Главная // Актуальные документы // ГОСТ (Государственный стандарт)СПРАВКА
Источник публикации
М.: ИПК Издательство стандартов, 2001
Примечание к документу
Документ утратил силу на территории Российской Федерации с 1 января 2007 года в связи с изданием
Приказа Ростехрегулирования от 29.12.2005 N 494-ст. Взамен введен в действие
ГОСТ Р 52472-2005.
Отдельные положения данного документа включены в
Перечень международных и региональных (межгосударственных) стандартов, а в случае их отсутствия - национальных (государственных) стандартов, содержащих правила и методы исследований (испытаний) и измерений, в том числе правила отбора образцов, необходимые для применения и исполнения требований технического
регламента Евразийского экономического союза "О безопасности алкогольной продукции" (ТР ЕАЭС 047/2018) и осуществления оценки соответствия объектов технического регулирования (
Решение Коллегии Евразийской экономической комиссии от 17.05.2022 N 80).
Документ включен в
Перечень стандартов, содержащих правила и методы исследований (испытаний) и измерений, в том числе правила отбора образцов, необходимые для применения и исполнения требований технического
регламента "О безопасности пищевой продукции" (ТР ТС 021/2011) и осуществления оценки (подтверждения) соответствия продукции (
Решение Комиссии Таможенного союза от 09.12.2011 N 880).
С 1 июля 2003 года до вступления в силу технических регламентов акты федеральных органов исполнительной власти в сфере технического регулирования носят рекомендательный характер и подлежат обязательному исполнению только в части, соответствующей целям, указанным в
пункте 1 статьи 46 Федерального закона от 27.12.2002 N 184-ФЗ.
Документ
введен в действие с 1 января 1995 года.
Взамен ГОСТ 5363-82.
Название документа
"ГОСТ 5363-93. Межгосударственный стандарт. Водка. Правила приемки и методы анализа"
(введен в действие Постановлением Госстандарта России от 21.07.1994 N 195)
(ред. от 01.08.1999)
"ГОСТ 5363-93. Межгосударственный стандарт. Водка. Правила приемки и методы анализа"
(введен в действие Постановлением Госстандарта России от 21.07.1994 N 195)
(ред. от 01.08.1999)
Постановлением Государственного
комитета Российской Федерации
по стандартизации,
метрологии и сертификации
от 21 июля 1994 г. N 195
МЕЖГОСУДАРСТВЕННЫЙ СТАНДАРТ
ВОДКА
ПРАВИЛА ПРИЕМКИ И МЕТОДЫ АНАЛИЗА
Vodka
Acceptance rules and test methods
ГОСТ 5363-93
| | Список изменяющих документов (в ред. Изменения N 1, утв. в апреле 1998 г., | |
Группа Н79
ОКСТУ 9109
Дата введения
1 января 1995 года
1 РАЗРАБОТАН Всероссийским научно-исследовательским институтом пищевой биотехнологии и Техническим комитетом по стандартизации ТК 176 "Спиртовая, дрожжевая и ликеро-водочная продукция"
ВНЕСЕН Техническим секретариатом Межгосударственного Совета по стандартизации, метрологии и сертификации
2 ПРИНЯТ Межгосударственным Советом по стандартизации, метрологии и сертификации (отчет технического секретариата N 3 от 15.04.94)
За принятие проголосовали:
Наименование государства | Наименование национального органа по стандартизации |
Республика Беларусь | Комитет по стандартизации, метрологии и сертификации при Совете Министров Республики Беларусь (Белстандарт) |
Республика Казахстан | Главное Управление по стандартизации и метрологии при Кабинете Министров Республики Казахстан (Казглавстандарт) |
Республика Молдова | Государственный Департамент Республики Молдова по стандартам и метрологии (Молдовастандарт) |
Изменение N 1 принято Межгосударственным Советом по стандартизации, метрологии и сертификации (протокол N 12 от 21 ноября 1997 г.)
За принятие изменения проголосовали:
Наименование государства | Наименование национального органа по стандартизации |
Азербайджанская Республика | Азгосстандарт |
Республика Армения | Армгосстандарт |
Республика Беларусь | Госстандарт Беларуси |
Республика Казахстан | Госстандарт Республики Казахстан |
Киргизская Республика | Киргизстандарт |
Республика Молдова | Молдовастандарт |
Российская Федерация | Госстандарт России |
Республика Таджикистан | Таджикгосстандарт |
Туркменистан | Главная государственная инспекция Туркменистана |
Республика Узбекистан | Узгосстандарт |
Изменение N 2 принято Межгосударственным Советом по стандартизации, метрологии и сертификации (протокол N 15 от 28.05.99)
За принятие изменения проголосовали:
Наименование государства | Наименование национального органа по стандартизации |
Азербайджанская Республика | Азгосстандарт |
Республика Армения | Армгосстандарт |
Республика Беларусь | Госстандарт Беларусь |
Грузия | Грузстандарт |
Республика Казахстан | Госстандарт Республики Казахстан |
Кыргызская Республика | Кыргызстандарт |
Российская Федерация | Госстандарт России |
Республика Таджикистан | Таджикгосстандарт |
Туркменистан | Главная государственная инспекция Туркменистана |
Республика Узбекистан | Узгосстандарт |
Украина | Госстандарт Украины |
3 Постановлением Государственного комитета Российской Федерации по стандартизации, метрологии и сертификации от 21 июля 1994 г. N 195 межгосударственный стандарт ГОСТ 5363-93 введен в действие непосредственно в качестве государственного стандарта Российской Федерации с 1 января 1995 г.
4 ВЗАМЕН ГОСТ 5363-82
5 ПЕРЕИЗДАНИЕ (март 2001 г.) с Изменениями N 1,
2, принятыми в апреле 1998 г., августе 1999 г. (ИУС 8-98, 10-99)
Настоящий стандарт распространяется на водки и водки особые и устанавливает правила приемки и методы анализа.
В настоящем стандарте использованы ссылки на следующие стандарты:
ГОСТ 1770-74 (СТ СЭВ 1247-78, СТ СЭВ 4021-83, СТ СЭВ 4977-85) Посуда мерная лабораторная стеклянная. Цилиндры, мензурки, колбы, пробирки. Технические условия
ГОСТ 3118-77 (СТ СЭВ 4276-83) Кислота соляная. Технические условия
ГОСТ 3639-79 Растворы водно-спиртовые. Методы определения концентрации этилового спирта
ГОСТ 4108-72 (СТ СЭВ 3859-82) Барий хлорид 2-водный. Технические условия
ГОСТ 4147-74 Железо (III) хлорид 6-водный. Технические условия
ГОСТ 4204-77 (СТ СЭВ 3856-82) Кислота серная. Технические условия
ГОСТ 4919.1-77 (СТ СЭВ 809-77) Реактивы и особо чистые вещества. Методы приготовления растворов индикаторов
ГОСТ 5456-79 Гидроксиламина гидрохлорид. Технические условия
ГОСТ 12026-76 Бумага фильтровальная лабораторная. Технические условия
ГОСТ 12738-77 Колбы стеклянные с градуированной горловиной. Технические условия
ГОСТ 14919-83 (СТ СЭВ 4138-83) Электроплиты, электроплитки и жарочные электрошкафы бытовые. Общие технические условия
ГОСТ 18481-81 Ареометры и цилиндры стеклянные. Технические условия
ГОСТ 24104-88 Весы лабораторные общего назначения и образцовые. Общие технические условия
ГОСТ 25336-82 (СТ СЭВ 2945-81, СТ СЭВ 4023-83, СТ СЭВ 4975-85, СТ СЭВ 4976-85) Посуда и оборудование лабораторные стеклянные. Типы, основные параметры и размеры
ГОСТ 28498-90 Термометры жидкостные стеклянные. Общие технические требования. Методы испытаний
ГОСТ 29169-91 (ИСО 648-77) Посуда лабораторная стеклянная. Пипетки с одной отметкой
ГОСТ 29227-91 (ИСО 835-1-81) Посуда лабораторная стеклянная. Пипетки градуированные. Часть 1. Общие требования
ГОСТ 29251-91 (ИСО 385-1-84) Посуда лабораторная стеклянная. Бюретки. Часть 1. Общие требования
3.1. Водки принимают партиями.
