Главная // Актуальные документы // ГОСТ (Государственный стандарт)СПРАВКА
Источник публикации
М.: Издательство стандартов, 1994
Примечание к документу
С 01.07.2003 до вступления в силу технических регламентов акты федеральных органов исполнительной власти в сфере технического регулирования носят рекомендательный характер и подлежат обязательному исполнению только в части, соответствующей целям, указанным в
п. 1 ст. 46 Федерального закона от 27.12.2002 N 184-ФЗ.
Ограничение срока действия снято по Протоколу N 5-94 Межгосударственного совета по стандартизации, метрологии и сертификации ("ИУС", N 11-12, 1994).
Срок действия продлен до 01.01.1996 Постановлением Госстандарта СССР от 12.10.1984 N 3576.
Документ
введен в действие с 01.01.1976.
Взамен ГОСТ 5716-65.
Название документа
"ГОСТ 5716-74. Государственный стандарт Союза ССР. Мука фосфоритная. Технические условия"
(утв. и введен в действие Постановлением Госстандарта СССР от 21.05.1974 N 1247)
(ред. от 01.09.1988)
"ГОСТ 5716-74. Государственный стандарт Союза ССР. Мука фосфоритная. Технические условия"
(утв. и введен в действие Постановлением Госстандарта СССР от 21.05.1974 N 1247)
(ред. от 01.09.1988)
Утвержден и введен в действие
Постановлением Государственного
Комитета стандартов
Совета Министров СССР
от 21 мая 1974 г. N 1247
ГОСУДАРСТВЕННЫЙ СТАНДАРТ СОЮЗА ССР
МУКА ФОСФОРИТНАЯ
ТЕХНИЧЕСКИЕ УСЛОВИЯ
Phosphorite powder. Specifications
ГОСТ 5716-74
| | Список изменяющих документов (в ред. Изменения N 1, утв. в феврале 1980 г., Изменения N 2, утв. в апреле 1983 г., Изменения N 3, утв. в октябре 1984 г., Изменения N 4, утв. в сентябре 1988 г.) | |
Срок действия
с 1 января 1976 года
до 1 января 1996 года
ИНФОРМАЦИОННЫЕ ДАННЫЕ
1. РАЗРАБОТАН И ВНЕСЕН Министерством минеральных удобрений
РАЗРАБОТЧИКИ
В.П. Сергеев, М.А. Клокачев, Б.И. Дунаев, Л.Т. Михайлова
2. УТВЕРЖДЕН И ВВЕДЕН В ДЕЙСТВИЕ Постановлением Государственного Комитета стандартов Совета Министров СССР от 21.05.74 N 1247
3. Периодичность проверки - 5 - 10 лет
4. Взамен ГОСТ 5716-65
5. ССЫЛОЧНЫЕ НОРМАТИВНО-ТЕХНИЧЕСКИЕ ДОКУМЕНТЫ
Обозначение НТД, на который дана ссылка | Номер пункта, подпункта |
| |
| |
| |
| |
| |
| |
| |
| |
| |
| |
| |
|
|
ГОСТ 7328-82 | |
| |
| |
| |
| |
| |
| |
ГОСТ 23954-80 | |
|
|
ГОСТ 24104-88 | |
Продолжение
Обозначение НТД, на который дана ссылка | Номер пункта, приложения |
| |
| |
ОСТ 16.0.801.397-87 | |
ТУ 6-09-5360-87 | |
6. Срок действия продлен до 01.01.96 Постановлением Госстандарта СССР от 12.10.84 N 3576
7. Переиздание (сентябрь 1993 г.) с Изменениями N 1, 2, 3, 4, утвержденными в феврале 1980 г., апреле 1983 г., октябре 1984 г., сентябре 1988 г. (ИУС 3-80, 8-83, 1-85, 1-89)
Настоящий стандарт распространяется на фосфоритную муку, получаемую обогащением природных фосфоритов и применяемую в качестве удобрения.
1. ТЕХНИЧЕСКИЕ ТРЕБОВАНИЯ
1.1. Фосфоритная мука должна изготовляться в соответствии с требованиями настоящего стандарта по технологическому регламенту, утвержденному в установленном порядке.
1.2. Фосфоритная мука по физико-химическим показателям должна соответствовать нормам, указанным в
таблице.
