Главная // Актуальные документы // ГОСТ (Государственный стандарт)СПРАВКА
Источник публикации
Документ опубликован не был
Примечание к документу
Документ утратил силу с 1 июля 2016 года в связи с изданием
Приказа Росстандарта от 18.03.2015 N 135-ст. Взамен введен в действие
ГОСТ 26811-2014.
Документ был включен в
Перечень используемых в Республике Казахстан документов в области стандартизации, а также документов, содержащих правила и методы исследований (испытаний) и измерений, в том числе правила отбора образцов, необходимых для применения и исполнения обязательных требований, предусмотренных
перечнем, утв. Постановлением Правительства РФ от 09.03.2010 N 132, и осуществления оценки соответствия в отношении отдельных видов продукции и связанных с требованиями к ней процессов (
Приказ Ростехрегулирования от 26.03.2010 N 867).
Документ включен в
Перечень показателей, подлежащих подтверждению при обязательной сертификации кондитерских изделий и продуктов сахарной промышленности (
Постановление Госстандарта РФ от 28.04.1999 N 21).
Документ включен в
Перечень показателей, подлежащих подтверждению при обязательной сертификации кондитерских изделий (
Постановление Госстандарта РФ от 17.04.1996 N 4).
Документ
введен в действие с 1 января 1987 года.
Название документа
"ГОСТ 26811-86. Государственный стандарт Союза ССР. Изделия кондитерские. Метод определения массовой доли общей сернистой кислоты"
(введен Постановлением Госстандарта СССР от 27.01.1986 N 206)
"ГОСТ 26811-86. Государственный стандарт Союза ССР. Изделия кондитерские. Метод определения массовой доли общей сернистой кислоты"
(введен Постановлением Госстандарта СССР от 27.01.1986 N 206)
Введен
Постановлением Государственного
комитета СССР по стандартам
от 27 января 1986 г. N 206
ГОСУДАРСТВЕННЫЙ СТАНДАРТ СОЮЗА ССР
ИЗДЕЛИЯ КОНДИТЕРСКИЕ
МЕТОД ОПРЕДЕЛЕНИЯ МАССОВОЙ ДОЛИ ОБЩЕЙ СЕРНИСТОЙ КИСЛОТЫ
Confectionery. Method for determination
of mass fraction of total sulphurous acid
ГОСТ 26811-86
Группа Н49
ОКСТУ 9109
Постановлением Государственного комитета СССР по стандартам от 27 января 1986 г. N 206 срок введения установлен
1 января 1987 года
Переиздание.
Настоящий стандарт распространяется на кондитерские изделия, изготовленные на основе фруктово-ягодного сырья, консервированного сернистым ангидридом, а также кондитерские изделия и полуфабрикаты, изготовленные с добавлением пиросульфита натрия или калия, и устанавливает йодометрический метод определения массовой доли общей сернистой кислоты.
Метод основан на переводе свободного и связанного сернистого ангидрида в натриевую соль сернистой кислоты, которую затем в кислой среде титруют йодометрически.
2. АППАРАТУРА, МАТЕРИАЛЫ И РЕАКТИВЫ
Весы лабораторные общего назначения 3-го класса точности с наибольшим пределом взвешивания 1 кг по ГОСТ 24104-88 или другие весы, отвечающие указанным требованиям по своим метрологическим характеристикам.
Мешалка магнитная ММ-3М.
Колбы конические с притертыми пробками по
ГОСТ 25336-82 вместимостью 250, 500 см3.
Колбы мерные исполнения 1 или 2 2-го класса точности, отливные по
ГОСТ 1770-74 вместимостью 100, 200, 250, 1000 см3.
Цилиндры мерные исполнения 1, 3, отливные по
ГОСТ 1770-74 вместимостью 10, 25, 50, 100 см3.
Пипетки исполнения 2 2-го класса точности по
ГОСТ 20292-74 вместимостью 1, 25, 50 см3.
Бюретки исполнения 1 или 2 2-го класса точности по
ГОСТ 20292-74 вместимостью 5, 10, 25 см3.
Натрия гидроокись по
ГОСТ 4328-77, ч.д.а. или х.ч., c(NaOH) = 1 моль/дм3 (1 н) или калия гидроокись по
ГОСТ 24363-80, ч.д.а. или х.ч., c(KOH) = 1 моль/дм3 (1 н).
Йод по
ГОСТ 4159-79, ч.д.а. или стандарт-титр (фиксанал), в ампулах концентрации:

(0,1 н.) или

(0,01 н.).
Крахмал растворимый по
ГОСТ 10163-76, раствор с массовой долей 1%.
Калий двухромовокислый по
ГОСТ 4220-75, ч.д.а., раствор концентрации

(0,1 н.).
Натрий серноватистокислый по
ГОСТ 27068-86, ч.д.а. или стандарт-титр (фиксанал), в ампулах концентрации

