Главная // Актуальные документы // ГОСТ (Государственный стандарт)СПРАВКА
Источник публикации
М.: Стандартинформ, 2017
Примечание к документу
Документ
введен в действие с 1 июля 2018 года.
Название документа
"ГОСТ 34102-2017. Межгосударственный стандарт. Удобрения органические на основе органогенных отходов растениеводства и предприятий, перерабатывающих растениеводческую продукцию. Технические условия"
(введен в действие Приказом Росстандарта от 11.08.2017 N 884-ст)
"ГОСТ 34102-2017. Межгосударственный стандарт. Удобрения органические на основе органогенных отходов растениеводства и предприятий, перерабатывающих растениеводческую продукцию. Технические условия"
(введен в действие Приказом Росстандарта от 11.08.2017 N 884-ст)
агентства по техническому
регулированию и метрологии
от 11 августа 2017 г. N 884-ст
МЕЖГОСУДАРСТВЕННЫЙ СТАНДАРТ
УДОБРЕНИЯ ОРГАНИЧЕСКИЕ НА ОСНОВЕ ОРГАНОГЕННЫХ ОТХОДОВ
РАСТЕНИЕВОДСТВА И ПРЕДПРИЯТИЙ, ПЕРЕРАБАТЫВАЮЩИХ
РАСТЕНИЕВОДЧЕСКУЮ ПРОДУКЦИЮ
ТЕХНИЧЕСКИЕ УСЛОВИЯ
Organic fertilizers on the basis of waste of crop production
and plant processing enterprises. Specifications
ГОСТ 34102-2017
62.080
Дата введения
1 июля 2018 года
Цели, основные принципы и основной порядок проведения работ по межгосударственной стандартизации установлены в
ГОСТ 1.0-2015 "Межгосударственная система стандартизации. Основные положения" и
ГОСТ 1.2-2015 "Межгосударственная система стандартизации. Стандарты межгосударственные, правила и рекомендации по межгосударственной стандартизации. Правила разработки, принятия, обновления и отмены"
1 РАЗРАБОТАН Федеральным государственным бюджетным научным учреждением "Всероссийский научно-исследовательский институт органических удобрений и торфа" (ФГБНУ "ВНИИОУ")
2 ВНЕСЕН Федеральным агентством по техническому регулированию и метрологии
3 ПРИНЯТ Межгосударственным советом по стандартизации, метрологии и сертификации (протокол от 1 июня 2017 г. N 51)
За принятие проголосовали:
Краткое наименование страны по МК (ИСО 3166) 004-97 | Код страны по МК (ИСО 3166) 004-97 | Сокращенное наименование национального органа по стандартизации |
Армения | AM | Минэкономики Республики Армения |
Беларусь | BY | Госстандарт Республики Беларусь |
Казахстан | KZ | Госстандарт Республики Казахстан |
Киргизия | KG | Кыргызстандарт |
Россия | RU | Росстандарт |
Таджикистан | TJ | Таджикстандарт |
Узбекистан | UZ | Узстандарт |
4
Приказом Федерального агентства по техническому регулированию и метрологии от 11 августа 2017 г. N 884-ст межгосударственный стандарт ГОСТ 34102-2017 введен в действие в качестве национального стандарта Российской Федерации с 1 июля 2018 г.
5 ВВЕДЕН ВПЕРВЫЕ
Информация об изменениях к настоящему стандарту публикуется в ежегодном информационном указателе "Национальные стандарты", а текст изменений и поправок - в ежемесячном информационном указателе "Национальные стандарты". В случае пересмотра (замены) или отмены настоящего стандарта соответствующее уведомление будет опубликовано в ежемесячном информационном указателе "Национальные стандарты". Соответствующая информация, уведомление и тексты размещаются также в информационной системе общего пользования - на официальном сайте Федерального агентства по техническому регулированию и метрологии в сети Интернет (www.gost.ru)
Настоящий стандарт распространяется на органические удобрения (далее - удобрения), производимые на основе органогенных отходов растениеводства и предприятий, перерабатывающих растениеводческую продукцию (солому, костру, растительные компосты, дефекационную грязь, фильтрат (фугат) послеспиртовой барды).
