Главная // Актуальные документы // ГОСТ (Государственный стандарт)СПРАВКА
Источник публикации
Документ опубликован не был
Примечание к документу
Документ утратил силу с 1 января 2016 года в связи с изданием
Приказа Росстандарта от 11.11.2014 N 1539-ст. Взамен введен в действие
ГОСТ 4974-2014.
Документ включен в
Перечень нормативных и методических документов, определяющих методы испытаний, указанные в
Приложениях 1 -
11 (
Постановление Госстандарта РФ от 28.04.1999 N 21).
С 1 июля 2003 года до вступления в силу технических регламентов акты федеральных органов исполнительной власти в сфере технического регулирования носят рекомендательный характер и подлежат обязательному исполнению только в части, соответствующей целям, указанным в
пункте 1 статьи 46 Федерального закона от 27.12.2002 N 184-ФЗ.
Документ
введен в действие с 1 января 1974 года.
Взамен ГОСТ 4974-49.
Название документа
"ГОСТ 4974-72. Государственный стандарт Союза ССР. Вода питьевая. Методы определения содержания марганца"
(введен в действие Постановлением Госстандарта СССР от 25.12.1972 N 2320)
"ГОСТ 4974-72. Государственный стандарт Союза ССР. Вода питьевая. Методы определения содержания марганца"
(введен в действие Постановлением Госстандарта СССР от 25.12.1972 N 2320)
Введен в действие
Постановлением Государственного
комитета стандартов
Совета Министров СССР
от 25 декабря 1972 г. N 2320
ГОСУДАРСТВЕННЫЙ СТАНДАРТ СОЮЗА ССР
ВОДА ПИТЬЕВАЯ
МЕТОДЫ ОПРЕДЕЛЕНИЯ СОДЕРЖАНИЯ МАРГАНЦА
Drinking Water.
Methods for determination of Manganese content.
ГОСТ 4974-72
Группа Н09
Взамен
ГОСТ 4974-49
Постановлением Государственного комитета стандартов Совета Министров СССР от 25 декабря 1972 г. N 2320 срок введения установлен
с 1 января 1974 года
до 1 января 1979 года
Переиздание. Февраль 1976г.
Настоящий стандарт распространяется на питьевую воду и устанавливает колориметрические методы определения содержания марганца.
Методы основаны на окислении соединений марганца до иона