показателя | Норма |
А ОКП 2183100010 | Б ОКП 2183100020 | В ОКП 2183100030 | С ОКП 2183100040 |
1. Массовая доля фосфатов в пересчете на P2O5, в сухом веществе, % | 29 +/- 1 | 26 +/- 1 | 23 +/- 1 | 20 +/- 1 |
2. Массовая доля воды, %, не более | 1,5 | 1,5 | 1,5 | 1,5 |
3. Гранулометрический состав, характеризуемый массовой долей класса 0,18 мм на сите с сеткой N 018K (ГОСТ 6613-86), %, не более | 10 | 10 | 10 | 10 |
Примечания:
1. Допускается превышение верхнего предела содержания нормы фосфатов в пересчете на массовую долю P2O5, %.
2. Допускается для фосфоритной муки Чилисайского месторождения массовая доля фосфатов в пересчете на P2O5 в сухом веществе не менее 17%.
Разд. 1. (Измененная редакция, Изм. N 4).
2а. ТРЕБОВАНИЯ БЕЗОПАСНОСТИ
2а.1. Фосфоритная мука нетоксична, пожаро- и взрывобезопасна.
2а.2. При производстве фосфоритной муки, ее погрузке и выгрузке в рабочих помещениях и на рабочих площадках образуется пыль, взвешенная в воздухе.
Предельно допустимая концентрация пыли фосфоритной муки в воздухе рабочей зоны - 6 мг/м3.
2а.3. Транспортные потоки фосфоритной муки должны быть герметизированы, на рабочих местах должно быть обеспечено пылеулавливание и пылеподавление.
2а.4. При работе с фосфоритной мукой рабочие должны быть обеспечены специальной одеждой и респираторами в соответствии с типовыми отраслевыми нормами, утвержденными в установленном порядке.
Разд. 2а. (Введен дополнительно, Изм. N 4).
2.1. Правила приемки - по ГОСТ 23954-80.
(Измененная редакция, Изм. N 3).
2.2; 2.3. (Исключены, Изм. N 3).
3.1. Отбор и подготовка проб - по
ГОСТ 21560.0-82, включая фосфоритную муку, находящуюся в силосах и в движении по пневмотрубопроводам.
3.1.1. Точечные пробы отбирают от неупакованного продукта при погрузке и разгрузке силосных емкостей готовой продукции, вагонов, автомашин, тракторных тележек, насыпей.
3.1.2. Точечные пробы отбирают в местах перепада потока механическим пробоотборником или вручную, обеспечивая полное пересечение потока; в пробоотборных точках пневмотранспорта - механическим пробоотборником, установленным в системе пневмотранспорта.
3.1. - 3.1.2. (Измененная редакция, Изм. N 4).
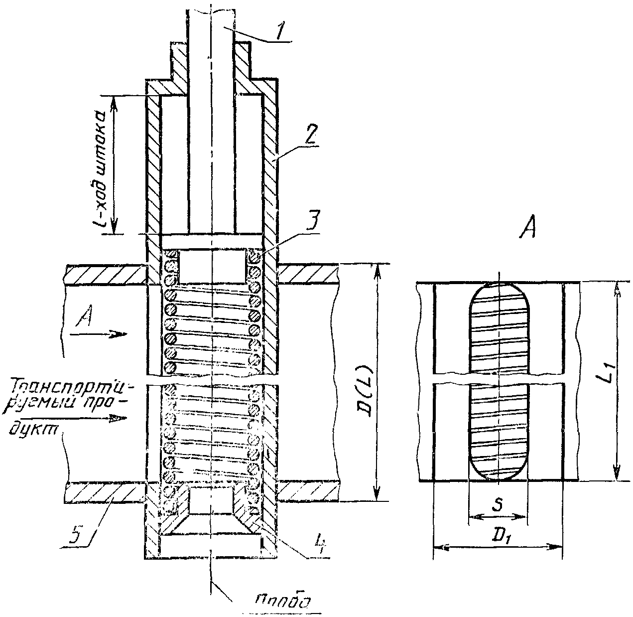
3.1.2.1. Конвейерный пробоотборник
(черт. 1) представляет собой ковш
1, укрепленный на рычагах
2, качающихся вокруг оси
6, параллельной оси барабана, транспортера
7. Короткое плечо рычага
2 связано со штоком пневматического привода
5.
Пробоотборник конвейерный
1 - ковш; 2 - рычаг; 3 - желоб; 4 - емкость для пробы;
5 - пневматический привод; 6 - ось; 7 - транспортер.
B - ширина ленты транспортера; B1 - ширина пробоотборника
Черт. 1
При повороте рычагов 2 под воздействием привода 5 ковш 1 пересекает весь поток транспортируемого материала, забирая пробу, и в конце своей траектории разгружается в желоб 3, по которому отобранная проба поступает в приемную емкость (накопитель) 4, устанавливаемую в запирающемся шкафу.