Удобрения предназначены для применения в сельскохозяйственном производстве, лесном, городском, тепличном хозяйствах для повышения плодородия почв, урожайности, качества продукции растениеводства, благоустройства, озеленения территорий.
В настоящем стандарте использованы нормативные ссылки на следующие межгосударственные стандарты:
ГОСТ 8.579-2002 Государственная система обеспечения единства измерений. Требования к количеству фасованных товаров в упаковках любого вида при их производстве, расфасовке, продаже и импорте
ГОСТ 12.1.003-2014 Система стандартов безопасности труда. Шум. Общие требования безопасности
ГОСТ 12.1.004-91 Система стандартов безопасности труда. Пожарная безопасность. Общие требования
ГОСТ 12.1.005-88 Система стандартов безопасности труда. Общие санитарно-гигиенические требования к воздуху рабочей зоны
ГОСТ 12.1.007-76 Система стандартов безопасности труда. Вредные вещества. Классификация и общие требования безопасности
ГОСТ 12.1.008-76 Система стандартов безопасности труда. Биологическая безопасность. Общие требования
ГОСТ 12.1.010-76 Система стандартов безопасности труда. Взрывобезопасность. Общие требования
ГОСТ 12.1.012-2004 Система стандартов безопасности труда. Вибрационная безопасность. Общие требования
ГОСТ 12.2.002-91 Система стандартов безопасности труда. Техника сельскохозяйственная. Методы оценки безопасности
ГОСТ 12.2.003-91 Система стандартов безопасности труда. Оборудование производственное. Общие требования безопасности
ГОСТ 12.2.019-2015 Система стандартов безопасности труда. Тракторы и машины самоходные сельскохозяйственные. Общие требования безопасности
ГОСТ 12.2.111-85 <*> Система стандартов безопасности труда. Машины сельскохозяйственные навесные и прицепные. Общие требования безопасности
--------------------------------
<*> В Российской Федерации действует
ГОСТ Р 53489-2009 "Система стандартов безопасности труда. Машины сельскохозяйственные навесные и прицепные. Общие требования безопасности".
ГОСТ 12.3.002-2014 Система стандартов безопасности труда. Процессы производственные. Общие требования безопасности
ГОСТ 12.3.009-76 Система стандартов безопасности труда. Работы погрузочно-разгрузочные. Общие требования безопасности
ГОСТ 12.3.020-80 Система стандартов безопасности труда. Процессы перемещения грузов на предприятиях. Общие требования безопасности
ГОСТ 12.4.009-83 Система стандартов безопасности труда. Пожарная техника для защиты объектов. Основные виды. Размещение и обслуживание
ГОСТ 12.4.028-76 Система стандартов безопасности труда. Респираторы ШБ-1 "Лепесток". Технические условия
ГОСТ 12.4.253-2013 (EN 166:2002) Система стандартов безопасности труда. Средства индивидуальной защиты глаз. Общие технические требования
ГОСТ 2226-2013 Мешки из бумаги и комбинированных материалов. Общие технические условия
ГОСТ 9142-2014 Ящики из гофрированного картона. Общие технические условия
ГОСТ 12302-2013 Пакеты из полимерных пленок и комбинированных материалов. Общие технические условия
ГОСТ 13496.4-93 Корма, комбикорма, комбикормовое сырье. Методы определения содержания азота и сырого протеина
ГОСТ 13950-91 Бочки стальные сварные и закатные с гофрами на корпусе. Технические условия
ГОСТ 17811-78 Мешки полиэтиленовые для химической продукции. Технические условия
ГОСТ 19360-74 Мешки-вкладыши пленочные. Общие технические условия
ГОСТ 26226-95 Корма, комбикорма, комбикормовое сырье. Методы определения сырой золы
ГОСТ 26657-97 Корма, комбикорма, комбикормовое сырье. Методы определения содержания фосфора
ГОСТ 26712-94 Удобрения органические. Общие требования к методам анализа
ГОСТ 26713-85 Удобрения органические. Метод определения влаги и сухого остатка
ГОСТ 26715-85 Удобрения органические. Методы определения общего азота
ГОСТ 26717-85 Удобрения органические. Метод определения общего фосфора
ГОСТ 26718-85 Удобрения органические. Метод определения общего калия
ГОСТ 27262-87 <**> Корма растительного происхождения. Методы отбора проб
--------------------------------
ГОСТ 27979-88 Удобрения органические. Метод определения pH
ГОСТ 30504-97 Корма, комбикорма, комбикормовое сырье. Пламенно-фотометрический метод определения содержания калия
Примечание - При пользовании настоящим стандартом целесообразно проверить действие ссылочных стандартов в информационной системе общего пользования - на официальном сайте Федерального агентства по техническому регулированию и метрологии в сети Интернет или по ежегодному информационному указателю "Национальные стандарты", который опубликован по состоянию на 1 января текущего года, и по выпускам ежемесячного информационного указателя "Национальные стандарты" за текущий год. Если ссылочный стандарт заменен (изменен), то при пользовании настоящим стандартом следует руководствоваться заменяющим (измененным) стандартом. Если ссылочный стандарт отменен без замены, то положение, в котором дана ссылка на него, применяется в части, не затрагивающей эту ссылку.
