Главная // Актуальные документы // ГОСТ (Государственный стандарт)СПРАВКА
Источник публикации
М.: ИПК Издательство стандартов, 1998
Примечание к документу
С 01.07.2003 до вступления в силу технических регламентов акты федеральных органов исполнительной власти в сфере технического регулирования носят рекомендательный характер и подлежат обязательному исполнению только в части, соответствующей целям, указанным в
п. 1 ст. 46 Федерального закона от 27.12.2002 N 184-ФЗ.
Документ
введен в действие с 01.07.1981.
Взамен ГОСТ 7728-68.
Название документа
"ГОСТ 7728-79. Межгосударственный стандарт. Сплавы магниевые. Методы спектрального анализа"
(утв. и введен в действие Постановлением Госстандарта СССР от 19.11.1970 N 4396)
(ред. от 01.05.1991)
"ГОСТ 7728-79. Межгосударственный стандарт. Сплавы магниевые. Методы спектрального анализа"
(утв. и введен в действие Постановлением Госстандарта СССР от 19.11.1970 N 4396)
(ред. от 01.05.1991)
Утвержден и введен в действие
Постановлением Госстандарта СССР
от 19 ноября 1970 г. N 4396
МЕЖГОСУДАРСТВЕННЫЙ СТАНДАРТ
СПЛАВЫ МАГНИЕВЫЕ
МЕТОДЫ СПЕКТРАЛЬНОГО АНАЛИЗА
Magnesium alloys. Methods of spectral analysis
ГОСТ 7728-79
| | Список изменяющих документов (в ред. Изменения N 1, утв. в мае 1991 г.) | |
Срок введения
1 июля 1981 года
1. Разработан Министерством авиационной промышленности СССР.
2. Утвержден и введен в действие Постановлением Государственного комитета СССР по стандартам от 19.11.1970 N 4396.
3. Взамен ГОСТ 7728-68.
4. Ссылочные нормативно-технические документы
Обозначение НТД, на который дана ссылка | Номер пункта |
| |
| |
| |
| |
| |
| |
| | ИС МЕГАНОРМ: примечание. В официальном тексте документа, видимо, допущена опечатка: имеется в виду пункт 2.4.2, а не пункт 2.2.4.2. | |
|
| |
| |
ГОСТ 3240.0-76 - 3240.21-76 | |
| |
| |
| |
| |
| |
| |
ТУ 16.К71-087-90 | |
5. Постановлением Госстандарта от 13.05.1991 N 665 снято ограничение срока действия.
6. Переиздание (сентябрь 1998 г.) с Изменением N 1, утвержденным в мае 1991 г. (ИУС 8-91).
Настоящий стандарт устанавливает методы спектрального анализа для определения основных легирующих компонентов и примесей (алюминия, марганца, цинка, бериллия, меди, кремния, железа, никеля, циркония, кадмия, кальция, церия, лантана, лития, иттрия, неодима, празеодима и индия) в магниевых сплавах (деформируемых и литейных) по
ГОСТ 2856 и
ГОСТ 14957.
1.1. Содержание легирующих компонентов и примесей в сплавах определяют по градуировочным графикам. Предусматривается использование двух методов градуировки приборов:
метода "трех эталонов";
метода "контрольного эталона".
Регистрация спектра - фотографическая и фотоэлектрическая.
При проведении анализа фотографическим методом градуировочные графики строят в координатах:
где

- разность почернений линий определяемого элемента и элемента сравнения;
С - массовая доля определяемого элемента в стандартных образцах (СО);

