- │200
25 │52 │113 │165 │- │- │- │250
2.2.2. При электрорадиографическом методе неразрушающего контроля следует использовать электрорадиографические пластины. Перенос изображения на бумагу или другой носитель осуществляют с помощью проявляющего порошка, создающего изображение на электрорадиографической пластине.
2.3. Радиоскопический метод
2.3.1. Напряжение на рентгеновской трубке, энергию ускоренных электронов бетатрона, преобразователь излучения следует выбирать в зависимости от толщины и плотности просвечиваемого материала по табл. 6.
Таблица 6
Область применения радиоскопического метода
────────────────────────────────────────────────┬───────────────────────────┬──────┬───────────
Толщина просвечиваемого материала, мм │ Преобразователь излучения │Источ-│Напряже-
│ при контроле │ник │ние на
───────────────────────────┬────────────────────┼──────────────┬────────────┤излу- │рентгенов-
Сплав на основе │ Неметаллический │ сварных │ отливок, │чения │ской трубке
│материал со средним │ и клепаных │ паяных и │ │и энергия
│ атомным номером │ соединений │ клепаных │ │ускоренных
│ (плотность, г/см3) │ и изделий │соединений │ │электронов
──────┬──────┬──────┬──────┼──────┬──────┬──────┤ │ и изделий │ │
железа│титана│алюми-│магния│ 14 │ 6,2 │ 5,5 │ │ │ │
│ │ния │ │(1,4) │(1,4) │(0,9) │ │ │ │
──────┼──────┼──────┼──────┼──────┼──────┼──────┼──────────────┼────────────┼──────┼───────────
От 1 │От 1 │От 1 │От 1 │От 1 │От 1 │От 1 │ Рентгенотеле-│ Рентгеноте-│Рент- │10 - 120 кВ
до 6 │до 8 │до 15 │до 20 │до 17 │до 90 │до 130│визионная │левизионная │гено- │
│ │ │ │ │ │ │установка с │установка с │вские │
│ │ │ │ │ │ │рентгенови- │рентгенови- │аппа- │
│ │ │ │ │ │ │диконом, РЭОП │диконом, │раты │
│ │ │ │ │ │ │ │РЭОП, флуо- │ │
│ │ │ │ │ │ │ │роскопичес- │ │
│ │ │ │ │ │ │ │кий экран │ │
──────┼──────┼──────┼──────┼──────┼──────┼──────┼──────────────┼────────────┤ ├───────────
От 4 │От 8 │От 15 │От 20 │От 17 │От 90 │От 130│ РЭОП, рентге-│ РЭОП, рент-│ │50 - 180 кВ
до 12 │до 25 │до 30 │до 40 │до 25 │до 120│до 170│нотелевизион- │генотелеви- │ │
│ │ │ │ │ │ │ная установка │зионная │ │
│ │ │ │ │ │ │со сцинтилля- │установка с │ │
│ │ │ │ │ │ │ционным моно- │флуоресци- │ │
│ │ │ │ │ │ │кристаллом │рующим │ │
│ │ │ │ │ │ │или флуорес- │экраном или │ │
│ │ │ │ │ │ │цирующим │сцинтилля- │ │
│ │ │ │ │ │ │экраном │ционным │ │
│ │ │ │ │ │ │ │монокрис- │ │
│ │ │ │ │ │ │ │таллом, │ │
│ │ │ │ │ │ │ │сцинтилля- │ │
│ │ │ │ │ │ │ │ционный │ │
│ │ │ │ │ │ │ │монокрис- │ │
│ │ │ │ │ │ │ │талл с ЭОП │ │
──────┼──────┼──────┼──────┼──────┼──────┼──────┼──────────────┼────────────┤ ├───────────
От 12 │От 25 │От 30 │От 40 │- │- │- │ Рентгенотеле-│ Рентгеноте-│ │100 -
до 20 │до 40 │до 50 │до 70 │ │ │ │визионная │левизионная │ │ 250 кВ
│ │ │ │ │ │ │установка с │установка с │ │
│ │ │ │ │ │ │РЭОП или │РЭОП, флуо- │ │
│ │ │ │ │ │ │сцинтилляци- │ресцирующим │ │
│ │ │ │ │ │ │онным моно- │экраном или │ │
│ │ │ │ │ │ │кристаллом │сцинтилля- │ │
│ │ │ │ │ │ │ │ционным │ │
│ │ │ │ │ │ │ │монокрис- │ │
│ │ │ │ │ │ │ │таллом │ │
──────┼──────┼──────┼──────┼──────┼──────┼──────┼──────────────┼────────────┤ ├───────────
От 20 │Св. 40│Св. 50│Св. 70│- │- │- │ Рентгенотеле-│ Рентгеноте-│ │200 -
до 40 │ │ │ │ │ │ │визионная │левизионная │ │ 300 кВ
│ │ │ │ │ │ │установка со │установка │ │
│ │ │ │ │ │ │сцинтилляци- │со сцинтил- │ │
│ │ │ │ │ │ │онным моно- │ляционным │ │
│ │ │ │ │ │ │кристаллом │монокрис- │ │
│ │ │ │ │ │ │ │таллом или │ │
│ │ │ │ │ │ │ │РЭОП │ │
──────┼──────┼──────┼──────┼──────┼──────┼──────┼──────────────┴────────────┤ ├───────────
От 40 │- │- │- │- │- │- │ Рентгенотелевизионная │ │220 -
до 60 │ │ │ │ │ │ │установка со сцинтил- │ │ 400 кВ
│ │ │ │ │ │ │ляционным монокристаллом │ │
│ │ │ │ │ │ │и электронно-оптическим │ │
│ │ │ │ │ │ │усилителем яркости │ │
│ │ │ │ │ │ │изображения │ │
──────┼──────┼──────┼──────┼──────┼──────┼──────┼───────────────────────────┼──────┼───────────
Св. 60│- │- │- │- │- │- │ Рентгенотелевизионная │Бета- │1000 -
│ │ │ │ │ │ │установка со сцинтил- │троны │ 35000 кэВ
│ │ │ │ │ │ │ляционным монокристаллом │ │
│ │ │ │ │ │ │и электронно-оптическим │ │
│ │ │ │ │ │ │усилителем яркости │ │
│ │ │ │ │ │ │изображения │ │
2.3.2. При радиоскопическом методе неразрушающего контроля необходимо использовать следующие преобразователи излучения:
флуороскопический экран;
рентгеновский электронно-оптический преобразователь (РЭОП);
рентгено-телевизионную установку с флуоресцирующим экраном или сцинтилляционным монокристаллом, или РЭОП, или сцинтилляционным монокристаллом и электронно-оптическим усилителем яркости изображения, или рентгеновидиконом;
сцинтилляционный монокристалл с электронно-оптическим преобразователем (ЭОП).
2.4. Радиометрический метод
2.4.1. Источники излучения следует выбирать в зависимости от толщины и плотности просвечиваемого материала по табл. 7.
Таблица 7
Область применения радиометрического метода
──────────────────────────────────────┬───────────────────────────
Толщина просвечиваемого сплава, │ Источник излучения
мм, на основе │
────────────┬────────────┬────────────┤
железа │ титана │ алюминия │
────────────┼────────────┼────────────┼───────────────────────────
От 1 до 130 │От 2 до 230 │От 5 до 370 │ Рентгеновские аппараты
│ │ │напряжением от 40 до
│ │ │1000 кВ
────────────┼────────────┼────────────┼───────────────────────────
От 1 до 150 │От 2 до 300 │От 5 до 500 │ Радиоактивные источники из
│ │ │170 75 192 137
│ │ │ Tm, Se, Jr, Cs,
│ │ │60
│ │ │ Со
────────────┼────────────┼────────────┼───────────────────────────
Св. 50 │Св. 90 │Св. 150 │ Бетатроны с энергией
│ │ │ускоренных электронов от 6
│ │ │до 35 МэВ
В рентгеновских аппаратах, используемых при радиометрическом методе, необходимо предусмотреть стабилизацию высокого напряжения.
2.4.2. При радиометрическом методе неразрушающего контроля необходимо использовать следующие преобразователи излучения:
газоразрядный счетчик;
ионизационную камеру;
сцинтилляционный счетчик;
полупроводниковый детектор;
счетчик Черенкова.
2.5. При контроле объектов из материалов, не указанных в
табл. 2 -
7, и сплавов, легированных ванадием, хромом, цирконием и другими элементами, источник и энергию излучения следует определять расчетным путем (см. справочные
Приложения 1 и
2) или экспериментально.
Значения толщин, которые являются промежуточными между значениями, приведенными в
табл. 2 и
5, следует определять методом линейной интерполяции.
| | ИС МЕГАНОРМ: примечание. Взамен ГОСТ 17623-78 Постановлением Госстроя СССР от 01.07.1987 N 126 с 1 января 1988 года введен в действие ГОСТ 17623-87. | |
| | ИС МЕГАНОРМ: примечание. Взамен ГОСТ 17625-72 Постановлением Госстроя СССР от 29.06.1983 N 132 с 1 января 1984 года введен в действие ГОСТ 17625-83. | |
Область применения радиационных методов неразрушающего контроля железобетонных изделий и конструкций - по ГОСТ 17625-72 и ГОСТ 17623-78.
При разрушающем радиационном контроле многобарьерных конструкций, применении компенсаторов и выравнивающих фильтров необходимо учитывать суммарную толщину материала, проходимого излучением при просвечивании.
2.6. Режимы неразрушающего радиационного контроля конкретного объекта зависят от чувствительности к излучению, контрастной чувствительности и разрешающей способности применяемого преобразователя излучения, интенсивности излучения источника, геометрических параметров схем просвечивания. Эти режимы должны быть оптимальными по чувствительности и производительности контроля.
2.7. Допускается использовать другие источники, энергии и преобразователи излучения при условии обеспечения чувствительности контроля, требуемой стандартами, техническими условиями и рабочими чертежами, утвержденными в установленном порядке, на конкретный объект контроля.
| | ИС МЕГАНОРМ: примечание. Взамен ГОСТ 3.1502-74 Постановлением Госстандарта СССР от 28.11.1985 N 3755 с 1 января 1987 года введен в действие ГОСТ 3.1502-85. | |
2.8. Технология и режимы контроля должны быть установлены в технологической документации, разработанной в соответствии с
ГОСТ 3.1102-81 и ГОСТ 3.1502-74.
Справочное
ЭНЕРГИИ ИЗЛУЧЕНИЯ ДЛЯ ПРОСВЕЧИВАНИЯ МАТЕРИАЛОВ,
1. Для материала, не приведенного в
табл. 2 -
7 настоящего стандарта, значение толщины, соответствующее приведенному в этих таблицах значению напряжения на рентгеновской трубке или энергии ускоренных электронов, определяют по формуле

