Главная // Актуальные документы // ГОСТ (Государственный стандарт)СПРАВКА
Источник публикации
М.: Стандартинформ, 2014
Примечание к документу
Документ
введен в действие с 1 января 2015 года.
Название документа
"ГОСТ 32509-2013. Межгосударственный стандарт. Вещества поверхностно-активные. Метод определения биоразлагаемости в водной среде"
(введен в действие Приказом Росстандарта от 22.11.2013 N 1849-ст)
"ГОСТ 32509-2013. Межгосударственный стандарт. Вещества поверхностно-активные. Метод определения биоразлагаемости в водной среде"
(введен в действие Приказом Росстандарта от 22.11.2013 N 1849-ст)
по техническому регулированию
и метрологии
от 22 ноября 2013 г. N 1849-ст
МЕЖГОСУДАРСТВЕННЫЙ СТАНДАРТ
ВЕЩЕСТВА ПОВЕРХНОСТНО-АКТИВНЫЕ
МЕТОД ОПРЕДЕЛЕНИЯ БИОРАЗЛАГАЕМОСТИ В ВОДНОЙ СРЕДЕ
Surface-active agents. Method for determination
of biodegradability rate in aquatic environment
ГОСТ 32509-2013
Дата введения
1 января 2015 года
Цели, основные принципы и порядок проведения работ по межгосударственной стандартизации установлены
ГОСТ 1.0-92 "Межгосударственная система стандартизации. Основные положения" и
ГОСТ 1.2-2009 "Межгосударственная система стандартизации. Стандарты межгосударственные, правила и рекомендации по межгосударственной стандартизации. Правила разработки, принятия, применения, обновления и отмены"
1 РАЗРАБОТАН Обществом с ограниченной ответственностью "Научно-исследовательский институт бытовой химии "Росса" (ООО "Росса НИИБХ"), Техническим комитетом по стандартизации ТК 354 "Бытовая химия"
2 ВНЕСЕН Межгосударственным техническим комитетом по стандартизации МТК 527 "Химия"
3 ПРИНЯТ Межгосударственным советом по стандартизации, метрологии и сертификации (протокол от 5 ноября 2013 г. N 61-П)
За принятие проголосовали:
Краткое наименование страны по МК (ИСО 3166) 004-97 | Код страны по МК (ИСО 3166) 004-97 | Сокращенное наименование национального органа по стандартизации |
Армения | AM | Минэкономики Республики Армения |
Азербайджан | AZ | Азстандарт |
Беларусь | BY | Госстандарт Республики Беларусь |
Киргизия | KG | Кыргызстандарт |
Молдова | MD | Молдова-Стандарт |
Россия | RU | Росстандарт |
Узбекистан | UZ | Узстандарт |
4 Настоящий стандарт подготовлен на основе
ГОСТ Р 50595-93 "Вещества поверхностно-активные. Метод определения биоразлагаемости в водной среде"
5
Приказом Федерального агентства по техническому регулированию и метрологии от 22 ноября 2013 г. N 1849-ст межгосударственный стандарт ГОСТ 32509-2013 введен в действие в качестве национального стандарта Российской Федерации с 1 января 2015 г.
6 ВВЕДЕН ВПЕРВЫЕ
Правила применения настоящего стандарта установлены в ГОСТ Р 1.0-2012
(раздел 8). Информация об изменениях к настоящему стандарту публикуется в годовом (по состоянию на 1 января текущего года) информационном указателе "Национальные стандарты", а официальный текст изменений и поправок - в ежемесячно издаваемом информационном указателе "Национальные стандарты". В случае пересмотра (замены) или отмены настоящего стандарта соответствующее уведомление будет опубликовано в ближайшем выпуске ежемесячного информационного указателя "Национальные стандарты". Соответствующая информация, уведомление и тексты размещаются также в информационной системе общего пользования - на официальном сайте национального органа Российской Федерации по стандартизации в сети Интернет (gost.ru)
Настоящий стандарт распространяется на метод определения биоразлагаемости (степени биоразложения) анионных, неионогенных, катионных и амфолитных поверхностно-активных веществ (далее - ПАВ) или их смесей в водной среде.
Сущность метода заключается в определении временных зависимостей изменения концентрации ПАВ в результате взаимодействия с неадаптированным активным илом в проточной модели опытного аэротенка и временных зависимостей химического потребления кислорода в очищенной воде опытного аэротенка в сравнении с контрольным аэротенком.
Показатели биоразлагаемости ПАВ, определяемые по настоящему стандарту, применяют при регламентировании обращения ПАВ на рынке
(приложение А) и при определении рекомендуемых способов очистки стоков, содержащих ПАВ
(приложение Б), в зависимости от класса биоразлагаемости ПАВ.
Настоящий метод может быть использован для определения биоразлагаемости в водной среде любых водорастворимых органических веществ.
В настоящем стандарте использованы нормативные ссылки на следующие межгосударственные стандарты:
ГОСТ 83-79 Реактивы. Натрий углекислый. Технические условия
ГОСТ 84-76 Реактивы. Натрий углекислый 10-водный. Технические условия
ГОСТ OIML R 111-1-2009 ГСОЕИ. Гири классов E
1, E
2, F
1, F
2, M
1, M
1-2, M
2, M
2-3 и M
3. Часть 1. Метрологические и технические требования
ГОСТ 199-78 Реактивы. Натрий уксуснокислый. 3-водный. Технические условия
ГОСТ 450-77 Кальций хлористый технический. Технические условия
ГОСТ 1770-74 (ИСО 1042-83, ИСО 4788-80) Посуда мерная лабораторная стеклянная. Цилиндры, мензурки, колбы, пробирки. Общие технические условия
ГОСТ 3772-74 Реактивы. Аммоний фосфорнокислый двузамещенный. Технические условия
ГОСТ 3773-72 Реактивы. Аммоний хлористый. Технические условия
ГОСТ 4108-72 Реактивы. Барий хлорид 2-водный. Технические условия
ГОСТ 4148-78 Реактивы. Железо (II) сернокислое 7-водное. Технические условия
ГОСТ 4198-75 Реактивы. Калий фосфорнокислый однозамещенный. Технические условия
ГОСТ 4208-72 Реактивы. Соль закиси железа и аммония двойная сернокислая (соль Мора). Технические условия
ГОСТ 4217-77 Реактивы. Калий азотнокислый. Технические условия
ГОСТ 4220-75 Реактивы. Калий двухромовокислый. Технические условия
ГОСТ 4328-77 Реактивы. Натрия гидроокись. Технические условия
ГОСТ 4517-87 Реактивы. Методы приготовления вспомогательных реактивов и растворов, применяемых при анализе
ГОСТ 4523-77 Реактивы. Магний сернокислый 7-водный. Технические условия
ГОСТ 5845-79 Реактивы. Калий-натрий виннокислый 4-водный. Технические условия
ГОСТ 9147-80 Посуда и оборудование лабораторные фарфоровые. Технические условия
ГОСТ 9871-75 Термометры стеклянные ртутные электроконтактные и терморегуляторы. Технические условия
ГОСТ 11773-76 Реактивы. Натрий фосфорнокислый двузамещенный. Технические условия
ГОСТ 13805-76 Пептон сухой ферментативный для бактериологических целей. Технические условия
| | ИС МЕГАНОРМ: примечание. В официальном тексте документа, видимо, допущена опечатка: стандарт имеет номер ГОСТ 14919-83, а не ГОСТ 14919-93. | |
ГОСТ 14919-93 Электроплиты, электроплитки и жарочные электрошкафы бытовые. Общие технические условия
ГОСТ 23519-93 Фенол синтетический технический. Технические условия
--------------------------------
<*> На территории Российской Федерации действует
ГОСТ Р 53228-2008 "Весы неавтоматического действия. Часть 1. Метрологические и технические требования. Испытания".
ГОСТ 25336-82 Посуда и оборудование лабораторные стеклянные. Типы, основные параметры и размеры
ГОСТ 25794.2-83 Методы приготовления титрованных растворов для окислительно-восстановительного титрования
ГОСТ 29169-91 (ИСО 648-77) Посуда лабораторная стеклянная. Пипетки с одной меткой. Общие требования
ГОСТ 29227-91 (ИСО 835-1-81) Посуда лабораторная стеклянная. Пипетки градуированные. Общие требования
ГОСТ 29232-91 (ИСО 4311-79) Анионные и неионогенные поверхностно-активные вещества. Определение критической концентрации мицеллообразования. Метод определения поверхностного натяжения с помощью пластины, скобы или кольца
ГОСТ 29251-91 (ИСО 381-1-84) Посуда лабораторная стеклянная. Бюретки. Общие требования