Партией считают количество водки одного наименования, одной даты розлива, оформленное одним документом о качестве.
Допускается вместо выдачи документа о качестве на сопроводительной документации ставить штамп ОТК с указанием, что партия водки соответствует требованиям нормативного документа.
3.2. Для проверки соответствия упаковывания и маркирования требованиям нормативной документации отбор единиц продукции в выборку проводят методом случайного отбора по таблице 1.
Объем партии водки, бутылки | Объем выборки, бутылки | Приемочное число | Браковочное число |
От 501 до 1200 включ. | 20 | 2 | 3 |
" 1201 " 10000 " | 32 | 3 | 4 |
" 10001 " 35000 " | 50 | 5 | 6 |
" 35001 " 500000 " | 80 | 7 | 8 |
" 500001 и выше | 125 | 10 | 11 |
--------------------------------
<*> Таблицы 2, 4, 5.
(Исключены, Изм. N 1).
3.3. Партию водки принимают, если количество бутылок с водкой, имеющих деформацию, разрывы, перекосы этикеток, ворсинки, в выборке меньше или равно приемочному числу, и бракуют, если количество таких бутылок с водкой в выборке больше или равно браковочному числу.
3.4. Для определения физико-химических и органолептических показателей водки от партии методом случайного отбора отбирают выборку в количестве четырех бутылок.
3.5. При получении неудовлетворительных результатов испытаний хотя бы по одному из показателей партию бракуют.
4.1. Четыре бутылки водки с актом об отборе проб передают в заводскую лабораторию.
4.2. Для проведения испытаний используют две бутылки водки (определение крепости водки, органолептических показателей, содержания примесей и щелочности водки).
4.3. Две другие бутылки сохраняют в заводской лаборатории в течение 1 мес на случай возникновения разногласий в оценке качества.
4.4. Горла бутылок, отобранных для пробы, обертывают куском ткани или бумагой и обвязывают шпагатом, концы которого пломбируют или опечатывают сургучной печатью на картонной или деревянной бирке, с прошнурованной этикеткой, на которой должны быть указаны:
наименование организации, в систему которой входит предприятие-изготовитель;
наименование предприятия-изготовителя и его местонахождение;
наименование водки;
дата розлива;
количество водки в партии, от которой отобрана проба;
номер документа о качестве партии водки;
дата отбора пробы;
фамилии и подписи лиц, отобравших пробу.
4.5. Определение полноты налива
Метод основан на определении объема водки в бутылке с применением мерной лабораторной посуды.
4.5.1. Аппаратура
Секундомер по нормативному документу.
Термометр жидкостный стеклянный с ценой деления 0,5 °C по
ГОСТ 28498.
Колбы мерные с градуированной горловиной 1-50 ХС3; 2-1-100 ХС3; 4-1-250 ХС3; 6-500 ХС3; 12-1000 ХС3 по
ГОСТ 12738.
Колбы 2-50-2, 2-100-2, 2-250-2, 2-500-2, 2-1000-2 по
ГОСТ 1770.
4.5.2. Проведение анализа
Водку из бутылки осторожно переливают по стенке в чистую, предварительно ополоснутую испытуемой водкой мерную колбу или мерную колбу с градуированной горловиной. После слива и выдержки бутылки над воронкой мерной колбы в течение 30 с проверяют объем слитой водки с учетом коэффициента поправки на температуру.
Недолив количественно определяют внесением дополнительного объема водки в мерную колбу до метки пипеткой с ценой деления 0,1 см3.
Перелив количественно определяют изъятием избыточного объема водки из мерной колбы до метки пипеткой с ценой деления 0,1 см3.
При проверке полноты налива уровень нижнего мениска водки должен совпадать с меткой на колбе.
4.6. Определение органолептических показателей
Метод заключается в оценке цвета, прозрачности, запаха и вкуса, выполняемой органолептически.
Органолептическую оценку водки проводят в светлом, хорошо проветренном помещении без посторонних запахов.
4.6.1. Определение цвета и прозрачности
Метод основан на визуальном сравнении в проходящем свете испытуемой водки и дистиллированной воды.
4.6.1.1. Аппаратура и материалы
Штатив для пробирок.
4.6.1.2. Проведение анализа
В две одинаковые по высоте и диаметру пробирки наливают по 10 см3: в одну - анализируемую водку, в другую - дистиллированную воду.
Сравнивают содержимое пробирок в проходящем рассеянном свете, устанавливают различные отклонения от цвета и прозрачности в испытуемой водке.
4.6.2. Определение вкуса и запаха
Метод заключается в органолептической оценке вкуса и запаха анализируемой водки.
4.6.2.1. Аппаратура
Бокалы дегустационные.
4.6.2.2. Проведение анализа
Около 50 см3 анализируемой водки наливают в дегустационный бокал и тотчас же после предварительного перемешивания вращением испытывают изделие на вкус и запах.
При наличии эталонов рекомендуется проводить сравнительную дегустацию водок.
Одновременно допускается дегустирование не более пяти образцов водки, причем соблюдается такая последовательность, при которой образцы заведомо лучшего качества анализируются сначала.
4.7. Определение крепости водок ареометром
Метод основан на измерении концентрации этилового спирта ареометром для спирта в водно-спиртовом растворе, полученном после предварительной перегонки водки.
4.7.1. Аппаратура, материалы и реактивы
Ареометры стеклянные для спирта типа АСП-1 или АСП-2 по
ГОСТ 18481.
Термометры жидкостные стеклянные с ценой деления 0,1 или 0,5 °C по
ГОСТ 28498.
Каплеуловитель КО-14/23-60 ХС или КО-60 ХС по
ГОСТ 25336.
Колбы К-1-500-29/32 ТХС, К-1-1000-29/32 ТХС или П-1-500-29/32 ТС, П-1-1000-29/32 ТС по
ГОСТ 25336.
Холодильник стеклянный лабораторный ХШ-1-400-29/32 ХС или ХПТ-3-400 по
ГОСТ 25336.
Прибор для перегонки спирта (см. рисунок) состоит из перегонной плоскодонной или круглодонной колбы 1, соединенной через каплеуловитель 2 с зашлифованной нижней частью с холодильником 3. Допускается использовать колбу, закрывающуюся резиновой пробкой с отверстием, в которое вмонтирован каплеуловитель с оплавленным концом.