- относительная интенсивность линии определяемого элемента и линии сравнения.
При проведении анализов фотоэлектрическим методом градуировочные графики строят в координатах:
где С - массовая доля определяемого элемента в стандартных образцах;
n - показания выходного измерительного прибора, пропорциональные логарифму относительной интенсивности линий определяемого элемента и линии сравнения.
Примечание. Для квантометров, в которых показания выходного прибора "n" пропорциональны относительной интенсивности спектральных линий, градуировочный график строят в координатах:
(Измененная редакция, Изм. N 1).
1.2. Для испарения пробы и возбуждения спектра используют искровые и дуговые источники света.
1.3. Для градуировки приборов применяют государственные стандартные образцы (ГСО) N 423-73 - 429-73; 820-76 - 823-76; 1797-80 - 1803-80; 2772-83 - 2776-83; 740-75 - 747-75; 740-84 П - 744-84 П; 2329-82 - 2535-82; 2336-82 - 2343-82.
Допускается применение отраслевых стандартных образцов (ОСО) N 1-81 - 4-81; 9-81 - 12-81; 5-81 - 8-81; 62-82 - 65-82; 74-83 - 83-83, стандартных образцов предприятий (СОП), а также вновь выпускаемых стандартных образцов состава магниевых сплавов всех категорий.
(Измененная редакция, Изм. N 1).
1.4. Проверку правильности определения массовой доли элементов проводят, сравнивая результаты спектрального анализа с результатами анализа, выполненного химическими методами по ГОСТ 3240.0 - 3240.21.
Значение абсолютного допускаемого расхождения в процентах должно быть не более рассчитанного по формуле
где

- результат анализа пробы, выполненного химическим методом, %;

- результат анализа пробы, выполненного спектральным методом, %;

- относительное среднее квадратическое отклонение, характеризующее воспроизводимость результатов спектрального анализа;