Примечание - При пользовании настоящим стандартом целесообразно проверить действие ссылочных стандартов в информационной системе общего пользования - на официальном сайте Федерального агентства по техническому регулированию и метрологии в сети Интернет или по ежегодно издаваемому информационному указателю "Национальные стандарты", который опубликован по состоянию на 1 января текущего года, и по соответствующим выпускам ежемесячного информационного указателя "Национальные стандарты" за текущий год. Если ссылочный стандарт заменен (изменен), то при пользовании настоящим стандартом следует руководствоваться замещающим (измененным) стандартом. Если ссылочный стандарт отменен без замены, то положение, в котором дана ссылка на него, применяется в части, не затрагивающей эту ссылку.
В настоящем стандарте применены следующие термины с соответствующими определениями:
3.1 поверхностно-активные вещества; ПАВ: Вещества с асимметричной молекулярной структурой, молекулы которых содержат один или несколько гидрофобных радикалов и одну или несколько гидрофильных групп.
3.2 биоразлагаемость (степень биоразложения) ПАВ: Способность молекул подвергаться деструкции (биоассимилироваться) под воздействием микрофлоры, присутствующей в активном иле биологических очистных сооружений, в водоемах и почве.
3.2.1 первичная биоразлагаемость: стадия процесса биоразложения, приводящая к гидролизу гидрофильной части молекулы, что проявляется в снижении (или прекращении) пенообразования.
3.2.2 полная биоразлагаемость: конечная стадия процесса ассимиляции органических веществ микроорганизмами с использованием вещества в качестве источника роста и жизнедеятельности и выделения в окружающую среду продуктов метаболизма, CO2 и воды.
3.3 активный ил, неадаптированный к ПАВ: Ил, культивированный на синтетической сточной воде, содержащей унифицированный набор минеральных солей и пептон.
3.4 активный ил, адаптированный к ПАВ: Ил, культивированный на синтетической сточной воде, содержащей унифицированный набор минеральных солей, пептон и испытуемое ПАВ в течение времени, равного (или больше) продолжительности индукционного периода.
3.5 иловый индекс: Объем, занимаемый 1 г активного ила (по сухому веществу), через 30 мин после отстаивания 1 дм3 иловой суспензии, взятой из аэротенка.
3.6 критическая концентрация мицеллообразования; ККМ: Характерная для поверхностно-активных веществ в водных растворах массовая концентрация (на практике - узкий интервал значений массовой концентрации), при превышении которой в объеме раствора появляются ассоциаты молекул поверхностно-активных веществ - мицеллы, что приводит к резкому изменению зависимостей ряда физико-химических свойств раствора от концентрации.
3.7 показатели биоразлагаемости (степени биоразложения) ПАВ в водной среде:
- максимально недействующая массовая концентрация ПАВ в составе синтетической сточной воды; МНКа, мг/дм3, не вызывающая нарушений режимов работы аэротенка в течение 30 сут определения;
- продолжительность индукционного периода Tинд, сут, в течение которого неадаптированный активный ил адаптируется к испытуемому ПАВ;
- степень полного X28полн, %, (и/или первичного X28перв, %), биоразложения ПАВ неадаптированным активным илом, суммарно, за 28 сут с начала определения;
- степень полного Xа.иполн, %, (и/или первичного Xа.иперв., %), биоразложения ПАВ адаптированным активным илом (при t > Tинд).
3.8 химическое потребление кислорода; ХПК: Бихроматная окисляемость, количественной оценкой которой является количество кислорода, расходуемого на окисление органических и неорганических веществ, содержащихся в одном кубическом дециметре воды, сильным окислителем - двухромовокислым калием (K2Cr2O7).
4.1 Общие указания по проведению измерений - по
ГОСТ 27025.
4.2 Допускается применение других средств измерений с метрологическими характеристиками и оборудования с техническими характеристиками не хуже, а также реактивов по качеству не ниже указанных.
4.3 При выполнении испытаний в лаборатории должны быть соблюдены следующие условия:
- температура окружающего воздуха - (20 +/- 5) °C;
- атмосферное давление - (84 - 106) кПа;
- относительная влажность - не более 80% при температуре 25 °C;
- частота переменного тока - (50 +/- 1) Гц;
- напряжение в сети - (220 +/- 22) В.
5. Средства измерений, вспомогательные устройства, материалы и реактивы
Аэротенк конструкции АКХ им. К.Д. Памфилова
(приложение В) рабочим объемом 6 дм
3, аэрацией 0,3 мин
-1 или любой другой с известными характеристиками.
Дозатор любого типа, обеспечивающий непрерывную подачу синтетической сточной воды (ССВ) в аэротенк с объемным расходом (1,0 +/- 0,1) дм3/ч.
Компрессор, обеспечивающий непрерывную подачу воздуха с объемным расходом (120 +/- 10) дм3/ч и давлением (200 +/- 10) мм вод. ст.
Индикатор-регулятор объемного расхода воздуха ротаметрический типа РМА-1 по
ГОСТ 13045.
Терморегулятор ТПК-М-5П.050.201 по
ГОСТ 9871.
Термометр контактный для регулирования температуры в аэротенке в пределах от 19,5 °C до 20,5 °C.
Нагревательный элемент инфракрасный для поддержания температуры в аэротенке в пределах от 19,5 °C до 20,5 °C.
Весы лабораторные общего назначения (II) класса точности по
ГОСТ 24104 с ценой деления 0,1 мг и наибольшим пределом взвешивания 200 г или
весы с неавтоматическим установлением показаний высокого (II) класса точности с действительной ценой деления 0,05 мг и максимальной нагрузкой 200 г.
Натрий уксуснокислый 3-водный по
ГОСТ 199, ч.
Калий фосфорнокислый однозамещенный по
ГОСТ 4198, ч.д.а.
Аммоний фосфорнокислый двузамещенный по
ГОСТ 3772, ч.д.а.
Кальций хлористый технический по
ГОСТ 450.
Магний сернокислый 7-водный по
ГОСТ 4523, ч.д.а.
Вода питьевая (дехлорированная отстоем в течение 1 сут) по правилам <*>.
--------------------------------
<*> Перечень документов, действующих в Российской Федерации, представлен в
приложении И.
Синтетическая сточная вода (ССВ) - питьевая вода, содержащая унифицированный набор минеральных солей и пептон концентрации по
таблице 1.
Ил активный неадаптированный, культивированный на ССВ (по
6.2).
6. Подготовка к выполнению испытаний
6.1 Приготовление синтетической сточной воды (ССВ)
Синтетическую сточную воду готовят в расходной емкости путем растворения минеральных солей и пептона (таблица 1) в питьевой дехлорированной воде.
Таблица 1
Состав синтетической сточной воды (ССВ)
Компонент | Массовая концентрация, мг/дм3 |
Натрий уксуснокислый | |
Калий фосфорнокислый однозамещенный | 25,0 |
Натрий углекислый | 50,0 |
Аммоний фосфорнокислый двузамещенный | 25,0 |
Кальций хлористый | 7,5 |
Магний сернокислый | |
Пептон ферментативный | |
<*> В пересчете на безводные соли. <**> Массовую концентрацию пептона в ССВ подбирают опытным путем по значению ХПК ССВ = (160 +/- 10) мгO 2/дм 3. |
6.2 Культивирование неадаптированного активного ила
Неадаптированный активный ил культивируют в аэротенках постоянно, подавая в них ССВ составом, приведенным в
таблице 1.
Примечание - Неадаптированный активный ил может быть также приготовлен из активного ила биологических очистных сооружений. Для этого его отбирают на станции очистки сточных вод из регенераторов городских сооружений биологической очистки, помещают в аэротенки (для отмывки от взвешенных веществ, посторонних примесей и реадаптации от ПАВ, присутствующих в коммунально-бытовых стоках) и культивируют на ССВ по
таблице 1 не менее 15 сут, контролируя при этом показатели качества активного ила. Неадаптированный активный ил должен соответствовать показателям, приведенным в таблице 2 [
графа "Оптимальный режим работы (контрольный аэротенк)].
6.3 Подготовка аэротенков к выполнению испытаний
Определение показателей биоразлагаемости ПАВ проводят с использованием не менее двух моделей аэротенков (контрольного и опытного), работающих непрерывно в проточном режиме, моделирующем нормальные условия работы биологических очистных сооружений.
Подготовка аэротенков включает:
- загрузку в контрольный и опытный аэротенки от 15 до 16 г (в пересчете на сухое вещество) суспензии неадаптированного активного ила;
- подачу в аэротенки ССВ дозаторами из расходной емкости и воздуха
(приложение Г);
- регулирование расхода воздуха по ротаметру (120 +/- 10) дм3/ч, расхода ССВ - по дозатору (1,0 +/- 0,1) дм3/ч;
