Главная // Актуальные документы // ГОСТ (Государственный стандарт)СПРАВКА
Источник публикации
М.: ИПК Издательство стандартов, 2002
Примечание к документу
Документ утратил силу с 01.09.2024 в связи с изданием
Приказа Росстандарта от 13.07.2023 N 516-ст. Взамен введен в действие
ГОСТ 790-2023.
Документ включен в
Перечень стандартов, содержащих правила и методы исследований (испытаний) и измерений, в том числе правила отбора образцов, необходимые для применения и исполнения требований технического
регламента Таможенного союза "Технический регламент на масложировую продукцию" (ТР ТС 024/2011) и осуществления оценки соответствия объектов технического регулирования (
Решение Комиссии Таможенного союза от 09.12.2011 N 883).
Отдельные положения данного документа включены в
Перечень стандартов, содержащих правила и методы исследований (испытаний) и измерений, в том числе правила отбора образцов, необходимые для применения и исполнения требований технического
регламента Таможенного союза "О безопасности парфюмерно-косметической продукции" (ТР ТС 009/2011) и осуществления оценки (подтверждения) соответствия продукции (
Решение Комиссии Таможенного союза от 23.09.2011 N 799).
Документ включен в
Перечень национальных стандартов, содержащих правила и методы исследований (испытаний) и измерений, в том числе правила отбора образцов, необходимые для применения и исполнения Федерального
закона "Технический регламент на масложировую продукцию" и осуществления оценки соответствия (
Распоряжение Правительства РФ от 27.12.2008 N 2008-р).
С 1 июля 2003 года до вступления в силу технических регламентов акты федеральных органов исполнительной власти в сфере технического регулирования носят рекомендательный характер и подлежат обязательному исполнению только в части, соответствующей целям, указанным в
пункте 1 статьи 46 Федерального закона от 27.12.2002 N 184-ФЗ.
Текст данного документа приведен с учетом
поправки, опубликованной в "ИУС", N 7, 2009.
Документ
введен в действие с 1 января 1990 года.
Взамен ГОСТ 790-69.
Название документа
"ГОСТ 790-89. Межгосударственный стандарт. Мыло хозяйственное твердое и мыло туалетное. Правила приемки и методики выполнения измерений"
(утв. и введен в действие Постановлением Госстандарта СССР от 07.02.1989 N 183)
(ред. от 01.04.1997)
"ГОСТ 790-89. Межгосударственный стандарт. Мыло хозяйственное твердое и мыло туалетное. Правила приемки и методики выполнения измерений"
(утв. и введен в действие Постановлением Госстандарта СССР от 07.02.1989 N 183)
(ред. от 01.04.1997)
Утвержден и введен в действие
Постановлением Государственного
комитета СССР по стандартам
от 7 февраля 1989 г. N 183
МЕЖГОСУДАРСТВЕННЫЙ СТАНДАРТ
МЫЛО ХОЗЯЙСТВЕННОЕ ТВЕРДОЕ И МЫЛО ТУАЛЕТНОЕ
ПРАВИЛА ПРИЕМКИ И МЕТОДИКИ ВЫПОЛНЕНИЯ ИЗМЕРЕНИЙ
Hard laundry soap and toilet soap. Acceptance rules
and test methods of measurements
ГОСТ 790-89
| | Список изменяющих документов (в ред. Изменения N 1, принятого в апреле 1997 г.) | |
Группа Р19
ОКСТУ 9144
Дата введения
1 января 1990 года
1. Разработан и внесен Госагропромом СССР.
2. Утвержден и введен в действие Постановлением Государственного комитета СССР по стандартам от 07.02.1989 N 183.
Изменение N 1 принято Межгосударственным Советом по стандартизации, метрологии и сертификации (протокол N 11 от 25.04.1997).
Зарегистрировано Техническим секретариатом МГС N 2441.
За принятие изменения проголосовали:
Наименование государства | Наименование национального органа стандартизации |
Азербайджанская Республика | Азгосстандарт |
Республика Белоруссия | Госстандарт Белоруссии |
Республика Казахстан | Госстандарт Республики Казахстан |
Киргизская Республика | Киргизстандарт |
Республика Молдова | Молдовастандарт |
Республика Таджикистан | Таджикгосстандарт |
Туркменистан | Главная государственная инспекция Туркменистана |
Украина | Госстандарт Украины |
Российская Федерация | Госстандарт России |
3. Взамен ГОСТ 790-69.
4. Ссылочные нормативно-технические документы
Обозначение НТД, на который дана ссылка | Номер пункта |
| |
| |
| |
| |
| |
| |
| |
| |
| |
| |
| |
| |
| |
| |
| |
| |
| |
| |
|
|
ГОСТ 24104-88 | |
| |
| |
| |
ТУ 6-09-5360-87 | |
5. Ограничение срока действия снято по протоколу N 4-93 Межгосударственного Совета по стандартизации, метрологии и сертификации (ИУС 4-94).
6. Издание (июнь 2002 г.) с Изменением N 1, принятым в апреле 1997 г. (ИУС 2-98).
Настоящий стандарт распространяется на хозяйственное твердое мыло и туалетное мыло и устанавливает методы определения физико-химических и органолептических показателей.
