Главная // Актуальные документы // ГОСТ (Государственный стандарт)СПРАВКА
Источник публикации
М.: Стандартинформ, 2017
Примечание к документу
Отдельные положения данного документа включены в
Перечень международных и региональных (межгосударственных) стандартов, а в случае их отсутствия - национальных (государственных) стандартов, содержащих правила и методы исследований (испытаний) и измерений, в том числе правила отбора образцов, необходимые для применения и исполнения требований технического
регламента Таможенного союза "О безопасности машин и оборудования" (ТР ТС 010/2011) и осуществления оценки соответствия объектов технического регулирования (
Решение Коллегии Евразийской экономической комиссии от 09.03.2021 N 28).
Текст данного документа приведен с учетом
поправки, опубликованной в "ИУС", N 7, 2022.
Документ
введен в действие с 01.11.2017.
Название документа
"ГОСТ ISO 11204-2016. Межгосударственный стандарт. Шум машин. Определение уровней звукового давления излучения на рабочем месте и в других контрольных точках с точными коррекциями на свойства испытательного пространства"
(введен в действие Приказом Росстандарта от 09.02.2017 N 45-ст)
"ГОСТ ISO 11204-2016. Межгосударственный стандарт. Шум машин. Определение уровней звукового давления излучения на рабочем месте и в других контрольных точках с точными коррекциями на свойства испытательного пространства"
(введен в действие Приказом Росстандарта от 09.02.2017 N 45-ст)
по техническому регулированию
и метрологии
от 9 февраля 2017 г. N 45-ст
МЕЖГОСУДАРСТВЕННЫЙ СТАНДАРТ
ШУМ МАШИН
ОПРЕДЕЛЕНИЕ УРОВНЕЙ ЗВУКОВОГО ДАВЛЕНИЯ ИЗЛУЧЕНИЯ НА РАБОЧЕМ
МЕСТЕ И В ДРУГИХ КОНТРОЛЬНЫХ ТОЧКАХ С ТОЧНЫМИ КОРРЕКЦИЯМИ
НА СВОЙСТВА ИСПЫТАТЕЛЬНОГО ПРОСТРАНСТВА
Noise of machinery. Determination of emission sound pressure
levels at a work station and at other specified positions
applying accurate environmental corrections
(ISO 11204:2010,
Acoustics - Noise emitted by machinery and equipment -
Determination of emission sound pressure levels at a work
station and at other specified positions applying
accurate environmental corrections, IDT)
ГОСТ ISO 11204-2016
Дата введения
1 ноября 2017 года
Цели, основные принципы и основной порядок проведения работ по межгосударственной стандартизации установлены в
ГОСТ 1.0-2015 "Межгосударственная система стандартизации. Основные положения" и
ГОСТ 1.2-2015 "Межгосударственная система стандартизации. Стандарты межгосударственные, правила и рекомендации по межгосударственной стандартизации. Правила разработки, принятия, обновления и отмены"
1 ПОДГОТОВЛЕН Открытым акционерным обществом "Научно-исследовательский центр контроля и диагностики технических систем" (АО "НИЦ КД") на основе собственного перевода на русский язык англоязычной версии стандарта, указанного в
пункте 5
2 ВНЕСЕН Федеральным агентством по техническому регулированию и метрологии
3 ПРИНЯТ Межгосударственным советом по стандартизации, метрологии и сертификации (протокол от 8 декабря 2016 г. N 50)
За принятие проголосовали:
Краткое наименование страны по МК (ИСО 3166) 004-97 | Код страны по МК (ИСО 3166) 004-97 | Сокращенное наименование национального органа по стандартизации |
Армения | AM | Минэкономики Республики Армения |
Беларусь | BY | Госстандарт Республики Беларусь |
Грузия | GE | Грузстандарт |
Киргизия | KG | Кыргызстандарт |
Россия | RU | Росстандарт |
Туркмения | TM | Главгосслужба "Туркменстандартлары" |
4
Приказом Федерального агентства по техническому регулированию и метрологии от 9 февраля 2017 г. N 45-ст межгосударственный стандарт ГОСТ ISO 11204-2016 введен в действие в качестве национального стандарта Российской Федерации с 1 ноября 2017 г.
5 Настоящий стандарт идентичен международному стандарту ISO 11204:2010 "Акустика. Шум машин и оборудования. Определение уровней звукового давления излучения на рабочем месте и в других контрольных точках с точными коррекциями на свойства испытательного пространства" ("Acoustics - Noise emitted by machinery and equipment - Determination of emission sound pressure levels at a work station and at other specified positions applying accurate environmental corrections", IDT).
Международный стандарт разработан техническим комитетом по стандартизации ISO/TC 43 "Акустика" Международной организации по стандартизации (ISO).
Наименование настоящего стандарта изменено относительно наименования указанного международного стандарта для приведения в соответствие с ГОСТ 1.5
(подраздел 3.6).
При применении настоящего стандарта рекомендуется использовать вместо ссылочных международных стандартов соответствующие им межгосударственные стандарты, сведения о которых приведены в дополнительном
приложении ДА
Информация об изменениях к настоящему стандарту публикуется в ежегодном информационном указателе "Национальные стандарты", а текст изменений и поправок - в ежемесячном информационном указателе "Национальные стандарты". В случае пересмотра (замены) или отмены настоящего стандарта соответствующее уведомление будет опубликовано в ежемесячном информационном указателе "Национальные стандарты". Соответствующая информация, уведомление и тексты размещаются также в информационной системе общего пользования - на официальном сайте Федерального агентства по техническому регулированию и метрологии в сети Интернет (www.gost.ru)
Настоящий стандарт устанавливает метод для определения уровней звукового давления излучения на рабочем месте и в других контрольных точках вблизи машины или элемента оборудования в реальных условиях ее работы. Стандарт входит в серию стандартов ISO 11200
[15] - ISO 11205
[19], которые устанавливают различные методы определения уровня звукового давления излучения машин и оборудования. В свою очередь, в ISO 11200
[15] приведено руководство по выбору конкретного метода для определения уровней звукового давления излучения на рабочем месте и в других контрольных точках.
Метод, установленный в настоящем стандарте, отличается от методов по ISO 11201
[16] определением и применением локальной коррекции на испытательное пространство. Он отличается также от ISO 11202
[17] в части применения более точного измерения уровня звукового давления на измерительной поверхности с целью определения характеристики направленности испытуемой машины. Акустические свойства испытательного помещения определяют для оценки качества испытательного пространства и определения величины локальной коррекции, вносимой в измеренные уровни звукового давления. Измерения, выполненные с помощью методов настоящего стандарта, имеют 2-ю (технический метод) или 3-ю (ориентировочный метод) степень точности.
Метод настоящего стандарта применяют в реальных условиях работы машин (испытуемого источника шума). Не требуются какие-либо предположения о направленности излучения или о положении источника шума, потому что эти параметры по условиям применения метода определяют путем измерений уровней звукового давления на измерительной поверхности. Степень точности метода (технический или ориентировочный) устанавливают в зависимости от условий испытаний.
В общем случае уровни звукового давления излучения не превышают уровни звукового давления, наблюдаемые при работе машин и оборудования в типичных условиях. Это обусловлено исключением вклада фонового шума и отражений звука от других поверхностей, кроме той, на которой расположена машина в ходе испытаний. Для определения или расчета уровня звукового давления излучения на рабочем месте оператора машины, работающей в помещении, необходимо знать уровень ее звуковой мощности и уровень звукового давления на рабочем месте (зависящий также от акустических свойств помещения и уровня шума других источников или машин). Метод расчета уровней звукового давления вблизи отдельной машины в производственном помещении установлен в ISO/TR 11690-3
[20]. Как правило, отличие реального уровня звукового давления излучения от измеренного уровня звукового давления в той же точке измерения составляет от 1 до 5 дБ, но может быть существенно больше в исключительных (крайних) случаях.
1.1 Общие положения
Настоящий стандарт устанавливает метод определения уровней звукового давления излучения машин и оборудования на рабочем месте и в других близко расположенных к машине контрольных точках в условиях, отвечающих определенных требованиям. Рабочее место оператора может находиться на открытой площадке, в одном помещении с машиной, в кабине испытуемой машины или удаленной от нее кабине. Одна или несколько контрольных точек могут быть расположены вблизи рабочего места машины, обслуживаемой оператором или не требующей обслуживания. Такие контрольные точки называют точками наблюдения.
Определяют уровни корректированного по частотной характеристике A звукового давления излучения (далее - уровни звука A излучения) и, при необходимости, - уровни звука излучения в полосах частот, а также пиковые уровни корректированного по частотной характеристике C звукового давления излучения (далее - пиковые уровни звука C излучения).
Примечание - Выбор методов измерений в соответствии со стандартами ISO 11200
[15] - ISO 11205
[19] приведен в ISO 11200
[15].
Приведен метод определения локальной коррекции на испытательное пространство (при ограничении на максимальное значение), которая применяется к измеренным уровням звукового давления с целью исключить влияние звукоотражающих поверхностей кроме той, на которой установлена машина. Коррекция получена на основе среднего на измерительной поверхности уровня звукового давления, на уровне звукового давления, измеренного в некоторой контрольной точке, и, либо на основе коррекции на свойства испытательного пространства, либо на основе эквивалентной площади звукопоглощения испытательного помещения.
Измерения, выполненные в соответствии с настоящим стандартом, относят к техническому (2-я степень точности) или ориентировочному (3-я степень точности) методу. Выполняют коррекцию на фоновый шум и на влияние испытательного пространства, как указано выше. Приведены требования по установке и режиму работы испытуемой машины и по выбору позиций микрофонов на рабочем месте и в других контрольных точках. Измерения могут проводиться с целью сравнения характеристик машин и оборудования одного вида при заданных характеристиках испытательного пространства и стандартных условиях монтажа и режима работы машин.
Примечание - Результаты испытаний могут быть использованы для заявления и подтверждения уровней звукового давления излучения машин в соответствии с ISO 4871
[8].
1.2 Виды шума и источников шума
Настоящий стандарт распространяется на все виды шума (постоянный, непостоянный, импульсный, единичные звуковые события и т.п.) по классификации ISO 12001.
Настоящий стандарт распространяется на источники шума всех видов и размеров.
Примечание - Далее термины "машина" и "испытуемый источник" применяются как для машины, так и ее части.
1.3 Испытательное пространство
Точность определения уровней звукового давления излучения в соответствии с настоящим стандартом зависит от свойств испытательного пространства. Настоящий стандарт применим для измерений на открытых площадках или в помещениях при наличии одной или более отражающих плоскостей, отвечающих установленным требованиям. Эти требования менее жесткие, чем в ISO 11201
[16], в частности в отношении акустических свойств испытательного пространства.
1.4 Рабочее место и другие контрольные точки
Настоящий стандарт применим для измерений на рабочих местах и в других контрольных точках.
К ним относятся:
a) рабочее место, расположенное в непосредственной близости от испытуемой машины (производственное оборудование и машины бытового назначения);
b) рабочее место в кабине, являющейся неотъемлемой частью испытуемой машины (производственный транспорт, землеройные машины и т.п.);
c) рабочее место в частично или полностью замкнутом ограждении (или за экраном), поставляемом изготовителем вместе с машиной или оборудованием;
d) рабочее место частично или полностью изолировано от испытуемого источника (крупногабаритные промышленные машины);
e) рабочие места наблюдателей, не отвечающих за работу машин, но эпизодически или постоянно находящиеся в непосредственной близости от них;
f) другие контрольные точки, отличные от рабочих мест или мест наблюдения.
Непостоянным рабочим является также определенный путь движения оператора, наблюдающего за работой машины или обслуживающего ее (см.
9.4).
В настоящем стандарте использованы ссылки на следующие стандарты:
ISO 3744, Acoustics - Determination of sound power levels of noise sources using sound pressure - Engineering method in an essentially free field over a reflecting plane
Акустика. Определение уровней звуковой мощности и уровней звуковой энергии источников шума с использованием звукового давления. Технические методы в условиях свободного звукового поля над звукоотражающей плоскостью
ISO 3746, Acoustics - Determination of sound power levels of noise sources using sound pressure - Survey method using an enveloping measurement surface over a reflecting plane
Акустика. Определение уровня звуковой мощности источников шума по звуковому давлению. Ориентировочный метод с использованием измерительной поверхности над звукоотражающей плоскостью
ISO 5725 (all parts), Accuracy (trueness and precision) of measurement methods and results
Точность (правильность и прецизионность) методов и результатов измерений (все части ISO 5725)
ISO 12001, Acoustics - Noise emitted by machinery and equipment - Rules for the drafting and presentation of a noise test code
Акустика. Шум, создаваемый машинами и оборудованием. Правила разработки и представления стандартов на испытания по определению шума
IEC 60942:2003, Electroacoustics - Sound calibrators
Электроакустика. Калибраторы акустические
IEC 61260:1995, Electroacoustics - Octave-band and fractional-octave-band filters (amended by IEC 61260/Amd.1:2001)
Электроакустика. Фильтры полосовые октавные или на доли октавы (включая поправку IEC 61260/Amd.1:2001)
IEC 61672-1:2002, Electroacoustics - Sound level meters - Part 1: Specifications
Электроакустика. Шумомеры. Часть 1. Технические требования
ISO/IEC Guide 98-3:2008, Uncertainty of measurement - Part 3: Guide to the expression of uncertainty in measurement (GUM: 1995)
Неопределенность измерений. Часть 3. Руководство по выражению неопределенности измерения (GUM:1995)
В настоящем стандарте применены следующие термины с соответствующими определениями:
3.1 излучение (emission): Распространяющийся по воздуху (воздушный) акустический шум, созданный определенным источником, например, испытуемой машиной.
Примечание - Шумовые характеристики машины могут быть указаны на машине и/или в технической документации. К основным шумовым характеристикам относят уровень звуковой мощности и уровни звукового давления излучения на рабочем месте и в других контрольных точках вблизи источника шума.
3.2 звуковое давление излучения p (emission sound pressure): Звуковое давление на рабочем месте или в другой контрольной точке вблизи источника шума, когда он установлен и работает в заданном режиме над звукоотражающей плоскостью, исключая вклад фонового шума и отражений от поверхностей, кроме тех, что необходимы по условиям испытаний.
Примечание - Звуковое давление излучения выражается в паскалях (Па).
3.3 уровень звукового давления излучения Lp (emission sound pressure level): Десятикратный десятичный логарифм отношения квадрата звукового давления излучения p и опорного звукового давления p0 (p0 = 20 мкПа), выраженный в децибелах по формуле