, (1)
где

- эффективная энергия излучения;

- линейный коэффициент ослабления излучения (см. справочное
Приложение 2);

- линейный коэффициент ослабления излучения;
d - толщина просвечиваемого материала, не приведенного в
табл. 2 -
7 настоящего стандарта;

- контролируемая толщина просвечиваемого материала, приведенного в
табл. 2 -
7 настоящего стандарта.
Эффективная энергия

для излучения рентгеновских аппаратов напряжением до 1000 кВ вдали от скачков фотоэлектрического поглощения в килоэлектроновольтах численно равна 2/3 максимального напряжения на рентгеновской трубке в киловольтах.
Эффективная энергия для тормозного излучения бетатронов равна:

, (2)

, (3)
где E - энергия электронов, ускоренных в бетатронах.
2. Толщину материала, не приведенного в
табл. 3 и
7 настоящего стандарта и подвергаемого просвечиванию излучением радиоактивных источников, следует определять по формуле

, (4)
где d и Q - толщина и плотность материала, не приведенного в
табл. 3 и
7, соответственно;

и

- толщина и плотность материала, приведенного в
табл. 3 и
7, соответственно.
3. В
формулах (1) и
(4) в качестве

следует использовать толщину такого материала, выбранного по
табл. 2 -
7, средний атомный номер которого является ближайшим к среднему атомному номеру материала объекта контроля или, в случае сложных веществ, к атомному номеру химического элемента, массовая доля которого является основной.
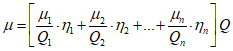
4. Линейный коэффициент ослабления для сложных веществ следует определять по формуле

, (5)
где

,

, ...,

- линейные коэффициенты ослабления излучения 1, 2-м, ..., n-м элементом, входящим в состав сложного вещества;

,

, ...,

- плотность 1, 2-го, ..., n-го элемента, входящего в состав сложного вещества;

,

, ...,

- относительная массовая доля 1, 2-го, ..., n-го элемента, входящего в состав сложного вещества;
Q - плотность сложного вещества.
Справочное
Массовые (