Прибор для перегонки спирта
Холодильник соединен с приемной колбой 5 стеклянной трубкой 4 с вытянутым узким концом, который должен доходить почти до дна приемной колбы, но не касаться его.
Перегонная установка должна отвечать требованиям герметичности.
4.7.2.
Проведение анализа
250 - 500 см3 водки, отмеренной мерной колбой при температуре 20 °C, помещают в перегонную колбу вместимостью 500 - 1000 см3. Мерную колбу ополаскивают два-три раза дистиллированной водой, сливая ее содержимое в перегонную колбу с таким расчетом, чтобы объем дистиллированной воды не превышал 60 см3.
Перегонку проводят в установке, указанной на рисунке.
Приемной колбой служит та же мерная колба, которой отмеривают анализируемую водку. В нее наливают 10 - 15 см3 дистиллированной воды и погружают узкий конец стеклянной трубки холодильника для получения водяного затвора. Затем колбу помещают в баню с холодной водой и начинают перегонку.
После заполнения приемной колбы примерно наполовину ее опускают так, чтобы конец трубки холодильника не погружался в дистиллят. Конец трубки холодильника ополаскивают 5 см3 дистиллированной воды и продолжают перегонку без водяного затвора.
После заполнения приемной колбы дистиллятом на 4/5 объема перегонку прекращают, доводят объем до метки дистиллированной водой при температуре 20 °C и перемешивают.
Содержимое колбы переносят в сухой цилиндр для ареометров и измеряют концентрацию спирта ареометром для спирта по
ГОСТ 3639.
4.7.3. Обработка результатов
За окончательный результат измерения принимают среднее арифметическое результатов двух параллельных измерений, расхождение между которыми не должно превышать 0,1% (по объему).
4.8. Определение щелочности [объема соляной кислоты c (HCl) = 0,1 моль/дм3, израсходованной на титрование 100 см3 водки]
4.8.1. Химический метод
Метод основан на установлении объема соляной кислоты c (HCl) = 0,1 моль/дм3, израсходованной на титрование 100 см3 водки.
4.8.1.1. Аппаратура, материалы и реактивы
Метиловый красный (индикатор) по НД
[1]; 0,1 г индикатора растворяют при нагревании в 100 см
3 этилового спирта.
Кислота соляная по
ГОСТ 3118, раствор
c (HCl) = 0,1 моль/дм
3.
(Измененная редакция, Изм. N 1).
4.8.1.2. Проведение анализа
В коническую колбу вместимостью 250 см3 вносят 100 см3 анализируемой водки и титруют ее в присутствии двух капель индикатора метилового красного раствором соляной кислоты c (HCl) = 0,1 моль/дм3 до перехода желтой окраски раствора в розовую.
За окончательный результат измерения принимают среднее арифметическое результатов двух параллельных измерений, расхождение между которыми не должно превышать 0,1 см3.
4.8.2. Потенциометрический метод
Метод основан на потенциометрическом установлении точки нейтрализации анализируемой водки с применением слабого раствора соляной кислоты.
4.8.2.1. Аппаратура, материалы и реактивы
Иономер универсальный любой марки.
Стаканы химические Н-2-25 ТХС и Н-2-250 ТХС по
ГОСТ 25336.
Кислота соляная по
ГОСТ 3118, раствор
c (HCl) = 0,1 моль/дм
3.
4.8.2.2. Проведение анализа
В химический стакан вместимостью 250 см3 помещают 100 см3 анализируемой водки и проводят титрование раствором соляной кислоты c (HCl) = 0,1 моль/дм3. После каждого прибавления раствора жидкость в колбе перемешивают и наблюдают за показаниями иономера. Титрование заканчивают при pH 6,1.
За окончательный результат измерения принимают среднее арифметическое результатов двух параллельных измерений, расхождение между которыми не должно превышать 0,1 см3.
4.9. Определение массовой концентрации альдегидов
Метод основан на реакции присутствующих в анализируемой водке альдегидов с фуксинсернистым реактивом I.
4.9.1. Аппаратура, материалы и реактивы
Колориметр фотоэлектрический лабораторный (фотоэлектроколориметр) по нормативному документу.
Секундомер по нормативной документации.
Штатив для пробирок.
Пробирки вместимостью 25 см3 с пришлифованными пробками.
Типовые растворы для определения массовой концентрации альдегидов по НД
[2].
Фуксинсернистый реактив I по НД
[2].
(Измененная редакция, Изм. N 1).
4.9.2. Проведение анализа
В одну пробирку помещают 10 см3 типового раствора альдегидов, а в другую - 10 см3 анализируемой водки или ее отгона. Типовой раствор альдегида берется соответственно сорту испытуемой водки. В обе пробирки приливают по 2 см3 фуксинсернистого реактива I. Пробирки закрывают пришлифованными пробками, перемешивают их содержимое и выдерживают при комнатной температуре в течение 20 мин. Образовавшуюся окраску растворов сравнивают визуально на белом фоне или с применением фотоэлектроколориметра в кювете с толщиной поглощающего свет слоя 30 мм при светофильтре с длиной световой волны 540 нм.
Окраска испытуемого раствора должна совпадать с окраской типового раствора или быть менее интенсивной.
4.10. Определение массовой концентрации сивушного масла
Метод основан на реакции присутствующих в анализируемой водке высших спиртов с раствором салицилового альдегида в присутствии серной кислоты.
4.10.1. Аппаратура, материалы и реактивы
Колориметр фотоэлектрический лабораторный (фотоэлектроколориметр) по нормативному документу.
Секундомер по нормативному документу.
Штатив для пробирок.
Пипетки 1-1-2-0,5, 1-2-2-5 и 1-2-2-10 по
ГОСТ 29227.
Пробирки вместимостью 45 см3 с пришлифованными пробками.
Кислота серная х.ч. по
ГОСТ 4204, выдерживающая пробу Саваля, или ос.ч. по
ГОСТ 14262, концентрированная.
Спиртовой раствор салицилового альдегида с объемной долей 1% по НД
[2].
Типовые растворы для определения массовой концентрации сивушного масла по НД
[2].
(Измененная редакция, Изм. N 1).
4.10.2. Проведение анализа
В две пробирки вместимостью 45 см3 вносят по 10 см3 концентрированной серной кислоты и осторожно по стенке пробирки приливают по 0,2 см3 спиртового раствора салицилового альдегида. Затем в одну пробирку приливают 5 см3 анализируемой водки или дистиллята, в другую - 5 см3 соответствующего типового раствора для определения сивушного масла. Пробирки закрывают пробками, содержимое их энергично перемешивают и выдерживают в течение 20 мин при комнатной температуре. Образовавшуюся окраску водки визуально сравнивают на белом фоне с окраской соответствующего типового раствора сивушного масла или на фотоэлектроколориметре в кювете с толщиной поглощающего свет слоя 30 мм при светофильтре с длиной световой волны 540 нм.
Окраска испытуемого раствора должна совпадать с окраской типового раствора или быть менее интенсивной.
Содержание сивушного масла в водке рекомендуется определять после предварительной ее перегонки.
Допускается проводить определение сивушного масла не более чем в шести образцах одновременно.
