Главная // Актуальные документы // ГОСТ Р (Государственный стандарт)СПРАВКА
Источник публикации
М.: ИПК Издательство стандартов, 2000
Примечание к документу
Документ утратил силу с 15 февраля 2015 года в связи с изданием
Приказа Росстандарта от 12.12.2012 N 1905-ст. Взамен введен в действие
ГОСТ 31951-2012.
Документ
введен в действие с 1 января 2001 года.
Название документа
"ГОСТ Р 51392-99. Государственный стандарт Российской Федерации. Вода питьевая. Определение содержания летучих галогенорганических соединений газожидкостной хроматографией"
(принят и введен в действие Постановлением Госстандарта России от 15.12.1999 N 515-ст)
"ГОСТ Р 51392-99. Государственный стандарт Российской Федерации. Вода питьевая. Определение содержания летучих галогенорганических соединений газожидкостной хроматографией"
(принят и введен в действие Постановлением Госстандарта России от 15.12.1999 N 515-ст)
Содержание
5. Определение массовой концентрации хлороформа, 1,1-дихлорэтилена, 1,2-дихлорэтана, четыреххлористого углерода, тетрахлорэтилена, трихлорэтилена, бромоформа, дибромхлорметана, бромдихлорметана газожидкостной хроматографией с предварительной жидкость-жидкостной экстракцией
Принят и введен в действие
Постановлением Госстандарта России
от 15 декабря 1999 г. N 515-ст
ГОСУДАРСТВЕННЫЙ СТАНДАРТ РОССИЙСКОЙ ФЕДЕРАЦИИ
ВОДА ПИТЬЕВАЯ
ОПРЕДЕЛЕНИЕ СОДЕРЖАНИЯ ЛЕТУЧИХ ГАЛОГЕНОРГАНИЧЕСКИХ
СОЕДИНЕНИЙ ГАЗОЖИДКОСТНОЙ ХРОМАТОГРАФИЕЙ
Drinking water. Determination of volatile halogenated
organic compounds content by gas chromatography
ГОСТ Р 51392-99
Группа Н09
ОКС 13.060.50
ОКП 01.3100
Дата введения
1 января 2001 года
1. Разработан Техническим комитетом по стандартизации ТК 343 "Качество воды" (МП "Уфаводоканал", ГИЦ ПВ, "ЦИКВ", ВНИИстандарт).
Внесен Управлением продукции сельскохозяйственного производства, пищевой, легкой и химической промышленности Госстандарта России.
2. Принят и введен в действие Постановлением Госстандарта России от 15 декабря 1999 г. N 515-ст.
3. Настоящий стандарт учитывает требования стандарта ИСО 10301-97 "Качество воды. Определение легколетучих галогенсодержащих углеводородов. Газохроматографические методы".
4. Введен впервые.
Настоящий стандарт распространяется на питьевую воду, воду подземных и поверхностных водоисточников и устанавливает две методики определения массовой концентрации летучих галогенорганических соединений газожидкостной хроматографией:
1 - определение массовой концентрации хлороформа, 1,1-дихлорэтилена, 1,2-дихлорэтана, четыреххлористого углерода, тетрахлорэтилена, трихлорэтилена, бромоформа, дибромхлорметана, бромдихлорметана с предварительной жидкость-жидкостной экстракцией;
2 - определение массовой концентрации хлороформа, 1,2-дихлорэтана, четыреххлористого углерода, тетрахлорэтана, тетрахлорэтилена, трихлорэтилена, бромоформа, дибромхлорметана, бромдихлорметана анализом равновесной паровой фазы.
Физико-химические свойства определяемых летучих галогенорганических соединений приведены в
Приложении А.
В настоящем стандарте использованы ссылки на следующие стандарты:
ГОСТ 17.1.5.05-85 Охрана природы. Гидросфера. Общие требования к отбору проб поверхностных и морских вод, льда и атмосферных осадков
ГОСТ 1770-74 (ИСО 1042-83, ИСО 4788-80) Посуда мерная лабораторная стеклянная. Цилиндры, мензурки, колбы, пробирки. Технические условия
ГОСТ 4979-49 Вода хозяйственно-питьевого и промышленного водоснабжения. Методы химического анализа. Отбор, хранение и транспортирование проб
| | ИС МЕГАНОРМ: примечание. В официальном тексте документа, видимо, допущена опечатка: ГОСТ 8615-89 имеет название "Головки делительные универсальные. Общие технические условия", а не "Воронки делительные универсальные. Основные размеры". | |
ГОСТ 8615-89 Воронки делительные универсальные. Основные размеры
ГОСТ 9293-74 Азот газообразный и жидкий. Технические условия
ГОСТ 9871-75 Термометры стеклянные ртутные электроконтактные и терморегуляторы. Технические условия
ГОСТ 24104-88 Весы лабораторные общего назначения и образцовые. Общие технические условия
ГОСТ 25336-82 Посуда и оборудование лабораторные стеклянные. Типы, основные параметры и размеры
ГОСТ 28498-90 Термометры жидкостные стеклянные. Общие технические требования. Методы испытаний
ГОСТ 29227-91 (ИСО 835-1-81) Посуда лабораторная стеклянная. Пипетки градуированные. Общие требования
ЛГС - летучие галогенорганические соединения.
МСО - межгосударственный стандартный образец.
ГСО - государственный стандартный образец.
СО - стандартный образец.
4.1. Пробы воды отбирают по
ГОСТ 4979,
ГОСТ 24481 и
ГОСТ 17.1.5.05. Пробу отбирают в стеклянную посуду, промытую хромовой смесью, дистиллированной водой и высушенную при температуре 150 - 200 °C. Посуду заполняют водой до верха, избегая перемешивания, и закрывают таким образом, чтобы не было газовой фазы.
4.2. Объем пробы при определении массовой концентрации ЛГС должен быть не менее 1 дм3 для методики 1 и 0,25 дм3 - для методики 2.
4.3. Пробы, содержащие остаточный хлор, консервируют добавлением тиосульфата натрия в сосуд до отбора из расчета 20 мг на 1 дм3 воды.
4.4. Срок хранения пробы от момента отбора и до начала пробоподготовки не должен превышать 6 ч. Допускается охлаждать пробу до 4 °C и хранить 48 ч. Пробы хранят в герметичных сосудах в темном месте.
5. Определение массовой концентрации хлороформа,
1,1-дихлорэтилена, 1,2-дихлорэтана, четыреххлористого
углерода, тетрахлорэтилена, трихлорэтилена, бромоформа,
дибромхлорметана, бромдихлорметана газожидкостной
хроматографией с предварительной
жидкость-жидкостной экстракцией
Методика предназначена для определения массовых концентраций ЛГС:
хлороформа от 0,0015 до 0,15 мг/дм3;
1,1-дихлорэтилена от 0,012 до 0,20 мг/дм3;
1,2-дихлорэтана от 0,005 до 0,20 мг/дм3;
четыреххлористого углерода от 0,0001 до 0,050 мг/дм3;
тетрахлорэтилена от 0,0001 до 0,050 мг/дм3;
трихлорэтилена от 0,0001 до 0,20 мг/дм3;
бромоформа от 0,0006 до 0,090 мг/дм3;
дибромхлорметана от 0,0003 до 0,045 мг/дм3;
бромдихлорметана от 0,0003 до 0,045 мг/дм3.
Методика основана на экстракции ЛГС из пробы воды н-гексаном, разделении экстракта на хроматографической колонке, фиксировании последовательно выходящих ЛГС детектором электронного захвата, идентификации их по времени удержания и расчете массовой концентрации.
Мешающие влияния могут быть обусловлены загрязнениями посуды, пробок, растворителей и реактивов в процессе пробоподготовки и проведения анализа. Процедуры по уменьшению загрязнений приведены в
4.3 и
5.3.1.
5.1. Средства измерений, вспомогательное оборудование, реактивы
Газовый хроматограф с селективным детектором к галогенорганическим соединениям типа детектора электронного захвата и колонкой в соответствии с конструкцией прибора.
