Краткое наименование страны по МК (ИСО 3166) 004-97 | Код страны по МК (ИСО 3166) 004-97 | Сокращенное наименование национального органа по стандартизации |
Армения | AM | Минэкономики Республики Армения |
Беларусь | BY | Госстандарт Республики Беларусь |
Казахстан | KZ | Госстандарт Республики Казахстан |
Киргизия | KG | Кыргызстандарт |
Россия | RU | Росстандарт |
Таджикистан | TJ | Таджикстандарт |
Туркмения | TM | Главгосслужба "Туркменстандартлары" |

Основная группа | Группа второго уровня | Подгруппа третьего уровня | Подгруппа четвертого уровня |
1.1.1 Целые деревья (без корневой системы) | 1.1.1.4 Кустарники 1.1.1.5 Искусственные и непроизвольные смеси | ||
1.1.2 Целые деревья (с корневой системой) | 1.1.2.1 Лиственные 1.1.2.2 Хвойные 1.1.2.3 Низкоствольные породы с коротким оборотом ротации 1.1.2.4 Кустарники 1.1.2.5 Искусственные и непроизвольные смеси | ||
1.1.3 Древесные стволы | 1.1.3.4 Хвойные без коры 1.1.3.5 Искусственные и непроизвольные смеси | ||
1.1.4.5 Искусственные и непроизвольные смеси | |||
1.1.5 Пни/корни | 1.1.5.1 Лиственные породы 1.1.5.2 Хвойные породы 1.1.5.3 Низкоствольные породы с коротким оборотом ротации 1.1.5.4 Кустарники 1.1.5.5 Искусственные и непроизвольные смеси | ||
1.1.7 Древесная биомасса садов, парков, придорожных насаждений, виноградников, фруктовых садов и древесина после сплава | |||
1.1.8 Искусственные и непроизвольные смеси | |||
1.2 Побочные продукты и отходы деревообрабатывающей промышленности | 1.2.1.3 Лиственные без коры 1.2.1.4 Хвойные без коры | ||
1.2.2.2 С корой | |||
1.2.3 Искусственные и непроизвольные смеси | |||
1.3.1 Химически не обработанная использованная древесина | 1.3.1.2 С корой | ||
1.3.2.2 С корой | |||
1.3.3 Искусственные и непроизвольные смеси | |||
1.4 Искусственные и непроизвольные смеси | |||
2.1.1 Зерновые культуры | 2.1.1.1 Целые растения 2.1.1.5 Искусственные и непроизвольные смеси | ||
2.1.2 Травы | 2.1.2.3 Семена 2.1.2.4 Шелуха | ||
2.1.3 Масличные культуры | 2.1.3.1 Целые растения 2.1.3.3 Семена 2.1.3.4 Шелуха и скорлупа 2.1.3.5 Искусственные и непроизвольные смеси | ||
2.1.4 Корнеплоды | 2.1.4.1 Целые растения 2.1.4.2 Стебли и листья 2.1.4.3 Корни 2.1.4.4 Искусственные и непроизвольные смеси | ||
2.1.5 Бобовые культуры | 2.1.5.1 Целые растения 2.1.5.2 Стебли и листья 2.1.5.3 Плоды 2.1.5.4 Шелуха 2.1.5.5 Искусственные и непроизвольные смеси | ||
2.1.6 Цветы | 2.1.6.1 Целые растения 2.1.6.3 Семена 2.1.6.4 Искусственные и непроизвольные смеси | ||
2.1.7 Травяная биомасса садов, парков, придорожных насаждений, виноградников и фруктовых садов | |||
2.1.8 Искусственные и непроизвольные смеси | |||
2.2.1 Химически не обработанные травяные отходы | 2.2.1.2 Масличные культуры 2.2.1.3 Корнеплоды 2.2.1.4 Бобовые культуры 2.2.1.5 Цветы 2.2.1.6 Искусственные и непроизвольные смеси | ||
2.2.2.1 Зерновые культуры и травы 2.2.2.2 Масличные культуры 2.2.2.3 Корнеплоды 2.2.2.4 Бобовые культуры 2.2.2.5 Цветы 2.2.2.6 Искусственные и непроизвольные смеси | |||
2.2.3 Искусственные и непроизвольные смеси | |||
2.3 Искусственные и непроизвольные смеси | |||
3.1.1 Плоды без косточек | 3.1.1.1 Целые плоды 3.1.1.2 Плодовая мякоть 3.1.1.4 Искусственные и непроизвольные смеси | ||
