Главная // Актуальные документы // ГОСТ (Государственный стандарт)СПРАВКА
Источник публикации
М.: ИПК Издательство стандартов, 1995
Примечание к документу
С 01.07.2003 до вступления в силу технических регламентов акты федеральных органов исполнительной власти в сфере технического регулирования носят рекомендательный характер и подлежат обязательному исполнению только в части, соответствующей целям, указанным в
п. 1 ст. 46 Федерального закона от 27.12.2002 N 184-ФЗ.
Документ
введен в действие с 01.01.1996.
Взамен ГОСТ 16591.5-71.
Название документа
"ГОСТ 16591.5-94. Межгосударственный стандарт. Ферросиликомарганец. Метод определения фосфора"
(введен в действие Постановлением Госстандарта России от 21.06.1995 N 313)
"ГОСТ 16591.5-94. Межгосударственный стандарт. Ферросиликомарганец. Метод определения фосфора"
(введен в действие Постановлением Госстандарта России от 21.06.1995 N 313)
Введен в действие
Постановлением Комитета
Российской Федерации
по стандартизации,
метрологии и сертификации
от 21 июня 1995 г. N 313
МЕЖГОСУДАРСТВЕННЫЙ СТАНДАРТ
ФЕРРОСИЛИКОМАРГАНЕЦ
МЕТОД ОПРЕДЕЛЕНИЯ ФОСФОРА
Ferrosilicomanganese.
Method tor determination of phosphorus
ГОСТ 16591.5-94
Дата введения
1 января 1996 года
1 РАЗРАБОТАН Российской Федерацией, Техническим комитетом ТК 8 "Ферросплавы"
ВНЕСЕН Госстандартом России
2 ПРИНЯТ Межгосударственным Советом по стандартизации, метрологии и сертификации 21 октября 1994 г. (протокол N 6-94)
За принятие проголосовали:
Наименование государства | Наименование национального органа стандартизации |
Азербайджанская республика | Азгосстандарт |
Республика Армения | Армгосстандарт |
Республика Беларусь | Белстандарт |
Республика Грузия | Грузстандарт |
Республика Казахстан | Госстандарт Республики Казахстан |
Кыргызская Республика | Кыргызстандарт |
Республика Молдова | Молдовастандарт |
Российская Федерация | Госстандарт России |
Республика Узбекистан | Узгосстандарт |
Украина | Госстандарт Украины |
3 Постановлением Комитета Российской Федерации по стандартизации, метрологии и сертификации от 21.06.95 N 313 Межгосударственный стандарт ГОСТ 16591.5-94 введен в действие непосредственно в качестве государственного стандарта Российской Федерации с 1 января 1996 г.
4 ВЗАМЕН ГОСТ 16591.5-71
1 НАЗНАЧЕНИЕ И ОБЛАСТЬ ПРИМЕНЕНИЯ
Настоящий стандарт устанавливает фотометрический метод определения фосфора в ферросиликомарганце при массовой доле фосфора от 0,025 до 0,7%. Метод основан на реакции образования желтой фосфорно-молибденовой гетерополикислоты с последующим восстановлением ее в солянокислой среде тиомочевиной в присутствии солянокислой меди или ионами двухвалентного железа в присутствии солянокислого гидроксиламина до соединения, окрашенного в синий цвет, и измерении его оптической плотности.
В настоящем стандарте использованы ссылки на следующие стандарты:
ГОСТ 4147-74 Железо (III) хлорид 6-водный. Технические условия
ГОСТ 4165-78 Медь (II) сернокислая 5-водная. Технические условия
ГОСТ 4198-75 Калий фосфорнокислый однозамещенный. Технические условия
ГОСТ 5456-79 Гидроксиламина гидрохлорид. Технические условия
ГОСТ 5962-67 Спирт этиловый ректификованный технический. Технические условия
ГОСТ 6613-86 Сетки проволочные тканые с квадратными ячейками. Технические условия
ГОСТ 18300-87 Спирт этиловый ректификованный технический. Технические условия
ГОСТ 28473-90 Чугун, сталь, ферросплавы, хром, марганец металлические. Общие требования к методам анализа
3.1 Общие требования к методу анализа - по
ГОСТ 28473.
3.2 Лабораторная проба должна быть приготовлена в виде тонкого порошка с размером частиц, проходящих через сито с сеткой N 016 по
ГОСТ 6613.
4 АППАРАТУРА, РЕАКТИВЫ И РАСТВОРЫ
Спектрофотометр или фотоэлектроколориметр.
Кислота хлорная плотностью 1,5 г/см3.
Кислота соляная по
ГОСТ 3118 и раствор плотностью 1,105 г/см
3: 560 см
3 соляной кислоты разбавляют водой до 1 дм
3.
Аммоний хлористый по
ГОСТ 3773, раствор 25 г/дм
3.