Капиллярная колонка длиной 25 - 50 м, внутренним диаметром от 0,25 до 0,53 мм и неподвижной фазой типа SE-52, SE-54.
Насадочная колонка длиной 2 - 3 м, внутренним диаметром 2 - 4 мм с носителем типа хроматон N, с зернением 0,16 - 0,20 мм, с 5 - 10% неподвижной жидкой фазы типа SE-52, SE-54, XE-60.
Примечания.
1. Критерием выбора типа колонок является коэффициент разделения двух соседних пиков, который должен быть не менее 0,7.
2. Использование насадочных колонок допускается при отсутствии необходимости определения трихлорэтилена и бромдихлорметана.
Системы регистрации хроматографических данных (самописец-регистратор, интегратор, компьютер с программным обеспечением).
Микрошприцы вместимостью 1,10 и 25 мм3 типа МШ-10.
Весы лабораторные общего назначения 2-го класса точности по ГОСТ 24104 с наибольшим пределом взвешивания 200 г.
Цилиндры мерные вместимостью 100, 500, 1000 см3 по
ГОСТ 1770.
Пипетки градуированные вместимостью 1, 2, 5 см3 по
ГОСТ 29227.
Линейка измерительная металлическая, диапазон измерения от 0 до 250 мм.
Стеклянный сосуд для отбора и хранения проб с притертой стеклянной пробкой вместимостью 1 дм3, 250 см3.
Делительные воронки вместимостью 1 дм3 по
ГОСТ 25336.
Пробирки с притертой пробкой вместимостью 5, 10 см3 по
ГОСТ 25336.
Государственный стандартный образец с аттестованным значением хлороформа 99,87% типа ГСО 7288-96.
Государственный стандартный образец с аттестованным значением 1,2-дихлорэтана 99,79% типа ГСО 7332-96.
Государственный стандартный образец с аттестованным значением тетрахлорметана 99,993% типа ГСО 7305-85.
Государственный стандартный образец с аттестованным значением бромдихлорметана 10,4 мг/см3 типа ГСО 7359-97.
Государственный стандартный образец с аттестованным значением тетрахлорэтилена 99,6% типа ГСО 7212-95.
Стандартный образец с аттестованным значением трихлорэтилена 98% типа ER-LH5.
Стандартный образец с аттестованным значением дибромхлорметана 98% типа ER-LH13.
Стандартный образец с аттестованным значением бромоформа 98% типа ER-LH11.
Аттестованный раствор 1,1-дихлорэтилена с аттестованным значением 0,1 мг/см3.
Примечания.
1. Допускается использовать другие ГСО, МСО, СО, а также аттестованные смеси с аттестованным значением ЛГС не менее 98%.
2. Для целей сертификации применяют только ГСО и МСО.
н-Гексан, х.ч., не содержащий ЛГС.
Тиосульфат натрия, ч.д.а.
Калий двухромовокислый, ч.д.а.
Азот газообразный особой чистоты по
ГОСТ 9293.
5.2. Порядок подготовки к проведению измерений
5.2.1. Подготовка стеклянной посуды для анализа
Стеклянную посуду моют хромовой смесью, ополаскивают дистиллированной водой, сушат при температуре 150 - 200 °C.
5.2.2. Шприцы моют н-гексаном, сушат в токе инертного газа и чистоту оценивают по анализу инертного газа из шприца на содержание анализируемых ЛГС. При их обнаружении промывание повторяют.
5.2.3. Государственные стандартные образцы ЛГС и н-гексан перед применением выдерживают не менее 2 ч в помещении, где готовятся растворы.
5.2.4. Приготовление исходных растворов ЛГС
Исходные растворы ЛГС готовят из ГСО в н-гексане объемно-массовым методом. В мерных колбах взвешивают по 25 - 500 мг каждого государственного стандартного образца ЛГС и доводят объем н-гексаном до метки. При применении микрошприцев необходимое количество ЛГС с известной плотностью d можно дозировать объемом V и рассчитывать массу как m = Vd.
Рекомендуемая процедура приготовления исходных растворов приведена в
Приложении Б.
Примечания.
1. Погрешность аттестованного значения исходного раствора ЛГС не должна превышать 2% при P = 0,95.
2. Допускается использовать смешанные исходные растворы.
5.2.5. Приготовление промежуточных растворов ЛГС
Промежуточные растворы готовят в мерных колбах разбавлением исходных растворов н-гексаном, хранят 1 мес при 4 °C в герметичных сосудах с минимальным газовым объемом в темном месте.
Рекомендуемая процедура приготовления промежуточных растворов приведена в Приложении Б
(таблица Б.1).
5.2.6. Приготовление градуировочных растворов ЛГС
Градуировочные растворы готовят в мерных колбах разбавлением промежуточных растворов ЛГС в органическом растворителе (н-гексане). Рекомендуемая процедура приготовления градуировочных растворов приведена в Приложении Б
(таблица Б.1).
Градуировочные растворы ЛГС с массовой концентрацией более 100 мг/см3 хранят 1 месяц при 4 °C в герметичных сосудах с минимальным газовым объемом.
5.2.7. Подготовка хроматографа и хроматографической колонки
Газовый хроматограф готовят к работе в соответствии с руководством (инструкцией) по эксплуатации прибора.
Хроматографическую колонку кондиционируют при температуре на 50 °C ниже максимальной рабочей температуры неподвижной жидкой фазы.
5.2.8. Подбор условий хроматографического разделения
Условия газохроматографического разделения подбирают индивидуально для каждой колонки. Определяют оптимальные температуры испарителя и детектора, температуру колонки, расход газа-носителя через хроматографическую колонку и коэффициент деления потока газа-носителя. В качестве образцов могут быть использованы градуировочные растворы по
5.2.6. Критерием хорошо подобранных условий хроматографического анализа является коэффициент разделения, рассчитанный по
Приложению В, который должен быть не менее 0,7 для соседних пиков.
Рекомендуемые условия хроматографирования:
температура колонки [(35 - 80) +/- 2] °C (в зависимости от типа применяемой хроматографической колонки);
температура испарителя (120 +/- 2) °C;
температура детектора (290 - 300) °C;
скорость прохождения газа-носителя через капиллярную колонку 1 - 2 см3/мин, деление потока - 1:40 - 1:100;
скорость прохождения газа-носителя через насадочную колонку 30 - 40 см3/мин.
5.2.9. Определение времени удержания
Время удержания определяют как время выхода максимума пика ЛГС от момента ввода пробы в хроматограф. Проводят не менее 5 измерений одного из градуировочных растворов по
5.2.8 и рассчитывают среднее арифметическое значение времени удержания для каждого ЛГС. Полученные значения используют для идентификации пиков ЛГС на хроматограммах анализируемых проб. Расхождение значений времени удержания ЛГС на хроматограммах проб воды не должно отличаться более чем на 2% от установленных. В противном случае проводят повторное определение времени удержания ЛГС.
5.2.10. Установка линейного диапазона измерений
Чувствительность электронно-захватного детектора к различным ЛГС значительно варьируется. Установку линейного диапазона измерений проводят для каждого ЛГС с использованием градуировочных растворов по
5.2.6. Проводят градуировку по 5.2.11 и по полученным данным находят зависимость сигнала детектора (площади

