Главная // Актуальные документы // ГОСТ (Государственный стандарт)СПРАВКА
Источник публикации
М.: Издательство стандартов, 1972
Примечание к документу
С 1 июля 2003 года до вступления в силу технических регламентов акты федеральных органов исполнительной власти в сфере технического регулирования носят рекомендательный характер и подлежат обязательному исполнению только в части, соответствующей целям, указанным в
пункте 1 статьи 46 Федерального закона от 27.12.2002 N 184-ФЗ.
Введен в действие с 1 января 1973 года.
Название документа
"ГОСТ 17367-71. Металлы. Метод испытания на абразивное изнашивание при трении о закрепленные абразивные частицы"
(утв. Постановлением Госстандарта СССР от 31.12.1971 N 2199)
"ГОСТ 17367-71. Металлы. Метод испытания на абразивное изнашивание при трении о закрепленные абразивные частицы"
(утв. Постановлением Госстандарта СССР от 31.12.1971 N 2199)
Утвержден и введен в действие
Постановлением Госстандарта СССР
от 31 декабря 1971 г. N 2199
ГОСУДАРСТВЕННЫЙ СТАНДАРТ СОЮЗА ССР
МЕТАЛЛЫ
МЕТОД ИСПЫТАНИЯ НА АБРАЗИВНОЕ ИЗНАШИВАНИЕ
ПРИ ТРЕНИИ О ЗАКРЕПЛЕННЫЕ АБРАЗИВНЫЕ ЧАСТИЦЫ
Metalls.
Method of abrasion test by friction against
embedded abragant grain
ГОСТ 17367-71
Срок введения
1 января 1973 года
Разработан Всесоюзным научно-исследовательским институтом по нормализации в машиностроении (ВНИИНМАШ).
Директор института канд. техн. наук Верченко В.Р.
Руководитель темы канд. техн. наук Кубарев А.И.
Научный консультант д-р техн. наук Хрущов М.М.
Исполнители: Карасик И.И., Давыденко В.К., Алферова Т.К., Рогов Л.К.
Внесен Всесоюзным научно-исследовательским институтом по нормализации в машиностроении (ВНИИНМАШ).
Директор института канд. техн. наук Верченко В.Р.
Подготовлен к утверждению Отделом общетехнических стандартов Технического управления Государственного комитета стандартов Совета Министров СССР.
Начальник отдела Антоновский А.И.
Ст. инженер Боровкова Л.Н.
Утвержден Государственным комитетом стандартов Совета Министров СССР 29 марта 1971 г. (Протокол N 54).
Председатель отраслевой научно-технической комиссии зам. председателя Госстандарта СССР Ткаченко В.В.
Члены комиссии: Алмазов И.А., Бурденков Г.К., Верченко В.Р., Дербишер А.В., Романов А.Д.
Введен в действие Постановлением Государственного комитета стандартов Совета Министров СССР от 31 декабря 1971 г. N 2199.
Настоящий стандарт распространяется на металлы (черные и цветные), а также их сплавы и устанавливает метод их испытания на абразивное изнашивание.
Сущность метода состоит в том, что производят трение испытуемого и эталонного образцов о поверхность с закрепленными на ней абразивными частицами (абразивную шкурку) при статической нагрузке и отсутствии нагрева, и полученные результаты сравнивают.
Применение метода предусматривается в стандартах и технических условиях, устанавливающих технические требования на продукцию.
1.1. Машина трения для проведения испытаний должна соответствовать требованиям
пп. 3.2,
3.3,
3.5 и
3.6.
1.2. В качестве материала эталонного образца принимают:
при испытании металлов с твердостью менее HV 150 - алюминий технически чистый по ГОСТ 11069-64 в отожженном состоянии;
при испытании металлов с твердостью HV 150 и выше - железо технически чистое в отожженном состоянии, изготовляемое по техническим условиям, утвержденным в установленном порядке.
1.3. Тип абразива абразивной шкурки выбирают следующим образом:
а) при выявлении связи относительной износостойкости испытуемого материала с его физическими свойствами твердость абразивных частиц должна превышать твердость испытуемого материала не менее чем в 1,6 раза;
| | ИС МЕГАНОРМ: примечание. Постановлением Госстандарта СССР от 21.05.1980 N 2270 с 1 января 1982 года введен в действие ГОСТ 3647-80. | |
| | ИС МЕГАНОРМ: примечание. Постановлением Госстандарта СССР от 18.02.1982 N 735 с 1 января 1983 года введен в действие ГОСТ 5009-82. | |
б) при определении относительной износостойкости испытуемого материала при действии кварцевого песка применяют кремневую шлифовальную шкурку по ГОСТ 5009-68 зернистости абразивного материала N 6 по ГОСТ 3647-59.
Тип абразивной шкурки указывают в протоколах испытаний.
1.4. Твердость абразивных зерен, а также структурных элементов испытуемых материалов определяют методом испытания на микротвердость вдавливанием алмазной пирамиды по ГОСТ 9450-60.
