Главная // Актуальные документы // ГОСТ (Государственный стандарт)СПРАВКА
Источник публикации
М.: ИПК Издательство стандартов, 2002
Примечание к документу
С 01.07.2003 до вступления в силу технических регламентов акты федеральных органов исполнительной власти в сфере технического регулирования носят рекомендательный характер и подлежат обязательному исполнению только в части, соответствующей целям, указанным в
п. 1 ст. 46 Федерального закона от 27.12.2002 N 184-ФЗ.
Ограничение срока действия снято по Протоколу N 3-93 Межгосударственного совета по стандартизации, метрологии и сертификации ("ИУС", N 5-6, 1993).
Документ
введен в действие с 01.01.1979.
Взамен ГОСТ 15027.6-69.
Название документа
"ГОСТ 15027.6-77. Межгосударственный стандарт. Бронзы безоловянные. Методы определения кремния"
(утв. и введен в действие Постановлением Госстандарта СССР от 28.06.1977 N 1614)
(ред. от 01.03.1988)
"ГОСТ 15027.6-77. Межгосударственный стандарт. Бронзы безоловянные. Методы определения кремния"
(утв. и введен в действие Постановлением Госстандарта СССР от 28.06.1977 N 1614)
(ред. от 01.03.1988)
Утвержден и введен в действие
Постановлением
Государственного комитета стандартов
Совета Министров СССР
от 28 июня 1977 г. N 1614
МЕЖГОСУДАРСТВЕННЫЙ СТАНДАРТ
БРОНЗЫ БЕЗОЛОВЯННЫЕ
МЕТОДЫ ОПРЕДЕЛЕНИЯ КРЕМНИЯ
Non-tin bronze. Methods for the determination of silicon
ГОСТ 15027.6-77
| | Список изменяющих документов (в ред. Изменения N 1, утв. в феврале 1983 г., Изменения N 2, утв. в марте 1988 г.) | |
Дата введения
1 января 1979 года
1. РАЗРАБОТАН И ВНЕСЕН Министерством цветной металлургии СССР
2. УТВЕРЖДЕН И ВВЕДЕН В ДЕЙСТВИЕ Постановлением Государственного комитета стандартов Совета Министров СССР от 28.06.77 N 1614
3. ВЗАМЕН ГОСТ 15027.6-69
4. Стандарт полностью соответствует СТ СЭВ 1539-79
5. ССЫЛОЧНЫЕ НОРМАТИВНО-ТЕХНИЧЕСКИЕ ДОКУМЕНТЫ
Обозначение НТД, на который дана ссылка | Номер раздела, пункта, подпункта |
| |
| |
| |
| |
| |
| |
| |
| |
| |
| |
| |
| |
| |
| |
| |
| |
| |
| |
| |
| |
| |
| |
ТУ 6-09-5384-88 | |
6. Ограничение срока действия снято по протоколу N 3-93 Межгосударственного Совета по стандартизации, метрологии и сертификации (ИУС 5-6-93)
7. ИЗДАНИЕ с Изменениями N 1, 2, утвержденными в феврале 1983 г., марте 1988 г. (ИУС 6-83, 6-88)
Настоящий стандарт устанавливает гравиметрический метод в кремнистых бронзах (при массовой доле кремния от 0,5% до 4%), экстракционно-фотометрический метод в бронзах с массовой долей железа свыше 1% (при массовой доле кремния от 0,01% до 0,25%) и фотометрический метод в бронзах остальных марок (при массовой доле кремния от 0,01% до 0,3%) в безоловянных бронзах по
ГОСТ 18175,
ГОСТ 614 и
ГОСТ 493.
(Измененная редакция, Изм. N 2).
1.1. Общие требования к методам анализа - по
ГОСТ 25086 с дополнением по
разд. 1 ГОСТ 15027.1.
(Измененная редакция, Изм. N 1, 2).
2. ГРАВИМЕТРИЧЕСКИЙ МЕТОД ОПРЕДЕЛЕНИЯ КРЕМНИЯ
В КРЕМНИСТЫХ БРОНЗАХ
2.1. Сущность метода
Метод основан на выделении кремниевой кислоты осаждением с добавлением желатина из солянокислого раствора.