1.1. Партией мыла на предприятии считают количество мыла одного наименования, изготовленное этим предприятием, одной даты выработки и предназначенное к одновременной сдаче-приемке.
Партией мыла на оптовых складах или торговых базах считают количество одноименной продукции, поступившей по одному транспортному документу или одной накладной.
Партией мыла в розничной торговой сети считают количество одноименной продукции, полученной по одной накладной или одному счету.
1.1а. Каждая партия мыла, отгружаемая с предприятия-изготовителя, должна сопровождаться документом о качестве с указанием:
наименования предприятия-изготовителя, его товарного знака и адреса;
наименования и группы мыла (на языке суверенного государства, на территории которого находится предприятие-изготовитель, или на другом языке, согласованном в договорах о поставках);
даты выработки;
массы партии и количества мест;
номера партии и даты отгрузки;
надписи "соответствует стандарту";
информации о сертификации.
(Введен дополнительно, Изм. N 1).
1.2. Для оценки качества мыла отбирают среднюю пробу: от каждой партии туалетного мыла - 3% ящиков, коробов, пакетов; от каждой партии хозяйственного мыла - 1% ящиков, но не менее трех мест от партии.
При отгрузке туалетного мыла в коробках или пачках для составления средней пробы отбирают от каждой партии 0,1% коробок или пачек, но не менее трех мест от партии.
1.3. При получении неудовлетворительных результатов испытаний хотя бы по одному из показателей проводят повторные испытания на удвоенной выборке или пробе. Результаты повторных испытаний распространяются на всю партию.
| | Раздел 2 содержит правила и методы исследований (испытаний) измерений, в том числе правила отбора образцов, необходимые для применения и исполнения требований технического регламента Таможенного союза "О безопасности парфюмерно-косметической продукции" (ТР ТС 009/2011) и осуществления оценки (подтверждения) соответствия продукции (Решение Комиссии Таможенного союза от 23.09.2011 N 799). | |
2. ОТБОР ПРОБ И ПОДГОТОВКА ИХ К ИСПЫТАНИЮ
2.1. Из каждой контрольной упаковочной единицы с хозяйственным или туалетным мылом массой нетто 4 кг и более отбирают 3 куска мыла по любой диагонали (из верхнего и нижнего углов и из среднего ряда), а из каждой контрольной упаковочной единицы с туалетным мылом массой нетто менее 4 кг - по одному куску.
При массе кусков туалетного мыла менее 200 г количество кусков, отбираемых от контрольных мест, соответственно увеличивается. Общая масса средней пробы от данной партии должна быть не менее 600 г.
2.2. Каждый кусок мыла средней пробы, отобранный для измерений, взвешивают, записывая результат в граммах до первого десятичного знака, и вычисляют среднюю массу куска для измерения в нем качественного числа (массы жирных кислот, в пересчете на номинальную массу куска 100 г).
2.3. Отбор пробы для измерения массовой доли свободной едкой щелочи и свободного углекислого натрия проводят из каждого куска мыла, входящего в среднюю пробу. Для этой дели применяют пробоотборник, который представляет собой металлическую трубку длиной 100 мм и внутренним диаметром от 5 до 10 мм.
На одном конце трубки плотно укреплено литое кольцо для удобства пользования, второй конец трубки заострен. Пробоотборник должен быть снабжен стержнем длиной 100 - 105 мм и головкой для выталкивания отобранной пробы мыла.
При отборе пробы хозяйственного мыла пробоотборником делают проколы по всей высоте куска мыла: один в центре и второй у края. Каждую выделенную пробу мыла быстро разрезают пополам поперек, затем вдоль и помещают в четыре взвешенные колбы по 1/4 из каждой пробы. Содержимое двух колб используют для определения массовой доли свободной едкой щелочи, двух других - для измерения массовой доли углекислого натрия. При отборе пробы туалетного мыла делают четыре прокола: два в центре и два у противоположных краев куска. Остальные операции проводят так же, как с хозяйственным мылом.
2.2, 2.3. (Измененная редакция, Изм. N 1).
2.4. (Исключен, Изм. N 1).
2.5. Для измерения физико-химических показателей пробу для анализа готовят следующим образом: истирают на терке половину каждого куска из средней пробы, полученную стружку высыпают на чистую сухую гладкую поверхность, быстро и хорошо перемешивают и методом квартования сокращают до 500 г. Эту пробу помещают в банку с плотной пробкой и оставляют в эксикаторе без водопоглощающих средств на 24 ч для равномерного распределения влаги.
(Измененная редакция, Изм, N 1).