. (1)
Примечание - Для определения уровня звукового давления излучения на рабочем месте и в других контрольных точках руководствуются испытательным кодом по шуму, при его отсутствии используют один из стандартов серии ISO 11200
[15] - ISO 11205
[19].
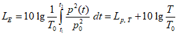
3.4 эквивалентный уровень звукового давления излучения Lp, T (time-averaged emission sound pressure level): Десятикратный десятичный логарифм отношения усредненного на заданном временном интервале (от момента времени t1 до t2) квадрата звукового давления излучения p к квадрату опорного звукового давления p0, выраженный в децибелах по формуле

(2)
Примечание 1 - Для простоты подстрочный индекс T в обозначении эквивалентного уровня звукового давления Lp, T далее опущен.
Примечание 2 - Если измеряемые величины получены с применением частотных или временных характеристик, установленных в IEC 61672-1, а также в случае измерений в заданной полосе частот, это отражается соответствующими подстрочными индексами, например, LpA обозначает уровень корректированного по A звукового давления излучения (далее - уровень звука A излучения).
Примечание 3 -
Формула (2) определяет также эквивалентный непрерывный уровень звукового давления (ISO 1996-1
[1]). Однако определенная выше величина характеризует собственный шум испытуемого источника, излучаемый им в стандартных условиях работы и в определенном испытательном пространстве.
3.5 пиковое звуковое давление излучения ppeak (peak emission sound pressure): Наибольшая абсолютная величина звукового давления излучения на заданном временном интервале.
Примечание 1 - Пиковое звуковое давление излучения выражают в паскалях (Па).
Примечание 2 - Пиковое звуковое давление излучения может соответствовать положительному или отрицательному значению звукового давления.
3.6 пиковый уровень звукового давления излучения Lp, peak (peak emission sound pressure level): Десятикратный десятичный логарифм отношения квадрата пикового звукового давления излучения ppeak к опорному звуковому давлению p0, выраженный в децибелах (дБ) по формуле

. (3)
Примечание - Пиковый уровень звукового давления излучения является, как правило, корректированным по C и обозначается как LpC, peak.
3.7 уровень звукового давления излучения однократного шумового процесса
LE (single event emission sound pressure level): Десятикратный десятичный логарифм нормированного на опорный временной интервал
T0 = 1 с интеграла отношения квадрата звукового давления излучения
p(t) отдельного шумового события (звукового импульса или переходного процесса) за время его продолжительности
T (или определенный интервал измерения
T =
t2 -
t1, соответствующий шумовому процессу) к квадрату опорного звукового давления
p0, выраженный в децибелах (дБ) по формуле

. (4)
Примечание - Формула (4) определяет также уровень звукового воздействия (ISO/TR 25417:2007
[21], 2.7). Однако определенная выше величина характеризует собственный шум испытуемого источника, излучаемый им в стандартных условиях работы и в определенном испытательном пространстве.
3.8 свободное (звуковое) поле над звукоотражающей плоскостью (acoustic free field over a reflecting plane): Звуковое поле в однородной изотропной среде в полупространстве над бесконечной звукоотражающей плоскостью в отсутствии объектов, влияющих на распространение звуковых волн.
3.9 диапазон частот измерений (frequency range of interest): В общем случае диапазон частот, включающий в себя октавные полосы со среднегеометрическими частотами (номинальными) от 125 до 8000 Гц или третьоктавные полосы со среднегеометрическими частотами от 100 до 10000 Гц.
Примечание 1 - Определение модифицировано по отношению к статье 3.10 ISO 6926:1999
[9].
Примечание 2 - В особых случаях диапазон частот может быть расширен или сокращен при условии, что испытательное пространство и средства измерений удовлетворяют требованиям настоящего стандарта. Изменение диапазона частот измерений должно быть отражено в протоколе испытаний. Для источников, которые излучают звук преимущественно высоких или низких частот, диапазон частот должен быть расширен в область, включающую в себя данные частоты.
3.10 рабочее место (положение оператора) (work station, operation's position): Место оператора вблизи испытуемой машины.
3.11 оператор (operator): Лицо, чье рабочее место и выполняемые функции связаны с данной машиной.
3.12 контрольная точка (specified position): Определенное положение (место) относительно машины, например, место оператора.
Примечание 1 - Положение может представлять собой одну фиксированную точку или совокупность точек вдоль траектории или поверхности, расположенной на указанном расстоянии от машины, как это установлено в соответствующем испытательном коде по шуму (при его наличии).
Примечание 2 - Точки около рабочего места или вблизи необслуживаемой машины называют точками наблюдения.
Примечание 3 - Далее термин "контрольная точка" означает любое возможное положение из перечисленных в
1.4.
3.13 длительность рабочей операции (operational period): Интервал времени, в течение которого испытуемая машина выполняет определенную рабочую операцию.
Пример - Для посудомоечной машины рабочими операциями являются мойка, ополаскивание или сушка.
3.14 рабочий цикл (operational cycle): Длительность определенной последовательности рабочих операций, однократно или многократно выполняемых испытуемой машиной.
Пример - Рабочий цикл посудомоечной машины состоит из суммарной длительности последовательно выполняемых рабочих операций мойки, ополаскивания и сушки.
3.15 продолжительность измерений (measurement time interval): Период времени, включающий в себя часть рабочего цикла или несколько рабочих циклов машины, в течение которых проводят измерения эквивалентного или максимального уровня звукового давления.
3.16 уровнеграмма (time history): График уровня звукового давления излучения как функции времени, полученный в ходе одного или нескольких рабочих операций или рабочих циклов.
3.17 фоновый шум (background noise): Шум всех источников, кроме испытуемого.
Примечание - Фоновый шум может включать в себя воздушный шум, структурный шум излучения вибрирующих поверхностей, электрический шум средств измерений.
3.18 коррекция на фоновый шум K2 (background noise correction): Поправка к измеренным уровням звукового давления, вносимая для учета влияния фонового шума.
Примечание 1 - K1 выражают в децибелах (дБ).
Примечание 2 - Коррекция на фоновый шум зависит от частоты. Например, при измерениях в широкой полосе с коррекцией по частотной характеристике A коррекцию на фоновый шум обозначают K1A.
3.19 огибающий параллелепипед (reference box): Воображаемый прямоугольный параллелепипед наименьшего объема, опирающейся одной гранью на звукоотражающую плоскость (или несколькими гранями на несколько звукоотражающих плоскостей) и заключающий в себе все элементы испытуемого источника шума, излучение которых дает существенный вклад в общий шум источника, вместе с испытательным столом (стендом), на котором установлен источник шума.
3.20 измерительная поверхность SM (reference measurement surface): Воображаемая поверхность, охватывающая испытуемый источник шума, со сторонами параллельными и эквидистантными сторонам огибающего параллелепипеда, и оканчивающаяся на звукоотражающей плоскости (плоскостях).
3.21 коррекция на свойства испытательного пространства
K2 (environmental correction): Поправка к усредненному (методом энергетического суммирования) по точкам измерений (местам установки микрофонов) эквивалентному уровню звукового давления на измерительной поверхности, вносимая для учета влияния отраженного звука, выраженная в децибелах (дБ).
Примечание 1 - Коррекция на свойства испытательного пространства зависит от частоты. Например, при измерениях в широкой полосе с коррекцией по частотной характеристике A коррекцию на свойства испытательного пространства обозначают K2A.
Примечание 2 - В общем случае K2 определяется на измерительной поверхности и используется только для подтверждения качества испытательного пространства.
3.22 показатель направленности рабочего места DI, op (work station directivity index): Величина, характеризующая степень направленности излучения звука испытуемым источником шума в направлении рабочего места (положения оператора) относительно излучения, усредненного по всей измерительной поверхности, выраженная в децибелах (дБ) и определяемая по формуле

, (5)
где Lp - уровень звукового давления излучения на рабочем месте оператора,

- средний на измерительной поверхности уровень звукового давления (в соответствии с ISO 3744).
Примечание - Данные уровни измеряют в условиях существенно свободного звукового поля над звукоотражающей поверхностью и, таким образом, должны быть подвергнуты коррекции на фоновый шум и на свойства испытательного пространства.
3.23 фактический показатель направленности рабочего места

(apparent work station directivity index): Показатель направленности рабочего места
DI, op, корректированный на фоновый шум, выраженный в децибелах (дБ) по формуле

, (6)
где

- уровень звукового давления на рабочем месте оператора, корректированный на фоновый шум, без коррекции на свойства испытательного пространства;