- поддержание температуры воды в аэротенках в пределах от 19,5 °C до 20,5 °C.
В оба аэротенка подают ССВ. При этом контролируют показатели работы аэротенков в соответствии с таблицей 2. Методы анализа работы аэротенков приведены в
приложении Е.
Таблица 2
Показатели работы аэротенков
Наименование показателя | Значение показателя | Метод анализа |
Оптимальный режим работы (контрольный аэротенк) | Нарушенный режим работы <*> (опытный аэротенк) | |
1 Иловый индекс, см3/г | 40 - 60 | Св. 100 | |
2 Концентрация азота в очищенной воде, мг/см3: | | | |
аммонийного | 0,4 - 0,6 | Св. 1,0 | |
нитратного | 7,0 - 10,0 | До 3,0 | |
3 Хлопок активного ила | Компактный | Измельчение (диспергирование) | |
4 Наличие индикаторных микроорганизмов | Philodina roseola, Cathyhna luna, Opercularia coarctata, Aspidisca costata, Vorticella conallaria, Epistylis plicatilis | Частичное или полное отсутствие микроорганизмов указанных видов (по сравнению с контрольным аэротенком) | |
<*> Режим работы опытного аэротенка считают нарушенным, если хотя бы один из показателей его режима работы отличается от соответствующего показателя контрольного аэротенка. В этом случае испытания прекращают, активный ил из опытного аэротенка удаляют. После загрузки свежего неадаптированного активного ила в опытный аэротенк его вновь выводят на стационарный режим работы и начинают очередное определение, подавая ПАВ в составе ССВ при концентрации ниже, чем в предыдущем опыте. |
Массовую концентрацию активного ила в аэротенках поддерживают в пределах от 2,5 до 3,0 г/дм3.
Массовую концентрацию ила корректируют по результатам ежедневных анализов. Избыточный ил из аэротенков удаляют.
После выхода аэротенков на стационарный режим работы в течение 6 - 8 сут [
графа "Оптимальный режим работы (контрольный аэротенк)] убеждаются в идентичности качественного состава гидробионтов активного ила (индикаторных микроорганизмов), находящегося в контрольном и опытном аэротенках, и устанавливают в них одинаковую массовую концентрацию активного ила.
Примечание - Если активный ил в контрольном и опытном аэротенках различается по качественному составу, то перед началом испытаний их следует смешать вместе и снова разлить по аэротенкам, что создает одинаковые начальные условия их работы.
Максимальная массовая концентрация ПАВ, при которой аэротенк работает без нарушения режимов работы в течение всего периода определения - 30 сут, принимается как МНКа (максимально недействующая концентрация для аэротенков).
6.4 Подготовка ПАВ к определению показателей биоразлагаемости
6.4.1 Подготовка ПАВ к определению показателя биоразлагаемости заключается в приготовлении раствора ПАВ в дистиллированной воде для дозирования в расходную емкость ССВ массовой концентрацией от 1,000 до 5,000 г/дм3 и включает:
- выбор массовой концентрации ПАВ в составе ССВ для подачи в аэротенк (с учетом разбавления в емкости синтетической сточной водой от 5 до 50 мг/дм3, но не более 0,5 ККМ);
Примечания
1 Для испытуемого ПАВ значения ККМ определяют общепринятыми методами (например, по ГОСТ 29232).
2 Для классических четвертичных солей аммония, обладающих дезинфицирующими свойствами (например, для ди-додецилдиметиламмоний хлорида), максимально недействующая концентрация МНКа ~= 1 мг/дм3, что в несколько раз ниже значения 0,5 ККМ.
- приготовление раствора ПАВ для дозирования требуемой концентрации;
- определение ХПК образца испытуемого ПАВ с последующим пересчетом на массу 100 мг по сухому веществу или без пересчета на сухое вещество;
- построение градуировочных графиков зависимости оптической плотности растворов от массовой концентрации испытуемого ПАВ на очищенной воде из контрольного аэротенка в диапазоне от 0,1 до 5,0 мг/дм3 ПАВ (при необходимости).
6.4.2 Подготовка к определению показателей биоразлагаемости ПАВ, входящих в составы, содержащие ПАВ, проводят так же, как и для индивидуальных ПАВ, не выделяя последние из составов экстракционными и ионообменными методами.
Примечание - Технические ПАВ представляют собой смесь гомологов (по величине гидрофобной или гидрофильной части), которые экстрагируются (сорбируются) с разными коэффициентами распределения, причем наименее гидрофобные гомологи, определяющие биоразлагаемость смеси гомологов, экстрагируются с меньшими коэффициентами распределения, что заведомо завышает биоразлагаемость.
Определяют ХПК образца испытуемого состава, содержащего ПАВ, с последующим пересчетом на массу 100 мг по сухому веществу или без пересчета на сухое вещество.
Остаточные концентрации ПАВ - компонентов средств (например, присутствующие одновременно АПАВ, НПАВ и т.д.) в очищенной сточной воде, при необходимости, определяют отдельно в параллельных пробах по методикам в соответствии с
Е.1 и
Е.2 (приложение Е). При этом градуировочные графики для определения остаточных концентраций ПАВ в очищенной сточной воде строят, разбавляя испытуемые составы, содержащие ПАВ, очищенной сточной водой из контрольного аэротенка в диапазоне массовой концентрации от 0,1 до 5,0 мг/дм
3.
Определение проводят в аэротенках, подготовленных по
6.3.
Продолжительность определения - 30 сут. Для вычисления показателей биоразлагаемости используют данные, полученные в течение первых 28 сут с начала определения в опытном аэротенке.
Массовую концентрацию ПАВ в составе ССВ на входе опытного аэротенка поддерживают постоянным дозированием расчетного количества раствора ПАВ по
6.4 в расходную емкость ССВ при ежедневной заправке.
Пробы очищенной воды и активного ила на выходе аэротенков для анализов отбирают через каждые (24,0 +/- 0,5) ч.
Отобранные пробы анализируют в течение 0,5 - 1,0 ч.
Избыточный активный ил удаляют ежедневно.
Перечень анализируемых показателей, периодичность и методы анализа очищенной сточной воды и активного ила приведены в таблице 3.
Таблица 3
Наименование показателя | Единицы измерения | Периодичность | Метод анализа |
1. Показатели качества очищенной сточной воды: | | | |
1.1 Остаточная массовая концентрация испытуемого ПАВ на выходе опытного аэротенка (первичная биоразлагаемость) | мг/дм3 | Ежедневно | |
1.2 ХПК воды на выходе аэротенков (контрольного и опытного) для вычисления полной биоразлагаемости | мгO2/дм3 | Ежедневно | |
2 Показатели режимов функционирования активного ила: | | | |
2.1 Массовая концентрация азота (нитратного, аммонийного) на выходе аэротенков (контрольного и опытного) | мг/дм3 | 1 раз в 3 - 4 дня | |
2.2 Иловый индекс активного ила в аэротенках (контрольном и опытном) | см3/г | Ежедневно | |
2.3 Массовая концентрация активного ила в аэротенках (контрольном и опытном) | г/дм3 | Ежедневно | |
2.4 Видовой состав индикаторных микроорганизмов в активном иле аэротенков (контрольном и опытном) | | 1 раз в 3 - 4 дня | |
3 Специфическое влияние ПАВ на работу аэротенков: | | | |
3.1 Высота пены в опытном аэротенке | см | Ежедневно | |
3.2 Мутность воды в аэротенках (контрольном и опытном) | | 1 раз в 3 - 4 дня | |
Результаты анализа очищенной сточной воды и активного ила из контрольного и опытного аэротенков оформляют в виде таблицы 4.
Продолжительность с начала определения, сут | ХПК на выходе аэротенков, мгO2/дм3 | Массовая концентрация ПАВ в очищенной ССВ из опытного аэротенка, мг/дм3 | Массовая концентрация азота в очищенной ССВ из аэротенков, мг/дм3 | Иловый индекс (активного ила из аэротенка), см3/г | Высота пены в опытном аэротенке, см |
нитратного | аммонийного |
Контр. | Опытн. | Контр. | Опытн. | Контр. | Опытн. | Контр. | Опытн. |
| | | | | | | | | | |
| | | | | | | | | | |
| | | | | | | | | | |
| | | | | | | | | | |
8. Обработка результатов испытаний
8.1 Построение графиков временных зависимостей остаточной массовой концентрации ПАВ в очищенной воде
По окончании определения на основании данных
таблицы 4 строят графики временных зависимостей:
а 
- зависимость остаточной массовой концентрации ПАВ на выходе опытного аэротенка от продолжительности определения (
t, сут) при

