Главная // Актуальные документы // ГОСТ (Государственный стандарт)СПРАВКА
Источник публикации
М.: Издательство стандартов, 1993
Примечание к документу
С 1 июля 2003 года до вступления в силу технических регламентов акты федеральных органов исполнительной власти в сфере технического регулирования носят рекомендательный характер и подлежат обязательному исполнению только в части, соответствующей целям, указанным в
пункте 1 статьи 46 Федерального закона от 27.12.2002 N 184-ФЗ.
Ограничение срока действия снято по Протоколу N 7-95 Межгосударственного совета по стандартизации, метрологии и сертификации ("ИУС", N 11, 1995).
Введен в действие с 1 января 1978 года.
Взамен ГОСТ 5.581-70.
Название документа
"ГОСТ 22345-77. Государственный стандарт Союза ССР. Клей ВС-10Т теплостойкий. Технические условия"
(утв. и введен в действие Постановлением Госстандарта СССР от 03.02.1977 N 280)
(ред. от 01.06.1989)
"ГОСТ 22345-77. Государственный стандарт Союза ССР. Клей ВС-10Т теплостойкий. Технические условия"
(утв. и введен в действие Постановлением Госстандарта СССР от 03.02.1977 N 280)
(ред. от 01.06.1989)
Утвержден и введен в действие
Постановлением Госстандарта СССР
от 3 февраля 1977 г. N 280
ГОСУДАРСТВЕННЫЙ СТАНДАРТ СОЮЗА ССР
КЛЕЙ ВС-10Т ТЕПЛОСТОЙКИЙ
ТЕХНИЧЕСКИЕ УСЛОВИЯ
Heat-resistant adhesive ВС-10Т. Specifications
ГОСТ 22345-77
Е
| | Список изменяющих документов (в ред. Изменения N 1, утв. в январе 1983 г., Изменения N 2, утв. в декабре 1985 г., Изменения N 3, утв. в июне 1989 г.) | |
ОКП 22 5213 0100
Срок действия
с 1 января 1978 года
до 1 января 1998 года
1. Разработан и внесен Министерством химической промышленности СССР.
Разработчики: И.А. Крахмалец, Б.В. Перов, Б.С. Глебычев.
2. Утвержден и введен в действие Постановлением Государственного комитета СССР по стандартам от 03.02.1977 N 280.
3. Проверен в 1989 г. Периодичность проверки - 5 лет.
4. Взамен ГОСТ 5.581-70.
5. Ссылочные нормативно-технические документы
───────────────────────────────────────┬──────────────────────────
Обозначение НТД, на который дана ссылка│ Номер пункта, приложения
───────────────────────────────────────┼──────────────────────────
ИС МЕГАНОРМ: примечание.
25.03.1998 N 82 с 1 января 1992 года введен в действие
6. Срок действия продлен до 01.01.1998 Постановлением Госстандарта СССР от 02.06.1989 N 1410.
7. Переиздание (октябрь 1992 г.) с Изменениями N 1, 2, 3, утвержденными в январе 1983 г., декабре 1985 г., июне 1989 г. (ИУС N 5-83, 4-86, 8-89).
Настоящий стандарт распространяется на теплостойкий клей ВС-10Т, представляющий собой раствор поливинилформальэтилалевой смолы и фенолоформальдегидной смолы новолачного типа в органических растворителях (спирт этиловый и этилацетат) с добавкой тетраэтоксилана уротропина и хинолина и устанавливает требования к клею, изготовляемому для нужд народного хозяйства и поставки на экспорт.
Теплостойкий клей ВС-10Т предназначается для склеивания деталей из различных материалов (стали, дюралюминия, теплостойких пенопластов, стеклотекстолита и сотоматериалов, изготовленных на основе стеклоткани, пропитанной фенолоформальдегидной смолой) между собой и в сочетании друг с другом в конструкциях, работающих без снижения прочности клеевого шва при 200 °C в течение 200 ч и при 300 °C - 5 ч с учетом термостойкости склеиваемых материалов.
(Измененная редакция, Изм. N 1, 2, 3).
1. ТЕХНИЧЕСКИЕ ТРЕБОВАНИЯ
1.1. Клей ВС-10Т должен быть изготовлен в соответствии с требованиями настоящего стандарта по технологическому регламенту, утвержденному в установленном порядке.
1.2. По физико-химическим показателям клей ВС-10Т должен соответствовать требованиям и нормам, указанным в табл. 1.