или высоты

пика) от массовой концентрации

определяемого ЛГС. В линейном диапазоне отношение

должно быть постоянным (отклонение от среднего значения не должно превышать 10%).
Градуировку проводят по градуировочным растворам по
5.2.6 в линейном диапазоне измерений с построением градуировочного графика не реже одного раза в месяц, а также после ремонта хроматографа, смене ГСО и реактивов.
В хроматограф вводят микрошприцем один и тот же объем (1 - 2 мм3) градуировочных растворов ЛГС в порядке возрастания из массовой концентрации. Каждый раствор хроматографируют не менее трех раз. Измеряют площадь (высоту) хроматографических пиков определяемых ЛГС и рассчитывают их среднее арифметическое значение.
Для построения градуировочного графика откладывают по оси ординат средние значения площадей (высот) пиков, а по оси абсцисс - массу конкретного ЛГС, мг, в аликвотной части, введенную в хроматограф, которую находят, умножая значение массовой концентрации конкретного ЛГС в соответствующем градуировочном растворе на объем раствора, вводимого в хроматограф.
Градуировочные графики проверяют перед началом работы путем ввода в хроматограф 1 - 2 градуировочных растворов. Если получаемые результаты массовых концентраций отличаются от заданных более чем на 15%, градуировку проводят заново, используя свежеприготовленные градуировочные растворы.
После проверки градуировочного графика хроматографическую колонку промывают 1 - 2 мм3 н-гексана.
5.3. Порядок проведения измерений
5.3.1. Перед началом исследуемой пробы проверяют чистоту исходного н-гексана (холостая проба) при условиях по
5.2.8, вводя в хроматограф микрошприцем один и тот же объем (1 - 2 мм3) н-гексана. Содержание мешающих соединений, элюируемых одновременно с определяемым ЛГС, не должно превышать 10% нижнего значения диапазона измерений массовой концентрации ЛГС, определяемого данной методикой.
5.3.2. Пробу воды объемом до 1 дм3 помещают в делительную воронку, добавляют 5 см3 н-гексана и проводят экстракцию, интенсивно перемешивая смесь в течение 5 мин. После расслоения водную фазу сливают, а органическую (экстракт) переносят в пробирку с притертой пробкой, измеряют объем.
В хроматограф вводят микрошприцем определенный объем экстракта. Хроматографирование проводят по
5.2.8 не менее двух раз.
Примечание. Если концентрация ЛГС в экстракте пробы более 80% верхнего значения линейного диапазона измерений, экстракт разбавляют н-гексаном в 2 - 3 раза и повторяют измерения или для анализа берут меньший объем пробы воды (в интервале 0,25 до 1 дм3).
5.3.3. Измеряют площадь (высоту) пика, используя систему регистрации хроматографических данных, или линейкой.
При ручной обработке хроматограмм высоты пиков измеряют на хроматограмме с точностью до 0,5 мм. Масштабный коэффициент при регистрации выбирают таким, чтобы высоты пиков были не менее 1/3 ширины диаграммной ленты.
5.3.4. Идентификацию пиков на хроматограммах проводят по времени удержания ЛГС по
5.2.9.
5.4. Обработка результатов измерений
5.4.1. Рассчитывают среднее арифметическое значение площади (высоты) пиков каждого ЛГС.
5.4.2. Массу ЛГС, мг, в экстракте, введенном в хроматограф, определяют, используя градуировочный график по
5.2.11.
5.4.3. Массу ЛГС, мг, в холостой пробе определяют, используя градуировочный график по
5.2.11.
5.4.4. Массовую концентрацию ЛГС в пробе воды X, мг/дм3, вычисляют по формуле