4. Технические требования
4.1 Удобрения должны соответствовать требованиям настоящего стандарта, изготовляться по технологическим регламентам (инструкциям), разработанным и утвержденным с соблюдением нормативных правовых актов, действующих на территории государства, принявшего стандарт.
4.2 Удобрения по токсикологическим, радиологическим, фитосанитарным показателям должны соответствовать нормам, указанным в таблице 1.
Таблица 1
Токсикологические, радиологические, фитосанитарные
характеристики удобрений
Наименование показателя | Вид органического удобрения |
Солома, костра | Растительные компосты | Дефекационная грязь | Фильтрат (фугат) барды послеспиртовой |
Массовая концентрация примесей токсичных элементов, в том числе отдельных элементов, мг/кг сухого вещества, не более: | | |
- свинца | 5,0 | 130 |
- кадмия | 0,3 | 2,0 |
- ртути | 0,05 | 2,1 |
- мышьяка | 0,5 | 10,0 |
Массовая концентрация остаточных количеств пестицидов в сухом веществе, в том числе отдельных их видов, мг/кг сухого вещества, не более: | |
- ГХЦГ (сумма изомеров) | 0,1 |
- ДДТ и его метаболиты (суммарные количества) | 0,1 |
Эффективная удельная активность естественных радионуклидов, Бк/кг сухого вещества, не более | 300 |
Удельная эффективная активность техногенных радионуклидов (ACs/45 + ASr/30), не более | 1 отн. ед. |
Наличие вредных организмов, включенных в перечень вредителей, возбудителей болезней растений, сорняков, имеющих карантинное значение | Не допускается |
4.3 Качество удобрений должно соответствовать требованиям, указанным в таблице 2.
Таблица 2
Требования к физическим, механическим, агрохимическим
свойствам удобрений
Наименование показателя | Вид органического удобрения |
Солома, костра | Растительные компосты | Дефекационная грязь | Фильтрат (фугат) послеспиртовой барды |
Массовая доля сухого вещества, %, не менее | 80 | 25 | 60 | 2,0 |
Содержание балластных инородных механических включений, % от сухого вещества, не более: | | | | |
- с высокой удельной массой (камни, щебень, металл и т.д.) размером менее 40 мм | Не допускается | 1,5 | 1,5 | Не допускается |
- с низкой удельной массой (шпагат, веревка) размером менее 150 мм | 1,5 | 1,5 | 1,5 | Не допускается |
Показатель активности водородных ионов солевой вытяжки (pHсол.) | - | 5,5 - 8,0 | 5,0 - 8,0 | 5,0 - 7,0 |
Массовая доля органического вещества, % на сухой продукт, не менее | 80 | 50 | 20 | 80 |
Массовая доля питательных веществ в продукте с исходной влажностью, % не менее: | | | | |
- общего азота | - | 0,30 | 0,20 | 0,10 |
- фосфора общего, в пересчете на P2O5 | - | 0,20 | 0,10 | 0,04 |
- калия общего, в пересчете на K2O | - | 0,30 | 0,20 | 0,04 |
4.4 Маркировка
4.4.1 Маркировка потребительской упаковки удобрения должна содержать следующую информацию:
- наименование;
- наименование и местонахождение изготовителя [юридический адрес, включая страну, и, при несовпадении с юридическим адресом, адрес(а) производств(а)];
- назначение, область применения;
- способ применения;
- массовая доля питательных веществ (состав);
- правила и условия хранения, транспортирования, применения, доврачебная помощь;
- условия хранения;
- дата изготовления, срок годности;
- номер партии;
- класс опасности (с расшифровкой);
- количество упакованного удобрения;
- надпись "Рекомендации по применению прилагаются".