3.1.2 Плоды с косточкой/ядром | 3.1.2.1 Целые плоды 3.1.2.2 Плодовая мякоть 3.1.2.4 Искусственные и непроизвольные смеси | ||
3.1.3.1 Целые орехи 3.1.3.3 Ядра 3.1.3.4 Искусственные и непроизвольные смеси | |||
3.1.4 Искусственные и непроизвольные смеси | |||
3.2.1 Химически не обработанные плодовые отходы | 3.2.1.5 Искусственные и непроизвольные смеси | ||
3.2.2.5 Искусственные и непроизвольные смеси | |||
3.2.3 Искусственные и непроизвольные смеси | |||
3.3 Искусственные и непроизвольные смеси | |||
4.1 Водоросли | 4.1.1 Микроводоросли (латинское название отсутствует) | ||
4.1.2 Макроводоросли (латинское название отсутствует) | |||
4.1.3 Искусственные и непроизвольные смеси | |||
4.2 Эйхорния (водяной гиацинт) | |||
4.3 Озерная и морская растительность | 4.3.1 Озерная растительность (латинское название отсутствует) | ||
4.3.2 Морская растительность | 4.3.2.1 Синие морские водоросли (латинское название отсутствует) 4.3.2.2 Зеленые морские водоросли (латинское название отсутствует) 4.3.2.3 Сине-зеленые морские водоросли (латинское название отсутствует) 4.3.2.5 Красные морские водоросли (латинское название отсутствует) | ||
4.3.3 Искусственные и непроизвольные смеси | |||
4.4 Тростник | 4.4.1 Тростник обыкновенный | ||
4.4.2 Другие виды тростника | |||
4.4.3 Искусственные и непроизвольные смеси | |||
4.5 Искусственные и непроизвольные смеси | |||
5.1 Искусственные смеси | |||
5.2 Непроизвольные смеси | |||
Наименование биотоплива | Типичный размер частиц | Метод приготовления |
Целое дерево (таблица 16) | Св. 500 мм | Не обработанное или очищенное от сучьев |
Древесная щепа (таблица 5) | От 5 до 100 мм | Резка острыми инструментами |
Измельченное топливо (таблица 5) | Различный | Дробление тупыми инструментами |
Стволовая древесина/Кругляк (таблица 6) | Св. 100 см | Резка острыми инструментами |
Поленья (таблица 6) | От 50 до 100 см | Резка острыми инструментами |
Дрова (таблица 6) | От 5 до 100 см | Резка острыми инструментами |
Различный | Резка острыми инструментами | |
Кора (таблица 9) | Различный | Отходы очистки деревьев от коры (измельченные или нет) |
Пачки (таблица 16) | Различный | Продольная укладка и связывание |
Топливная пыль, порошок (таблица 16) | До 1 мм | Механическое измельчение (размол, распиловка и др.) |
Опилки (таблица 7) | От 1 до 5 мм | Резка острыми инструментами |
Стружка (таблица 8) | От 1 до 30 мм | Строгание острыми инструментами |
Брикеты (таблица 3) | Диаметром св. 25 мм | Механическое сжатие (пресс) |
Пеллеты (таблица 4) | Диаметром не более 25 мм | Механическое сжатие (пресс) |
Кипы (таблица 10): | ||
малые прямоугольные | 0,1 м3 | Сжатие и скрепление в прямоугольную форму |
большие прямоугольные | 3,7 м3 | То же |
круглые (рулоны) | 2,1 м3 | Сжатие и скрепление в цилиндрическую форму |
Рубленая солома или энергетическая трава (таблица 16) | От 10 до 200 мм | Рубка во время уборки урожая или перед сжиганием |
Различный | Без дополнительной подготовки или сушки, за исключением операций, необходимых для хранения зерна | |
Косточки или ядра плодов (таблица 12) | От 5 до 15 мм | Без подготовки или прессования и обработки химическими экстрагентами |