, (1)
где A - масса ЛГС, найденная по градуировочному графику, мг;

- общий объем экстракта пробы, см3;

- объем экстракта, введенный в хроматограф, см3;

- объем пробы воды, используемый для экстракции ЛГС, дм3;
R - коэффициент извлечения, определяемый по
Приложению Г, %. Ориентировочные значения R приведены в таблице 1.
Наименование ЛГС | Коэффициент извлечения R, % |
Хлороформ | 60 |
1,2-дихлорэтан | 50 |
Четыреххлористый углерод | 90 |
Трихлорэтилен | 70 |
Тетрахлорэтилен | 50 |
1,1-дихлорэтилен | 90 |
Дибромхлорметан | 70 |
Бромдихлорметан | 75 |
Бромоформ | 80 |
5.4.5. За результат определения принимают среднее арифметическое значение результатов двух параллельных определений, если расхождение между ними не превышает норматива оперативного контроля сходимости d, указанного в
таблице 3. Числовое значение результата определения должно оканчиваться цифрой того же разряда, что и значение допускаемого расхождения результатов параллельных определений, и содержать не более двух значащих цифр.
5.4.6. Результат определения представляют в виде:

,
где X - массовая концентрация ЛГС в пробе воды, мг/дм3;

- абсолютная погрешность определения массовой концентрации ЛГС, мг/дм3.
Значение

вычисляют по формуле

, (2)
где

- относительная погрешность определения ЛГС по
таблице 2.
5.4.7. Идентификация и расчет массовых концентраций ЛГС в пробах могут быть проведены с помощью программ обработки хроматографических данных с применением компьютерных систем сбора и обработки аналитической информации.
5.5. Характеристики погрешности
Границы относительной погрешности массовой концентрации ЛГС