;
б 
- зависимость разностей ХПК очищенной сточной воды на выходе опытного и контрольного аэротенков от продолжительности определения (
t, сут) при

.
Типовые виды графиков временных зависимостей остаточной массовой концентрации ПАВ и разностей ХПК очищенной в аэротенке ССВ представлены на рисунке 1.
Примечания:
1 В зависимости от структуры и состава молекул испытуемого ПАВ графики временных зависимостей

(рисунок 1
а) и

(рисунок 1
б) могут смещаться как по оси абсцисс, так и по оси ординат.
2 При достижении адаптации ила (
t >
Tинд) зависимости

и

через перегиб выходят на плато.
3 Вычисление степеней полного и первичного биоразложения ПАВ неадаптированным активным илом за 28 сут сводится к вычислению отношений биоассимилированного ПАВ (мг) к суммарно поданному в аэротенк ПАВ за 28 сут (мг) (заштрихованных площадей).
Рисунок 1 - Типовые графики временных зависимостей
Графики временных зависимостей

и

могут быть аппроксимированы полиномами 6-го порядка вида:
y(
x) =
a0f0(
x) +
a1f1(
x) +
a2f2(
x) +
a3f3(
x) +
a4f4(
x) +
+ a5f5(x) + a6f6(x), (1)
где ai - коэффициенты уравнения;
f(x) - степенная функция, возрастающая по мере увеличения степени полинома (от x0 до x6);
x - конкретное значение

(или

) на графике временных зависимостей

(или

) в момент времени
t.
8.2 Вычисление показателей биоразлагаемости ПАВ
8.2.1 Максимальная (пороговая) массовая концентрация ПАВ, при которой после достижения адаптации аэротенк работает без нарушения режимов работы в течение всего периода определения - 30 сут, принимается в качестве максимально недействующей концентрации для аэротенка (МНКа).
8.2.2 Продолжительность индукционного (адаптационного) периода, Tинд, сут:
t >
Tинд,

;
t <
Tинд,

; (2)
t >
Tинд,

;
t <
Tинд,

. (3)
Определение
Tинд сводится к нахождению той области функций

или

, в которой зависимости

или

через перегиб выходят на плато.
Неопределенность измерения Tинд при Tинд <= 5 составляет +/- 0,5 сут, при Tинд в интервале от 5 до 25 сут составляет +/- 1,0 сут.
Примечание - Для большинства ПАВ пенообразование в аэротенке прекращается при достижении активным илом состояния адаптации к данному ПАВ, что используют для независимого определения
Tинд (см.
таблицу 4).
8.2.3 Степень полного и первичного биоразложений ПАВ неадаптированным илом
Степень полного биоразложения ПАВ,
X28полн, %, неадаптированным активным илом за 28 сут (заштрихованные области на
рисунке 1а и
б) вычисляют по формуле

, (4)
где

- разность ХПК очищенной сточной воды опытного и контрольного аэротенков в
i-е сутки с начала испытаний, мгO
2/дм
3;
ХПКПАВ(вх) = const - ХПК испытуемого ПАВ, подаваемого с синтетической сточной водой в опытный аэротенк, мгO2/дм3.
Степень первичного биоразложения ПАВ
X28перв, %, неадаптированным активным илом за 28 сут (заштрихованные области на
рисунке 1а и
б) вычисляют по формуле

, (5)
где

и

- массовые расходные концентрации ПАВ на входе в аэротенк и в очищенной сточной воде, мг/дм
3.
Неопределенность измерения степени полного (и первичного) биоразложения ПАВ неадаптированным активным илом за 28 сут определяется точностью определения разности ХПК (и массовой концентрации ПАВ) в очищенной сточной воде опытного и контрольного аэротенков.
Стандартные отклонения составляют: при определении ХПК очищенной сточной воды в диапазоне от 25 до 70 мгO2/дм3 - +/- 2 мгO2/дм3; при определении массовой концентрации ПАВ в диапазоне от 0,05 до 2,50 мг/дм3 - +/- 0,05 мг/дм3.
Неопределенность измерения при определении X28полн. составляет +/- 3%, при определении X28перв составляет +/- 2% (при количестве точек не менее 15).
8.2.4 Степень полного (и первичного) биоразложения ПАВ адаптированным илом
Степень полного биоразложения ПАВ Xа.иполн, %, адаптированным активным илом в i-е сутки после достижения илом адаптации (t > Tинд), вычисляют по формуле

(6)
где

- разность ХПК очищенной сточной воды опытного и контрольного аэротенков адаптированным активным илом в
i-сутки, мгO
2/дм
3;
ХПКПАВ(вх) - массовая концентрация испытуемого ПАВ, подаваемого с синтетической сточной водой в опытный аэротенк в i-сутки, мгO2/дм3.
Степень первичного биоразложения ПАВ, Xа.иперв, %, адаптированным активным илом в i-е сутки после достижения илом адаптации (t > Tинд.), вычисляют по формуле

(7)

