Главная // Актуальные документы // ГОСТ (Государственный стандарт)СПРАВКА
Источник публикации
М.: Издательство стандартов, 1990
Примечание к документу
С 1 июля 2003 года до вступления в силу технических регламентов акты федеральных органов исполнительной власти в сфере технического регулирования носят рекомендательный характер и подлежат обязательному исполнению только в части, соответствующей целям, указанным в
пункте 1 статьи 46 Федерального закона от 27.12.2002 N 184-ФЗ.
Ограничение срока действия снято по Протоколу N 5-94 Межгосударственного совета по стандартизации, метрологии и сертификации ("ИУС", N 11-12, 1994).
Документ
введен в действие с 1 июля 1991 года.
Название документа
"ГОСТ 28612-90. Государственный стандарт Союза ССР. Метионин кормовой. Атомно-абсорбционный метод определения ртути"
(утв. и введен в действие Постановлением Госстандарта СССР от 06.07.1990 N 2137)
"ГОСТ 28612-90. Государственный стандарт Союза ССР. Метионин кормовой. Атомно-абсорбционный метод определения ртути"
(утв. и введен в действие Постановлением Госстандарта СССР от 06.07.1990 N 2137)
Утвержден и введен в действие
Постановлением Государственного
комитета СССР по управлению
качеством продукции и стандартам
от 6 июля 1990 г. N 2137
ГОСУДАРСТВЕННЫЙ СТАНДАРТ СОЮЗА ССР
МЕТИОНИН КОРМОВОЙ
АТОМНО-АБСОРБЦИОННЫЙ МЕТОД ОПРЕДЕЛЕНИЯ РТУТИ
Fodder methionine. Atomic-absorption method
for determination of mercury
ГОСТ 28612-90
Срок действия
с 1 июля 1991 года
до 1 июля 1996 года
1. Разработан и внесен Волжским производственным объединением "Оргсинтез" и Институтом геохимии и аналитической химии им. В.И. Вернадского (Академия наук СССР).
Разработчики: В.В. Ермаков, Т.В. Гордышева, О.Л. Фокина.
2. Утвержден и введен в действие Постановлением Государственного комитета СССР по управлению качеством продукции и стандартам от 06.07.90 г. N 2137.
3. Срок первой проверки - IV кв. 1993 г.
4. Введен впервые.
5. Ссылочные нормативно-технические документы:
Обозначение НТД, на который дана ссылка | Номер раздела, пункта |
| |
| |
| |
| |
| |
| |
| |
| |
|
|
ГОСТ 24104-88 | |
| |
| |
Настоящий стандарт распространяется на метионин кормовой и устанавливает атомно-абсорбционный метод определения ртути.
Сущность метода заключается в окислении ртути, содержащейся в продукте, азотной кислотой в присутствии этилового спирта, восстановлении катионов ртути дихлоридом олова до атомарного состояния с последующим ее фотометрическим определением по поглощению атомами ртути характерного резонансного излучения при 253,7 нм, испускаемого катодной ртутной лампой.
Нижняя граница определения ртути посредством атомной абсорбции не менее 0,02 мкг, что соответствует 0,01 мг в 1 кг продукта. Абсолютная погрешность определения среднего результата при доверительной вероятности P = 0,95 для концентраций ртути 0,109 и 0,210 мг в 1 кг продукта составляет соответственно +/- 0,009 и +/- 0,005, а относительная погрешность среднего результата определения достигает 8,3 и 2,5%. Предельная погрешность определения ртути в кормовом метионине не превышает 10% максимально допустимого уровня.
Абсорбция света парами ртути пропорциональна массе элемента в 50 см3 раствора в интервале 0,05 - 0,5 мкг.
2. АППАРАТУРА, РЕАКТИВЫ, МАТЕРИАЛЫ
Атомно-абсорбционный спектрофотометр или анализатор ртути, снабженный проточной кюветой длиной 140 - 150 мм и диаметром 10 - 15 мм с кварцевыми окнами и насосом для непрерывной циркуляции воздуха с расходом 2 дм3/мин.
Шланги из силиконовой резины или полихлорвинила общей длиной 1500 мм и диаметром 3 - 5 мм.
Баня водяная электрическая.
Весы лабораторные 2-го класса точности с наибольшим пределом взвешивания 200 г по ГОСТ 24104.
Шкаф сушильный, обеспечивающий постоянство температуры (110 +/- 2) °C.
Колбы мерные 2-50-2, 2-100-2, 2-250-2 по
ГОСТ 25336.
Склянка с насадкой Дрекселя со шлифом НШ 29 вместимостью 100 см3.
Пипетки 1-1-0,5, 1-1-1, 1-1-2 или 2-го класса точности исполнений 2, 4, 5; 1-1-5, 1-1-10 или 2-го класса точности исполнений 2, 6, 7 по
ГОСТ 20292.
Сосуды поглотительные (ловушки) вместимостью 25 см3.
Гидроксиламин гидрохлорид по
ГОСТ 5456, х.ч.; раствор 10 г/дм3.
Калия перманганат по
ГОСТ 20490, х.ч., раствор 50 г/дм3.
Кислота азотная по
ГОСТ 11125, х.ч. или ч.д.а. концентрированная и разбавленная дистиллированной водой в соотношении 1:1 по объему.
Кислота хлорводородная (соляная) по
ГОСТ 14261, х.ч., концентрированная и разбавленная дистиллированной водой в соотношении 2:1 по объему.