3.1. Определение органолептических показателей проводится при температуре мыла не ниже 18 °C и не выше температуры окружающего воздуха лабораторного помещения. Если мыло хранилось до отбора проб при температуре ниже или выше указанной, то перед определением органолептических показателей мыло должно быть выдержано при указанной температуре в течение суток.
Консистенцию куска мыла определяют на ощупь легким надавливанием пальцами, не допуская деформации куска. Цвет мыла определяют визуально, а запах - органолептически, непосредственно после разрезания анализируемого куска на части.
3.2. Измерение массовой доли жирных кислот
3.2.1. Аппаратура, реактивы и материалы
Весы лабораторные по ГОСТ 24104 <*> 2-го класса точности с наибольшим пределом взвешивания 200 г.
--------------------------------
Цилиндры 1-25, 1-50, 3-25, 3-50 по
ГОСТ 1770.
Воронки В-75-110, В-75-140, В-100-150 ХС по
ГОСТ 25336.
Баня водяная.
Шкаф сушильный с терморегулятором, обеспечивающим погрешность поддержания температуры не более 3 °C.
Кислота соляная по
ГОСТ 3118, раствор с массовой долей 20%.
Натрий сернокислый безводный по
ГОСТ 4166, свежепрокаленный.
Кислота серная по
ГОСТ 4204, раствор с массовой долей 20%.
Спирт этиловый ректификованный по
ГОСТ 5962 <*> или спирт этиловый технический (гидролизный) по
ГОСТ 17299-78.
--------------------------------
Метиловый оранжевый, водный раствор с массовой долей 0,1%
[2].
Фенолфталеин по ТУ 6-09-5360, спиртовой раствор с массовой долей 1%.
Натрий хлористый по
ГОСТ 4233, раствор с массовой долей 10%.
Натрия гидроокись по
ГОСТ 4328, спиртовой раствор концентрацией c (NaOH) = 0,5 моль/дм3.
Кальций хлористый обезвоженный чистый
[3].
Допускается применение импортного лабораторного оборудования и приборов с аналогичными метрологическими характеристиками.
3.2.2. Для выполнения измерения из пробы, подготовленной, как указано в
разделе 2, отвешивают (5 +/- 0,5) г мыла, записывая результат до третьего десятичного знака, и растворяют в 60 см3 нагретой до кипения дистиллированной воды.
Раствор охлаждают до 35 - 40 °C и переносят в делительную воронку N 1, в которую добавляют 5 капель метилового оранжевого, затем добавляют раствор соляной или серной кислоты до появления неисчезающего розового оттенка водного слоя.
Содержимое делительной воронки N 1 перемешивают круговым вращением и после охлаждения и выделения жирных кислот добавляют 50 см3 этилового эфира.
Колбу споласкивают два раза дистиллированной водой (по 25 см3), один раз раствором соляной или серной кислоты (5 см3) и затем этиловым эфиром (25 см3).
Воду, кислоту и эфир после каждого ополаскивания колбы сливают в делительную воронку N 1.
Содержимое воронки слегка перемешивают круговым вращением, дают кислому водному слою отстояться и затем его сливают в делительную воронку N 2, в которой его вторично обрабатывают 30 см3 этилового эфира. Отстоявшийся в делительной воронке N 2 водный слой удаляют, а эфирную вытяжку из нее переносят в делительную воронку N 1.
Полученный в делительной воронке N 2 эмульгированный водный слой экстрагируют в третий раз в делительной воронке N 3 25 см3 этилового эфира. Отстоявшийся в делительной воронке N 3 водный слой удаляют, а эфирную вытяжку из нее переносят в делительную воронку N 1.
Делительную воронку N 2 ополаскивают этиловым эфиром, который сливают в делительную воронку N 1. Эфирные вытяжки жирных кислот трижды промывают в делительной воронке N 1 раствором хлористого натрия (по 30 см3 раствора) до нейтральной реакции промывной воды по метиловому оранжевому. Затем эфирные вытяжки фильтруют в колбу, предварительно взвешенную до постоянной массы, поместив на фильтр около 5 г безводного сернокислого натрия. Делительную воронку N 1 ополаскивают этиловым эфиром. Фильтр с осадком так же промывают этиловым эфиром. При слабом нагревании на водяной бане из колбы отгоняют почти весь эфир и растворяют остаток в колбе 30 - 40 см3 предварительно нейтрализованного этилового спирта. Спиртовой раствор жирных кислот титруют раствором гидроокиси натрия в присутствии 2 - 3 капель фенолфталеина и отгоняют спирт на кипящей водяной бане.
Колбу сушат в сушильном шкафу в течение 2 ч при температуре (120 +/- 3) °C, после чего охлаждают в эксикаторе 40 мин и взвешивают, записывая результат до четвертого десятичного знака. Последующие взвешивания проводят через каждый час просушки.
Массу считают постоянной, если разница между последующими взвешиваниями не будет превышать 0,002 г. При увеличении массы берут данные предыдущего взвешивания.
3.2.3. Массовую долю жирных кислот (X) в процентах вычисляют по формуле