, %, при вероятности P = 0,95 для двух параллельных определений приведены в таблице 2.
Наименование ЛГС | Диапазон массовой концентрации, мг/дм3 | Границы относительной погрешности  , % |
Хлороформ | От 0,0015 до 0,15 включ. | 35 |
1,1-дихлорэтилен | От 0,012 до 0,20 включ. | 35 |
1,2-дихлорэтан | От 0,005 до 0,20 включ. | 35 |
Четыреххлористый углерод | От 0,0001 до 0,050 включ. | 40 |
Тетрахлорэтилен | От 0,0001 до 0,050 включ. | 45 |
Трихлорэтилен | От 0,0001 до 0,20 включ. | 35 |
Бромоформ | От 0,0006 до 0,090 включ. | 40 |
Дибромхлорметан | От 0,0003 до 0,045 включ. | 35 |
Бромдихлорметан | От 0,0003 до 0,045 включ. | 35 |
5.6. Оформление результатов измерений
5.6.1. Результаты анализа регистрируются в протоколах, в которых указывают:
- обозначение настоящего стандарта;
- порядковый номер пробы;
- отклонения при проведении определений, если таковые имелись, и факторы, отрицательно влияющие на результаты;
- дату отбора пробы и проведения определения;
- результат определения каждого ЛГС с указанием погрешности;
- фамилию исполнителя.
5.7. Контроль точности (погрешности) результатов измерений
5.7.1. Контроль точности (погрешности) результатов измерений приведен в
Приложении Д.
5.7.2. Нормативы оперативного контроля сходимости, воспроизводимости и погрешности при вероятности P = 0,95 и числе измерений, равном двум, приведены в таблице 3.
Наименование ЛГС | Диапазон массовой концентрации, мг/дм3 | Нормативы оперативного контроля, % |
сходимости d | воспроизводимости D | погрешности K |
Хлороформ | От 0,0015 до 0,15 включ. | 22 | 42 | 35 |
1,1-дихлорэтилен | От 0,012 до 0,20 включ. | 19 | 39 | 35 |
1,2-дихлорэтан | От 0,005 до 0,20 включ. | 25 | 30 | 35 |
Четыреххлористый углерод | От 0,0001 до 0,050 включ. | 28 | 55 | 40 |
Тетрахлорэтилен | От 0,0001 до 0,050 включ. | 28 | 58 | 45 |
Трихлорэтилен | От 0,0001 до 0,20 включ. | 28 | 41 | 35 |
Бромоформ | От 0,0006 до 0,090 включ. | 30 | 47 | 40 |
Дибромхлорметан | От 0,0003 до 0,045 включ. | 28 | 41 | 35 |
Бромдихлорметан | От 0,0003 до 0,045 включ. | 28 | 41 | 35 |
5.7.3. Периодичность проведения оперативного контроля погрешности результатов измерения устанавливают в планах контроля в зависимости от количества проводимых анализов по каждому ЛГС.
6. Определение массовой концентрации хлороформа,
1,2-дихлорэтана, четыреххлористого углерода, тетрахлорэтана,
тетрахлорэтилена, трихлорэтилена, бромоформа,
дибромхлорметана, бромдихлорметана газожидкостной
хроматографией равновесной паровой фазы
Методика предназначена для определения массовой концентрации следующих ЛГС:
хлороформа от 0,0006 до 0,025 мг/дм3;
1,2-дихлорэтана от 0,005 до 0,020 мг/дм3;
четыреххлористого углерода от 0,0006 до 0,025 мг/дм3;
тетрахлорэтана от 0,008 до 0,025 мг/дм3;
тетрахлорэтилена от 0,0006 до 0,025 мг/дм3;
трихлорэтилена от 0,0015 до 0,025 мг/дм3;
бромоформа от 0,0010 до 0,045 мг/дм3;
дибромхлорметана от 0,0010 до 0,040 мг/дм3;
бромдихлорметана от 0,0008 до 0,035 мг/дм3.
Диапазон измерения ЛГС может быть расширен в 5 - 10 раз разбавлением пробы без потери точности.
Методика основана на получении равновесной паровой фазы в закрытом сосуде из пробы воды, разделении ее на хроматографической колонке, фиксировании последовательно выходящих ЛГС детектором электронного захвата, идентификации их по времени удержания и расчете массовой концентрации.
Мешающие влияния могут быть обусловлены загрязнением воздуха лаборатории, посуды, реактивов. Процедуры по уменьшению загрязнений приведены в
4.3,
5.2.1 и
6.3.1.
6.1. Средства измерений, вспомогательное оборудование, реактивы - по
5.1 со следующими дополнениями:
Газовый шприц вместимостью 2 - 5 см3 типа НР 5182-9611. Допускается применять медицинский шприц типа "Рекорд".
Стеклянный сосуд для газовой экстракции вместимостью 150 см3 с пробкой типа "пенициллиновой" и завинчивающейся крышкой с отверстием.
Стеклянный сосуд для хранения реагентной воды с притертой пробкой.
Электропечь типа СНОЛ температурой нагрева до (900 +/- 10) °C.
Термометр ртутный стеклянный лабораторный типа ТЛ-2М, диапазон измерения температур [(0 - 250) +/- 1] °C по
ГОСТ 28498.
Термометр стеклянный ртутный электроконтактный типа ТЛК, диапазон измерения температур [(0 - 300) +/- 5] °C по
ГОСТ 9871.
Шкаф сушильно-стерилизационный ШСС-80п температурой нагрева 50 - 200 °C.
Реагентная вода - вода, в которой содержание определяемых ЛГС не более 10% нижнего значения массовой концентрации, определяемой данной методикой.
6.2. Порядок подготовки к проведению измерений
6.2.1. Подготовка стеклянной посуды - по
5.2.1.
6.2.2. Шприцы моют этиловым спиртом, сушат в токе инертного газа и оценивают их чистоту по анализу инертного газа из шприца. При необходимости операцию повторяют.
6.2.3. Приготовление реактивов
Натрий хлористый перед использованием прокаливают при 400 °C в течение 4 ч.
Реагентная вода: бидистиллированную воду кипятят в течение 1 ч с одновременным барботированием через нее инертного газа со скоростью 100 - 150 см3/мин. Воду хранят в закрытом стеклянном сосуде с притертой пробкой. Вода считается пригодной, если она соответствует
6.1. В противном случае процедуру подготовки воды повторяют.
Допускается применять другие способы подготовки воды, обеспечивающие качество реагентной воды по
6.1.
6.2.4. Государственные стандартные образцы и этиленгликоль перед применением выдерживают не менее 2 ч в помещении, где готовятся растворы.
6.2.5. Исходные растворы готовят из ГСО в мерных колбах, используя растворитель, смешивающийся с водой (например, этиленгликоль) по
5.2.4.
6.2.6. Промежуточные растворы готовят в день проведения анализа путем разбавления исходных растворов реагентной водой. Рекомендуемая процедура приготовления промежуточных растворов приведена в Приложении Б
(таблица Б.2).
6.2.7. Градуировочные растворы готовят перед анализом разбавлением промежуточных растворов реагентной водой. Готовят 5 градуировочных растворов разных массовых концентраций в линейном диапазоне измерений ЛГС. Рекомендуемая процедура приготовления градуировочных растворов приведена в Приложении Б
(таблица Б.2).
6.2.8. Градуировка
Градуировочную характеристику устанавливают двумя методами:
- методом абсолютной градуировки с использованием всей процедуры пробоподготовки и с построением градуировочного графика;
- методом абсолютной градуировки с использованием всей процедуры пробоподготовки без построения градуировочного графика.
6.2.8.1. Абсолютная градуировка с использованием всей процедуры пробоподготовки и построением градуировочного графика
В сосуд для газовой экстракции, подготовленный по
5.2.1, помещают 25 г хлорида натрия и 100 см3 градуировочного раствора. Сосуд быстро закрывают пробкой типа "пенициллиновой" и навинчивающейся крышкой с отверстием для отбора равновесной паровой фазы, встряхивают и выдерживают в сушильном шкафу 30 мин при температуре 80 °C. Затем газовым шприцем через пробку отбирают 0,5 см3 равновесной паровой фазы и вводят в хроматограф.
Каждый градуировочный раствор хроматографируют не менее двух раз.
Примечания.
1. В зависимости от определяемых ЛГС и их содержания в пробе объем сосуда для газовой экстракции, объем пробы, количество хлорида натрия, время и температура термостатирования, объем равновесной паровой фазы, взятой для анализа, могут отличаться от указанного, но должны быть постоянными.
2. Допускается использовать автоматизированные блоки подготовки и ввода равновесной фазы.
Для построения градуировочного графика в линейном диапазоне измерений по
5.2.10 используют не менее 5 градуировочных растворов, приготовленных по
6.2.7. При этом откладывают по оси ординат среднее значение площадей (высот) пиков за вычетом холостого определения по
6.3.1, а по оси абсцисс - массовую концентрацию ЛГС в градуировочном растворе (мг/дм3).
Градуировочные графики проверяют перед началом измерений путем ввода в хроматограф 1 - 2 градуировочных растворов. Если получаемые результаты массовых концентраций отличаются от заданных более чем на 15%, градуировку проводят заново, используя свежеприготовленные градуировочные растворы.
6.2.8.2. Абсолютную градуировку с использованием всей процедуры пробоподготовки по
6.2.8.1 без построения градуировочного графика проводят перед началом работы по двум градуировочным растворам, массовая концентрация которых составляет 20 и 80% линейного диапазона измерений. Если отношение площади (высоты) пика к концентрации ЛГС отличается более чем на 15% от среднего значения, проверяют все стадии анализа.
6.3. Порядок проведения измерений
6.3.1. Анализ холостой пробы
Перед началом исследуемых проб проводят анализ холостой пробы по
6.3.2, где вместо анализируемой воды берут реагентную воду.
Если массовая концентрация ЛГС в холостой пробе более 10% нижнего значения массовой концентрации, определяемой данной методикой, то проверяют последовательно все стадии анализа.
В сосуд для газовой экстракции помещают 25 г хлорида натрия и 100 см3 анализируемой пробы. Сосуд быстро закрывают пробкой типа "пенициллиновой" и навинчивающейся крышкой с отверстием для отбора, встряхивают и выдерживают в сушильном шкафу при температуре 80 °C в течение 30 мин. Затем шприцем через пробку отбирают 0,5 см3 равновесной паровой фазы и вводят в хроматограф. При этом температура шприца должна быть близкой к температуре равновесной паровой фазы.
Анализ проводят при условиях хроматографирования по
5.2.8. Пробу хроматографируют не менее двух раз. Пример хроматограммы градуировочного раствора приведен в
Приложении Е.
Примечания.
1. Если концентрация ЛГС в пробе воды более 80% верхнего значения линейного диапазона измерений, берут меньший объем пробы и доводят реагентной водой до принятого объема или уменьшают объем вводимой паровой фазы. Все изменения учитывают при обработке результатов анализа.
2. Повышение фона детектора при вводе влажных проб устраняют продувкой колонки газом-носителем в течение 1 ч при температуре колонки выше рабочей температуры на 50 - 60 °C.
Измеряют площадь (высоту) пика для каждого ЛГС.
Идентификация пиков ЛГС - по
5.2.9.
6.4. Обработка результатов измерений
6.4.1. Рассчитывают среднее арифметическое значение площади (высоты) пиков для каждого ЛГС.
6.4.2. Массовую концентрацию ЛГС в пробе воды X, мг/дм3, при использовании градуировочного графика по
6.2.8.1 вычисляют по формуле