Лед и холодная вода.
Олово металлическое гранулированное, ч.
Олово дихлорид двуводный.
Ртути дихлорид или стандарт-титр.
Спирт этиловый ректификованный, х.ч.
Примечание. Допускается использовать другую аппаратуру, материалы и реактивы, имеющие такие же или лучшие характеристики.
3. ПОДГОТОВКА К ИСПЫТАНИЮ
3.1. Подготовка лабораторной посуды
В мерные колбы для гидролиза материала вместимостью 250 см3 или другие стеклянные сосуды вносят 10 см3 концентрированной азотной кислоты и 1 см3 этилового спирта. После бурного выделения оксидов азота посуду выдерживают 30 мин при комнатной температуре, а затем промывают дистиллированной водой и сушат при 110 °C. Хранить их допускается в закрытом состоянии в течение месяца.
3.2. Приготовление восстанавливающего раствора
125 г дихлорида олова и 0,5 г металлического олова растворяют в 125 см3 соляной кислоты (2:1) при нагревании до полного растворения соли, а затем раствор охлаждают до комнатной температуры.
3.3. Приготовление основного калибровочного раствора ртути
(0,1354 +/- 0,0002) г дихлорида ртути количественно переносят в мерную колбу вместимостью 100 см3, используя 25 см3 азотной кислоты (1:1) и доводят до метки при постоянном перемешивании раствором азотной кислоты той же концентрации. Полученный раствор содержит 1000 мкг ртути в 1 см3. Раствор допускается хранить на холоде в склянке с притертой пробкой в течение 12 мес.
При взятии навески дихлорида ртути массой большей или меньшей 0,1354 г рассчитывают титр раствора ртути с учетом точной навески соли и молекулярной массы дихлорида ртути и ртути.
Аналогично готовят основной калибровочный раствор ртути из стандарт-титра: вскрывают стандарт-титр, содержащий (0,1354 +/- 0,0002) г дихлорида ртути и количественно переносят в мерную колбу вместимостью 100 см3, используя разбавленную дистиллированной водой азотную кислоту (1:1).
3.4. Приготовление разбавленного калибровочного раствора ртути с массовой концентрацией ртути 2,00 мкг в 1 см3
Объем основного калибровочного раствора ртути, соответствующий 1000 мкг ртути, вносят в мерную колбу вместимостью 500 см3 и доводят объем до метки разбавленной азотной кислотой (1:1). Раствор хранят в течение 3 мес на холоде.
3.5. Приготовление рабочего калибровочного раствора ртути
5 см3 разбавленного калибровочного раствора ртути (2,00 мкг в 1 см3) переносят в мерную колбу вместимостью 100 см3 и доводят до метки разбавленной азотной кислотой (1:1). Полученный раствор содержит ртути 0,1 мкг в 1 см3. Раствор допускается хранить на холоде до 7 сут.
3.6. Приготовление калибровочных растворов
В мерные цилиндры вместимостью 50 см3 отбирают пипетками объемы рабочего калибровочного раствора ртути (см. таблицу) с массовой концентрацией 0,1 мкг в 1 см3, доводят до 42 см3 азотной кислотой (1:1) и тщательно перемешивают.
Номер калибровочного раствора | Объем рабочего калибровочного раствора ртути с концентрацией 0,10 мкг в 1 см3, см3 | Объем азотной кислоты (1:1), см3 | Масса ртути в 40 см3 калибровочного раствора |
1 | 0 | 42 | 0 |
2 | 1 | 41 | 0,1 |
3 | 2 | 40 | 0,2 |
4 | 4 | 38 | 0,4 |
5 | 6 | 36 | 0,6 |
6 | 8 | 34 | 0,8 |
7 | 10 | 32 | 1,0 |
Примечание. Масса ртути в 42 см3 калибровочного раствора соответствует массе ртути в 42 см3 разбавленного дистиллированной водой гидролизата (1:1).
3.7. Приготовление разбавленной азотной кислоты (1:1)
500 см3 концентрированной азотной кислоты смешивают с 500 см3 дистиллированной воды, доводят до кипения и после охлаждения хранят в склянке темного стекла на холоде.
Навеску продукта массой (2,000 +/- 0,001) г помещают в мерную колбу вместимостью 250 см3. Гидролиз материала проводят по
ГОСТ 26927 или следующим образом.
В колбу, содержащую исследуемый продукт, вносят 20 см3 концентрированной азотной кислоты и тщательно перемешивают. Колбу нагревают в водяной бане при 80 °C до растворения материала и после охлаждения содержимого до комнатной температуры вносят 1 см3 этилового спирта. После прекращения выделения оксидов азота колбу помещают в водяную баню при температуре (85 +/- 2) °C на 1 ч. По истечении указанного времени в колбу вносят 20 см3 дистиллированной воды. Гидролизат охлаждают до комнатной температуры и выдерживают в течение 1 ч до измерения концентрации ртути для полного удаления свободных оксидов азота. Разбавленный гидролизат в закрытой колбе допускается хранить до 1 мес.
3.9. Подготовка измерительного устройства
