Главная // Актуальные документы // ГОСТ (Государственный стандарт)СПРАВКА
Источник публикации
М.: Издательство стандартов, 1983
Примечание к документу
С 1 июля 2003 года до вступления в силу технических регламентов акты федеральных органов исполнительной власти в сфере технического регулирования носят рекомендательный характер и подлежат обязательному исполнению только в части, соответствующей целям, указанным в
пункте 1 статьи 46 Федерального закона от 27.12.2002 N 184-ФЗ.
Ограничение срока действия снято по Протоколу N 2-92 Межгосударственного совета по стандартизации, метрологии и сертификации ("ИУС", N 2, 1993).
Документ
введен в действие с 1 января 1985 года.
Взамен ГОСТ 6904-70.
Название документа
"ГОСТ 6904-83. Государственный стандарт Союза ССР. Пряжа хлопчатобумажная суровая крученая для ткацкого производства. Технические условия"
(утв. и введен в действие Постановлением Госстандарта СССР от 29.09.1983 N 4700)
"ГОСТ 6904-83. Государственный стандарт Союза ССР. Пряжа хлопчатобумажная суровая крученая для ткацкого производства. Технические условия"
(утв. и введен в действие Постановлением Госстандарта СССР от 29.09.1983 N 4700)
Утвержден и введен в действие
Постановлением Государственного
комитета СССР по стандартам
от 29 сентября 1983 г. N 4700
ГОСУДАРСТВЕННЫЙ СТАНДАРТ СОЮЗА ССР
ПРЯЖА ХЛОПЧАТОБУМАЖНАЯ СУРОВАЯ КРУЧЕНАЯ
ДЛЯ ТКАЦКОГО ПРОИЗВОДСТВА
ТЕХНИЧЕСКИЕ УСЛОВИЯ
Cotton grey twisted yarn for weaving
industry. Specifications
ГОСТ 6904-83
Взамен
ГОСТ 6904-70
Постановлением Государственного комитета СССР по стандартам от 29 сентября 1983 г. N 4700 срок действия установлен
с 1 января 1985 года
до 1 января 1990 года
РАЗРАБОТАН Министерством легкой промышленности СССР
ИСПОЛНИТЕЛИ: П.Т. Букаев, З.В. Павлова, С.А. Буркова, С.Г. Стрельцова
ВНЕСЕН Министерством легкой промышленности СССР
Член Коллегии Н.В. Хвальковский
УТВЕРЖДЕН И ВВЕДЕН В ДЕЙСТВИЕ Постановлением Государственного комитета СССР по стандартам от 29 сентября 1983 г. N 4700
Настоящий стандарт распространяется на хлопчатобумажную суровую и мерсеризованную крученую пряжу гребенного и кардного прядения, предназначенную для ткацкого производства и изделий специального назначения кабельной промышленности.
1. ТЕХНИЧЕСКИЕ ТРЕБОВАНИЯ
1.1. Хлопчатобумажная суровая крученая пряжа должна изготовляться в соответствии с требованиями настоящего стандарта по технологическому регламенту, утвержденному в установленном порядке.
1.2. Пряжа должна вырабатываться из хлопчатобумажной суровой одиночной пряжи по ГОСТ 1119-80 и нормативно-технической документации.
1.3. В зависимости от физико-механических показателей и применяемого сырья крученую пряжу делят на сорта:
высший, первый, второй - из хлопкового волокна 1 - 3-го типов тонковолокнистых сортов хлопчатника, из 3-го типа тонковолокнистых сортов хлопчатника;
первый, второй, третий - из хлопкового волокна 4-го типа средневолокнистых сортов хлопчатника в смеси с хлопковым волокном 3-го типа тонковолокнистых сортов хлопчатника, из хлопкового волокна средневолокнистых сортов хлопчатника 4 - 7-го типов.
1.4. По физико-механическим показателям крученая гребенная пряжа, вырабатываемая из хлопкового волокна 1 - 3-го типов тонковолокнистых сортов хлопчатника, должна соответствовать требованиям, указанным в табл. 1.