) и линейные (

) коэффициенты
ослабления для различных элементов
──────┬─────────────────────────────┬─────────────────────────────
E, МэВ│ Азот │ Аргон
├────────────┬────────────────┼────────────┬────────────────
│ │ -3 -1 │ │ -3 -1
│мю/ро, см2/г│мю, х 10 см │мю/ро, см2/г│мю, х 10 см
──────┼────────────┼────────────────┼────────────┼────────────────
0,01 │3,80 │4,408 │65,4 │108,6
0,015 │1,20 │1,392 │20,5 │34,030
0,02 │0,600 │0,696 │8,88 │14,341
0,03 │0,301 │0,349 │2,76 │4,582
0,04 │0,226 │0,262 │1,21 │2,009
0,05 │0,194 │0,225 │0,682 │1,132
0,06 │0,180 │0,209 │0,459 │0,762
0,08 │0,164 │0,190 │0,271 │0,450
0,10 │0,154 │0,179 │0,203 │0,345
0,15 │0,136 │0,158 │0,142 │0,236
0,20 │0,123 │0,143 │0,120 │0,199
0,30 │0,107 │0,124 │0,0995 │0,165
0,40 │0,0995 │0,111 │0,0876 │0,145
0,50 │0,0869 │0,101 │0,0795 │0,132
0,60 │0,0805 │0,0934 │0,0733 │0,122
0,661 │0,0770 │0,0893 │0,0200 │0,116
0,80 │0,0707 │0,0820 │0,0640 │0,106
1,00 │0,0636 │0,0738 │0,0575 │0,0954
1,25 │0,0565 │0,0655 │0,0520 │0,0863
1,50 │0,0517 │0,0600 │0,0468 │0,0777
2,00 │0,0445 │0,0528 │0,0407 │0,0676
3,00 │0,0357 │0,0414 │0,0338 │0,0561
4,00 │0,0306 │0,0355 │0,0301 │0,0500
5,00 │0,0273 │0,0317 │0,0279 │0,0463
6,00 │0,0249 │0,0289 │0,0266 │0,0441
8,00 │0,0218 │0,0253 │0,0248 │0,0412
10,00 │0,0200 │0,0232 │0,0241 │0,0400
Продолжение
─────────┬─────────────────┬──────────────────┬───────────────────
Е, МэВ │ Алюминий │ Бериллий │ Бор
├────────┬────────┼─────────┬────────┼─────────┬─────────
│ мю/ро, │ мю, │ мю/ро, │ мю, │ мю/ро, │ мю,
│ │ -1 │ │ -1 │ │ -1
│ см2/г │ см │ см2/г │ см │ см2/г │ см
─────────┼────────┼────────┼─────────┼────────┼─────────┼─────────
0,01 │26,8 │72,332 │0,599 │1,102 │1,050 │2,436
0,015 │8,08 │21,807 │0,294 │0,541 │- │-
0,02 │3,48 │9,392 │0,220 │0,405 │0,238 │0,552
0,03 │1,13 │3,050 │0,178 │0,327 │0,177 │0,411
0,04 │0,558 │1,506 │0,163 │0,299 │0,162 │0,376
0,05 │0,360 │0,972 │0,154 │0,283 │0,156 │0,362
0,06 │0,270 │0,729 │0,148 │0,272 │0,151 │0,350
0,08 │0,198 │0,534 │0,140 │0,258 │0,143 │0,332
0,10 │0,169 │0,456 │0,133 │0,245 │0,136 │0,315
0,15 │0,138 │0,372 │0,119 │0,219 │0,123 │0,285
0,20 │0,122 │0,329 │0,109 │0,201 │0,113 │0,262
0,30 │0,104 │0,281 │0,0945 │0,174 │0,0978 │0,227
0,40 │0,0927 │0,250 │0,0847 │0,156 │0,0879 │0,204
0,50 │0,0844 │0,228 │0,0773 │0,142 │0,0802 │0,186
0,60 │0,0779 │0,210 │0,0715 │0,132 │0,0746 │0,173
0,661 │0,0740 │0,200 │0,0670 │0,123 │0,0690 │0,160
0,80 │0,0683 │0,184 │0,0628 │0,116 │0,0651 │0,151
1,00 │0,0614 │0,166 │0,0565 │0,104 │0,0591 │0,137
1,25 │0,0550 │0,148 │0,0510 │0,0938 │0,0534 │0,124
1,50 │0,0500 │0,135 │0,0459 │0,0845 │0,0478 │0,111
2,00 │0,0432 │0,117 │0,0394 │0,0725 │0,0410 │0,0951
3,00 │0,0353 │0,0953 │0,0313 │0,0576 │0,0328 │0,0761
4,00 │0,0310 │0,0837 │0,0266 │0,0489 │0,0280 │0,0650
5,00 │0,0282 │0,0761 │0,0234 │0,0431 │0,0247 │0,0573
6,00 │0,0264 │0,0712 │0,0211 │0,0388 │0,0225 │0,0522
8,00 │0,0241 │0,0650 │0,0180 │0,0331 │0,0194 │0,0450
10,00 │0,0229 │0,0618 │0,0161 │0,0296 │0,0175 │0,0406
Продолжение
───────────┬──────────────────────────┬───────────────────────────
Е, МэВ │ Бетон │ Вода
├─────────────┬────────────┼─────────────┬─────────────
│ │ -1 │ │ -1
│мю/ро, см2/г │ мю, см │мю/ро, см2/г │ мю, см
───────────┼─────────────┼────────────┼─────────────┼─────────────
0,01 │24,6 │57,81 │5,31 │5,31
0,015 │7,68 │18,048 │1,64 │1,64
0,02 │3,34 │7,849 │0,789 │0,789
0,03 │1,10 │2,585 │0,370 │0,370
0,04 │0,542 │1,274 │0,264 │0,264
0,05 │0,350 │0,822 │0,222 │0,222
0,06 │0,267 │0,627 │0,204 │0,204
0,08 │0,197 │0,463 │0,183 │0,183
0,10 │0,169 │0,397 │0,171 │0,171
0,15 │0,139 │0,327 │0,151 │0,151
0,20 │0,124 │0,291 │0,137 │0,137
0,30 │0,107 │0,251 │0,119 │0,119
0,40 │0,0954 │0,224 │0,106 │0,106
0,50 │0,0870 │0,204 │0,0966 │0,0966
