Главная // Актуальные документы // ГОСТ (Государственный стандарт)СПРАВКА
Источник публикации
М.: Стандартинформ, 2013
Примечание к документу
Текст данного документа приведен с учетом
поправки, опубликованной в "ИУС", N 12, 2015.
Документ
введен в действие с 1 января 2014 года.
Название документа
"ГОСТ 31951-2012. Межгосударственный стандарт. Вода питьевая. Определение содержания летучих галогенорганических соединений газожидкостной хроматографией"
(введен в действие Приказом Росстандарта от 12.12.2012 N 1905-ст)
"ГОСТ 31951-2012. Межгосударственный стандарт. Вода питьевая. Определение содержания летучих галогенорганических соединений газожидкостной хроматографией"
(введен в действие Приказом Росстандарта от 12.12.2012 N 1905-ст)
Содержание
5. Определение массовой концентрации хлороформа, 1,1-дихлорэтилена, 1,2-дихлорэтана, четыреххлористого углерода, тетрахлорэтилена, трихлорэтилена, бромоформа, дибромхлорметана, бромдихлорметана газожидкостной хроматографией с предварительной жидкость-жидкостной экстракцией
по техническому регулированию
и метрологии
от 12 декабря 2012 г. N 1905-ст
МЕЖГОСУДАРСТВЕННЫЙ СТАНДАРТ
ВОДА ПИТЬЕВАЯ
ОПРЕДЕЛЕНИЕ СОДЕРЖАНИЯ ЛЕТУЧИХ ГАЛОГЕНОРГАНИЧЕСКИХ
СОЕДИНЕНИЙ ГАЗОЖИДКОСТНОЙ ХРОМАТОГРАФИЕЙ
Drinking water. Determination of volatile halogenated
organic compounds by gas chromatography
(ISO 10301:1997, NEQ)
ГОСТ 31951-2012
ТН ВЭД 220100000
220110000
Дата введения
1 января 2014 года
Цели, основные принципы и основной порядок проведения работ по межгосударственной стандартизации установлены
ГОСТ 1.0-92 "Межгосударственная система стандартизации. Основные положения" и
ГОСТ 1.2-2009 "Межгосударственная система стандартизации. Стандарты межгосударственные, правила и рекомендации по межгосударственной стандартизации. Правила разработки, принятия, применения, обновления и отмены".
1. Подготовлен Обществом с ограниченной ответственностью "Протектор" совместно с Муниципальным унитарным предприятием "Уфаводоканал", Закрытым акционерным обществом "Центр исследования и контроля воды".
2. Внесен Федеральным агентством по техническому регулированию и метрологии.
3. Принят Межгосударственным советом по стандартизации, метрологии и сертификации (Протокол от 3 декабря 2012 г. N 54).
За принятие стандарта проголосовали:
Краткое наименование страны по МК (ИСО 3166) 004-97 | Код страны по МК (ИСО 3166) 004-97 | Сокращенное наименование национального органа по стандартизации |
Беларусь | BY | Госстандарт Республики Беларусь |
Казахстан | KZ | Госстандарт Республики Казахстан |
Кыргызстан | KG | Кыргызстандарт |
Российская Федерация | RU | Росстандарт |
Таджикистан | TJ | Таджикстандарт |
4. Настоящий стандарт соответствует международному стандарту ISO 10301:1997 Water quality - Determination of highly volatile halogenated hydrocarbons - Gas-chromatographic methods (Качество воды. Определение легколетучих галогенированных углеводородов. Газохроматографический метод).
Степень соответствия - неэквивалентная (NEQ).
5.
Приказом Федерального агентства по техническому регулированию и метрологии от 12 декабря 2012 г. N 1905-ст межгосударственный стандарт введен в действие в качестве национального стандарта Российской Федерации с 1 января 2014 г.
6. Введен впервые.
Информация об изменениях к настоящему стандарту публикуется в ежегодном информационном указателе "Национальные стандарты", а текст изменений и поправок - в ежемесячном информационном указателе "Национальные стандарты". В случае пересмотра (замены) или отмены настоящего стандарта соответствующее уведомление будет опубликовано в ежемесячном информационном указателе "Национальные стандарты". Соответствующая информация, уведомление и тексты размещаются также в информационной системе общего пользования - на официальном сайте Федерального агентства по техническому регулированию и метрологии в сети Интернет.
Настоящий стандарт распространяется на питьевую воду, в том числе расфасованную в емкости, воду подземных и поверхностных водоисточников и устанавливает два метода определения массовой концентрации летучих галогенорганических соединений газожидкостной хроматографией:
1 - определение массовой концентрации хлороформа, 1,1-дихлорэтилена, 1,2-дихлорэтана, четыреххлористого углерода, тетрахлорэтилена, трихлорэтилена, бромоформа, дибромхлорметана, бромдихлорметана с предварительной жидкость-жидкостной экстракцией;
2 - определение массовой концентрации хлороформа, 1,2-дихлорэтана, четыреххлористого углерода, тетрахлорэтана, тетрахлорэтилена, трихлорэтилена, бромоформа, дибромхлорметана, бромдихлорметана анализом равновесной паровой фазы.
Физико-химические свойства определяемых летучих галогенорганических соединений приведены в
Приложении А.
В настоящем стандарте использованы нормативные ссылки на следующие межгосударственные стандарты:
ГОСТ 17.1.5.05-85 Охрана природы. Гидросфера. Общие требования к отбору проб поверхностных и морских вод, льда и атмосферных осадков
ГОСТ 1770-74 (ИСО 1042-83, ИСО 4788-80) Посуда мерная лабораторная стеклянная. Цилиндры, мензурки, колбы, пробирки. Технические условия
ГОСТ 4233-77 Реактивы. Натрий хлористый. Технические условия
ГОСТ 9293-74 (ИСО 2435-73) Азот газообразный и жидкий. Технические условия
ГОСТ 9871-75 Термометры стеклянные ртутные электроконтактные и терморегуляторы. Технические условия