Структура нити | Допускаемые относительные отклонения результирующей кондиционной линейной плотности от результирующей номинальной, % | Сорт | Удельная (относительная) разрывная нагрузка методом разрыва одной нити | Коэффициент вариации по разрывной нагрузке, % | Показатель качества, не менее | Коэффициент крутки, не более |
сН/текс | гс/текс |
5 текс x 2 (N 200/2) Rн 10,1 текс | +1,5 -2,5 | Высший | 18,2 | 18,6 | 9,4 | 1,98 | 47,4 |
Первый | 16,8 | 17,1 | 11,2 | 1,53 |
Второй | Не менее 15,9 | Не менее 16,2 | Не более 12,5 | 1,30 |
5,9 текс x 2 (N 170/2) Rн 12 текс | +1,5 -2,5 | Высший | 18,6 | 19,0 | 9,9 | 1,92 | 47,4 |
Первый | 17,4 | 17,8 | 11,2 | 1,59 |
Второй | Не менее 16,3 | Не менее 16,6 | Не более 12,5 | 1,33 |
5,9 текс x 2 (N 170/2) Rн 12 текс особой крутки | +1,5 -2,5 | Высший | 19,7 | 20,1 | 9,4 | 2,14 | 73,0 |
Первый | 18,0 | 18,3 | 11,2 | 1,64 |
Второй | Не менее 17,0 | Не менее 17,3 | Не более 12,5 | 1,38 |
5,9 текс x 2 (N 170/2) Rн 12,2 текс для маркизета | +1,5 -2,5 | Высший | 19,7 | 20,1 | 10,7 | 1,88 | 74,5 |
Первый | 18,0 | 18,3 | 12,9 | 1,42 |
Второй | Не менее 17,0 | Не менее 17,3 | Не более 14,2 | 1,22 |
6,7 текс x 2 (N 149/2) Rн 13,6 текс 7,5 текс x 2 (N 133/2) Rн 15,2 текс | +1,5 -2,5 | Высший | 19,7 | 20,1 | 9,4 | 2,14 | 47,4 |
Первый | 18,0 | 18,3 | 11,2 | 1,64 |
Второй | Не менее 17,0 | Не менее 17,3 | Не более 12,5 | 1,38 |
8,5 текс x 2 (N 118/2) Rн 17,2 текс | +1,5 -2,5 | Высший | 20,0 | 20,4 | 9,4 | 2,17 | 47,4 |
Первый | 18,4 | 18,8 | 11,2 | 1,68 |
Второй | Не менее 16,8 | Не менее 17,1 | Не более 12,6 | 1,37 |
9 текс x 2 (N 111/2) Rн 18,3 текс 10 текс x 2 (N 100/2) Rн 20,2 текс | +1,5 -2,5 | Высший | 20,3 | 20,7 | 9,4 | 2,20 | 47,4 |
Первый | 18,8 | 19,2 | 11,2 | 1,71 |
Второй | Не менее 17,3 | Не менее 17,6 | Не более 12,5 | 1,41 |
10,6 текс x 2 (N 92,6/2) Rн 22,0 текс | + 1,5 -2,5 | Высший | 20,8 | 21,2 | Не более 9,4 | 2,26 | 47,4 |
Первый | Не менее 20,3 | Не менее 20,7 | 2,20 |
11 текс x 2 (N 90,9/2) Rн 22,2 текс 11,8 текс x 2 (N 84,7/2) Rн 24,0 текс | +1,5 -2,5 | Высший | 20,3 | 20,7 | 9,4 | 2,20 | 47,4 |
Первый | 18,8 | 19,2 | 11,2 | 1,71 |
Второй | Не менее 17,0 | Не менее 17,3 | Не более 12,5 | 1,38 |
15,4 текс x 2 (N 64,9/2) Rн 31,3 текс 16,5 текс x 2 (N 60,6/2) Rн 33,6 текс | +1,5 -2,5 | Высший | 20,6 | 21,0 | 9,4 | 2,23 | 47,4 |
Первый | 18,8 | 19,2 | 11,2 | 1,71 |
Второй | Не менее 17,3 | Не менее 17,6 | Не более 12,5 | 1,41 |