4.4.2 На каждую транспортную упаковку должна быть наклеена этикетка с маркировкой содержащей:
- наименование;
- наименование и местонахождение изготовителя [юридический адрес, включая страну, и, при несовпадении с юридическим адресом, адрес(а) производств(а)];
- назначение (сведения об основных потребительских свойствах);
- массовую долю питательных веществ (состав);
- правила и условия хранения, транспортирования, применения;
- дату изготовления, срок годности;
- номер партии;
- класс опасности;
- количество упакованного удобрения;
- количество упаковочных единиц;
- номер упаковщика.
Транспортная маркировка по
ГОСТ 14192 предусматривает нанесение манипуляционных знаков "Беречь от влаги", "Беречь от солнечных лучей".
В качестве дополнительной информации могут быть указаны или изображены:
- знак соответствия продукции;
- торговое наименование продукта;
- логотип, соответствующий торговому наименованию продукта;
- логотипы регистранта, изготовителя, фасовщика продукта; слоган, другие рекламные надписи и изображения, соответствующие продукту;
- штрих-код по системе EAN13.
4.5 Упаковка
4.5.1 Все виды упаковки удобрений должны соответствовать требованиям
[2] или нормативных документов, действующих на территории государства, принявшего стандарт.
4.5.2 Твердые виды удобрений упаковывают в потребительскую упаковку: мешки по
ГОСТ 30090, пакеты из полимерных пленок и комбинированных материалов по
ГОСТ 12302, мешки полиэтиленовые по
ГОСТ 17811, мешки полипропиленовые с пленочным мешком-вкладышем по
ГОСТ 19360, мешки бумажные марки БМП и МКП по
ГОСТ 2226, ящики из гофрированного картона по
ГОСТ 9142.
4.5.3 Полужидкие и жидкие удобрения упаковывают в канистры из полимерных материалов с фиксированной крышкой, пластиковые бутылки (ПЭТ-бутылки), бочки полимерные, бочки стальные сварные по
ГОСТ 13950.
4.5.4 Упаковка должна обеспечивать сохранность и качество удобрений при транспортировании, хранении и применении и обеспечивать безопасность для потребителя.
Не допускается применять упаковку, изготовленную с использованием алюминия.
4.5.5 Допускаемое отрицательное отклонение по массе или объему должно соответствовать требованиям, установленным в
ГОСТ 8.579.
5. Требования безопасности
5.1 Удобрения относят к веществам 4-го класса опасности по
ГОСТ 12.1.007.
5.2 Для обеспечения безопасности технологических процессов производства удобрений необходимо:
- соблюдать нормы технологического режима и производственные инструкции;
- следить за исправностью работы оборудования;
- соблюдать противопожарный режим;
- не допускать производства ремонтных работ на работающем оборудовании;
- следить за тем, чтобы все движущиеся механизмы были ограждены;
- допускать к работе персонал, прошедший обучение.
5.3 Общая система мероприятий по безопасности труда при производстве удобрений должна соответствовать требованиям безопасности по
ГОСТ 12.1.008 и
ГОСТ 12.1.010.
5.4 Пожарную безопасность обеспечивают организационно-техническими мероприятиями в соответствии с требованиями
ГОСТ 12.1.004. Рабочие места должны быть оборудованы средствами пожаротушения по
ГОСТ 12.4.009.
Удобрения (солома, костра) - пожароопасны. Во всех случаях загорания следует вызывать пожарную бригаду и немедленно приступать к ликвидации очагов возгорания.
Рекомендуемые средства тушения пожара: вода, пенные и порошковые огнетушители, асбестовые покрывала, сухой песок.