- средний на измерительной поверхности уровень звукового давления, корректированный на фоновый шум, без коррекции на свойства испытательного пространства.
3.24 локальная коррекция на испытательное пространство K3 (local environmental correction): Поправка к измеренным на рабочем месте уровням звукового давления, вносимая для учета влияния отраженного звука, выраженная в децибелах (дБ).
Примечание 1 - При измерениях в широкой полосе с коррекцией по частотной характеристике A локальную коррекцию на испытательное пространство обозначают K3A.
Примечание 2 - K3A зависит от частоты.
4.1 Общие положения
Измерительная система, включая микрофоны, соединительные кабели и ветрозащитные экраны, должна соответствовать требованиям к средствам измерений 1-го класса по IEC 61672-1:2002, а электронные фильтры - фильтрам 1-го класса по IEC 61260:1995.
При измерениях ориентировочным методом могут быть применены шумомеры 2-го класса.
4.2 Калибровка
До и после каждой серии измерений проверяют калибровку измерительной цепи на одной или нескольких частотах в пределах диапазона частот измерений с использованием акустического калибратора, удовлетворяющего требованиям IEC 60942:2003 для калибраторов 1-го класса. Разность показаний до и после проведения измерений не должна превышать 0,5 дБ. Если данное требование не соблюдено, то результаты измерений считают недостоверными.
Межповерочный интервал для шумомера указан в технической документации изготовителя.
5. Испытательное пространство
5.1 Общие положения
Испытательное пространство, удовлетворяющее требованиям 5.2,
5.4,
5.6 и
приложения A, является пригодным для измерений в соответствии с настоящим стандартом.
5.2 Критерий соответствия испытательного пространства
Коррекция на свойства испытательного пространства
K2A, определенная в соответствии с ISO 3744 и ISO 3746, для выполнения измерений в соответствии с настоящим стандартом не должна превышать 7 дБ. Дополнительные требования к испытательному пространству в части локальной коррекции
K3A (см.
5.6) приведены в
приложении A.
Если
K2A > 7 дБ, следует улучшить акустические характеристики испытательного пространства, либо применять методы измерений по ISO 11205
[19].
5.3 Закрытые рабочие места
Когда оператор находится в закрытой кабине машины или за отдельным ограждением, кабину или ограждение рассматривают как неотъемлемую часть источника шума и, следовательно, отражения звука в кабине или внутри ограждения дают вклад в суммарный уровень звукового давления излучения машины.
Во время измерений шума двери и окна кабины или ограждения должны быть открыты или закрыты, как это указано в испытательном коде по шуму.
В
A.2 и
A.3 (приложение A) приведено руководство по расчету локальной коррекции на испытательное пространство
K3 с использованием фактического показателя направленности рабочего места

. Последнюю величину определяют по
формуле (6), причем

в этой
формуле - уровень звукового давления, измеренный в точке вне кабины на некотором расстоянии от источника шума, сопоставимом с дистанцией между источником и кабиной. Во всех случаях, когда шум в кабине обусловлен проникновением в нее внешнего шума по воздуху, уровень шума в области головы оператора в кабине определяется звуковым полем вне ее. Если уровни излучения в кабине зависят от положения микрофона, то, по крайней мере, требуется четыре точки измерений, чтобы оценить звуковое поле в соответствующей части кабины. Эти точки должны быть описаны в соответствии с
12.6
5.4 Требования к уровню фонового шума
Уровень звука A или звуковое давление в полосах частот фонового шума (включая шум ветра), измеренный в точке (точках) размещения микрофона, должен не менее чем на 6 дБ для технического метода или на 3 дБ для ориентировочного метода быть ниже некорректированного уровня звукового давления испытуемого источника, измеренного в присутствии фонового шума.
В противном случае результаты измерений все же могут быть признаны достоверными и включены в протокол, но их точность будет ниже. При этом в протоколе должно ясно указано, что требования настоящего стандарта на фоновый шум не соблюдены во всем диапазоне частот измерений или для отдельных частотных полос, если измерения в полосах были выполнены. Кроме того, протокол не должен содержать явно или подразумевать утверждения о том, что измерения были сделаны в "полном соответствии" с настоящим стандартом.
Для измерений в полосах частот в
приложении B приведены дополнительные критерии на фоновый шум.
5.4.2 Коррекции на фоновый шум
Измеренные уровни звукового давления (корректированные по A или в полосах частот) должны быть уменьшены на величину K1, выраженную в децибелах (дБ) и вычисленную по формуле

, (7)
где

- разность между измеренными уровнями звукового давления на рабочем месте с включенным и выключенным источником шума соответственно.
В настоящем стандарте принимают
K1 = 0, если

.
Если

в одной или нескольких октавных или третьоктавных полосах частот, то точность результатов технического метода уменьшается на величину
K1 = 1,3 дБ, рассчитанную по
формуле (7) при

.
Если

в одной или нескольких октавных или третьоктавных полосах частот, то точность результатов ориентировочного метода уменьшается на величину
K1 = 3 дБ, рассчитанную по
формуле (7) при

.
В обоих случаях в протоколе испытаний должно быть явно указано в графической и табличной форме, что результаты измерений в таких полосах являются верхними границами уровня звукового давления излучения для соответствующего по точности метода измерений. Если требования на фоновый шум для технического метода не выполнены, возможно их выполнение для ориентировочного метода. При этом если все другие требования выполнены, окончательный результат может быть заявлен соответствующим по точности ориентировочному методу настоящего стандарта.
Значение K1 определяют для каждого рабочего места.
Условия внешней среды могут негативно воздействовать на микрофон, используемый для измерений. Воздействие таких факторов как сильные электрические или магнитные поля, ветер, высокие или низкие температуры или воздушный выхлоп машины должно быть исключено надлежащим выбором микрофона или местом его расположения <*>.
--------------------------------
<*> Параметры внешней среды должны соответствовать тем, что указаны в технической документации применяемых средств измерений шума.
На высотах не выше 500 м над уровнем моря и в диапазоне температур воздуха от минус 20 до 40 °C уровни звукового давления излучения к нормальным атмосферным условиям не приводят. Для высот свыше 500 м и температур вне указанного диапазона измеренное звуковое давление излучения, как и для точного метода, приводят к нормальным атмосферным условиям:
pamb, 0 = 1,01325 x 105 Па,

.
Приведенный к нормальным атмосферным условиям уровень звукового давления Lp, 0, дБ, рассчитывают по формуле

, (8)
где pamb - атмосферное давление в паскалях (Па) в месте и во время испытаний,

- температура воздуха в кельвинах (К) в месте и во время испытаний.
5.6 Локальная коррекция на испытательное пространство и степень точности метода
В
приложении A дана процедура определения локальной коррекции
K3 учитывающей влияние отраженного звука, излучаемого источником на рабочем месте.
Для применения метода по
приложению A необходимо располагать данными об уровне звукового давления в определенном количестве точек вокруг источника шума, а также данными об акустических свойствах испытательного помещения. Измерения могут считаться выполненными в соответствии с настоящим стандартом только в случае, если
K3A не превышает 7 дБ. А именно, для результатов, соответствующих техническому методу измерений,
K3A не должно превышать 4 дБ, для ориентировочного метода - 7 дБ.
Примечание - Если локальная коррекция на испытательное пространство превышает 7 дБ, точность результатов является низкой. В любом случае значения K3 должны быть зарегистрированы и использоваться для определения верхней границы уровня звукового давления излучения на рабочем месте.
К основным величинам, которые измеряют на каждом рабочем месте за операционный интервал или цикл, относятся:
- уровень звука
A 
(штрих означает измеренные значения);
- при необходимости пиковый уровень звука
C 
.
Уровни звукового давления, корректированные с использованием другой частотной характеристики или в октавных (третьоктавных) полосах, как и прочие зависящие от времени характеристики шума (уровень звукового давления как функция времени и т.п.), могут также быть измерены, если это требуется, например, для малошумных машин.
Величиной, подлежащей определению, является уровень звука A излучения. Кроме того, также могут быть определены уровни звукового давления излучения в полосах частот.
Определение уровней звукового давления излучения на рабочем месте (местах) выполняют путем учета поправок на фоновый шум K1 и на испытательное пространство K3 к измеренным значениям. Для пиковых уровней LpC, peak поправки не применяют.
Поправки применяют с учетом вида коррекции и полосы частот, в которых проведены измерения. Для звукового давления в полосах частот и уровней звука A излучения применяют формулы, соответственно