Размеры ковша, определяющие его емкость, выбирают, исходя из ширины ленты, производительности конвейера, минимальной массы точечной пробы и гранулометрического состава опробуемого материала.
Для приведения в действие пробоотборника может быть использован любой пневматический или электромеханический привод, обеспечивающий возвратно-поступательное движение штока.
3.1.2.2. Пробоотборник для систем пневмотранспорта
(черт. 2) представляет собой каскад соосно расположенных армирующих колец, в качестве которых может быть использована цилиндрическая пружина. Вплотную к пробоотбирающему элементу установлен жесткий направляющий каркас, имеющий продольный разрез длиной, равной высоте пересекаемого потока опробуемого продукта. Верхний торец пробоотбирающего элемента соединен со штоком, а нижний - с пробопередающей втулкой.
Пробоотборник для систем пневмотранспорта
1 - шток; 2 - труба; 3 - пробоотбирающий элемент;
4 - втулка; 5 - трубопровод
Черт. 2
Продолжительность растяжения пробоотбирающего элемента для образования щелей при отборе точечной пробы, их величина и периодичность срабатывания регулируются электромеханическим, пневматическим или электрическим приводами, обеспечивающими возвратно-поступательное движение штока.
3.1.2.3. Допускается применение механических пробоотборников других типов, характеристики которых, подтвержденные документами, гарантируют отбор представительных проб по
ГОСТ 21560.0-82.
3.1.2.1 - 3.1.2.3. (Введены дополнительно, Изм. N 4).
3.1.3. Среднюю пробу, полученную по
ГОСТ 21560.0-82, делят на аналитические пробы. Одну пробу используют для определения фосфатов и воды, другую пробу - для определения гранулометрического состава. Оставшуюся часть средней пробы помещают в чистую сухую стеклянную банку или полиэтиленовый пакет, которые должны быть плотно закрыты.
На банку или пакет должна быть наклеена или вложена внутрь этикетка с указанием наименования предприятия-изготовителя, наименование продукта, номера и величины партии, сорта, марки, даты и места отбора пробы, обозначение стандарта.
(Измененная редакция, Изм. N 4).
3.2. Определение массовой доли фосфорного ангидрида (P
2O
5)
(Измененная редакция, Изм. N 3).
3.2.1. Определение массовой доли фосфорного ангидрида проводят дифференциальным фотометрическим методом по
ГОСТ 20851.2-75, извлечение проводят в соответствии с
разд. 1, определение - по
разд. 8.
3.2.2. Определение массовой доли фосфатов в пересчете на массовую долю P2O5 проводят объемным упрощенным методом.
3.2.2.1. Метод предназначен для определения массовой доли фосфатов в пересчете на P2O5 в фосфоритной муке в диапазоне 15 - 35%.
Принцип метода титриметрический, основан на осаждении фосфора в виде фосфоромолибдата аммония с дальнейшим нахождением его массы по эквивалентному количеству израсходованной щелочи, учитывая, что 1 см3 раствора щелочи концентрации 0,324 моль/дм3 (0,324н) соответствует 1 мг P2O5 в фосфоромолибдате аммония.
3.2.2.2.
Средства измерений, аппаратура, реактивы и растворы
Весы лабораторные аналитические по ГОСТ 24104-88 2-го класса точности с наименьшим и наибольшим пределами взвешивания 0,2 мг и 200 г соответственно.
Набор гирь по ГОСТ 7328-82.
Бюретки вместимостью 50 см3 с ценой деления 0,1 см3 или аналогичного исполнения не ниже 2-го класса точности.
Пипетки градуированные вместимостью 10 см3.
Кислота азотная по
ГОСТ 4461-77, плотностью 1,4 г/см
3 (готовят раствор с массовой долей HNO
3 10%) 1,2 г/дм
3.
Кислота серная по
ГОСТ 4204-77 плотностью 1,84 г/см
3, раствор концентрации
c(1/2H
2SO
4) = 0,324 моль/дм
3 (0,324н); готовят следующим образом: 9 см
3 серной кислоты, постоянно перемешивая, приливают к 300 см
3 воды. Полученный раствор охлаждают до температуры (20 +/- 2) °C, переносят в мерную колбу вместимостью 1 дм
3, доводят до метки и тщательно перемешивают. Точную концентрацию кислоты устанавливают по тетраборно-кислому натрию (буре) в присутствии метилового оранжевого.