, (3)
где C - массовая концентрация ЛГС в пробе, найденная по графику, мг/дм3;

- объем пробы воды, используемый для получения равновесного пара при градуировке, см3;

- объем паровой фазы, вводимый в хроматограф при градуировке, см3;

- объем пробы воды, используемый для анализа, см3;

- объем паровой фазы, вводимый в хроматограф при анализе, см3.
6.4.3. Массовую концентрацию ЛГС в пробе воды X, мг/дм3, без построения градуировочного графика по
6.2.8.2 вычисляют по формуле

, (4)
где

- концентрация ЛГС в градуировочном растворе, мг/дм3;

- площадь пика определяемого ЛГС в пробе, мм2;

- объем пробы воды, взятый для получения равновесного пара при градуировке, см3;

- объем паровой фазы, вводимый в хроматограф при градуировке, см3;

- площадь пика ЛГС в градуировочном растворе, мм2;

- площадь пика определяемого ЛГС в холостой пробе, мм2;

- объем пробы воды, используемый для анализа, см3;

- объем паровой фазы, вводимый в хроматограф при анализе, см3.
6.4.4. За результат определения принимают среднее арифметическое значение результатов двух параллельных определений, если расхождение между ними не превышает норматива оперативного контроля сходимости d, указанного в
таблице 5. Числовое значение определения должно оканчиваться цифрой того же разряда, что и значение допускаемого расхождения результатов параллельных определений, и содержать не более двух значащих цифр.
6.4.5. Результат определения представляют в виде:

,
где X - массовая концентрация ЛГС в пробе воды, мг/дм3;

- абсолютная погрешность определения массовой концентрации ЛГС, мг/дм3.
Значение

вычисляют по формуле:

, (5)
где

- относительная погрешность определения ЛГС по
таблице 4.
6.5. Характеристики погрешности
Границы относительной погрешности измерения массовой концентрации ЛГС