- относительное среднее квадратическое отклонение, характеризующее воспроизводимость результатов химического анализа.
Такую проверку необходимо проводить не реже одного раза в квартал для каждой анализируемой марки сплава.
1.5. Отбор проб проводят по нормативно-технической документации.
1.4, 1.5. (Введены дополнительно, Изм. N 1).
2. ФОТОГРАФИЧЕСКИЙ МЕТОД СПЕКТРАЛЬНОГО АНАЛИЗА
2.1. Сущность метода
Метод основан на возбуждении спектра дуговым или искровым разрядом с последующей регистрацией его на фотопластинке с помощью спектрографа.
2.2. Аппаратура, материалы и реактивы
Спектрограф с кварцевой оптикой средней дисперсии типа ИСП-30 и спектрограф типа ДФС-13.
Источники света: искровой генератор типа ИГ-3 или ИВС-23 и дуговой - типа ДГ-2 или ИВС-28.
Микрофотометр типа МФ-2 или ИФО-460.
Ослабители трех- и девятиступенчатые.
Угли спектральные в виде прутков марок ОСЧ-7-3, С-2, С-3 диаметром 6 мм.
Прутки магния марки МГ по
ГОСТ 804 диаметром 6 - 8 мм.
Прутки меди марок М0, Ml по
ГОСТ 1535 или по ТУ 16.К71-087-90 диаметром 6 - 8 мм.
Фотопластинки спектральные типов 1, 2, 3, ЭС, УФШ чувствительностью от 3 до 20 единиц, ПФС-01, ПФС-02, ПФС-04, ПФС-05.
Станок токарный настольный.
Приспособление для заточки углей.
Проявитель.
Раствор I:
Вода дистиллированная по
ГОСТ 6709 - 1000 см3,
метол (параметиламинофенолсульфат) - 2 г,
натрий сернистокислый (сульфит натрия) кристаллический - 104 г или натрий сернистокислый безводный по
ГОСТ 195 - 52 г,
гидрохинон (парадиоксибензол) по
ГОСТ 19627 - 10 г,
Раствор II:
Вода дистиллированная по
ГОСТ 6709 - 1000 см3,
натрий углекислый кристаллический по
ГОСТ 84 - 108 г или
натрий углекислый безводный по
ГОСТ 83 - 54 г.
Перед проявлением растворы I и II смешивают (3:1).
Фиксаж.
Вода дистиллированная по
ГОСТ 6709 - 1000 см3,
тиосульфат натрия кристаллический (гипосульфит натрия) по
ГОСТ 244 - 300 г,
Допускается применение других приборов, оборудования и материалов при условии получения метрологических характеристик, отвечающих требованиям настоящего стандарта.
2.3. Подготовка образцов к анализу
Для анализа используют образцы следующих форм и размеров (после заточки):
прутки диаметром от 5 до 50 мм, длиной 30 - 100 мм;
в виде "грибка", диска или пластины толщиной не менее 3,5 мм, диаметром 30 - 50 мм.
Литые образцы получают путем заливки жидкого металла в двухрожковую разъемную изложницу (пальчиковый образец) или в металлическую (или водоохлаждаемую металлическую) изложницу, обеспечивающую получение образцов в виде "грибка". Материал изложницы - чугун или сталь марки Ст.3.
В первом случае диаметр образца должен составлять 5 - 9 мм, длина 30 - 100 мм, во втором - диаметр шляпки или диска - 30 - 50 мм, толщина - не менее 5 мм.
При анализе листов и прутков размерами меньшими, чем предусмотрено стандартом, проводят корректировку градуировочных графиков по СОП, имеющим те же размеры, форму, что и анализируемый образец (АО).
Обыскриваемую поверхность образцов затачивают на плоскость, параметр шероховатости поверхности Rz должен быть не более 20 мкм по
ГОСТ 2789.
С литых образцов в виде "грибка" снимают слой не менее 1,5 мм, с прутковых образцов - 5 - 10 мм. Если образец имеет плоский торец, допускается снятие слоя на глубину 0,2 - 0,5 мм.
Подготовка образцов и СО к анализу должна быть однотипной для данной серии измерений. На обработанной поверхности образца не допускаются раковины, царапины, трещины, шлаковые включения. Противоэлектроды затачивают: на сферическую поверхность с радиусом 3 - 6 мм, конус с углом заточки 120° или усеченный конус с площадкой диаметром 1,0 - 1,7 мм с углом заточки 40 - 60°.
2.4. Проведение анализа
Условия проведения анализа фотографическим методом приведены в табл. 1.
Таблица 1
Аппаратура, материалы и параметры | Условия проведения анализа |
Во всех сплавах: Al, Be, In, Y, Cd, Ca, Si, La, Li, Mn, Cu, Nd, Cе, Zn, Zr, Fe | В сплавах марок МА8, МА18-Се, в сплавах марки BMЛ5-Nd | В сплаве марки MA11-Nd, Pr | Во всех сплавах - примеси Fe, Si, Cu, Ni | В сплаве марки МЛ5пч-Zr |
Спектрограф | ИСП-30 | ИСП-30 | ДФС-13 | ИСП-30 | ИСП-30 |
Генератор | Типов ИГ-3, ИВС-23 (схема простая или сложная) | Типов ИГ-3, ИВС-23 (схема простая или сложная) | Типов ИГ-3, ИВС-23 (схема сложная) | Типов ДГ-2, ИВС-28 | Типов ИГ-3, ИВС-23 (схема сложная) |
Ширина щели, мм | 0,015 - 0,020 |
Емкость, мкФ | 0,005 - 0,01 | 0,01 | 0,02 | - | 0,01 - 0,02 |
Самоиндукция, мГн | 0 - 0,05 | 0,05 | 0,01 | - | 0,05 |