Точную концентрацию гидроокиси натрия определяют по титрованному раствору серной кислоты концентрации
c (1/2 H
2SO
4) = 0,324 моль/дм
3 (0,324н) по
ГОСТ 25794.1-83.
Аммоний азотно-кислый по
ГОСТ 22867-77, раствор с массовой долей 30%; готовят следующим образом: 300 г соли азотно-кислого аммония растворяют в 500 см
3 горячей воды при температуре не менее 60 °C, отфильтровывают, затем приливают 40 см
3 азотной кислоты плотностью 1,2 г/см
3, раствор разбавляют, затем приливают 40 см
3 азотной кислоты плотностью 1,2 г/см
3, раствор разбавляют до 1 дм
3 и перемешивают.
Аммоний молибденово-кислый по
ГОСТ 3765-78, раствор с массовой долей 15%.
Жидкость молибденовая; готовят следующим образом: к 1 дм3 охлажденного до температуры (20 +/- 2) °C раствора молибденово-кислого аммония, постоянно помешивая, приливают 1 дм3 азотной кислоты плотностью 1,2 г/см3. После отстаивания не менее 2 суток раствор готов к применению.
Метиловый оранжевый (индикатор); раствор с массовой долей 0,2%.
Фенолфталеин (индикатор) по ТУ 6-09-5360-87, спиртовой раствор с массовой долей 1%.
3.2.2.3. Подготовка к измерению
0,1 г высушенной пробы фосфоритной муки помещают в стакан или колбу вместимостью 250 см3 и смачивают водой. Затем добавляют 10 см3 раствора с массовой долей азотной кислоты 10%, осторожно нагревают до кипения и кипятят в течение 5 мин, после чего разбавляют содержимое стакана или колбы 5 - 6 см3 воды и охлаждают.
3.2.2 - 3.2.2.3. (Измененная редакция, Изм. N 4).
3.2.2.4. Проведение измерения
К охлажденному раствору приливают 15 см3 раствора азотнокислого аммония и 40 см3 молибденовой жидкости. Стакан или колбу с выпавшим осадком встряхивают в течение 20 мин. Допускается встряхивание в течение 5 мин, а затем оставляют до полного осаждения осадка на 15 - 20 мин. Раствор фильтруют через фильтр (белая лента) или фильтровальную массу из мацерированной бумаги.
Осадок и колбу промывают холодной дистиллированной водой до pH 5,5 - 7 по универсальной индикаторной бумаге. После этого фильтр с осадком переносят в стакан или коническую колбу, в которых проводилось осаждение, добавляют 40 - 50 см3 воды, не содержащей углекислого газа, и осадок растворяют в гидроокиси натрия, прибавляя ее с избытком (3 - 5 см3).
Фильтр разрывают на мелкие кусочки стеклянной палочкой, которую перед удалением ополаскивают водой. Избыток гидроокиси натрия титруют раствором серной кислоты в присутствии 2 - 3 капель фенолфталеина.
3.2.2.5. Обработка результатов
Массовую долю фосфатов в пересчете на массовую долю P2O5 (X) в процентах вычисляют по формуле

,
где V1 - объем раствора гидроокиси натрия концентрации точно 0,324 моль/дм3 (0,324н), взятый для растворения фосфорномолибденового осадка, см3;
V2 - объем раствора серной кислоты концентрации точно 0,324 моль/дм3 (0,324н), израсходованный на титрование избытка гидроокиси натрия, см3;
0,001 - масса P2O5, соответствующая 1 см3 раствора гидроокиси натрия концентрации точно 0,324 моль/дм3 (0,324н), г;
m - масса навески фосфоритной муки, г.
Допускается определять массовую долю фосфатов объемным упрощенным методом непосредственно из отобранной аналитической пробы с последующим пересчетом на P2O5 в сухом веществе по формуле

,
где Xс - массовая доля компонента в пересчете на сухое вещество, %;
X - массовая доля компонента в определяемой пробе, %;
Xв - массовая доля воды в определяемой пробе, %.
За результат анализа принимают среднее арифметическое результатов двух параллельных определений, абсолютное расхождение между которыми не превышает допускаемое расхождение, равное 0,3%, при доверительной вероятности P = 0,95.
Абсолютная суммарная погрешность результата анализа не превышает +/- 0,2%.
При разногласиях в оценке массовой доли фосфатов в пересчете на массовую долю P2O5 анализ проводят дифференциальным фотометрическим методом.