, %, при вероятности P = 0,95 приведены в таблице 4.
Наименование ЛГС | Диапазон массовой концентрации, мг/дм3 | Границы относительной погрешности  , % |
Хлороформ | От 0,0006 до 0,025 включ. | 50 |
1,2-дихлорэтан | От 0,005 до 0,0010 включ. | 50 |
Св. 0,0010 до 0,020 включ. | 47 |
Четыреххлористый углерод | От 0,0006 до 0,0015 включ. | 43 |
Св. 0,0015 до 0,025 включ. | 35 |
Тетрахлорэтан | От 0,008 до 0,025 включ. | 44 |
Тетрахлорэтилен | От 0,0006 до 0,025 включ. | 42 |
Трихлорэтилен | От 0,0015 до 0,025 включ. | 32 |
Бромоформ | От 0,0010 до 0,045 включ. | 44 |
Дибромхлорметан | От 0,0010 до 0,040 включ. | 43 |
Бромдихлорметан | От 0,0008 до 0,035 включ. | 25 |
6.6. Оформление результатов - по
5.6.
6.7. Контроль точности (погрешности) результатов измерений
6.7.1. Контроль точности (погрешности) результатов измерений приведен в
Приложении Д.
6.7.2. Нормативы оперативного контроля сходимости, воспроизводимости и погрешности при вероятности P = 0,95 и числе измерений, равном двум, приведены в таблице 5.
Наименование ЛГС | Диапазон массовой концентрации, мг/дм3 | Нормативы оперативного контроля, % |
сходимости d | воспроизводимости D | погрешности K |
Хлороформ | От 0,0006 до 0,025 включ. | 69 | 69 | 50 |
1,2-дихлорэтан | От 0,005 до 0,0010 включ. | 65 | 65 | 50 |
Св. 0,0010 до 0,020 включ. | 64 | 64 | 47 |
Четыреххлористый углерод | От 0,0006 до 0,0015 включ. | 58 | 58 | 43 |
Св. 0,0015 до 0,025 включ. | 47 | 47 | 35 |
Тетрахлорэтан | От 0,008 до 0,025 включ. | 58 | 58 | 44 |
Тетрахлорэтилен | От 0,0006 до 0,025 включ. | 55 | 55 | 42 |
Трихлорэтилен | От 0,0015 до 0,025 включ. | 42 | 42 | 32 |
Бромоформ | От 0,0010 до 0,045 включ. | 58 | 58 | 44 |
Дибромхлорметан | От 0,0010 до 0,040 включ. | 58 | 58 | 43 |
Бромдихлорметан | От 0,0008 до 0,035 включ. | 33 | 33 | 25 |
6.7.3. Периодичность проведения оперативного контроля по
5.7.3.
(справочное)
ФИЗИКО-ХИМИЧЕСКИЕ СВОЙСТВА ОПРЕДЕЛЯЕМЫХ ЛЕТУЧИХ
ГАЛОГЕНОРГАНИЧЕСКИХ СОЕДИНЕНИЙ
А.1. Летучие галогенорганические соединения (ЛГС) - фторированные, хлорированные, бронированные, иодированные, главным образом неароматические углеводороды, содержащие от 1 до 6 атомов углерода, с температурой кипения от 20 до 180 °C при атмосферном давлении.
А.2. Физико-химические свойства ЛГС приведены в таблице А.1.
Таблица А.1
Наименование ЛГС | Формула | Молекулярная масса | Точка кипения, °C | Плотность, г/см3 | Растворимость в воде, г/дм3 | Массовое содержание галогенов, % |
Cl | Br |
Хлороформ (трихлорметан) | | 119,38 | 61,2 | 1,49 | 7,3 | 89,0 | - |
1,1-дихлорэтилен | | 96,94 | 37,0 | 1,22 | 0,4 | 73,2 | - |
1,2-дихлорэтан | | 98,97 | 83,5 | 1,25 | 8,7 | 71,6 | - |
Четыреххлористый углерод (тетрахлорметан) | | 153,82 | 76,6 | 1,59 | 1,16 | 92,2 | - |
1,1,2,2-тетрахлорэтан | | 167,85 | 145,1 | 1,59 | 2,9 | 84,5 | - |
Тетрахлорэтилен | | 165,83 | 121,2 | 1,62 | 0,1 | 85,6 | - |
Бромоформ (трибромметан) | | 252,75 | 145,5 | 2,89 | 3,0 | - | 94,8 |
Дибромхлорметан | | 208,29 | 120 | 2,45 | - | 17,0 | 76,7 |
Бромдихлорметан | | 163,83 | 90,1 | 2,00 | - | 43,3 | 48,8 |
Трихлорэтилен | | 131,40 | 86,9 | 1,46 | 1,1 | 81,0 | - |
(справочное)
ПРИГОТОВЛЕНИЕ ГРАДУИРОВОЧНЫХ РАСТВОРОВ ЛГС
Б.1. Приготовление исходного раствора ЛГС
В мерную колбу на 25 см3, содержащую 1 - 2 см3 растворителя (н-гексана), вносят 25 мг основного вещества ЛГС и доводят растворителем до метки. Массовая концентрация определяемого ЛГС в исходном растворе составляет 1000 мг/дм3. Из исходного раствора приготавливают промежуточный раствор, содержащий только одно или несколько ЛГС.
Пример приготовления промежуточных и градуировочных растворов ЛГС приведен в таблице Б.1.
Наименование ЛГС | Промежуточный раствор <*> | Градуировочный раствор <**> |
Объем исходного раствора, см3 | Массовая концентрация, мг/дм3 | Объем промежуточного раствора, см3 | Массовая концентрация, мг/дм3 |
Хлороформ | 0,2 | 8,0 | 1,5 | 0,12 |
1,1-дихлорэтилен | 2,5 | 100 | 1,5 |
1,2-дихлорэтан | 1 | 40 | 0,6 |
Четыреххлористый углерод | 0,02 | 0,8 | 0,012 |
Тетрахлорэтилен | 0,05 | 2,0 | 0,03 |
Трихлорэтилен | 0,12 | 4,8 | 0,072 |
Бромоформ | 0,3 | 12 | 0,18 |
Дибромхлорметан | 0,125 | 5 | 0,075 |
Бромдихлорметан | 0,08 | 3,2 | 0,048 |
<*> Объем промежуточного раствора - 25 см3. <**> Объем градуировочного раствора - 100 см3. |
Пример приготовления смешанных градуировочных растворов ЛГС для методики 2 приведен в таблице Б.2.
Наименование ЛГС | Исходный смешанный раствор <*> | Промежуточный смешанный раствор <**> | Градуировочный смешанный раствор <**> |
Объем ГСО, мм3 | Массовая концентрация, мг/дм3 | Объем исходного смешанного раствора, мм3 | Массовая концентрация, мг/дм3 | Объем промежуточного смешанного раствора, см3 | Массовая концентрация, мг/дм3 |
Хлороформ | 11 | 1640 | 4 | 0,066 | 2,5 | 0,0017 |
Тетрахлорэтан | 5 | 800 | 0,032 | 0,0008 |
1,2-дихлорэтан | 10 | 1250 | 0,05 | 0,0013 |
Четыреххлористый углерод | 1 | 160 | 0,0064 | 0,00015 |
Тетрахлорэтилен | 3 | 500 | 0,02 | 0,00048 |
Трихлорэтилен | 11 | 1610 | 0,064 | 0,0016 |
Бромоформ | 9 | 2600 | 0,10 | 0,0026 |
Дибромхлорметан | 3 | 760 | 0,030 | 0,00076 |
Бромдихлорметан | 4 | 820 | 0,033 | 0,00083 |
<*> Растворитель - этиленгликоль, объем раствора 10 см3. <**> Растворитель - реагентная вода, объем раствора 100 см3. |
(обязательное)
РАСЧЕТ КОЭФФИЦИЕНТА РАЗДЕЛЕНИЯ ХРОМАТОГРАФИЧЕСКИХ ПИКОВ

- коэффициент разделения;

- время удержания первого
пика;

- время удержания второго пика;

- величина,
отсекаемая касательными, проходящими через точки перегиба
первого пика на базовой линии;