11 текс x 3 (N 90,9/3) Rн 33,7 текс 11,8 текс x 3 (N 84,7/3) Rн 36,1 текс | +1,5 -2,5 | Высший | 21,6 | 22,0 | 8,1 | 2,72 | 47,4 |
Первый | 19,9 | 20,3 | 9,8 | 2,08 |
Второй | Не менее 18,0 | Не менее 18,3 | Не более 11,0 | 1,66 |
16,5 текс x 3 (N 60/3) Rн 50,5 текс | +1,5 -2,5 | Высший | 21,9 | 22,3 | 8,1 | 2,74 | 47,4 |
Первый | 20,2 | 20,6 | 9,8 | 2,11 |
Второй | Не менее 18,1 | Не менее 18,5 | Не более 11,0 | 1,68 |
10 текс x 4 (N 100/4) Rн 41,2 текс | +1,5 -2,5 | Высший | 22,7 | 23,1 | 6,2 | 3,70 | 47,4 |
Первый | 20,8 | 21,2 | 7,5 | 2,82 |
Второй | Не менее 19,1 | Не менее 19,5 | Не более 9,4 | 2,07 |
Примечание. Пряжа линейных плотностей 10 текс x 2 и 11,8 текс x 2 для кабельной промышленности должна быть не ниже первого сорта.
1.5. По физико-механическим показателям мерсеризованная крученая гребенная пряжа из хлопкового волокна 1 - 3-го типов тонковолокнистых сортов хлопчатника должна соответствовать требованиям, указанным в табл. 2.
Структура нити | Допускаемые относительные отклонения результирующей кондиционной линейной плотности от результирующей номинальной, % | Сорт | Удельная (относительная) разрывная нагрузка методом разрыва одной нити | Коэффициент вариации по разрывной нагрузке, % | Показатель качества, нс менее | Коэффициент крутки, не более |
сН/текс | гс/текс |
10 текс x 2 (N 100/2) Rн 20,2 текс | +0 -7 | Высший | 22,6 | 23,0 | 10,0 | 2,30 | 36,5 |
Первый | 21,6 | 22,0 | 11,5 | 1,91 |
1.6. По физико-механическим показателям крученая гребенная пряжа, вырабатываемая из хлопкового волокна 3-го типа тонковолокнистых сортов хлопчатника, должна соответствовать требованиям, указанным в табл. 3.
Структура нити | Допускаемые относительные отклонения результирующей кондиционной линейной плотности от результирующей номинальной, % | Сорт | Удельная (относительная) разрывная нагрузка методом разрыва одной нити | Коэффициент вариации по разрывной нагрузке, % | Показатель качества, не менее | Коэффициент крутки, не более |
сН/текс | гс/текс |
18,5 текс x 2 (N 54/2) Rн 37,6 текс, уток | +1,5 -2,5 | Высший | 18,0 | 18,3 | 9,4 | 1,95 | 35,0 |
Первый | 16,7 | 17,0 | 11,2 | 1,52 |
Второй | Не менее 15,2 | Не менее 15,5 | Не более 12,5 | 1,24 |
1.7. По физико-механическим показателям гребенная крученая пряжа, вырабатываемая из смеси хлопкового волокна 4-го типа средневолокнистых сортов хлопчатника с хлопковым волокном 3-го типа тонковолокнистых сортов хлопчатника, должна соответствовать требованиям, указанным в табл. 4.