5.5 Производственное оборудование технологических процессов производства и хранения удобрений должно соответствовать требованиям
ГОСТ 12.2.003.
5.6 Погрузочно-разгрузочные работы должны соответствовать требованиям
ГОСТ 12.3.009.
5.7 Санитарно-гигиенические параметры условий труда на рабочих местах должны соответствовать требованиям
ГОСТ 12.1.003 и
ГОСТ 12.1.012.
5.9 Персонал должен быть обеспечен специальной одеждой и специальными защитными средствами (комбинезон или халат хлопчатобумажные; обувь кожаная; перчатки хлопчатобумажные, резиновые или поливинилхлоридные рукавицы; респиратор ШБ-1 "Лепесток" по
ГОСТ 12.4.028; очки защитные - по
ГОСТ 12.4.253).
Специальную одежду и средства индивидуальной защиты хранят в специально выделенном чистом сухом помещении в отдельных шкафах. Специальную одежду стирают в мыльно-содовом растворе не реже одного раза в неделю; резиновые перчатки, очки ежедневно обмывают водой; респираторы (или сменные фильтры к ним) меняют по мере необходимости.
5.10 Персонал должен соблюдать правила личной гигиены и проходить периодический медицинский осмотр в соответствии с требованиями, действующими на территории государства, принявшего стандарт.
5.11 Производственные помещения, в которых производят, упаковывают и хранят удобрения должны быть оборудованы системой приточно-вытяжной вентиляции.
Воздух рабочей зоны и методы контроля состояния воздуха рабочей зоны должны соответствовать требованиям
ГОСТ 12.1.005.
Предельно допустимая концентрация (ПДК) пыли компонентов сырья в воздухе рабочей зоны не должен превышать 6 мг/м3.
6. Требования охраны окружающей среды
6.1 Общие правила охраны окружающей среды при эксплуатации технологического оборудования, используемого при производстве удобрений, должны соответствовать требованиям, действующими на территории государства, принявшего стандарт.
6.2 Общие правила охраны окружающей среды при использовании удобрений должны соответствовать требованиям, действующим на территории государства, принявшего стандарт.
6.3 Применение удобрений в рекомендуемых дозах (см.
приложение А и
приложение Б) не должно приводить к превышению в объектах окружающей среды предельно допустимых концентраций веществ, приведенных в
таблице 1.
6.4 При производстве удобрений не должно образовываться технологических отходов, ведущих к загрязнению объектов окружающей среды.
6.5 Удобрения хранят на площадках, в накопителях, защищенных от проникновения подпочвенных, ливневых и поверхностных стоков. Площадки хранения твердых видов удобрений должны быть оборудованы жижесборниками. Фильтрат (фугат) послеспиртовой барды хранят в накопителях, оборудованных устройствами для перемешивания и выгрузки.
6.6 Загрязненный воздух производственных помещений, выбрасываемый через вентиляционную систему, должен подвергаться очистке.
7.1 Удобрения принимают партиями.
Партией считают любое количество удобрений, произведенных за один технологический цикл из сырья, однородного по показателям качества, хранящегося в одном штабеле или в одном хранилище.
7.2 Каждая партия удобрений должна иметь товаросопроводительные документы содержащие следующую информацию:
- наименование предприятия-изготовителя, его реквизиты, товарный знак (при наличии);
- наименование удобрения с обозначением настоящего стандарта;
- номер партии;
- массу нетто партии;
- дату изготовления (месяц, год);
- число мест в партии;
- дату проведения испытания удобрения и его результаты по показателям, указанным в
таблицах 1,
2;
- дату отгрузки;
- условия хранения;
- сроки годности.
7.3 Приемку каждой партии удобрений, оформление и выдачу товаросопроводительных документов проводит предприятие-изготовитель.
7.4 Каждую партию удобрений проверяют на соответствие показателям качества и безопасности в соответствии с требованиями
таблиц 1,
2.
7.5 При получении результата испытания хотя бы по одному показателю, не соответствующего требованиям
таблиц 1,
2, проводят повторное испытание на удвоенном числе проб, результат которого является окончательным.
Партию удобрений бракуют, если при повторных испытаниях хотя бы один из показателей не соответствует требованиям настоящего стандарта.