Волокнистый жмых (таблица 16) | Различный | Высушивание волокнистых отходов |
Древесный уголь (таблица 14) | Различный | Деструктивная дистилляция или пиролиз биомассы |
Термически обработанная биомасса (таблица 15) | Различный | Предварительное кратковременное (например, 60 мин) пребывание биомассы при температуре от 200 до 300 °C |
Нормируемые характеристики | Древесная биомасса (1) Травяная биомасса (2) Плодовая биомасса (3) Биомасса водных растений (4) Искусственные и непроизвольные смеси биомасс (5) | |||
Торговая форма (см. таблицу 2 настоящего стандарта) | Брикеты | |||
Размеры (мм) | ||||
Диаметр (D) и длина (L) | ||||
Устанавливают диаметр, высоту, ширину и длину. При этом L1 - длина, L2 - ширина, L3 - высота. Форму характеризуют согласно рисунку 2, где формы обозначены 1, 2 и т.д. | ![]() L - длина; D - диаметр | |||
Содержание влаги, M (% на рабочее состояние) по ISO 18134-1 [4], ГОСТ 32975.2 | ||||
M10 | <= 10% | |||
M12 | <= 12% | |||
M15 | <= 15% | |||
Зольность, A (% на сухое состояние) по ГОСТ 32988 | ||||
A0.5 | <= 0,5% | |||
A0.7 | <= 0,7% | |||
A1.0 | <= 1,0% | |||
A1.5 | <= 1,5% | |||
A2.0 | <= 2,0% | |||
A3.0 | <= 3,0% | |||
A5.0 | <= 5,0% | |||
A7.0 | <= 7,0% | |||
A10.0 | <= 10,0% | |||
A10.0+ | > 10,0% (указывают максимальное значение) | |||
Плотность частиц, DE (г/см3 на рабочее состояние) по ISO 18847 [5] | ||||
DE0.8 | >= 0,8 г/см3 | |||
DE0.9 | >= 0,9 г/см3 | |||
DE1.0 | >= 1,0 г/см3 | |||
DE1.1 | >= 1,1 г/см3 | |||
DE1.2 | >= 1,2 г/см3 | |||
DE1.2+ | > 1,2 г/см3 (указывают максимальное значение) | |||
Добавки <a> (% спрессованной массы) | Указывают тип и содержание добавок для прессования, ингибиторов шлакообразования и др. | |||
Низшая теплота сгорания, Q (МДж/кг или кВт·ч/кг на рабочее состояние) по ГОСТ 33106 | Указывают минимальное значение <b> | |||
Нормируемые/справочные характеристики | Механическая прочность, DU (% брикетов после испытания) по ISO 17831-2 [6] | |||
DU95.0 | >= 95,0% | Справочная: Только при поставке навалом (не упакованными) | ||
DU90.0 | >= 90,0% | |||
DU90.0- | < 90,0% (указывают минимальное значение) | |||
Содержание азота, N (% на сухое состояние) по ГОСТ 32985 | ||||
N0.2 | <= 0,2% | Нормируемая: Справочная: для всех видов биомассы, не подвергнутых химической обработке (исключения см. выше) | ||
N0.3 | <= 0,3% | |||
N0.5 | <= 0,5% | |||
N0.7 | <= 0,7% | |||
N1.0 | <= 1,0% | |||
N1.5 | <= 1,5% | |||
N2.0 | <= 2,0% | |||
N3.0 | <= 3,0% | |||
N3.0+ | > 3,0% (указывают максимальное значение) | |||
Содержание серы, S (% на сухое состояние) по ГОСТ 33256 | ||||
S0.02 | <= 0,02% | Нормируемая: для химически обработанной биомассы (1.2.2; 1.3.2; 2.2.2; 3.2.2) или при использовании добавок, содержащих серу. Справочная: для всех видов биомассы, не подвергнутых химической обработке (исключения см. выше) | ||
S0.03 | <= 0,03% | |||
S0.04 | <= 0,04% | |||
S0.05 | <= 0,05% | |||
S0.08 | <= 0,08% | |||
S0.10 | <= 0,10% | |||
S0.20 | <= 0,20% | |||
S0.20+ | > 0,20% (указывают максимальное значение) | |||
Содержание хлора, Cl (% на сухое состояние) по ГОСТ 33256 | ||||
Cl0.01 | <= 0,01% | Нормируемая: Справочная: для всех видов биомассы, не подвергнутых химической обработке (исключения см. выше) | ||