- массовые концентрации ПАВ на входе в аэротенк и в очищенной сточной воде, мг/дм
3.
Результаты определения показателей биоразлагаемости приводят в протоколе испытаний
(приложение Ж).
9. Метрологические характеристики
Неопределенность измерения степени полного (и первичного) биоразложения ПАВ адаптированным активным илом определяется точностью определения разности ХПК (и массовой концентрации ПАВ) в очищенной сточной воде опытного и контрольного аэротенков.
Неопределенность измерения при определении Xаиполн составляет +/- 3%, при определении Xаиперв составляет +/- 2%.
Стандартные отклонения составляют: при определении ХПК очищенной сточной воды в диапазоне от 25 до 40 мгO2/дм3 - +/- 2 мг/дм3; при определении массовой концентрации ПАВ в диапазоне от 0,05 до 2,50 мг/дм3 - 0,05 мг/дм3.
(обязательное)
ДОПУСТИМЫЕ ЗНАЧЕНИЯ ПОКАЗАТЕЛЕЙ БИОРАЗЛАГАЕМОСТИ ПАВ
ПРИ ОБРАЩЕНИИ НА РЫНКЕ
Наименование показателя | Значение | Дополнительные сведения |
1 Биоразлагаемость ПАВ, входящих в состав синтетических моющих средств (средств для стирки), %: | | При значениях полной биоразлагаемости ПАВ менее 60% (по двуокиси углерода) или менее 70% (по общему органическому углероду) - обязательно следует проводить испытания по определению первичной биоразлагаемости |
полная | Не менее 60 (по двуокиси углерода) или не менее 70 (по общему органическому углероду) |
первичная | Не менее 80 (по основному веществу) | ПАВ с первичной биоразлагаемостью менее 80% не допускается использовать в составе средств для стирки |
(рекомендуемое)
РЕКОМЕНДУЕМЫЕ СПОСОБЫ ОЧИСТКИ СТОКОВ, СОДЕРЖАЩИХ ПАВ,
В ЗАВИСИМОСТИ ОТ КЛАССА БИОРАЗЛАГАЕМОСТИ
Класс биоразлагаемости ПАВ | Продолжительность индукционного периода Tинд, сут | Рекомендуемые способы очистки ПАВ-содержащих стоков |
биологические | физико-химические |
1-й - быстро разлагаемые <*> | До 3 включ. | + | - |
2-й - умеренно разлагаемые <*> | Св. 3 до 10 включ. | + | - |
3-й - медленно разлагаемые | Св. 10 до 25 включ. | +/- | + |
4-й - чрезвычайно медленно разлагаемые | Св. 25 | - | + |
<*> Для предупреждения загрязнений водоемов поверхностно-активными веществами рекомендуется в составах синтетических моющих средств, товарах бытовой химии и средств гигиены использовать быстро и умеренно разлагаемые ПАВ. |
Примечания
1 В любом гомологическом ряду ПАВ, в зависимости от величины гидрофобной (или гидрофильной) части молекулы, присутствуют ПАВ всех четырех классов: от быстро разлагаемых до чрезвычайно медленно разлагаемых. Поэтому значение Tинд служит критерием при выборе фракционного состава технических ПАВ, представляющих смесь гомологов одного гомологического ряда, обладающего заданной скоростью (продолжительностью) биоразложения.
2 Быстро- и умеренно разлагаемые ПАВ (1-го и 2-го классов с Tинд <= 10 сут) в стандартных условиях определения биоразлагаются (биоассимилируются) неадаптированным активным илом в течение 28 сут со степенями полной X28полн >= 70% и первичной X28перв >= 90% биоразлагаемости соответственно.
3 При регулярных сбросах ПАВ (с интервалами между сбросами не более 0,5 Tинд) в составе сточной воды, при концентрации ПАВ ниже МНКа, массовая концентрация ПАВ в очищенной сточной воде может быть рассчитана по степени биоразложения данного ПАВ адаптированным активным илом (с учетом периода аэрации в аэротенке).
При разовых или нерегулярных сбросах (интервалы между сбросами более 25 сут) в течение периода времени, равного Tинд, наблюдается "проскок" ПАВ с очищенной сточной водой, а по достижении адаптации (при t > Tинд) - снижение концентрации ПАВ определяется условиями, указанными в предыдущем абзаце.
(обязательное)
МОДЕЛЬНОГО АЭРОТЕНКА-ОТСТОЙНИКА
1 - фланцевое соединение; 2 - штуцер;
3 - фильтросная пластина
Рисунок В.1
(обязательное)
УСТАНОВКИ ДЛЯ ОПРЕДЕЛЕНИЯ БИОРАЗЛАГАЕМОСТИ
ПОВЕРХНОСТНО-АКТИВНЫХ ВЕЩЕСТВ НЕПРЕРЫВНЫМ МЕТОДОМ
1, 2 - емкости для загрязненной и очищенной сточной воды;
3 - дозатор; 4 - аэротенк-отстойник
Рисунок Г.1
(обязательное)
ОПРЕДЕЛЕНИЕ ПОКАЗАТЕЛЕЙ ЖИЗНЕСПОСОБНОСТИ БИОТИЧЕСКОЙ
СИСТЕМЫ "АКТИВНЫЙ ИЛ-ПАВ" В АЭРОТЕНКЕ
Жизнеспособность биотической системы оценивают сравнением комплекса показателей качества очищенной сточной воды и активного ила в контрольном и опытном аэротенках, а именно:
а) очищенной сточной воды - по показателю процесса нитрификации, определяемому массовым содержанием в ней нитратного и аммонийного азота;
б) активного ила - по его массовой концентрации, иловому индексу (оседаемости), видовому составу и количеству индикаторных микроорганизмов;
в) специфическому влиянию ПАВ на работу аэротенка - по пенообразованию в аэротенке, по диспергированию флоккул активного ила (по мутности очищенной сточной воды опытного аэротенка).
Д.1 Определение массовой концентрации нитратного азота
Колориметрическое определение содержания нитратного азота основано на реакции нитратов с 1,2,4-фенолдисульфокислотой, в результате которой образуются окрашенные в желтый цвет нитропроизводные. Метод позволяет определять массовую концентрацию нитратного азота в диапазоне от 0,01 до 5,00 мг/дм3.
Д.1.1 Средства измерений, вспомогательные устройства, реактивы и растворы
Колориметр фотоэлектрический лабораторный (Фотоколориметр) любого типа, обеспечивающий измерение оптической плотности в диапазоне длин волн от 400 до 500 нм.
Весы лабораторные высокого (II) класса точности с ценой деления 0,1 мг и наибольшим пределом взвешивания 200 г по
ГОСТ 24104 или
весы с неавтоматическим установлением показаний высокого (II) класса точности с действительной ценой деления 0,05 мг и максимальной нагрузкой 200 г.
Баня водяная.
Часы.
Холодильник воздушный длиной 1100 мм и диаметром 8 - 10 мм.
Аммиак водный по
ГОСТ 3760, раствор молярной концентрации
c(NH
4OH) = 4 моль/дм
3.
Фенол по ГОСТ 23519.
Примечание - Допускается применение других средств измерений с метрологическими характеристиками и оборудования с техническими характеристиками не хуже, а также реактивов по качеству не ниже указанных.
Д.1.2 Подготовка к выполнению измерений
Д.1.2.1 Приготовление раствора азотнокислого калия
0,7210 г азотнокислого калия, высушенного при 100 °C - 105 °C, переносят в мерную колбу вместимостью 1 дм3, растворяют в дистиллированной воде, добавляют 1 см3 хлороформа и доводят объем раствора водой до метки.
1 см3 этого раствора (раствор А) содержит 0,1 мг нитратного азота.
10 см3 раствора А разбавляют в колбе вместимостью 100 см3 водой до метки и перемешивают (раствор Б). Раствор Б применяют свежеприготовленным.
1 см3 раствора Б содержит 0,01 мг нитратного азота.
Д.1.2.2 Приготовление сульфофенолового реактива
3 г фенола смешивают с 20,1 см3 серной кислоты и нагревают 6 ч на кипящей водяной бане в колбе с пробкой, в которую вставлен воздушный холодильник.
Д.1.2.3 Построение градуировочного графика
Готовят серию растворов сравнения.
В выпарительные чашки с помощью пипеток переносят по 0; 0,5; 1,0; 2,0; 5,0 и 10,0 см3 раствора Б и добавляют дистиллированную воду до 10,0 см3. Затем растворы выпаривают досуха на водяной бане, охлаждают и прибавляют по 2 см3 сульфофенолового реактива, быстро смачивая при этом весь сухой остаток, дают постоять 10 мин, приливают 15 см3 воды и перемешивают до растворения. Затем количественно переносят в мерные колбы вместимостью 100 см3, добавляют 10 см3 раствора аммиака, доводят объем раствора водой до метки и тщательно перемешивают.
Оптическую плотность растворов сравнения измеряют по отношению к контрольному раствору на фотоколориметре при длине волны (410 +/- 10) нм (фиолетовый светофильтр) в кювете с толщиной поглощающего свет слоя 50 мм. Измерение каждой точки проводят по 3 раза.
По полученным данным строят градуировочный график, откладывая на оси абсцисс введенные массы нитратного азота в миллиграммах (с учетом, что 1 см3 раствора Б содержит 0,01 мг нитратного азота), а на оси ординат - соответствующие им значения оптической плотности D.
Д.1.2.4 Выполнение измерений
| | ИС МЕГАНОРМ: примечание. В официальном тексте документа, видимо, допущена опечатка: имеется в виду пункт Д.1.2.3, а не Д.4.2.3. | |
Пипеткой помещают 10 см
3 анализируемой воды в выпарительную чашку и досуха выпаривают на водяной бане. После охлаждения сухой остаток смачивают 2 см
3 сульфофенолового раствора, дают постоять 10 мин, приливают 15 см
3 воды и перемешивают до растворения. Затем количественно переносят в мерную колбу вместимостью 100 см
3, добавляют 10 см
3 аммиака и далее анализ проводят, как описано в
Д.4.2.3.
По полученному значению оптической плотности на градуировочном графике находят массу нитратного азота в анализируемой пробе (мг).
Д.1.2.5 Обработка результатов измерений
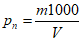
Массовую концентрацию нитратного азота pн, мг/дм3, рассчитывают по формуле

, (Д.1)
где m - масса нитратного азота, найденная по градуировочному графику, мг;
1000 - коэффициент пересчета см3 в дм3;
V - объем воды, взятый для анализа, см3.
За результат измерения принимают среднеарифметическое значение результатов двух определений, полученных в условиях повторяемости (сходимости), относительное значение расхождения между которыми не превышает допускаемое расхождение 10% при доверительной вероятности 0,95.
Д.2 Определение концентрации аммонийного азота
Метод основан на образовании окрашенного соединения йодистого меркураммония при взаимодействии иона NH4+ с реактивом Несслера.
Д.2.1 Средства измерений, вспомогательные устройства и реактивы
Колориметр фотоэлектрический лабораторный (фотоколориметр) любого типа, обеспечивающий измерение оптической плотности в диапазоне длин волн от 400 до 500 нм.
Весы лабораторные высокого (II) класса точности с ценой деления 0,1 мг и наибольшим пределом взвешивания 200 г по
ГОСТ 24104 или
весы с неавтоматическим установлением показаний высокого (II) класса точности с действительной ценой деления 0,05 мг и максимальной нагрузкой 200 г.
Баня водяная.
Бутыль с нижним тубусом; в пробку вставляют хлоркальциевую трубку.
| | ИС МЕГАНОРМ: примечание. В официальном тексте документа, видимо, допущена опечатка: имеется в виду ГОСТ 25336-82, а не ГОСТ 25536. | |
Калий-натрий виннокислый 4-водный (сегнетова соль) по
ГОСТ 5845, ч.д.а.
Натрий углекислый 10-водный по
ГОСТ 84, х.ч.
Реактив Несслера (калий тетраиодомеркурат в щелочном растворе), ч.д.а. или приготовленный по
ГОСТ 4517 из калия йодистого по
ГОСТ 4232, ч.д.а. и ртути (II) йодистой, ч.
Фильтры бумажные "белая лента".
Примечание - Допускается применение других средств измерений с метрологическими характеристиками и оборудования с техническими характеристиками не хуже, а также реактивов по качеству не ниже указанных.
Д.2.2 Подготовка к выполнению измерений
Д.2.2.1 Приготовление безаммиачной дистиллированной воды
К 2 дм3 дистиллированной воды прибавляют 10-водный углекислый натрий до слабощелочной реакции и упаривают раствор на 1/2 объема. Воду хранят в бутыли с нижним тубусом, в пробку вставляют хлоркальциевую трубку.
Д.2.2.2 Приготовление раствора сегнетовой соли
50 г сегнетовой соли растворяют в 100 см3 безаммиачной дистиллированной воды. Раствор хранят в бутыли из темного стекла в темном месте.
Д.2.2.3 Приготовление раствора, содержащего аммонийный азот
0,3830 г перекристаллизованного и высушенного при 100 °C - 105 °C хлористого аммония помещают в мерную колбу вместимостью 1 дм3, растворяют в безаммиачной дистиллированной воде и доводят объем раствора этой же водой до метки (раствор А).
1 см3 раствора А содержит 0,1 мг аммонийного азота.
Д.2.3 Построение градуировочного графика
Готовят серию растворов сравнения, для этого переносят с помощью пипеток в мерные колбы вместимостью 100 см3 по 0; 0,5; 1,0; 2,0; 2,5 и 3,0 см3 раствора А, доводят объемы раствора безаммиачной дистиллированной водой до метки и тщательно перемешивают.
Пипеткой отбирают по 50 см3 полученных растворов сравнения, помещают в конические колбы вместимостью 100 см3, добавляют 2 см3 раствора сегнетовой соли и 1 см3 реактива Несслера, перемешивают и точно через 10 мин измеряют на фотоэлектроколориметре при длине волны (425 +/- 10) нм (синий светофильтр) в кювете с толщиной поглощающего свет слоя 50 мм оптическую плотность растворов сравнения, по отношению к контрольному раствору. Измерение каждой точки проводят по 3 раза.
По полученным значениям оптических плотностей строят градуировочный график, откладывая на оси абсцисс введенные массы аммонийного азота в миллиграммах (с учетом, что 1 см3 раствора содержит 0,1 мг аммонийного азота), а на оси ординат - соответствующие им значения оптической плотности D.
Д.2.4 Выполнение измерений
В коническую колбу вместимостью 100 см
3 отбирают пипеткой 50 см
3 профильтрованной анализируемой воды, содержащей от 0,02 до 0,08 мг аммонийного азота (при большем содержании азота пробу предварительно разбавляют), к пробе добавляют 2 см
3 раствора сегнетовой соли и 1 см
3 реактива Несслера и далее анализ проводят, как описано в
Д.2.3 настоящей методики.
По полученному значению оптической плотности на градуировочном графике находят массу аммонийного азота в анализируемой воде (мг).
Д.2.5 Обработка результатов измерений
Массовую концентрацию аммонийного азота pа, мг/дм3, рассчитывают по формуле