0,60 │0,0804 │0,189 │0,0896 │0,0896
0,661 │0,0770 │0,181 │0,0860 │0,0860
0,80 │0,0706 │0,166 │0,0786 │0,0786
1,00 │0,0635 │0,149 │0,0706 │0,0706
1,25 │0,0560 │0,132 │0,0630 │0,0630
1,50 │0,0517 │0,122 │0,0575 │0,0575
2,00 │0,0445 │0,104 │0,0493 │0,0493
3,00 │0,0363 │0,0853 │0,0396 │0,0396
4,00 │0,0317 │0,0745 │0,0339 │0,0339
5,00 │0,0287 │0,0674 │0,0301 │0,0301
6,00 │0,0268 │0,0630 │0,0275 │0,0275
8,00 │0,0243 │0,0571 │0,0240 │0,0240
10,00 │0,0229 │0,0538 │0,0219 │0,0219
Продолжение
────────┬────────────────┬───────────────────┬────────────────────
Е, МэВ │ Ванадий │ Водород │ Воздух
├───────┬────────┼───────┬───────────┼───────┬────────────
│мю/ро, │ -1│мю/ро, │мю, │мю/ро, │мю,
│ │мю, см │ │ -5 -1│ │ -3 -1
│см2/г │ │см2/г │х 10 см │см2/г │х 10 см
────────┼───────┼────────┼───────┼───────────┼───────┼────────────
0,01 │128 │763 │0,384 │3,11 │5,09 │6,581
0,015 │41,3 │246 │0,375 │3,14 │1,59 │2,056
0,02 │18,1 │108 │0,368 │3,08 │0,764 │0,988
0,03 │5,65 │33,7 │0,356 │2,98 │0,349 │0,451
0,04 │2,46 │14,7 │0,345 │2,89 │0,245 │0,317
0,05 │1,32 │7,87 │0,335 │2,81 │0,204 │0,264
0,06 │0,863 │4,98 │0,326 │2,73 │0,186 │0,240
0,08 │0,433 │2,58 │0,309 │2,59 │0,166 │0,215
0,10 │0,289 │1,72 │0,295 │2,47 │0,155 │0,200
0,15 │0,168 │1,00 │0,265 │2,22 │0,136 │0,176
0,20 │0,131 │0,781 │0,243 │2,04 │0,123 │0,159
0,30 │0,103 │0,614 │0,212 │1,78 │0,107 │0,138
0,40 │0,0896 │0,534 │0,189 │1,58 │0,0954 │0,123
0,50 │0,0897 │0,481 │0,173 │1,45 │0,0868 │0,112
0,60 │0,0741 │0,442 │0,160 │1,34 │0,0804 │0,104
0,661 │0,0705 │0,420 │0,153 │1,28 │0,078 │0,101
0,80 │0,0647 │0,386 │0,140 │1,17 │0,0706 │0,0913
1,00 │0,0580 │0,346 │0,126 │1,06 │0,0635 │0,0821
1,25 │0,0520 │0,310 │0,112 │0,938 │0,056 │0,0724
1,50 │0,0473 │0,282 │0,103 │0,863 │0,0517 │0,0668
2,00 │0,0409 │0,244 │0,0873 │0,731 │0,0445 │0,0575
3,00 │0,0347 │0,207 │0,0693 │0,580 │0,0357 │0,0462
4,00 │0,0313 │0,187 │0,0580 │0,486 │0,0307 │0,0397
5,00 │0,0296 │0,176 │0,0503 │0,421 │0,0274 │0,0354
6,00 │0,0285 │0,170 │0,0449 │0,376 │0,0250 │0,0323
8,00 │0,0274 │0,163 │0,0374 │0,313 │0,0220 │0,0284
10,00 │0,0271 │0,162 │0,0325 │0,272 │0,0202 │0,0261
Продолжение
─────────┬───────────────────────────┬────────────────────────────
Е, МэВ │ Вольфрам │ Железо
├─────────────┬─────────────┼─────────────┬──────────────
│ │ -1 │ │ -1
│мю/ро, см2/г │ мю, см │мю/ро, см2/г │ мю/ро, см
─────────┼─────────────┼─────────────┼─────────────┼──────────────
0,01 │62,2 │1200,46 │179 │1405,15
0,015 │121,0 │2335,3 │58,8 │461,58
0,02 │54,3 │1047,99 │26,3 │206,46
0,03 │17,7 │341,61 │8,26 │64,84
0,04 │8,06 │155,56 │3,64 │28,574
0,05 │4,39 │84,73 │1,93 │15,150
0,06 │2,68 │51,72 │1,20 │9,420
0,08 │7,71 │148,8 │0,595 │4,671
0,10 │4,36 │84,15 │0,372 │2,920
0,15 │1,51 │29,14 │0,196 │1,539
0,20 │0,747 │14,417 │0,146 │1,146
0,30 │0,310 │5,983 │0,110 │0,864
0,40 │0,184 │3,551 │0,0940 │0,738
0,50 │0,131 │2,528 │0,0840 │0,659
0,60 │0,105 │2,026 │0,0769 │0,604
0,661 │0,094 │1,814 │0,0730 │0,573
0,80 │0,0789 │1,523 │0,0669 │0,525
1,00 │0,0655 │1,264 │0,0599 │0,470
1,25 │0,055 │1,061 │0,052 │0,408
1,5 │0,0498 │0,961 │0,0485 │0,381
2,0 │0,0440 │0,849 │0,0424 │0,333
3,0 │0,0407 │0,786 │0,0360 │0,283
4,0 │0,0402 │0,776 │0,0330 │0,259
5,0 │0,0409 │0,789 │0,0313 │0,246
6,0 │0,0418 │0,807 │0,0304 │0,239
8,0 │0,0438 │0,845 │0,0295 │0,231
10,0 │0,0465 │0,897 │0,0294 │0,231
Продолжение
─────────┬───────────────────────────┬────────────────────────────
Е, МэВ │ Иод │ Калий
├─────────────┬─────────────┼─────────────┬──────────────
│ │ -1 │ │ -1
│мю/ро, см2/г │ мю, см │мю/ро, см2/г │ мю, см
─────────┼─────────────┼─────────────┼─────────────┼──────────────
0,01 │144 │711,36 │82,0 │71,34
0,015 │46,2 │228,23 │26,0 │22,62
0,02 │20,9 │103,95 │11,2 │9,744
