Главная // Актуальные документы // ГОСТ (Государственный стандарт)СПРАВКА
Источник публикации
М.: Издательство стандартов, 1987
Примечание к документу
С 1 июля 2003 года до вступления в силу технических регламентов акты федеральных органов исполнительной власти в сфере технического регулирования носят рекомендательный характер и подлежат обязательному исполнению только в части, соответствующей целям, указанным в
пункте 1 статьи 46 Федерального закона от 27.12.2002 N 184-ФЗ.
Ограничение срока действия снято по Протоколу N 4-93 Межгосударственного Совета по стандартизации, метрологии и сертификации ("ИУС", N 4, 1994).
Введен в действие с 1 января 1990 года.
Взамен ГОСТ 17675-80.
Название документа
"ГОСТ 17675-87. Трубки электроизоляционные гибкие. Общие технические условия"
(утв. Постановлением Госстандарта СССР от 18.08.1987 N 3320)
"ГОСТ 17675-87. Трубки электроизоляционные гибкие. Общие технические условия"
(утв. Постановлением Госстандарта СССР от 18.08.1987 N 3320)
Утвержден и введен в действие
Постановлением Госстандарта СССР
от 18 августа 1987 г. N 3320
ГОСУДАРСТВЕННЫЙ СТАНДАРТ СОЮЗА ССР
ТРУБКИ ЭЛЕКТРОИЗОЛЯЦИОННЫЕ ГИБКИЕ
ОБЩИЕ ТЕХНИЧЕСКИЕ УСЛОВИЯ
Flexible electrical insulating tubes.
General specifications
ГОСТ 17675-87
34 9144; 34 9145; 22 4721;
22 4731; 22 9295
Срок действия
с 1 января 1990 года
до 1 января 1995 года
1. Разработан и внесен Министерством электротехнической промышленности.
Исполнители: В.Г. Мажуга, В.И. Шпак, О.П. Борщ.
2. Утвержден и введен в действие Постановлением Государственного комитета СССР по стандартам от 18.08.1987 N 3320.
3. Срок первой проверки - 1994 г. Периодичность проверки 5 лет.
4. В стандарт введены международные стандарты МЭК 684-1-80 и МЭК 684-2-84.
5. Взамен ГОСТ 17675-80.
6. Ссылочные нормативно-технические документы
─────────────────────────────────┬────────────────────────────────
Обозначение НТД, на который │ Номер пункта, подпункта,
дана ссылка │ перечисления, приложения
─────────────────────────────────┼────────────────────────────────
ИС МЕГАНОРМ: примечание.
Взамен ГОСТ 2226-75 Постановлением Госстандарта СССР от
29.06.1988 N 2501 с 1 января 1990 года введен в действие
ИС МЕГАНОРМ: примечание.
Взамен ГОСТ 6507-78 Постановлением Госстандарта СССР от
25.01.1990 N 86 с 1 января 1991 года введен в действие
ИС МЕГАНОРМ: примечание.
В официальном тексте документа, видимо, допущена опечатка:
имеется в виду ГОСТ 8273-75, а не ГОСТ 8273-83.
ИС МЕГАНОРМ: примечание.
Взамен ГОСТ 8828-75 Постановлением Госстандарта СССР от
27.12.1989 N 4178 с 1 января 1991 года введен в действие
ИС МЕГАНОРМ: примечание.
Взамен ГОСТ 11358-74 Постановлением Госстандарта СССР от
24.01.1989 N 108 с 1 января 1990 года введен в действие
ИС МЕГАНОРМ: примечание.
Взамен ГОСТ 11951-82 Постановлением Госстандарта СССР от
24.01.1989 N 108 с 1 января 1990 года введен в действие
ИС МЕГАНОРМ: примечание.
Взамен ГОСТ 13841-79 Постановлением Госстандарта России
от 26.07.1995 N 402 с 1 июля 1996 года введен в действие
ИС МЕГАНОРМ: примечание.
Взамен ГОСТ 21140-75 Постановлением Госстандарта СССР от
29.09.1988 N 3317 с 1 января 1989 года введен в действие
Настоящий стандарт распространяется на гибкие электроизоляционные трубки (далее - трубки), с внутренним диаметром от 0,3 до 73,0 мм, предназначенные для изоляции токоведущих элементов различных электротехнических устройств, работающих при постоянном и переменном напряжении до 1000 В частотой до 500 Гц, и устанавливает единые требования к трубкам.
Стандарт не распространяется на трубки специального назначения.
1. ТИПЫ, ОСНОВНЫЕ ПАРАМЕТРЫ И РАЗМЕРЫ
1.1. Типы трубок должны соответствовать указанным в табл. 1.
Таблица 1
──────┬────────────┬────────────┬─────────────────┬───────────────
Тип │Конструк- │ Армирующий │ Покровный, │ Диапазон
трубки│тивное │ материал │ экструдируемый │ рабочих
│исполнение │ │ состав │температур, °C
──────┼────────────┼────────────┼─────────────────┼───────────────
110 │Армированная│Хлопчато- │Масляный, │От минус 50
│ │бумажный │полиэфирный лак │до 105
│ │шнур-чулок │ │
──────┤ ├────────────┤ ├───────────────
120 │ │Капроновый │ │От минус 60
│ │шнур-чулок │ │до 105
──────┤ ├────────────┼─────────────────┼───────────────
131 │ │Стеклошнур- │Полиэфирно- │От минус 60
│ │чулок, │эпоксидный, │до 130
│ │лавсановый │полиэфирный лак │
│ │шнур-чулок │ │
──────┤ ├────────────┼─────────────────┼───────────────
132 │ │Стеклошнур- │Полиуретановый │От минус 60
│ │чулок │лак │до 155
──────┤ │ ├─────────────────┼───────────────
133 │ │ │Кремнийоргани- │От минус 60
│ │ │ческая резиновая │до 180
│ │ │смесь │
──────┤ │ ├─────────────────┼───────────────
134 │ │ │Кремнийоргани- │От минус 50
│ │ │ческий лак │до 180
──────┼────────────┼────────────┼─────────────────┼───────────────
203 │Эластомерная│- │Кремнийоргани- │От минус 60
│ │ │ческая резиновая │до 200
│ │ │смесь │
──────┼────────────┼────────────┼─────────────────┼───────────────
305 │Пластмас- │- │Поливинилхлорид- │От минус 60
│совая │ │ный пластикат │до 105
──────┤ │ ├─────────────────┼───────────────
306 │ │ │Полиэтилен- │До 120
│ │ │терефталат │
──────┤ │ ├─────────────────┼───────────────
307 │ │ │Композиция │От минус 60
│ │ │полиэтилена │до 130
──────┤ │ ├─────────────────┼───────────────
308 │ │ │Фторопласт │От минус 196
│ │ │4Д, 4ДМ │до 250
──────┼────────────┼────────────┼─────────────────┼───────────────
403 │Термоусажи- │- │Кремнийоргани- │От минус 60
│ваемая │ │ческая резиновая │до 155
│ │ │смесь │
──────┤ │ ├─────────────────┼───────────────
407 │ │ │Композиция │От минус 60
│ │ │полиэтилена │до 130
Примечания. 1. Цифры в обозначении типов означают:
первая - конструктивное исполнение;
вторая - вид армирующего материала;
третья - вид покровного, экструдируемого состава.
2. Диапазон рабочих температур на трубки конкретных марок устанавливается в стандартах или технических условиях.
Соответствие типов трубок по настоящему стандарту, маркам по действующим стандартам и техническим условиям, а также коды ОКП приведены в
Приложении 1.
1.2. Масса или длина трубки в пачках или бухтах устанавливается в стандартах или технических условиях на трубки конкретных марок.
По согласованию изготовителя с потребителем допускается изготовление трубок следующих предпочтительных длин (в метрах): 1, 10, 25, 50, 100, 200, 400.
1.3. Номинальный внутренний диаметр, толщина стенки (далее - размеры трубок) и их предельные отклонения должны соответствовать значениям, приведенными в табл. 2 -
5.
Таблица 2
мм
─────┬────────┬─────┬────────┬────────┬─────┬────────┬────────┬─────┬────────┬────────┬─────┬────────┬────────┬─────┬────────
Номи-│Пред. │Но- │ Пред. │Пред. │Но- │ Пред. │Пред. │Но- │ Пред. │Пред. │Но- │ Пред. │Пред. │Но- │ Пред.
наль-│откл. от│мин. │откл. от│откл. от│мин. │откл. от│откл. от│мин. │откл. от│откл. от│мин. │откл. от│откл. от│мин. │откл. от
ный │номин. │тол- │ номин. │номин. │тол- │ номин. │номин. │тол- │ номин. │номин. │тол- │ номин. │номин. │тол- │ номин.
внут-│внут- │щина │толщины │внут- │щина │толщины │внут- │щина │толщины │внут- │щина │толщины │внут- │щина │толщины
рен- │реннего │стен-│ стенки │реннего │стен-│ стенки │реннего │стен-│ стенки │реннего │стен-│ стенки │реннего │стен-│ стенки
ний │диаметра│ки │ │диаметра│ки │ │диаметра│ки │ │диаметра│ки │ │диаметра│ки │
диа- ├────────┴─────┴────────┴────────┴─────┴────────┴────────┴─────┴────────┴────────┴─────┴────────┴────────┴─────┴────────
метр │ тип трубки
├───────────────────────┬───────────────────────┬───────────────────────┬───────────────────────┬───────────────────────