7.6 Порядок и периодичность контроля удобрений по показателям безопасности устанавливает предприятие-изготовитель в программе производственного контроля или проводят по требованию контролирующей организации или приобретателя.
8.1 Отбор проб, их подготовка, определение качественного состава удобрений проводят методом лабораторных анализов по
ГОСТ 27262,
ГОСТ 26712.
8.2 Определение содержания токсичных элементов - по нормативным документам, действующим на территории государства, принявшего стандарт.
8.3 Определение содержания остаточных количеств пестицидов и полихлорированных бифенилов - по нормативным документам, действующим на территории государства, принявшего стандарт.
8.4 Определение содержания бенз(а)пирена - по нормативным документам, действующим на территории государства, принявшего стандарт.
8.5 Определение удельной эффективной активности радионуклидов - по нормативным документам, действующим на территории государства, принявшего стандарт.
8.8 Определение балластных, инородных механических включений - по нормативным документам, действующим на территории государства, принявшего стандарт <*>.
--------------------------------
<*> В Российской Федерации действует
ГОСТ Р 55981-2014 "Удобрения органические. Методы определения балластных инородных механических включений".
8.9 Определение массовой доли элементов питания:
8.10 Определение кислотности - по ГОСТ 27979.
8.11 Перечень вредителей, возбудителей болезней растений, карантинных сорняков - по нормативным документам, действующим на территории государства, принявшего стандарт.
9. Транспортирование и хранение
9.1 При хранении и транспортировании удобрений следует соблюдать требования и меры предосторожности, действующие на территории государства, принявшего стандарт.
9.2 Транспортирование удобрений осуществляют всеми видами транспорта в соответствии с правилами перевозки грузов, действующими на данном виде транспорта, обеспечивающими сохранность удобрений и упаковки.
9.3 При транспортировании удобрений должны быть предусмотрены меры, обеспечивающие охрану окружающей среды от загрязнения, мест их погрузки и выгрузки.
9.4 Транспортирование твердых видов удобрений осуществляют в рассыпном виде, "навалом-насыпью", тракторными тележками, автомашинами с защитой от атмосферных осадков, исключающей загрязнение окружающей среды.
9.5 Полужидкие и жидкие удобрения транспортируют в цистернах, специализированными машинами, в упакованном виде - любым видом транспорта, гарантирующим их сохранность, охрану окружающей среды от загрязнения. Фильтрат (фугат) послеспиртовой барды от места хранения к полям их утилизации может транспортироваться по шланговым системам, включающим специализированные насосные станции, плоскосворачиваемые шланги и агрегаты для внесения в почву.
9.6 Срок годности удобрений устанавливает изготовитель.
10. Указания по применению
10.1 При использовании удобрений необходимо соблюдать положения нормативных документов, действующим на территории государства, принявшего стандарт. Удобрения применяют в соответствии с рекомендациями по применению, разработанными, согласованными и утвержденными в установленном порядке.
10.2 Удобрения применяют под сельскохозяйственные культуры всех видов, в качестве субстратов в тепличных и грибоводческих хозяйствах.
10.3 Удобрения должны применяться в дозах, рекомендованных с учетом вида культуры, плодородия каждого отдельного поля.
10.4 Примерные дозы внесения удобрений (фильтрата (фугата) послеспиртовой барды и соломы) приведены в приложениях А и
Б.
(справочное)
РЕКОМЕНДУЕМЫЕ ДОЗЫ ВНЕСЕНИЯ ФИЛЬТРАТА (ФУГАТА)
ПОСЛЕСПИРТОВОЙ БАРДЫ ПОД РАЗЛИЧНЫЕ
СЕЛЬСКОХОЗЯЙСТВЕННЫЕ КУЛЬТУРЫ
А.1 Рекомендуемые дозы внесения фильтрата (фугата) послеспиртовой барды приведены в таблице А.1.