0,03 │6,74 │33,296 │3,50 │3,045
0,04 │21,9 │108,19 │1,52 │1,322
0,05 │12,1 │59,774 │0,844 │0,734
0,06 │7,46 │36,852 │0,559 │0,486
0,08 │3,47 │17,142 │0,321 │0,279
0,10 │1,92 │9,485 │0,233 │0,203
0,15 │0,688 │3,399 │0,157 │0,137
0,20 │0,363 │1,793 │0,132 │0,115
0,30 │0,176 │0,869 │0,108 │0,0940
0,40 │0,120 │0,593 │0,0949 │0,0826
0,50 │0,0954 │0,471 │0,0858 │0,0746
0,60 │0,0821 │0,406 │0,0791 │0,0688
0,661 │0,022 │0,356 │0,075 │0,0652
0,80 │0,0669 │0,330 │0,0692 │0,0602
1,00 │0,0581 │0,287 │0,0619 │0,0538
1,25 │0,050 │0,247 │0,055 │0,0478
1,50 │0,0463 │0,229 │0,0505 │0,0439
2,00 │0,0411 │0,203 │0,0438 │0,0381
3,00 │0,0370 │0,183 │0,0365 │0,0318
4,00 │0,0360 │0,178 │0,0327 │0,0284
5,00 │0,0361 │0,178 │0,0305 │0,0265
6,00 │0,0365 │0,180 │0,0289 │0,0251
8,00 │0,0377 │0,186 │0,0274 │0,0238
10,00 │0,0394 │0,195 │0,0267 │0,0232
Продолжение
─────────┬───────────────────────────┬────────────────────────────
Е, МэВ │ Кобальт │ Кадмий
├─────────────┬─────────────┼─────────────┬──────────────
│ │ -1 │ │ -1
│мю/ро, см2/г │ мю, см │мю/ро, см2/г │ мю, см
─────────┼─────────────┼─────────────┼─────────────┼──────────────
0,01 │193 │1720 │111 │960
0,015 │63,9 │569 │35,1 │304
0,02 │28,8 │256 │15,6 │135
0,03 │9,08 │80,8 │38,6 │334
0,04 │4,00 │35,6 │17,7 │153
0,05 │2,11 │18,8 │9,54 │82,5
0,06 │1,31 │11,7 │5,84 │50,5
0,08 │0,637 │5,67 │2,72 │23,5
0,10 │0,397 │3,53 │1,52 │13,1
0,15 │0,202 │1,80 │0,552 │4,77
0,20 │0,148 │1,32 │0,304 │2,63
0,30 │0,109 │0,970 │0,156 │1,35
0,40 │0,0929 │0,827 │0,112 │0,969
0,50 │0,0831 │0,740 │0,0917 │0,793
0,60 │0,0758 │0,675 │0,0799 │0,691
0,661 │0,0726 │0,646 │0,0756 │0,654
0,80 │0,0659 │0,587 │0,0659 │0,570
1,00 │0,0590 │0,525 │0,0579 │0,501
1,25 │0,0530 │0,471 │0,0508 │0,440
1,50 │0,0479 │0,426 │0,0466 │0,403
2,00 │0,0420 │0,374 │0,0413 │0,357
3,00 │0,0358 │0,319 │0,0369 │0,319
4,00 │0,0327 │0,291 │0,0356 │0,308
5,00 │0,0313 │0,279 │0,0356 │0,308
6,00 │0,0305 │0,271 │0,0358 │0,310
8,00 │0,0297 │0,264 │0,0369 │0,319
10,00 │0,0297 │0,264 │0,0383 │0,331
Продолжение
──────┬───────────────────────────┬───────────────────────────────
Е, │ Кальций │ Кислород
МэВ ├─────────────┬─────────────┼──────────────┬────────────────
│ │ -1 │ │ -3 -1
│мю/ро, см2/г │ мю, см │ мю/ро, см2/г │мю, х 10 см
──────┼─────────────┼─────────────┼──────────────┼────────────────
0,01 │96,9 │149,226 │5,93 │7,887
0,015 │30,9 │47,586 │1,80 │2,394
0,02 │13,4 │20,636 │0,842 │1,120
0,03 │4,16 │6,406 │0,371 │0,493
0,04 │1,81 │2,787 │0,253 │0,336
0,05 │0,998 │1,573 │0,208 │0,277
0,06 │0,648 │0,998 │0,189 │0,251
0,08 │0,359 │0,553 │0,168 │0,223
0,10 │0,257 │0,396 │0,156 │0,207
0,15 │0,167 │0,257 │0,137 │0,182
0,20 │0,137 │0,211 │0,124 │0,165
0,30 │0,112 │0,172 │0,107 │0,142
0,40 │0,0979 │0,151 │0,0956 │0,127
0,50 │0,0885 │0,136 │0,0870 │0,116
0,60 │0,0813 │0,125 │0,0806 │0,107
0,661 │0,028 │0,120 │0,075 │0,0997
0,80 │0,0711 │0,109 │0,0708 │0,0942
1,00 │0,0637 │0,0981 │0,0636 │0,0846
1,25 │0,056 │0,0862 │0,055 │0,0731
1,5 │0,0518 │0,0798 │0,0518 │0,0689
2,0 │0,0451 │0,0694 │0,0445 │0,0592
3,0 │0,0376 │0,0579 │0,0359 │0,0477
4,0 │0,0338 │0,0520 │0,0309 │0,0411
5,0 │0,0316 │0,0487 │0,0276 │0,0367
6,0 │0,0302 │0,0465 │0,0254 │0,0388
8,0 │0,0285 │0,0439 │0,0224 │0,0298
10,0 │0,0280 │0,0431 │0,0206 │0,0274
Продолжение
─────────┬───────────────────────────┬────────────────────────────
Е, МэВ │ Кремний │ Магний
├─────────────┬─────────────┼─────────────┬──────────────
│ │ -1 │ │ -1
│мю/ро, см2/г │ мю, см │мю/ро, см2/г │ мю, см
─────────┼─────────────┼─────────────┼─────────────┼──────────────
0,01 │34,6 │83,732 │21,6 │37,606
0,015 │10,6 │25,652 │6,51 │11,334
0,02 │4,53 │10,963 │2,79 │4,857
0,03 │1,44 │3,485 │0,926 │1,612
0,04 │0,691 │1,672 │0,478 │0,832
0,05 │0,429 │1,038 │0,322 │0,561