Структура нити | Допускаемые относительные отклонения результирующей кондиционной линейной плотности от результирующей номинальной, % | Сорт | Удельная (относительная) разрывная нагрузка методом разрыва одной нити | Коэффициент вариации по разрывной нагрузке, % | Показатель качества, не менее | Коэффициент крутки, не более |
сН/текс | гс/текс |
11,8 текс x 2 (N 84,7/2) Rн 24,0 текс | +1,5 -2,5 | Первый | 16,8 | 17,1 | 8,8 | 1,95 | 47,4 |
Второй | 15,6 | 15,9 | 11,2 | 1,41 |
Третий | Не менее 14,4 | Не менее 14,7 | Не более 13,1 | 1,12 |
15,4 текс x 2 (N 64,9/2) Rн 31,3 текс 16,5 текс x 2 (N 60,6/2) Rн 33,6 текс | +1,5 -2,5 | Первый | 17,0 | 17,4 | 8,8 | 1,98 | 47,4 |
Второй | 15,9 | 16,2 | 11,2 | 1,44 |
Третий | Не менее 14,4 | Не менее 14,7 | Не более 13,1 | 1,12 |
18,5 текс x 2 (N 54/2) Rн 37,6 текс | +1,5 -2,5 | Первый | 17,7 | 18,0 | 8,8 | 2,06 | 47,4 |
Второй | 16,5 | 16,8 | 11,2 | 1,49 |
Третий | Не менее 15,0 | Не менее 15,3 | Не более 13,1 | 1,17 |
11,8 текс x 3 (N 84,7/3) Rн 36,3 текс | +1,5 -2,5 | Первый | 18,2 | 18,6 | 8,1 | 2,29 | 47,4 |
Второй | 16,8 | 17,1 | 9,8 | 1,75 |
Третий | Не менее 14,8 | Не менее 15,1 | Не более 11,4 | 1,32 |
Примечание. Пряжа линейных плотностей 11,8 текс x 2 и 18,5 текс x 2 для кабельной промышленности должна быть первого сорта.
1.8. По физико-механическим показателям крученая гребенная пряжа, вырабатываемая из хлопкового волокна 4 - 7-го типов средневолокнистых сортов хлопчатника, должна соответствовать требованиям, указанным в табл. 5.
Структура нити | Допускаемые относительные отклонения результирующей кондиционной линейной плотности от результирующей номинальной, % | Сорт | Удельная (относительная) разрывная нагрузка методом разрыва одной нити | Коэффициент вариации по разрывной нагрузке, % | Показатель качества, не менее; | Коэффициент крутки, не более |
сН/текс | гс/текс |
14 текс x 2 (N 71,4/2) Rн 28,6 текс | +1,5 -2,5 | Первый | 16,1 | 16,4 | 8,8 | 1,86 | 47,4 |
Второй | 15,0 | 15,3 | 11,2 | 1,37 |
Третий | Не менее 13,5 | Не менее 13,8 | Не более 13,1 | 1,05 |
15,4 текс x 2 (N 64,9/2) Rн 31,3 текс | +1,5 -2,5 | Первый | 15,9 | 16,2 | 8,8 | 1,84 | 47,4 |
Второй | 14,8 | 15,1 | 11,2 | 1,35 |
Третий | Не менее 13,4 | Не менее 13,7 | Не более 13,1 | 1,04 |
18,5 текс x 2 (N 54/2) Rн 37,0 текс | +1,5 -2,5 | Первый | 16,4 | 16,7 | 8,8 | 1,90 | 47,4 |
Второй | 15,3 | 15,6 | 11,2 | 1,39 |
Третий | Не менее 13,9 | Не менее 14,2 | Не более 13,1 | 1,08 |
18,5 текс x 2 (N 54/2) Rн 37,0 текс, уток | +1,5 -2,0 | Первый | 15,9 | 16,1 | 8,8 | 1,83 | 47,4 |
Второй | 15,0 | 15,3 | 11,2 | 1,37 |
Третий | Не менее 14,2 | Не менее 14,5 | Не более 13,1 | 1,11 |
1.9. По физико-механическим показателям крученая кардная пряжа, вырабатываемая из хлопкового волокна 1 - 3-го типов тонковолокнистых сортов хлопчатника, должна соответствовать требованиям, указанным в табл. 6.