Кислота серная по
ГОСТ 4204 и разбавленная 1:4.
Кислота соляная по
ГОСТ 3118 и разбавленная 5:95.
Смесь кислот для растворения; готовят следующим образом: смешивают одну часть азотной кислоты и три части соляной кислоты.
Калий железистосинеродистый по
ГОСТ 4207, раствор 30 г/дм
3.
(Измененная редакция, Изм. N 2).
2.3. Проведение анализа
Навеску бронзы марки БрКМц3-1 массой 1 г бронзы марки БрКН1-3 массой 2 г помещают в стакан вместимостью 250 см3, добавляют 20 см3 воды, 20 см3 смеси кислот и растворяют при нагревании. Раствор выпаривают досуха, смачивают остаток 10 см3 концентрированной соляной кислотой и выпаривают досуха, затем еще два раза выпаривают досуха, добавляя перед выпариванием по 10 см3 концентрированной соляной кислоты. После этого остаток смачивают 10 см3 концентрированной соляной кислоты и через 3 - 5 мин приливают 70 - 80 см3 горячей воды, 5 см3 раствора желатина и нагревают до полного растворения солей. Фильтруют остаток на фильтр средней плотности, уплотненный фильтробумажной массой, и промывают сначала 8 - 10 раз горячим раствором соляной кислоты (5:95) до исчезновения реакции на медь (проба с раствором железистосинеродистого калия), а затем горячей водой до исчезновения реакции на ион хлорида. Фильтр с осадком помещают в платиновый тигель, сушат, озоляют, смачивают 0,5 см3 концентрированной азотной кислоты, высушивают и прокаливают при 1000 - 1050 °C до постоянной массы, затем охлаждают в эксикаторе и взвешивают. Содержимое тигля смачивают несколькими каплями воды, добавляют 3 - 4 капли серной кислоты, 1 - 2 см3 фтористоводородной кислоты, осторожно выпаривают досуха и остаток прокаливают при 1000 - 1050 °C до постоянной массы, охлаждают в эксикаторе и взвешивают.
Если после удаления кремниевой кислоты в тигле остается черный осадок карбида кремния, его сплавляют с безводным углекислым натрием и сплав обрабатывают серной кислотой, разбавленной 1:4, раствор выпаривают до появления белого дыма серной кислоты, охлаждают, приливают 5 см3 соляной кислоты, 80 см3 горячей воды и кипятят. Дополнительно выделенный осадок кремниевой кислоты отфильтровывают, промывают и далее анализ ведут, как указано выше.
Одновременно через все стадии анализа проводят контрольный опыт и в найденное содержание кремния вводят соответствующую поправку.
(Измененная редакция, Изм. N 2).
2.4 Обработка результатов
2.4.1. Массовую долю кремния (X) в процентах вычисляют по формуле

,
где m - масса тигля с осадком двуокиси кремния до обработки фтористоводородной кислоты, г;
m1 - масса тигля с осадком после обработки фтористоводородной кислотой, г;
m2 - масса сплава, г;
0,4672 - коэффициент пересчета двуокиси кремния на кремний.
2.4.2. Абсолютные расхождения результатов параллельных определений (
d - показатель сходимости) не должны превышать допускаемых значений, приведенных в
таблице.
| d, % | D, % |
От 0,01 до 0,02 | 0,002 | 0,005 |
Св. 0,02 " 0,05 | 0,005 | 0,01 |
" 0,05 " 0,10 | 0,008 | 0,02 |
" 0,10 " 0,20 | 0,012 | 0,03 |
Св. 0,20 до 0,30 | 0,02 | 0,05 |
" 0,30 " 0,40 | 0,03 | 0,07 |
" 0,50 " 1,0 | 0,05 | 0,1 |
" 2,5 " 4,0 | 0,10 | 0,2 |
(Измененная редакция, Изм. N 2).
2.4.3. Абсолютные расхождения результатов анализа, полученных в двух различных лабораториях, или двух результатов анализа, полученных в одной лаборатории, но при различных условиях (
D - показатель воспроизводимости), не должны превышать значений, приведенных в
таблице.