3.2.2.4; 3.2.2.5. (Введены дополнительно, Изм. N 4).
3.2.3; 3.2.4. (Исключены, Изм. N 1).
Допускается проводить определение массовой доли воды по инструментальному методу, указанному в
приложении.
При разногласиях в оценке массовой доли воды анализ проводить по ГОСТ 20851.4-75
разд. 1.
(Измененная редакция, Изм. N 4).
3.3.1. Проведение испытания
10 г фосфоритной муки, взвешенной с погрешностью не более 0,01 г, помещают в предварительно высушенную до постоянной массы бюксу и сушат в сушильном шкафу при (105 +/- 2) °C до постоянной массы. Бюксу охлаждают в эксикаторе над хлористым кальцием или силикагелем и взвешивают. Пробу оставляют для определения содержания фосфорного ангидрида по
п. 3.2.
Весы лабораторные аналитические 2-го класса точности с диапазоном взвешивания от 0,2 мг до 200 г типа АДВ-200.
Разновесы Г-2-210 по ГОСТ 7328-82, класса точности 1.
Электрошкаф сушильный типа СНОЛ-6,05,0·5,0/4 по ОСТ 16.0.801.397-87.
(Введен дополнительно, Изм. N 3).
3.3.2. Обработка результатов
Массовую долю влаги (X1) в процентах вычисляют по формуле

,
где m - навеска пробы, г;
m1 - масса пробы после высушивания, г.
За результат анализа принимают среднее арифметическое двух параллельных определений, допускаемые расхождения между которыми не должны превышать 0,15% при доверительной вероятности P = 0,95.
(Измененная редакция, Изм. N 3).
3.4. Определение гранулометрического состава фосфоритной муки
3.4.1. Определение гранулометрического состава
Определение гранулометрического состава заключается в просеивании пробы фосфоритной муки через стандартное сито с размером сторон ячеек в свету 0,18 мм для установления массы остатка на этом сите в процентах по отношению к взятой пробе в диапазоне 0 - 12%.
3.4; 3.4.1. (Измененная редакция, Изм. N 4).
3.4.2.
Средства измерений
Набор гирь по ГОСТ 7328-82.
Весы общего назначения по ГОСТ 24104-88 4-го класса точности с наименьшим и наибольшим пределом взвешивания 0,1 г и 500 г соответственно.
Кальций хлористый.
3.4.3. Условия выполнения измерений
В процессе промывания пробы во избежание потерь продукта необходимо следить, чтобы вода не переливалась через борта сита.
3.4.4. Подготовка к измерению
Пробу фосфоритной муки помещают в фарфоровую чашку и сушат в сушильном шкафу при температуре (105 +/- 5) °C до постоянной массы. Чашку с пробой охлаждают в эксикаторе до температуры (20 +/- 5) °C над хлористым кальцием или силикагелем и взвешивают на аналитических весах.
3.4.5. Проведение измерения
100 г высушенной пробы фосфоритной муки помещают на сито с размером сторон ячеек в свету 0,18 мм. Сито вместе с пробой помещают в таз с водой и вертикальными возвратно-поступательными движениями отмывают частицы. Оставшиеся комочки в процессе промывания разминают, размешивая осадок на сите резиновой пробкой или пластинкой.
После удаления основной шламистой части сито с оставшейся массой промывают слабой струей воды под краном. Остаток высушивают, охлаждают до температуры (20 +/- 5) °C и подвергают контрольному просеву в сухом виде. Просев считают законченным, если в течение одной минуты ручного просеивания через сито будет проходить не более 0,1 г оставшегося продукта. Полученный на сите остаток переносят на часовое стекло и взвешивают.
Допускается при содержании массовой доли воды не более 0,5% проводить анализ без предварительного высушивания.
3.4.6. Обработка результатов
Гранулометрический состав (массовую долю остатка на сите 0,18 мм) (X2) в процентах вычисляют по формуле

,
где m1 - масса остатка на сите, г;
m - масса навески фосфоритной муки, г.
За результат анализа принимают среднее арифметическое результатов двух параллельных определений, абсолютное расхождение между которыми не превышает допускаемое расхождение, равное 0,5%, при доверительной вероятности P = 0,95.
Относительная суммарная погрешность результата анализа не превышает +/- 5,0%.
3.4.2 - 3.4.6. (Введены дополнительно, Изм. N 4).