(0,1 н.).
Примечание. Допускается применять импортное оборудование, посуду и реактивы с техническими характеристиками не ниже отечественных аналогов.
3. ПОДГОТОВКА К ИСПЫТАНИЮ
3.1. Приготовление раствора гидроокиси натрия концентрации c(NaOH) = 1 моль/дм3 или раствора гидроокиси калия концентрации c(KOH) = 1 моль/дм3.
40 г гидроокиси натрия или 56 г гидроокиси калия растворяют в дистиллированной воде в мерной колбе вместимостью 1000 см3.
3.2. Приготовление раствора серной кислоты 1:3 по объему
Отмеривают мерным цилиндром нужный объем концентрированной серной кислоты. Отмеривают цилиндром дистиллированную воду, объем которой должен быть в три раза больше объема взятой серной кислоты. Затем осторожно малыми порциями при охлаждении приливают кислоту в воду.
3.3. Приготовление раствора соляной кислоты 1:5 по объему
Отмеривают мерным цилиндром нужный объем концентрированной соляной кислоты. Отмеривают цилиндром дистиллированную воду, объем которой в пять раз больше объема взятой соляной кислоты. Затем осторожно приливают кислоту в воду.
3.4. Приготовление раствора двухромовокислого калия концентрации

4,9033 г двухромовокислого калия растворяют в дистиллированной воде в мерной колбе вместимостью 1000 см3.
3.5. Приготовление раствора крахмала с массовой долей 1%
1 г крахмала растворяют в небольшом объеме дистиллированной воды и вливают 70 - 80 см3 горячей кипяченой дистиллированной воды. По охлаждении объем раствора доводят до 100 см3.
3.6. Приготовление раствора серноватистокислого натрия концентрации

3.6.1. 25 г серноватистокислого натрия растворяют в прокипяченной и охлажденной дистиллированной воде, переносят в мерную колбу вместимостью 1000 см3, доводят содержимое колбы прокипяченной охлажденной дистиллированной водой до метки и перемешивают. Раствор хранят в посуде из темного стекла. Поправочный коэффициент устанавливают через 8 - 10 сут.
3.6.2. Определение поправочного коэффициента раствора серноватистокислого натрия концентрации

В коническую колбу вместимостью 500 см3 вносят 2 г йодистого калия, растворяют его в 2 - 3 см3 дистиллированной воды, прибавляют 5 см3 соляной кислоты (1:5), после чего пипеткой вносят 25 см3 раствора двухромовокислого калия, осторожно перемешивают жидкость, прикрыв колбу часовым стеклом, через 2 мин приливают 200 - 250 см3 дистиллированной воды и оттитровывают раствором серноватистокислого натрия.
Как только жидкость приобретает зеленовато-желтый цвет, приливают около 3 см3 раствора крахмала и продолжают дотитровывать до исчезновения синей окраски.
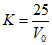
Поправочный коэффициент (K) вычисляют по формуле

,
где 25 - объем раствора двухромовокислого калия, взятый для титрования, см3;

- объем раствора серноватистокислого натрия, израсходованный на титрование, см3.
3.7. Приготовление раствора йода
3.7.1. Приготовление раствора йода концентрации

40 г йодистого калия, взвешенного с погрешностью не более 0,01 г в стакане вместимостью 100 см3, растворяют в 60 см3 дистиллированной воды. Затем в стакан с раствором йодистого калия прибавляют 12,7 г йода, взвешенного с погрешностью не более 0,01 г.
Жидкость перемешивают до полного растворения йода и количественно переносят в мерную колбу вместимостью 1000 см3, затем объем доводят дистиллированной водой до метки и перемешивают. Раствор хранят в посуде из темного стекла с притертой пробкой. Поправочный коэффициент устанавливают не реже одного раза в 10 сут.
Допускается готовить раствор с 25 г йодистого калия, но при этом поправочный коэффициент определяют не реже одного раза в 2 сут.
Допускается готовить раствор йода, используя стандарт-титр (фиксанал) в ампулах концентрации

.
3.7.2. Определение поправочного коэффициента для раствора йода
Поправочный коэффициент для раствора йода концентрации

устанавливают по раствору серноватистокислого натрия концентрации

.
В коническую колбу с притертой пробкой вместимостью 250 см3 вносят пипеткой 25 см3 раствора йода, прибавляют 25 см3 дистиллированной воды и титруют раствором серноватистокислого натрия до перехода бурого окрашивания раствора в соломенно-желтое, а затем прибавляют 1 см3 раствора крахмала и продолжают титрование до полного обесцвечивания.
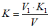
Поправочный коэффициент (K) вычисляют по формуле

,
где

- объем раствора серноватистокислого натрия, израсходованный на титрование, см3;

- поправочный коэффициент раствора серноватистокислого натрия;
V - объем раствора йода, взятый для титрования, см3.
Для установления поправочного коэффициента проводят не менее трех определений.
Поправочный коэффициент вычисляют с точностью до четвертого десятичного знака. Расхождения между коэффициентами не должны превышать 0,001. Из вычисленных значений коэффициентов берут среднее арифметическое. Это значение коэффициента должно быть равным (1,00 +/- 0,03).
3.7.3. Приготовление раствора йода концентрации