,

, (9)
где символы со штрихами означают измеренные значения, без штриха - корректированные уровни звукового давления излучения.
Если рабочее место (внутри или вне ограждения) расположено вблизи машины, учет поправок на испытательное пространство не требуется.
Если испытуемый источник излучает единичные звуковые импульсы, уровень звукового давления излучения однократного шумового процесса
LE (см.
3.7) рассчитывают с учетом поправки на фоновый шум и локальной коррекции на испытательное пространство.
8. Установка и работа испытуемого источника шума
Способ установки испытуемого источника и условия его работы во время испытаний могут оказывать существенное влияние на результаты измерений. Соблюдение требований настоящего раздела позволяет минимизировать изменчивость излучения шума источником, обусловленную способом его установки и условиями работы. При наличии испытательного кода по шуму, в котором детально описаны условия размещения, установки и режим работы машин определенного вида, при их испытаниях следует руководствоваться испытательным кодом. При измерении уровней звукового давления излучения эти условия должны быть такими же, как и при измерении уровней звуковой мощности. Испытательный код по шуму может содержать исключения к данному требованию для машин, которые установлены на столах (стендах). Такие машины могут устанавливаться на полу во время определения звуковой мощности или на столе (стенде) во время измерения уровня звукового давления излучения.
Необходимо определить (особенно для крупногабаритных машин), какие именно элементы (узлы, вспомогательные устройства, источники питания и т.п.) являются неотъемлемой частью источника с точки зрения излучаемого ими шума.
Для источников, уровень шума которых зависит от температуры окружающей среды (например, включающие в себя вентиляторы с регулируемой скоростью вращения), температура окружающего воздуха во внешней среде в непосредственной близости от источника должна поддерживаться на уровне (23 +/- 2) °C.
8.2 Положение источника
Испытуемый источник шума должен быть установлен как для работы в обычном режиме в одной или нескольких точках звукоотражающей плоскости. Источник должен быть удален от стен, потолка или других отражающих объектов, если иное не предусмотрено его обычным режимом работы.
Типичные условия испытаний некоторых машин могут предусматривать наличие двух и более звукоотражающих плоскостей (например, для машины, устанавливаемой у стены), наличие свободного пространства (например, для работы грузоподъемного механизма) или вертикальную звукоотражающую плоскость с отверстием в ней так, чтобы излучение могло распространяться в обе стороны от плоскости. При размещении источника шума следует руководствоваться требованиями настоящего стандарта и соответствующего испытательного кода по шуму (при его наличии).
8.3 Условия установки источника
8.3.1 Общие положения
Условия установки источника на опорную поверхность существенно влияют на излучение шума. Если существуют типовые способы монтажа испытуемого источника для его работы в нормальных условиях, то их по возможности следует применять при испытаниях.
Если типовых способов установки не существует или они не могут быть применены в испытаниях, следует убедиться, что выбранный способ установки не приводит к изменению шума данного источника. Следует выбирать такие способы, при которых вклад излучения опорной конструкции минимален. Должны быть приняты меры по уменьшению излучения звука от конструкции, на которой установлен источник.
Часто источники шума малых размеров со слабым излучением низкочастотного шума при неудачном выборе способа крепления могут передавать значительную низкочастотную вибрацию в опорную конструкцию, обладающую хорошей акустической излучательной способностью в области низких частот. В таком случае между испытуемым источником и опорной конструкцией рекомендуется использовать виброизолирующие прокладки. При этом опорная конструкция должна обладать высокой жесткостью (т.е. иметь значительный входной механический импеданс), чтобы предотвратить возбуждение в ней колебаний, являющихся причиной ее звукового излучения. Виброизолирующие прокладки применяют, если это предусмотрено типичными условиями применения машины.
Примечание - Излучение шума испытуемого источника может зависеть также от сопряжения механизмов (например, привода и машины).
8.3.2 Ручные машины
Ручную машину во время испытаний удерживает оператор или ее подвешивают таким образом, чтобы исключить передачу на нее вибрации через любые вспомогательные приспособления, не являющиеся ее частью. Если для нормальной работы машины требуется опора, то она должна быть малых размеров и рассматриваться как часть испытуемого источника. Вид опоры описывают в испытательном коде по шуму (при его наличии).
При испытаниях в рабочем режиме электроинструментов, например, для резки материала, источником вибрации и шума может быть заготовка разрезаемого материала.
8.3.3 Машины настенные и устанавливаемые на основание
Машины данного вида при испытаниях устанавливают на звукоотражающую (акустически жесткую) плоскость (пол или стену). Машины, которые в условиях применения требуется устанавливать на специальное основание у стены, при испытаниях устанавливают на акустически жесткую плоскость перед акустически жесткой стеной. Испытуемый настольный станок или другое настольное оборудование устанавливают на стол или стенд согласно соответствующему испытательному коду по шуму (при его наличии). Испытательный стол или стенд должны находиться на расстоянии не менее 1,5 м от любой звукопоглощающей поверхности испытательного пространства. Испытуемую машину устанавливают в центре стандартного испытательного стола, конструкция которого приведена в
приложении E.
8.4 Вспомогательное оборудование
Следует убедиться, что вспомогательное оборудование (кабели, трубопроводы, воздуховоды и т.п.), соединенное с испытуемым источником, не излучает значительную звуковую энергию в испытательное пространство.
По возможности все вспомогательное оборудование, необходимое для работы источника шума во время испытаний, но не составляющее его неотъемлемую часть (см.
8.1), следует разместить за пределами испытательного пространства. Если это трудновыполнимо, то принимают меры, чтобы максимально снизить шум оборудования. При невозможности удалить вспомогательное оборудование, или существенно снизить его шум, его считают составной частью испытуемого источника и заносят данную информацию в протокол испытаний.
8.5 Работа машины в ходе испытаний
На уровень звукового давления излучения машины могут влиять приложенная нагрузка, рабочая скорость и режим ее работы. По возможности источник испытывают в условиях типичного применения, когда его шум максимален и, с другой стороны, обеспечивающих воспроизводимость результатов измерений. При наличии испытательного кода по шуму руководствуются установленными в нем требованиями к условиям работы источника, а при его отсутствии испытания проводят в одном или нескольких следующих режимов:
a) в заданном режиме работы при заданной нагрузке;
b) при максимальной нагрузке, если она отличается от указанной выше;
c) на холостом ходу;
d) на максимальной рабочей скорости при заданных условиях;
e) в типовом режиме работы, когда шум источника максимален;
f) в заданном режиме работы с моделируемой нагрузкой;
g) с воспроизведением типового рабочего цикла.
До проведения измерений уровня звукового давления источник шума должен быть стабилизирован в заданном режиме, включая температурную стабилизацию источника питания и системы привода. Нагрузку, скорость и другие эксплуатационные характеристики в процессе испытаний либо поддерживают постоянными, либо циклически изменяют установленным образом.
Если шум машины зависит от других факторов, таких как обрабатываемый материал или применяемый вставной инструмент, то их выбирают таким образом, чтобы они по возможности соответствовали типичным условиям применения машины и при этом обеспечивали наименьший разброс результатов измерений. При испытаниях с моделированием нагрузки ее выбирают так, чтобы шум источника был представителен нормальным условиям применения машины.
Контрольные точки, в которых проводят измерения уровня звукового давления, должны быть выбраны в соответствии с
9.2 -
9.5.
В соответствии с IEC 61672-1 опорное направление микрофона, указанное в технической документации, должно совпадать с направлением падения звука.
По возможности уровень звукового давления излучения должен измеряться без необходимости контроля за работой испытуемой машины и сохранением опорного направления микрофона, ориентированного на преобладающий источник шума.
Для микрофонов свободного поля (откалиброванных при нормальном падении на мембрану микрофона плоской звуковой волны), ось микрофона должна быть ориентирована в направлении преобладающего источника шума. Для микрофонов диффузного поля его ось должна быть ориентирована под прямым углом к направлению на преобладающий источник шума.
Если операторы машины присутствуют при испытаниях, они не должны носить одежду с высоким звукопоглощением, головной убор или шарф (кроме защитного шлема, требующегося по соображениям безопасности, или фурнитуры для крепления микрофона), которые могут влиять на измерения шума.
Микрофон должен быть расположен на расстоянии (0,20 +/- 0,02) м от центральной плоскости головы оператора на одной линии с его глазами на стороне с более высоким уровнем звука
A 
. Ось микрофона должна быть параллельна линии зрения оператора.
Если уровень звукового давления обладает пространственной зависимостью, рекомендуется за результат измерения уровня звукового давления взять среднюю величину по малой области [например, размерами (0,5 x 0,5) м], параллельной элементу поверхности огибающего параллелепипеда и расположенной в центре рабочего места.
Если иное не предусмотрено испытательным кодом по шуму, положения оператора должны определяться в соответствии с 9.2 -
9.5.
9.2 Расположение микрофона для сидячего оператора
Если оператор отсутствует во время испытаний, и его сиденье крепится к машине, то микрофон должен быть расположен на высоте (0,80 +/- 0,05) м от середины плоскости сиденья, если иное не указано в испытательном коде по шуму.
В случае, когда сиденье оператора крепится к испытуемой машине, положение (положения) микрофона должно быть указано в испытательном коде по шуму или в протоколе испытаний, если код по шуму отсутствует.
Если испытания выполняют в присутствии оператора, то микрофон устанавливают в точки, указанные в
9.1. При этом измерительная система не должна мешать оператору управлять машиной.
9.3 Расположение микрофона для стоящего неподвижного оператора
Если оператор присутствует при испытаниях, применяют требования
9.1. Если в испытательном коде по шуму отсутствуют сведения о положении оператора, то положение микрофона определяют по отношению к месту обычного нахождения оператора. Микрофон должен быть расположен на высоте (1,55 +/- 0,075) м над проекцией на пол центра головы оператора. Конкретная высота обычно указывается в испытательном коде по шуму.
9.4 Положения микрофона для оператора, перемещающегося по определенному маршруту
В тех случаях, когда оператор перемещается вдоль заданного пути вблизи испытуемого источника, для определения уровня звукового давления по указанному пути следует применять перемещаемый микрофон или необходимое число микрофонов в дискретных точках пути. Результат измерения определяют с помощью непрерывного интегрирования уровня звукового давления, измеряемого перемещаемым вдоль пути микрофоном, или усреднением по
формуле (10) уровней звукового давления, измеряемых в определенные интервалы времени в дискретных точках пути.
Линию пути определяют как проекцию на пол центра головы оператора при его движении по типичной траектории. Микрофоны располагают на высоте (1,55 +/- 0,075) м над линией пути, если иная высота не указана в испытательном коде по шуму.
В случае фиксированных положений микрофонов они должны быть равномерно распределены вдоль пути. Расстояние между микрофонами не должно превышать 2 м. Положение микрофонов или путь должны быть указаны в испытательном коде по шуму или в протоколе испытаний. За уровни звукового давления излучения источника в результате испытаний принимают энергетическое среднее по положениям микрофонов.
9.5 Положения микрофона для наблюдателей или для необслуживаемой машины
Если положение оператора не определено, должны быть обозначены гипотетическое рабочее место или одно или более положений наблюдателя. Испытательный код по шуму обычно содержит подобного рода информацию.
В случае, когда положения наблюдателя или гипотетическое рабочее место не установлено в испытательном коде по шуму, измерения проводят в четырех или более положениях микрофона, расположенных на расстоянии 1 м с каждой стороны огибающего параллелепипеда (см.
3.19) на высоте (1,55 +/- 0,075) м от пола. Максимальное значение уровня звукового давления излучения принимают за уровень звукового давления излучения испытуемого источника. Положение, где это значение зафиксировано, указывают в протоколе испытаний.
Вместо использования дискретных позиций допускается рассчитывать уровень звукового давления на измерительной поверхности на основе звуковой мощности в соответствии с ISO 11203
[18].
Испытательным кодом по шуму может быть предусмотрено в качестве уровня звукового давления излучения испытуемого источника принимать среднее энергетическое от уровней звукового давления в четырех или более положениях микрофона.
10.1 Продолжительность измерений
10.1.1 Общие положения
Общую продолжительность измерения следует выбирать из условия достаточности времени для определения требуемого уровня звукового давления излучения и временных характеристик звукового излучения в заданных точках при установленном режиме работы.
Для машин с заданным циклом работы обычно необходимо расширить интервал измерения до суммарной продолжительности циклов всех последовательных операций.
Общий интервал измерения должен соответствовать лишь тем периодам работы, для которых требуется определить уровень звукового давления излучения и временные характеристики звукового излучения.
Общий интервал измерения, необходимые операционные интервалы измерения и число циклов операций, входящие в общий интервал измерения, обычно определяют из испытательного кода по шуму. В любом случае интервалы измерений должны быть такими же, как при определении уровня звуковой мощности испытуемой машины.
10.1.2 Постоянный шум
Если шум машины на рабочем месте или в контрольной точке постоянный (см. ISO 12001) при заданном режиме работы, то продолжительность измерений должна быть не менее 10 с.
Если при заданном режиме работы шум машины в заданном месте не постоянный, то следует определить и указать в протоколе испытаний продолжительность измерений и длительности рабочих операций испытуемой машины. Эти величины, как правило, указаны в испытательном коде по шуму (при его наличии).
10.1.4 Измерения в полосах частот
Если измерения выполняют в октавных или третьоктавных полосах частот, минимальное время измерения в каждой точке расположения микрофона должно быть не менее 30 с для частотных полос со среднегеометрической частотой не выше 160 Гц и 10 с для частотных полос со среднегеометрической частотой 200 Гц и выше. Для непостоянных шумов применяют требования
10.1.3.
10.1.5 Суммирование длительностей рабочих операций
Для конкретной испытуемой машины общая продолжительность измерений T может складываться из частных интервалов измерения Ti, каждый из которых соответствует длительности определенной рабочей операции машины. В этом случае определяют средний по энергии уровень звукового давления излучения от уровней звукового давления излучения (корректированных по A или в полосах частот) для каждой рабочей операции в соответствии с формулой

, (10)
где
T - общая продолжительность измерения

,
Ti - частный интервал измерения,
N - число рабочих операций,

- уровень звукового давления излучения (корректированный по
A или в полосах частот), измеренный на частном интервале измерения
Ti.
10.2 Выполнение измерений
10.2.1 Общие положения
Уровни звукового давления измеряют на рабочих местах машины во время ее работы в установленном режиме (см.
10.1). К измеренным значениям применяют коррекции на фоновый шум и на свойства испытательного пространства в соответствии с
формулой (9). Средства измерений должны соответствовать требованиям
раздела 4.
10.2.2 Повторение измерений
Для того чтобы уменьшить неопределенность уровней звукового давления излучения на рабочем месте (местах) для машин определенного типа измерения повторяют несколько раз, как указано в испытательном коде по шуму. Величина (например, среднее или максимальное значение), которое будет использоваться после повторных измерений, должно быть также установлено в испытательном коде по шуму. Повторение измерений включает в себя следующие операции:
a) испытуемую машину останавливают и снова запускают;
b) микрофон убирают и снова устанавливают на рабочем месте;
c) измерение выполняют в том же испытательном пространстве, теми же средствами измерения, с той же продолжительностью измерения и для тех же условий монтажа и режимов работы машины.
10.2.3 Измерения для импульсного шума
Если шум импульсный, требуется обеспечить необходимый для измерений динамический диапазон средств измерения. Шумомер должен быть оснащен индикатором перегрузки.
Для измерения временных характеристик импульсного шума (например, пиковых значений), в дополнение к процедуре по
10.2.2 за время измерения должны быть измерены не менее 10 импульсов, если иное не указано в испытательном коде по шуму.
Окончательно регистрируемой величиной обычно является среднее значение. Если измеряют амплитуду импульсов, то за результат принимают максимальное из амплитудных значений, если испытательный код по шуму не определяет более точную процедуру.
Если источник шума излучает единичные импульсы, то на рабочем месте определяют уровень звукового давления излучения
LE однократного шумового процесса (см.
3.7).
11. Неопределенность измерения
11.1 Методология
Стандартную неопределенность уровня звукового давления излучения
u(
Lp), выраженную в децибелах (дБ), определяют в соответствии с настоящим стандартом как общее стандартное отклонение