Таблица 1
────────────────────────────────┬─────────────────────┬────────────────────
Наименование показателя │ Норма │ Метод испытания
────────────────────────────────┼─────────────────────┼────────────────────
1. Внешний вид │Однородная прозрачная│По
п. 3.2
│жидкость от светлого │
│до темно-коричневого │
│цвета │
по вискозиметру ВЗ-1 с соплом │ 50 - 80 │
диаметром 5,4 мм │ │
по вискозиметру ВЗ-246 │ 35 - 70 │
с соплом диаметром 6,0 мм │ │
3. Массовая доля сухого │ 20 - 26 │По
п. 3.4
остатка, % │ │
4. Предел прочности при сдвиге │ │
по клеевому соединению стали │ │
30ХГСА, Па (кгс/см2), не менее │ │
│ 5 │
при 200 °C │ 73 x 10 (75) │стандарта
│ 5 │
при 300 °C │ 44 x 10 (45) │
Примечания. 1. Норма по показателю "Условная вязкость по вискозиметру ВЗ-246" является факультативной до 01.07.1990.
2. Срок действия нормы по показателю "Условная вязкость по вискозиметру ВЗ-1" ограничен до 01.01.1993.
(Измененная редакция, Изм. N 2, 3).
1.3. Клей ВС-10Т перед употреблением перемешивают. При транспортировании при низких температурах клей выдерживают при комнатной температуре до получения прозрачного однородного раствора.
2.1. Клей ВС-10Т принимают партиями. За партию принимают количество клея, полученного с одной технологической операции, однородного по своим качественным показателям и сопровождаемого одним документом о качестве, содержащим:
наименование и товарный знак предприятия-изготовителя;
наименование продукта;
номер партии;
массу нетто;
дату изготовления;
результаты проведенных испытаний или подтверждение о соответствии качества клея ВС-10Т требованиям настоящего стандарта;
обозначение настоящего стандарта.
(Измененная редакция, Изм. N 2).
2.2.1. Для проверки соответствия клея требованиям настоящего стандарта проводят приемо-сдаточные, периодические и типовые испытания.
2.2.2. Приемо-сдаточные испытания проводят на каждой партии клея на соответствие требованиям, указанным в
п. 1.2 (
п. 4 только при 200 °C).
2.2.3. Определение прочности при сдвиге при 20 и 300 °C изготовитель проводит периодически не реже одного раза в месяц.
При неудовлетворительном результате испытание проводят на каждой партии до получения удовлетворительного результата на трех партиях.
2.2.4. Типовые испытания проводят на соответствие требованиям
п. 1.2 при изменении технологического процесса или замене применяемого сырья.
(Измененная редакция, Изм. N 1).
2.3. При неудовлетворительных результатах испытаний хотя бы по одному из показателей по нему проводят повторные испытания на удвоенной выборке.
Результаты повторных испытаний распространяются на всю партию.
3.1. Пробу отбирают по
ГОСТ 9980.2-86. Масса средней пробы не менее 1 кг.
3.2. Внешний вид клея определяют, наливая его в пробирку диаметром 14 - 21 мм из прозрачного бесцветного стекла
(ГОСТ 25336-82), просматривая невооруженным глазом в проходящем свете.
3.3. (Исключен, Изм. N 3).
3.4. Определение массовой доли сухого остатка
3.4.1. Аппаратура и посуда
Шкаф сушильный, обеспечивающий температуру (110 +/- 2) °C.
3.4.2. Проведение испытания
4 - 5 г клея взвешивают в бюксе с погрешностью не более 0,0002 г, сушат в сушильном шкафу при (110 +/- 2) °C до постоянной массы, охлаждают до (20 +/- 2) °C в эксикаторе с хлористым кальцием или силикагелем и взвешивают с той же погрешностью.
3.4.3. Обработка результатов
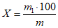
Массовую долю сухого остатка (X) в процентах вычисляют по формуле

,
где m - масса клея до сушки, г;

- масса клея после сушки, г.
За результат испытания принимают среднее арифметическое двух определений, допускаемое расхождение между которыми не должно превышать 0,5%.
3.5. Определение предела прочности при сдвиге по клеевому соединению стали 30ХГСА
3.5.1. Аппаратура, приборы и реактивы
Шкаф сушильный, обеспечивающий температуру (200 +/- 5) °C.