Структура нити | Допускаемые относительные отклонения результирующей кондиционной линейной плотности от результирующей номинальной, % | Сорт | Удельная (относительная) разрывная нагрузка методом разрыва одной нити | Коэффициент вариации по разрывной нагрузке, % | Показатель качества, не менее; | Коэффициент крутки, не более |
сН/текс | гс/текс |
18,5 текс x 2 (N 54/2) Rн 37,6 текс | +1,5 -2,5 | Высший | 17,6 | 17,9 | 9,9 | 1,81 | 47,4 |
Первый | 16,1 | 16,4 | 11,2 | 1,46 |
Второй | Не менее 14,5 | Не менее 14,8 | Не более 13,2 | 1,12 |
Примечание. Пряжа линейной плотности 18,5 текс x 2 для кабельной промышленности должна быть не ниже первого сорта.
1.10. По физико-механическим показателям крученая кардная пряжа, вырабатываемая из хлопкового волокна 4 - 7-го типов средневолокнистых сортов хлопчатника, должна соответствовать требованиям, указанным в табл. 7.
Структура нити | Допускаемые относительные отклонения результирующей кондиционной линейной плотности от результирующей номинальной, % | Сорт | Удельная (относительная) разрывная нагрузка методом разрыва одной нити | Коэффициент вариации по разрывной нагрузке, % | Показатель качества, не менее; | Коэффициент крутки, не более |
сН/текс | гс/текс |
13 текс x 2 (N 76,9/2) Rн 26,4 текс 15,4 текс x 2 (N 64,9/2) Rн 31,3 текс | +1,5 -2,5 | Первый | 14,5 | 14,8 | 11,2 | 1,32 | 47,4 |
Второй | 12,9 | 13,2 | 13,1 | 1,01 |
Третий | Не менее 12,3 | Не менее 12,6 | Не более 15,0 | 0,83 |
18,5 текс x 2 (N 54/2) Rн 37,6 текс 21 текс x 2 (N 47,6/2) Rн 42,7 текс | +1,5 -2,5 | Первый | 13,7 | 14,0 | 11,2 | 1,25 | 47,4 |
Второй | 12,7 | 12,9 | 13,1 | 0,98 |
Третий | Не менее 11,8 | Не менее 12,0 | Не более 15,0 | 0,80 |
25 текс x 2 (N 40/2) Rн 50,8 текс | +1,5 -2,5 | Первый | 13,5 | 13,8 | 11,2 | 1,23 | 47,4 |
Второй | 12,1 | 12,3 | 13,1 | 0,94 |
Третий | Не менее 11,7 | Не менее 11,9 | Не более 15,0 | 0,79 |
29 текс x 2 (N 34,5/2) Rн 58,9 текс | +2,0 -2,5 | Первый | 13,5 | 13,8 | 11,2 | 1,23 | 47,4 |
Второй | 11,8 | 12,0 | 13,2 | 0,92 |
Третий | Не менее 11,4 | Не менее 11,6 | Не более 15,0 | 0,77 |
34 текс x 2 (N 29,4/2) Rн 69,4 текс 36 текс x 2 (N 27,8/2) Rн 73,1 текс 42 текс x 2 (N 23,8/2) Rн 85,4 текс 50 текс x 2 (N 20/2) Rн 101,5 текс 56 текс x 2 (N 17,9/2) Rн 113,7 текс | +2,0 -2,5 | Первый | 13,0 | 13,3 | 11,2 | 1,18 | 47,4 |
Второй | 11,7 | 11,9 | 13,1 | 0,91 |
Третий | Не менее 11,1 | Не менее 11,3 | Не более 15,0 | 0,76 |
15,4 текс x 3 (N 64,9/3) Rн 47,2 текс | +1,5 -2,5 | Первый | 14,9 | 15,2 | 10,6 | 1,43 | 47,4 |
Второй | 13,4 | 13,7 | 11,8 | 1,16 |
Третий | Не менее 12,8 | Не менее 13,0 | Не более 13,1 | 0,99 |
18,5 текс x 3 (N 54/3) Rн 57,0 текс | +1,5 -2,5 | Первый | 14,9 | 15,2 | 10,6 | 1,42 | 47,4 |