ГОСТ 18300-87 Спирт этиловый ректификованный технический. Технические условия
ГОСТ 25336-82 Посуда и оборудование лабораторные стеклянные. Типы, основные параметры и размеры
ГОСТ 29227-91 (ИСО 835-1-81) Посуда лабораторная стеклянная. Пипетки градуированные. Часть 1. Общие требования
Примечание. При пользовании настоящим стандартом целесообразно проверить действие ссылочных стандартов в информационной системе общего пользования - на официальном сайте Федерального агентства по техническому регулированию и метрологии в сети Интернет или по ежегодно издаваемому информационному указателю "Национальные стандарты", который опубликован по состоянию на 1 января текущего года, и по соответствующим ежемесячно издаваемым информационным указателям, опубликованным в текущем году. Если ссылочный стандарт заменен (изменен), то при пользовании настоящим стандартом следует руководствоваться заменяющим (измененным) стандартом. Если ссылочный стандарт отменен без замены, то положение, в котором дана ссылка на него, применяется в части, не затрагивающей эту ссылку.
ЛГС - летучие галогенорганические соединения.
ГСО - государственный стандартный образец.
МСО - межгосударственный стандартный образец.
4.1. Пробы воды отбирают по
ГОСТ 31861,
ГОСТ 31862 и
ГОСТ 17.1.5.05. Пробу отбирают в стеклянную емкость, подготовленную по
5.2.1. Емкость заполняют водой до верха, избегая перемешивания, и закрывают таким образом, чтобы под крышкой не оставалось газовой фазы.
4.2. Объем пробы при определении массовой концентрации ЛГС должен быть не менее 1 дм3 - для метода 1 и 0,25 дм3 - для метода 2.
4.3. Пробы, содержащие остаточный хлор, консервируют добавлением тиосульфата натрия в емкость до отбора из расчета 20 мг на 1 дм3 воды.
4.4. Срок хранения пробы от момента отбора до начала анализа не должен превышать 6 ч. Допускается охлаждать пробу до 2 °C - 5 °C и хранить не более 48 ч.
Пробы хранят в темном месте.
4.5. Сроки и температурные условия хранения воды, расфасованной в емкости, должны соответствовать требованиям, указанным в нормативной документации <1> на готовую продукцию.
--------------------------------
<1> В Российской Федерации - требованиям
ГОСТ Р 52109-2003 "Вода питьевая, расфасованная в емкости. Общие технические условия".
5. ОПРЕДЕЛЕНИЕ МАССОВОЙ КОНЦЕНТРАЦИИ ХЛОРОФОРМА,
1,1-ДИХЛОРЭТИЛЕНА, 1,2-ДИХЛОРЭТАНА, ЧЕТЫРЕХХЛОРИСТОГО
УГЛЕРОДА, ТЕТРАХЛОРЭТИЛЕНА, ТРИХЛОРЭТИЛЕНА, БРОМОФОРМА,
ДИБРОМХЛОРМЕТАНА, БРОМДИХЛОРМЕТАНА ГАЗОЖИДКОСТНОЙ
ХРОМАТОГРАФИЕЙ С ПРЕДВАРИТЕЛЬНОЙ ЖИДКОСТЬ-ЖИДКОСТНОЙ
ЭКСТРАКЦИЕЙ
Метод предназначен для определения массовых концентраций ЛГС:
хлороформа от 0,0015 до 0,15 мг/дм3;
1,1-дихлорэтилена от 0,012 до 0,20 мг/дм3;
1,2-дихлорэтана от 0,005 до 0,20 мг/дм3;
четыреххлористого углерода от 0,0001 до 0,050 мг/дм3;
тетрахлорэтилена от 0,0001 до 0,050 мг/дм3;
трихлорэтилена от 0,0001 до 0,20 мг/дм3;
бромоформа от 0,0006 до 0,090 мг/дм3;
дибромхлорметана от 0,0003 до 0,045 мг/дм3;
бромдихлорметана от 0,0003 до 0,045 мг/дм3.
Метод основан на экстракции ЛГС из пробы воды н-гексаном, разделении экстракта на хроматографической колонке, фиксировании последовательно выходящих ЛГС детектором электронного захвата, идентификации их по времени удерживания и расчете массовой концентрации.
Мешающие влияния могут быть обусловлены загрязнениями посуды, пробок, растворителей и реактивов в процессе пробоподготовки и проведения анализа. Процедуры по устранению мешающих влияний приведены в
4.3 и
5.3.1.
5.1. Средства измерений, вспомогательное оборудование, реактивы
Газовый хроматограф с детектором электронного захвата и системой регистрации хроматографических данных (интегратор, компьютер с программным обеспечением).
Капиллярная колонка длиной 25 - 50 м, внутренним диаметром от 0,25 до 0,53 мм и неподвижной фазой, например типа SE-52, SE-54, HP-624, RTx-502.2.
Примечания
1. Критерием выбора типа колонок является коэффициент разделения двух соседних пиков, который должен быть не менее 0,7.
2. При отсутствии необходимости определения трихлорэтилена и бромдихлорметана допускается использование насадочных колонок длиной 2 - 3 м, внутренним диаметром 2 - 4 мм с носителем типа хроматон N, с зернением 0,16 - 0,20 мм, с 5% - 10% неподвижной фазы, например типа SE 52, SE 54, XE 60.
Микрошприцы вместимостью 1, 10 и 25 мм3 типа МШ-10.
Весы лабораторные <1> с наибольшим пределом взвешивания 220 г, обеспечивающие точность взвешивания с пределом допускаемой абсолютной погрешности не более +/- 0,75 мг.
--------------------------------
<1> В Российской Федерации действует
ГОСТ Р 53228-2008 "Весы неавтоматического действия. Часть 1. Метрологические и технические требования. Испытания".
Цилиндры мерные по
ГОСТ 1770 вместимостью 100, 500, 1000 см3.
Пипетки градуированные по
ГОСТ 29227 вместимостью 1, 2, 5 см3.
Стеклянная емкость для отбора и хранения проб с притертой стеклянной пробкой вместимостью 1 дм3, 250 см3.
Воронки делительные по
ГОСТ 25336 вместимостью 1 дм3.
Пробирки с притертой пробкой по
ГОСТ 25336 вместимостью 5, 10 см3.
Шкаф сушильный лабораторный любого типа, поддерживающий температуру от 50 °C до 200 °C с погрешностью не более +/- 5 °C.
ГСО (МСО) ЛГС (далее - ГСО ЛГС) с аттестованным значением массовой доли не менее 98% и погрешностью аттестованного значения не более +/- 0,5% при доверительной вероятности P = 0,95 или растворов ЛГС с аттестованным значением массовой концентрации не менее 1,0 мг/см3 и погрешностью аттестованного значения не более +/- 3% при доверительной вероятности P = 0,95.