Ток, А | 1,6 - 3,0 | 2,0 - 3,0 | 4,0 | 2,5 - 4,5 | 2,0 - 4,0 |
Аналитический промежуток, мм | 2,0 | 2,0 - 2,5 | 2,0 - 2,5 | 1,5 - 1,8 | 2,0 - 2,5 |
Задающий промежуток разрядника, мм | 3,0 | 0,5 - 0,8 | 3,0 |
Обжиг, с | 20 - 40 | 30 | 30 | 5 - 10 | Без обжига |
Противоэлектрод | Угольный или магниевый | Угольный, магниевый, медный | Угольный или магниевый |
Фотопластинки | Типов 1, 2, ЭС | Типов 1, 2, ЭС | Типов 2, 3, ЭС, 1 | Типов 2, 3, ЭС, УФШ | Типов 2, 3 |
Координаты градуировочного графика | | | | | |
Примечания. 1. Параметры устанавливаются в пределах указанных значений.
2. Время экспозиции выбирается в зависимости от чувствительности применяемых фотопластинок и должно быть не менее 15 с.
3. Допускается проведение анализа с применением парных электродов, с заточкой одного из электродов на плоскость.
4. При анализе листов и прутков с размерами меньшими, чем предусмотрено стандартом, допускается выбор других режимов работы источников света.
5. При определении массовой доли кальция ниже 0,1% рекомендуется проводить предварительный обжиг угольных электродов при силе тока 16 - 18 А.
Длины волн аналитических спектральных линий и диапазоны массовых долей приведены в табл. 2.
Таблица 2
Определяемый элемент | Длина волны определяемого элемента, нм | Длина волны линии сравнения, нм | Диапазон определяемых массовых долей, % |
Алюминий | I 396,15 | | | | 0,01 - 0,5 |
I 394,40 | I 332,99 | | 0,5 - 1,5 |
II 358,69 | 307,40 | | 3,0 - 12,0 |
I 308,22 | | I 291,55 | 3,0 - 12,0 |
Бериллий | | | I 332,99 | | |
II 313,04 | | 307,40 | 0,0005 - 0,01 |
| | Фон | |
Железо | I 358,12 | | I 332,99 | | 0,002 - 0,1 |
I 302,06 | 307,40 | 0,002 - 0,1 |
II 259,94 | Фон | 0,002 - 0,1 |
II 238,20 | | | 0,002 - 0,1 |
Индий | I 410,17 | | I 332,99 | | 0,2 - 1,0 |
I 325,60 | | I 332,99 | | 0,2 - 1,0 |
I 303,94 | 307,40 | 0,2 - 1,0 |
Иттрий | II 319,56 | | I 332,99 | | 1,0 - 3,0 |
II 320,03 | | 307,40 | 1,0 - 3,0 |
Кадмий | I 361,05 | | | | 0,1 - 1,0 |
I 346,62 | I 332,99 | | 0,3 - 2,0 |
I 326,11 | | | 0,5 - 2,0 |
Кальций | II 396,85 | | I 333,21 | | 0,01 - 0,2 |
II 393,37 | I 332,99 | 0,01 - 0,2 |
II 315,89 | | | 0,2 - 0,5 |
Кремний | I 288,16 | | 307,40 | | 0,05 - 0,5 |
I 251,61 | | I 291,55 | | 0,05 - 0,5 |
I 251,61 | | Фон | | 0,001 - 0,05 |
I 288,16 | | | 0,001 - 0,05 |
Лантан | II 394,91 | | | | 0,2 - 2,0 |
II 375,91 | I 332,99 | | 0,2 - 2,0 |
II 338,09 | | | 0,2 - 2,0 |
II 317,17 | | 307,40 | | 0,2 - 2,0 |
Литий | I 323,26 | | I 332,99 | | 8,0 - 12,0 |
Марганец | II 347,41 | | | | 0,7 - 2,5 |
II 346,03 | I 332,99 | | 0,7 - 2,5 |
II 344,20 | | | 0,7 - 2,5 |
II 294,92 | | I 291,55 | | 0,01 - 0,7 |
II 259,37 | | 307,40 | | 0,01 - 0,7 |
Медь | I 327,40 | | I 332,99 | | 0,02 - 0,5 |
I 324,75 | 307,40 | 0,003 - 0,5 |
Неодим | II 430,36 | | | | 1,6 - 3,0 |
II 410,95 | I 332,99 | | 1,6 - 3,0 |
II 401,22 | | | 1,0 - 5,0 |
II 406,10 | | | | 1,0 - 5,0 |
II 401,22 | | Фон | | 0,03 - 0,6 |
II 406,10 | I 332,99 | 0,03 - 0,6 |
II 380,54 | | | 0,01 - 0,6 |
Никель | I 352,45 | | I 332,99 | | До 0,01 |
I 314,48 | Фон | До 0,01 |
II 239,45 | | | До 0,01 |
Празеодим | II 410,07 | | Фон | | 0,08 - 0,5 |
Церий | II 418,66 | | I 416,73 | | 0,07 - 0,5 |
II 413,76 | Фон | 0,07 - 0,5 |
II 401,24 | | I 322,99 | | 0,5 - 3,0 |
II 320,17 | | Фон | 1,0 - 3,0 |
| | 307,40 | | |
Цинк | I 334,50 | | I 332,99 | | 0,05 - 1,5 |
I 330,29 | 307,40 | 0,05 - 4,0 |
I 328,53 | I 291,55 | 2,0 - 10,0 |
II 255,80 | | 307,40 | | 2,0 - 10,0 |
II 250,20 | I 291,55 | 2,0 - 10,0 |
Цирконий | II 343,82 | | | | 0,04 - 0,8 |
II 339,20 | I 332,99 | | 0,04 - 0,8 |
II 327,93 | 307,40 | 0,2 - 1,0 |
II 327,30 | | | 0,2 - 1,0 |
II 339,20 | | Фон | | 0,002 - 0,06 |
Примечания. 1. Спектральные линии, ограниченные в таблице парантезом, могут быть соответственно объединены в любые аналитические пары.
2. Если в качестве линии сравнения используют фон, последний измеряют вблизи линии определяемого элемента.
3. Римская цифра I перед значениями длин волн означает принадлежность линии к нейтральному атому, цифра II - к однократно ионизированному атому.
2.4.1. При работе по методу "трех эталонов" выполняют следующие операции:
выбирают СО анализируемого сплава в количестве не менее трех;
спектры СО и АО фотографируют на одной фотопластинке при выбранных условиях анализа с рандомизацией порядка съемки. Для каждого СО и АО фотографируют три спектра;
измеряют почернения S выбранных аналитических линий, подсчитывают значение разности почернений