Термометр по
ГОСТ 28498-90, с ценой деления не более 2 °C или термопара.
Нефрас - по нормативно-технической документации.
(Измененная редакция, Изм. N 3).
3.5.2. Подготовка к испытанию
Поверхность образцов, подлежащих склеиванию, зачищают до шероховатости, затем обезжиривают бензином или ацетоном тампоном из ваты или марли.
Время между зачисткой поверхности образцов и склейкой не должно превышать 6 ч. После промывки растворителем склеиваемые образцы выдерживают при комнатной температуре в течение 10 - 15 мин для полного удаления растворителя.
Клей наносят на обе склеиваемые поверхности движением кисти в одну сторону во избежание вспенивания и образования пузырьков воздуха или опусканием образца в клей. Образец после опускания в клей выдерживают в вертикальном положении около 30 с. При нанесении клея необходимо следить, чтобы все склеиваемые поверхности были покрыты равномерным слоем клея. Клеевые потеки на торцах клеевого шва должны быть зачищены до испытаний перед помещением образцов в сушильный шкаф для бакелизации.
После нанесения первого слоя клей ВС-10Т выдерживают в течение 1 ч при комнатной температуре. Затем наносят второй слой клея с последующей часовой выдержкой. После этого склеиваемые поверхности соединяют и помещают в кассету рычажного пресса, который приведен в
Приложении 1.
Удельное давление должно быть

(0,8 - 5,0 кгс/см2). Давление прикладывается на образцы через шарик нажимного устройства рычагом с грузом. Допускается применять прессы других конструкций, обеспечивающих удельное давление на образцы в заданных пределах.
Требуемую нагрузку на рычаг пресса (P) в Н вычисляют по формуле

,
где p - заданное удельное давление, Па;
F - площадь склеивания, см2;
l - длина малого плеча рычага пресса, см;

- длина большого плеча рычага пресса, см.
Пресс с образцами помещают в сушильный шкаф, нагретый до 180 +/- 5 °C, и выдерживают в течение 2 ч, считая с момента достижения образцами указанной температуры, проверяемой с помощью термопары или термометра, помещенных вблизи клеевого соединения. По окончании выдержки при указанной температуре обогрев выключают и образцы охлаждают, не вынимая их из шкафа, при незначительно открытой дверце до достижения комнатной температуры.
Выдержка образцов до испытания должна быть не менее 16 ч после снятия давления.
3.5.3. Проведение испытания
Предел прочности при сдвиге по клеевому соединению определяют по
ГОСТ 14759-69. Испытание образцов при 20 °C проводят после окончания выдержки. Испытание образцов при 200 и 300 °C проводят в термокамере, предварительно нагретой до необходимой температуры. Термокамера приведена в
Приложении 2. Время прогрева образцов перед испытанием 20 - 30 мин.
Для каждой температуры испытания должно быть пять образцов.
4. УПАКОВКА, МАРКИРОВКА, ТРАНСПОРТИРОВАНИЕ И ХРАНЕНИЕ
Клей, предназначенный для экспорта, упаковывают в оцинкованные фляги по
ГОСТ 5799-78 и алюминиевые фляги по ГОСТ 5037-78.
Бутыли закрывают герметично пробками. Горло бутылей с пробками обматывают плотной бумагой или тканью и обвязывают шпагатом. Бутыли помещают в деревянные обрешетки или корзины, выложенные внутри соломой или стружкой.
(Измененная редакция, Изм. N 1, 2, 3).
4.2. Транспортную тару маркируют с указанием:
а) наименования и товарного знака предприятия;
б) наименования продукта;
в) номера партии;
г) даты изготовления;
д) массы брутто и нетто;
е) (Исключен, Изм. N 3);
ж) обозначения настоящего стандарта.
Допускается четкое и разборчивое нанесение переменных данных от руки.
При поставке клея ВС-10Т на экспорт маркировка производится в соответствии с заказом-нарядом внешнеторгового объединения.
(Измененная редакция, Изм. N 1, 3).
4.2а. Транспортная маркировка - по
ГОСТ 14192-77 с нанесением манипуляционного знака "Боится нагрева" и знака опасности для класса 3 (подкласс 3.2) по
черт. 3 ГОСТ 19433-88 без указания классификационного шифра группы опасных грузов.
(Введен дополнительно, Изм. N 3).
4.3. (Исключен, Изм. N 2).