- величина, отсекаемая
касательными, проходящими через точки перегиба
второго пика на базовой линии
Рисунок В.1
(обязательное)
ОПРЕДЕЛЕНИЕ КОЭФФИЦИЕНТА ИЗВЛЕЧЕНИЯ ЛГС ИЗ ПРОБЫ ВОДЫ
Г.1. Коэффициент извлечения R зависит от процедуры эксперимента и типа анализируемой воды.
Г.2. Для определения коэффициента извлечения ЛГС применяют реальную пробу, приготовленную по
5.3.2, и реальную пробу с добавкой ЛГС (проба с добавкой). Пробы с добавкой ЛГС готовят в соответствии с
Д.2.1 Приложения Д. Пробы анализируют по
5.3.2 и вычисляют массовую концентрацию ЛГС в пробах.
Массовую концентрацию ЛГС в пробе воды C, мг/см3, вычисляют по формуле

, (Г.1)
где A - масса ЛГС, найденная по градуировочному графику, мг;

- общий объем экстракта пробы, см3;

- объем экстракта, введенный в хроматограф, см3;

- объем пробы воды, используемый для экстракции ЛГС, см3.
Г.3. Коэффициент извлечения R, %, вычисляют по формуле

, (Г.2)
где C - массовая концентрация ЛГС в пробе с добавкой, мг/дм3;

- массовая концентрация ЛГС в реальной пробе, мг/дм3;

- массовая концентрация добавки ЛГС, мг/дм3.
Г.4. Вычисленные значения R должны быть близки к указанным в
таблице 1. Если расхождение превышает 15%, определение повторяют. При получении воспроизводимых результатов определения найденное значение коэффициента R используют в расчетах массовой концентрации ЛГС.
Г.5. Определение R проводят после ремонта хроматографа, при замене реактивов и ГСО.
(рекомендуемое)
КОНТРОЛЬ ТОЧНОСТИ (ПОГРЕШНОСТИ) РЕЗУЛЬТАТОВ ИЗМЕРЕНИЙ
Д.1. Оперативный контроль воспроизводимости
Д.1.1. Контроль воспроизводимости осуществляют сравнением результатов контрольных испытаний (анализов), проведенных на одной и той же пробе, выполненных по одному и тому же методу настоящего стандарта, либо одним исполнителем в разное время, которое зависит от условий хранения пробы, либо разными исполнителями, либо с использованием разных хроматографов.
Д.1.2. Для контроля применяют реальные пробы воды. Объем реальной пробы воды должен соответствовать удвоенному объему, предусмотренному методикой настоящего стандарта. Пробу воды делят на две равные части и проводят испытания в соответствии с
Д.1.1.
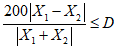
Д.1.3. Результат контроля считают удовлетворительным при условии:

, (Д.1)
где

,

- результаты анализа пробы воды, полученные по
Д.1.1, мг/дм3;
D - норматив контроля воспроизводимости по
таблицам 3 и
5 настоящего стандарта, %.
Если условие не выполняется, эксперимент повторяют. При повторном получении отрицательного результата выясняют причины, приводящие к неудовлетворительным результатам контроля, и устраняют их.
Д.2. Оперативный контроль погрешности методом добавок
Д.2.1. Оперативный контроль погрешности проводят с использованием реальной пробы с добавкой государственного стандартного образца ЛГС. Содержание введенной добавки должно быть сравнимо по значению со средним содержанием определяемого ЛГС в реальных пробах воды и соответствовать диапазону измерения массовых концентраций по настоящему стандарту. Добавка должна составлять 50 - 200% реального содержания ЛГС в пробе воды.
Объем реальной пробы должен соответствовать удвоенному объему, необходимому для проведения определений.
Отобранный объем реальной пробы воды делят на две равные части, первую из которых анализируют в точном соответствии с методикой настоящего стандарта, и получают результат анализа пробы X, мг/дм3. Во вторую часть вносят добавку C, мг/дм3, используя государственные стандартные образцы ЛГС, и анализируют в соответствии с методикой настоящего стандарта, получая результат анализа пробы воды с добавкой Y, мг/дм3.
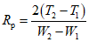
Д.2.2. Результат контроля считают удовлетворительным при выполнении условия:

, (Д.2)

- норматив контроля погрешности, мг/дм3, при P = 0,95, рассчитанный по формуле

, (Д.3)
где

,

- абсолютные погрешности измерения массовой концентрации ЛГС в пробе с добавкой и в пробе без добавки, мг/дм3.
Значения

,

рассчитывают по формулам:

, (Д.4)

, (Д.5)
где

,

- границы погрешности измерения массовой концентрации ЛГС в пробе с добавкой и в пробе без добавки, представленные в виде

(%) в
таблицах 2 и
4.
Если условие не выполняется, эксперимент повторяют. При повторном получении отрицательного результата выясняют причины, приводящие к неудовлетворительным результатам контроля, и устраняют их.
Д.3. Для реальной пробы воды, в которой содержание контролируемого ЛГС пренебрежительно мало, результат контроля считают удовлетворительным при выполнении условия:
|Y - C| <= K, (Д.6)
где K - норматив оперативного контроля погрешности, приведенный в
таблицах 3 и
5, соответственно для методики 1 и методики 2 настоящего стандарта, %, при P = 0,95.
Перевод значений K из относительных единиц (%) в абсолютные (мг/дм3) осуществляют по формуле

. (Д.7)
Если условие не выполняется, эксперимент повторяют. При повторном получении отрицательного результата выясняют причины, приводящие к неудовлетворительным результатам контроля, и устраняют их.
(справочное)
ПРИМЕР ХРОМАТОГРАММЫ ГРАДУИРОВОЧНОГО РАСТВОРА ЛГС
1 - хлороформ; 2 - 1,2-дихлорэтан; 3 - четыреххлористый
углерод; 4 - трихлорэтилен; 5 - бромдихлорэтан;
6 - дибромхлорметан; 7 - тетрахлорэтилен; 8 - бромоформ.
Хроматографирование проведено на кварцевой капиллярной
колонке длиной 25 м, внутренним диаметром 0,32 мм,
с неподвижной жидкой фазой SE-54 при толщине
пленки фазы 1 мкм
Рисунок Е.1