│ 110 │ 120 │ 131, 134 │ 132 │ 133
─────┼────────┬─────┬────────┼────────┬─────┬────────┼────────┬─────┬────────┼────────┬─────┬────────┼────────┬─────┬────────
0,50 │+/- 0,10│0,50 │+/- 0,10│+/- 0,20│0,30 │+/- 0,10│ - │ - │ - │ - │ - │ - │ - │ - │ -
0,70 │ │ │ │ │ │ │ - │ - │ - │ - │ - │ - │ - │ - │ -
─────┼────────┼─────┼────────┤ ├─────┤ ├────────┼─────┼────────┤ │ │ ├────────┼─────┼────────
1,00 │+/- 0,20│0,60 │+/- 0,15│ │0,40 │ │+/- 0,20│0,40 │+/- 0,15│ - │ - │ - │+/- 0,50│0,65 │+/- 0,10
1,50 │ │ │ │ │ │ │ │ │ │ - │ - │ - │ │ │
─────┤ ├─────┼────────┤ ├─────┤ │ │ │ ├────────┼─────┼────────┤ │ │
2,00 │ │0,70 │+/- 0,20│ │0,50 │ │ │ │ │+/- 0,40│0,40 │+/- 0,15│ │ │
2,50 │ │ │ │ │ │ │ │ │ │ │ │ │ │ │
│ │ │ │ │ ├────────┤ │ │ ├────────┤ │ │ ├─────┤
3,00 │ │ │ │ │ │+/- 0,15│ │ │ │+/- 0,30│ │ │ │0,75 │
3,50 │ │ │ ├────────┼─────┼────────┤ ├─────┤ ├────────┤ │ │ │ │
4,00 │ │ │ │ - │ - │ - │ │0,50 │ │+/- 0,50│ │ │ │ │
│ │ │ │ │ │ │ │ │ │ ├─────┤ │ ├─────┤
4,50 │ │ │ │ - │ - │ - │ │ │ │ │0,50 │ │ │0,80 │
─────┼────────┤ │ │ │ │ ├────────┤ ├────────┤ │ ├────────┤ │ │
5,00 │ +0,50 │ │ │ - │ - │ - │ +0,40 │ │+/- 0,20│ │ │+/- 0,20│ │ │
│ -0,40 │ │ │ │ │ │ -0,20 │ │ │ │ │ │ │ │
─────┤ ├─────┤ │ │ │ ├────────┤ │ │ │ │ │ │ │
6,00 │ │0,90 │ │ - │ - │ - │ +0,50 │ │ │ │ │ │ │ │
7,00 │ │ │ │ - │ - │ - │ -0,40 │ │ │ │ │ │ │ │
│ │ │ │ │ │ │ ├─────┤ ├────────┼─────┼────────┤ │ │
│ │ │ │ │ │ │ │0,60 │ │ - │ - │ - │ │ │
│ │ │ │ │ │ │ │ │ │ │ │ │ ├─────┤
8,00 │ │ │ │ - │ - │ - │ │ │ │ - │ - │ - │ │0,90 │
│ │ │ │ │ │ │ │ │ │ │ │ ├────────┼─────┼────────
9,00 │ │ │ │ - │ - │ - │ │ │ │ - │ - │ - │ - │ - │ -
10,00│ │ │ │ - │ - │ - │ │ │ │ - │ - │ - │ - │ - │ -
Таблица 3
мм
───────┬─────────┬────────┬─────────┬────────┬─────────┬──────────
Номи- │Пред. │ Номин. │ Пред. │Пред. │ Номин. │ Пред.
нальный│откл. │толщина │ откл. │откл. от│ толщина │ откл.
внут- │от номин.│ стенки │от номин.│номин. │ стенки │ от номин.
ренний │внут- │ │ толщины │внут- │ │ толщины
диаметр│реннего │ │ стенки │реннего │ │ стенки
│диаметра │ │ │диаметра│ │
├─────────┴────────┴─────────┴────────┴─────────┴──────────
│ тип трубки 203
├────────────────────────────┬─────────────────────────────
│ исполнение I │ исполнение II
───────┼─────────┬────────┬─────────┼────────┬─────────┬──────────
1,0 │ +0,15 │ 0,40 │ +0,10 │+/- 0,40│ 0,90 │+/- 0,10
1,5 │ -0,10 │ │ -0,05 │ │ │
2,0 │ │ │ │ │ │
│ │ │ ├────────┤ │
2,5 │ │ │ │ +0,70 │ │
3,0 │ │ │ │ -0,50 │ │
├─────────┼────────┼─────────┤ │ │
3,5 │ +/- 0,15│ 0,50 │ +/- 0,10│ │ │
4,0 │ │ │ │ │ │
4,5 │ │ │ │ │ │
│ │ │ │ ├─────────┼──────────
5,0 │ │ │ │ │ 1,30 │+/- 0,20
├─────────┼────────┼─────────┼────────┤ │
6,0 │+/- 0,25 │ 0,70 │ +0,15 │ +0,80 │ │
7,0 │ │ │ -0,10 │ -0,70 │ │
│ │ │ │ ├─────────┼──────────
8,0 │ │ │ │ │ 1,60 │+/- 0,30
9,0 │ │ │ │ │ │
10,0 │ │ │ │ │ │
├─────────┼────────┼─────────┼────────┼─────────┼──────────
11,0 │ - │ - │ - │ +1,00 │ │+/- 0,40
12,0 │ - │ - │ - │ -0,80 │ │
13,0 │ - │ - │ - │ │ 2,00 │
│ │ │ ├────────┤ │
14,0 │ - │ - │ - │+/- 1,00│ │
│ │ │ │ ├─────────┤
15,0 │ - │ - │ - │ │ 2,40 │
16,0 │ - │ - │ - │ │ │
17,0 │ - │ - │ - │ │ │
18,0 │ - │ - │ - │ │ │
│ │ │ ├────────┤ │
20,0 │ - │ - │ - │+/- 1,20│ │
│ │ │ ├────────┤ │
22,0 │ - │ - │ - │+/- 1,40│ │
24,0 │ - │ - │ - │ │ │
26,0 │ - │ - │ - │ │ │
28,0 │ - │ - │ - │ │ │
30,0 │ - │ - │ - │ │ │
───────┤ │ │ ├────────┼─────────┼──────────
32,0 │ - │ - │ - │+/- 1,80│ 2,50 │+/- 0,80
34,0 │ - │ - │ - │ │ │
36,0 │ - │ - │ - │ │ │
38,0 │ - │ - │ - │ │ │
40,0 │ - │ - │ - │ │ │
───────┤ │ │ ├────────┤ │
58,0 │ - │ - │ - │+/- 2,00│ │-
───────┤ │ │ ├────────┤ │
73,0 │ - │ - │ - │+/- 2,50│ │-
Таблица 4
мм
─────┬────────────────────────┬───────────────┬────────┬──────┬────────┬────────┬──────┬────────┬────────┬──────┬────────
Номи-│ Исполнение I │Исполнение II │Пред. │Номин.│ Пред. │Пред. │Номин.│ Пред. │Пред. │Номин.│Пред.
наль-├────────┬──────┬────────┼──────┬────────┤откл. │толщи-│откл. от│откл. от│толщи-│откл. от│откл. от│толщи-│откл. от
ный │пред. │номин.│ пред. │номин.│ пред. │от │на │ номин. │номин. │на │ номин. │номин. │на │номин.
внут-│откл. от│толщи-│ откл. │толщи-│откл. от│номин. │стенки│толщины │внут- │стенки│толщины │внут- │стенки│толщины
рен- │номин. │на │ от │на │ номин. │внут- │ │ стенки │реннего │ │ стенки │реннего │ │стенки,
ний │внут- │стенки│ номин. │стенки│толщины │реннего │ │ │диаметра│ │ │диаметра│ │%
диа- │реннего │ │ толщины│ │ стенки │диаметра│ │ │ │ │ │ │ │
метр │диаметра│ │ стенки │ │ │ │ │ │ │ │ │ │ │
├────────┴──────┴────────┴──────┴────────┴────────┴──────┴────────┴────────┴──────┴────────┴────────┴──────┴────────
│ тип трубки
├────────────────────────────────────────┬────────────────────────┬────────────────────────┬────────────────────────
│ 305 │ 306 │ 307 │ 308
─────┼────────┬──────┬────────┬──────┬────────┼────────┬──────┬────────┼────────┬──────┬────────┼────────┬──────┬────────
0,30 │ - │ - │ - │ - │ - │ - │ - │ - │ - │ - │ - │+/- 0,10│ 0,20 │ +30,0
─────┼────────┼──────┼────────┤ │ │ │ │ │ │ │ │ │ │
0,50 │+/- 0,10│ 0,30 │+/- 0,10│ - │ - │ - │ - │ - │ - │ - │ - │ │ │ -10,0
─────┤ │ │ │ │ │ │ │ │ │ │ ├────────┤ │
0,80 │ │ │ │ - │ - │ - │ - │ - │ - │ - │ - │+/- 0,15│ │
─────┼────────┼──────┤ │ │ │ │ │ ├────────┼──────┼────────┤ ├──────┤
1,00 │+/- 0,20│ 0,40 │ │ - │ - │ - │ - │ - │+/- 0,10│ 0,80 │+/- 0,10│ │0,20; │
│ │ │ │ │ │ │ │ │ │ │ │ │ 0,30 │
─────┼────────┤ │ │ │ │ │ │ │ ├──────┤ │ ├──────┤
1,50 │+/- 0,25│ │ │ - │ - │ - │ - │ - │ │ - │ │ │ 0,30 │
─────┤ │ │ ├──────┼────────┤ │ │ │ ├──────┤ │ │ │
2,00 │ │ │ │ 1,00 │+/- 0,20│ - │ - │ - │ │ 1,00 │ │ │ │
─────┤ │ │ ├──────┼────────┤ │ │ │ │ │ │ ├──────┤
2,50 │ │ │ │ - │ - │ - │ - │ - │ │ │ │ │ 0,40 │
─────┤ │ │ ├──────┼────────┤ │ │ │ │ │ │ │ │
3,00 │ │ │ │ 1,00 │+/- 0,20│ - │ - │ - │ │ │ │ │ │
─────┤ │ │ ├──────┼────────┤ │ │ │ │ │ ├────────┼──────┼────────
3,50 │ │ │ │ - │ - │ - │ - │ - │ │ │ │+/- 0,30│ 0,60 │+/- 15,0
─────┤ ├──────┤ ├──────┼────────┤ │ │ │ │ │ │ ├──────┼────────
4,00 │ │ 0,60 │ │ 1,20 │+/- 0,20│ - │ - │ - │ │ │ │ │0,60; │ +15,0
│ │ │ │ │ │ │ │ │ │ │ │ │ 1,00 │ -5,0
─────┤ │ │ │ │ │ │ │ │ │ │ │ ├──────┤
4,50 │ │ │ │ │ │ - │ - │ - │ │ │ │ │ 0,60 │
─────┤ │ │ │ │ │ │ │ │ │ │ │ ├──────┤
5,00 │ │ │ │ │ │ - │ - │ - │ │ │ │ │0,60; │
│ │ │ │ │ │ │ │ │ │ │ │ │ 1,00 │
─────┼────────┤ │ ├──────┼────────┤ │ │ │ │ │ │ ├──────┤
6,00 │+/- 0,30│ │ │ - │ - │ - │ - │ - │ │ │ │ │ 1,50 │
─────┼────────┤ │ │ │ ├────────┼──────┼────────┤ │ │ │ ├──────┤
7,00 │+/- 0,50│ │ │ - │ - │+/- 0,30│ 0,10 │+/- 0,03│ │ │ │ │ 1,00 │
─────┤ │ │ │ │ │ │ │ │ │ │ │ ├──────┤
8,00 │ │ │ │ - │ - │ │ │ │ │ │ │ │1,50; │
│ │ │ │ │ │ │ │ │ │ │ │ │ 2,00 │
─────┤ │ │ │ │ │ │ │ │ │ │ │ ├──────┤
9,00 │ │ │ │ - │ - │ │ │ │ │ │ │ │ 1,50 │
─────┤ ├──────┤ │ │ ├────────┼──────┼────────┤ │ │ │ │ ├────────
10,00│ │ 0,70 │ │ - │ - │ - │ - │ - │ │ │ │ │ │ +30,0
│ │ │ │ │ │ │ │ │ │ │ │ │ │ -10,0
─────┼────────┼──────┼────────┼──────┼────────┼────────┼──────┼────────┼────────┼──────┼────────┼────────┼──────┼────────
12,00│+/- 0,50│ 0,70 │+/- 0,10│ - │ - │ - │ - │ - │+/- 0,10│ 1,00 │+/- 0,10│ - │ - │ -
14,00│ │ │ │ - │ - │ - │ - │ - │ │ │ │ │ │
─────┼────────┼──────┤ │ │ │ │ │ ├────────┼──────┼────────┤ │ │
16,00│+/- 0,80│ 0,90 │ │ - │ - │ - │ - │ - │+/- 0,20│ 1,50 │+/- 0,20│ - │ - │ -
─────┤ │ │ │ │ │ │ │ ├────────┼──────┼────────┤ │ │
18,00│ │ │ │ - │ - │ - │ - │ - │ - │ - │ - │ - │ - │ -
─────┼────────┼──────┼────────┤ │ │ │ │ │ │ │ │ │ │
20,00│+/- 1,00│ 1,15 │+/- 0,20│ - │ - │ - │ - │ - │ - │ - │ - │ - │ - │ -