.
10 см3 раствора йода концентрации

отмеривают пипеткой в мерную колбу вместимостью 100 см3, доводят объем до метки дистиллированной водой и тщательно перемешивают.
Разбавленные титрованные растворы применяют свежеприготовленными.
Поправочный коэффициент (K) принимают тот же, что и у раствора йода концентрации

по
п. 3.7.2.
Допускается готовить раствор йода концентрации

, используя стандарт-титр (фиксанал) в ампулах концентрации

.
Поправочный коэффициент в этом случае определяют по
п. 3.7.2.
4.1. Испытание мучных кондитерских изделий и полуфабрикатов
20 г измельченного исследуемого продукта взвешивают с погрешностью не более 0,01 г в фарфоровую чашку или химический стакан и количественно переносят в мерную колбу вместимостью 200 - 250 см3, доливают в нее дистиллированную воду до половины объема. Колбу закрывают пробкой и оставляют стоять на 10 мин при частом взбалтывании. Затем содержимое колбы доводят дистиллированной водой до метки, перемешивают и дают выстояться до появления прозрачного отстоя в суспензии. Полученный раствор фильтруют в сухую колбу.
В коническую колбу вместимостью 200 - 250 см3 пипеткой вносят 50 см3 фильтрата и 25 см3 раствора гидроокиси натрия или калия (цилиндром), колбу закрывают пробкой, смесь взбалтывают и оставляют стоять на 15 мин. Затем цилиндром прибавляют 10 см3 раствора серной кислоты (1:3), 1 см3 крахмала и сразу же титруют раствором йода концентрации

до появления синего окрашивания, не исчезающего при перемешивании.
Контрольный опыт проводят в тех же условиях: в коническую колбу вносят 50 см3 дистиллированной воды, 25 см3 раствора гидроокиси натрия или калия, 10 см3 серной кислоты (1:3) и титруют раствором йода в присутствии крахмала.
4.1.1. Обработка результатов
Массовую долю общей сернистой кислоты (X) в процентах вычисляют по формуле

,
где V - объем раствора йода, израсходованный на титрование исследуемого раствора, см3;

- объем раствора йода, израсходованный на контрольное титрование, см3;
K - поправочный коэффициент раствора йода;
0,32 - количество миллиграмм

, соответствующее 1 см3 раствора йода концентрации

;

- вместимость мерной колбы, см3;

- объем фильтрата, взятый для титрования, см3;
m - масса навески изделия, г;
1000 - перерасчет граммов в миллиграммы.
4.1.2. Результаты параллельных определений вычисляют с точностью до четвертого десятичного знака. Результат округляют до третьего десятичного знака.
4.1.3. За окончательный результат испытания принимают среднее арифметическое результатов двух параллельных определений, допускаемые относительные расхождения между которыми не должны превышать 10%.
Предел возможных значений относительной погрешности измерений 15% (P = 0,95).
4.2. Испытание мармелада, пастильных изделий, карамели и конфет с фруктово-ягодными корпусами и начинками
5 г измельченного исследуемого продукта взвешивают с погрешностью не более 0,01 г в фарфоровую чашку или химический стакан, растворяют навеску 50 см3 дистиллированной воды и переносят в коническую колбу с притертой пробкой вместимостью 250 см3. Колбу закрывают пробкой, встряхивают или перемешивают на магнитной мешалке в течение 5 мин. Цилиндром прибавляют 25 см3 раствора гидроокиси натрия или калия, закрывают пробкой, взбалтывают и оставляют стоять на 15 мин. Затем цилиндром прибавляют 10 см3 серной кислоты (1:3), 1 см3 раствора крахмала и сразу же титруют раствором йода концентрации

до появления синего окрашивания, не исчезающего при перемешивании.
Контрольный опыт проводят по
п. 4.1.
4.2.1. Обработка результатов
Массовую долю общей сернистой кислоты

в процентах вычисляют по формуле

,
где V - объем раствора йода, израсходованный на титрование исследуемого раствора, см3;

- объем раствора йода, израсходованный на контрольное титрование, см3;
K - поправочный коэффициент раствора йода;
0,32 - количество миллиграмм

, соответствующее 1 см3 раствора йода концентрации

;
m - масса навески изделия, г;
1000 - перерасчет граммов в миллиграммы.
4.2.2. Результаты параллельных определений вычисляют с точностью до четвертого десятичного знака. Результат округляют до третьего десятичного знака.
4.2.3. За окончательный результат испытания принимают среднее арифметическое результатов двух параллельных определений, допускаемые относительные расхождения между которыми не должны превышать 10%.
Предел возможных значений относительной погрешности измерений 15% (P = 0,95).
5. ТРЕБОВАНИЯ БЕЗОПАСНОСТИ
При работе с реактивами необходимо соблюдать требования безопасности, установленные в стандартах на конкретные реактивы.