4. УПАКОВКА, МАРКИРОВКА, ТРАНСПОРТИРОВАНИЕ И ХРАНЕНИЕ
4.1. Фосфоритную муку транспортируют в цистернах, очищенных от ранее перевозимых грузов, хопперах-цементовозах, а также специальными закрытыми автомашинами в соответствии с правилами перевозок грузов, действующими на транспорте данного вида.
(Измененная редакция, Изм. N 3).
4.2; 4.3. (Исключены, Изм. N 3).
4.4. Фосфоритную муку хранят в закрытых складских помещениях, при этом срок хранения не ограничен.
(Измененная редакция, Изм. N 3).
5. ТРЕБОВАНИЯ БЕЗОПАСНОСТИ
5.1. Фосфоритная мука нетоксична, пожаро- и взрывобезопасна.
5.2. При производстве фосфоритной муки и ее погрузке, выгрузке в рабочих помещениях и на рабочих площадках образуется пыль, взвешенная в воздухе.
Предельно допустимая концентрация пыли фосфоритной муки в воздухе рабочей зоны - 6 мг/м3.
5.3. Транспортные потоки фосфоритной муки должны быть герметизированы; на рабочих местах должно быть обеспечено пылеулавливание и пылеподавление.
5.4. При работе с фосфоритной мукой рабочие должны быть обеспечены спецодеждой и респираторами в соответствии с типовыми отраслевыми нормами, утвержденными в установленном порядке.
5.5. Все работы с фосфоритной мукой, а также хранение и транспортирование ее должны производиться в соответствии с "Санитарными
правилами по хранению, транспортированию и применению минеральных удобрений в сельском хозяйстве", утвержденными Главным санитарным врачом Союза ССР.
Рекомендуемое
1. Инструментальный метод определения массовой доли воды
1.1. Метод измерения
Метод основан на измерении электрической емкости датчика, пропорциональной изменению диэлектрической постоянной пробы фосфоритной муки от массовой доли воды и предназначен для определения массовой доли H2O в фосфоритной муке в диапазоне 0,2 - 2,0%. Содержание других компонентов не регламентируется.
1.2. Средства измерений, вспомогательные устройства, реактивы и материалы:
измеритель индуктивностей и емкостей высокочастотный Е7-5А или аналогичный;
| | ИС МЕГАНОРМ: примечание. В официальном тексте документа, видимо, допущена опечатка: стандарт имеет номер ГОСТ 25336-82, а не ГОСТ 25336-80. | |
Датчик преобразователя емкости
1 - крышка; 2 - корпус; 3 - кольца-конденсаторы;
4 - электроды
Черт. 3
1.3. Условия выполнения измерений
Работа на высокочастотном измерителе индуктивностей и емкостей проводится в помещении, оборудованном в полном соответствии с инструкцией по эксплуатации, прилагаемой к прибору. График зависимости электрической емкости от массовой доли воды в фосфоритной муке может использоваться только для фосфоритной муки, изготовляемой из сырья Кингисеппского месторождения.
1.4. Подготовка к измерению
Подготовку прибора проводят в соответствии с инструкцией по его эксплуатации в части измерения емкостей.
Далее проводят градуировку прибора.
Для градуировки готовят серию образцов фосфоритной муки с различной влажностью. Для этого образцы выдерживают в течение суток в эксикаторах над водными растворами серной кислоты разной концентрации.
Для приготовления растворов серной кислоты в колбы, содержащие по 100 см3 воды каждая, приливают 10, 20, 30, 40, 60, 80 см2 серной кислоты плотностью 1,84 г/см3.
Часть массы каждого образца используют для определения массовой доли воды методом высушивания в соответствии с
п. 3.3, другую часть для определения показаний прибора в соответствии с инструкцией по эксплуатации.
По полученным данным строится график зависимости электрической емкости от массовой доли воды в муке. Проверка графика осуществляется один раз в квартал.
1.5. Выполнение измерений и вычисление результатов измерений
Пробу муки насыпают в датчик, заполняя его на 2/3 объема, плотно закрывают крышкой, устанавливают на подставку, на крышку устанавливают груз массой, равной приблизительно 2 кг, подключают датчик к прибору и определяют емкость датчика. Затем по графику определяют массовую долю воды в фосфоритной муке.
За результат анализа принимают среднее арифметическое результатов двух параллельных определений, абсолютное расхождение между которыми не превышает допускаемое расхождение, равное 0,1%
Допускаемая абсолютная суммарная погрешность результата анализа составляет +/- 0,1% при доверительно вероятности P = 0,95.
Приложение. (Введено дополнительно, Изм. N 4).