4.4. Клей ВС-10Т транспортируют любым видом транспорта в крытых транспортных средствах в соответствии с правилами перевозки грузов, действующими на транспорте данного вида.
Транспортирование клея ВС-10Т транспортными пакетами - по правилам перевозки грузов, утвержденным соответствующими ведомствами, формирование груза в транспортные пакеты - по
ГОСТ 24597-81, средства скрепления - по нормативно-технической документации.
(Измененная редакция, Изм. N 2, 3).
4.5. Клей ВС-10Т хранят в плотно закрытой таре в крытых складских помещениях, безопасных в пожарном отношении, при температуре не выше 30 °C с предохранением его от воздействия солнечных лучей и влаги и удалением от действующих отопительных приборов на расстоянии не менее 1 м.
5.1. Изготовитель должен гарантировать соответствие клея ВС-10Т требованиям настоящего стандарта при соблюдении условий хранения, установленных настоящим стандартом.
5.2. Гарантийный срок хранения клея ВС-10Т - восемь месяцев со дня изготовления. По истечении гарантийного срока хранения клей ВС-10Т перед применением должен быть проверен на соответствие требованиям настоящего стандарта.
6. ТРЕБОВАНИЯ БЕЗОПАСНОСТИ
6.1. Клей ВС-10Т является пожаровзрывоопасным и токсичным веществом.
Температура вспышки клея минус 4 °C, температурные пределы взрываемости от минус 3 до плюс 30 °C. Средства тушения клея: тонкораспыленная вода, воздушно-механическая пена. Пары этилового спирта и этилацетата, при концентрациях выше предельно допустимых, обладают раздражающим действием на слизистые оболочки дыхательных путей и действуют как наркотик, кроме того могут образовывать с воздухом взрывоопасные смеси. Пары фенола и формальдегида, при концентрациях выше предельно допустимых, раздражают слизистые оболочки дыхательных путей. Пары фенола вызывают раздражение кожи. По степени опасности вредных веществ клей ВС-10Т соответствует 2-му классу опасности по
ГОСТ 12.1.007-76.
(Измененная редакция, Изм. N 1).
6.2. Предельно допустимые концентрации (ПДК) веществ, применяемых в производстве клея, их пожаровзрывоопасность приведены в табл. 2.
────────────┬────────────┬────────────────┬──────────────┬─────────────────
Наименование│ Предельно │ Температура, │ Область │ Температурные
продукта │ допустимая │ °C │воспламенения,│ пределы
│концентрация├───────┬────────┤ % │воспламеняемости,
│(ПДК), мг/м3│вспышки│самовос-│ │ °C
│ │ │пламене-│ ├────────┬────────
│ │ │ния │ │ нижний │верхний
────────────┼────────────┼───────┼────────┼──────────────┼────────┼────────
Фенол │ 0,3 │ 75 │ 595 │ 0,3 - 2,4 │ 48 │ 83
Формальдегид│ 0,5 │ - │ 430 │ 7 - 73 │ - │ -
Спирт │ 1000 │ 13 │ 365 │ 3,6 - 19,0 │ 11 │ 41
этиловый │ │ │ │ │ │
Этилацетат │ 200 │ 2 │ 400 │ 3,5 - 16,8 │ 1 │ 31
6.3. Все работы с клеем ВС-10Т должны проводиться при включенной приточно-вытяжной вентиляции и местных отсосах. Местные отсасывающие устройства должны обеспечивать концентрации вредных веществ в воздухе рабочей зоны производственных помещений, не превышающих предельно допустимых концентраций, указанных в
табл. 2.
Помещения должны соответствовать требованиям категории А, установленное оборудование должно быть выполнено во взрывоопасном исполнении класса В-1-а.
При работе с клеем применяются спецодежда и индивидуальные средства защиты в соответствии с отраслевыми нормами, утвержденными в установленном порядке.
(Измененная редакция, Изм. N 1).
Рекомендуемое
1 - плита; 2 - шпилька; 3 - стойка; 4 - ось; 5 - рычаг;
6 - скоба; 7 - ось навески; 8 - винт; 9 - груз; 10 - щека;
11 - дно; 12 - шарик; 13 - опорная пластина
Рекомендуемое
1 - термопара к терморегулирующему устройству; 2 - образец;
3 - внутренняя труба-камера; 4 - слой электрической
изоляции; 5 - электрообогрев мощностью 1,0 - 1,5 Вт;
6 - наружный кожух термостата; 7 - зажимные устройства