1.5. При измерении линейного износа пользуются микрометрами с ценой деления 0,01 мм; при измерении весового износа - аналитическими весами с ценой деления 0,1 мг.
Примечание. Для исключения систематических ошибок все замеры производят одними и теми же измерительными средствами.
1.6. Минимальный абсолютный износ, подлежащий измерению, должен составлять:
в линейных единицах - 200 мкм;
в весовых единицах - 5 мг.
2. ПОДГОТОВКА К ИСПЫТАНИЮ
2.1. Для испытаний применяют гладкие цилиндрические образцы диаметром 2 +/- 0,1 мм и длиной 15 - 20 мм.
| | ИС МЕГАНОРМ: примечание. Взамен ГОСТ 2789-59 Постановлением Госстандарта СССР от 23.04.1973 N 995 с 1 января 1975 года введен в действие ГОСТ 2789-73. | |
2.2. Шероховатость рабочей и боковой поверхностей образцов должна быть не грубее 6-го класса чистоты по ГОСТ 2789-59 и на них не должно быть следов коррозии, окалины, а также цветов побежалости, если это не предусмотрено условиями испытаний.
2.3. При подготовке поверхности эталонного и испытуемого образцов к испытанию необходимо принять меры предосторожности, чтобы не возникали структурные изменения и физико-химические превращения в металле вследствие нагрева при механической обработке.
2.4. В пределах одной серии испытаний технология изготовления образцов должна быть одинаковой.
2.5. Измерение окончательных размеров образца перед испытанием не должно вызывать его повреждения.
2.6. Перед испытанием эталонные и испытуемые образцы должны подвергаться приработке для достижения полного прилегания образцов к шкурке в условиях, идентичных условиям испытаний.
3.1. Все образцы одной серии испытывают на одной и той же машине, выпускаемой по технической документации, утвержденной в установленном порядке.
3.2. Испытания проводят при трении торца цилиндрического образца по поверхности абразивной шкурки по спирали Архимеда в направлении от центра диска к периферии.
3.3. Радиальная подача образцов на каждый оборот диска составляет 1 мм.
3.4. Износ испытуемого и эталонного образцов должен быть получен при одинаковых условиях: образцы должны пройти один и тот же путь трения в пределах всей серии испытаний.
3.5. Скорость трения образцов на абразивной шкурке должна быть такой, чтобы нагрев материала в процессе испытаний не влиял на его свойства.
3.6. Испытания проводят под действием статической нагрузки 9,55 кгс/см2 (из расчета 0,3 кгс на образец диаметром 2,0 мм).
При необходимости допускается проводить испытания при других нагрузках, но не выше критических, что должно быть особо оговорено в протоколах испытаний.
3.7. Относительная погрешность нагрузки не должна превышать +/- 1%.
3.8. Изнашивание испытуемого и эталонного образцов проводят на одном и том же листе абразивной шкурки.
Примечание. Испытания рекомендуется проводить на абразивной шкурке из одного рулона.
3.9. На каждом листе абразивной шкурки испытания проводят только один раз.
3.10. Опыты проводят на двух листах абразивной шкурки в следующем порядке: на одном листе на первой его половине испытывают эталонный образец, на второй - испытуемый образец; на другом листе порядок испытания должен быть обратный.
4. ПОДСЧЕТ РЕЗУЛЬТАТОВ ИСПЫТАНИЯ
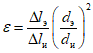
4.1. Относительную износостойкость (

) вычисляют по формуле:

,
где:

- абсолютный линейный износ эталонного образца в мм;

- абсолютный линейный износ испытуемого образца в мм;

- фактический диаметр эталонного образца в мм;

- фактический диаметр испытуемого образца в мм.
При равенстве плотностей материалов эталонного и испытуемого образцов отношение абсолютных линейных износов в формуле допускается заменять отношением абсолютных весовых износов.
Допускается пересчитывать весовые износы на линейные с учетом плотностей материалов образцов, когда невозможно точно измерить абсолютные линейные износы, а также при различных плотностях эталонного и испытуемого образцов.
4.2. За результат испытания материала принимают относительную износостойкость (

), вычисленную как среднее арифметическое результатов двух идентичных опытов.
ТЕРМИНЫ И ОПРЕДЕЛЕНИЯ
1. Эталонный образец - образец из обусловленного материала, с износом которого в одинаковых условиях сравнивают износ испытуемых образцов.
2. Критическая нагрузка - нагрузка на образец, определяемая началом деформации образца или механической прочностью абразивной шкурки.