. (11)
Общее стандартное отклонение рассчитывают на основании модели измерений в соответствии с Руководством ISO/IEC 98-3. При отсутствии необходимых сведений, позволяющих построить такую модель, прибегают к результатам сравнительных испытаний, выполненных в условиях воспроизводимости.
Тогда общее стандартное отклонение

рассчитывают через стандартное отклонение воспроизводимости

и стандартное отклонение

, характеризующее нестабильность условий работы и установки испытуемой машины, по формуле

. (12)
Из формулы (12) видно, что, прежде чем выбрать метод измерений заданной степени точности, характеризуемого значением

для данного семейства машин, необходимо учесть возможный разброс результатов, обусловленный изменениями условий работы и установки машин [см.
11.5 и
раздел C.3 (приложение C)].
Примечание - Результаты измерений разными методами, установленными стандартами серии ISO 11200
[15] - ISO 11200
[19], могут быть смещены друг относительно друга.
Расширенную неопределенность измерения
U рассчитывают по общему стандартному отклонению

по формуле

, (13)
где k - коэффициент охвата.
Расширенная неопределенность зависит от требуемого уровня доверия. В предположении, что результат измерений может быть описан нормально распределенной случайной величиной, коэффициент охвата k принимают равным двум, что приблизительно соответствует вероятности охвата 95%. Это означает, что интервалу охвата от (Lp - U) до (Lp + U) для уровня звукового давления излучения будет соответствовать 95% площади под кривой плотности распределения случайной величины.
Если измеренный уровень звукового давления предполагается сопоставлять с неким предельным значением, то иногда может быть более уместно определить односторонний интервала охвата для указанной случайной величины. В этом случае при уровне доверия 95% значение коэффициента охвата будет равно k = 1,6.
11.2 Определение

Стандартное отклонение

[см.
формулу (C.1) в приложении C], характеризующее неопределенность, связанную с нестабильностью воспроизведения условий работы и установки источника шума, может давать существенный вклад в неопределенность измерения уровня звукового давления. Для получения оценки

можно провести серию повторных измерений для одного и того же источника шума в одном и том же месте размещения одним и тем же испытателем, используя одну и ту же измерительную систему и одну и ту же точку (или точки) измерений. Измеренные уровни звукового давления

не требуют какой-либо коррекции. Перед каждым повторным измерением испытуемый источник устанавливают заново и заново устанавливают необходимый режим работы. Если испытания проводят для единственного экземпляра источника шума, то полученное по повторным измерениям выборочное стандартное отклонение обозначают

. В соответствующем испытательном коде по шуму может быть приведена оценка

для семейства машин. Можно ожидать, что такая оценка была получена с учетом всех возможных источников вариативности в установке и условиях работы, на которые распространяется данный испытательный код.
Примечание - Если звуковое излучение мало изменяется в процессе повторных измерений, а измерения проведены правильно, то величине

можно приписать значение 0,5 дБ. В других случаях, например, когда на шум испытуемого источника существенное влияние оказывает обрабатываемый или производимый материал, а также при непредсказуемых изменениях в потреблении или производстве материала, подходящей оценкой

можно считать 2 дБ. Но в особых случаях очень сильной зависимости шума от свойств обрабатываемого материала (когда испытуемым источником шума являются такие машины, как камнедробилки, металлорежущие станки или прессы, работающие под нагрузкой) эта величина может достигать 4 дБ.
11.3 Определение

11.3.1 Общие положения
Стандартное отклонение

характеризует все источники неопределенности, которые могут оказать влияние на результаты измерений, проводимых в соответствии с настоящим стандартом (различия в характеристиках излучения источников шума, в применяемых средствах измерений, в измерительной методике), за исключением нестабильности звукового излучения источника шума (последний фактор учитывается с помощью величины

).
Обобщение накопленного к данному времени опыта испытаний позволило установить оценки

, которые приведены в
таблице 1. Эти оценки можно считать верхними оценками для большинства машин и оборудования, на которое распространяется настоящий стандарт. Для машин конкретного вида могут быть получены уточненные оценки путем проведения межлабораторных сравнительных испытаний (см. 11.3.2) или путем использования математического моделирования (см.
11.3.3). Такие оценки приводят в испытательных кодах по шуму для машин конкретных видов (см.
11.2 и
приложение C).
11.3.2 Межлабораторные сравнительные испытания
Межлабораторные испытания для определения

проводят в соответствии с ISO 5725, когда уровни звуковой мощности источника шума определяют в условиях воспроизводимости, т.е. с участием разных специалистов, проводящих измерения в разных местах расположения источника шума разными средствами измерений. Такой эксперимент позволяет получить оценку

общего стандартного отклонения для источника шума, рассылаемого лабораториям - участникам эксперимента. Предполагается, что в межлабораторных испытаниях будет обеспечена вариативность всех существенных факторов, которые могут оказать влияние на результат измерений звуковой мощности данного источника шума.
Полученная в результате межлабораторных испытаний оценка

, дБ, включает в себя оценку

, дБ, что позволяет получить оценку

по формуле

. (14)
Если оценки

, полученные в результате испытаний разных экземпляров источника шума данного вида, незначительно отличаются, то их среднее можно рассматривать как оценку

для всех источников шума данного вида в измерениях, проводимых в соответствии с настоящим стандартом. Такую оценку (вместе с оценкой

) следует по возможности указывать в испытательном коде по шуму и использовать для заявления шумовой характеристики машин.
Если межлабораторные испытания не проводились, то для правдоподобной оценки

используют накопленные знания об измерениях шума машин данного вида.
Иногда затраты на проведение межлабораторных испытаний можно сократить, исключив требование проведения измерений в разных местах расположения источника шума. Это можно сделать, например, если источник шума обычно устанавливают в условиях, когда коррекции на фоновый шум
K1 и на испытательное пространство
K3 невелики, или если целью испытаний является подтверждение значения шумовой характеристики машины при ее работе в заданном месте расположения. Оценку, полученную в этих условиях ограниченной вариативности, обозначают

и используют в испытаниях крупногабаритных стационарно устанавливаемых машин.
Примечание - Следует ожидать, что полученные значения

будут ниже приведенных в
таблице 1.
Оценки

, полученные по
формуле (14), малодостоверны, если

незначительно превышает

. Достаточно надежные оценки

будут только в том случае, если

не превышает

.
11.3.3 Расчет

на основе математической модели
Обычно

зависит от нескольких факторов, дающих вклады
ciui (
i = 1, 2, ...,
n) в общую неопределенность измерения уровня звукового давления. Такими факторами, в частности, являются применяемые средства измерений, коррекция на условия окружающей среды и местоположения микрофонов. Если предположить, что данные факторы влияют на общую неопределенность независимо друг от друга, то оценку

можно представить в виде (см. Руководство ISO/IEC 98-3)

. (15)
В формулу (15) не входят неопределенности, связанные с нестабильностью излучения источника (поскольку они учтены в

). Источники неопределенности, дающие вклад в общую неопределенность измерения уровня звуковой давления, рассматриваются в
приложении C.
Примечание - Для коррелированных источников неопределенности, входящих в модель измерений,
формула (15) неприменима. Кроме того, расчет на основе математической модели требует дополнительной информации, чтобы определить вклады
ciui всех составляющих в
формуле (15).
В противоположность этому оценки

, получаемые в результате межлабораторных испытаний, не требуют каких-либо дополнительных предположений о возможной корреляции источников неопределенности, входящих в
формулу (15). Оценки по результатам межлабораторных испытаний в общем случае являются более устойчивыми, чем полученные на основе математических моделей. Однако проведение межлабораторных испытаний не всегда осуществимо и зачастую их приходится заменять обобщением опыта прошлых измерений.
11.4 Типичные оценки

В
таблице 1 приведены типичные верхние оценки стандартного отклонения

для технического и ориентировочного метода измерения шума, которые могут применяться для большинства измерений, проводимых в соответствии с настоящим стандартом. В особых случаях, а также когда требования настоящего стандарта не могут быть соблюдены в полном объеме для машин определенного вида или когда ожидается, что для машин данного вида

должно быть меньше значений, указанных в таблице 1, для уточнения оценки

рекомендуется проведение межлабораторных испытаний.
Таблица 1
Типичные верхние оценки

для измерений уровня звукового
давления корректированных по A, проводимых в соответствии
с настоящим стандартом
Степень точности метода | Стандартное отклонение воспроизводимости  , дБ |
2 | 1,5 |
3 | 3 |
11.5 Общее стандартное отклонение

и расширенная неопределенность
U
Общее стандартное отклонение

и расширенную неопределенность
U рассчитывают по
формулам (12) и
(13) соответственно.
Пример - Технический метод измерений;
; k = 1,6; в результате измерения получено LpA = 82 дБ. Определение
для машин данного вида выполнено не было, поэтому использовано значение
из таблицы 1
. По формулам (12) и (13) получаем
.
Наилучшая оценка уровня звуковой мощности не превышает 86 дБ с доверительной вероятностью 95% (см. приложение C.5 и C.6).
Другие примеры расчета