Примечание. Допускается использовать аттестованные смеси ЛГС с аттестованным значением массовой доли не менее 98%; для целей сертификации применяют только ГСО ЛГС.
н-гексан, х.ч., не содержащий ЛГС.
Тиосульфат натрия, ч.д.а.
Калий двухромовокислый, ч.д.а.
Азот газообразный особой чистоты по
ГОСТ 9293.
Примечание. Допускается применять другие средства измерений, вспомогательные устройства, реактивы и материалы, в том числе импортные, с метрологическими и техническими характеристиками не хуже указанных в 5.1.
5.2. Порядок подготовки к проведению измерений
5.2.1. Подготовка стеклянной посуды
Посуду, используемую для отбора, хранения, транспортирования и анализа проб воды, обрабатывают хромовой смесью, ополаскивают водопроводной водой, затем дистиллированной водой и выдерживают в сушильном шкафу при температуре от 150 °C до 200 °C в течение 1 ч. После охлаждения посуду хранят в закрытом шкафу.
5.2.2. Шприцы промывают н-гексаном, сушат в токе инертного газа и чистоту оценивают по результатам анализа инертного газа из шприца на содержание анализируемых ЛГС. При их обнаружении процедуру промывки повторяют.
5.2.3. ГСО ЛГС и н-гексан перед применением выдерживают не менее 1 ч в помещении, где готовят растворы.
5.2.4. Приготовление исходных растворов ЛГС
Исходные растворы ЛГС готовят из ГСО ЛГС в н-гексане объемно-массовым методом. В мерных колбах взвешивают по 25 - 500 мг каждого ГСО ЛГС и доводят объем н-гексаном до метки. При применении микрошприцев необходимое количество ЛГС с известной плотностью d можно дозировать объемом V и рассчитать массу как m = Vd.
Рекомендуемая процедура приготовления исходных растворов ЛГС приведена в
Приложении Б. Исходные растворы ЛГС хранят в темном месте при температуре 4 °C в герметичных емкостях с минимальным газовым объемом, срок хранения растворов - не более 3 мес.
Примечание. Допускается использовать смешанные исходные растворы.
5.2.5. Приготовление промежуточных растворов ЛГС
Промежуточные растворы готовят в мерных колбах разбавлением исходных растворов н-гексаном. Рекомендуемая процедура приготовления промежуточных растворов приведена в
таблице Б.1 (Приложение Б).
Приготовленные промежуточные растворы ЛГС хранят в темном месте при температуре 4 °C в герметичных емкостях с минимальным газовым объемом, срок хранения растворов - не более 1 мес.
5.2.6. Приготовление градуировочных растворов ЛГС
Градуировочные растворы готовят в мерных колбах разбавлением промежуточных растворов ЛГС н-гексаном. Рекомендуемая процедура приготовления градуировочных растворов приведена в
таблице Б.1 (Приложение Б).
Градуировочные растворы ЛГС с массовой концентрацией более 100 мг/см3 хранят при температуре 4 °C в герметичных емкостях с минимальным газовым объемом, срок хранения растворов - не более 1 мес.
5.2.7. Подготовка хроматографа и хроматографической колонки
Газовый хроматограф готовят к работе в соответствии с руководством (инструкцией) по эксплуатации прибора.
Хроматографическую колонку кондиционируют при температуре на 50 °C ниже максимальной рабочей температуры неподвижной жидкой фазы.
5.2.8. Подбор условий хроматографического разделения
Условия газохроматографического разделения подбирают индивидуально для каждой колонки. Определяют оптимальные температуры испарителя и детектора, температуру колонки, расход газа-носителя через хроматографическую колонку и коэффициент деления потока газа-носителя. В качестве образцов могут быть использованы градуировочные растворы по
5.2.6. Критерием хорошо подобранных условий хроматографического анализа является коэффициент разделения, рассчитанный по
Приложению В, который должен быть не менее 0,7 для соседних пиков.
Рекомендуемые условия хроматографирования:
начальная температура колонки - не более 35 °C;
конечная температура колонки должна быть примерно на 20 °C выше температуры выхода из хроматографической колонки пика последнего вещества;
скорость программирования температуры колонки зависит от типа используемой колонки и устанавливается экспериментально с учетом необходимого коэффициента разделения пиков (см.
Приложение В);
температура испарителя 120 °C - 180 °C;
температура детектора от 290 °C до 300 °C;
скорость газа-носителя через капиллярную колонку 1 - 4 см3/мин, деление потока - 1:40 - 1:100.
5.2.9. Определение времени удерживания
Время удерживания определяют как время выхода максимума пика ЛГС от момента ввода пробы в хроматограф. Проводят не менее 5 измерений одного из градуировочных растворов (см.
5.2.6) в условиях хроматографирования по
5.2.8 и рассчитывают среднеарифметическое значение времени удерживания для каждого ЛГС. Полученные значения используют для идентификации пиков ЛГС на хроматограммах анализируемых проб. Расхождение значений времени удерживания ЛГС на хроматограммах проб воды не должно отличаться более чем на 3% от установленных. В противном случае проводят повторное определение времени удерживания ЛГС.
5.2.10. Установка линейного диапазона измерений
Чувствительность электронозахватного детектора к различным ЛГС значительно варьируется. Установку линейного диапазона измерений проводят для каждого ЛГС с использованием градуировочных растворов по
5.2.6. В линейном диапазоне отношение