, (Д.2)
где m - масса аммонийного азота, найденная по градуировочному графику, мг;
1000 - коэффициент пересчета см3 в дм3;
V - объем анализируемой пробы, см3.
За результат анализа принимают среднеарифметическое значение результатов двух определений, полученных в условиях повторяемости (сходимости), относительное значение расхождения между которыми не превышает допускаемое расхождение, равное 5% при доверительной вероятности 0,95.
Д.3 Определение массовой концентрации активного ила
Массовую концентрацию активного ила определяют гравиметрическим методом, для чего определенное количество иловой смеси из аэротенка фильтруют через предварительно высушенный и взвешенный фильтр, который затем высушивают при 100 °C - 105 °C.
Д.3.1 Средства измерений, вспомогательные устройства и материалы
Весы лабораторные высокого (II) класса точности с ценой деления 0,1 мг и наибольшим пределом взвешивания 200 г по
ГОСТ 24104 или
весы с неавтоматическим установлением показаний высокого (II) класса точности с действительной ценой деления 0,05 мг и максимальной нагрузкой 200 г.
Шкаф сушильный лабораторный, обеспечивающий поддержание температуры в пределах 100 °C - 105 °C.
Фильтр "белая лента".
Часы.
Д.3.2 Подготовка к выполнению измерений
Фильтр "белая лента" помещают в стаканчик и высушивают в сушильном шкафу при 100 °C - 105 °C до постоянной массы.
Д.3.3 Выполнение измерений
Активный ил в аэротенке хорошо перемешивают и отбирают в цилиндр иловую смесь, которую затем фильтруют через предварительно высушенный и взвешенный фильтр, вложенный в воронку. Остатки ила со стенок цилиндра смывают дистиллированной водой.
Воронку с фильтром подсушивают в сушильном шкафу. Затем фильтр осторожно складывают и помещают в стаканчик (не закрывая его крышкой), в котором доводился до постоянной массы исходный фильтр и высушивают в сушильном шкафу в течение 1 ч. Стаканчик закрывают крышкой, охлаждают в эксикаторе и взвешивают. Операции повторяют до получения постоянной массы.
Результаты взвешиваний в граммах записывают с точностью до четвертого десятичного знака.
Д.3.4 Обработка результатов измерений
Массовую концентрацию активного ила pи, г/дм3, вычисляют по формуле

, (Д.3)
где m1 и m2 - масса высушенных фильтров с активным илом и без него, г;
1000 - коэффициент пересчета см3 в дм3;
V - объем профильтрованной иловой смеси, см3.
За результат анализа принимают среднеарифметическое значение результатов двух определений, полученных в условиях повторяемости (сходимости), относительное значение расхождения между которыми не превышает допускаемое расхождение, равное 5% при доверительной вероятности 0,95.
Д.4 Определение илового индекса
Показателем качества активного ила является способность его к оседанию. Эту способность оценивают значением илового индекса, представляющего собой объем активного ила (см3) после 30-минутного отстаивания 1 дм3 сточной воды в цилиндре, который относят к 1 г сухого вещества ила.
Д.4.1 Средство измерений
Д.4.2 Выполнение измерений
Пробу иловой смеси взбалтывают, наливают в цилиндр до отметки 100 см3 и отстаивают в течение 30 мин. Затем измеряют объем, занимаемый осевшим активным илом.
Д.4.3 Обработка результатов измерений
Иловый индекс Ии, см3/г, рассчитывают по формуле

, (Д.4)
где V - объем осевшего после 30-минутного отстаивания активного ила, см3;
10 - коэффициент пересчета 100 см3 в дм3;
pи - массовая концентрация активного ила, г/дм
3, определенная по
Д.3.4.
За результат анализа принимают среднеарифметическое значение результатов двух определений, полученных в условиях повторяемости (сходимости), относительное значение расхождения между которыми не превышает допускаемое расхождение, равное 5% при доверительной вероятности 0,95.
Д.5 Гидробиологическое исследование активного ила
Гидробиологическое исследование активного ила проводят наблюдением через микроскоп.
Д.5.1 Средства исследования
Микроскоп МБИ-6 или аналогичный.
Предметные и покровные стекла.
Д.5.2 Подготовка к исследованию
10 см3 активного ила отбирают непосредственно из аэротенка. Затем на предметное стекло пипеткой наносят небольшую каплю суспензии активного ила, накрывают покровным стеклом и укрепляют на предметном столике микроскопа.
Д.5.3 Проведение исследования
Проводят микроскопирование, для чего пробу просматривают вначале при малом увеличении (окуляр 10x или 15x, объектив 8x), затем при большем (окуляр 10x или 15x, объектив 40x).
Просматривают не менее трех проб.
Д.5.4 Обработка результатов исследования
Отмечают состояние хлопка активного ила (компактность, корявость и т.п.)
Определяют наличие и количество простейших - индикаторных микроорганизмов (отдельно по Philodina roseola, Cathyhna luna, Opercularia coarctata, Aspidisca costata, Vorticella convallaria, Epistylis plicatilis), их подвижность, работу реснитчатого аппарата.
Определение видов индикаторных микроорганизмов проводят по приложению И,
перечисление 2.
Д.6 Определение специфического влияния ПАВ на работу аэротенков
Д.6.1 Определение пенообразования
Метод основан на измерении высоты столба пены над уровнем аэрируемой жидкости в аэротенке.
Д.6.1.1 Средство измерений
Линейка, градуированная в миллиметрах
Часы.
Д.6.1.2 Проведение измерения
Ежедневно с помощью линейки измеряют среднюю высоту столба пены над уровнем аэрируемой жидкости в рабочем аэротенке, прикладывая линейку к аэротенку.
За результат измерения принимают среднеарифметическое значение результатов пяти измерений, проведенных в течение 30 мин.
Д.6.2 Определение мутности очищенной сточной воды
Пробы очищенной нефильтрованной сточной воды (из контрольного и опытного аэротенков) наливают в стаканы и визуально сравнивают по мутности.
(рекомендуемое)
ОПРЕДЕЛЕНИЯ ОСТАТОЧНОГО СОДЕРЖАНИЯ ПАВ И ПРОДУКТОВ
ИХ БИОРАЗЛОЖЕНИЯ В ОЧИЩЕННОЙ СТОЧНОЙ ВОДЕ
Для определения остаточного содержания ПАВ и продуктов их биоразложения в очищенной сточной воде используют любые методики, независимо от их чувствительности и воспроизводимости, поскольку основной критерий отнесения ПАВ к классу биоразлагаемости -
Tинд., устанавливается по области перегиба на кинетических зависимостях - графиках