. Окисление происходит в кислой среде персульфатом аммония или калия в присутствии серебра в качестве катализатора, при этом появляется розовое окрашивание. Чувствительность метода составляет (объем исследуемой воды 500 мл) - 10 мкг/л.
| | ИС МЕГАНОРМ: примечание. Взамен ГОСТ 2874-73 Постановлением Госстандарта СССР от 18.10.1982 N 3989 с 1 января 1985 года введен в действие ГОСТ 2874-82. | |
1.2. Объем пробы воды для определения содержания марганца не должен быть менее 1 л.
1.3. В тех случаях, когда марганец не может быть определен сразу же после отбора пробы, последняя консервируется добавлением 5 мл концентрированной азотной кислоты на 1 л пробы.
2. АППАРАТУРА, МАТЕРИАЛЫ, РЕАКТИВЫ
Фотоэлектроколориметр; кюветы с l = 20 - 50 мм.
Электроплитка.
Баня водяная.
Печь муфельная.
Посуда мерная стеклянная лабораторная по
ГОСТ 1770-74 и
ГОСТ 20292-74 вместимостью: колбы мерные 50, 100 и 1000 мл, бюретка с краном 25 и 50 мл, пипетки 1 и 10 мл, с делениями 0,01 и 0,1 мл; цилиндры измерительные с плоским дном с отметкой на 100 мл; цилиндры измерительные 25 и 50 мл.
Чаши выпарительные диаметром 9 см.
Воронки стеклянные для фильтрования по ГОСТ 8613-75.
| | ИС МЕГАНОРМ: примечание. Взамен ГОСТ 10394-72 Постановлением Госстандарта СССР от 15.07.1982 N 2670 с 1 января 1984 года введен в действие ГОСТ 25336-82. | |
Стаканы стеклянные лабораторные по ГОСТ 10394-72.
Колбы плоскодонные вместимостью 500 и 250 мл по
ГОСТ 1770-74.
| | ИС МЕГАНОРМ: примечание. Взамен ГОСТ 12026-66 Постановлением Госстандарта СССР от 02.12.1976 N 2693 с 1 января 1978 года (в части бумаги типа II с 1 января 1991 года, в части бумаги типа I с 1 января 1993 года) введен в действие ГОСТ 12026-76. | |
Бумага фильтровальная лабораторная по ГОСТ 12026-66.
| | ИС МЕГАНОРМ: примечание. Взамен ГОСТ 4523-67 Постановлением Госстандарта СССР от 23.11.1977 N 2743 с 1 января 1979 года введен в действие ГОСТ 4523-77. | |
Магний сернокислый по ГОСТ 4523-67.
| | ИС МЕГАНОРМ: примечание. Взамен ГОСТ 4328-66 Постановлением Госстандарта СССР от 17.06.1977 N 1514 с 1 июля 1978 года введен в действие ГОСТ 4328-77. | |
Натрия гидрат окиси (натр едкий) по ГОСТ 4328-66, 4%-ный раствор.
| | ИС МЕГАНОРМ: примечание. Взамен ГОСТ 435-67 Постановлением Госстандарта СССР от 25.04.1977 N 1021 с 1 июля 1978 года введен в действие ГОСТ 435-77. | |
Марганец сернокислый по ГОСТ 435-67.
Кислота ортофосфорная 85%-ная по ГОСТ 14897-69.
| | ИС МЕГАНОРМ: примечание. Взамен ГОСТ 4461-67 Постановлением Госстандарта СССР от 22.12.1977 N 2995 с 1 января 1979 года введен в действие ГОСТ 4461-77. | |
Кислота азотная по ГОСТ 4461-67.
| | ИС МЕГАНОРМ: примечание. Взамен ГОСТ 4204-66 Постановлением Госстандарта СССР от 17.06.1977 N 1513 с 1 июля 1978 года введен в действие ГОСТ 4204-77. | |
Кислота серная по ГОСТ 4204-66.
| | ИС МЕГАНОРМ: примечание. ГОСТ 5850-72 утратил силу с 1 января 1989 года (ИУС "Государственные стандарты", N 8, 1988). | |
Фенолфталеин по ГОСТ 5850-72.
Ртуть сернокислая окисная.
Все реактивы должны быть квалификации ч.д.а.
3. ОПРЕДЕЛЕНИЕ СОДЕРЖАНИЯ МАРГАНЦА С ОТДЕЛЕНИЕМ ХЛОР-ИОНА
СООСАЖДЕНИЕМ С ГИДРАТОМ ОКИСИ МАГНИЯ (Метод А)
3.1. Подготовка к анализу
3.1.1. Приготовление стандартного раствора марганцовокислого калия
9 мл точно 0,01 н. раствора

вносят в мерную колбу вместимостью 100 мл, разбавляют дистиллированной водой до метки и перемешивают. 1 мл раствора содержит 0,01 мг

.
3.1.2. Приготовление основного стандартного раствора сернокислого марганца
0,2748 г

, прокаленного при 500 °C, растворяют примерно в 10 мл разбавленной (1:4) горячей серной кислоты и доводят объем дистиллированной водой до 1 л. 1 мл раствора содержит 0,10 мг Mn.
3.1.3. Приготовление рабочего стандартного раствора сернокислого марганца
Раствор готовят разбавлением 100 мл основного раствора до 1 л дистиллированной водой. 1 мл раствора содержит 0,01 мг Mn.
Раствор готовят в день проведения анализа.
3.1.4. Приготовление 10%-ного раствора сернокислого магния
10 г

растворяют в 90 мл дистиллированной воды. Сернокислый магний, имеющийся в продаже, часто содержит примесь солей марганца, поэтому перед употреблением он должен быть проверен на чистоту. Для этого в мерную колбу вместимостью 50 мл наливают 5 мл 10%-ного раствора сернокислого магния, около 10 мл дистиллированной воды, 10 мл 20%-ного раствора фосфорной кислоты, 1 мл 1%-ного раствора азотнокислого серебра, 0,2 г персульфата аммония или калия в кристаллах и выдерживают в кипящей водяной бане 5 мин. Раствор охлаждают и доливают дистиллированной водой до метки. Если раствор окрашен в розовый цвет, значит сернокислый магний загрязнен марганцем. В этом случае к 1 л 10%-ного раствора сернокислого магния добавляют на холоду 20 мл 1%-ного раствора щелочи по каплям при тщательном перемешивании раствора. Выпадающий осадок гидрата окиси магния адсорбирует марганец. Осадку дают осесть, а прозрачный раствор сифонируют или фильтруют.
3.1.5. Приготовление 20%-ного раствора ортофосфорной кислоты
20 г

квалификации ч.д.а. растворяют в 80 мл дистиллированной воды.
3.2. Проведение анализа
К 500 мл исследуемой воды, не подкисленной при отборе пробы, добавляют 5 мл 4%-ного раствора едкого натра, перемешивают, добавляют 5 мл 10%-ного раствора сернокислого магния, опять перемешивают и оставляют. При этом осадок