приведены в
разделе C.3 (приложение C).
Примечание - Расширенная неопределенность, определяемая по
формуле (12), не включает в себя стандартное отклонение производства машин, использованного в ISO 4871 в целях определения и заявления значений шумовой характеристики для партии машин.
12. Регистрируемая информация
12.1 Общие положения
Для всех измерений, выполненных в соответствии с настоящим стандартом, должна быть получена и зарегистрирована информация, указанная 12.2 -
12.5. Округление до первого десятичного знака каких-либо числовых характеристик производят только после выполнения конечного вычислительного этапа перед их записью в протокол.
12.2 Испытуемый источник шума
Описание источника включает в себя следующие пункты:
a) тип;
b) технические характеристики;
c) размеры;
d) производитель;
e) заводской номер;
f) год изготовления.
12.3 Условия испытаний
Описание условий испытания машины включает в себя:
a) точное количественное описание режима работы, если оно отсутствует в испытательном коде по шуму для данной машины и, при необходимости, продолжительность рабочих операций и рабочий цикл;
c) местоположение источника в условиях испытаний;
d) если объект испытаний имеет множественные источники шума, приводят их описание в рабочем цикле машины.
12.4 Испытательное пространство
Приводят следующие сведения:
a) если испытания проводят в помещении - описание конструкции и материала стен, потолка и пола; схема местоположения источника и оборудования помещения; акустическая подготовка (обработка) помещения в соответствии с
5.2; температура воздуха в градусах Цельсия (°C), атмосферное давление в паскалях (Па), и относительная влажность в процентах (%);
b) если испытания проводят на открытой площадке - схема местоположения источника по отношению к окружающей территории, в том числе
1) физические свойства испытательного пространства,
2) температура воздуха в градусах Цельсия (°C), атмосферное давление в паскалях (Па), и относительная влажность в процентах (%),
3) скорость ветра в метрах в секунду (м/с).
Приводят следующие сведения:
a) данные об измерительной аппаратуре (изготовитель, наименование, тип, порядковый номер по системе нумерации изготовителя);
b) дату и место калибровки (поверки), методы калибровки акустического калибратора, результаты проверки калибровки до и после проведения измерений, данные калибровки образцового источника шума (при его применении);
c) характеристики ветрозащитного экрана микрофона (при его применении).
12.6 Расположение рабочего места
Должно быть приведено точное количественное описание параметров всех точек, где измеряются уровни звукового давления.
12.7 Данные по шуму
Описание данных по шуму включает в себя следующие условия:
a) все измеренные уровни звукового давления;
b) уровень (уровни) звука
A излучения на рабочем месте (местах) и при необходимости, те же значения по другой частотной коррекции или в полосах частот;
c) при необходимости, пиковый уровень (уровни) звука
C на рабочем месте (местах) и/или уровни в полосах частот и/или другие временные характеристики излучения звука на рабочем месте (местах);
d) расширенная неопределенность результатов измерений вместе с коэффициентом охвата и доверительной вероятностью;
e) уровни звука A фонового шума и коррекция на фоновый шум K1A в каждом рабочем месте. При необходимости, уровни звукового давления фонового шума и коррекция K1 в полосах частот;
f) коррекция на свойства испытательного пространства, корректированная по A K2A;
g) локальная коррекция на испытательное пространство на каждом рабочем месте (местах);
h) место, дата, время проведения измерений и лицо, ответственное за испытания;
i) дополнительная информация (максимальный уровень звукового давления излучения на измерительном пути или другие данные).
В протоколе испытаний указывают зарегистрированную в соответствии с
12.2,
12.3 a) и
b),
12.6,
12.7 b),
c),
d) и
g) информацию, которая необходима в целях измерений. Если имеется испытательный код по шуму для объекта испытаний, протокол испытаний оформляется в соответствии с ним.
Протокол испытаний должен содержать, по меньшей мере, следующую информацию:
a) были ли уровни звукового давления излучения в рабочем месте (местах) получены в полном соответствии с требованиями настоящего стандарта (ISO 11204:2010);
b) дата выполнения измерений уровней звукового давления излучения;
c) лицо, ответственное за испытания;
d) явное указание точности примененного метода испытаний (технический или ориентировочный метод) - информация может быть приведена на основе
приложения C;
e) уровни звукового давления излучения на рабочем месте (местах) и расширенные неопределенности измерения, полученные для соответствующей степени точности метода измерений, округленные до первого десятичного знака после запятой.
(обязательное)
КОРРЕКЦИЯ НА СВОЙСТВА ИСПЫТАТЕЛЬНОГО ПРОСТРАНСТВА
НА РАБОЧЕМ МЕСТЕ. ОПРЕДЕЛЕНИЕ ЛОКАЛЬНОЙ КОРРЕКЦИИ K3
A.1 Общие положения
A.1.1 В соответствии с методом, установленным в настоящем приложении, локальную коррекцию K3 определяют на основе следующих величин:
a) среднего корректированного на фоновый шум (без коррекции на акустические свойства испытательного пространства) уровня звукового давления излучения

на измерительной поверхности, рассчитываемого по формуле

, (A.1)
где

- уровни звукового давления, измеренные в
N точках измерения вокруг испытуемой машины. Число точек измерений и их расположение рекомендуется выбирать такими же, что и на измерительной поверхности в методах определения уровня звуковой мощности по ISO 3744 или ISO 3746;
b) корректированного на фоновый шум (без коррекции на акустические свойства испытательного пространства) уровня звукового давления на рабочем месте, причем последнее не должно быть расположено на измерительной поверхности используемой для определения

.
Если оператор машины перемещается по определенному маршруту,

измеряют в эквидистантных точках маршрута. Значение

находят усреднением с помощью энергетического суммирования

.
A.1.2 В зависимости от имеющейся информации, для расчета
K3 может применяться метод по
A.2, на основе средней величины коррекции
K2 (см.
3.21) по измерительной поверхности, или метод, изложенный в
A.3, на основе величины

(
A - эквивалентная площадь звукопоглощения испытательного помещения). Так как оба метода основаны на одних предположениях, они теоретически должны давать одинаковые величины
K3.
A.2 Определение локальной коррекции на испытательное пространство
K3 на основе
K2
Величину K3, дБ, рассчитывают по формуле

, (A.2)
где

; (A.3)
K2 - средняя поправка на свойства испытательного пространства на измерительной поверхности, на которой был определен средний уровень звукового давления

(см. ISO 3744);

- фактический показатель направленности рабочего места (см.
3.23).
Если известен уровень звуковой мощности
Lw, величина

может быть представлена в виде

, (A.4)
где

;
SM - площадь измерительной поверхности, по которой была определена коррекция K2;
S0 = 1 м2.
На рисунке A.1 изображен график зависимости
K3 от
K2 и от

в качестве параметра.
K2 - коррекция на свойства испытательного пространства, дБ;
K3 - локальная коррекция на испытательное пространство, дБ;
a - значения

, дБ
Примечание - Из-за большой крутизны кривых в левой верхней части диаграммы в этом диапазоне должны применяться
формулы (A.5) и
(A.6).
Рисунок A.1 - График для определения K3 по значениям
K2 и

A.3 Определение локальной коррекции
K3 на основе величины эквивалентной площади звукопоглощения
A испытательного помещения
Величину K3, дБ, рассчитывают по формуле

, (A.5)
где

; (A.6)
SM - площадь измерительной поверхности, по которой определяют

;
A - эквивалентная площадь звукопоглощения испытательного помещения (см. ISO 3744);

- фактический показатель направленности рабочего места (см.
3.23).
На рисунке A.2 изображена зависимость
K3 как функция от величины

и от

как от параметра.
A - площадь звукопоглощения, м2; K3 - локальная коррекция
на испытательное пространство, дБ; SM - площадь
измерительной поверхности, м
2;
a - значения

, дБ
Рисунок A.2 - График для определения K3
по значениям

и

(обязательное)
КРИТЕРИЙ НА ФОНОВЫЙ ШУМ ДЛЯ ИЗМЕРЕНИЙ В ПОЛОСАХ ЧАСТОТ
B.1 Критерий на фоновый шум по абсолютным значениям
Если уровни фонового шума в испытательном пространстве во время проведения измерений не превышают значений, приведенных в
таблице B.1 для всех частотных полос диапазона измерений, считают, что требования настоящего стандарта к фоновому шуму выполнены, даже в том случае, когда соответствие критерию по значениям 6 дБ для технического метода измерений и 3 дБ для ориентировочного метода измерений, установленному в
5.4.1, соблюдается не для всех частотных полос диапазона. В этом случае можно предположить, что в указанных полосах излучение испытуемого источника незначительно, и полученные для них результаты измерений уровня звукового давления являются верхними оценками.
Таблица B.1
Максимальные допустимые уровни фонового шума в испытательном
пространстве
Средние частоты третьоктавных полос, Гц | Максимальный уровень звукового давления в полосе, дБ |
50 | 44 |
63 | 38 |
80 | 32 |
100 | 27 |
125 | 22 |
160 | 16 |
200 | 13 |
250 | 11 |
315 | 9 |
400 | 8 |
500 | 7 |
630 | 7 |
800 | 7 |
1000 | 7 |
1250 | 7 |
1600 | 7 |
2000 | 7 |
2500 | 8 |
3150 | 8 |
4000 | 8 |
5000 | 8 |
6300 | 8 |
8000 | 12 |
10000 | 14 |
12500 | 11 |
16000 | 46 |
20000 | 46 |
B.2 Относительный критерий для измерений в полосах частот
Даже если фоновый шум в испытательном пространстве весьма низок, требование, установленное в
5.4.1, может не соблюдаться для какой-то одной или нескольких полос диапазона частот измерений. При проверке на соответствие критерию фонового шума допускается исключать полосы частот, в которых корректированный по
A уровень звукового давления испытуемого источника шума будет не менее чем на 15 дБ (технический метод) или на 10 дБ (ориентировочный метод) ниже максимального по всем полосам уровня корректированного по
A звукового давления.
B.3 Относительный критерий для уровня звука
A, определенного по значениям в полосах частот
Если уровень звука A определен по значениям уровней звукового давления в полосах частот, то для определения соответствия условий измерений критерию по фоновому шуму настоящего стандарта выполняют следующие действия:
a) вычисляют уровень звука A по аналогии с соответствующими процедурами ISO 3744 на основе данных в каждой полосе диапазона частот измерений;
b) повторяют вычисления, исключив полосы, для которых

для технического метода и

для ориентировочного метода.
Если разность полученных значений менее 0,5 дБ для технического метода или 0,7 дБ для ориентировочного метода, то измерения уровня звука A с использованием данных по всем полосам диапазона частот измерений можно считать выполненными с соблюдением критерия по фоновому шуму настоящего стандарта.
B.4 Несоответствие критериям по фоновому шуму
Если не соблюдены критерии на фоновый шум (см.
5.4.1,
B.1,
B.2 и дополнительно
B.3, если уровень звука
A определяют в полосах частот), то в протоколе испытаний должно быть указано, что требования настоящего стандарта к фоновому шуму не выполнены. Следует указать полосы частот, в которых соответствие критериям не соблюдено. Кроме того, в протоколе испытаний не допускается в явном или неявном виде указывать, что измерения проведены в полном соответствии с настоящим стандартом.
(рекомендуемое)
ПО ПРИМЕНЕНИЮ ИНФОРМАЦИИ ДЛЯ РАСЧЕТА НЕОПРЕДЕЛЕННОСТИ
ИЗМЕРЕНИЯ
C.1 Общие положения
Общий формат представления неопределенности измерения установлен Руководством ISO/IEC 98-3. Он предполагает составление распределения неопределенности по компонентам, в котором идентифицированы основные источники неопределенности и их вклад в суммарную стандартную неопределенность.
Целесообразно разделить все источники неопределенности на две группы:
a) присущие методу измерения;
b) обусловленные нестабильностью излучаемого шума.
В настоящем приложении приведены основанные на современном уровне знаний рекомендации по применению подхода Руководства ISO/IEC 98-3 к измерениям, проводимым в соответствии с настоящим стандартом.
C.2 Определение общего стандартного отклонения

Характеристикой неопределенности измерения является расширенная неопределенность
U, непосредственно получаемая из общего стандартного отклонения

[см.
формулу (13)], которое рассматривается как аппроксимация стандартной неопределенности
u(
Lp), как это описано в Руководстве ISO/IEC 98-3.
В свою очередь

определяется двумя разными по своей природе составляющими,

и

[см.
формулу (12)].
Оценки

и

предполагаются статистически независимыми и определяются по отдельности.
Стандартное отклонение

, характеризующее излучение конкретной машины, не может быть рассчитано теоретически и поэтому определяется экспериментально (см. раздел C.3). Составляющая

рассматривается в
разделе C.4.
C.3 Определение стандартного отклонения

Стандартное отклонение

(см.
11.2), выраженное в децибелах (дБ), рассчитывают по формуле

, (C.1)
где

- уровень звукового давления, полученный в
j-м повторном измерении в заданной точке при заданных условиях установки и работы источника шума, дБ;

- среднее арифметическое

по всем повторным измерениям, дБ.
Эти измерения проводятся в реальных натурных условиях окружающей среды. Следовательно,

и

не нуждаются в дальнейшей коррекции.
В общем случае условия установки и работы машины при измерениях значения ее шумовой характеристики определяются испытательным кодом по шуму. При его отсутствии эти условия должны быть точно определены до проведения испытаний и зафиксированы в протоколе испытаний.
Ниже приводятся некоторые рекомендации по определению таких условий и их возможному влиянию на