S для аналитических пар линий и среднее арифметическое

по трем спектрам;
строят градуировочный график в координатах:

S - lg С.
Этот график пригоден для анализа тех образцов, спектры которых сняты вместе с СО на одной фотопластинке;
содержание элемента в АО находят по градуировочному графику.
Время экспозиции выбирают такое, чтобы обеспечить получение нормальных почернений для всех аналитических линий.
Если при анализе малых массовых долей почернение аналитической линии элемента лежит в области недодержек, необходимо использовать характеристическую кривую, тщательно построенную в области недодержек. Градуировочный график строят в этом случае в координатах:
где

- интенсивность линии определяемого элемента;

- интенсивность линии сравнения или фона вблизи линии определяемого элемента.
Допускается также построение градуировочного графика в координатах

- С, где

- разность почернений линии определяемого элемента и фона вблизи линии.
2.4.2. При работе по методу "контрольного эталона" кроме СО, которые нужны для построения градуировочного графика, выбирают СОП, который должен удовлетворять следующим требованиям:
а) по химическому составу он должен находиться возможно ближе к середине диапазона массовых долей, указанных в
ГОСТ 2856,
ГОСТ 23208;
б) по форме, размерам и физико-механическим свойствам (способу литья, обработке) он должен соответствовать АО.
Работу начинают с построения основного градуировочного графика: на одной фотопластинке фотографируют спектры СО данного сплава и СОП по пять раз.
По средним фотометрическим оценкам при нормальных почернениях аналитических линий строят постоянный градуировочный график основной фотопластинки в координатах

S - lg С.
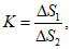
При анализе производственных образцов: на рабочей фотопластинке фотографируют спектры АО по 3 раза каждый и спектры СОП по 4 раза. Определяют разность почернений аналитических пар линий для СОП и АО, т.е.

из соответствующего количества спектров. Разность почернений

умножают на величину переводного коэффициента К. Переводной коэффициент К, вводимый для учета свойств фотоэмульсии рабочей фотопластинки, вычисляют по формуле
где

- разность почернений вспомогательной пары линий магния или разность почернений линии магния для двух ступенек ослабителя, подсчитанная по нескольким спектрам СО и СОП для основной фотопластинки;

- разность почернений тех же линий магния и тех же ступенек ослабителя, подсчитанная для рабочей фотопластинки по СОП и АО.
Для подсчета коэффициента К используют пары линий магния Mg 333,21 нм - Mg 332,99 нм и др.
Через точку с координатами

(где

- массовая доля элемента в СОП) проводят рабочий график, параллельный основному, и по нему определяют массовую долю в АО, пользуясь величиной

.
Допускается строить градуировочный график для рабочей фотопластинки в координатах: (

) - lg С. В этом случае он строится по двум точкам с координатами: 0, lg

и

, где

- угол наклона градуировочного графика для основной фотопластинки, построенного в координатах

S - lg С.
Для упрощения расчетов градуировочный график может быть искусственно приведен к 45°. В этом случае вместо коэффициента К используют коэффициент
2.5. Обработка результатов
За окончательный результат анализа принимают среднее арифметическое трех параллельных измерений, полученных по трем спектрограммам, если выполняется условие:
где