0,06 │0,315 │0,762 │0,253 │0,440
0,08 │0,221 │0,535 │0,192 │0,334
0,10 │0,182 │0,440 │0,168 │0,292
0,15 │0,144 │0,348 │0,139 │0,242
0,20 │0,127 │0,307 │0,125 │0,218
0,30 │0,108 │0,261 │0,107 │0,186
0,40 │0,0961 │0,233 │0,0949 │0,165
0,50 │0,0873 │0,211 │0,0862 │0,150
0,60 │0,0804 │0,194 │0,0795 │0,138
0,661 │0,077 │0,186 │0,077 │0,134
0,80 │0,0708 │0,171 │0,0699 │0,122
1,00 │0,0635 │0,154 │0,0627 │0,109
1,25 │0,055 │0,133 │0,055 │0,0957
1,5 │0,0517 │0,125 │0,0512 │0,0891
2,00 │0,0447 │0,108 │0,0442 │0,0769
3,00 │0,0367 │0,0888 │0,0360 │0,0627
4,00 │0,0323 │0,0782 │0,0315 │0,0548
5,00 │0,0296 │0,0716 │0,0286 │0,0498
6,00 │0,0277 │0,0670 │0,0266 │0,0463
8,00 │0,0254 │0,0615 │0,0242 │0,0421
10,00 │0,0243 │0,0588 │0,0228 │0,0397
Продолжение
─────────┬───────────────────────────┬────────────────────────────
Е, МэВ │ Медь │ Молибден
├─────────────┬─────────────┼─────────────┬──────────────
│ │ -1 │ │ -1
│мю/ро, см2/г │ мю, см │мю/ро, см2/г │ мю, см
─────────┼─────────────┼─────────────┼─────────────┼──────────────
0,01 │225 │2000,25 │73,7 │751,74
0,015 │76,8 │682,75 │23,2 │236,64
0,02 │34,6 │307,59 │82,6 │842,52
0,03 │11,1 │98,679 │27,4 │279,61
0,04 │4,83 │42,939 │12,5 │127,50
0,05 │2,56 │22,758 │6,82 │69,564
0,06 │1,58 │14,046 │4,18 │42,636
0,08 │0,762 │6,774 │1,95 │19,890
0,10 │0,461 │4,098 │1,09 │11,118
0,15 │0,222 │1,973 │0,418 │4,263
0,20 │0,156 │1,387 │0,242 │2,468
0,30 │0,112 │0,996 │0,138 │1,408
0,40 │0,0940 │0,836 │0,104 │1,061
0,50 │0,0834 │0,741 │0,0879 │0,897
0,60 │0,0760 │0,676 │0,0777 │0,792
0,661 │0,071 │0,631 │0,073 │0,745
0,80 │0,0659 │0,586 │0,0656 │0,669
1,00 │0,0589 │0,524 │0,0581 │0,593
1,25 │0,052 │0,462 │0,052 │0,530
1,50 │0,0476 │0,423 │0,0470 │0,479
2,00 │0,0418 │0,372 │0,0414 │0,422
3,00 │0,0357 │0,317 │0,0365 │0,372
4,00 │0,0330 │0,293 │0,0349 │0,356
5,00 │0,0316 │0,281 │0,0344 │0,351
6,00 │0,0309 │0,275 │0,0344 │0,351
8,00 │0,0303 │0,269 │0,0349 │0,356
10,00 │0,0305 │0,271 │0,0359 │0,366
Продолжение
─────────┬───────────────────────────┬────────────────────────────
Е, МэВ │ Ниобий │ Никель
├─────────────┬─────────────┼─────────────┬──────────────
│ │ -1 │ │ -1
│мю/ро, см2/г │ мю, см │мю/ро, см2/г │ мю, см
─────────┼─────────────┼─────────────┼─────────────┼──────────────
0,01 │68,7 │589 │220 │1950
0,015 │21,7 │186 │73,0 │646
0,02 │77,8 │667 │33,2 │294
0,03 │27,0 │231 │10,6 │93,8
0,04 │12,2 │105 │4,63 │41,0
0,05 │6,42 │55,0 │2,43 │21,5
0,06 │3,94 │33,8 │1,50 │13,3
0,08 │1,85 │15,9 │0,724 │6,41
0,10 │1,03 │8,83 │0,447 │3,96
0,15 │0,401 │3,44 │0,221 │1,96
0,20 │0,233 │2,00 │0,158 │1,40
0,30 │1,135 │1,16 │0,116 │1,03
0,40 │0,103 │0,883 │0,0977 │0,865
0,50 │0,0882 │0,756 │0,0869 │0,769
0,60 │0,0778 │0,667 │0,0793 │0,702
0,661 │0,0745 │0,629 │0,0756 │0,670
0,80 │0,0661 │0,566 │0,0688 │0,609
1,00 │0,0584 │0,500 │0,0614 │0,543
1,25 │0,0521 │0,446 │0,0551 │0,488
1,50 │0,0473 │0,405 │0,0500 │0,443
2,00 │0,0417 │0,357 │0,0439 │0,389
3,00 │0,0368 │0,315 │0,0374 │0,331
4,00 │0,0350 │0,300 │0,0344 │0,304
5,00 │0,0345 │0,296 │0,0329 │0,291
6,00 │0,0343 │0,294 │0,0320 │0,283
8,00 │0,0351 │0,301 │0,0315 │0,279
10,00 │0,0359 │0,308 │0,0315 │0,279
Продолжение
─────────┬───────────────────────────┬────────────────────────────
Е, МэВ │ Натрий │ Олово
├─────────────┬─────────────┼─────────────┬──────────────
│ │ -1 │ │ -1
│мю/ро, см2/г │ мю, см │мю/ро, см2/г │ мю, см
─────────┼─────────────┼─────────────┼─────────────┼──────────────
0,01 │15,9 │15,442 │124 │905,2
0,015 │4,80 │4,662 │39,3 │286,89
0,02 │2,06 │2,001 │17,6 │128,48
0,03 │0,705 │0,685 │42,1 │307,33
0,04 │0,388 │0,377 │19,3 │140,89
0,05 │0,273 │0,265 │10,5 │76,65
0,06 │0,224 │0,217 │6,47 │47,231
0,08 │0,179 │0,174 │2,98 │21,754
0,10 │0,159 │0,154 │1,65 │12,045
0,15 │0,134 │0,130 │0,601 │4,387