Второй | 13,6 | 13,9 | 11,8 | 1,18 |
Третий | 12,8 | 13,0 | 13,1 | 0,99 |
25 текс x 3 (N 40/3) Rн 76,6 текс | +2,0 -2,5 | Первый | 14,5 | 14,8 | 10,6 | 1,40 | 47,4 |
Второй | 13,5 | 13,8 | 11,8 | 1,17 |
Третий | Не менее 12,4 | Не менее 12,6 | Не более 13,1 | 0,96 |
29 текс x 3 (N 34,5/3) Rн 89,1 текс | +2,0 -2,5 | Первый | 14,2 | 14,5 | 10,6 | 1,37 | 47,4 |
Второй | 12,8 | 13,0 | 11,8 | 1,10 |
Третий | Не менее 12,2 | Не менее 12,4 | Не более 13,1 | 0,95 |
46 текс x 3 (N 21,7/3) Rн 141 текс | +2,0 -2,5 | Первый | 14,2 | 14,5 | 8,6 | 1,68 | 37,6 |
Второй | 13,2 | 13,5 | 9,6 | 1,40 |
Третий | Не менее 12,3 | Не менее 12,5 | Не более 10,5 | 1,14 |
50 текс x 3 (N 20/3) Rн 154 текс | +2,0 -2,5 | Первый | 13,7 | 14,0 | 10,6 | 1,32 | 47,4 |
Второй | 12,3 | 12,5 | 11,8 | 1,06 |
Третий | Не менее 11,7 | Не менее 11,9 | Не более 13,1 | 0,91 |
25 текс x 4 (N 40/4) Rн 102 текс | +2,0 -2,5 | Первый | 14,7 | 15,0 | 10,1 | 1,48 | 31,6 |
Второй | 13,6 | 13,9 | 11,3 | 1,23 |
Третий | Не менее 12,9 | Не менее 13,1 | Не более 12,6 | 1,04 |
Примечания:
1. Пряжа линейной плотности 18,5 текс x 2 и 18,5 текс x 3 для кабельной промышленности должна быть не ниже первого сорта.
2. Пряжа линейной плотности 29 текс x 2 и 50 текс x 3 для кабельной промышленности должна быть не ниже первого сорта.
3. Пряжа линейной плотности 18,5 текс x 3 для изготовления рукавов оплеточных конструкций должна быть первого сорта.
1.11. Нормированная влажность суровой пряжи должна быть 7%, мерсеризованной - 9%.
1.12. Сорт пряжи определяют по показателю качества, полученному как частное от деления удельной (относительной) разрывной нагрузки методом разрыва одиночной нити, гс/текс, на коэффициент вариации по разрывной нагрузке.
Показатель качества вычисляют до 0,001 и округляют до 0,01 (см. справочное
приложение).
Если один из показателей пряжи, удельная (относительная) разрывная нагрузка методом разрыва одиночной нити ниже или коэффициент вариации выше норм, установленных для первого сорта
табл. 2, для второго сорта
табл. 1 (кроме пряжи линейной плотностью 10,6 текс x 2 (N 92,6/2),
табл. 3 и
6 и третьего сорта
табл. 4,
5 и
7, то показатель качества не определяют.
1.13. Сорт пряжи, выпускаемой на сновальных валиках, определяют по показателю качества при испытании одиночной нити.
1.14. В зависимости от внешнего вида пряжу делят на классы А, Б и В по
ГОСТ 15818-70.
1.15. Пряжу наматывают на патроны, шпули, катушки (бобины), мотки (куфты), сновальные валики. Вид и размер единиц продукции (масса или длина пряжи) согласовывают с потребителем.
1.16. В партии допускается не более 1,5% отсталых недомотанных единиц продукции с недостатком пряжи от 5 до 30% включительно от массы партии.