- наибольший результат параллельного измерения;

- наименьший результат параллельного измерения;

- относительное среднее квадратическое отклонение, характеризующее сходимость измерений;

- среднее арифметическое, вычисленное из n параллельных измерений (n = 3).
При проведении экспресс-анализа допускается результат анализа вычислять по двум параллельным измерениям

и

при условии, что

.
Значение

и

для фотографического метода анализа приведены в табл. 3.
Определяемый элемент | Диапазон определяемых массовых долей, % | Фотографический метод | Фотоэлектрический метод |
не более |
Sa | Sr | Sa | Sr |
Бериллий | 0,0005 - 0,001 | 0,17 | 0,14 | - | - |
Бериллий, железо, кремний, медь, никель, цирконий | 0,001 - 0,01 | 0,15 | 0,12 | 0,15 | 0,12 |
Алюминий, железо, кадмий, кальций, кремний, марганец, медь, неодим, церий, цинк, цирконий, празеодим | 0,01 - 0,1 | 0,10 | 0,08 | 0,08 | 0,06 |
Алюминий, индий, кальций, кадмий, лантан, марганец, медь, неодим, празеодим, церий, цинк, цирконий, кремний | 0,1 - 0,5 | 0,06 | 0,05 | 0,05 | 0,04 |
Алюминий, индий, иттрий, кальций, кадмий, лантан, марганец, неодим, церий, цирконий, медь, цинк | 0,5 - 2,0 | 0,05 | 0,04 | 0,04 | 0,03 |
Алюминий, кальций, неодим, церий, цинк, иттрий, марганец | 2,0 - 5,0 | 0,05 | 0,04 | 0,04 | 0,03 |
Алюминий, цинк, литий | 5,0 - 15,0 | 0,04 | 0,03 | 0,03 | 0,025 |
Если разность между результатом анализа и одним из предельных значений содержания элемента (для данного сплава по стандарту на марки) по абсолютной величине меньше или равна

, то анализ образца производят по ГОСТ 3240.0 - 3240.21, где N - число определений (N = 1 или 2);