,
где

- масса остатка в колбе после высушивания, г;
V - объем спиртового раствора гидроокиси натрия концентрацией c (NaOH) = 0,5 моль/дм3, израсходованный на титрование, см3;
K - поправка, учитывающая отношение действительной концентрации раствора гидроокиси натрия в моль/дм3 к номинальной концентрации c (NaOH) = 0,5 моль/дм3;
m - масса анализируемой пробы мыла, г;
0,011 - разность между атомной массой натрия и водорода, эквивалентная 1 см3 спиртового раствора гидроокиси натрия концентрацией c (NaOH) = 0,5 моль/дм3.
За результат измерений принимают среднеарифметическое значение результатов двух параллельных измерений.
Вычисления проводят до первого десятичного знака.
Результат округляют до целого числа.
Расхождения между параллельными измерениями не должны превышать для туалетного мыла 0,5%, для хозяйственного мыла - 0,8% при доверительной вероятности 0,95.
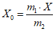
3.2.4. Вычисление качественного числа
Качественное число (Кч) в граммах вычисляют по формуле

,
где X - масса жирных кислот в 100 г мыла, г, вычисленная по
п. 3.2.3;
m - фактическая масса куска, г;

- номинальная масса куска, г.
3.2 - 3.2.4. (Измененная редакция, Изм. N 1).
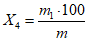
3.2.5. Массовую долю жирных кислот в туалетном мыле в пересчете на номинальную массу куска мыла

в процентах вычисляют по формуле

,
где

- фактическая масса куска, г;
X - фактическая массовая доля жирных кислот, %;

- номинальная масса куска, г.
3.3. Измерение массовой доли свободной едкой щелочи
3.3.1. Аппаратура и реактивы
Весы лабораторные по ГОСТ 24104, 2-го класса точности с наибольшим пределом взвешивания 200 г.
Холодильники обратные трубчатые длиной 1 м.
Цилиндры 1-25; 1-100; 3-25; 3-100 по
ГОСТ 1770.
Бюретки 1-1(3)-2-5-0,02, 1-1(3)-2-25-0,1 по
ГОСТ 29251.
Баня водяная.
Спирт этиловый ректификованный по
ГОСТ 5962 или спирт этиловый технический (гидролизный) по
ГОСТ 17299, раствор с объемной долей 60%.
Барий хлористый по
ГОСТ 4108, раствор с массовой долей 10%.
Кислота соляная по
ГОСТ 3118, раствор концентрации c (HCl) = 0,1 моль/дм3.
Фенолфталеин по ТУ 6-09-5360, спиртовой раствор с массовой долей 1%.
Допускается применение импортного лабораторного оборудования и приборов с аналогичными метрологическими характеристиками.
3.3.2. Для выполнения измерения в колбе отвешивают (5 +/- 0,5) г мыла, записывая результат до третьего десятичного знака, и приливают 100 см3 предварительно нейтрализованного в присутствии фенолфталеина спирта.
Колбу соединяют с обратным холодильником, нагревают на водяной бане до растворения мыла, затем в горячий раствор добавляют 25 см3 нейтрализованного раствора хлористого бария.
Не отфильтровывая выпавший осадок, горячий раствор титруют при интенсивном взбалтывании раствором соляной кислоты в присутствии 2 - 3 капель раствора фенолфталеина.
При анализе окрашенного мыла титрование проводят в присутствии контрольной пробы для сравнения цвета раствора при титровании.
Контрольную пробу готовят так же, как и основную, только после осаждения мыла хлористым барием в колбу с контрольной пробой не добавляют фенолфталеина. Титрование рабочей пробы ведут до цвета контрольной пробы.
3.3.3. Массовую долю свободной едкой щелочи

в процентах вычисляют по формуле

,
где V - объем раствора соляной кислоты концентрацией c (HCl) = 0,1 моль/дм3, израсходованный на титрование, см3;
K - поправка, учитывающая отношение действительной концентрации раствора соляной кислоты в моль/дм3 к номинальной концентрации c (HCl) = 0,1 моль/дм3;
m - масса анализируемой пробы мыла, г;
0,004 - масса едкой щелочи, эквивалентная 1 см3 раствора соляной кислоты концентрацией c (HCl) = 0,1 моль/дм3.
За результат измерения принимают среднеарифметическое значение результатов двух параллельных измерений.
Вычисления проводят до второго десятичного знака.
Расхождения между результатами параллельных измерений, в процентах, при доверительной вероятности 0,95, не должны превышать:
для туалетного мыла:
0,01 - при норме массовой доли свободной едкой щелочи 0,03 - 0,05%;
для хозяйственного мыла:
0,03 - при норме массовой доли свободной едкой щелочи не выше 0,15%;
0,05 - при норме массовой доли свободной едкой щелочи не выше 0,20%.
3.4. Измерение массовой доли свободного углекислого натрия
3.4.1. Аппаратура и реактивы
Весы лабораторные по ГОСТ 24104, 2-го класса точности с наибольшим пределом взвешивания 200 г.
Холодильники обратные трубчатые длиной 1 м.
Бюретки 1-1(3)-2-5-0,02, 1-1(3)-2-10-0,05, 1-1(3)-2-25-0,1 по
ГОСТ 29251.
Баня водяная.
Спирт этиловый ректификованный по
ГОСТ 5962 или спирт этиловый технический (гидролизный) по
ГОСТ 17299, раствор с объемной долей 65%.
Кислота соляная по
ГОСТ 3118, раствор концентрацией c (HCl) = 0,1 моль/дм3.
Фенолфталеин по ТУ 6-09-5360, спиртовой раствор с массовой долей 1%.
Допускается применение импортного лабораторного оборудования и приборов с аналогичными метрологическими характеристиками.
3.4.2. Для выполнения измерения в колбе отвешивают (5 +/- 0,5) г мыла, записывая результат до третьего десятичного знака, приливают 75 см3 предварительно нейтрализованного в присутствии фенолфталеина спирта. Колбу соединяют с обратным холодильником и нагревают до растворения мыла.
Охлажденный до комнатной температуры раствор титруют раствором соляной кислоты в присутствии 2 - 3 капель фенолфталеина.
При анализе окрашенного мыла титрование проводят в присутствии контрольной пробы для установления конца титрования. Контрольную пробу готовят так же, как основную, но без добавления фенолфталеина. Рабочую пробу титруют до получения цвета контрольной пробы.
3.4.3. Массовую долю свободного углекислого натрия