Для определения содержания ртути используют атомно-абсорбционный спектрофотометр или анализатор ртути, снабженные проточной кюветой, микрокомпрессором, обеспечивающим циркуляцию воздуха с расходом 1 - 2 дм3/мин, поглотительными сосудами вместимостью 25 см3 и склянкой вместимостью 100 см3 с насадкой Дрекселя (см.
чертеж). Поглотительные сосуды, реакционный сосуд, насос и кювету соединяют между собой шлангами из силиконовой резины или полихлорвинила диаметром 3 - 5 мм общей длиной не более 1500 мм. Для конденсации влаги и предотвращения поступления ее в кювету поглотительные сосуды ставят в стакан вместимостью 1000 см3 со льдом и холодной водой.
Установка для атомно-абсорбционного определения ртути
в кормовом метионине
1, 2 - поглотительные сосуды;
3 - стакан со льдом и холодной водой; 4, 5, 6, 7 - шланги;
8 - источник монохроматического излучения; 9 - кювета;
10 - детектирующее устройство; 11 - микрокомпрессор;
12 - колба; 13 - насадка Дрекселя
Прибор и лампу включают за 30 мин до измерений. Кювету устанавливают в отделение для кювет анализатора до получения максимального значения эмиссии от ртутной лампы полого катода. Нулевое значение показания измерительного устройства устанавливают путем увеличения или уменьшения щели монохроматора, предварительно продувая насосом через систему воздух с расходом 2 дм3/мин в следующей последовательности: склянка с насадкой Дрекселя, содержащая 50 см3 дистиллированной воды, температура которой 15 - 20 °C, - сосуды (ловушки) - кювета - насос.
Охлажденный до комнатной температуры (20 +/- 2) °C разбавленный гидролизат или калибровочный раствор переносят в колбу вместимостью 100 см3 с насадкой Дрекселя. Туда же добавляют 0,5 см3 раствора перманганата калия. Содержимое перемешивают и через 2 мин вносят 5 см3 раствора гидроксиламин гидрохлорида. После обесцвечивания раствора или спустя 2 мин в реакционный сосуд вносят 2,5 см3 восстанавливающего раствора. Насадку Дрекселя вынимают из колбы с дистиллированной водой и быстро помещают в аналогичную колбу с гидролизатом и в течение 2 мин продувают воздух через замкнутую систему до максимального значения абсорбции (оптической плотности) при 253,7 нм или показаний измерительного устройства анализатора. Из полученного значения абсорбции вычитают значение абсорбции контрольного раствора на содержание ртути в реактивах, подготовку которого осуществляют так же, как и образца, используя вместо метионина 2 см3 дистиллированной воды.
Атомно-абсорбционное фотометрирование растворов сравнения проводят в порядке возрастания концентраций ртути до фотометрирования испытуемых растворов. Проверку нулевого отсчета шкалы прибора проводят по дистиллированной воде. Каждое измерение абсорбции растворов начинают с исходного значения условного нуля прибора.
По окончании атомно-абсорбционного фотометрирования строят калибровочный график, откладывая по оси абсцисс значение массы ртути в микрограммах в исследуемом объеме раствора, а по оси ординат - показания шкалы прибора (значение абсорбции). Для построения каждой точки калибровочного графика вычисляют среднее арифметическое значение абсорбции из двух параллельных измерений с учетом значения абсорбции нулевого раствора. Масштаб калибровочного графика: на оси абсцисс - в 1 см 0,02 мкг ртути, на оси ординат - в 1 см 0,01 единицы абсорбции (оптической плотности).
Если содержание ртути в исследуемом растворе превышает 1 мкг, то анализ повторяют, используя меньшую навеску пробы или разбавляя гидролизат до объема 42 см3 азотной кислотой (1:1).
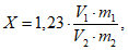
5.1. Массовую долю ртути (X) в миллиграммах на килограмм продукта вычисляют по формуле
где

- масса ртути в исследуемой пробе, определенная по графику с учетом количества ртути в контрольном растворе, мкг;

- масса исследуемой пробы метионина, г;

- общий объем гидролизата, см3;

- объем гидролизата, используемый для анализа, см3;
1,23 - постоянный коэффициент.
Вычисления проводят до третьего десятичного знака.
5.2. За окончательный результат испытания принимают среднее арифметическое значение

результатов двух параллельных определений.
Допускаемое расхождение результатов между двумя параллельными определениями при P = 0,95 не должно превышать 10% по отношению к среднему арифметическому значению. Окончательный результат округляют до второго десятичного знака.
5.3. Допускаемые расхождения между результатами испытаний, проведенных в двух разных лабораториях, не должны превышать 20% при P = 0,95 по отношению к среднему арифметическому.