- средний результат анализа из одного или двух определений.
2.4 - 2.5. (Измененная редакция, Изм. N 1).
3. ФОТОЭЛЕКТРИЧЕСКИЙ МЕТОД СПЕКТРАЛЬНОГО АНАЛИЗА
3.1. Сущность метода
Метод основан на возбуждении спектра сплава дуговым или искровым разрядом с регистрацией интенсивности линий с помощью фотоэлектрической установки.
3.2. Аппаратура и материал
Установка фотоэлектрическая (квантометр) типа ДФС-10м, ДФС-36, МФС-4, МФС-8.
Угли спектральные в виде прутков марок ОСЧ-73, С2, С3 диаметром 6 мм.
Прутки магния марки МГ по
ГОСТ 804 диаметром 6 - 8 мм.
Станок токарный настольный.
Приспособление для заточки углей.
Допускается применение других спектральных приборов, оборудования и материалов при условии получения метрологических характеристик, отвечающих требованиям настоящего стандарта.
(Измененная редакция, Изм. N 1).
3.3. Подготовка образцов
Образцы готовят, как указано в
п. 2.3.
3.4. Проведение анализа
При фотоэлектрическом методе анализа для градуировки прибора используют метод "трех эталонов" и "контрольного эталона".
Условия проведения анализа фотоэлектрическим методом приведены в табл. 4.
Таблица 4
Параметр | Условия проведения анализа |
Квантометр ДФС-10М, генератор ГЭУ-1 | Квантометр ДФС-36, генератор УГЭ-4 |
Дуговой режим | Низковольтный искровой режим | Дуговой режим | Низковольтный искровой режим | Высоковольтный искровой режим (схема сложная) |
Напряжение питания, В | 220 +/- 5 |
Ток в цепи, А | 2,5 - 3,0 | - |
Емкость, мкФ | - | 40 - 60 | - | 40 - 60 | 0,005; 0,01 |
Индуктивность, мкГн | 0 | 0; 150 |
Фаза поджига, град | 90 | - | - |
Количество разрядов в полупериод тока | - | 1 | - | 1; 2 (ампл. метод упр.) | 1; 2; 3 (ампл. метод управления) |
Аналитический промежуток, мм | 1,5 | 1,5; 2,0 |
Обжиг, с | 5 - 7 | 10 - 20 | 5 - 7 | 10 - 20 | 20 - 30 |
Экспозиция, с | 20 - 40 | 20 - 60 |
Противоэлектрод | Угольный или магниевый |
Система координат | n - lg C или n - C |
Примечание. Параметры устанавливают в пределах указанных значений.
Длина волн аналитических спектральных линий и диапазоны массовых долей приведены в табл. 5.
Таблица 5
Определяемый элемент | Длина волны линии определяемого элемента, нм | Диапазон массовых долей, % |
Алюминий | I 396,15 | 1,0 - 12,0 |
I 309,27 | 1,0 - 5,0 |
I 308,21 | 4,0 - 12,0 |
I 256,80 | |
Бериллий | II 313,04 | 0,001 - 0,01 |
Железо | II 271,44 | 0,01 - 0,1 |
II 275,57 | 0,01 - 0,1 |
II 259,94 | 0,01 - 0,1 |
II 238,20 | 0,01 - 0,1 |
Кадмий | II 226,50 | |
Кремний | I 288,16 | 0,05 - 0,5 |
I 251,61 | 0,05 - 0,5 |
Индий | I 303,94 | 0,2 - 1,0 |
Иттрий | II 360,07 | 1,0 - 3,0 |
Лантан | II 398,85 | 0,4 - 1,5 |
II 392,92 | 0,4 - 1,5 |
Марганец | II 258,37 | 0,05 - 2,5 |
II 257,61 | 0,05 - 2,5 |
| II 294,92 | 0,1 - 0,6 |
Медь | I 510,55 | 0,1 - 1,0 |
I 327,40 | 0,01 - 0,5 |
Никель | I 341,48 | |
Цинк | I 334,50 | 0,2 - 4,0 |
Цирконий | II 343,82 | 0,01 - 1,0 |
II 339,20 | 0,01 - 1,5 |
Неодим | II 430,36 | 1,0 - 2,5 |
II 406,11 | 1,0 - 5,0 |
II 401,22 | |
Церий | II 418,6 | |
II 401,24 | |
Линия сравнения магния | 307,40 | |
I 518,36 | |
I 552,84 | |
I 291,54 | |
I 277,98 | |
II 279,08 | |
II 280,77 | |
--------------------------------
<*> Данные, полученные на квантометре с многорежимным источником света.
Аналитические линии выбирают в зависимости от массовой доли элемента в образце, возможности размещения выходных щелей на каретках квантометра и т.д.
Допускается использование других аналитических линий при условии, что они обеспечивают точность и чувствительность, отвечающую требованиям настоящего стандарта.
Ширину входной щели квантометра (0,02 - 0,06 мм) и ширину выходных щелей (0,05; 0,10; 0,15; 0,20 мм) выбирают в зависимости от массовой доли элемента и степени легирования сплава.
Содержание элемента в АО определяют с помощью градуировочного графика, построенного в координатах: n - lg C или n - С.
3.5. Обработка результатов
Обработку результатов проводят, как указано в
п. 2.5.
Значение

и

для фотоэлектрического метода анализа приведены в
табл. 3.
3.4, 3.5. (Измененная редакция, Изм. N 1).
Справочное
ОЦЕНКА ТОЧНОСТИ СПЕКТРАЛЬНОГО АНАЛИЗА
1. Точность спектрального метода анализа определяется величиной систематических и случайных погрешностей при условии, что промахи исключены из расчетов. Предполагается, что случайные погрешности подчиняются нормальному закону распределения.
2. При правильно настроенной спектральной аппаратуре и выполнении рекомендаций стандарта по процедуре анализа основными источниками систематических погрешностей являются погрешности, связанные с влиянием структуры и химического состава проб на результаты анализа.
Эти погрешности должны быть выявлены сопоставлением результатов анализа проб, выполненного химическим и спектральным методами по большой выборке (не менее 20 проб).
Если факт наличия погрешностей установлен, то их устраняют корректировкой положения градуировочного графика по СОП.
(Измененная редакция, Изм. N 1).
3. Результат анализа пробы, полученной как среднее арифметическое например из двух (трех) параллельных измерений, т.е. по двум (трем) спектрам, следует рассматривать как одно определение.
4. Воспроизводимость спектрального анализа