22,00│ │ │ │ - │ - │ - │ - │ - │ - │ - │ - │ - │ - │ -
25,00│ │ │ │ - │ - │ - │ - │ - │ - │ - │ - │ - │ - │ -
─────┼────────┼──────┼────────┤ │ │ │ │ │ │ │ │ │ │
30,00│+/- 1,30│ 1,40 │+/- 0,25│ - │ - │ - │ - │ - │ - │ - │ - │ - │ - │ -
35,00│ │ │ │ - │ - │ - │ - │ - │ - │ - │ - │ - │ - │ -
─────┼────────┼──────┤ │ │ │ │ │ │ │ │ │ │ │
40,00│+/- 2,00│ 1,75 │ │ - │ - │ - │ - │ - │ - │ - │ - │ - │ - │ -
─────┤ ├──────┼────────┼──────┼────────┤ │ │ │ │ │ │ │ │
50,00│ │ - │ - │ 4,50 │+/- 0,80│ - │ - │ - │ - │ - │ - │ - │ - │ -
мм
────────────┬─────────┬───────┬────────┬─────────┬───────┬────────
Номинальный │Пред. │ Номин.│ Пред. │Пред. │Номин. │ Пред.
внутренний │откл. │толщина│ откл. │откл. от │толщина│откл. от
диаметр до │от номин.│ стенки│ от │номин. │стенки │ номин.
усадки/после│внутрен- │ │ номин. │внутрен- │ │толщины
усадки │него диа-│ │толщины │него диа-│ │ стенки
│метра до │ │ стенки │метра до │ │
│усадки/ ├───────┴────────┤усадки/ ├───────┴────────
│после │ после усадки │после │ после усадки
│усадки │ │усадки │
├─────────┴────────────────┴─────────┴────────────────
│ тип трубки
├──────────────────────────┬──────────────────────────
│ 403 │ 407
────────────┼─────────┬───────┬────────┼─────────┬───────┬────────
2,00/1,00 │+/- 0,40 │ 0,80 │+/- 0,10│+/- 0,50 │ 0,80 │+/- 0,10
│ │ │ ├─────────┼───────┼────────
3,00/1,50 │ │ │ │ - │ - │ -
│ │ │ ├─────────┼───────┼────────
4,00/2,00 │ │ │ │+/- 0,50 │ 1,00 │+/- 0,10
├─────────┤ │ │ │ │
6,00/3,00 │+/- 0,50 │ │ │ │ │
8,00/4,00 │ │ │ │ │ │
│ ├───────┼────────┤ │ │
10,00/5,00 │ │ 1,20 │+/- 0,20│ │ │
├─────────┤ │ │ │ │
12,00/6,00 │+/- 0,70 │ │ │ │ │
14,00/7,00 │ │ │ │ │ │
│ ├───────┼────────┤ │ │
16,00/8,00 │ │ 1,60 │+/- 0,30│ │ │
18,00/9,00 │ │ │ │ │ │
│ │ │ ├─────────┤ │
20,00/10,00 │ │ │ │+/- 1,00/│ │
│ │ │ │+/- 0,50 │ │
├─────────┼───────┼────────┼─────────┼───────┼────────
22,00/11,00 │+/- 0,80 │ 2,00 │+/- 0,40│ - │ - │ -
│ │ │ ├─────────┼───────┼────────
24,00/12,00 │ │ │ │+/- 1,00/│ 1,00 │+/- 0,10
│ │ │ │ +/-0,50 │ │
│ │ │ ├─────────┼───────┼────────
26,00/13,00 │ │ │ │ - │ - │ -
├─────────┼───────┤ │ │ │
30,00/15,00 │+/- 1,00 │ 2,40 │ │ - │ - │ -
│ │ │ ├─────────┼───────┼────────
32,00/16,00 │ │ │ │+/- 1,00 │ 1,50 │+/- 0,20
│ │ │ ├─────────┼───────┼────────
34,00/17,00 │ │ │ │ - │ - │ -
├─────────┤ ├────────┤ │ │
45,00/22,50 │+/- 2,50 │ │+/- 0,50│ - │ - │ -
50,00/25,00 │ │ │ │ - │ - │ -
В зависимости от толщины стенки трубки изготовляют исполнения I и исполнения II. Трубки исполнения II имеют утолщенную стенку.
По согласованию изготовителя с потребителем допускается изготовление трубок других размеров. При этом их размеры должны быть указаны в стандартах или технических условиях на трубки конкретных марок.
1.4. Условное обозначение трубки должно содержать тип, марку, внутренний диаметр и обозначение стандарта или технических условий на трубки конкретных марок.
При необходимости дополнительно указывают: цвет, сорт, исполнение трубки или другие данные, характеризующие трубку.
Пример условного обозначения трубки типа 110, марки ТЛВ, внутренним диаметром 4,0 мм:
Трубка 110, ТЛВ 4 ГОСТ 9614-75.
2. ТЕХНИЧЕСКИЕ ТРЕБОВАНИЯ
2.1. Характеристики
2.1.1. Трубки должны изготовляться по технологической документации, утвержденной в установленном порядке и соответствовать требованиям основных потребительских (эксплуатационных) характеристик, установленных настоящим стандартом.
Дополнительные требования к трубкам, при необходимости, должны быть приведены в стандартах или технических условиях на трубки конкретных марок.
2.1.2. Наружная поверхность трубок должна быть ровной, гладкой, без трещин, пор, пузырей и отслоений, видимых невооруженным глазом.
На наружной поверхности трубок допускается наличие текстуры, обусловленной технологией изготовления.
Внутренняя поверхность трубок не должна иметь выступов, препятствующих продеванию провода.
Наружная и внутренняя поверхности трубок при хранении и транспортировании не должны слипаться.
На наружных поверхностях трубок допускается наличие жировых пятен, легко удаляемых тампоном, смоченным в уайт-спирите.
Дополнительные требования к внешнему виду трубок, при необходимости, указывают в стандартах или технических условиях на трубки конкретных марок.
2.1.3. Цвет трубок должен соответствовать окраске материалов, из которых они изготовлены.
Допускаются другие цвета трубок за счет применения окрашенных шнуров-чулок и различных пигментов.
2.1.4. Электрические и физико-механические показатели трубок должны соответствовать требованиям, приведенным в табл. 6 -
9.
Таблица 6
──────────────┬─────────────────────────────────────────────────────────────────
Наименование │ Тип трубки
показателя ├───────┬───────┬────────────┬───────────┬────────────┬───────────
│ 110 │ 120 │ 131 │ 132 │ 133 │ 134
──────────────┼───────┼───────┼────────────┼───────────┼────────────┼───────────
1. Пробивное │ │ │ │ │ │
напряжение │ │ │ │ │ │
(электрическая│ │ │ │ │ │
прочность) │ │ │ │ │ │
переменного │ │ │ │ │ │
тока частоты │ │ │ │ │ │
50 Гц, кВ │ │ │ │ │ │
(кВ/мм), │ │ │ │ │ │
не менее │ │ │ │ │ │
1.1. В ис- │ 5,00 │ 1,70 │ 6,00 │ 6,00 │ 5,00 │ 6,00
ходном │ │ │ (1,20
<*>) │ │ │
состоянии │ │ │ │ │ │
1.2. После │ 3,00 │ 0,66 │ 3,00 │ 3,00 │ - │ 3,00
перегибов на │ │ │ │ │ │
угол пи/2, рад│ │ │ │ │ │
1.3. После │ 5,00 │ - │ 5,00 │ 4,00 │ 5,00 │ 4,00
воздействия │ │ │ (0,50
<*>) │ │ │
повышенных │ │ │ │ │ │
температур │ │ │ │ │ │
1.4. После │ 1,00 │ - │ 1,20 │ 1,20 │ 5,00 │ 1,20
воздействия │ │ │ │ │ │
пониженных │ │ │ │ │ │
температур │ │ │ │ │ │
воздействия │ │ │ │ │ │
жидких агрес- │ │ │ │ │ │
сивных сред: │ │ │ │ │ │
1.5.1. бен- │ 4,00 │ - │ - │ - │ - │ -
зина │ │ │ │ │ │
1.5.2. смеси │ - │ - │ 3,60 │ 3,60 │ - │ -
ксилола │ │ │ │ │ │
с уайт- │ │ │ │ │ │
спиритом │ │ │ │ │ │
1.5.3. воды │ - │ - │ - │ - │ 3,50 │ -
1.5.4. транс-│ 5,00 │ - │ 5,00 │ 4,00 │ - │ -
форматорного │ │ │ │ │ │
масла │ │ │ │ │ │
1.6. После │ 2,00 │ - │ 2,00 │ 2,00 │ 3,50 │ 2,00
пребывания │ │ │ │ │ │
в условиях │ │ │ │ │ │
влажности │ │ │ │ │ │
1.7. Под │ 8,00 │ - │ - │ - │ 4,00 │ -
воздействием │ │ │ │ │ │
продавливающей│ │ │ │ │ │
нагрузки │ │ │ │ │ │
1.8. После │ 3,00 │ - │ 3,00 │ 3,00 │ 4,50 │ 3,00
истирания │ │ │ │ │ │
2. Эластич- │ Не должно быть трещин и отслоений лакового слоя │Не должно
ность │ │быть трещин
│ │и отслоений
│ │лакового
│ │слоя
│ │ │ 9 │ 9 │ 12 │ 9
3. Сопротив- │1500,00│5000,00│(1,00 x 10 )│(1,0 x 10 )│(1,0 x 10 )│(1,0 x 10 )
ление изоляции│ │ │ │ │ │
(удельное │ │ │ │ │ │
объемное │ │ │ │ │ │
электрическое │ │ │ │ │ │
сопротивле- │ │ │ │ │ │
ние), МОм │ │ │ │ │ │
(Ом x м), │ │ │ │ │ │
не менее │ │ │ │ │ │
--------------------------------
<*> Для трубок марки ТСП.
Таблица 7
─────────────────────────┬────────────────────────────────────────
Наименование показателя │ Тип трубки
├────────────────────────────────────────
│ 203
├───────────────────┬────────────────────
│ исполнение I │ исполнение II
─────────────────────────┼───────────────────┼────────────────────
1. Испытательное напря- │ │
жение переменного тока │ │
частоты 50 Гц, кВ, │ │
не менее │ │
1.1. В исходном │ 4,0 │ 6,0
состоянии │ │
1.2. После воздействия │ 3,0 │ 4,0
повышенных температур │ │
1.3. После воздействия │ 3,0 │ 4,5
пониженных температур │ │
1.4. После воздействия │ │
жидких агрессивных сред: │ │
1.4.2. ксилола │ 1,0 │ 2,0
1.5. Под воздействием │ - │ 4,0
продавливающей нагрузки │ │
2. Разрушающее напря- │ 4,5 (46) │ 4,0 (40,0)
жение при растяжении, МПа│ │