Буферный раствор: к 1 дм3 раствора хлористого аммония прибавляют 100 см3 соляной кислоты и перемешивают.
Медь (II) сернокислая 5-водная по
ГОСТ 4165, раствор 10 г/дм
3.
Железо треххлористое 6-водное по
ГОСТ 4147, раствор 100 г/дм
3.
Квасцы железоаммонийные, раствор: 173 г реактива растворяют при нагревании в 500 см3 воды, содержащей 10 - 30 см3 соляной кислоты, фильтруют и разбавляют водой до 1 дм3.
Восстановительная смесь: 150 см3 раствора сернокислой меди смешивают с 700 см3 раствора тиомочевины. Смесь выдерживают в течение 24 ч и отфильтровывают.
Гидроксиламина гидрохлорид по
ГОСТ 5456, раствор 200 г/дм
3.
Аммоний молибденовокислый по
ГОСТ 3765, свежеприготовленный раствор 50 г/дм
3.
Молибденовокислый аммоний перекристаллизовывают: 250 г реактива растворяют в 400 см3 воды при нагревании до 80 °C. Раствор фильтруют через плотный фильтр, охлаждают, приливают 300 см3 этилового спирта, перемешивают и через 1 ч осадок под вакуумом отфильтровывают на фильтр средней плотности, помещенный в воронку Бюхнера. Осадок промывают 2 - 3 раза этиловым спиртом порциями по 20 - 30 см3 и высушивают на воздухе.
Калий фосфорнокислый однозамещенный по
ГОСТ 4198.
Стандартные растворы фосфора.
Раствор А: 0,4394 г фосфорнокислого калия, предварительно высушенного при температуре (105 +/- 5) °C, растворяют в воде, переносят в мерную колбу вместимостью 1 дм3, доливают до метки водой и перемешивают.
Раствор хранят в полиэтиленовой посуде.
Массовая концентрация фосфора в растворе А равна 0,0001 г/см3.
Раствор Б: 10,0 см3 стандартного раствора А помещают в мерную колбу вместимостью 100 см3, доливают до метки водой и перемешивают.
Массовая концентрация фосфора в растворе Б равна 0,00001 г/см3.
Раствор Б готовят перед применением.
5.1 Навеску пробы массой 0,5 г при массовой доле фосфора до 0,3% и 0,2 г при массовой доле фосфора свыше 0,3% помещают в платиновую или стеклоуглеродную чашку, приливают 10 см3 раствора азотной кислоты, 10 см3 фтористоводородной кислоты, 10 см3 хлорной кислоты, нагревают и выпаривают содержимое чашки досуха. После охлаждения прибавляют 20 см3 соляной кислоты и снова выпаривают досуха. Затем прибавляют 10 см3 соляной кислоты, 40 - 50 см3 воды и нагревают до растворения солей. Охлажденный раствор переносят в мерную колбу вместимостью 100 см3, доливают до метки водой, перемешивают и при необходимости фильтруют через плотный фильтр в сухую колбу, отбрасывая первые порции фильтрата.
Полученный раствор используют для определения фосфора по одному из вариантов, указанных в
п. 5.2 или
5.3.
5.2 Восстановление фосфорно-молибденовой гетерополикислоты тиомочевиной в присутствии сернокислой меди
5.2.1 В мерную колбу вместимостью 100 см
3 помещают аликвотную часть раствора 5,0 - 25,0 см
3, содержащую 20 - 80 мкг фосфора, приливают 50 см
3 буферного раствора, 10 см
3 восстановительной смеси и выдерживают до обесцвечивания раствора. Затем по каплям при непрерывном перемешивании прибавляют 8,0 см
3 раствора молибденовокислого аммония и перемешивают в течение 1 - 2 мин. После этого разбавляют раствор водой до метки и перемешивают.
Через 15 мин измеряют оптическую плотность раствора на спектрофотометре при длине волны 830 нм или фотоэлектроколориметре в диапазоне длин волн от 680 до 880 нм.
В качестве раствора сравнения применяют воду.
Массу фосфора находят по градуировочному графику после вычитания значения оптической плотности раствора контрольного опыта из значения оптической плотности раствора пробы или методом сравнения со стандартным образцом с химическим составом, соответствующим требованиям настоящего стандарта, и проведенным через все стадии анализа.
5.2.2 Построение градуировочного графика
В шесть из семи мерных колб вместимостью 100 см3 отбирают 2,0; 4,0; 5,0; 6,0; 7,0 и 8,0 см3 стандартного раствора Б, что соответствует 0,00002; 0,00004; 0,00005; 0,00006; 0,00007 и 0,00008 г фосфора. В седьмую колбу стандартный раствор фосфора не вводят.
В каждую из 7 колб прибавляют 50 см
3 буферного раствора, 10 см
3 восстановительной смеси и далее анализ проводят, как указано в
5.2.1.