4.11. Определение массовой концентрации сложных эфиров
Метод основан на титриметрическом определении сложных эфиров путем омыления их щелочью после предварительной нейтрализации содержащихся в водке кислот.
4.11.1. Аппаратура, материалы и реактивы
Весы лабораторные общего назначения не ниже 3-го класса точности по ГОСТ 24104 с наибольшим пределом взвешивания 200 г.
Секундомер по нормативной документации.
Электроплитка бытовая по
ГОСТ 14919 или газовая горелка.
Колбы Кн-2-500-29/32 ТХС, К-2-500-34 ТХС или П-2-500-34 ТХС по
ГОСТ 25336.
Трубка с натронной известью.
Барий хлористый по
ГОСТ 4108, водный раствор с массовой долей 10%.
Бромтимоловый синий (индикатор) по НД
[3]; 0,1 г индикатора растворяют в 100 см
3 этилового спирта с объемной долей 20%.
Натрия гидроокись по
ГОСТ 4328, растворы
c (NaOH) = 0,1 моль/дм
3 и
c (NaOH) = 0,05 моль/дм
3.
(Измененная редакция, Изм. N 1).
4.11.2. Проведение анализа
К 200 см
3 анализируемой водки прибавляют 10 см
3 водного раствора хлористого бария и подвергают перегонке в перегонной установке по
4.7.2 (см.
рисунок).
Дистиллят, полученный в количестве, несколько большем 150 см3, доводят дистиллированной водой до 200 см3 (дистилляты водок крепостью выше 40% разбавляют до 40% дистиллированной водой), помещают в круглодонную или плоскодонную колбу вместимостью 500 см3 с пришлифованным шариковым холодильником и кипятят в течение 15 мин. Затем содержимое колбы охлаждают до комнатной температуры, закрывая верхнюю часть холодильника трубкой с периодически обновляемой натронной известью. К содержимому колбы добавляют 10 капель раствора бромтимолового синего и титруют раствором гидроокиси натрия c (NaOH) = 0,05 моль/дм3 до появления не исчезающей при взбалтывании в течение 1 - 2 мин голубой окраски.
После нейтрализации к содержимому колбы прибавляют 10 см3 раствора гидроокиси натрия c (NaOH) = 0,1 моль/дм3 и кипятят в колбе, соединенной с обратным холодильником, в течение 1 ч. После охлаждения до комнатной температуры при закрытой верхней части холодильника трубкой с периодически обновляемой натронной известью в колбу приливают 10 см3 раствора серной кислоты c (1/2 H2SO4) = 0,1 моль/дм3, перемешивают и оттитровывают избыток кислоты раствором гидроокиси натрия c (NaOH) = 0,05 моль/дм3.
4.11.3. Обработка результатов
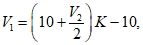
Массовую концентрацию сложных эфиров X, мг/дм3, в пересчете на уксусноэтиловый эфир, вычисляют по формуле
где V1 - объем раствора гидроокиси натрия c (NaOH) = 0,1 моль/дм3, израсходованный на омыление 200 см3 анализируемой водки, см3;
8,8 - масса уксусноэтилового эфира, соответствующая 1 см3 раствора гидроокиси натрия c (NaOH) = 0,1 моль/дм3, мг;
5 - коэффициент пересчета на 1 дм3 водки;

- коэффициент пересчета на безводный спирт;
где c - крепость водки, %.
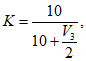
Объем раствора гидроокиси натрия, израсходованный на омыление сложных эфиров в 200 см3 анализируемой водки, V1 вычисляют по формуле
где V2 - объем раствора гидроокиси натрия c (NaOH) = 0,05 моль/дм3, израсходованный на титрование избытка серной кислоты, см3;
10 - объем раствора гидроокиси натрия c (NaOH) = 0,1 моль/дм3 и серной кислоты c (1/2 H2SO4) = 0,1 моль/дм3, см3;
K - поправочный коэффициент к раствору гидроокиси натрия c (NaOH) = 0,1 моль/дм3.
При установлении поправочного коэффициента к раствору гидроокиси натрия c (NaOH) = 0,1 моль/дм3 в раствор, полученный после определения сложных эфиров, вносят по 10 см3 растворов гидроокиси натрия c (NaOH) = 0,1 моль/дм3 и серной кислоты c (1/2 H2SO4) = 0,1 моль/дм3. Избыток кислоты оттитровывают раствором гидроокиси натрия c (NaOH) = 0,05 моль/дм3.
Поправочный коэффициент к раствору K, концентрации c (NaOH) = 0,1 моль/дм3 вычисляют по формуле
где V3 - объем раствора гидроокиси натрия c (NaOH) = 0,05 моль/дм3, израсходованный на титрование избытка серной кислоты, см3;
10 - объем раствора гидроокиси натрия c (NaOH) = 0,1 моль/дм3 и серной кислоты c (1/2 H2SO4) = 0,1 моль/дм3.
Раствор гидроокиси натрия следует готовить с поправочным коэффициентом 0,97 - 0,99.
За окончательный результат измерения принимают среднее арифметическое результатов двух параллельных измерений. Расхождение между каждым измерением и средним арифметическим значением не должно превышать меньшего значения при доверительной вероятности P = 0,95.
4.12. Определение объемной доли метилового спирта
Метод основан на реакции окисления метилового спирта марганцовокислым калием и серной кислотой с образованием формальдегида, образующего окраску в результате взаимодействия с фуксинсернистым реактивом II.
4.12.1. Аппаратура, материалы и реактивы
Весы лабораторные общего назначения не ниже 3-го класса точности по ГОСТ 24104 с наибольшим пределом взвешивания 200 г.
Секундомер по нормативному документу.
Штатив для пробирок.
Пипетки 1-1-2-0,5, 1-1-2-1 и 1-2-2-5 по
ГОСТ 29227.
Пробирки вместимостью 25 см3 с пришлифованными пробками.
Склянки с пришлифованной пробкой вместимостью 100 см3 и из темного стекла вместимостью 500 см3.
Кислота серная х.ч. по
ГОСТ 4204, выдерживающая пробу Саваля, или ос.ч. по
ГОСТ 14262, концентрированная и разбавленная дистиллированной водой в соотношении 1:1.
Кислота щавелевая х.ч. по
ГОСТ 22180, насыщенный раствор.
Калий марганцовокислый по
ГОСТ 20490, раствор с массовой долей 1%.
Натрий сернистокислый безводный по ГОСТ 195, раствор с массовой долей 20%.
Фуксинсернистый реактив II по НД
[2].
Типовые спиртовые растворы для определения метилового спирта по НД
[2].
(Измененная редакция, Изм. N 1).
4.12.2. Проведение анализа
В одну пробирку с пришлифованной пробкой помещают 0,2 см3 дистиллята анализируемой водки, полученного при определении крепости водки, а в другую 0,2 см3 соответствующего типового раствора метилового спирта, затем в каждую пробирку приливают по 5 см3 раствора марганцовокислого калия с объемной долей 1% и по 0,4 см3 раствора серной кислоты (плотность 1,830 г/см3), разбавленной в два раза дистиллированной водой. Пробирки закрывают пробками, их содержимое перемешивают и выдерживают при комнатной температуре в течение 3 мин.