Таблица А.1
Наименование сельскохозяйственной культуры | Годовая доза | Сроки внесения |
азота, кг/га | |
Озимые зерновые | 120 - 140 | 80 - 100 | Перед основной обработкой (вспашка) |
Картофель столовый | 120 - 200 | 80 - 130 | Осенью при зяблевой вспашке или весной перед весенней перепашкой |
Кормовая и сахарная свекла на корм скоту | 200 - 300 | 130 - 200 | Осенью перед зяблевой обработкой или весной перед предпосевной обработкой |
Кукуруза на зеленый корм и силос | 200 - 300 | 130 - 200 |
Озимые промежуточные культуры | 140 - 180 | 100 - 120 | Под предпосевную обработку почвы |
Многолетние злаковые и злаково-бобовые травы на сено и зеленый корм | 240 - 300 | 160 - 200 | Перед посевом и после укосов в виде удобрительного полива или разбрызгиванием по поверхности почвы |
<*> При содержании в фильтрате (фугате) послеспиртовой барды 0,15% азота. Примечание - При использовании фильтрата (фугата) послеспиртовой барды для предотвращения подкисления почвы необходимо дополнительно вносить известь из расчета 2,5 - 5,5 кг CaCO3 на 1 т фильтрата (фугата) или использовать реагенты нейтрализаторы: водный раствор аммиака, гидроксид калия, раствор извести, отвечающие требованиям действующих нормативных документов. |
(справочное)
При оценке соломы как органического удобрения большое значение имеет соотношение углерода к азоту (C:N). В случае соотношения их больше, чем 30:1, происходит иммобилизация подвижных форм азота почвы, и растения испытывают их недостаток. При соотношении от 20:1 до 30:1 происходит энергичное разложение соломы и создаются благоприятные условия для питания растений. Если органическое вещество имеет более узкое соотношение углерода к азоту, то преобладает мобилизация подвижных форм азота и часть его вымывается или улетучивается при денитрификации.
Солома бобовых культур может применяться на удобрение без дополнительного внесения азотных туков. Недостаток азота в злаковой соломе при внесении под озимые культуры необходимо компенсировать до соотношения C:N - 25:1. Если по соломе планируется возделывание яровых культур с внесением минеральных азотных удобрений на хорошо окультуренных почвах необходимость компенсирующей дозы азота по соломе отпадает.
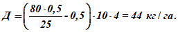
Дозу азотных удобрений (сверх рекомендуемой дозы) под культуру можно рассчитать по формуле

(1)
где Д - доза азотных удобрений, действующего вещества, кг/га;
K - отношение C:N в соломе;
N - содержание азота в соломе, %;
25 - необходимое соотношение C:N;
C - количество запахиваемой соломы на 1 га, т.
Пример расчета потребности в азоте при запашке соломы озимой пшеницы 4 т/га:
В среднем на 1 т соломы нужно планировать дополнительное внесение 10 кг азота.
Солома с сильно засоренных полей для удобрений не применяется.
Солома для удобрений используется следующим образом: в период уборки урожая зерновых культур солому измельчают и равномерно разбрасывают по полю. Для этого на комбайне вместо копнителя монтируют измельчитель соломы. При этом нужно отрегулировать работу комбайна и измельчителя таким образом, чтобы ленты с соломой были размером на ширину захвата комбайна.
В случае отсутствия измельчителя урожай убирают комбайном без соломокопнителя. Из валков солому подбирают, измельчают и разбрасывают по полю подборщиками-измельчителями.
На почвах с непромывным режимом по соломе вносят минеральные удобрения или полужидкий навоз и помет, затем поле дискуют. При использовании с соломой жидкого навоза и навозных стоков для равномерного их распределения по поверхности почвы поле дискуют дважды - до и после внесения удобрений. На почвах с промывным режимом азотные удобрения целесообразно вносить весной, при этом суммарная доза азота не должна приводить к полеганию зерновых культур.
Первоначальная заделка соломы в верхние слои почвы способствует более энергичному ее разложению без накопления токсичных веществ, активизации прорастания сорняков. Спустя 3 - 4 недели солому запахивают.
Если по фону соломы в промежуточных посевах возделываются сидераты, то удобрения вносятся под них на всех почвах. Под бобовые культуры дополнительно вносить азотные удобрения не нужно.
| ИСО 8157-84 | Удобрения и почвоулучшающие вещества. Словарь терминов |
| | Технический регламент Таможенного союза "О безопасности упаковки", утвержденный решением Комиссии Таможенного союза от 16 августа 2011 г. N 769 |