2.4.4.
Контроль точности результатов анализа
Контроль точности результатов анализа проводят по Государственным стандартным образцам безоловянных бронз, аттестованным в установленном порядке, в соответствии с
ГОСТ 25086.
2.4.3, 2.4.4. (Введены дополнительно, Изм. N 2).
3. ЭКСТРАКЦИОННО-ФОТОМЕТРИЧЕСКИЙ МЕТОД ОПРЕДЕЛЕНИЯ КРЕМНИЯ
3.1. Сущность метода
Метод основан на образовании кремнемолибденовой кислоты, экстракции ее бутиловым спиртом, восстановлении ее в экстракте до кремнемолибденовой сини и измерении интенсивности образовавшейся окраски.
3.2. Аппаратура, реактивы и растворы
Фотоэлектроколориметр или спектрофотометр.
Кислота азотная по
ГОСТ 4461, разбавленная 1:2.
Кислота серная по
ГОСТ 4204, разбавленная 1:9.
Кислота соляная по
ГОСТ 3118, разбавленная 1:1.
Кислота лимонная по
ГОСТ 3652, раствор 500 г/дм
3.
Кислота борная по
ГОСТ 9656, насыщенный раствор; готовят следующим образом: около 60 г борной кислоты растворяют в 1 дм
3 горячей воды.
Аммиак водный по
ГОСТ 3760, разбавленный 1:1.
Аммоний молибденовокислый по
ГОСТ 3765, перекристаллизованный раствор 100 г/дм
3.
Для перекристаллизации молибденовокислого аммония 70 г препарата растворяют в 400 дм3 воды при слабом нагревании (70 - 80 °C). Раствор фильтруют два раза через один и тот же плотный фильтр, фильтрат охлаждают и прибавляют 250 см3 этилового спирта. После отстаивания в течение 1 ч выделившиеся кристаллы отсасывают. Полученный молибденовокислый аммоний растворяют в воде и повторяют перекристаллизацию.
После второго отсасывания кристаллы промывают несколько раз смесью спирта с водой (5:8) и высушивают на воздухе.
Олово двухлористое по ТУ 6-09-5384, раствор 20 г/дм3 готовят следующим образом: 2 г соли растворяют в 100 см3 нагретой до 80 - 90 °C соляной кислоты, разбавленной 1:1.
Промывные растворы.
Раствор А; готовят следующим образом: к 50 см3 воды прибавляют 12 см3 концентрированной азотной кислоты и 5 см3 раствора молибденовокислого аммония.
Раствор Б; готовят следующим образом: к 50 см3 серной кислоты, разбавленной 1:9, прибавляют 5 см3 раствора молибденовокислого аммония и 5 см3 лимонной кислоты.
Кристаллический фиолетовый, водный раствор 1 г/дм3.
Фенолфталеин, спиртовой раствор 1 г/дм3.
Спирт этиловый ректификованный по
ГОСТ 18300 и разбавленный 5:8.
Стандартные растворы кремния.
Раствор А; готовят следующим образом: 0,2143 г прокаленной двуокиси кремния сплавляют в платиновом тигле с 2 г натрия-калия углекислого. Сплав выщелачивают водой и переносят в мерную колбу вместимостью 500 см3, до метки доливают водой и перемешивают. Раствор немедленно переносят в полиэтиленовый сосуд.
1 см3 раствора А содержит 0,0002 г кремния.
Раствор Б; готовят следующим образом: 2,5 см3 раствора А помещают в делительную воронку вместимостью 200 см3, добавляют 50 см3 воды, 2 - 3 капли раствора фенолфталеина и по каплям азотную кислоту, разбавленную 1:2, до исчезновения розовой окраски и затем 1 см3 в избыток, приливают 5 см3 раствора молибденовокислого аммония, разбавляют водой до 100 см3, перемешивают и оставляют на 10 мин. После этого прибавляют 5 см3 н-бутилового спирта, 10 см3 азотной кислоты, разбавленной 1:2, перемешивают, переворачивая 2 - 3 раза, прибавляют 25 см3 бутилового спирта и осторожно перемешивают, переворачивая воронку 30 раз. При этом кремнемолибденовая кислота извлекается в бутиловый спирт, окрашивая его в желтый цвет со слабым зеленоватым оттенком. После разделения фаз водный слой сливают в другую делительную воронку. Затем повторяют экстракцию до получения бесцветного экстракта, применяя каждый раз по 10 см3 н-бутилового спирта.