оседает на дно стакана. (При определении к 50 мл воды добавляют 1 мл 4%-ного раствора едкого натра и 1 мл 10%-ного раствора сернокислого магния).
Если исследуемая вода была подкислена при отборе пробы, то перед определением марганца в исследуемой воде объемом 50 мл нейтрализуют кислоту 4%-ным раствором едкого натра из градуированной пипетки по фенолфталеину (1%-ный спиртовой раствор). Количество израсходованной щелочи пересчитывают на объем исследуемой воды и это количество добавляют в исследуемую воду перед началом определения. Затем проводят соосаждение марганца, как описано выше.
После отстаивания большую часть раствора над осадком сливают сифоном, а остаток отфильтровывают через неплотный фильтр. Осадок растворяют на фильтре в 10 мл 20%-ной ортофосфорной кислоты, собирая фильтрат в мерную колбу вместимостью 50 мл.
Промывают фильтр два - три раза так, чтобы общий объем фильтрата и промывных вод в колбе составлял около 35 мл. Затем добавляют 10 мл 1%-ного раствора азотнокислого серебра и перемешивают. При этом не должно наблюдаться сильного помутнения раствора вследствие образования хлорного серебра. К раствору добавляют около 0,3 г персульфата аммония или калия, нагревают до кипения и держат в водяной бане 5 мин. После охлаждения раствор доводят дистиллированной водой до метки и сравнивают его окраску с образцовой стандартной шкалой или проводят измерение на фотоэлектроколориметре с зеленым светофильтром

в кюветах с толщиной рабочего слоя 20 - 50 мм.
При анализе исследуемой воды с большим содержанием ионов хлора осадок

на фильтре промывают два - три раза дистиллированной водой и затем растворяют в ортофосфорной кислоте. Если после добавления азотнокислого серебра все же образуется белый осадок или помутнение от AgCl, то колбу с раствором резко встряхивают до тех пор, пока осадок не соберется в комья и раствор не осветлится. В противном случае надо добавить еще 5 мл раствора азотнокислого серебра и снова проверить, имеется ли избыток иона серебра. После этого раствор отделяют от осадка фильтрованием через сухой фильтр в другую мерную колбу, осадок промывают 2 - 3 раза небольшим количеством дистиллированной воды и отбрасывают. К фильтрату с промывными водами добавляют 0,3 г персульфата аммония или калия и продолжают анализ как описано выше.
3.2.1. Приготовление стандартной шкалы
В колбу вместимостью 50 мл вносят следующие количества стандартного раствора сернокислого марганца (1 мл раствора содержит 0,01 мг

) 0,0; 0,5; 1,0; 2,0; 3,0; 4,0; 5,0; 6,0; 8,0; 10,0 мл.
Затем в каждую колбу добавляют до 10 мл 20%-ного раствора ортофосфорной кислоты, по 10 мл 1%-ного раствора азотнокислого серебра и около 0,3 г персульфата аммония или калия, затем добавляют дистиллированную воду до объема около 40 мл, нагревают до кипения и держат на водяной бане 10 мин. После охлаждения доводят объем раствора водой до метки и перемешивают. Получают стандартную шкалу с содержанием

0,0; 0,005; 0,01; 0,02; 0,03; 0,04; 0,05; 0,06; 0,08; 0,1 мг.
Шкала неустойчива и на следующий день обесцвечивается, но ее можно восстанавливать. Для этого в каждую колбу добавляют по 0,2 г персульфата аммония или калия, нагревают до кипения и держат на водяной бане или не слишком горячей песчаной бане 10 мин.
Для приготовления стандартной шкалы с использованием стандартного раствора марганцовокислого калия в мерные колбы вместимостью 50 мл отбирают те же количества и той же концентрации марганца и объем доводится до 50 мл дистиллированной водой.
Оптическую плотность стандартных растворов измеряют на электрофотоколориметре с зеленым светофильтром

, используя кюветы с толщиной рабочего слоя 20 - 50 мм. По полученным данным строят калибровочный график, по которому определяют содержание

.
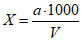
3.3. Обработка результатов
Содержание марганца (X), мг/л, определяют по формуле

,
где a - содержание Mn, найденное по стандартной шкале или калибровочному графику, мг;
V - объем исследуемой воды, взятый на определение, мл.
4. ОПРЕДЕЛЕНИЕ СОДЕРЖАНИЯ МАРГАНЦА С УДАЛЕНИЕМ ХЛОР-ИОНА
ВЫПАРИВАНИЕМ С СЕРНОЙ КИСЛОТОЙ (Метод Б)
4.1. Подготовка к анализу
4.1.1. Приготовление стандартного раствора марганцовокислого калия
9 мл точно 0,01 н. раствора