Затем в каждую пробирку приливают по 1 см3 насыщенного раствора щавелевой кислоты или раствора сернистокислого натрия с массовой долей 20% и перемешивают. Когда жидкость в пробирках приобретет светло-желтую окраску, из бюретки приливают по 1 см3 концентрированной серной кислоты (плотность 1,830 г/см3) и после обесцвечивания раствора добавляют по 5 см3 фуксинсернистого реактива II. Содержимое пробирок перемешивают, выдерживают в течение 35 мин при комнатной температуре и сравнивают окраску растворов. Окраска испытуемой водки должна совпадать с окраской соответствующего типового раствора метилового спирта или быть менее интенсивной.
Для анализа водок, приготовленных из спирта "Экстра", используют типовой раствор с объемной долей метилового спирта 0,03%, высшей очистки и 1-го сорта - 0,05% в пересчете на безводный спирт.
5. ФОТОЭЛЕКТРОКОЛОРИМЕТРИЧЕСКИЕ МЕТОДЫ ОПРЕДЕЛЕНИЯ ПРИМЕСЕЙ В ВОДКАХ
Методы определения альдегидов, сивушного масла, метилового спирта и сложных эфиров в водках основаны на фотоэлектроколориметрическом измерении интенсивности окрасок, образующихся в результате реакции указанных примесей со специфическими реактивами. По интенсивности окрасок судят о массовой концентрации примесей.
Методы применяют при контроле качества продукции, а также при возникновении разногласий в оценке качества.
5.1. Метод определения массовой концентрации альдегидов
Метод основан на фотоэлектроколориметрическом измерении оптической плотности испытуемого раствора после реакции присутствующих в анализируемой водке альдегидов с пирогаллолом в сернокислой среде.
5.1.1. Аппаратура, материалы и реактивы
Баня водяная.
Весы лабораторные общего назначения не ниже 3-го класса точности по ГОСТ 24104 с наибольшим пределом взвешивания 200 г.
Колориметр фотоэлектрический лабораторный (фотоэлектроколориметр) по нормативной документации.
Секундомер по нормативному документу.
Термометры жидкостные стеклянные с ценой деления 0,1 или 0,5 °C по
ГОСТ 28498.
Штатив для пробирок.
Пробирки вместимостью 25 см3 с пришлифованными пробками.
Кислота серная х.ч. по
ГОСТ 4204, выдерживающая пробу Саваля, или ос.ч. по
ГОСТ 14262, концентрированная.
Пирогаллол А, ч.д.а. по НД
[4], водный раствор с массовой долей 0,1% свежеприготовленный.
(Измененная редакция, Изм. N 1).
5.1.2. Подготовка к анализу
5.1.2.1. Водки, содержащие сахар, и водку "Посольская" перед анализом предварительно подвергают перегонке, как указано в
4.7.2. В дистилляте определяют содержание альдегидов.
5.1.2.2. Приготовление водного раствора пирогаллола с массовой долей 0,1%
Навеску пирогаллола массой (0,100 +/- 0,005) г растворяют при помешивании в дистиллированной воде в мерной колбе вместимостью 100 см3 на кипящей водяной бане, охлаждают до температуры 20 °C, доводят объем полученного раствора до метки дистиллированной водой и перемешивают.
5.1.3.
Проведение анализа
В пробирку с пришлифованной пробкой вносят 2 см3 концентрированной серной кислоты, затем осторожно по стенке пробирки приливают 5 см3 анализируемой водки и 1,5 см3 водного раствора пирогаллола, не допуская смешивания этих растворов. Пробирку закрывают пробкой, содержимое перемешивают и выдерживают в кипящей водяной бане в течение 5 мин. Затем пробирку помещают в проточную холодную воду и охлаждают до комнатной температуры.
В результате проведенной реакции образуется комплексное соединение светло-желтой окраски, интенсивность которой измеряют на фотоэлектроколориметре в кюветах с толщиной поглощающего свет слоя 10 мм при светофильтре с длиной световой волны 440 нм в сравнении с дистиллированной водой.
5.1.4. Полученные после колориметрирования значения оптических плотностей не должны быть ниже 0,120. Значения оптических плотностей ниже 0,120 свидетельствуют об использовании химических реактивов низкого качества, применение которых не допускается.
Массовую концентрацию альдегидов в анализируемой водке, cал., мг/дм3 безводного спирта, вычисляют по формуле
cал. = AD - A1,
где D - оптическая плотность;
A и
A1 - коэффициенты, полученные экспериментально для каждой марки фотоэлектроколориметра и каждой партии применяемых реактивов в соответствии с
приложением 1.
За окончательный результат измерения принимают среднее арифметическое результатов двух параллельных измерений. Расхождение между каждым измерением и средним арифметическим значением не должно превышать 5,0% среднего значения при доверительной вероятности P = 0,95.
(Измененная редакция, Изм. N 1).
5.1.5. (Исключен, Изм. N 1).
5.2. Метод определения массовой концентрации сивушного масла
Метод основан на фотоэлектроколориметрическом измерении оптической плотности исследуемого окрашенного раствора, полученного после реакции присутствующих в водке высших спиртов с салициловым альдегидом в присутствии концентрированной серной кислоты.
5.2.1. Аппаратура, материалы и реактивы
Баня водяная.
Колориметр фотоэлектрический лабораторный (фотоэлектроколориметр) по нормативному документу.
Секундомер по нормативному документу.
Термометр жидкостный стеклянный с ценой деления 0,1 или 0,5 °C по
ГОСТ 28498.
Штатив для пробирок.
Пипетки 1-1-2-1, 1-2-2-5 и 1-2-2-10 по
ГОСТ 29227.
Пробирки вместимостью 45 см3 с пришлифованными пробками.
Спиртовой раствор салицилового альдегида с объемной долей 1% по НД
[2].
Кислота серная х.ч. по
ГОСТ 4204, выдерживающая пробу Саваля, или ос.ч. по
ГОСТ 14262, концентрированная.
5.2.2. Подготовка к анализу
| | ИС МЕГАНОРМ: примечание. В тексте документа, видимо, допущена опечатка: пункт 2.8.3 в тексте документа отсутствует. | |
Водки, содержащие различные добавки, предварительно перед проведением анализа подвергают перегонке, как указано в 2.8.3. Полученный дистиллят используют для анализа.
Массовую концентрацию сивушного масла определяют в водно-спиртовом растворе с объемной долей спирта 40%.
5.2.2.1. Приготовление водно-спиртовых растворов
Водки крепостью более 40% разбавляют дистиллированной водой до необходимой концентрации при температуре 20 °C.
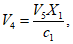
Объем исходной водки V4 в кубических сантиметрах, который следует смешать с дистиллированной водой, чтобы получить необходимый объем водно-спиртового раствора, вычисляют по формуле
где V5 - объем, который необходимо приготовить, см3;
X1 - необходимая концентрация водно-спиртового раствора, %;
c1 - исходная крепость водки, %.
Крепость полученного водно-спиртового раствора измеряют ареометром для спирта в цилиндре вместимостью 500 см3.
5.2.3.