или

.
Ниже приведены наиболее распространенные методики определения массовой концентрации ПАВ в сточных водах.
Е.1 Определение массовой концентрации анионных поверхностно-активных веществ (АПАВ)
Метод основан на образовании ассоциатов АПАВ с красителем метиленовым синим, растворимых в хлороформе и практически нерастворимых в воде. Метод позволяет определять массовую концентрацию АПАВ в диапазоне от 0,015 до 0,250 мг/дм3.
Если массовая концентрация АПАВ в анализируемой пробе превышает 0,250 мг/дм3, то допускается разбавление пробы или использование кюветы меньшей толщиной.
Экстракцию комплексного соединения хлороформом проводят вначале в щелочной среде, а затем в кислой, что позволяет устранить мешающее влияние ионов минеральных солей (хлоридов, нитратов и др.). Определению мешают сульфиды, их влияние устраняют добавлением пероксида водорода.
Е.1.1 Средства измерений, вспомогательные устройства и реактивы
Колориметр фотоэлектрический лабораторный (фотоколориметр) ФЭК-60 или любой другой, обеспечивающий измерение оптической плотности при длине волны (650 +/- 10) нм.
Весы лабораторные высокого (II) класса точности с ценой деления 0,1 мг и наибольшим пределом взвешивания 200 г по
ГОСТ 24104 или
весы с неавтоматическим установлением показаний высокого (II) класса точности с действительной ценой деления 0,05 мг и максимальной нагрузкой 200 г.
Часы.
Колбы 2-50-2; 2-100-2; 2-1000-2 по
ГОСТ 1770.
Бумага универсальная индикаторная.
| | ИС МЕГАНОРМ: примечание. В официальном тексте документа, видимо, допущена опечатка: имеется в виду ГОСТ 11773-76, а не ГОСТ 11733. | |
Натрий фосфорнокислый двузамещенный по ГОСТ 11733.
Метиленовый синий.
Примечание - Допускается применение других средств измерений с метрологическими характеристиками и оборудования с техническими характеристиками не хуже, а также реактивов по качеству не ниже указанных.
Е.1.2 Подготовка к выполнению измерений
Е.1.2.1 Приготовление градуировочных растворов АПАВ
Готовят исходные растворы АПАВ массовой концентрации 0,1 мг/см3 из образцов, соответствующих испытуемых ПАВ.
Е.1.2.2 Приготовление вспомогательных растворов
Е.1.2.2.1 Приготовление фосфатного буферного раствора
10,0 г двузамещенного фосфорнокислого натрия помещают в мерную колбу вместимостью 1000 см3, растворяют в дистиллированной воде, добавляют раствор гидроокиси натрия до pH 10 и доводят объем раствора водой до метки.
Е.1.2.2.2 Приготовление нейтрального раствора метиленового синего
0,35 г метиленового синего помещают в мерную колбу вместимостью 1000 см3, растворяют в воде и доводят объем раствора водой до метки.
Е.1.2.2.3 Приготовление кислого раствора метиленового синего
0,35 г метиленового синего помещают в мерную колбу вместимостью 1000 см3, растворяют в 500 см3 воды, добавляют 6,5 см3 концентрированной серной кислоты и доводят объем раствора водой до метки.
Е.1.3 Построение градуировочного графика
Для построения градуировочного графика готовят растворы сравнения. Для этого в делительные воронки помещают по 1, 2, 3, 4 и 5 см
3 раствора, приготовленного по
Е.1.2.1, разбавляют дистиллированной водой до 100 см
3, приливают 10 см
3 фосфатного буферного раствора, 5 см
3 нейтрального раствора метиленового синего, 15 см
3 хлороформа. Осторожно встряхивают в течение 1 мин и после отстаивания хлороформный слой сливают в другую делительную воронку, в которую налито 110 см
3 дистиллированной воды и 5 см
3 кислого раствора метиленового синего. Встряхивают осторожно в течение 1 мин, дают отстояться и сливают слой хлороформа в мерную колбу вместимостью 50 см
3 через небольшую воронку с вложенным в нее тампоном ваты, предварительно смоченным хлороформом.
Экстрагирование проводят три раза, дважды наливая в первую делительную воронку по 15 см3 хлороформа и один раз 10 см3 и повторяя описанные операции.
Собранные в мерной колбе вместимостью 50 см3 экстракты доводят хлороформом до метки.
Оптическую плотность растворов сравнения измеряют на фотоколориметре по отношению к раствору сравнения при длине волны (650 +/- 10) нм (красный светофильтр). Измерения каждой точки проводят по три раза.
По полученным данным строят градуировочный график, откладывая на оси абсцисс значения массы АПАВ m, в миллиграммах, а на оси ординат - соответствующие им значения оптической плотности D.
Е.1.4 Выполнение измерений
Объем воды, отбираемой для анализа, при массовой концентрации АПАВ до 5 мг/дм3 составляет от 50 до 20 см3; до 10 мг/дм3 - 10 см3; до 30 мг/дм3 - 5 см3; до 70 мг/дм3 - 2 см3.
| | ИС МЕГАНОРМ: примечание. В официальном тексте документа, видимо, допущена опечатка: имеется в виду пункт Е.1.3, а не В.1.3. | |
Аликвоту анализируемой воды помещают в делительную воронку, разбавляют дистиллированной водой до 100 см
3 и далее анализ проводят, как указано в
В.1.3 настоящей методики.
По градуировочному графику находят массу АПАВ в анализируемой воде (мг).
Е.1.5 Обработка результатов измерений
Массовую концентрацию АПАВ в воде

, мг/дм
3, рассчитывают по формуле

, (Е.1)
где m - найденная по градуировочному графику масса АПАВ, мг;
1000 - коэффициент пересчета см3 в дм3;
V - объем анализируемой пробы, см3.
За результат измерения принимают среднеарифметическое значение результатов двух определений, полученных в условиях повторяемости (сходимости), относительное значение расхождения между которыми не превышает допускаемое расхождение, равное 5% при доверительной вероятности 0,95.
Е.2 Определение массовой концентрации неионогенных поверхностно-активных веществ (НПАВ)
Определение основано на осаждении НПАВ в виде комплексного соединения с фосфорно-вольфрамовой кислотой и хлористым барием, которое при растворении в концентрированной серной кислоте дает с гидрохиноном красно-коричневую окраску.
Определению мешают сульфаты при массовой концентрации их более 200 мг/дм3, влияние которых устраняют путем разбавления пробы, а также белки, которые удаляют с помощью гидроокиси цинка.
Е.2.1 Средства измерений, вспомогательные устройства, реактивы и растворы
Колориметр фотоэлектрический лабораторный (фотоколориметр) ФЭК-60 или любой другой, обеспечивающий измерение оптической плотности при длине волны (500 +/- 10) нм.
Весы лабораторные высокого (II) класса точности с ценой деления 0,1 мг и наибольшим пределом взвешивания 200 г по
ГОСТ 24104 или
весы с неавтоматическим установлением показаний высокого (II) класса точности с действительной ценой деления 0,05 мг и максимальной нагрузкой 200 г.
Центрифуга, обеспечивающая 2500 об/мин.
Шкаф электрический сушильный, обеспечивающий поддержание температуры в пределах 100 °C - 105 °C.
Баня водяная.
Часы.
Пипетки 1-2-2-1; 1-2-2-2; 1-2-2-5; 1-2-2-10 по
ГОСТ 29227.
Барий хлористый 2-водный по
ГОСТ 4108, раствор с массовой долей 10%.
Гидрохинон по
ГОСТ 19627, раствор в серной кислоте с массовой долей 5%.
Кислота соляная по
ГОСТ 3118, раствор в объемном отношении кислота - вода 1:1.
Фосфорно-12-вольфрамовая (7) кислота водная (фосфорно-вольфрамовая кислота) раствор с массовой долей 2%.
Примечание - Допускается применение других средств измерений с метрологическими характеристиками и оборудования с техническими характеристиками не хуже, а также реактивов по качеству не ниже указанных.
Е.2.2 Подготовка к выполнению измерений
Готовят исходный раствор, содержащий испытуемый НПАВ массовой концентрации 0,1 мг/см3.
Е.2.3 Построение градуировочного графика
Для построения градуировочного графика готовят растворы сравнения.
Для этого в мерные колбы вместимостью 100 см
3 помещают 0, 1, 2, 3, 4 и 5 см
3 раствора, подготовленного по
Е.2.2, и доводят объем раствора до метки дистиллированной водой, получая растворы сравнения НПАВ с массовой концентрацией 0, 1, 2, 3, 4 и 5 мг/дм
3. Затем по 10 см
3 полученных растворов пипеткой помещают в пробирки, добавляют 2 капли раствора соляной кислоты, 1 см
3 раствора хлористого бария и 1 см
3 раствора фосфорно-вольфрамовой кислоты и перемешивают тонкой стеклянной палочкой, пользуясь ей и дальше в ходе анализа.
Далее пробирки помещают в кипящую водяную баню и выдерживают в течение 15 мин. Затем пробирки вынимают, центрифугируют 5 мин со скоростью 2500 об/мин и сливают раствор, находящийся над осадком очень осторожно (лучше отсосать через тонкий капилляр с помощью вакуум-насоса). Оставшийся осадок дважды промывают, наливая в пробирку по 5 см3 горячей дистиллированной воды, и дважды центрифугируют. Подсушенный в сушильном шкафу при 100 °C - 105 °C осадок растворяют в 3 см3 концентрированной серной кислоты. После растворения осадка добавляют 6 см3 раствора гидрохинона, перемешивают тщательно палочкой и добавляют еще 6 см3 концентрированной серной кислоты.
Оптическую плотность растворов сравнения измеряют на фотоколориметре по отношению к контрольному раствору при длине волны (500 +/- 10) нм (зеленый светофильтр). Измерение каждой точки проводят по 3 раза.
По полученным данным строят градуировочный график, откладывая на оси абсцисс значения массы НПАВ m, в миллиграммах, а на оси ординат - соответствующие им значения оптической плотности D.
Е.2.4 Выполнение измерений
В пробирку помещают 10 см
3 анализируемой пробы исходной воды или разбавленной так, чтобы массовая концентрация НПАВ в пробе была в диапазоне от 2 до 6 мг/дм
3 и далее анализ проводят, как указано в
Е.2.3 настоящей методики.
По значению оптической плотности на градуировочном графике находят массу НПАВ в анализируемой воде (мг).
Е.2.5 Обработка результатов измерений
Массовую концентрацию НПАВ в воде