(кгс/см2), не менее │ │
3. Относительное │ 300 │ 300
удлинение при разрыве, │ │
%, не менее │ │
│ 5 │ -
4. Сопротивление │ 1,0 x 10 │
изоляции, МОм, не менее │ │
────────────────────────┬─────────────────────────────────────────
Наименование показателя │ Тип трубки
├─────────┬──────────┬──────────┬─────────
│ 305 │ 306 │ 307 │ 308
────────────────────────┼─────────┼──────────┼──────────┼─────────
1. Электрическая │ │ │ │
прочность (испытательное│ │ │ │
напряжение) переменного │ │ │ │
тока частоты 50 Гц, │ │ │ │
кВ/мм (кВ), не менее │ │ │ │
1.1. В исходном │ 15,0 │ (4,5) │ (22,0) │ -
состоянии │ │ │ │
1.2. После воздействия │ 10,0 │ - │ - │ -
повышенных температур │ │ │ │
1.3. После воздействия │ 10,0 │ - │ - │ -
повышенных температур │ │ │ │
1.4. После пребывания │ 10,0 │ (2,0) │ - │ -
в условиях влажности │ │ │ │
1.5. Под воздействием │ - │ - │ (1,5) │ -
продавливающей нагрузки │ │ │ │
│ 8│ 13│ 15│
2. Удельное объемное │1,0 x 10 │1,0 x 10 │1,0 x 10 │ -
электрическое сопро- │ │ │ │
тивление, Ом x м, │ │ │ │
не менее │ │ │ │
3. Разрушающее напряже-│9,8 (100)│10,0 (100)│10,5 (105)│ 27,0
ние при растяжении, МПа │ │ │ │(270 <*>)
(кгс/см2), не менее │ │ │ │
4. Относительное │ 180 │ - │ - │ 250 <*>
удлинение при разрыве, │ │ │ │
%, не менее │ │ │ │
--------------------------------
<*> Без дополнительной термообработки.
────────────────────────────┬─────────────────────────────────────
Наименование показателя │ Тип трубки
├─────────────────┬───────────────────
│ 403 │ 407
────────────────────────────┼─────────────────┼───────────────────
1. Испытательное напряжение│ │
переменного тока частоты │ │
50 Гц, кВ, не менее │ │
1.1. В исходном состоянии │ 8,0 │ 22,0
1.2. После воздействия │ 6,0 │ -
повышенных температур │ │
1.3. После воздействия │ 6,0 │ -
пониженных температур │ │
1.4. Под воздействием │ 6,0 │ 1,5
продавливающей нагрузки │ │
│ │ 15
2. Удельное объемное │ - │ 1,0 x 10
электрическое сопротивление,│ │
Ом x м, не менее │ │
3. Разрушающее напряжение │ 4,0 (40,0) │ 10,5 (105,0)
при растяжении, МПа │ │
(кгс/см2), не менее │ │
4. Относительное удлинение │ 300,0 │ -
при разрыве, %, не менее │ │
2.2. Требования к сырью и материалам
Сырье и материалы, применяемые для изготовления трубок, должны быть указаны в стандартах или технических условиях на трубки конкретных марок.
2.3. Маркировка
2.3.1. Трубки одной марки и одного диаметра длиной 1 м собирают в пачки по 50 - 100 шт., длиной более 1 м наматывают последовательно в бухты от 5 до 6000 м в зависимости от диаметра трубки.
По согласованию изготовителя с потребителем для трубок диаметром от 0,3 до 3,0 мм допускается параллельная намотка в бухты.
| | ИС МЕГАНОРМ: примечание. В официальном тексте документа, видимо, допущена опечатка: имеется в виду ГОСТ 8273-75, а не ГОСТ 8273-83. | |
Пачки или бухты трубок должны быть обернуты в трех местах лентой из оберточной бумаги по
ГОСТ 8273-83 и перевязаны шпагатом по ГОСТ 16266-70 или по
ГОСТ 17308-85 или другим перевязочным материалом по нормативно-технической документации.
2.3.2. На каждой пачке или бухте должен быть прикреплен ярлык с нанесением следующих данных:
а) наименование или товарный знак предприятия-изготовителя;
б) условное обозначение трубки;
в) длина в метрах или масса в килограммах;
г) номер партии и дата изготовления;
д) штамп технического контроля предприятия-изготовителя;
е) изображение государственного Знака качества.
2.3.3. Транспортная маркировка должна соответствовать
ГОСТ 14192-77 с нанесением на каждое грузовое место манипуляционного знака "Боится сырости".
2.4. Упаковка
2.4.1. Пачки или бухты трубок должны быть упакованы в фанерные ящики типа VI по
ГОСТ 5959-80 или дощатые типа III-2 по
ГОСТ 2991-85.
| | ИС МЕГАНОРМ: примечание. Взамен ГОСТ 21140-75 Постановлением Госстандарта СССР от 29.09.1988 N 3317 с 1 января 1989 года введен в действие ГОСТ 21140-88. | |
Габаритные размеры ящиков выбирают в соответствии с требованиями ГОСТ 21140-75.
Масса брутто ящика должна быть не более 50 кг.
| | ИС МЕГАНОРМ: примечание. Взамен ГОСТ 8828-75 Постановлением Госстандарта СССР от 27.12.1989 N 4178 с 1 января 1991 года введен в действие ГОСТ 8828-89. | |
Дно и стенки ящиков должны выстилаться водонепроницаемой бумагой по ГОСТ 8828-75 или парафинированной бумагой по
ГОСТ 9569-79 с запасом на прокладку под крышкой. Допускается дно и стенки ящиков выстилать полиэтиленовой пленкой по
ГОСТ 10354-82 или другой пленкой по нормативно-технической документации.
Ящики должны быть обиты по торцам стальной лентой по
ГОСТ 3560-73, скрепленной в замок.
В плотные фанерные или дощатые ящики упаковываются трубки, отгружаемые мелкими отправками.
2.4.2. Ящики с трубками формируют в транспортные пакеты по
ГОСТ 21929-76 на плоских поддонах 800 x 1200-1, ОД/ВГ по ГОСТ 9557-73.
Масса пакета не более 1000 кг. Пакетирование грузов осуществляется ручным или механизированным способом. Для формирования пакетов применяются средства скрепления по
ГОСТ 21650-76.
| | ИС МЕГАНОРМ: примечание. Взамен ГОСТ 2226-75 Постановлением Госстандарта СССР от 29.06.1988 N 2501 с 1 января 1990 года введен в действие ГОСТ 2226-88. | |
| | ИС МЕГАНОРМ: примечание. Взамен ГОСТ 13841-79 Постановлением Госстандарта России от 26.07.1995 N 402 с 1 июля 1996 года введен в действие ГОСТ 13841-95. | |
2.4.3. Допускается повагонная отправка и отправка в контейнерах по
ГОСТ 15102-75 или
ГОСТ 20435-75. При этом упаковка трубок производится в один слой водонепроницаемой бумаги или парафинированной бумаги, или полиэтиленовой пленки, не менее чем в 2 слоя мешочной бумаги по
ГОСТ 2228-81, или в трехслойные мешки по ГОСТ 2226-75, или в ящики из гофрированного картона по ГОСТ 13841-79.
По согласованию изготовителя с потребителем допускается другой вид упаковки, обеспечивающий сохранность трубок при транспортировании.
Трубки, упакованные в мешки, допускается укладывать на ящичные или стоечные поддоны по
ГОСТ 19848-76.
2.4.4. При упаковывании трубок в транспортную тару не должно быть перегибов по длине пачки и диаметру бухты армированных трубок.
3.1. Для проверки соответствия трубок требованиям настоящего стандарта и требованиям стандартов или технических условий на трубки конкретных марок устанавливают приемосдаточные, периодические и типовые испытания.
Испытания проводят по показателям и в объеме, указанным в табл. 10.
────────────────┬───────────────┬──────┬────────┬──────┬──────────
Наименование │ Пункт │Объем │Количес-│Размер│Категория
показателя ├────────┬──────┤
<*> │тво
<*> │
<*> │испытания
│техни- │мето- │выбор-│образцов│образ-│
│ческих │дов │ки от │от вы- │ца, мм│
│требова-│испы- │партии│борки, │ │
│ний │таний │ │шт. │ │
────────────────┼────────┼──────┼──────┼────────┼──────┼──────────
1. Длина │
1.2 │
4.4 │ 5% │ - │ - │Приемо-
│ │ │ │ │ │сдаточные
────────────────┼────────┼──────┼──────┼────────┼──────┤
2. Внешний вид,│
2.1.2; │
4.7 │ 20% │ - │ - │
────────────────┼────────┼──────┼──────┼────────┼──────┤
3. Внутренний │
1.3 │
4.5 │ │ │ │
────────────────┤ ├──────┤ │ │ │
4. Толщина │ │
4.6 │ │ │ │
────────────────┼────────┼──────┤ │ │ ├──────────
5. Пробивное │
2.1.4 │ │1,5 м │ 9 │ 150 │Приемо-
(испытательное) │ │ │ │ │ │сдаточные;
напряжение, │ │ │ │ │ │для типов
электрическая │ │ │ │ │ │120, 305,
прочность │ │ │ │ │ │307, 407 -
│ │ │ │ │ │периоди-
│ │ │ │ │ │ческие
5.1. В исходном│ Табл. │
4.8 │ │ │ │
состоянии
<**> │
6 -
9 │ │ │ │ │
│ п. 1.1 │ │ │ │ │
────────────────┼────────┤ │ │ │ │
5.2. После │Табл. 6 │
4.8.1 │ │ │ │
(эластичность) │ │ │ │ │ │