в процентах вычисляют по формуле

,
где V - объем раствора соляной кислоты концентрацией c (HCl) = 0,1 моль/дм3, израсходованный на титрование, см3;
K - поправка, учитывающая отношение действительной концентрации раствора соляной кислоты в моль/дм3, к номинальной концентрации c (HCl) = 0,1 моль/дм3;
m - масса анализируемой пробы мыла, г;
| | ИС МЕГАНОРМ: примечание. В официальном тексте документа, видимо, допущена опечатка: имеется в виду пункт 3.3.3, а не пункт 2.3.3. | |

- массовая доля свободной едкой щелочи в процентах, определяемая по
п. 2.3.3;
0,4 - масса едкой щелочи, эквивалентная 1 см3 раствора соляной кислоты концентрацией c (HCl) = 0,1 моль/дм3/г, умноженная на 100;
2,65 - коэффициент пересчета едкой щелочи на углекислый натрий.
За результат измерения принимают среднеарифметическое значение результатов двух параллельных измерений.
Вычисления проводят до второго десятичного знака.
Расхождения между параллельными измерениями не должны превышать 0,05% при доверительной вероятности 0,95.
Массовую долю свободного углекислого натрия в мыле в пересчете на номинальную массу куска

в процентах вычисляют по формуле

,
где

- массовая доля свободного углекислого натрия, %;
m - средняя масса куска мыла, г;

- номинальная масса куска мыла, г.
3.3 - 3.4.3. (Измененная редакция, Изм. N 1).
3.4а. Вычисление массовой доли свободной углекислой соды
Массовую долю содопродуктов (X') в процентах в пересчете на

вычисляют по формуле

,
где 0,775 - коэффициент пересчета гидроокиси натрия на

;

- массовая доля свободной едкой щелочи, в процентах, вычисленная по
п. 3.3;
0,590 - коэффициент пересчета углекислого натрия на

;