, мг/дм
3, рассчитывают по формуле
| | ИС МЕГАНОРМ: примечание. Нумерация формул дана в соответствии с официальным текстом документа. | |

, (Е.1)
где m - масса НПАВ, найденная по градуировочному графику, мг;
1000 - коэффициент пересчета см3 в дм3;
V - объем анализируемой пробы, см3.
За результат измерения принимают среднеарифметическое значение результатов двух определений, полученных в условиях повторяемости (сходимости), относительное значение расхождения между которыми не превышает допускаемое расхождение, равное 5% при доверительной вероятности 0,95.
Е.3 Определение химического потребления кислорода (ХПК)
Титриметрический метод определения ХПК основан на окислении органических веществ избытком бихромата калия в растворе серной кислоты при нагревании в присутствии катализатора - сульфата серебра. Остаток бихромата калия находят титрованием раствором соли Мора в присутствии индикатора фенилантраниловой кислоты или ферроина и по разности определяют количество K2Cr2O7, израсходованное на окисление органических веществ. Конец реакции отмечается появлением фиолетового окрашивания от одной избыточной капли раствора.
Е.3.1 Средства измерений, вспомогательные устройства, реактивы и растворы
Весы лабораторные высокого (II) класса точности с ценой деления 0,1 мг и наибольшим пределом взвешивания 200 г по
ГОСТ 24104 или
весы с неавтоматическим установлением показаний высокого (II) класса точности с действительной ценой деления 0,05 мг и максимальной нагрузкой 200 г.
Колбы 2-100-2; 2-500-2; 2-1000-2 по
ГОСТ 1770.
Плитка электрическая с закрытой спиралью и регулируемой мощностью нагрева по
ГОСТ 14919.
Установка для определения ХПК в составе.
Колба К-1-250-29/32 ТС или колба Гр-250-29/32 по
ГОСТ 25336.
Калий двухромовокислый (бихромат калия) по
ГОСТ 4220, раствор молярной концентрации
c(1/6 K
2Cr
2O
7) = 0,1 моль/дм
3 (0,1 н.); готовят по
ГОСТ 25794.2.
Железо (II) сернокислое 7-водное по
ГОСТ 4148.
Соль закиси железа и аммония двойная сернокислая (соль Мора) по
ГОСТ 4208, раствор молярной концентрации
c[(NH
4)
2SO
4·FeSO
4·6H
2O] = 0,05 моль/дм
3 (0,05 н.).
Сульфат серебра.
1,10-Фенантролин моногидрат (C12H8N2)3·H2O.
1,10-Фенантролин сульфат (C12H8N2)3·H2SO4.
Бумага индикаторная универсальная.
Часы.
Примечание - Допускается применение других средств измерений с метрологическими характеристиками и оборудования с техническими характеристиками не хуже, а также реактивов по качеству не ниже указанных.
Е.3.2 Подготовка к выполнению измерений
Е.3.2.1 Приготовление растворов и реактивов
Е.3.2.1.1 Раствор соли Мора молярной концентрации 0,05 моль/дм3
9,8 г соли Мора переносят в мерную колбу вместимостью 500 см3, растворяют в дистиллированной воде, осторожно добавляют 10 см3 концентрированной серной кислоты и после охлаждения доводят объем раствора до метки дистиллированной водой. Хранят в плотно закрытой посуде не более 6 мес. Точную молярную концентрацию раствора устанавливают ежедневно или перед серией определений.
Е.3.2.1.2 Раствор индикатора
Готовят раствор ферроина: 1,485 г 1,10-фенантролина и 0,695 г 7-водного сернокислого железа (II) помещают в мерную колбу вместимостью 100 см3, растворяют в дистиллированной воде, доводят объем раствора водой до метки и перемешивают. Раствор индикатора хранят в плотно закрытой склянке из темного стекла не более 3 мес.
Е.3.3 Выполнение измерений
Пипеткой 20 см3 очищенной сточной воды помещают в колбу, добавляют пипеткой 10 см3 раствора двухромовокислого калия и малыми порциями приливают 30 см3 концентрированной серной кислоты. Затем добавляют 200 мг сернокислого серебра, содержимое тщательно перемешивают и после присоединения обратного холодильника смесь равномерно кипятят в течение 2 ч. Затем колбу охлаждают, обмывая стенки холодильника 50 см3 дистиллированной воды, добавляют 2 - 3 капли раствора ферроина и титруют избыток двухромовокислого калия раствором соли Мора, фиксируя окончание титрования появлением фиолетового окрашивания.
Одновременно проводят контрольный опыт с 20 см3 дистиллированной воды.
Е.3.4 Обработка результатов измерений
Химическое потребление кислорода ХПК, мгO2/дм3, вычисляют по формуле

, (Е.3)
где V1 и V2 - объемы раствора соли Мора, израсходованные на титрование контрольного раствора (V1) и анализируемой пробы (V2), см3;

- молярная концентрация раствора соли Мора, моль/дм
3;
K - поправочный коэффициент раствора соли Мора;
8 - молярная масса эквивалента кислорода, г/моль;
1000 - коэффициент пересчета г в мг;
V0 - объем анализируемой воды, взятый для анализа, см3.
За результат измерения принимают среднеарифметическое значение результатов двух определений, полученных в условиях повторяемости (сходимости), относительное значение расхождения между которыми не превышает допускаемое расхождение, равное 10%, при доверительной вероятности 0,95.
(обязательное)
ПРОТОКОЛА ОПРЕДЕЛЕНИЯ ПОКАЗАТЕЛЕЙ БИОРАЗЛАГАЕМОСТИ
Испытательный центр
АТТЕСТАТ АККРЕДИТАЦИИ ИСПЫТАТЕЛЬНОЙ ЛАБОРАТОРИИ (ЦЕНТРА)
N РОСС Действителен до
Утверждаю
Руководитель испытательной лаборатории
"__" ___________ 20__ г.
ПРОТОКОЛ ИСПЫТАНИЙ N
ПАВ (или ПАВ-содержащего средства)
по показателям биоразлагаемости
Срок действия протокола до
1 Производитель (и/или заказчик) и его адрес.
2 Характеристика образца:
- наименование продукции;
- обозначение стандарта;
- состав (% масс.).
3 Нормативные документы, на соответствие которым проводят испытания.
4 Номер партии (акт отбора образца).
5 Дата получения образца.
6 Дата проведения испытаний.
7 Условия проведения испытаний (в соответствии с настоящим стандартом).
Настоящий протокол распространяется на образец, имеющий состав, указанный в паспорте.
При изменении состава продукта или технологии его производства, испытания должны быть проведены заново.
8 Результаты испытаний
8.1 Показатели биоразлагаемости испытуемого ПАВ представлены в таблице 1.
Таблица 1
Наименование показателя | Единицы измерения | Норма | Результат испытаний | Наименование оборудования и средств измерений |
1 Максимально недействующая массовая концентрация ПАВ в составе ССВ, подаваемой в аэротенк, МНКа (по товарному продукту или по основному веществу) | мг/дм3 | - | | |
2 Продолжительность индукционного периода Tинд | сут | - | | |
3 Класс биоразлагаемости (по продолжительности индукционного периода) | - | | | |
1-й - быстро разлагаемые | | До 3 включ. | | |
2-й - умеренно разлагаемые | | Св. 3 до 10 включ. | | |
3-й - медленно разлагаемые | | Св. 10 до 25 включ. | | |
4-й - чрезвычайно медленно разлагаемые | | Св. 25 | | |
4 Степень биоразложения неадаптированным активным илом за 28 сут: | % масс. | От 70 до 80 От 80 | | |
- полного (по общему органическому углероду) | | |
- первичного | | |
5 Степень биоразложения адаптированным активным илом (при t > Tинд): | % масс. | | |
- полного (по общему органическому углероду) | | |
- первичного | | |
Пояснения к таблице (при необходимости).
9 Заключение
Наименование ПАВ (ПАВ-содержащего средства); изготовитель ...; ТУ
- относится к ... классу (наименование класса) по ГОСТ;
- допускается (не допускается) для обращения на рынке без ограничений (с ограничениями).
Исполнители:
(справочное)
ДОКУМЕНТОВ, ДЕЙСТВУЮЩИХ В РОССИЙСКОЙ ФЕДЕРАЦИИ
| Питьевая вода. Гигиенические требования к качеству воды центральных систем питьевого водоснабжения (контроль качества) |
2 Атлас "Фауна аэротенков", Л., Наука, 1984, 264 стр. |