должно быть постоянным (отклонение от среднего значения не должно превышать 10%).
Градуировку проводят по градуировочным растворам ЛГС (см.
5.2.6) в линейном диапазоне измерений с определением градуировочной характеристики.
Проведение градуировки хроматографа обязательно при замене хроматографической колонки, изменении условий хроматографического разделения, а также при систематическом получении неудовлетворительных результатов контроля, выполненного в соответствии с
5.6.
В хроматограф вводят микрошприцем один и тот же объем (1 - 2 мм3) градуировочных растворов ЛГС в порядке возрастания их массовой концентрации. Каждый раствор хроматографируют не менее трех раз. Измеряют площадь (высоту) хроматографических пиков, определяемых ЛГС, и рассчитывают их среднеарифметическое значение.
Определение градуировочной характеристики проводят с использованием специальных программ для обработки хроматографических данных или вручную.
Примечание. Для определения градуировочной характеристики "вручную" откладывают по оси ординат средние значения площадей (высот) пиков, а по оси абсцисс - массу конкретного ЛГС (мг) в аликвотной части, введенной в хроматограф, которую находят, умножая значение массовой концентрации конкретного ЛГС в соответствующем градуировочном растворе на объем раствора, вводимого в хроматограф.
5.2.12. Контроль стабильности градуировочной характеристики
Градуировочную характеристику проверяют перед началом работы путем ввода в хроматограф 1 - 2 градуировочных растворов. Если получаемые результаты отличаются от заданных более чем на 15%, градуировочную характеристику определяют заново, используя свежеприготовленные градуировочные растворы.
После проверки градуировочной характеристики хроматографическую колонку промывают 1 - 2 мм3 н-гексана.
5.3. Порядок проведения измерений
5.3.1. Перед анализом исследуемой пробы проверяют чистоту исходного н-гексана (холостая проба) при условиях по
5.2.8, вводя в хроматограф микрошприцем такой же объем гексана, как при проведении градуировки и выполнении измерений ЛГС в пробе исследуемой воды. Содержание мешающих соединений, элюируемых одновременно с определяемыми ЛГС, не должно превышать 10% нижнего значения диапазона измерений массовой концентрации ЛГС.
5.3.2. Пробу воды объемом 1 дм3 помещают в делительную воронку, добавляют 5 см3 н-гексана и проводят экстракцию, интенсивно перемешивая смесь в течение 5 мин. После расслоения водную фазу сливают, а органическую (экстракт) переносят в пробирку с притертой пробкой, измеряют объем.
В хроматограф вводят микрошприцем определенный объем экстракта. Хроматографирование проводят по
5.2.8 не менее двух раз.
Примечание. Если концентрация ЛГС в экстракте пробы более 80% верхнего значения градуировочной характеристики, экстракт разбавляют н-гексаном в 2 - 3 раза и повторяют измерения или для анализа берут меньший объем пробы воды (от 0,25 до 1 дм3).
5.3.3. Измеряют площадь (высоту) пика, используя систему регистрации хроматографических данных.
5.3.4. Идентификацию пиков на хроматограммах проводят по времени удерживания ЛГС по
5.2.9.
5.4. Обработка результатов измерений
5.4.1. Массу ЛГС, мг, в экстракте, введенном в хроматограф, определяют, используя градуировочную характеристику по
5.2.11.
5.4.2. Массу ЛГС, мг, в холостой пробе определяют, используя градуировочную характеристику по
5.2.11.
5.4.3. Массовую концентрацию ЛГС в пробе воды X, мг/дм3, рассчитывают по формуле