- массовая доля свободного углекислого натрия, в процентах, вычисленная по
п. 3.4.
(Введен дополнительно, Изм. N 1).
3.5 - 3.5.3. (Исключены, Изм. N 1).
3.6. Измерение температуры застывания жирных кислот, выделенных из мыла
3.6.1. Аппаратура, реактивы и материалы
Весы лабораторные по ГОСТ 24104, 3 или 4-го класса точности с наибольшим пределом взвешивания 1 кг.
Сифон стеклянный.
Шкаф сушильный с терморегулятором, обеспечивающим погрешность поддержания температуры не более 3 °C.
Кислота серная по
ГОСТ 4204, раствор с массовой долей 30%.
Метиловый оранжевый (пара-диметиламиноазобензолсульфокислый натрий), водный раствор с массовой долей 0,1%
[2].
Допускается применение импортного лабораторного оборудования и приборов с аналогичными метрологическими характеристиками.
3.6.2. При подготовке к измерению 40 - 50 г стружки мыла (с общим содержанием жирных кислот не менее 30 г) растворяют в 300 - 400 см3 горячей воды в фарфоровой чашке. После растворения мыло разлагают раствором серной кислоты в присутствии метилового оранжевого.
Раствор серной кислоты добавляют до получения неисчезающей розовой окраски водного слоя. Раствор нагревают до тех пор, пока жирные кислоты не всплывут наверх в виде прозрачного слоя. Кислый водный слой сливают при помощи сифона, а жирные кислоты промывают несколько раз горячей водой до нейтральной реакции промывных вод по метиловому оранжевому.
После того как жирные кислоты промыты, их охлаждают и с образовавшейся лепешки удаляют фильтровальной бумагой влагу. Затем эти кислоты переносят в сухой стакан и помещают в сушильный шкаф, температура в котором должна превышать предполагаемую температуру застывания на 10 - 15 °C. После расплавления жирные кислоты фильтруют через двойной складчатый фильтр в другой стакан.
3.6.3. Выполнение измерения
Прибор Жукова наполняют жирными кислотами в сушильном шкафу с таким расчетом, чтобы уровень жирных кислот не достигал шейки прибора на 1,5 - 2,0 см. Затем прибор вынимают из шкафа и закрывают пробкой, через которую проходит термометр. Шарик термометра должен находиться в центре массы жирных кислот.
Прибор берут в руки так, чтобы основание его опиралось на большой палец, а указательным и средним пальцем прижимают пробку. Прибор плавно перевертывают несколько раз до появления хорошо выраженного помутнения, а затем ставят на стол и записывают изменения температуры через каждые 30 с.
Температурой застывания жирных кислот считают ту, при которой задерживается падение ртутного столбика термометра. Если в процессе падения ртутного столбика будет наблюдаться не только задержка, но и некоторое его повышение, то температурой застывания жирных кислот считают максимальную температуру подъема. Измерение повторяют с новой навеской мыла.
За результат измерения принимают среднеарифметическое значение результатов двух параллельных измерений.
Расхождения между параллельными измерениями не должны превышать 0,4 °C при доверительной вероятности 0,95.
3.7. Измерение массовой доли примесей, нерастворимых в воде
3.7.1. Аппаратура, реактивы и материалы
Весы лабораторные по ГОСТ 24104, 2-го класса точности с наибольшим пределом взвешивания 200 г.
Воронки В-75-110, В-75-140, В-100-150 ХС по
ГОСТ 25336.
Шкаф сушильный с терморегулятором, обеспечивающим погрешность поддержания температуры не более 3 °C.
Баня водяная.
Кальций хлористый обезвоженный чистый
[3].
Спирт этиловый ректификованный по
ГОСТ 5962 или спирт этиловый технический (гидролизный) по
ГОСТ 17299, раствор объемной долей 60%.
Фенолфталеин по ТУ 6-09-5360, спиртовой раствор с массовой долей 1%.
Кислота соляная по
ГОСТ 3118, раствор с массовой долей 20%.
Допускается применение импортного лабораторного оборудования и приборов с аналогичными метрологическими характеристиками.
3.7.2. Для выполнения измерения отвешивают 5 - 7 г мыла, записывая результат до третьего десятичного знака, и растворяют в конической колбе в 80 - 100 см3 спирта при нагревании на водяной бане.
Раствор фильтруют через фильтр, предварительно высушенный до постоянной массы при (103 +/- 3) °C. Осадок на фильтре промывают горячим спиртом до полного удаления мыла (проба с соляной кислотой на отсутствие помутнения). Затем осадок промывают доведенной до кипения водой до полного отмывания углекислого натрия (промывные воды при добавлении фенолфталеина не должны окрашиваться).
Фильтр с промытым осадком сушат в сушильном шкафу в течение 1 ч при температуре (103 +/- 3) °C, после чего охлаждают в эксикаторе 40 мин и взвешивают.
Результат записывают с точностью до четвертого знака.
Последующие взвешивания производят через каждые 30 мин сушки.
Массу считают постоянной, если разница между последующими взвешиваниями не будет превышать 0,002 г. При увеличении массы берут данные предыдущего взвешивания.
3.7.3. Массовую долю примесей, нерастворимых в воде,

в процентах вычисляют по формуле

,
где m - масса анализируемой пробы мыла, г;

- масса осадка на фильтре, г.
За результат измерения принимают среднеарифметическое значение результатов двух параллельных измерений.
Вычисления проводят до второго десятичного знака.
Расхождения между параллельными измерениями не должны превышать 0,1% при доверительной вероятности 0,95.
Массовую долю примесей, нерастворимых в воде, в пересчете на номинальную массу куска мыла

в процентах вычисляют по формуле

,
где

- массовая доля примесей, нерастворимых в воде, %;
m - средняя масса куска мыла, г;

- номинальная масса куска мыла, г.
3.8. Измерение массовой доли хлористого натрия
3.6 - 3.8. (Измененная редакция, Изм. N 1).
3.8.1. Аппаратура, реактивы и материалы
Весы лабораторные по ГОСТ 24104, 2-го класса точности с наибольшим пределом взвешивания 200 г;
Стакан В-1-400, Н-1-400, В-1-600, Н-1-600 ТХС по
ГОСТ 25336.
Палочки стеклянные оплавленные, длина которых соответствует высоте стаканов.
Цилиндры 1-25; 1-50; 1-100; 1-500; 3-25; 3-50; 3-100 по
ГОСТ 1770.
Воронки В-75-110, В-75-140, В-100-150 ХС по
ГОСТ 25336.
Баня водяная.
Кислота серная по
ГОСТ 4204, раствор концентрацией

.
Фенолфталеин по ТУ 6-09-5360-87, спиртовой раствор с массовой долей 1%.
Серебро азотнокислое по
ГОСТ 1277, раствор концентрацией