0,20 │0,120 │0,116 │0,324 │2,365
0,30 │0,103 │0,100 │0,163 │1,190
0,40 │0,0917 │0,0891 │0,115 │0,839
0,50 │0,0836 │0,0812 │0,0924 │0,674
0,60 │0,0770 │0,0748 │0,0797 │0,582
0,661 │0,072 │0,0698 │0,075 │0,547
0,80 │0,0676 │0,0656 │0,0660 │0,482
1,0 │0,0608 │0,0590 │0,0576 │0,420
1,25 │0,053 │0,0514 │0,050 │0,365
1,5 │0,0496 │0,0482 │0,0462 │0,337
2,0 │0,0427 │0,0415 │0,0410 │0,299
3,0 │0,0348 │0,0338 │0,0367 │0,268
4,0 │0,0303 │0,0294 │0,0355 │0,259
5,0 │0,0274 │0,0266 │0,0355 │0,259
6,0 │0,0254 │0,0247 │0,0358 │0,261
8,0 │0,0229 │0,0222 │0,0368 │0,269
10,0 │0,0215 │0,0209 │0,0383 │0,28О
Продолжение
─────────┬───────────────────────────┬────────────────────────────
Е, МэВ │ Платина │ Сера
├─────────────┬─────────────┼─────────────┬──────────────
│ │ -1 │ │ -1
│мю/ро, см2/г │ мю, см │мю/ро, см2/г │ мю, см
─────────┼─────────────┼─────────────┼─────────────┼──────────────
0,01 │72,2 │1547,19 │51,6 │103,2
0,015 │138 │2949,06 │16,0 │32,0
0,02 │62,9 │1344,17 │6,88 │13,76
0,03 │20,5 │438,08 │2,15 │4,3
0,04 │9,26 │197,886 │0,971 │1,942
0,05 │5,09 │108,773 │0,567 │1,134
0,06 │3,08 │65,820 │0,400 │0,8
0,08 │8,84 │188,911 │0,254 │0,508
0,10 │4,90 │104,713 │0,201 │0,402
0,15 │1,72 │36,756 │0,150 │0,3
0,20 │0,836 │17,865 │0,130 │0,26
0,30 │0,343 │7,330 │0,109 │0,218
0,40 │0,202 │4,317 │0,0968 │0,194
0,50 │0,142 │3,034 │0,0879 │0,176
0,60 │0,112 │2,393 │0,0810 │0,162
0,661 │0,101 │2,161 │0,077 │0,154
0,80 │0,0827 │1,767 │0,0708 │0,142
1,0 │0,0676 │1,445 │0,0637 │0,127
1,25 │0,057 │1,220 │0,056 │0,107
1,5 │0,0508 │1,085 │0,0519 │0,1038
2,0 │0,0451 │0,964 │0,0448 │0,0896
3,0 │0,0415 │0,887 │0,0371 │0,0742
4,0 │0,0412 │0,880 │0,0328 │0,0656
5,0 │0,0418 │0,893 │0,0302 │0,0604
6,0 │0,0427 │0,912 │0,0284 │0,0568
8,0 │0,0448 │0,957 │0,0266 │0,0532
10,0 │0,0477 │1,019 │0,0255 │0,051
Продолжение
─────────┬───────────────────────────┬────────────────────────────
Е, МэВ │ Свинец │ Серебро
├─────────────┬─────────────┼─────────────┬──────────────
│ │ -1 │ │ -1
│мю/ро, см2/г │ мю, см │мю/ро, см2/г │ мю, см
─────────┼─────────────┼─────────────┼─────────────┼──────────────
0,01 │84,6 │956,956 │106 │1110
0,015 │135 │1531,845 │33,3 │349
0,02 │72,0 │816,984 │14,9 │156
0,03 │23,5 │266,655 │37,5 │393
0,04 │10,5 │119,144 │17,0 │178
0,05 │5,73 │65,018 │9,22 │96,7
0,06 │3,55 │40,282 │5,64 │59,2
0,08 │1,66 │18,836 │2,63 │27,6
0,10 │5,47 │62,068 │1,46 │15,3
0,15 │1,92 │21,786 │0,534 │5,60
0,20 │0,942 │10,689 │0,296 │3,11
0,30 │0,377 │4,278 │0,155 │1,63
0,40 │0,220 │2,496 │0,112 │1,17
0,50 │0,152 │1,725 │0,0922 │0,967
0,60 │0,119 │1,35 │0,0810 │0,850
0,661 │0,103 │1,186 │0,0765 │0,802
0,80 │0,0866 │0,983 │0,0676 │0,709
1,00 │0,0704 │0,799 │0,0592 │0,621
1,25 │0,058 │0,655 │0,0530 │0,556
1,50 │0,0522 │0,592 │0,0474 │0,497
2,00 │0,0463 │0,525 │0,0419 │0,440
3,00 │0,0423 │0,48 │0,0375 │0,393
4,00 │0,0421 │0,478 │0,0360 │0,378
5,00 │0,0426 │0,483 │0,0360 │0,378
6,00 │0,0436 │0,495 │0,0361 │0,379
8,00 │0,0459 │0,521 │0,0372 │0,390
10,00 │0,0489 │0,555 │0,0385 │0,404
Продолжение
─────────┬───────────────────────────┬────────────────────────────
Е, МэВ │ Таллий │ Титан
├─────────────┬─────────────┼─────────────┬──────────────
│ │ -1 │ │ -1
│мю/ро, см2/г │ мю, см │мю/ро, см2/г │ мю, см
─────────┼─────────────┼─────────────┼─────────────┼──────────────
0,01 │81,1 │961,846 │116 │527
0,015 │142 │1684,12 │37,1 │168,0
0,02 │69,1 │819,526 │16,2 │73,5
0,03 │22,6 │268,036 │5,04 │22,9
0,04 │10,3 │122,158 │2,21 │10,0
0,05 │5,54 │65,704 │1,19 │5,40
0,06 │3,41 │40,443 │0,757 │3,44
0,08 │1,60 │18,976 │0,401 │1,82
0,10 │5,32 │63,095 │0,273 │1,24
0,15 │1,88 │22,297 │0,165 │0,749
0,20 │0,911 │10,804 │0,131 │0,595
0,30 │0,367 │4,353 │0,104 │0,472
0,40 │0,216 │2,562 │0,0908 │0,412