.
Условия работы при испытаниях должны соответствовать нормальному применению машины согласно рекомендациям изготовителя и практике пользователя. Однако даже при заданных нормальных условиях работы машины возможны некоторые вариации в режимах работы, обрабатываемом, потребляемом или производимом материале, между различными циклами работы машины и пр. Стандартное отклонение

характеризует неопределенность, связанную как с изменчивостью долговременных условий работы (например, день ото дня), так и с изменением излучаемого шума после повторной установки и пуска машины.
Если машину в любых условиях ее применения устанавливают на пружинах, или на твердый массивный пол, то условия установки будут слабо влиять на результаты измерений. Однако если при испытаниях машину устанавливают на твердый массивный пол, а в условиях применения используют другую опору, то шум машины может различаться весьма сильно. Составляющая неопределенности, обусловленная установкой машины будет наибольшей, если машина соединена со вспомогательным оборудованием. Также эта составляющая неопределенности будет велика в случае ручных машин. Необходимо исследовать, как перемещения машины или ее крепления влияют на ее шум. Если необходимо заявить значение шумовой характеристики машины для разных способов ее установки и крепления, то

оценивают по результатам измерений при всех возможных способах установки. Если влияние условий установки машины на ее шум известно, то в испытательном коде по шуму или в методике, применяемой пользователем, должен быть определен рекомендуемый способ установки машины при испытаниях.
С точки зрения важности вклада тех или иных источников неопределенности в

исследования для определения

имеют большее значение, чем связанные с определением

[см.
формулу (12)]. Это объясняется тем, что

может принимать существенно большие значения, чем, например, стандартное отклонение

, которое в соответствии с
таблицей 1 для технического не превышает 1,5 дБ, а для ориентировочного 3 дБ.
Если

, то проведение измерений с высокой точностью (т.е. с малым

) теряет практический смысл, поскольку это не способно привести к существенному снижению

. Примеры возможных соотношений между

и

приведены в таблице C.1.
Таблица C.1
Пример вычисления

в трех различных случаях
Стандартное отклонение воспроизводимости метода  , дБ | Условия установки и эксплуатации |
Стабильные | Нестабильные | Существенно нестабильные |
Стандартное отклонение  , дБ |
0,5 | 2 | 4 |
Полное стандартное отклонение  , дБ |
1,5 (технический метод) | 1,6 | 2,5 | 4,3 |
3 (ориентировочный метод) | 3,0 | 3,6 | 5,0 |
Из этих примеров видно, что при нестабильных условиях установки и работы испытуемой машины излишне пытаться обеспечить условия технического метода измерения.
Кроме того, в ситуации, когда

, у пользователя стандарта возможно формирование неправильного представления об общей неопределенности измерения, если он ориентируется на класс точности измерений, который в настоящем стандарте определяется только значением

.
C.4 Определение стандартного отклонения

C.4.1 Общие положения
Верхние оценки

приведены в
таблице 1. Кроме того, в
11.3 приведены рекомендации по проведению исследований для получения более реалистичных оценок

для отдельных машин или семейств машин. Такие исследования включают в себя либо проведение измерений в условиях воспроизводимости согласно ISO 3534-2
[2], либо расчеты на основании математической модели измерения [см.
формулу (15)], требующие привлечения дополнительной информации.
Если некоторые источники неопределенности несущественны для конкретных измерительных задач или трудны для исследования, то в испытательном коде по шуму приводят значение

, полученное либо в результате межлабораторных сравнительных испытаний (см.
11.3.2), либо рассчитанное на основе модели, которая не учитывает вариативность этих источников.
Расчет на основе модели предполагает статистическую независимость отдельных источников неопределенности ciui и, главное, наличие уравнений измерения, используя которые можно было бы оценить вклад этих источников по результатам соответствующих измерений или на основе накопленного практического опыта. Однако в настоящее время объема накопленной экспериментальной информации, которая могла бы быть использована в целях настоящего стандарта, недостаточно. Тем не менее, ниже приводятся данные, которые нельзя рассматривать как окончательные, но которые могут быть использованы для приближенной оценки вкладов отдельных составляющих неопределенности.
C.4.2 Вклад разных источников в

Предварительные исследования показали, что общее выражение для расчета уровня звукового давления излучения, в том числе с учетом всех коррекций, предусмотренных настоящим стандартом и со всеми соответствующими неопределенностями Lp, может быть представлено следующей зависимостью:

, (C.2)
где

- измеренный (некоррелированный) уровень звукового давления;

- входная величина, описывающая влияние коррекции на фоновый шум;

- входная величина, описывающая локальное влияние испытательного пространства;

- входная величина, описывающая влияние средств измерений;

- входная величина, описывающая влияние условий установки источника;

- входная величина, описывающая влияние отклонения условий работы источника от нормальных;

- входная величина, описывающая влияние выбора места измерений;

- входная величина, описывающая влияние атмосферных условий.
Примечание 1 - Модель, описываемую
формулой (C.2), применяют при измерениях как в полосе частот, так и с коррекцией по частотной характеристике
A.
Примечание 2 - Входные величины в
формуле (C.2) отражают современное представление о факторах, способных оказать влияние на результат измерения уровня звукового давления излучения при испытаниях по настоящему стандарту. Дальнейшие исследования могут показать необходимость модификации этой модели.
Каждой входной величине должно быть приписано соответствующее распределение вероятностей (нормальное, прямоугольное, Стьюдента и т.п.). Лучшей оценкой входной величины будет ее математическое ожидание. Стандартное отклонение распределения входной величины характеризует разброс ее возможных значений и принимается за ее стандартную неопределенность.
Составляющая неопределенности, связанная с условиями установки

и работы источника шума

, уже учтена в

. Остальные входные величины в совокупности характеризуются стандартным отклонением

.
Как пример, для технического метода, информация об ожидаемых значениях стандартных неопределенностей входных величин
ui и соответствующих им коэффициентов чувствительности
ci, необходимых для расчета

, дБ, по формуле

, приведена в таблице C.2.
Таблица C.2
Распределение по составляющим неопределенности, необходимое
для определения уровня давления звукового излучения
(значения приведены для технического метода)
Входная величина | Оценка входной величины, дБ | Стандартное отклонение ui, дБ | Вид распределения вероятностей | Коэффициент чувствительности ci | Вклад отдельного компонента неопределенности ciui, дБ |
Lp | | | | | |
| |  (например, 0,5) | Нормальное | 1,25 | 0,63 |
| K1 | например, 0,7 | Нормальное | -0,25 | -0,18 |
| K3 (например, 2) | 0,3 K3 | Нормальное | 1 | 0,6 |
| 0 | 0,5 | Нормальное | 1 | 0,5 |
| 0 | 0,2 | Нормальное | 1 | 0,2 |
| 0 | 0,3 | Нормальное | 1 | 0,3 |
 . |
В таблице C.2 значения отдельных компонент неопределенности приведены в крайней правой колонке. Расчет

выполнен в предположении, что все входные величины некоррелированны.
Для некоторых входных величин соответствующие стандартные неопределенности должны быть получены в результате дополнительных исследований.
Пояснения к обозначениям составляющих неопределенности
таблицы C.2 даны ниже.

- неопределенность в децибелах (дБ), связанная с уровнем звукового давления, измеренным на рабочем месте. Ее выражают выборочным стандартным отклонением результатов измерений по формуле:

.

- коэффициент чувствительности, связанный с неопределенностью

. Определяется как производная
Lp по

при условии

, где
Lp(B) - измеренный уровень фонового шума (не зависит от

[см.
формулу (7)]):

.
Для типичных значений в
таблице C.2 разница между величинами

и
Lp(B) равна 7 дБ, в результате чего для коэффициента чувствительности получаем

.
u(B) - неопределенность в определении коррекции на фоновый шум. В соответствии с
формулой (7), эта неопределенность является функцией измеренной разности

, если применимость
формулы (9) для различных звуковых полей не учитывают. Предполагая

, получаем

.
c(B) - коэффициент чувствительности, связанный с неопределенностью в определении коррекции на фоновый шум. Используя
формулу (9), где
Lp выражается как

(
k - константа), коэффициент чувствительности рассчитывается следующим образом

.
Для типичных значений в
таблице C.2, разность

, в результате чего коэффициент принимает значение
c(B) = -0,25.
uenv - неопределенность, связанная с влиянием испытательного пространства. Предполагается, что ей можно пренебречь для точного метода и принять равной 1 дБ для технического метода.
cenv - коэффициент чувствительности, связанный с неопределенностью, вызванной влиянием испытательного пространства (cenv = 1). В настоящем стандарте не учитывают поправки на испытательное пространство. Влияние отражений и других эффектов непосредственно отражается на результате измерений.
uslm - неопределенность, связанная со средствами измерений. Для точного метода значение данного параметра uslm = 0,5 дБ.
cslm - коэффициент чувствительности, связанный с неопределенностью шумомера, которая напрямую влияет на измеряемые уровни (cslm = 1), вклад которой в общую неопределенность составляет 0,5 дБ. Дополнительные сведения о параметрах, влияющих на неопределенность шумомеров можно найти в IEC 61672-1.
upos - неопределенность, связанная с выбором точки измерения. Оценка ее значения из опыта работы упаковочного оборудования составляет 0,2. Она может быть определена отдельно для данного типа источника с помощью повторных измерений без микрофона и с ним между данных измерений.
cpos - коэффициент чувствительности, связанный с выбором точки измерения (cpos = 1).
umet - неопределенность, связанная с определением коррекции на атмосферные условия (см.
5.5). Если производится коррекция, значение для этого параметра составляет
umet = 0,2 дБ.
На высоте 120 м относительно уровня моря и температуре окружающей среды 23 °C коррекция равна 0 дБ, для 500 м коррекция принимает величину 0,6 дБ. Допуская, что она распределена равномерно, стандартное отклонение записывают

. На высотах менее 500 м над уровнем моря для технического метода какая-либо коррекция не требуется.
cmet - коэффициент чувствительности, связанный с определением коррекции на атмосферные условия. В общем случае, стандартное отклонение составляет 0,3 дБ с соответствующим вкладом неопределенности 0,3 дБ. Таким образом, cmet = 1. Более низкий уровень неопределенности может быть получен путем измерения в другом месте или путем применения коррекции на атмосферные условия.
C.5 Комбинированная стандартная неопределенность
В случае незначительной корреляции между входными величинами суммарную стандартную неопределенность u(Lp), дБ, для уровня звукового давления Lp, дБ, рассчитывают по формуле

. (C.3)
C.6 Использование результатов измерений в условиях воспроизводимости
При отсутствии информации о составляющих неопределенности и возможных корреляциях между входными величинами в качестве суммарной стандартной неопределенности
u(
Lp) может быть использовано стандартное отклонение воспроизводимости (см.
раздел 11). Для получения расширенной неопределенности
U выбирают значение коэффициента охвата
k. По умолчанию интервал охвата определяют для вероятности охвата 95%. Тогда в предположении нормального распределения случайной величины, ассоциированной с измеряемой величиной
Lp,
k = 2. Чтобы избежать неправильного толкования, вместе с расширенной неопределенностью в протоколе испытаний следует указывать вероятность охвата.
(справочное)
ОБОСНОВАНИЕ МЕТОДА
Уровень звукового давления излучения Lp является характеристикой прямого звукового поля, создаваемого источником на рабочем месте. Эта величина равна уровню звукового давления на рабочем месте, если в испытательном пространстве, представляющем собой свободное полупространство над звукоотражающей плоскостью, другие источники шума отсутствуют.
Если испытуемая машина работает в помещении, создается дополнительное отраженное звуковое поле. Уровень звукового давления отраженного поля Lroom зависит от уровня звуковой мощности источника LW акустических свойств помещения. Последние могут быть охарактеризованы эквивалентной площадью звукопоглощения A. Таким образом, уровень звукового давления на рабочем месте источника, работающего в помещении, представляет собой энергетическую сумму уровня звукового давления излучения Lp и уровня отраженного поля Lroom.
Разность уровней на рабочем месте, создаваемых источником, работающим в помещении, и источником, работающим над безграничной звукоотражающей плоскостью, равна локальной коррекции на испытательное пространство K3. Она зависит от разности между уровнем звуковой мощности и уровнем звукового давления излучения источника, а также от свойств помещения, характеризуемых эквивалентной площадью звукопоглощения A.
Можно показать, что величины
Lp и
LW, относящиеся к свободному полю в формуле, определяющей локальную коррекцию на испытательное пространство
K3, могут быть заменены величинами, измеренными с испытуемым источником, работающем в помещении. После преобразования формулы для
K3, эта величина может быть определена как разность между уровнем звукового давления на рабочем месте