.
Магний азотнокислый по
ГОСТ 11088, раствор с массовой долей 20%.
Допускается применение импортного лабораторного оборудования и приборов с аналогичными метрологическими характеристиками.
3.8.2. Для приготовления индикатора 5 г хромовокислого калия растворят в 30 см3 дистиллированной воды, добавляют раствор азотнокислого серебра до образования осадка светло-красного цвета, затем осадок отфильтровывают и фильтрат разбавляют дистиллированной водой до 100 см3.
3.8.3. Для выполнения измерений отвешивают (5 +/- 0,5) г мыла, записывая результат с точностью до третьего десятичного знака, помещают в химический стакан, добавляют 300 см3 дистиллированной воды и нагревают почти до кипения.
Слегка охладив содержимое стакана, приливают для перевода в нерастворимое мыло избыток раствора азотнокислого магния (обычно добавляют 25 см3), перемешивают палочкой, дают отстояться и фильтруют в коническую колбу. Осадок на фильтре тщательно промывают дистиллированной водой до отрицательной реакции на ион хлора (проба с азотнокислым серебром - отсутствие помутнения).
Фильтрат в колбе охлаждают до комнатной температуры и нейтрализуют в присутствии фенолфталеина раствором серной кислоты. Избыток кислоты не должен превышать одной капли. Затем на каждые 100 см3 раствора прибавляют 1 см3 индикатора и титруют раствором азотнокислого серебра до появления устойчивой красноватой окраски.
Одновременно проводят контрольное измерение. Для этого в колбу вместимостью 1000 см3 наливают 300 см3 дистиллированной воды, 25 см3 раствора азотнокислого магния, добавляют воду, взятую для промывания осадка и фенолфталеин, затем добавляют при перемешивании палочкой небольшое количество (на кончике шпателя) углекислого кальция до появления помутнения, аналогичного появляющемуся при титровании основной пробы, и титруют раствором азотнокислого серебра до получения той же окраски, что и при основном измерении.
3.8.4. Массовую долю хлористого натрия

в процентах вычисляют по формуле

,
где V - объем раствора азотнокислого серебра концентрацией

, израсходованный на титрование контрольной пробы, см3;
K - поправка, учитывающая отношение действительной концентрации раствора азотнокислого серебра в моль/дм3 к номинальной концентрации

;

- объем раствора азотнокислого серебра концентрацией

, израсходованный на титрование испытуемой пробы, см3;
m - масса анализируемой пробы, г;
0,005845 - масса хлористого натрия, эквивалентная 1 см3 раствора азотнокислого серебра концентрацией

, г.
За результат измерения принимают среднеарифметическое значение результатов двух параллельных измерений.
Вычисления проводят до второго десятичного знака.
Результат округляют до первого десятичного знака.
Расхождения между параллельными измерениями, в процентах, при доверительной вероятности 0,95, не должны превышать:
0,04 - при норме массовой доли хлористого натрия не выше 0,4%;
0,05 - при норме массовой доли хлористого натрия не выше 0,5%;
0,07 - при норме массовой доли хлористого натрия не выше 0,7%.
3.8.3 - 3.8.4. (Измененная редакция, Изм. N 1).
3.9 - 3.9.4, 3.10 - 3.10.3. (Исключен, Изм. N 1).
Обязательное
ПРИБОР ЖУКОВА, ДЛЯ ОПРЕДЕЛЕНИЯ ТЕМПЕРАТУРЫ ЗАСТЫВАНИЯ
Черт. 1
Обязательное
ПРИБОР ВНИИЖ ДЛЯ ОПРЕДЕЛЕНИЯ ПЕНООБРАЗУЮЩЕЙ СПОСОБНОСТИ МЫЛА
1 - маховик; 2 - шатун; 3 - зажимное кольцо;
4 - гнездо для делительной воронки; 5 - делительная воронка;
6 - направляющие планки; 7 - электродвигатель; 8 - редуктор
Черт. 2
Справочное
1. Измерение массовой доли суммы неомыляемых органических веществ и неомыленного жира
1.1. Аппаратура и реактивы
Весы лабораторные по ГОСТ 24104, 2-го класса точности с наибольшим пределом взвешивания 200 г.
Воронки В-75-110, В-75-140, В-100-150 ХС по
ГОСТ 25336.
Цилиндры 1-50, 1-100, 3-50, 3-100 по
ГОСТ 1770.
Шкаф сушильный с терморегулятором, обеспечивающим погрешность поддержания температуры (+/- 3) °C.
Баня водяная.
Спирт этиловый ректификованный по
ГОСТ 5962 или спирт этиловый технический (гидролизный) по
ГОСТ 17299, растворы с объемной долей 60% и не менее 96%.
Фенолфталеин
[6], спиртовой раствор с массовой долей 1%.
Натрий сернокислый безводный по
ГОСТ 4166, свежепрокаленный.
Кальций хлористый обезвоженный чистый
[3].
Эфир петролейный
[7] (фракция, выкипающая в пределах 35 - 50 °C).
Допускается применение другой аппаратуры и реактивов, по качеству и метрологическим характеристикам не уступающих перечисленным выше.
1.2. Выполнение измерения
1.2.1. В конической колбе взвешивают 10 - 15 г испытуемого мыла, записывая результат до третьего десятичного знака, растворяют в 75 - 100 см3 этилового спирта с объемной долей 60% при нагревании на водяной бане, затем раствор помещают в делительную воронку N 1, колбу ополаскивают этиловым спиртом с объемной долей 60%, сливая его в ту же воронку.
Раствор в делительной воронке сильно встряхивают вместе с 50 см3 петролейного эфира, дают ему отстояться, нижний слой сливают в воронку N 2, где его вновь обрабатывают 50 см3 петролейного эфира. После отстаивания нижний слой удаляют, а эфирную вытяжку сливают в делительную воронку N 1. Эмульсии, получающиеся иногда при обработке раствора мыла эфиром, разрушают прибавлением 1 - 3 см3 спирта с объемной долей не менее 96%. Соединенные эфирные вытяжки промывают в делительной воронке N 1 этиловым спиртом с объемной долей 60% при легком встряхивании до полного удаления остатков мыла (промывная жидкость, разбавленная водой и подогретая, не должна окрашиваться в присутствии фенолфталеина). Эфирный раствор фильтруют во взвешенную колбу через бумажный фильтр, на который помещают около 5 г безводного сернокислого натрия. Фильтр и находящийся на нем сернокислый натрий промывают петролейным эфиром. Петролейный эфир отгоняют на водяной бане и остаток в колбе сушат в шкафу при 73 - 75 °C до постоянной массы.
Высушивание считают законченным, если при выдержке в шкафу в течение 15 мин разница между двумя последовательными взвешиваниями будет не более 0,002 г.
1.3. Обработка результатов
1.3.1. Массовую долю суммы неомыляемых органических веществ и неомыленного жира