1.17. В каждой единице продукции не допускаются следующие пороки:
по качеству пряжи:
перекрученная,
недокрученная,
перетертая,
замасленные нити (кроме пряжи для маркизета),
грязные нити,
смешанные линейные плотности,
покрытая плесенью,
разнооттеночная,
с несмываемыми цветными нитями;
по намотке пряжи:
слабая и неправильная намотка,
бугристая,
резко выраженные жгуты,
сорванные, спущенные и затертые единицы продукции,
намотанная на дефектные шпули, патроны, катушки и др.,
единицы продукции с перехлестами (хордами более 40 мм),
мотки без провязок и с несвязанными концами.
1.18. Пряжа, выпускаемая на сновальных валиках, должна иметь количество нитей и их длину, согласованные с потребителем.
1.19. В пряже на сновальных валиках не допускаются следующие пороки:
загрязненные, замасленные нити,
смешанные линейные плотности,
слабая навивка нитей,
намотанная на сновальные валики с кривыми шпинделями и разбитыми фланцами.
1.20. Для пряжи в мотках вид намотки, размер и массу мотка устанавливают по согласованию изготовителя с потребителем. Мотки перевязывают двумя ценовыми провязками, которые делят моток на две части. Концы первого и последнего витков перевязывают вместе. Допускаются другие способы перевязки по согласованию изготовителя с потребителем.
2.1. Правила приемки - по
ГОСТ 6611.0-73 со следующим дополнением: для проверки качества пряжи по внешнему виду, качеству упаковки и качеству намотки изготовитель осуществляет контроль 100% продукции, потребитель проводит выборочный контроль, для чего от партии отбирают 10% упаковочных единиц. Результаты выборочного контроля распространяют на всю партию.
Пороки, которые не могут быть обнаружены при приемке пряжи и выявляются только в процессе переработки продукции, потребитель проверяет совместно с изготовителем проведением контрольной переработки пряжи. Для этого из разных упаковочных единиц отбирают не менее 10% пряжи от проверяемой массы.
2.2. Каждую партию сопровождают документом о качестве. В документе должны быть указаны:
наименование предприятия-изготовителя и его товарного знака;
вид пряжи (ее наименования);
номинальная линейная плотность пряжи, текс (структура нити);
сорт пряжи;
класс пряжи;
вид единицы продукции;
номер партии и номера упаковочных единиц в партии;
масса нетто (кондиционная);
масса брутто, кг;
фактическая влажность;
дата отправления;
обозначение настоящего стандарта;
наименование предприятия-потребителя;
результаты испытаний качества пряжи.
| | ИС МЕГАНОРМ: примечание. В официальном тексте документа, видимо, допущена опечатка: стандарт имеет номер ГОСТ 6611.2-73, а не ГОСТ 6611.2-78. | |
3.3. Определение разрывной нагрузки и разрывного удлинения - по
ГОСТ 6611.2-78.
| | ИС МЕГАНОРМ: примечание. Взамен ГОСТ 6611.3-73 Приказом Ростехрегулирования от 29.06.2005 N 167-ст с 1 декабря 2005 года введен в действие ГОСТ 6611.3-2003. | |
3.4. Определение крутки и укрутки - по ГОСТ 6611.3-73.
3.6. Определение класса пряжи по внешнему виду - по
ГОСТ 15818-70.
4. МАРКИРОВКА, УПАКОВКА, ТРАНСПОРТИРОВАНИЕ И ХРАНЕНИЕ
| | ИС МЕГАНОРМ: примечание. Взамен ГОСТ 13514-82 Постановлением Госстандарта России от 02.06.1994 N 160 с 1 января 1995 года введен в действие ГОСТ 13514-93. | |
| | ИС МЕГАНОРМ: примечание. Взамен ГОСТ 5530-81 Приказом Ростехрегулирования от 18.10.2005 N 244-ст с 1 января 2006 года введен в действие ГОСТ 5530-2004. | |
4.1. Пряжу упаковывают в тару по ГОСТ 17322-71, ящики из гофрированного картона по ГОСТ 13514-82, в контейнеры по
ГОСТ 18477-79 и в мягкую тару из нетканого полотна по нормативно-технической документации и упаковочной ткани по ГОСТ 5530-81, полиэтиленовую пленку по
ГОСТ 10354-82 и другие виды упаковочных материалов из химических нитей и волокон.