────────────────┼────────┼──────┤ │ │ ├──────────
5.3. После │Табл. 6 │ │ │ │ │Периоди-
воздействия │
п. 1.3 │ │ │ │ │ческие
повышенных │ Табл. │
4.8.2 │ │ │ │
температур │
7 -
9 │ │ │ │ │
│ п. 1.2 │ │ │ │ │
────────────────┼────────┼──────┤ │ │ │
5.4. После │Табл. 6 │
4.8.3 │ │ │ │
воздействия │
п. 1.4 │ │ │ │ │
пониженных │ Табл. │ │ │ │ │
температур │
7 -
9 │ │ │ │ │
│ п. 1.3 │ │ │ │ │
────────────────┼────────┼──────┤ │ │ │
5.5. После воз-│Табл. 6 │
4.8.4 │ │ │ │
действия жидких │
п. 1.5 │ │ │ │ │
агрессивных сред│Табл. 7 │ │ │ │ │
────────────────┼────────┤ │ │ │ │
5.5.1. Бензина │Табл. 6 │ │ │ │ │
────────────────┼────────┤ │ │ │ │
5.5.2. Смеси │Табл. 6 │ │ │ │ │
спиритом │ │ │ │ │ │
────────────────┼────────┤ │ │ │ │
5.5.3. Ксилола │Табл. 7 │ │ │ │ │
────────────────┼────────┤ │ │ │ │
5.5.4. Воды │Табл. 6 │ │ │ │ │
│Табл. 7 │ │ │ │ │
5.5.5. Транс- │Табл. 6 │ │ │ │ │
масла │ │ │ │ │ │
────────────────┼────────┼──────┤ │ │ │
5.6. После │Табл. 6 │
4.8.5 │ │ │ │
пребывания в ус-│
п. 1.6 │ │ │ │ │
ловиях влажности│Табл. 8 │ │ │ │ │
5.7. Под │Табл. 6 │ │ │ │ │
воздействием │
п. 1.7 │ │ │ │ │
│ п. 1.5 │ │ │ │ │
│Табл. 9 │ │ │ │ │
────────────────┼────────┼──────┤ ├────────┤ │
5.8. После │Табл. 6 │
4.8.7 │ │ 9 │ │
────────────────┼────────┼──────┤ ├────────┼──────┼──────────
6. Сопротивле- │ Табл.6 │
4.9 │ │ 3 │225 - │Периоди-
ние изоляции │
п. 3 │ │ │ │ 350│ческие
(удельное │ Табл.7 │ │ │ │225 - │для типа
объемное │
п. 4 │ │ │ │ 350│110 -
электрическое │ Табл. │ │ │ │(250) │приемо-
сопротивление) │
8,
9 │ │ │ │ │сдаточные
│ п. 2 │ │ │ │ │
────────────────┼────────┼──────┼──────┼────────┼──────┼──────────
7. Разрушающее │Табл. 7 │
4.10 │2,5 м │ 9 │ 250 │Периоди-
напряжение при │
пп. 2,
3│ │ │ │ │ческие;
растяжении и │ Табл. │ │ │ │ │для типа
относительное │
8,
9 │ │ │ │ │308 -
удлинение при │пп. 3, 4│ │ │ │ │приемо-
разрыве │ │ │ │ │ │сдаточные
────────────────┼────────┼──────┼──────┼────────┼──────┼──────────
8. Масса 1 м │- │
4.4 │ - │ 3 │ 1000 │Типовые
трубки │ │ │ │ │ │
--------------------------------
<*> В стандартах или технических условиях на трубки конкретных марок допускается устанавливать другой объем выборки, размер и количество образцов.
<**> Испытание проводят на образцах одной выборки.
3.2. Трубки принимают партиями. За партию принимают трубки одной марки, одного диаметра в количестве не более 100 км или 2000 кг, изготовленные из одной партии материала и оформленные одним документом о качестве, содержащим:
наименование или товарный знак предприятия-изготовителя;
условное обозначение трубки;
общую длину в метрах или массу в килограммах;
номер партии;
дату изготовления;
штамп технического контроля или личное клеймо рабочего;
изображение государственного Знака качества.
3.3. Приемосдаточным испытаниям подвергают каждую партию трубок по показателям, установленным в настоящем стандарте, в стандартах или технических условиях на трубки конкретных марок.
3.4. Периодические испытания проводят не реже одного раза в 6 месяцев на трубках, прошедших приемосдаточные испытания.
3.5. При получении неудовлетворительных результатов приемосдаточных и периодических испытаний, хотя бы по одному из показателей, проводят повторные испытания на удвоенной выборке трубок, взятых от других мест той же партии, по тем показателям, по которым получены неудовлетворительные результаты.
Результаты повторных испытаний распространяются на всю партию.
При получении неудовлетворительных результатов повторных периодических испытаний отгрузка трубок потребителю должна быть прекращена до выявления и устранения причин несоответствия требованиям настоящего стандарта, а также требованиям стандартов или технических условий на трубки конкретных марок и получения удовлетворительных результатов новых испытаний.
Протокол периодических испытаний высылают потребителю по требованию.
3.6. Типовые испытания должны быть проведены на соответствие требованиям настоящего стандарта, стандартов или технических условий на трубки конкретных марок после освоения их производства, при изменении технологического процесса изготовления трубок, а также при замене исходных материалов. Объем выборки типовых испытаний устанавливают в соответствии с требованиями к приемосдаточным и периодическим испытаниям.
Протоколы типовых испытаний высылают потребителю по требованию.
3.7. Потребитель при контроле качества поступивших к нему трубок на соответствие требованиям настоящего стандарта, стандартов или технических условий на трубки конкретных марок проводит испытания по программе приемосдаточных, периодических испытаний, указанных в
табл. 10 и в стандартах или технических условиях на трубки конкретных марок. При этом за партию принимают трубки, полученные по одному сопроводительному документу.
Допускается проводить испытания не по всем показателям, указанным в
табл. 10.
4.1. Перед испытанием образцы трубок нормализуют не менее 6 ч в условиях комнатной среды по
ГОСТ 6433.1-71.
Продолжительность и условия кондиционирования по
ГОСТ 6433.1-71 и должны быть указаны в стандартах и технических условиях на трубки конкретных марок.
4.2. Испытание образцов после нормализации и кондиционирования проводят в условиях комнатной среды, если в стандартах или технических условиях на трубки конкретных марок не указаны другие условия.
За результат испытаний принимают центральное значение измеряемых величин. Для определения центрального значения величин измерения, их надо расположить в порядке возрастания. Значение, находящееся в середине упорядоченной последовательности нечетного количества измерений, принимают за центральное.
Максимальное и минимальное значения при необходимости указывают в стандартах или технических условиях на трубки конкретных марок.
4.3. Образцы для испытаний отбирают из трех любых бухт или пачек партии.
Количество и длина образцов для испытаний приведены в
табл. 10 или должны указываться в стандартах или технических условиях на трубки конкретных марок.
Предельные отклонения длины образцов +/- 10 мм.
4.4. Определение длины трубок (
п. 1.2) в бухтах проводят средствами измерений с погрешностью +/- 0,1%, длины каждой трубки в пачке - с погрешностью +/- 5 мм.
Массу трубок в бухтах (
п. 1.2) и среднюю массу трубки длиной (1000 +/- 1,0) мм определяют на весах любого типа, обеспечивающих погрешность измерения +/- 0,5% и +/- 0,01 г соответственно.
4.5. Проверку внутреннего диаметра трубки (
п. 1.3) производят измерительным стержнем с двумя стальными цилиндрическими вставками, из которых одна имеет максимальный диаметр, равный внутреннему диаметру трубки с плюсовым допуском, а другая - минимальный, с минусовым допуском (черт. 1).
Измерительный стержень
1 - мерный конец; 2 - ручка; 3 - место маркировки
Черт. 1
Для трубок с внутренним диаметром свыше 10,5 мм допускается применение измерительных стержней ступенчатой цилиндрической формы (черт. 2).
Измерительный стержень
ступенчатой цилиндрической формы
Черт. 2
Интервал между значениями диаметров двух соседних ступеней в зависимости от внутреннего диаметра трубок указан в табл. 11.
Таблица 11
мм
────────────────────────────────┬─────────────────────────────────
Внутренний диаметр трубки │ Интервал между значениями двух
│ соседних ступеней (d - d )
│ 2 1
────────────────────────────────┼─────────────────────────────────
Св. 10,5 до 21,0 │ 0,1
" 21,0 " 42,0 │ 0,2
" 42,0 " 75,0 │ 0,5
При определении внутреннего диаметра трубки мерный конец вставки или стержня должен входить всей длиной в ее полость, не вызывая расширение.
4.6. Толщину стенки трубки