, (1)
где A - масса ЛГС, найденная по градуировочной характеристике, мг;

- общий объем экстракта пробы, см3;

- объем экстракта, введенный в хроматограф, см3;

- объем пробы воды, используемый для экстракции ЛГС, дм3;

- значение коэффициента извлечения по
таблице 1.
Определение коэффициента извлечения ЛГС из пробы воды проводят по
Приложению Г. Ориентировочные значения

приведены в
таблице Г.1 (Приложение Г).
5.4.4. За результат измерения массовой концентрации ЛГС в пробе принимают среднее арифметическое значение результатов параллельных определений

и

в двух аликвотах пробы воды при выполнении условия

, (2)
где r - значение предела повторяемости по
таблице 1, %.
При невыполнении условия (2) используют методы оценки приемлемости результатов параллельных определений и установления окончательного результата измерений согласно [
1, подраздел 5.2] или
[2].
Примечание. При получении результатов измерений в двух лабораториях за результат измерений принимают среднеарифметическое значение результатов измерений, полученных в двух лабораториях

и

при выполнении условия

, (3)
где R - значение предела воспроизводимости по
таблице 1, %.
При невыполнении условия (3) для проверки приемлемости в условиях воспроизводимости каждая лаборатория должна выполнить процедуры согласно [
1, пункты 5.2.2, 5.3.2.2] или
[2].
5.5. Метрологические характеристики
5.5.1. Метод обеспечивает получение результатов измерений с метрологическими характеристиками, не превышающими значений, приведенных в таблице 1, при доверительной вероятности P = 0,95.
Наименование ЛГС | Диапазон измерений массовой концентрации, мг/дм3 | Предел повторяемости (относительное значение допускаемого расхождения между двумя результатами параллельных определений при вероятности P = 0,95) r, % | Предел воспроизводимости (относительное значение допускаемого расхождения между двумя результатами определений, полученных в условиях воспроизводимости, при вероятности P = 0,95) R, % | Показатель точности (границы <*> допускаемой относительной погрешности при доверительной вероятности P = 0,95)  |
Хлороформ | От 0,0015 до 0,15 включ. | 22 | 42 | 35 |
1,1-дихлорэтилен | От 0,012 до 0,20 включ. | 19 | 39 | 35 |
1,2-дихлорэтан | От 0,005 до 0,20 включ. | 25 | 30 | 35 |
Четыреххлористый углерод | От 0,0001 до 0,050 включ. | 28 | 55 | 40 |
Тетрахлорэтилен | От 0,0001 до 0,050 включ. | 28 | 58 | 45 |
Трихлорэтилен | От 0,0001 до 0,20 включ. | 28 | 41 | 35 |
Бромоформ | От 0,0006 до 0,090 включ. | 30 | 47 | 40 |
Дибромхлорметан | От 0,0003 до 0,045 включ. | 28 | 41 | 35 |
Бромдихлорметан | От 0,0003 до 0,045 включ. | 28 | 41 | 35 |
<*> Установленные числовые значения границ допускаемой относительной погрешности соответствуют числовым значениям расширенной неопределенности  (в относительных единицах) при коэффициенте охвата k = 2. |
5.6. Контроль показателей качества результатов анализа
Контроль показателей качества результатов измерений в лаборатории предусматривает проведение контроля стабильности результатов измерений с учетом требований [
1, раздел 6] и
[3].
5.7. Оформление результатов измерений
Результаты измерений регистрируют в протоколе испытаний, который оформляют в соответствии с требованиями
ГОСТ ИСО/МЭК 17025, при этом протокол испытаний должен содержать ссылку на настоящий стандарт с указанием метода определения.
Результаты измерений содержания ЛГС X, мг/дм3, представляют в виде (при подтвержденном в лаборатории соответствии аналитической процедуры требованиям настоящего стандарта)