вносят в мерную колбу вместимостью 100 мл, разбавляют дистиллированной водой до метки и перемешивают. 1 мл раствора содержит 0,01 мг

.
4.1.2. Приготовление 0,1 н. раствора азотнокислого серебра
17 г

растворяют в 1 л дистиллированной воды.
4.2. Проведение анализа
К 100 - 500 мл исследуемой воды в фарфоровой чаше прибавляют 5 мл серной кислоты (1:2) и выпаривают сначала на водяной бане, а затем на плитке для полного удаления кислоты.
Сухой остаток смачивают небольшим количеством дистиллированной воды, прибавляют 5 мл концентрированной азотной кислоты, 10 мл горячей дистиллированной воды, 3 мл 0,1 н.

, 0,2 г персульфата аммония и нагревают раствор до тех пор, пока интенсивность окраски не перестанет увеличиваться.
После охлаждения раствора доводят его объем дистиллированной водой в мерной колбе вместимостью 50 мл до метки и сравнивают его окраску со стандартной шкалой или измеряют оптическую плотность на фотоэлектроколориметре с зеленым светофильтром

. Содержание

определяют по калибровочному графику так же, как в методе А. Подсчет результатов испытания проводят по
п. 3.3.
При анализе воды с большим содержанием марганца применяют также способ колориметрического титрования. Для этого 50 мл исследуемой воды, содержащей

переносят в стакан вместимостью 100 мл, а в другой стакан той же вместимости прибавляют дистиллированную воду в объеме, равном объему исследуемого раствора. Поставив оба стакана рядом на белую бумагу, приливают в стакан с дистиллированной водой из бюретки стандартный раствор перманганата калия, пока окраска в обоих стаканах не будет одинаковой. По объему израсходованного раствора перманганата калия вычисляют содержание марганца в исследуемой воде.
5. ОПРЕДЕЛЕНИЕ СОДЕРЖАНИЯ МАРГАНЦА С УДАЛЕНИЕМ ХЛОР-ИОНА
ДОБАВЛЕНИЕМ СЕРНОКИСЛОЙ РТУТИ (Метод В)
5.1. Подготовка к анализу
5.1.1. Приготовление основного стандартного раствора сернокислого марганца
0,2748 г

, прокаленного при 500 °C, растворяют примерно в 10 мл разбавленной горячей серной кислоте (1:4) и доводят объем дистиллированной водой до 1 л. 1 мл раствора содержит 0,10 мг Mn.
5.1.2. Приготовление рабочего стандартного раствора сернокислого марганца
Раствор готовят разбавлением 100 мл основного раствора до 1 л дистиллированной водой. 1 мл раствора содержит 0,01 мг Mn.
Раствор готовят в день проведения анализа.
5.1.3. Приготовление специального реактива
75 г сернокислой ртути

растворяют в 400 мл концентрированной азотной кислоты

и 200 мл дистиллированной воды. Затем добавляют 200 мл 85%-ной ортофосфорной кислоты и 0,035 г азотнокислого серебра

. После охлаждения раствора объем его доводят до 1 л дистиллированной водой.
5.2. Проведение анализа
Влияние хлоридов устраняется, если в исследуемой воде их содержится не более 0,1 г.
К аликвотной части исследуемой воды добавляют 5 мл специального реактива и пробу концентрируют кипячением или разбавляют дистиллированной водой до 90 мл. Затем добавляют 1,0 г персульфата аммония и на электрической плитке доводят раствор до кипения и кипятят 1 мин. Снимают с плитки и через 1 мин быстро охлаждают под струей воды, разбавляют раствор дистиллированной водой до 100 мл, перемешивают.
Интенсивность окраски определяют визуально или фотометрически, пользуясь стандартной шкалой, приготовленной в тех же условиях, что исследуемая вода.
Для приготовления стандартной шкалы используется рабочий стандартный раствор сернокислого марганца. Образцовые растворы шкалы содержат от 0,005 до 0,1 мг марганца. Окраска шкалы устойчива 24 ч. Оптическую плотность измеряют с зеленым светофильтром

.
В качестве контрольной жидкости используется дистиллированная вода.
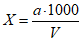
5.3. Обработка результатов
Содержание марганца (X), мг/л определяют по формуле

,
где a - содержание марганца, найденное по стандартной шкале или по калибровочному графику, мг;
V - объем исследуемой воды, взятой для определения, мл.
Допустимое расхождение между повторными определениями - 15% отн.