в процентах от массы жирных кислот вычисляют по формуле

,
где

- масса остатка в колбе после высушивания, г;
m - масса анализируемой пробы мыла, г;
X - массовая доля жирных кислот в процентах, измеряемая по
п. 3.2.
За окончательный результат измерения принимают среднеарифметическое значение результатов двух параллельных измерений, расхождения между которыми не должны превышать 0,02%, при доверительной вероятности 0,95.
Вычисления проводят до второго десятичного знака.
2. Измерение йодного числа жирных кислот, выделенных из мыла (метод Кауфмана)
Измерение йодного числа проводят по ГОСТ 5475,
раздел 2, с заменой текста
п. 2.3 на приведенный ниже:
"Пробу жирных кислот, выделенных из мыла таким же путем, как для определения температуры застывания жирных кислот, взятую по разности в количестве 0,3 - 0,5 г, с записью результата до третьего десятичного знака, помещают в колбу вместимостью 500 см3 с хорошо притертой пробкой. Жирные кислоты должны быть предварительно хорошо перемешаны. К пробе прибавляют 10 см3 хлороформа и легким вращением колбы растворяют жирные кислоты.
Из бюретки наливают 20 см3 раствора бромистого натрия и брома в метиловом спирте, при этом в колбе часть бромистого натрия в виде осадка выделяется из раствора.
Содержимое колбы перемешивают и колбу ставят в темное место при температуре 20 °C на 30 мин.
После этого в колбу приливают 15 см3 раствора йодистого калия и титруют раствором серноватистокислого натрия до светло-желтой окраски. Затем добавляют в качестве индикатора 1 см3 водного раствора крахмала, при этом раствор окрашивается в синий цвет. Титрование продолжают до полного исчезновения окраски.
Одновременно в тех же условиях и с теми же растворами проводят контрольный опыт без пробы жирных кислот".
3. Измерение первоначального объема пены (по методу ВНИИЖ)
3.1. Аппаратура, реактивы
Прибор ВНИИЖ для определения пенообразующей способности мыла (см.
Приложение 2).
Термометр жидкостный стеклянный по
ГОСТ 28498, позволяющий измерять температуру в интервале (0 - 100) °C, с ценой деления (1 - 2) °C.
Плитка электрическая бытовая.
Кальций хлористый обезвоженный
[3].
Допускается применение других аппаратуры и реактивов, по качеству и метрологическим характеристикам не уступающим перечисленным выше.
3.2. Подготовка к измерению
Воду с жесткостью 5,35 мг экв/дм3 приготавливают следующим образом: 0,194 г хлористого кальция и 0,219 г сернокислого магния растворяют в 1 дм3 дистиллированной воды.
Затем приготавливают мыльный раствор с массовой долей 0,5% жирных кислот. Для этого пробу мыла, содержащую 1,5 г жирных кислот, растворяют в нагретой до 80 °C жесткой воде, охлаждают и доводят жесткой водой до объема 300 см3.
Раствор туалетного мыла должен иметь температуру 20 °C, раствор хозяйственного мыла - 50 °C (от соприкосновения со стенками воронки раствор охлаждается на 5 °C).
3.3. Выполнение измерения
100 см3 исследуемого мыльного раствора наливают в воронку прибора, закрывают ее пробкой и встряхивают в течение 1 мин (около 180 встряхиваний). Затем быстро вынимают пробку и сразу измеряют объем пены в делительной воронке и ее конусной части.
За окончательный результат измерения принимают среднеарифметическое значение результатов трех параллельных измерений, проводимых каждый раз с новой порцией мыльного раствора.
Расхождения между результатами параллельных измерений, в процентах, при доверительной вероятности 0,95, не должны превышать:
21 - при норме первоначального объема пены не выше 300 см3;
22 - при норме первоначального объема пены не выше 320 см3;
24 - при норме первоначального объема пены не выше 350 см3.
Справочное
БИБЛИОГРАФИЯ
| Эфир этиловый |
| Метиловый оранжевый |
| Кальций хлористый обезвоженный чистый |
| Секундомеры |
| Фенолфталеин |
| Эфир петролейный. |