, либо

, (4)
где

- результат измерений, полученный в соответствии с процедурами по
5.3 и
5.4;

- абсолютная погрешность измерений содержания ЛГС, мг/дм3, рассчитываемая по формуле

,
где

- относительная погрешность измерения содержания ЛГС по
таблице 1, %;

,
где

- расширенная неопределенность (в относительных единицах) при коэффициенте охвата k = 2 по
таблице 1.
Допускается результат измерений представлять в виде

, (5)
при условии

, где

- значение показателя точности измерений (доверительные границы абсолютной погрешности измерений), установленное при реализации настоящего метода в лаборатории и обеспечиваемое контролем стабильности результатов измерений;

, (6)
при условии

, где

- значение расширенной неопределенности, установленное при реализации настоящего метода в лаборатории с учетом
[4] или
[5] и обеспечиваемое контролем стабильности результатов измерений в лаборатории.
6. ОПРЕДЕЛЕНИЕ МАССОВОЙ КОНЦЕНТРАЦИИ ХЛОРОФОРМА,
1,2-ДИХЛОРЭТАНА, ЧЕТЫРЕХХЛОРИСТОГО УГЛЕРОДА,
ТЕТРАХЛОРЭТАНА, ТЕТРАХЛОРЭТИЛЕНА, ТРИХЛОРЭТИЛЕНА,
БРОМОФОРМА, ДИБРОМХЛОРМЕТАНА, БРОМДИХЛОРМЕТАНА
ГАЗОЖИДКОСТНОЙ ХРОМАТОГРАФИЕЙ РАВНОВЕСНОЙ ПАРОВОЙ ФАЗЫ
Метод предназначен для определения массовой концентрации следующих ЛГС:
хлороформа от 0,0006 до 0,025 мг/дм3;
1,2-дихлорэтана от 0,001 до 0,020 мг/дм3;
четыреххлористого углерода от 0,0006 до 0,025 мг/дм3;
тетрахлорэтана от 0,008 до 0,025 мг/дм3;
тетрахлорэтилена от 0,0006 до 0,025 мг/дм3;
трихлорэтилена от 0,0015 до 0,025 мг/дм3;
бромоформа от 0,0010 до 0,045 мг/дм3;
дибромхлорметана от 0,0010 до 0,040 мг/дм3;
бромдихлорметана от 0,0008 до 0,035 мг/дм3.
Верхняя граница диапазона измерений ЛГС может быть увеличена в 10 раз разбавлением пробы без потери точности.
Метод основан на получении равновесной паровой фазы в закрытом сосуде из пробы воды, разделении ее компонентов на хроматографической колонке, фиксировании последовательно выходящих ЛГС детектором электронного захвата, идентификации их по времени удерживания и расчете массовой концентрации.
Мешающие влияния могут быть обусловлены загрязнением воздуха лаборатории, посуды, реактивов. Процедуры по уменьшению загрязнений приведены в
4.3,
5.2.1 и
6.3.1.
6.1. Средства измерений, вспомогательное оборудование, реактивы - по
5.1 со следующими дополнениями:
отбор и дозирование равновесной паровой фазы осуществляют с помощью газового шприца вместимостью 2 - 5 см3.
Примечание. Допускается применять медицинский шприц типа "Рекорд";
стеклянная емкость для газовой экстракции вместимостью 150 см3 с пробкой типа "пенициллиновой" и завинчивающейся (или обжимной) крышкой с резиновой прокладкой;
стеклянная емкость с притертой пробкой для хранения реагентной воды;
электрическая муфельная печь любого типа с температурой нагрева до (900 +/- 10) °C;
термометр стеклянный ртутный электроконтактный типа ТПК с диапазоном измерений температуры от 0 °C до 300 °C и с ценой деления 5 °C по
ГОСТ 9871;
шкаф сушильно-стерилизационный ШСС-80п с температурой нагрева от 50 °C до 200 °C;
реагентная вода - вода, в которой содержание определяемых ЛГС не более 10% нижнего значения массовой концентрации, определяемой данным методом;
6.2. Порядок подготовки к проведению измерений
6.2.1. Подготовка стеклянной посуды - по
5.2.1.
6.2.2. Шприцы моют этиловым спиртом, сушат в токе инертного газа и оценивают их чистоту по анализу инертного газа из шприца. При необходимости операцию повторяют.
6.2.3. Приготовление реактивов
6.2.3.1. Хлористый натрий перед использованием прокаливают при температуре 400 °C в течение 4 ч.
6.2.3.2. Получение реагентной воды
Реагентная вода может быть получена кипячением дистиллированной воды в течение 1 ч с одновременным барботированием через нее инертного газа со скоростью от 100 до 150 см3/мин. Воду хранят в закрытой стеклянной емкости с притертой пробкой. Вода считается пригодной, если она соответствует
6.1. В противном случае процедуру подготовки воды повторяют. Для получения реагентной воды можно использовать систему очистки воды (например, Milipore Q) и другие способы подготовки реагентной воды, обеспечивающие достижение ее необходимого качества по
6.1.
6.2.4. ГСО ЛГС и растворитель, смешивающийся с водой для приготовления исходных растворов (например этиленгликоль, метанол, этанол) перед применением выдерживают не менее 1 ч в помещении, где готовят растворы.
6.2.5. Приготовление исходных растворов ЛГС - по
5.2.4 с учетом
6.2.4. Рекомендуемая процедура приготовления растворов - по
таблице Б.2 (Приложение Б). Исходные растворы ЛГС хранят в темном месте при температуре 4 °C в герметичных емкостях с минимальным газовым объемом, срок хранения растворов - не более 1 мес.
6.2.6. Приготовление промежуточных растворов
Промежуточные растворы готовят в день проведения анализа путем разбавления исходных растворов реагентной водой. Рекомендуемая процедура приготовления промежуточных растворов приведена в
таблице Б.2 (Приложение Б).
6.2.7. Приготовление градуировочных растворов ЛГС
Градуировочные растворы готовят перед анализом разбавлением промежуточных растворов (см.
6.2.6) реагентной водой (см.
6.2.3.2). Готовят 5 градуировочных растворов разных массовых концентраций в линейном диапазоне измерений ЛГС. Рекомендуемая процедура приготовления градуировочных растворов приведена в
таблице Б.2 (Приложение Б).
6.2.8. Градуировка
Градуировку хроматографической системы проводят по градуировочным растворам, приготовленным в соответствии с
6.2.7 в линейном диапазоне детектора с построением градуировочной характеристики.
6.2.8.1. Построение градуировочной характеристики
Для построения градуировочной характеристики используют 5 градуировочных растворов в линейном диапазоне измерений. Каждый раствор анализируют с использованием всей процедуры подготовки пробы к анализу по
6.3.2 не менее двух раз в порядке возрастания массовых концентраций.
Используя программное обеспечение к прибору или компьютерные программы, предназначенные для обработки хроматографических данных, строят градуировочные характеристики для каждого ЛГС, проходящие через начало координат, в виде зависимости значений площадей (высот) пиков на хроматограмме от массовой концентрации ЛГС (в мг/дм3) в градуировочном растворе. Градуировочную характеристику используют при вычислении результатов анализа.
Построение градуировочной характеристики проводят не реже одного раза в месяц, а также при замене хроматографической колонки, изменении условий хроматографического разделения и при систематическом получении неудовлетворительных результатов контроля, выполненного в соответствии с
5.6.
ЛГС идентифицируют по абсолютным временам удерживания и устанавливают соответствующие времена удерживания, которые используют для идентификации ЛГС в анализируемых пробах воды.
| | ИС МЕГАНОРМ: примечание. В официальном тексте документ, видимо, допущена опечатка: Приложение Е в тексте документа отсутствует. Возможно, имеется в виду Приложение Д. | |
6.2.8.2. Контроль стабильности градуировочной характеристики
Контроль стабильности градуировочной характеристики осуществляют перед началом работы по результатам анализа одного из градуировочных растворов с использованием всей процедуры подготовки пробы к анализу по
6.3.2.
Градуировочную характеристику считают стабильной, если расхождение между заданным и измеренным значениями массовых концентраций ЛГС относительно заданного значения не превышает допускаемого расхождения 15%.
В случае превышения допускаемых расхождений выясняют причины и проводят повторную градуировку, используя свежеприготовленные градуировочные растворы.
6.3. Порядок проведения измерений
6.3.1. Анализ холостой пробы
Перед анализом исследуемых проб воды проводят анализ холостой пробы по
6.3.2, где вместо анализируемой воды берут реагентную воду.
Если массовая концентрация ЛГС в холостой пробе более 10% нижнего значения массовой концентрации, то проверяют последовательно все стадии анализа.
6.3.2. Анализ пробы исследуемой воды
В емкость для газовой экстракции помещают 25 г хлорида натрия и 100 см3 пробы исследуемой воды. Емкость быстро закрывают пробкой типа "пенициллиновой" и навинчивающейся крышкой с отверстием для отбора, встряхивают и выдерживают в сушильном шкафу при температуре 70 °C в течение 30 мин. Затем шприцем через пробку отбирают 0,5 см3 равновесной паровой фазы и вводят в хроматограф. При этом температура шприца должна быть близкой к температуре равновесной паровой фазы. Анализ проводят при условиях хроматографирования по
5.2.8. Пробу хроматографируют не менее двух раз.
Примечания
1. Объем емкости для газовой экстракции, объем пробы, количество хлорида натрия, время и температура термостатирования, объем равновесной паровой фазы, взятой для анализа, могут отличаться от указанных, но должны быть постоянными.
2. Допускается использовать автоматизированные блоки подготовки и ввода равновесной фазы.
3. Если концентрация ЛГС в пробе исследуемой воды более 80% верхнего значения градуировочной характеристики, берут меньший объем пробы и доводят реагентной водой до принятого объема или уменьшают объем вводимой паровой фазы. Все изменения учитывают при обработке результатов анализа.
4. Повышение фона детектора при вводе влажных проб устраняют продувкой колонки газом-носителем в течение 1 ч при температуре колонки выше рабочей температуры на 50 °C - 60 °C.
Измеряют площадь (высоту) пика для каждого ЛГС.
Идентификация пиков ЛГС - по
5.2.9.
6.4. Обработка результатов измерений
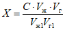
6.4.1. Массовую концентрацию ЛГС в пробе исследуемой воды X, мг/дм3, рассчитывают по формуле

, (7)
где C - массовая концентрация ЛГС в пробе, найденная по градуировочной характеристике, мг/дм3;

- объем пробы воды, используемый для получения равновесного пара при построении градуировочной характеристики, см3;

- объем паровой фазы, вводимый в хроматограф при построении градуировочной характеристики, см3;

- объем пробы исследуемой воды, используемый для анализа, см3;

- объем паровой фазы, вводимый в хроматограф при анализе, см3.
| | ИС МЕГАНОРМ: примечание. В официальном тексте документа, видимо, допущена опечатка: пункт 5.4.5 в тексте документа отсутствует. | |
6.4.2. Проверку приемлемости результатов измерений