и средним уровнем звукового давления

измерительной поверхности, используемой для определения уровня звуковой мощности (оба уровня являются некорректированными на условия испытательного пространства, но с поправкой на фоновый шум), площадью измерительной поверхности
S, и, наконец, эквивалентной площадью звукопоглощения
A.
Определяя разность уровней

, как фактический показатель направленности рабочего места

и, заменяя площадь измерительной поверхности
S и эквивалентную площадь звукопоглощения
A на коррекцию
K2, находят локальную коррекцию на испытательное пространство
K3 через

и
K2.
Метод испытаний, применяемый в настоящем стандарте для определения K3, основан на измерениях уровней шума и акустических свойствах помещения.
Шум характеризуют двумя величинами: средним уровнем звукового давления

на измерительной поверхности, охватывающий машину, и уровнем звукового давления

на рабочем месте. На основании полученных значений находят фактический показатель направленности рабочего места

.
В методе, изложенном в
A.2 (приложение A), акустические свойства помещения характеризуют величиной коррекции
K2 на измерительной поверхности
S. Приведены указания по определению
K3 в зависимости от величин
K2 и

.
Согласно методу в соответствии с
A.3 (приложение A), акустические свойства испытательного помещения характеризуют эквивалентной площадью звукопоглощения
A. Коррекцию
K3 находят в зависимости от величин
A,
S и

.
Обоснование настоящего метода и неопределенности измерения изложены в работах
[25] -
[27].
(рекомендуемое)
ПРИМЕР КОНСТРУКЦИИ ИСПЫТАТЕЛЬНОГО СТОЛА (СТЕНДА)
Пример конструкции испытательного стола показан на рисунке E.1. Верхняя часть стола имеет боковые размеры (0,75 +/- 0,03) м и состоит из деревянных брусков толщиной от 0,04 до 0,10 м. Высота стола (0,75 +/- 0,03) м.
Размеры в метрах
1 - ножки и стяжки, склеенные и скрепленные шурупами;
2 - изолирующие прокладки
Рисунок E.1 - Пример конструкции испытательного стола
(справочное)
СВЕДЕНИЯ О СООТВЕТСТВИИ ССЫЛОЧНЫХ МЕЖДУНАРОДНЫХ СТАНДАРТОВ
МЕЖГОСУДАРСТВЕННЫМ СТАНДАРТАМ
Таблица ДА.1
Обозначение ссылочного международного стандарта | Степень соответствия | Обозначение и наименование соответствующего межгосударственного стандарта |
ISO 3744 | MOD | ГОСТ 31275-2002 "Шум машин. Определение уровней звуковой мощности источников шума по звуковому давлению. Технический метод в существенно свободном звуковом поле над звукоотражающей плоскостью" <1> |
ISO 3746 | MOD | ГОСТ 31277-2002 "Шум машин. Определение уровней звуковой мощности источников шума по звуковому давлению. Ориентировочный метод с использованием измерительной поверхности над звукоотражающей плоскостью" <2> |
|
|
ISO 5725 (части 1 - 6) | IDT | ГОСТ ИСО 5725-2003 (части 1 - 6) "Точность (правильность и прецизионность) методов и результатов измерений. Части 1 - 6" |
ISO 12001 | - | |
IEC 60942:2003 | - | |
IEC 61260:1995 | NEQ | ГОСТ 17168-82 "Фильтры электронные октавные и третьоктавные. Общие технические требования и методы испытаний" <4> |
IEC 61672-1:2002 | MOD | |
ISO/IEC Guide 98-3:2008 | - | |
<*> Соответствующий межгосударственный стандарт отсутствует. До его принятия рекомендуется использовать перевод на русский язык данного международного стандарта. Примечание - В настоящей таблице использованы следующие условные обозначения степени соответствия стандартов: - IDT - идентичные стандарты; - MOD - модифицированные стандарты; - NEQ - неэквивалентные стандарты. |
--------------------------------
<1> В Российской Федерации действует
ГОСТ Р ИСО 3744-2013 "Акустика. Определение уровней звуковой мощности и звуковой энергии источников шума по звуковому давлению. Технический метод в существенно свободном звуковом поле над звукоотражающей плоскостью".
<2> В Российской Федерации действует
ГОСТ Р ИСО 3746-2013 "Акустика. Определение уровней звуковой мощности и звуковой энергии источников шума по звуковому давлению. Ориентировочный метод с использованием измерительной поверхности над звукоотражающей плоскостью".
<3> В Российской Федерации действует
ГОСТ Р МЭК 60942-2009 "Калибраторы акустические. Технические требования и требования к испытаниям".
<4> В Российской Федерации действует ГОСТ Р 8.714-2010 "Государственная система обеспечения единства измерений. Фильтры полосовые октавные и на доли октавы. Технические требования и методы испытаний".
<5> В Российской Федерации действует
ГОСТ Р 54500.3-2011/Руководство ИСО/МЭК 98-3:2008 "Неопределенность измерения. Часть 3. Руководство по выражению неопределенности измерения".
| ISO 1996-1, Acoustics - Description, measurement and assessment of environmental noise - Part 1: Basic quantities and assessment procedures |
| ISO 3534-2, Statistics - Vocabulary and symbols - Part 2: Applied statistics |
[3] | ISO 3740, Acoustics - Determination of sound power levels of noise sources - Guidelines for the use of basic standards |
[4] | ISO 3741, Acoustics - Determination of sound power levels and sound energy levels of noise sources using sound pressure - Precision methods for reverberation test rooms |
[5] | ISO 3743-1, Acoustics - Determination of sound power levels of noise sources - Engineering methods for small, movable sources in reverberant fields - Part 1: Comparison method for hard-walled test rooms |
[6] | ISO 3743-2, Acoustics - Determination of sound power levels of noise sources using sound pressure - Engineering methods for small, movable sources in reverberant fields - Part 2: Methods for special reverberation test rooms |
[7] | ISO 3745, Acoustics - Determination of sound power levels of noise sources using sound pressure - Precision methods for anechoic and hemi-anechoic rooms |
| ISO 3747, Acoustics - Determination of sound power levels and sound energy levels of noise sources using sound pressure - Engineering/survey methods for use in situ in a reverberant environment |
| ISO 4871, Acoustics - Declaration and verification of noise emission values of machinery and equipment |
[10] | ISO 6926, Acoustics - Requirements for the performance and calibration of reference sound sources used for the determination of sound power levels |
[11] | ISO 7574-1, Acoustics - Statistical methods for determining and verifying stated noise emission values of machinery and equipment - Part 1: General considerations and definitions |
[12] | ISO 9614-1, Acoustics - Determination of sound power levels of noise sources using sound intensity - Part 1: Measurement at discrete points |
[13] | ISO 9614-2, Acoustics - Determination of sound power levels of noise sources using sound intensity - Part 2: Measurement by scanning |
[14] | ISO 9614-3, Acoustics - Determination of sound power levels of noise sources using sound intensity - Part 3: Precision method for measurement by scanning |
| ISO 11200, Acoustics - Noise emitted by machinery and equipment - Guidelines for the use of basic standards for the determination of emission sound pressure levels at a work station and at other specified positions |
| ISO 11201, Acoustics - Noise emitted by machinery and equipment - Determination of emission sound pressure levels at a work station and at other specified positions in an essentially free field over a reflecting plane with negligible environmental corrections |
| ISO 11202, Acoustics - Noise emitted by machinery and equipment - Determination of emission sound pressure levels at a work station and at other specified positions applying approximate environmental corrections |
| ISO 11203, Acoustics - Noise emitted by machinery and equipment - Determination of emission sound pressure levels at a work station and at other specified positions from the sound power level |
| ISO 11205, Acoustics - Noise emitted by machinery and equipment - Engineering method for the determination of emission sound pressure levels in situ at the work station and at other specified positions using sound intensity |
| ISO/TR 11690-3, Acoustics - Recommended practice for the design of low-noise workplaces containing machinery - Part 3: Sound propagation and noise prediction in workrooms |
| ISO/TR 25417:2007, Acoustics - Definitions of basic quantities and terms |
[22] | JONASSON, H.G., OLOFSSON, J. Measurement of impulse noise. Boras: Swedish National Testing and Research Institute, 1997. 51 p. (SP Report 1997:38) |
[23] | JONASSON, H.G. Determination of emission sound pressure level and sound power level in situ. Boras: Swedish National Testing and Research Institute, 1999. 80 p. (SP Report 1999:18) |
[24] | OLOFSSON, J., JONASSON, H.G. Measurement of impulse noise - An inter-Nordic comparison. Boras: SP, 1998. 28 p. (Nordtest Report 426; SP Report 1998:47.) |
| PROBST, W. Checking of sound emission values. Bundesanstalt fur Arbeitsschutz und Arbeitsmedizin, Dortmund, 1999. 102 p. (Report Fb 851) |
[26] | PROBST, W. Untersuchung der EinflussgroBen auf die Ermittlung der Emissionsschalldruckpegel von Maschinen [Investigation of the quantities influencing the determination of the emission sound pressure levels of machinery]. Bundesanstalt fur Arbeitsschutz und Arbeitsmedizin, Dortmund, 2002. 79 p. (Report Fb 968) |
| PROBST, W. Improvements in the determination of the emission sound pressure level of machines. Bundesanstalt fur Arbeitsschutz und Arbeitsmedizin, Dortmund, 2004. 116 p. (Report Fb 1034) |
[28] | HUBNER, G., SEHRNDT, G.A. Accuracy consideration in sound power measurement for noise radiated by machines under free field conditions. In: Proceedings of the 6th International Congress on Acoustics (ICA), Tokyo, 1968 |
[29] | HUBNER, G. Analysis of errors in measuring machine noise under free-field conditions. J. Acoust. Soc. Am. 1973, 54, pp. 967 - 977 |
[30] | HUBNER, G., WU, J., MESSNER, J. Ringversuch zur Bestimmung des Schalleistungspegels [Interlaboratory test for the determination of sound-power level]. Bundesanstalt fur Arbeitsschutz und Arbeitsmedizin, Dortmund, 1996. 395 p. (Report Fb 736) |
[31] | HUBNER, G. Final results of a national round robin test determining the sound power level of machines/equipment. In: Proceedings of InterNoise 1997, Budapest, 1997 |
[32] | HUBNER, G. Remarks on the Guide to the expression of uncertainty in measurement (GUM) published by ISO and other international organizations - Floating error analysis for an acoustic example. In: Proceedings of InterNoise 2002, Dearborn, MI, 2002 |
[33] | HUBNER, G. Accuracy consideration on the meteorological correction for a normalized sound power. In: Proceedings of InterNoise 2000, Nice, 2000 |