Экстракты объединяют и промывают 50 см3 промывного раствора А, переворачивая воронку осторожно 20 - 25 раз. Водный слой сливают, а оставшийся промытый органический слой переводят в мерную колбу с притертой пробкой вместимостью 100 см3, доливают до метки бутиловым спиртом и перемешивают.
1 см3 раствора Б содержит 0,000005 г кремния.
3.3. Проведение анализа
3.3.1. Навеску бронзы массой 0,2 г помещают в платиновый или фторопластовый тигель, прибавляют 1 см
3 фтористоводородной кислоты, 5 см
3 азотной кислоты, разбавленной 1:2, и накрывают платиновой или фторопластовой крышкой. Растворение образца проводят при нагревании на водяной бане до 60 °C. После растворения в тигель прибавляют 10 см
3 раствора борной кислоты и смесь переносят в стакан вместимостью 100 см
3, в который уже добавлено 20 см
3 раствора борной кислоты. Раствор разбавляют водой до 50 см
3 и прибавляют аммиак, разбавленный 1:1, при постоянном перемешивании до pH 1,5. Устанавливают pH капельной пробой с раствором кристаллического фиолетового на белой фарфоровой или фторопластовой пластинке. При pH меньше 1,5 капля испытуемого раствора, смешанная с каплей индикатора, окрашивается в зеленый цвет при pH 1,5 смесь окрашивается в фиолетовый цвет.
Раствор переносят в делительную воронку вместимостью 200 - 250 см
3 тщательно обмывают стакан водой в раствор в делительной воронке разбавляют до 100 см
3. Затем добавляют 5 см
3 раствора мочевины, 5 см
3 раствора молибденовокислого аммония и перемешивают. Через 10 мин вводят 5 см
3 раствора лимонной кислоты и перемешивают. Приливают 5 см
3 н-бутилового спирта для насыщения раствора, 20 см
3 азотной кислоты, разбавленной 1:2, и перемешивают. К смеси добавляют 15 см
3 н-бутилового спирта и осторожно, во избежание образования эмульсии, перемешивают, переворачивая воронку 30 раз. Жидкостям дают расслоиться (водный слой должен стать прозрачным). После расслоения фаз водный слой переносят во вторую делительную воронку вместимостью 200 - 250 см
3, наливают 10 см
3 н-бутилового спирта и воронку осторожно переворачивают 30 раз. После расслоения жидкостей водный слой переносят в третью воронку, а органический слой присоединяют к первой порции бутанольного экстракта. Экстракцию повторяют еще раз с 10 см
3 н-бутилового спирта. Объединенные экстракты промывают 50 см
3 промывного раствора Б, переворачивая осторожно воронку 20 - 25 раз. После расслоения водный слой отбрасывают, а органический слой сливают в мерную колбу вместимостью 50 см
3, в которую уже добавлено 0,2 г сернокислого натрия, и доливают до метки н-бутиловым спиртом. Аликвотную часть объемом 20 см
3 (при массовой доле кремния от 0,01% до 0,04%), 5 см
3 (при массовой доле кремния от 0,04% до 0,1%) и 2 см
3 (при массовой доле кремния от 0,1% до 0,25%) помещают в мерную колбу вместимостью 50 см
3, добавляют н-бутиловый спирт до 45 см
3, 2 - 3 капли раствора двухлористого олова, доливают до метки бутиловым спиртом и перемешивают. Через 20 - 25 мин измеряют оптическую плотность на фотоэлектроколориметре в кювете длиной 2 см с красным светофильтром

или на спектрофотометре при длине волны 810 нм. В качестве раствора сравнения применяют н-бутиловый спирт.