можно характеризовать величиной относительного среднего квадратического отклонения единичного определения.
5. Для подсчета

выбирают не менее пяти образцов одной марки сплава, имеющих приблизительно один и тот же химический состав, и в течение 5 сут производят их анализ сериями (одна серия в сутки). Регистрацию спектров в каждой серии производят в различной последовательности, т.е. с рандомизацией.
Спектры одной серии регистрируют на одной фотопластинке.
На каждой фотопластинке получают по три спектра каждого образца и по три спектра каждого СО. Последние необходимы для построения или корректировки градуировочных графиков.
При фотоэлектрической регистрации перед началом измерений проводят корректировку положения градуировочных графиков, а затем регистрацию спектров образцов.
Всего от каждого образца получают за 5 сут по 15 измерений (пять определений).
Для каждого образца вычисляют среднее квадратическое отклонение (

) по формуле

(1)
где

- средняя массовая доля элемента в j-ом образце, вычисленная из пяти определений;

- массовая доля элемента по i-му определению в j-ом образце, вычисленная из трех измерений;
n - число определений (n = 5).
Далее вычисляют среднее квадратическое отклонение

по формуле

(2)
где

- среднее квадратическое отклонение, подсчитанное соответственно по первому, второму и т.д. образцам по
формуле (1);
q - число образцов (q = 5).
Относительное среднее квадратическое отклонение

, характеризующее воспроизводимость анализа, вычисляют по формуле

(3)
где С - средняя массовая доля элемента в образцах, вычисленная по формуле

(4)
где

- средняя массовая доля элемента соответственно в первом, втором и т.д. образцах, вычисленная из 5 определений.
4, 5. (Измененная редакция, Изм. N 1).
6. Сходимость результатов измерений характеризуется величиной относительной квадратической погрешности единичного измерения

.
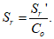
7. Значение

находят по серии из 20 параллельных измерений для одного образца при правильно настроенной аппаратуре. Сначала вычисляют среднее квадратическое отклонение

' по формуле

(5)
где

- средняя массовая доля элемента в образце, подсчитанная из 20 параллельных измерений;

- массовая доля элемента в образце, вычисленная по i-му измерению;

- число измерений в серии (

= 20).
Далее вычисляют относительное среднее квадратическое отклонение, характеризующее сходимость измерений, по формуле

(6)
8. При проведении анализов часто возникает необходимость в оценке погрешности результата анализа

и доверительных пределов. При доверительной вероятности 0,95 и исключенных систематических погрешностях

вычисляют по формуле

(7)
где N - число определений, по которым вычислен результат анализа образца (обычно в спектральном анализе N = 1 или 2);

- результат анализа образца, вычисленный по N определениям.
Вычисленное

означает, что с надежностью 95% истинное значение определяемой величины лежит в интервале между значениями:
и наиболее вероятным результатом анализа является

.
9. Комплексную оценку работы генератора возбуждения спектра, спектрального прибора и электронного измерительного устройства рекомендуется периодически проводить путем определения относительного среднего квадратического отклонения

по серии из 20 параллельных измерений по формуле (5).
Найденное значение

сравнивают с

, т.е. с тем средним квадратическим отклонением, которое было вычислено ранее при настроенной аппаратуре.
Сравнение производят по F критерию.
Если

больше, чем табличное значение

, то это указывает на то, что аппаратура требует настройки.
При доверительной вероятности 0,95 и указанном числе измерений в серии (

= 20)

= 2,1.
Такую проверку рекомендуется проводить 1 - 2 раза в месяц.
10. Смещение градуировочного графика относительно основного (дрейф D на уровне СОП) считается значимым, если оно превышает среднее квадратическое отклонение результатов 4 измерений, подсчитанное по СОП, т.е. при

, необходима корректировка графика,
где

- число параллельных измерений для СОП, по которому контролируется положение графика (

= 4);

- массовая доля элемента в СОП.
Положение градуировочного графика рекомендуется контролировать по 1 - 2 образцам 2 - 3 раза в смену.
7 - 10. (Измененная редакция, Изм. N 1).