(
п. 1.3) определяют с погрешностью +/- 0,01 мм одним из приведенных ниже методов:
| | ИС МЕГАНОРМ: примечание. Взамен ГОСТ 6507-78 Постановлением Госстандарта СССР от 25.01.1990 N 86 с 1 января 1991 года введен в действие ГОСТ 6507-90. | |
| | ИС МЕГАНОРМ: примечание. Взамен ГОСТ 11358-74 Постановлением Госстандарта СССР от 24.01.1989 N 108 с 1 января 1990 года введен в действие ГОСТ 11358-89. | |
1) в полость образца трубки вставляют металлический стержень диаметром (

), равным внутреннему диаметру трубки, и микрометром типа МК по ГОСТ 6507-78 или толщиномером типа ТН по ГОСТ 11358-74 измеряют наружный диаметр (

). Давление мерной пяты при измерении должно быть таким, чтобы только обеспечивалось контактирование стенок трубки со вставленным стержнем.
Толщину стенки трубки (

) в миллиметрах вычисляют по формуле

;
2) из образца трубки вырезают продольную полоску шириной 1 - 2 мм. Измерение толщины производят средствами измерений, указанными в методе 1.
| | ИС МЕГАНОРМ: примечание. Взамен ГОСТ 11951-82 Постановлением Госстандарта СССР от 24.01.1989 N 108 с 1 января 1990 года введен в действие ГОСТ 11358-89. | |
Для измерения толщины стенки допускается применение стенкомера типа С-2 по ГОСТ 11951-82 или других средств измерения, обеспечивающих указанную точность измерения.
Метод 2 является предпочтительным для трубок с внутренним диаметром свыше 2,0 мм.
4.7. Внешний вид трубки (
п. 2.1.2), ее цвет (
п. 2.1.3) и слипаемость наружных поверхностей (
п. 2.1.2) проверяют визуально без размотки бухт.
Для определения слипаемости трубок разъединяют две соседние трубки пачки или бухты в месте их наибольшего соприкасания или перегиба и проверяют на отсутствие отслоений и шероховатостей на контактируемых поверхностях трубок.
Внутреннюю поверхность трубки (
п. 2.1.2) проверяют на концах бухт или пачек металлическим стержнем, диаметр которого составляет 80 - 90% диаметра проверяемой трубки, причем стержень должен входить в полость трубки на длину 100 мм свободно, без препятствий.
4.8. Проверку трубок на электрическую прочность, пробивное и испытательное напряжение (п. 1.1
табл. 6 -
9) проводят по
ГОСТ 6433.3-71 при напряжении переменного тока частоты 50 Гц.
Термоусаживаемые трубки перед испытанием необходимо усаживать. Способы и режимы усадки указывают в стандартах или технических условиях на трубки конкретных марок.
Для определения электрической прочности трубок перед испытанием производят измерение толщины стенки испытуемого образца с точностью 0,01 мм в соответствии с
п. 4.6 настоящего стандарта. Электрическую прочность трубок вычисляют с точностью до 0,1