Проведение анализа
10 см3 концентрированной серной кислоты вносят в пробирку с пришлифованной пробкой, осторожно по стенке пробирки приливают 5 см3 анализируемой водки с таким расчетом, чтобы не происходило смешения обеих жидкостей, а образовывались два слоя. Затем приливают 0,7 см3 спиртового раствора салицилового альдегида, пробирку закрывают пробкой, содержимое энергично перемешивают и выдерживают в кипящей водяной бане в течение 10 мин. Затем пробирку погружают в проточную холодную воду (или водяную баню со льдом) для быстрого охлаждения реакционной смеси до комнатной температуры (20 +/- 5) °C. Интенсивность образовавшейся в результате реакции желтой окраски измеряют не позднее чем через 5 мин на фотоэлектроколориметре ФЭК-56М или КФК-2 при светофильтре с длиной световой волны 540 нм в кюветах с толщиной поглощающего свет слоя 20 мм в сравнении с дистиллированной водой.
5.2.4. Обработка результатов
Для расчета содержания сивушного масла следует внести поправку на присутствующие в водке альдегиды, также реагирующие с салициловым альдегидом. Для этого из полученного после колориметрирования значения оптической плотности следует вычесть расчетное значение оптической плотности, соответствующее тому количеству альдегидов, которое определено в анализируемой водке и рассчитано по уравнениям, указанным в
5.1.4. Эти значения оптических плотностей приведены в таблице 3.
Таблица 3
Массовая концентрация альдегидов в водке, в пересчете на уксусный альдегид, мг/дм3 безводного спирта | Расчетная оптическая плотность по фотоэлектроколориметру | Массовая концентрация альдегидов в водке, в пересчете на уксусный альдегид, мг/дм3 безводного спирта | Расчетная оптическая плотность по фотоэлектроколориметру |
ФЭК-56М | КФК-2 | ФЭК-56М | КФК-2 |
2,0 | 0,010 | 0,015 | 7,0 | 0,060 | 0,075 |
2,5 | 0,015 | 0,020 | 7,5 | 0,065 | 0,080 |
3,0 | 0,020 | 0,025 | 8,0 | 0,070 | 0,085 |
4,0 | 0,030 | 0,040 | 8,5 | 0,075 | 0,090 |
5,0 | 0,040 | 0,050 | 9,0 | 0,080 | 0,100 |
6,0 | 0,050 | 0,060 | 10,0 | 0,090 | 0,110 |
Полученные после вычитания расчетных значений оптических плотностей результаты используют для расчета массовой концентрации сивушного масла - cс.м в испытуемой водке, мг/дм3 безводного спирта, по формуле
cс.м = KD - K1,
где D - оптическая плотность;
K и
K1 - коэффициенты, полученные экспериментально для каждой марки фотоэлектроколориметра и каждой партии применяемых реактивов в соответствии с
приложением 2.
За окончательный результат измерения принимают среднее арифметическое результатов двух параллельных измерений. Расхождение между каждым измерением и средним арифметическим значением не должно превышать 5% при доверительной вероятности P = 0,95.
(Измененная редакция, Изм. N 1).
5.2.5 (Исключен, Изм. N 1).
5.3 Метод определения массовой концентрации сложных эфиров
Метод основан на фотоэлектроколориметрическом измерении интенсивности окраски, полученной после реакции хлористого железа с гидроксамовой кислотой, образующейся в результате взаимодействия сложных эфиров водки с гидроксиламином в щелочной среде.
5.3.1 Аппаратура, материалы и реактивы
Весы лабораторные общего назначения не ниже 3-го класса точности по ГОСТ 24104 с наибольшим пределом взвешивания 200 г.
Колориметр фотоэлектрический лабораторный (фотоэлектроколориметр) по нормативному документу.
Секундомер по нормативному документу.
Термометры жидкостные стеклянные с ценой деления 0,1 или 0,5 °C по
ГОСТ 28498.
Пипетки 1-2-2-5, 1-2-2-10 и 1-2-2-25 по
ГОСТ 29227.
Гидроксиламин солянокислый по
ГОСТ 5456, раствор концентрации 2 моль/дм
3.
Железо треххлористое 6-водное по
ГОСТ 4147, раствор
c (FeCl
3·6H
2O) = 0,37 моль/дм
3.
Кислота соляная по
ГОСТ 3118, раствор
c (HCl) = 4 моль/дм
3.
Натрия гидроокись по
ГОСТ 4328, раствор
c (NaOH) = 3,5 моль/дм
3.
5.3.2 Подготовка к анализу
5.3.2.1 Приготовление раствора солянокислого гидроксиламина концентрации 2 моль/дм3
Навеску солянокислого гидроксиламина массой (69,60 +/- 0,01) г растворяют в мерной колбе вместимостью 500 см3 в 200 см3 дистиллированной воды и ее объем доводят до метки. Полученный раствор перемешивают и хранят в холодильнике не более 30 сут.
5.3.2.2 Приготовление раствора соляной кислоты c (HCl) = 4 моль/дм3
500 см3 дистиллированной воды вносят в мерную колбу вместимостью 1000 см3, постепенно при постоянном перемешивании приливают 333 см3 концентрированной соляной кислоты. Полученный раствор перемешивают, охлаждают до температуры 20 °C, доводят объем до метки дистиллированной водой и снова перемешивают.
5.3.2.3 Приготовление раствора хлористого железа c (FeCl3·6H2O) = 0,37 моль/дм3
Навеску хлористого железа массой (50,00 +/- 0,01) г растворяют в мерной колбе вместимостью 500 см3 в 400 см3 дистиллированной воды, добавляют 12,5 см3 раствора соляной кислоты c (HCl) = 4 моль/дм3, перемешивают, доводят объем до метки дистиллированной водой и снова перемешивают. При хранении раствора может образоваться осадок, который необходимо отфильтровать.
5.3.2.4 Приготовление раствора гидроокиси натрия c (NaOH) = 3,5 моль/дм3
Навеску гидроокиси натрия массой (70,00 +/- 0,01) г растворяют в 400 см3 дистиллированной воды в мерной колбе вместимостью 500 см3, охлаждают до температуры 20 °C, доводят объем колбы дистиллированной водой до метки и снова перемешивают.
5.3.2.5 Приготовление раствора реакционной смеси
Перед проведением испытания готовят исходный раствор реакционной смеси, смешивая равные объемы раствора гидроксиламина солянокислого концентрации 2 моль/дм3 и раствора гидроокиси натрия c (NaOH) = 3,5 моль/дм3, учитывая, что на проведение анализа одного образца испытуемой водки расходуется 24 см3 смеси. Полученную реакционную смесь перемешивают и используют для анализа в течение 6 ч с момента приготовления.
5.3.3 Проведение анализа
Для проведения анализа требуется приготовление испытуемых растворов А и Б.
В две конические колбы вместимостью 50 см3 вносят по 6 см3 реакционной смеси. Затем в одну из колб приливают 3 см3 раствора соляной кислоты и перемешивают в течение 1 мин. Содержимое этой колбы - раствор Б. Содержимое второй колбы - раствор А.
В обе колбы приливают по 18 см3 анализируемой водки и одновременно осторожно перемешивают круговыми движениями в течение 2 мин.
Во вторую колбу с раствором А приливают 3 см3 раствора соляной кислоты и также перемешивают в течение 1 мин.