Через все стадии анализа проводят контрольный опыт.
3.3.2. Построение градуировочного графика
В восемь мерных колб вместимостью по 50 см
3 вводят 0,5; 1,0; 2,0; 3,0; 4,0; 5,0; 6,0 и 7,0 см
3 стандартного раствора Б, прибавляют н-бутиловый спирт до 45 см
3 и далее анализ ведут, как указано в
п. 3.3.1.
3.4. Обработка результатов
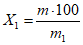
3.4.1. Массовую долю никеля (X1) в процентах вычисляют по формуле

,
где m - масса кремния, найденная по градуировочному графику, г;
m1 - масса навески, соответствующая аликвотной части раствора, г.
3.4.2. Абсолютные расхождения результатов параллельных определений (
d - показатель сходимости) не должны превышать допускаемых значений, приведенных в
таблице.
(Измененная редакция, Изм. N 2).
3.4.3. Абсолютные расхождения результатов анализа, полученных в двух различных лабораториях, или двух результатов анализа, полученных в одной лаборатории, но при различных условиях (
D - показатель воспроизводимости), не должны превышать значений, приведенных в
таблице.
3.4.4. Контроль точности результатов анализа проводят по
п. 2.4.4.
3.4.3, 3.4.4. (Введены дополнительно, Изм. N 2).
4. ФОТОМЕТРИЧЕСКИЙ МЕТОД ОПРЕДЕЛЕНИЯ КРЕМНИЯ
4.1. Сущность метода
Метод основан на образовании кремнием желтой кремнемолибденовой кислоты и измерении оптической плотности окрашенного раствора.
4.2. Аппаратура, реактивы и растворы
Спектрофотометр или фотоэлектроколориметр.
Кислота азотная по
ГОСТ 4461, разбавленная 1:2.
Кислота серная по
ГОСТ 4204, разбавленная 1:1.
Кислота лимонная по
ГОСТ 3652, раствор 100 г/дм
3.
Кислота ортофосфорная по
ГОСТ 6552, разбавленная 1:9.
Кислота борная по
ГОСТ 9656, насыщенный раствор; готовят следующим образом: около 60 г борной кислоты растворяют в 1 дм
3 горячей воды. Перед применением раствор охлаждают до температуры около 20 °C.
Аммиак водный по
ГОСТ 3760, разбавленный 1:1.
Кристаллический фиолетовый, водный раствор.
Аммоний молибденовокислый по
ГОСТ 3765, перекристаллизованный (см.
п. 3.2) свежеприготовленный раствор 100 г/дм
3.
Стандартные растворы кремния.
Раствор А; готовят следующим образом: 0,2143 г прокаленной двуокиси кремния сплавляют в платиновом тигле с 2 г углекислого калия-натрия. Сплав выщелачивают водой и переносят в мерную колбу вместимостью 500 см3, до метки доливают водой и перемешивают. Раствор немедленно переносят в полиэтиленовый сосуд.
1 см3 раствора А содержит 0,0002 г кремния.
Раствор Б; готовят следующим образом: 10 см3 раствора А переносят в мерную колбу вместимостью 100 см3, разбавляют водой до метки и перемешивают. Раствор немедленно переносят в полиэтиленовый сосуд.
1 см3 раствора Б содержит 0,00002 г кремния.
Раствор меди для приготовления раствора сравнения; готовят следующим образом: 1 г меди помещают в платиновую чашку, прибавляют 1 см3 фтористоводородной кислоты, 11 см3 азотной кислоты, разбавленной 1:2. Растворение проводят при нагревании. Затем прибавляют 2,5 см3 серной кислоты, разбавленной 1:1, и нагревают раствор до удаления свободной серной кислоты. После охлаждения соли растворяют, прибавляя небольшое количество воды, 11 см3 азотной кислоты, разбавленной 1:2, и 1 см3 фтористоводородной кислоты. Затем прибавляют 30 см3 раствора борной кислоты, раствор переносят в мерную колбу вместимостью 100 см3, до метки доливают водой и перемешивают.