и

, полученных в условиях повторяемости, проводят по 5.4.5, при этом значение предела повторяемости r - по таблице 2.
Примечание. Проверку приемлемости результатов измерений, полученных в условиях воспроизводимости, проводят по 5.4.5, при этом значения предела воспроизводимости R - по таблице 2.
Наименование ЛГС | Диапазон измерений массовой концентрации, мг/дм3 | Предел повторяемости (относительное значение допускаемого расхождения между двумя результатами параллельных определений при вероятности P = 0,95) r, % | Предел воспроизводимости (относительное значение допускаемого расхождения между двумя результатами определений, полученных в условиях воспроизводимости при вероятности P = 0,95) R, % | Показатель точности (границы <*> допускаемой относительной погрешности при доверительной вероятности P = 0,95)  |
Хлороформ | от 0,0006 до 0,025 включ. | 69 | 69 | 50 |
1,2-дихлорэтан | от 0,001 до 0,020 включ. | 64 | 64 | 47 |
Четыреххлористый углерод | от 0,0006 до 0,0015 включ. | 58 | 58 | 43 |
св. 0,0015 до 0,025 включ. | 47 | 47 | 35 |
Тетрахлорэтан | от 0,008 до 0,025 включ. | 58 | 58 | 44 |
Тетрахлорэтилен | от 0,0006 до 0,025 включ. | 55 | 55 | 42 |
Трихлорэтилен | от 0,0015 до 0,025 включ. | 42 | 42 | 32 |
Бромоформ | от 0,0010 до 0,045 включ. | 58 | 58 | 44 |
Дибромхлорметан | от 0,0010 до 0,040 включ. | 58 | 58 | 43 |
Бромдихлорметан | от 0,0008 до 0,035 включ. | 33 | 33 | 25 |
<*> Установленные числовые значения границ допускаемой относительной погрешности соответствуют числовым значениям расширенной неопределенности  (в относительных единицах) при коэффициенте охвата k = 2. |
6.5. Метрологические характеристики
Метод обеспечивает получение результатов измерений с метрологическими характеристиками, не превышающими значений, приведенных в
таблице 2, при доверительной вероятности P = 0,95.
6.6. Контроль показателей качества результатов анализа - по
5.6.
6.7. Оформление результатов анализа - по
5.7, при этом значение относительной погрешности (расширенной неопределенности) измерений массовой концентрации ЛГС - по
таблице 2.
(справочное)
ФИЗИКО-ХИМИЧЕСКИЕ СВОЙСТВА ОПРЕДЕЛЯЕМЫХ ЛЕТУЧИХ
ГАЛОГЕНОРГАНИЧЕСКИХ СОЕДИНЕНИЙ
А.1. Летучие галогенорганические соединения (ЛГС) - главным образом хлорированные и бромированные неароматические углеводороды, содержащие от одного до шести атомов углерода, с температурой кипения от 20 °C до 180 °C при атмосферном давлении.
А.2. Физико-химические свойства некоторых ЛГС приведены в таблице А.1.
Таблица А.1
Наименование ЛГС | Формула | Молекулярная масса | Температура кипения, °C | Плотность, г/см3 | Растворимость в воде, г/дм3 | Содержание галогенов по массе, % |
Cl | Br |
Хлороформ (трихлорметан) | | 119,38 | 61,2 | 1,49 | 7,3 | 89,0 | - |
1,1-Дихлорэтилен | | 96,94 | 37,0 | 1,22 | 0,4 | 73,2 | - |
1,2-Дихлорэтан | | 98,97 | 83,5 | 1,25 | 8,7 | 71,6 | - |
Четыреххлористый углерод (тетрахлорметан) | | 153,82 | 76,6 | 1,59 | 1,16 | 92,2 | - |
1,1,2,2-Тетрахлорэтан | | 167,85 | 145,1 | 1,59 | 2,9 | 84,5 | - |
Тетрахлорэтилен | | 165,83 | 121,2 | 1,62 | 0,1 | 85,6 | - |
Бромоформ (трибромметан) | | 252,75 | 145,5 | 2,89 | 3,0 | - | 94,8 |
Дибромхлорметан | | 208,29 | 120 | 2,45 | - | 17,0 | 76,7 |
Бромдихлорметан | | 163,83 | 90,1 | 2,00 | - | 43,3 | 48,8 |
Трихлорэтилен | | 131,40 | 86,9 | 1,46 | 1,1 | 81,0 | - |
(справочное)
ПРИГОТОВЛЕНИЕ ГРАДУИРОВОЧНЫХ РАСТВОРОВ ЛГС
Б.1. Приготовление исходного раствора ЛГС: в мерную колбу вместимостью 25 см3 добавляют 2 см3 н-гексана, вносят 25 мг основного вещества ЛГС и доводят н-гексаном до метки. Массовая концентрация определяемого ЛГС в исходном растворе составляет 1000 мг/дм3.
Из исходного раствора готовят промежуточный раствор, содержащий одно или несколько ЛГС.
Пример приготовления промежуточных и градуировочных растворов ЛГС для метода 1 приведен в таблице Б.1.
Показатель | Промежуточный раствор <*> | Градуировочный раствор <**> |
Объем исходного раствора, см3 | Массовая концентрация, мг/дм3 | Объем промежуточного раствора, см3 | Массовая концентрация, мг/дм3 |
Хлороформ | 0,2 | 8,0 | 1,5 | 0,12 |
1,1-Дихлорэтилен | 2,5 | 100 | 1,5 |
1,2-Дихлорэтан | 1 | 40 | 0,6 |
Четыреххлористый углерод | 0,02 | 0,8 | 0,012 |
Тетрахлорэтилен | 0,05 | 2,0 | 0,03 |
Трихлорэтилен | 0,12 | 4,8 | 0,072 |
Бромоформ | 0,3 | 12 | 0,18 |
Дибромхлорметан | 0,125 | 5 | 0,075 |
Бромдихлорметан | 0,08 | 3,2 | 0,048 |
<*> Объем промежуточного раствора 25 см3. <**> Объем градуировочного раствора 100 см3. |
Б.2. Пример приготовления смешанных градуировочных растворов ЛГС для метода 2 приведен в таблице Б.2
Наименование ЛГС | Исходный смешанный раствор <*> | Промежуточный смешанный раствор <**> | Градуировочный смешанный раствор <**> |
Объем ГСО ЛГС, мм3 | Массовая концентрация, мг/дм3 | Объем исходного смешанного раствора, мм3 | Массовая концентрация, мг/дм3 | Объем промежуточного смешанного раствора, см3 | Массовая концентрация, мг/дм3 |
Хлороформ | 10 | 1500 | 4 | 0,06 | 2,5 | 0,0015 |
Тетрахлорэтан | 5 | 800 | 0,032 | 0,0008 |
1,2-Дихлорэтан | 20 | 2500 | 0,1 | 0,0025 |
Четыреххлористый углерод | 1 | 160 | 0,0064 | 0,00015 |
Тетрахлорэтилен | 3 | 500 | 0,02 | 0,0005 |
Трихлорэтилен | 8,6 | 1256 | 0,05 | 0,00125 |
Бромоформ | | 2500 | 0,10 | 0,0026 |
Дибромхлорметан | | 750 | 0,030 | 0,00076 |
Бромдихлорметан | | 750 | 0,033 | 0,00083 |
<*> Растворитель - этиленгликоль, объем раствора 10 см3. <**> Растворитель - реагентная вода, объем раствора 100 см3. |
(обязательное)
РАСЧЕТ КОЭФФИЦИЕНТА РАЗДЕЛЕНИЯ ХРОМАТОГРАФИЧЕСКИХ ПИКОВ
R - коэффициент разделения;