В обе колбы добавляют по 3 см3 раствора хлористого железа и одновременно перемешивают их содержимое вышеописанным способом в течение 1 мин.
Интенсивность образовавшейся окраски анализируемого раствора А измеряют в сравнении с раствором Б на фотоэлектроколориметре при светофильтре с длиной световой волны 540 нм в кювете с толщиной поглощающего свет слоя 50 мм.
Массовую концентрацию сложных эфиров в водке, содержащей сахара со свободным гликозидным гидроксилом (глюкоза, лактоза и т.д.) определяют только в дистилляте после предварительной ее перегонки.
5.3.4 Обработка результатов
Полученное значение оптической плотности используют для определения количества сложных эфиров в водке.
Массовую концентрацию сложных эфиров cэф в водке, мг/дм3 безводного спирта, вычисляют по формуле

,
где D - оптическая плотность;
0,0256 - постоянный коэффициент, полученный экспериментально;
c - крепость водки, %.
За окончательный результат измерения принимают среднеарифметическое результатов двух параллельных измерений. Расхождение между каждым измерением и среднеарифметическим значением не должно превышать 5% среднего значения при доверительной вероятности P = 0,95.
5.4 Метод определения объемной доли метилового спирта
Метод обеспечивает получение результатов анализа водки в диапазоне объемной доли метилового спирта от 0,01 до 0,05% (в пересчете на безводный спирт) с абсолютной погрешностью, не превышающей 0,006% (при P = 0,95).
Метод основан на окислении метилового спирта в среде ортофосфорной кислоты марганцовокислым калием до формальдегида, который образует с динатриевой солью хромотроповой кислоты соединение сиреневой окраски.
Интенсивность окраски измеряют на фотоэлектроколориметре.
5.4.1
Средства измерений, оборудование, материалы и реактивы
Весы лабораторные общего назначения по ГОСТ 24104 с погрешностью взвешивания не более +/- 10 мг.
Колориметр фотоэлектрический лабораторный по НД.
Термометр по
ГОСТ 28498 с диапазоном измерения 0 - 100 °C и ценой деления шкалы 0,1 или 0,5 °C.
Стандартные образцы. Растворы типовые с объемной долей метилового спирта 0,004, 0,012 и 0,02% в 40% спирте или 0,01, 0,03 и 0,05% в пересчете на безводный спирт по НД
[2].
Баня водяная.
Секундомер по НД.
Штатив для пробирок.
Пробирки вместимостью 25 см
3 с пришлифованными стеклянными пробками по
ГОСТ 25336.
Склянки из темного стекла вместимостью 500 см3.
Колбы 2-50-2, 2-100-2 и 2-500-2 по
ГОСТ 1770.
Пипетки 1-1-2-1, 1-1а-2-1 и 1-2-2-5 по
ГОСТ 29227.
| | ИС МЕГАНОРМ: примечание. В официальном тексте документа, видимо, допущена опечатка: стандарт имеет номер ГОСТ 14262-78, а не ГОСТ 24262. | |
Кислота ортофосфорная по
ГОСТ 6552, ч.д.а., х.ч.
Натрий сернистокислый по
ГОСТ 195, водный раствор с массовой долей 20%.
Динатриевая соль хромотроповой кислоты 2-водная, ч.д.а. по НД
[5], водный раствор с массовой долей 2%.
Допускается использовать другие средства измерений, оборудование, материалы и реактивы, имеющие такие же или лучшие метрологические характеристики.
5.4.2 Подготовка к анализу
5.4.2.1 Приготовление водного раствора марганцовокислого калия с массовой долей 1,5% в кислой среде
Навеску марганцовокислого калия (1,50 +/- 0,01) г растворяют при нагревании в водяной бане в 50 см3 дистиллированной воды, добавляют 7,5 см3 ортофосфорной кислоты. После охлаждения раствор переносят в мерную колбу вместимостью 100 см3 и доводят до метки дистиллированной водой. Хранят в темной склянке.
5.4.2.2 Приготовление водного раствора динатриевой соли хромотроповой кислоты с массовой долей 2%
Навеску динатриевой соли хромотроповой кислоты (1,00 +/- 0,01) г растворяют в 25 см
3 дистиллированной воды в мерной колбе вместимостью 50 см
3 и доводят объем раствора до метки дистиллированной водой при 20 °C. При наличии нерастворимых частиц раствор фильтруют. Хранят в посуде с пришлифованной пробкой в холодильнике. Раствор, приготовленный по НД
[5], хранят не более 5 сут; раствор, приготовленный из реактивов с содержанием основного вещества не ниже 95% (например, фирмы "Fluka" и др.), хранят не более 14 сут.
5.4.2.3 Приготовление водного раствора сернистокислого натрия с массовой долей 20%
Навеску сернистокислого натрия (20,00 +/- 0,01) г растворяют при температуре не выше 40 °C в 70 - 80 см3 дистиллированной воды в мерной колбе вместимостью 100 см3, охлаждают до 20 °C и объем раствора доводят до метки дистиллированной водой.
(Измененная редакция, Изм. N 2).
5.4.3.1
Получение градуировочной характеристики типовых растворов по 5.4.1
5.4.3.1.1 В пробирки с пришлифованной пробкой наливают по 2 см
3 раствора марганцовокислого калия, в каждую пробирку добавляют по 0,2 см
3 одного из типовых растворов, сразу же содержимое пробирок перемешивают и засекают время для выдержки в течение точно 3 мин, по окончании выдержки вносят по 0,4 см
3 сернистокислого натрия для обесцвечивания реакционной среды и перемешивают. Затем добавляют по 4 см
3 концентрированной серной кислоты, тотчас перемешивают и помещают примерно на 2 мин в баню с холодной водой для охлаждения до комнатной температуры, после чего в каждую пробирку наливают по 0,1 см
3 раствора динатриевой соли хромотроповой кислоты. Содержимое пробирок перемешивают и помещают в баню с кипящей водой на 5 мин.
Затем пробирки вынимают и охлаждают до комнатной температуры в бане с холодной водой. Оптическую плотность полученных растворов измеряют на фотоэлектроколориметре в кюветах с толщиной поглощающего свет слоя 10 мм при длине световой волны 540 нм в сравнении с дистиллированной водой.
Анализ типового раствора проводят не менее трех раз.
5.4.3.1.2 Получают зависимость оптической плотности от объемной доли метилового спирта (градуировочную характеристику).
Объемную долю метилового спирта, Cмет., %, вычисляют по формуле
где М и М1 - коэффициенты, определяемые по экспериментальным данным методом наименьших квадратов, для каждой марки фотоэлектроколориметра и каждой партии применяемых реактивов;
Д - оптическая плотность.
Градуировочную характеристику допускается представлять в виде графика, откладывая на оси ординат значения оптических плотностей, а на оси абсцисс - объемную долю метилового спирта.
5.4.3.2 Исследование анализируемого образца водки
5.4.3.2.1 Анализ проводят по
5.4.3.1.1, но вместо 0,2 см
3 типового раствора используют 0,2 см
3 анализируемого образца.
5.4.3.2.2 При разногласиях и в случае предельного содержания объемной доли метилового спирта в анализируемом образце по отношению к нормированному показателю в типовом растворе (0,03 или 0,05%) испытание анализируемого образца необходимо проводить одновременно с построением градуировочной характеристики в виде графика при использовании одних и тех же реактивов, кипячения и охлаждения растворов в одной бане.