(Измененная редакция, Изм. N 2).
4.3. Проведение анализа
4.3.1. Навеску бронзы массой 1 г помещают в платиновый или фторопластовый тигель, прибавляют 1 см
3 фтористоводородной кислоты, 11 см
3 азотной кислоты, разбавленной 1:2, и накрывают платиновой или фторопластовой крышкой. Растворение проводят при нагревании на водяной бане до 60 °C. После растворения в тигель прибавляют 10 см
3 раствора борной кислоты и раствор переносят через полиэтиленовую воронку в мерную колбу вместимостью 100 см
3, содержащую 20 см
3 раствора борной кислоты, доливают до метки водой и перемешивают.
Аликвотную часть раствора 20 см
3 (при массовой доле кремния от 0,01% до 0,05%), 5 см
3 (при массовой доле кремния от 0,10% до 0,30%) или 10 см
3 (при массовой доле кремния от 0,05% до 0,1%) помещают в стакан вместимостью 50 см
3, добавляют азотную кислоту в количестве 0,2 см
3 (при аликвотной части - 20 см
3); 0,6 см
3 (при аликвотной части - 10 см
3) и 0,8 см
3 (при аликвотной части - 5 см
3), доливают водой до 20 см
3 и проверяют pH раствора на pH-метре или капельной пробой с раствором кристаллического фиолетового на белой пластинке из фторопласта. Раствор должен иметь pH 1,5, если раствор не имеет pH 1,5, то pH устанавливают с помощью раствора аммиака или азотной кислоты. При значении pH меньше 1,5 капля испытуемого раствора, смешанная с каплей индикатора, окрашивается в зеленый цвет, при pH, равном 1,5, окраска смешанной капли становится чисто-синего цвета. Если аммиак введен в избытке, то смешанная капля имеет фиолетовый цвет. В таких случаях прибавляют азотную кислоту, разбавленную 1:2, до получения окраски смешанной капли зеленого цвета, а затем осторожно повторяют нейтрализацию аммиаком. В раствор, имеющий pH 1,5, прибавляют 5 см
3 раствора мочевины, 5 см
3 раствора молибденовокислого аммония и оставляют на 10 мин. После этого вводят 5 см
3 раствора лимонной кислоты, 3 см
3 раствора ортофосфорной кислоты, смесь переносят в мерную колбу вместимостью 50 см
3, до метки доливают водой и перемешивают. Через 15 мин измеряют оптическую плотность раствора при длине волны 400 нм в кювете длиной 5 см относительно раствора сравнения. Раствор сравнения готовят одновременно с анализируемой пробой, беря раствор меди (см.
п. 4.2) в таком же количестве, как и анализируемый раствор.
Содержание кремния находят по градуировочному графику.
(Измененная редакция, Изм. N 1, 2).
4.3.2. Построение градуировочного графика
В шесть стаканов вместимостью по 50 см3 прибавляют по 10 см3 раствора меди, не содержащей кремния (раствор сравнения), последовательно 0; 1,0; 2,0; 4,0; 6,0 и 8,0 см3 стандартного раствора Б.
Растворы разбавляют водой до 20 см
3 и далее анализ ведут, как указано в
п. 4.3.1.
4.4. Обработка результатов
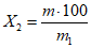
4.4.1. Массовую долю никеля (X2) в процентах вычисляют по формуле

,
где m - масса кремния, найденная по градуировочному графику, г;
m1 - масса навески, соответствующая аликвотной части раствора, г.
4.4.2. Абсолютные расхождения результатов параллельных определений (
d - показатель сходимости) не должны превышать допускаемых значений, приведенных в
табл. 1.
(Измененная редакция, Изм. N 2).
4.4.3. Абсолютные расхождения результатов анализа, полученных в двух различных лабораториях, или двух результатов анализа, полученных в одной лаборатории, но при различных условиях (
D - показатель воспроизводимости), не должны превышать значений, приведенных в
табл. 1.
4.4.4. Контроль точности результатов анализа проводят по
п. 2.4.4.
4.4.3, 4.4.4. (Введены дополнительно, Изм. N 2).