- время удерживания первого
пика;

- время удерживания второго пика;

- величина
отрезка на базовой линии, ограниченного касательными
к переднему и заднему фронтам первого пика;

- величина
отрезка на базовой линии, ограниченного касательными
к переднему и заднему фронтам второго пика
Рисунок В.1
(обязательное)
ОПРЕДЕЛЕНИЕ КОЭФФИЦИЕНТА ИЗВЛЕЧЕНИЯ ЛГС ИЗ ПРОБЫ ВОДЫ
Г.1. Коэффициент извлечения

зависит от процедуры эксперимента и типа исследуемой воды.
| | ИС МЕГАНОРМ: примечание. В официальном тексте документа, видимо, допущена опечатка: пункт Д.2.1 (Приложение Д) в тексте документа отсутствует. | |
Г.2. Для определения коэффициента извлечения ЛГС применяют реальную пробу, приготовленную по
5.3.2, и реальную пробу с добавкой ЛГС (проба с добавкой). Пробы с добавкой ЛГС готовят в соответствии с Д.2.1 (Приложение Д). Пробы анализируют по
5.3.2.
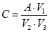
Массовую концентрацию ЛГС в пробе воды C, мг/дм3, рассчитывают по формуле

, (Г.1)
где A - масса ЛГС, найденная по градуировочной характеристике, мг;

- общий объем экстракта пробы, см3;

- объем экстракта, введенный в хроматограф, см3;

- объем пробы воды, используемый для экстракции ЛГС, см3.
Г.3. Коэффициент извлечения

, рассчитывают по формуле

, (Г.2)
где C - массовая концентрация ЛГС в пробе с добавкой, мг/дм3;

- массовая концентрация ЛГС в реальной пробе, мг/дм3;

- массовая концентрация добавки ЛГС, мг/дм3.
Г.4. Рассчитанные значения

должны быть близки к указанным в таблице Г.1. Если расхождение превышает 15%, определение повторяют. При получении воспроизводимых результатов определения найденное значение

используют в расчетах массовой концентрации ЛГС.
Наименование ЛГС | Коэффициент извлечения  |
Хлороформ | 60 |
1,2-Дихлорэтан | 50 |
Четыреххлористый углерод | 90 |
Трихлорэтилен | 70 |
Тетрахлорэтилен | 50 |
1,1-Дихлорэтилен | 90 |
Дибромхлорметан | 70 |
Бромдихлорметан | 75 |
Бромоформ | 80 |
Г.5. Определение

проводят после ремонта хроматографа, при замене реактивов и ГСО ЛГС.
(справочное)
ПРИМЕР ХРОМАТОГРАММЫ ГРАДУИРОВОЧНОГО РАСТВОРА ЛГС
Хроматографирование проведено на кварцевой капиллярной
колонке длиной 25 м, внутренним диаметром 0,32 мм,
с неподвижной жидкой фазой SE-54 при толщине
пленки фазы 1 мкм
1 - хлороформ; 2 - 1,2-дихлорэтан; 3 - четыреххлористый
углерод; 4 - трихлорэтилен; 5 - бромдихлорэтан;
6 - дибромхлорметан; 7 - тетрахлорэтилен; 8 - бромоформ
Рисунок Д.1. Пример хроматограммы градуировочного
раствора ЛГС
| Международный стандарт ISO 5725-6:1994 <*> | Accuracy (trueness and precision) of measurement methods and results. Part 6. Use in practice of accuracy values (Точность (правильность и прецизионность) методов и результатов измерений. Часть 6. Использование значений точности на практике). |
-------------------------------- <*> В Российской Федерации действует ГОСТ Р ИСО 5725-6-2002 "Точность (правильность и прецизионность) методов и результатов измерений. Часть 6. Использование значений точности на практике". До принятия межгосударственного стандарта используют аналогичные национальные стандарты, если они идентичны международному стандарту ISO 5725-6:1994. |
| | Государственная система обеспечения единства измерений. Методики количественного химического анализа. Процедуры проверки приемлемости результатов анализа, ФГУП "УНИИМ", г. Екатеринбург, 2004 г. |
| Рекомендации по межгосударственной стандартизации РМГ 76-2004 | Государственная система обеспечения единства измерений. Внутренний контроль качества результатов количественного химического анализа. |
| | Руководство ЕВРОХИМ/СИТАК "Количественное описание неопределенности в аналитических измерениях". 2-е издание, 2000, пер. с англ. - СПб, ВНИИМ им. Д.И. Менделеева, 2002 г. |
| | Государственная система обеспечения единства измерений. Статистические методы. Руководство по использованию оценок повторяемости, воспроизводимости и правильности при оценке неопределенности измерений. |
-------------------------------- <*> Действуют в Российской Федерации. |