В качестве раствора сравнения применяют раствор, не содержащий стандартный раствор фосфора.
По полученным значениям оптических плотностей растворов и соответствующим им массам фосфора строят градуировочный график.
5.3 Восстановление фосфорно-молибденовой гетерополикислоты ионами двухвалентного железа в присутствии солянокислого гидроксиламина
5.3.1 В коническую колбу вместимостью 100 см
3 помещают аликвотную часть раствора 5,0 - 25,0 см
3, содержащую 20 - 80 мкг фосфора, прибавляют 3,0 см
3 раствора железоаммонийных квасцов или хлорного железа и раствор аммиака до начала выпадения осадка гидроксида железа, который растворяют, добавляя по каплям раствор соляной кислоты плотностью 1,105 г/см
3, избегая избытка, прибавляют воду до объема 60 см
3, затем прибавляют 10 см
3 раствора солянокислого гидроксиламина, выдерживают при слабом нагревании до обесцвечивания раствора, затем нагревают до кипения.
Если раствор сохраняет желтую окраску, добавляют 1 - 2 капли раствора аммиака. Бесцветный раствор охлаждают, прибавляют 10 см3 раствора соляной кислоты плотностью 1,105 г/см3. Затем по каплям при непрерывном перемешивании прибавляют 8,0 см3 раствора молибденовокислого аммония и перемешивают в течение 1 - 2 мин.
Раствор переносят в мерную колбу вместимостью 100 см3, доливают до метки водой и перемешивают.
Через 15 мин измеряют оптическую плотность раствора на спектрофотометре при длине волны 720 нм или фотоэлектроколориметре в диапазоне длин волн от 680 до 900 нм.
В качестве раствора сравнения применяют воду.
Массу фосфора находят по градуировочному графику после вычитания значения оптической плотности раствора контрольного опыта из значения оптической плотности раствора пробы или методом сравнения со стандартным образцом с химическим составом, соответствующим требованиям настоящего стандарта и проведенным через все стадии анализа.
5.3.2 Построение градуировочного графика
В шесть из семи мерных колб вместимостью 100 см3 отбирают 2,0; 4,0; 5,0; 6,0; 7,0 и 8,0 см3 стандартного раствора Б, что соответствует 0,00002; 0,00004; 0,00005; 0,00006; 0,00007 и 0,00008 г фосфора. В седьмую колбу стандартный раствор фосфора не вводят.
В каждую из 7 колб прибавляют по 3,0 см
3 раствора железоаммонийных квасцов или хлорного железа, 20 см
3 воды и по каплям раствор аммиака до начала выпадения осадка гидроксида железа, который затем растворяют, добавляя по каплям раствор соляной кислоты плотностью 1,105 г/см
3, избегая избытка. Содержимое колб разбавляют водой до 60 см
3 и далее анализ продолжают, как указано в
5.3.1.
В качестве раствора сравнения применяют раствор, не содержащий стандартный раствор фосфора.
По полученным значениям оптических плотностей растворов и соответствующим им массам фосфора строят градуировочный график.
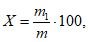
6.1 Массовую долю фосфора X, %, определяют методом градуировочного графика, вычисляют по формуле

(1)
где m1 - масса фосфора, найденная по градуировочному графику, г;
m - масса навески, соответствующая аликвотной части раствора пробы, г.
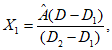
6.2 Массовую долю фосфора X1, %, определяемую методом сравнения, вычисляют по формуле

(2)
где

- аттестованное значение массовой доли фосфора в стандартном образце, %;
D - значение оптической плотности раствора пробы;
D1 - значение оптической плотности раствора контрольного опыта;
D2 - значение оптической плотности раствора стандартного образца.
6.3 Нормы точности и нормативы контроля точности определения массовой доли фосфора приведены в
таблице 1.
Таблица 1
Массовая доля фосфора, % | Погрешность результатов анализа,  , % | Допускаемые расхождения, % |
двух средних результатов анализа, выполненных в различных условиях dк | двух параллельных определений d2 | трех параллельных определений d3 | результатов анализа стандартного образца от аттестованного значения  |
От 0,025 до 0,05 включ. | 0,006 | 0,007 | 0,006 | 0,008 | 0,004 |
Св. 0,05 " 0,10 " | 0,008 | 0,037 | 0,009 | 0,011 | 0,005 |
" 0,1 " 0,2 " | 0,01 | 0,02 | 0,01 | 0,02 | 0,01 |
" 0,2 " 0,5 " | 0,02 | 0,02 | 0,02 | 0,02 | 0,01 |
" 0,5 " 0,7 " | 0,03 | 0,03 | 0,03 | 0,03 | 0,02 |
УДК 669.15,782.9,74-198:546.711:006.354 | |
Ключевые слова: ферросиликомарганец, определение, анализ, фосфор |