/ мм.
В качестве внутреннего электрода для прямых образцов принимают металлические стержни длиной на 25 - 30 мм больше длины испытуемого образца. Диаметр стержней выбирают таким образом, чтобы трубки плотно прилегали к стержню. При плотной посадке растягивание трубки не допускается.
Для изогнутых U-образных образцов внутренними электродами являются пучки металлической проволоки, диаметры которых должны обеспечивать плотный контакт с внутренней поверхностью образца. Заполненные образцы трубок изгибают на угол

рад вокруг стержня диаметром, равным пятикратному внутреннему диаметру трубки, если в стандартах или технических условиях на трубки конкретных марок не указан другой размер.
В качестве внешнего электрода принимают полоску металлической фольги толщиной не более 0,025 мм и шириной 25 мм, которая должна плотно наматываться на трубку. Для изогнутых образцов в качестве внешнего электрода допускается применять воду, при этом образец погружают в воду на 3 - 5 см изогнутой частью.
Не допускается применять воду в качестве внешнего электрода для трубок, свойства которых изменяются при воздействии воды.
Определение электрических свойств трубок производят при плавном подъеме напряжения. Скорость подъема напряжения - 500 В/с или скорость, обеспечивающая подъем напряжения до заданного значения или до пробоя в течение 10 - 20 с.
4.8.1. Для проверки электрических свойств трубок после перегибов (
п. 1.2 табл. 6) и эластичности (
п. 2 табл. 6) образцы изгибают в тисках или любом приспособлении, имеющем зажимы с закругленными кромками по радиусу (4 +/- 0,5) мм.
Испытуемый образец закрепляют в зажимах таким образом, чтобы над тисками или приспособлением оставался свободный конец длиной не менее 75 мм, который изгибают на угол

/2 рад в плоскости, перпендикулярной линии взаимного касания губок тисков (зажимов приспособления).
За один перегиб принимают перегиб образца на угол

/2 рад в одну из сторон и обратно.
Для испытания трубок диаметром более 7,0 мм в полость образца предварительно вставляют отрезок другой трубки любой марки, но с наружным диаметром, равным 0,6 - 0,7 внутреннего диаметра испытуемого образца, закрепляют образец в тисках или в приспособлении и изгибают.
После контрольного числа перегибов образец трубки освобождают из тисков и подвергают внешнему осмотру при помощи лупы 4-кратного увеличения на отсутствие трещин и отслоений лакового слоя в месте перегиба. Обнаруженные на поверхности образца дефекты должны регистрироваться.
Если образцы удовлетворяют требованиям к эластичности, то их испытывают на определение пробивного (испытательного) напряжения или электрической прочности.
4.8.2. Для проверки электрических свойств трубок после воздействия повышенных температур (
п. 1.3 табл. 6; п. 1.2
табл. 7,
8,
9) образцы выдерживают в термостатах, обеспечивающих поддержание температурного режима в рабочем объеме камеры с погрешностью +/- 2 °C для температур до 180 °C, +/- 3 °C - для температур 200 - 250 °C и +/- 5 °C - для температур свыше 250 °C.
Образцы трубок помещают в термостат таким образом, чтобы они не соприкасались между собой и со стенками камеры.
После удаления образцов из термостата их выдерживают не менее 15 мин в условиях комнатной среды и испытывают на определение электрической прочности или пробивного (испытательного) напряжения по
п. 4.8.
Вид подготовки образцов (прямые или в изогнутом состоянии), значение испытательных температур и время выдержки устанавливают в стандартах или технических условиях на трубки конкретных марок.
4.8.3. Для проверки электрических свойств трубок после воздействия пониженных температур (
п. 1.4 табл. 6; п. 1.3
табл. 7,
8,
9) образцы выдерживают в холодильной камере, обеспечивающей понижение температуры до минус 60 °C и поддержание температурного режима в рабочем объеме камеры с погрешностью +/- 2 °C.
Образцы помещают в камере таким образом, чтобы они не соприкасались между собой и со стенками камеры.
После удаления образцов из камеры их выдерживают не менее 15 мин в условиях комнатной среды и испытывают на определение электрической прочности или пробивного (испытательного) напряжения, если в стандартах или технических условиях на трубки конкретных марок не указаны другие способы проверки.
Вид подготовки образцов, значения испытательных температур и время выдержки устанавливают в стандартах или технических условиях на трубки конкретных марок.
4.8.4. Для проверки электрических свойств трубок после воздействия жидких агрессивных сред (
п. 1.5 табл. 6;
п. 1.4 табл. 7) образцы погружают в сосуд с жидкостью таким образом, чтобы агрессивная среда не попадала вовнутрь трубки. Материал сосуда не должен взаимодействовать с жидкостью в условиях испытаний. После кондиционирования образцы извлекают из сосуда и после дальнейшей выдержки в условиях комнатной среды не менее 15 мин, образцы протирают фильтровальной бумагой по
ГОСТ 12026-76 и испытывают на определение электрической прочности или пробивного (испытательного) напряжения.
Температурные условия и продолжительность кондиционирования устанавливают в стандартах или технических условиях на трубки конкретных марок.
В случае определения электрических свойств трубок после воздействия других агрессивных сред в стандартах или технических условиях на трубки конкретных марок указывают состав среды, продолжительность кондиционирования и температурные условия.
4.8.5. Для проверки электрических свойств трубок после пребывания в условиях влажности по
ГОСТ 10315-75 (
п. 1.6 табл. 6;
п. 1.4 табл. 8) образцы выдерживают в камере влаги при температуре (23 +/- 2) °C и относительной влажности (95 +/- 2)% в течение (24 +/- 1) ч, если в стандартах или технических условиях на трубки конкретных марок не предусмотрены другие условия.
По истечении установленного времени, образцы удаляют из камеры, протирают фильтровальной бумагой по
ГОСТ 12026-76 и испытывают на определение электрической прочности или пробивного (испытательного) напряжения.
4.8.6. Испытательное (пробивное) напряжение трубок под воздействием продавливающей нагрузки (
п. 1.7 табл. 6; п. 1.5
табл. 7,
8;
п. 1.4 табл. 9) определяют на образцах, в которые предварительно вставляют металлические стержни - электроды диаметрами, равными внутренним диаметрам испытываемых образцов и длиной на 25 - 30 мм больше их длины. На несгораемую изолирующую пластину (например, асбоцемент) укладывают два параллельно расположенных образца с расстоянием между стенками трубок в свету (50 +/- 5) мм. На них аналогично укладывают крест-накрест под прямым углом два других образца, которые также накрывают изоляционной пластиной.
Пластины нагружают грузом и выдерживают (15 +/- 1) мин. Затем, не снимая груза, к двум электродам одного из четырех перекрестий образцов трубок (к верхнему и нижнему) подводят испытательное напряжение в течение одной минуты или поднимают напряжение до пробоя.
Масса груза с изоляционной пластиной, условия и режимы кондиционирования под воздействием продавливающей нагрузки, нормы испытательного напряжения устанавливают в стандартах или технических условиях на трубки конкретных марок.
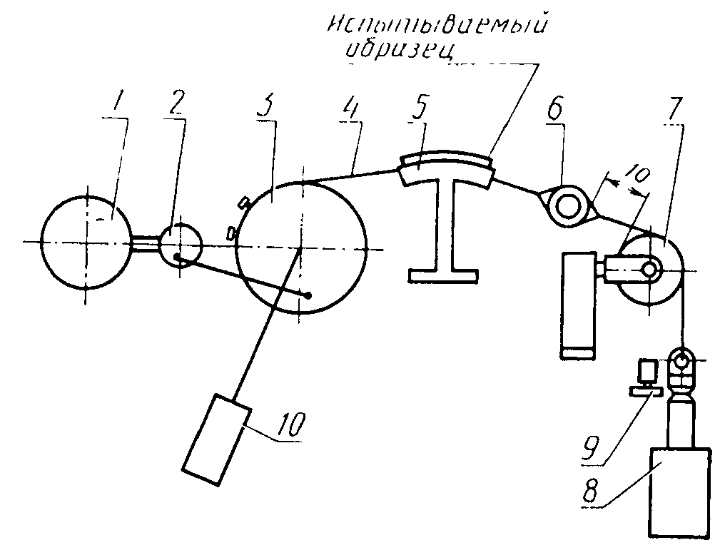
4.8.7. Для проверки электрических свойств трубок после истирания (
п. 1.8 табл. 6) образцы трубок подвергают воздействию истирающего провода при помощи устройства, принципиальная схема которого изображена на черт. 3.
1 - электродвигатель; 2 - кривошипный механизм; 3 - диск;
4 - провод; 5 - опорная подушка стола; 6 - переходник;
7 - блок; 8 - груз; 9 - фиксатор; 10 - счетчик
Черт. 3
Испытуемый образец надевают на истирающий провод 4 и закрепляют на опорной подушке стола 5. Один конец провода закрепляют на диске 3, к другому концу провода прикрепляют груз 8, обеспечивающий нагрузку на образец (19,6 +/- 1,96) Н, (2,0 +/- 0,2) кгс.
В качестве истирающего провода применяют провод марки ПСД по ГОСТ 7019-80 диаметром, указанным в табл. 12, если в стандартах или технических условиях на трубки конкретных марок не предусмотрены другие марки и размеры.
Таблица 12
мм
────────────────────────────────┬─────────────────────────────────
Внутренний диаметр трубки │ Диаметр истирающего провода
────────────────────────────────┼─────────────────────────────────
1,5 до 2,5 │ 0,65
Св. 2,5 " 5,0 │ 1,05
" 5,0 " 10,0 │ 1,54
Истирающий провод заменяют после разрушения его стекловолокнистой изоляции.
Частота движения истирающего провода должна быть равна (25 +/- 1) цикл/мин (возвратно-поступательных движений с длиной хода в каждую из сторон по (85 +/- 1) мм). Количество циклов фиксируется счетчиком 10. Число циклов истирания устанавливается в стандартах или технических условиях на трубки конкретных марок.
После выполнения необходимого количества циклов истираний образец снимают с опорной подушки и испытывают на определение пробивного (испытательного) напряжения.
4.9. Определение сопротивления изоляции и удельного объемного электрического сопротивления трубок (
п. 3 табл. 6; п. 2
табл. 8,
9;
п. 4 табл. 7) проводят в соответствии с
ГОСТ 6433.2-71 при плавном подъеме напряжения. Скорость подъема напряжения в соответствии с
п. 4.8.
В качестве испытательного напряжения применяют постоянное напряжение, величина которого выбирается из ряда значений, рекомендованных
ГОСТ 6433.2-71.
В качестве внутреннего электрода применяют металлические стержни, размеры которых должны обеспечивать хороший электрический контакт по всей поверхности соприкосновения с образцом.
В качестве внешнего электрода применяют алюминиевую фольгу по
ГОСТ 618-73 толщиной не более 0,025 мм. Допускается применять токопроводящую серебряную или металлическую краску.
Внутренний диаметр испытываемых образцов измеряют в соответствии с
п. 4.5, толщину стенки -
п. 4.6 настоящего стандарта. Измерение толщины стенки производят с погрешностью +/- 0,01 мм.
4.10. Разрушающее напряжение при растяжении и относительное удлинение при разрыве (
пп. 2,
3 табл. 7; пп. 3, 4
табл. 8,
9) определяют на разрывных машинах, обеспечивающих измерение нагрузки с погрешностью не более 1% от измеряемой величины и постоянную скорость раздвижения зажимов в пределах требований стандартов или технических условий на трубки конкретных марок.
Трубки диаметром до 10 мм испытывают на образцах трубчатой формы при расстоянии между зажимами машины (50 +/- 2) мм. Испытания трубок диаметром свыше 10 мм проводят на образцах в форме двусторонних лопаток типа 3 по
ГОСТ 270-75, если в стандартах или технических условиях на трубки конкретных марок не указаны другие условия. Образцы в форме двусторонних лопаток вырубают ножом по
ГОСТ 270-75 в направлении продольной оси трубки. Толщина образца соответствует толщине стенки трубки.
Образец закрепляют в зажимах испытательной машины таким образом, чтобы продольные оси зажимов и ось образца совпадали между собой и с направлением движения подвижного зажима. Конструкция зажимов машины должна исключать скольжение и механическое повреждение образца.
При испытании измеряют нагрузку и удлинение образца в момент разрыва. Образцы, которые в процессе испытания разрушаются в зажимах машины, в расчет не принимают.
Разрушающее напряжение при растяжении в МПа (кгс/см2) вычисляют по формулам:
для образцов трубчатой формы