0,50 │0,150 │1,779 │0,0818 │0,371
0,60 │0,117 │1,388 │0,0754 │0,342
0,661 │0,105 │1,242 │0,0720 │0,327
0,80 │0,0852 │1,011 │0,0655 │0,297
1,00 │0,0696 │0,825 │0,0587 │0,266
1,25 │0,057 │0,624 │0,0530 │0,240
1,50 │0,0517 │0,613 │0,0479 │0,217
2,00 │0,0456 │0,541 │0,0416 │0,189
3,00 │0,0422 │0,501 │0,0350 │0,159
4,00 │0,0417 │0,495 │0,0317 │0,144
5,00 │0,0423 │0,502 │0,0297 │0,135
6,00 │0,0433 │0,514 │0,287 │0,130
8,00 │0,0454 │0,538 │0,0274 │0,124
10,00 │0,0484 │0,574 │0,0269 │0,122
Продолжение
────────┬─────────────────┬──────────────────┬────────────────────
Е, МэВ │ Углерод │ Уран │ Фосфор
├────────┬────────┼─────────┬────────┼─────────┬──────────
│ мю/ро, │ -1│ мю/ро, │ -1│ мю/ро, │ -1
│ │мю, см │ │мю, см │ │мю, см
│ см2/г │ │ см2/г │ │ см2/г │
────────┼────────┼────────┼─────────┼────────┼─────────┼──────────
0,01 │2,28 │3,308 │118 │2206,6 │41,4 │96,876
0,015 │0,777 │1,298 │40,2 │751,74 │12,5 │29,25
0,02 │0,429 │0,716 │76,6 │1432,42 │5,41 │12,659
0,03 │0,252 │0,421 │31,9 │596,53 │1,72 │4,025
0,04 │0,205 │0,342 │14,3 │267,41 │0,794 │1,858
0,05 │0,185 │0,309 │7,79 │145,673 │0,475 │1,112
0,06 │0,174 │0,291 │4,73 │88,451 │0,340 │0,796
0,08 │0,161 │0,269 │2,22 │41,514 │0,228 │0,534
0,10 │0,152 │0,254 │1,26 │23,562 │0,185 │0,433
0,15 │0,135 │0,226 │2,52 │47,124 │0,143 │0,335
0,20 │0,123 │0,205 │1,22 │22,814 │0,125 │0,293
0,30 │0,107 │0,179 │0,476 │8,901 │0,105 │0,246
0,40 │0,0953 │0,159 │0,273 │5,105 │0,0936 │0,219
0,50 │0,0870 │0,145 │0,185 │3,46 │0,0850 │0,199
0,60 │0,0805 │0,134 │0,142 │2,655 │0,0782 │0,183
0,661 │0,076 │0,127 │0,126 │2,356 │0,074 │0,173
0,80 │0,0707 │0,118 │0,0987 │1,846 │0,0687 │0,161
1,00 │0,0636 │0,106 │0,0779 │1,457 │0,0617 │0,144
1,25 │0,055 │0,092 │0,062 │1,159 │0,054 │0,126
1,50 │0,0518 │0,087 │0,0559 │1,045 │0,0502 │0,118
2,00 │0,0444 │0,074 │0,0490 │0,916 │0,0436 │0,102
3,00 │0,0356 │0,06 │0,0448 │0,838 │0,0358 │0,084
4,00 │0,0304 │0,051 │0,0441 │0,825 │0,0316 │0,074
5,00 │0,0270 │0,045 │0,0446 │0,834 │0,0290 │0,068
6,00 │0,0245 │0,041 │0,0455 │0,851 │0,0273 │0,064
8,00 │0,0213 │0,036 │0,0479 │0,896 │0,0252 │0,059
10,00 │0,0194 │0,032 │0,0511 │0,956 │0,0242 │0,057
Продолжение
────────┬─────────────────┬──────────────────┬────────────────────
Е, МэВ │ Хром │ Цинк │ Цирконий
├────────┬────────┼─────────┬────────┼─────────┬──────────
│ мю/ро, │ -1│ мю/ро, │ -1│ мю/ро, │ -1
│ │мю, см │ │мю, см │ │мю, см
│ см2/г │ │ см2/г │ │ см2/г │
────────┼────────┼────────┼─────────┼────────┼─────────┼──────────
0,01 │146 │1050 │245 │1750 │62,9 │411
0,015 │47,5 │342 │83,1 │593 │19,9 │130
0,02 │21,0 │151 │38,2 │272 │73,3 │479
0,03 │6,54 │47,0 │12,3 │87,7 │25,1 │164
0,04 │2,85 │20,5 │5,40 │38,5 │11,4 │74,4
0,05 │1,53 │11,0 │2,81 │20,0 │5,95 │38,9
0,06 │0,954 │6,86 │1,74 │12,4 │3,67 │24,0
0,08 │0,486 │3,49 │0,829 │5,91 │1,71 │11,2
0,10 │0,318 │2,29 │0,499 │3,56 │0,958 │6,26
0,15 │0,179 │1,29 │0,234 │1,67 │0,377 │2,46
0,20 │0,138 │0,992 │0,161 │1,15 │0,223 │1,46
0,30 │0,107 │0,769 │0,114 │0,813 │0,131 │0,855
0,40 │0,0921 │0,662 │0,0949 │0,677 │0,102 │0,666
0,50 │0,0827 │0,595 │0,0843 │0,601 │0,0859 │0,561
0,60 │0,0758 │0,545 │0,0768 │0,548 │0,0773 │0,505
0,661 │0,0723 │0,520 │0,0734 │0,522 │0,0735 │0,480
0,80 │0,0660 │0,475 │0,0663 │0,473 │0,0653 │0,426
1,00 │0,0592 │0,426 │0,0593 │0,423 │0,0579 │0,378
1,25 │0,0531 │0,382 │0,0524 │0,374 │0,0511 │0,334
1,50 │0,0483 │0,347 │0,0482 │0,344 │0,0468 │0,306
2,00 │0,0420 │0,302 │0,0423 │0,302 │0,0414 │0,270
3,00 │0,0354 │0,255 │0,0361 │0,258 │0,0363 │0,237
4,00 │0,0322 │0,232 │0,0335 │0,239 │0,0345 │0,225
5,00 │0,0306 │0,220 │0,0323 │0,230 │0,0339 │0,221
6,00 │0,0295 │0,212 │0,0316 │0,225 │0,0338 │0,221
8,00 │0,0285 │0,205 │0,0312 │0,223 │0,0343 │0,224
10,00 │0,0281 │0,202 │0,0313 │0,223 │0,0352 │0,230