Пряжу с отсталыми и недомотанными единицами продукции и замасленную пряжу для маркизета упаковывают в отдельную тару.
Примечание. Пряжу в мотках прессуют в пачки, пачки в кипы. Допускается пряжу в мотках формировать в куфты или связи.
4.2. Внутрь каждой упаковочной единицы должен быть вложен ярлык с указанием:
наименования предприятия-изготовителя и его товарного знака;
вида пряжи (ее наименования);
номинальной линейной плотности пряжи, текс (структура нити);
номера укладчика;
даты;
обозначения настоящего стандарта.
4.3. На каждую упаковочную единицу прикрепляют ярлык с указанием:
наименования предприятия-изготовителя и его товарного знака;
вида пряжи (ее наименование);
номинальной линейной плотности пряжи, текс (структура нити);
сорта пряжи;
вида единицы продукции;
номера упаковочной единицы;
номера партии;
массы брутто, кг;
массы нетто, кг;
номера укладчика;
даты укладывания;
обозначения настоящего стандарта.
4.4. Сновальные валики должны иметь ярлыки с указанием:
наименования предприятия-изготовителя и его товарного знака;
вида пряжи (ее наименование);
номинальной линейной плотности пряжи, текс (структура нити);
сорта пряжи;
номера сновальной машины;
длины сновки, м;
количества нитей на валике;
массы брутто, кг;
массы нетто, кг;
номера сновальщика;
даты отправки;
обозначения настоящего стандарта.
4.5. Пряжу, предназначенную для применения в качестве сырья на предприятии-изготовителе, упаковывают в любые виды тары, при этом в каждую упаковочную единицу вкладывают ярлык с указанием:
вида пряжи (ее наименования);
номинальной линейной плотности пряжи, текс;
номера машины, номера смены;
даты;
обозначения настоящего стандарта.
| | ИС МЕГАНОРМ: примечание. Взамен ГОСТ 19433-81 Постановлением Госстандарта СССР от 19.08.1988 N 2957 с 1 января 1990 года введен в действие ГОСТ 19433-88. | |
4.6. Транспортная маркировка - по
ГОСТ 14192-77 с нанесением манипуляционных знаков: "Боится сырости", "Крюками непосредственно не брать", знака опасности и шифра группы 4113 по ГОСТ 19433-81.
4.7. Пряжу транспортируют всеми видами транспорта в крытых транспортных средствах в соответствии с правилами перевозки легкогорючих грузов, действующих в данном виде транспорта.
При транспортировании пряжи в железнодорожных вагонах и на речных судах с 01.01.86 должны применяться транспортные пакеты по
ГОСТ 21929-76.
Масса и параметры пакетов должны быть установлены в соответствии с требованиями
ГОСТ 24597-81.
Допускается при перевозке автомобильным транспортом транспортирование упаковочных единиц в таре и контейнерах по согласованию изготовителя с потребителем.
4.8. Упаковка, маркировка, транспортирование и хранение пряжи для районов Крайнего Севера и труднодоступных районов - по
ГОСТ 15846-79.
4.9. Пряжа должна храниться в крытых, чистых сухих помещениях.
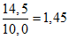
Справочное
ОПРЕДЕЛЕНИЕ ПОКАЗАТЕЛЯ КАЧЕСТВА
Пример. При испытании крученой кардной пряжи, структурой нити 25 текс x 3, результирующей номинальной линейной плотности 76,6 текс, вырабатываемой из хлопкового волокна 4 - 7-го типов средневолокнистых сортов хлопчатника, получили удельную (относительную) разрывную нагрузку методом разрыва одной нити 14,5 гс/текс, а коэффициент вариации 10%.
Показатель качества будет равен

.
Согласно
табл. 7 настоящего стандарта пряжа будет соответствовать 1-му сорту.