;
для образцов в форме лопаток

,
где

- нагрузка, при которой образец разрушился, Н;
h - толщина стенки трубки, мм;
d - внутренний диаметр трубки, мм;
b - ширина рабочей части образца в форме лопатки, мм.
Относительное удлинение при разрыве (

) в процентах вычисляют по формуле

,
где

- изменение расчетной длины образца в момент разрыва, мм;

- начальная расчетная длина образца, мм.
Скорость раздвижения зажимов испытательной машины и расстояние между зажимами должны быть указаны в стандартах или технических условиях на трубки конкретных марок.
5. ТРАНСПОРТИРОВАНИЕ И ХРАНЕНИЕ
5.1. Транспортирование
5.1.1. Условия транспортирования в части воздействия механических факторов Л или С в зависимости от воздействия механических факторов - по
ГОСТ 23216-78, в части воздействия климатических факторов 3 (ЖЗ), 5 (ОЖ4) - по
ГОСТ 15150-69.
5.1.2. Трубки транспортируют любым видом транспорта в крытых транспортных средствах в соответствии с действующим на каждом виде транспорта правилами перевозки грузов, утвержденными в установленном порядке.
При транспортировании трубок железнодорожным транспортом отправка трубок может быть повагонная, мелкая или в контейнерах.
5.2. Хранение
Трубки должны храниться на складах в сухих закрытых помещениях при температуре окружающего воздуха от минус 10 до 35 °C и относительной влажности воздуха не более 75% на расстоянии не менее 1 м от отопительных и нагревательных приборов на стеллажах слоями, высота которых должна устанавливаться в стандартах или технических условиях на трубки конкретных марок.
При хранении трубок не допускается воздействие прямых солнечных лучей, а также паров кислот, щелочей и других агрессивных сред.
6. УКАЗАНИЯ ПО ЭКСПЛУАТАЦИИ
6.1. Трубки эксплуатируются в изделиях, предназначенных для внутрисоюзных поставок.
6.2. Трубки в составе изделий пропитывают лаками, компаундами или составами по нормативно-технической документации, утвержденной в установленном порядке.
6.3. Указания по эксплуатации, при необходимости, должны быть приведены в стандартах или технических условиях на трубки конкретных марок.
7.1. Изготовитель гарантирует соответствие трубок требованиям настоящего стандарта при соблюдении условий транспортирования, хранения и эксплуатации.
Гарантийный срок хранения трубок должен быть установлен в стандартах или технических условиях на трубки конкретных марок продолжительностью не менее 6 месяцев.
Обязательное
СООТВЕТСТВИЕ ТИПОВ ТРУБОК ПО НАСТОЯЩЕМУ СТАНДАРТУ,
МАРКАМ ПО ДЕЙСТВУЮЩИМ СТАНДАРТАМ
И ТЕХНИЧЕСКИМ УСЛОВИЯМ И КОДЫ ОКП ТРУБОК
─────────────┬──────────────────────────────────────┬─────────────
Тип трубок │ Марка по действующим стандартам │ Код ОКП
по настоящему│ и техническим условиям │
стандарту │ │
─────────────┼──────────────────────────────────────┼─────────────
110 │ТЛВ │34 9141 0100
│ТЛМ по ГОСТ 9614-75 │34 9141 0200
120 │ТЛНК по ТУ 16-503.176-78 │34 9142 0200
131 │ТЭС по ГОСТ 10699-80 │34 9143 0500
│ТСП по ТУ 16-503.173-78 │34 9143 0800
132 │ТПС по ТУ 16-503.189-79 │34 9143 0600
133 │ТКСП по ТУ 16-503.133-79 │34 9143 0300
│ТКСТ по ТУ 16-503.206-80 │34 9144 0600
134 │ТКС по ГОСТ 10699-80 │34 9143 0100
203 │ТКР по ТУ 16-503.031-80 │34 9144 0100
│ТРТ по ТУ 16-503.205-80 │34 9144 0700
│ТР-ХМ по ТУ 16-503.252-84 │34 9144 1100
│ТВ-40А, ТВ-50-14, ТВ-60 │22 4724 0000
306 │ТФМП по ТУ 16-503.232-83 │22 9295 0900
307 │ТЭ-С по ТУ 16-503.229-82 │34 9145 3000
│ТЭ-Т по ТУ 16-503.229-82 │34 9145 4000
403 │ТУР-ХМ по ТУ 16-503.252-84 │34 9144 1000
407 │ТТЭ-С по ТУ 16-503.229-82 │34 9145 1000
│ТТЭ-Т по ТУ 16-503.229-82 │34 9145 2000