5.4.3.2.3 Обработка результатов исследования анализируемого образца
Объемную долю метилового спирта в водке находят по
формуле (5.4.3.1.2) или градуировочному графику. За результат анализа принимают среднеарифметическое значение результатов двух параллельных определений
Cмет.1 и
Cмет.2, если расхождение между ними не превышает норматив оперативного контроля сходимости
d (таблица 5):
Cмет.1 -
Cмет.2 <= d.
Диапазон допускаемой объемной доли метилового спирта, % (в пересчете на безводный спирт) | Нормативы оперативного контроля объемной доли метилового спирта, % |
Сходимость d, при n = 2, Р = 0,95 | Воспроизводимость D, при т = 2, Р = 0,95 | Погрешность К, при Р = 0,95 (метод добавок) |
0,010 - 0,050 | 0,003 | 0,006 | 0,009 |
5.4.3.3 Водки, содержащие добавки, подвергают перегонке. Полученный дистиллят используют для анализа.
5.4.3.4 Водки крепостью более 40% разбавляют дистиллированной водой до 40% при температуре 20 °C.
5.4.3.1 - 5.4.3.4 (Введены дополнительно, Изм. N 2).
5.4.4 Контроль точности результатов
(Измененная редакция, Изм. N 2).
5.4.4.1 Оперативный контроль воспроизводимости
Образцами для контроля являются пробы водки, отобранные по
разделу 4.
Две параллельные пробы анализируют в точном соответствии с методикой
(5.4.3), получая два результата

в условиях внутрилабораторной воспроизводимости, с применением разных партий реактивов, различных наборов мерной посуды, в разное время, разными лаборантами.
Расхождения между двумя результатами не должно превышать норматива оперативного контроля воспроизводимости,
D: 
, который приведен в
таблице 5.
При превышении норматива оперативного контроля воспроизводимости эксперимент повторяют.
При повторном превышении указанного норматива выясняют причины, приводящие к неудовлетворительным результатам контроля и устраняют их.
5.4.4.2 Оперативный контроль погрешности
Оперативный контроль погрешности проводят с использованием метода добавок. Отбирают две пробы анализируемого продукта. Одну пробу анализируют в точном соответствии с методикой
(5.4.3) и получают результат анализа рабочей пробы

. Во вторую пробу добавляют известное количество метилового спирта (содержание метилового спирта с добавкой не должно превышать верхней границы диапазона измерения). Пробы с добавкой анализируют по
5.4.3 и получают результат анализа

, который считается удовлетворительным, если соблюдается условие:
,
где X - содержание добавки (объемная доля метилового спирта), %,
K - норматив оперативного контроля погрешности
(таблица 5).
При смене реактивов проведение контроля погрешности обязательно. При превышении указанного норматива анализ повторяют с использованием другой реальной пробы. При повторном несоответствии полученных результатов нормативу погрешности K выясняют причины, приводящие к неудовлетворительным результатам, и устраняют их.
5.4.4.1 - 5.4.4.2 (Введены дополнительно, Изм. N 2).
(обязательное)
ПРОВЕРКА ПРАВИЛЬНОСТИ ОПРЕДЕЛЕНИЯ
МАССОВОЙ КОНЦЕНТРАЦИИ АЛЬДЕГИДОВ
При несоответствии полученного количества альдегидов нормативному, а также для каждого фотоэлектроколориметра и партии используемых реактивов следует составлять градуировочный график. На основании градуировочного графика составляют уравнение для расчета массовой концентрации альдегидов в водке.
Построение градуировочного графика
Для построения градуировочного графика используют типовые спиртовые растворы по НД
[2] с содержанием альдегидов 2, 3, 6 и 8 мг в 1 дм
3 безводного спирта.
Проводят колориметрическую реакцию этих растворов с водным раствором пирогаллола в присутствии концентрированной серной кислоты по прописи, изложенной в
5.1.3.
По полученным после колориметрирования результатам строят градуировочный график, откладывая на оси ординат значения оптических плотностей, а на оси абсцисс - соответствующие этим значениям количества альдегидов (мг в 1 дм3 безводного спирта).
Оптическую плотность каждого раствора определяют не менее трех раз и из полученных значений находят среднее арифметическое.
Зависимость между оптической плотностью и массовой концентрацией альдегидов в исследуемых растворах на градуировочном графике должна быть прямолинейной.
Составление уравнения для расчета
массовой концентрации альдегидов (cал) в водке
Уравнение прямой, полученной на градуировочном графике, имеет вид X = ay + b (1), т.е. в данном случае для оптической плотности D: cал = aD + b (1). Для определения неизвестных параметров a и b следует составить четыре уравнения для четырех значений cал и соответствующих им значений оптической плотности D:
Эти уравнения объединяют по два и складывают:
Определяют коэффициенты a и b:
Подставляют значение a в одно из уравнений и находят значение b:
5 = 0,360·21,21 + 2b; b = -1,30.
Подставляют полученные значения коэффициентов a и b в уравнение (1) и получают расчетное уравнение
cал = 21,21D - 1,30,
где D - оптическая плотность.
(обязательное)
ПРОВЕРКА ПРАВИЛЬНОСТИ ОПРЕДЕЛЕНИЯ
МАССОВОЙ КОНЦЕНТРАЦИИ СИВУШНОГО МАСЛА
При несоответствии полученного количества сивушного масла нормативному, а также для каждого фотоэлектроколориметра и партии используемых реактивов следует составлять градуировочный график. На основании градуировочного графика составляют уравнение для расчета массовой концентрации сивушного масла в водке.
Построение градуировочного графика
Для построения градуировочного графика используют типовые спиртовые растворы по НД
[2] с содержанием сивушного масла 2, 3 и 4 мг в 1 дм
3 безводного спирта.
Проводят колориметрическую реакцию этих растворов со спиртовым раствором салицилового альдегида в присутствии концентрированной серной кислоты по прописи, изложенной в
5.2.3.
По полученным после колориметрирования результатам строят градуировочный график, откладывая на оси ординат значения оптических плотностей, а на оси абсцисс - соответствующие этим значениям количества сивушного масла (мг в 1 дм3 безводного спирта).
Оптическую плотность каждого раствора определяют не менее трех раз и из полученных значений находят среднее арифметическое.
Зависимость между оптической плотностью и количеством сивушного масла в исследуемых растворах на градуировочном графике должна быть прямолинейной.
Составление уравнения для расчета массовой концентрации сивушного масла (
cс.м.) в водке проводят аналогично описанному для альдегидов в
приложении 1.
Приложение 3 (Исключено, Изм. N 2).
(информационное)
БИБЛИОГРАФИЯ
| ТУ 6-09-5169-84 | Метиловый красный |
| ТУ 10-00334586-39-93 | Растворы типовые - СОП. Технические условия |
| ТУ 6-09-2086-77 или ТУ 6-09-4530-77 | Бромтимоловый синий |
| ТУ 6-09-5319-90 | Пирогаллол А. Технические условия |
| ТУ 6-09-05-1371-88 | Хромотроповой кислоты динатриевая соль 2-водная. Технические условия |