Cl0.02 | <= 0,02% | |||
Cl0.03 | <= 0,03% | |||
Cl0.07 | <= 0,07% | |||
Cl0.10 | <= 0,10% | |||
Cl0.20 | <= 0,20% | |||
Cl0.30 | <= 0,30% | |||
Cl0.30+ | > 0,30% (указывают максимальное значение) | |||
Содержание нелетучего углерода, C <c> (% на сухое состояние) | ||||
Указывают минимальное значение | Нормируют только для брикетов из термически обработанной биомассы | |||
Выход летучих веществ, VM (% на сухое состояние) по ГОСТ 32990 | ||||
Указывают максимальное значение | Нормируют только для брикетов из термически обработанной биомассы | |||
Справочная характеристика | Следует указывать | |||
<a> Максимальное количество добавок составляет 20% спрессованной массы. Иначе сырье, из которого изготовлен брикет, считают искусственной смесью. Указывают химическое вещество, использованное в качестве добавки (например, крахмал, кукурузная мука, картофельная мука, растительное масло, лигнин). <b> Минимальное значение для брикетов из высушенной или другим образом термически обработанной биомассы обычно составляет >= 18 МДж/кг. <c> Содержание нелетучего углерода (%) рассчитывают следующим образом: 100 - [содержание влаги (%) + зольность (%) + выход летучих веществ (%)]. Все показатели должны быть выражены на одинаковое содержание влаги. <d> Для некоторых видов биомассы (например, эвкалипт, тополь, низкоствольные породы с коротким оборотом ротации, солома, мискантус, оливковые косточки) следует особое внимание обращать на плавкость золы. Рекомендуется указывать все характерные температуры (начальную температуру усадки SST, температуру деформации DT, температуру полусферы HT и температуру растекания FT), определяемые в окислительной атмосфере. | ||||
Нормируемые характеристики | Происхождение: | Древесная биомасса (1) Травяная биомасса (2) Плодовая биомасса (3) Биомасса водных растений (4) Искусственные и непроизвольные смеси биомасс (5) | ||
Торговая форма (см. таблицу 2 настоящего стандарта) | Пеллеты | |||
Размеры (мм) по ISO 17829 [8] | ||||
Диаметр (D) и длина (L) <a> | ||||
D06 | (6 +/- 1,0) мм и 3,15 мм < L <= 40 мм | ![]() Рисунок 3 - Размеры пеллет | ||
D08 | (8 +/- 1,0) мм и 3,15 мм < L <= 40 мм | |||
D10 | (10 +/- 1,0) мм и 3,15 мм < L <= 40 мм | |||
D12 | (12 +/- 1,0) мм и 3,15 мм < L <= 50 мм | |||
D25 | (25 +/- 1,0) мм и 10 мм < L <= 50 мм | |||
Содержание влаги, M (% на рабочее состояние) по ISO 18134-1 [4], ГОСТ 32975.2 | ||||
M05 | <= 5% | |||
M08 | <= 8% | |||
M10 | <= 10% | |||
M12 | <= 12% | |||
M15 | <= 15% | |||
Зольность, A (% на сухое состояние) по ГОСТ 32988 | ||||
A0.5 | <= 0,5% | |||
A0.7 | <= 0,7% | |||
A1.0 | <= 1,0% | |||
A1.2 | <= 1,2% | |||
A1.5 | <= 1,5% | |||
A2.0 | <= 2,0% | |||
A3.0 | <= 3,0% | |||
A4.0 | <= 4,0% | |||
A5.0 | <= 5,0% | |||
A6.0 | <= 6,0% | |||
A7.0 | <= 7,0% | |||
A8.0 | <= 8,0% | |||
A10.0 | <= 10,0% | |||
A10.0+ | > 10,0% (указывают максимальное значение) | |||
Механическая прочность, DU (% пеллет после испытания) по ISO 17831-1 [9] | ||||
DU97.5 | >= 97,5% | |||
DU96.5 | >= 96,5% | |||
DU95.0 | >= 95,0% | |||
DU95.0- | < 95,0% (указывают минимальное значение) | |||
Содержание мелочи, F (% < 3,15 мм) после производства при погрузке или упаковке, по ISO 18846 [10] | ||||
F1.0 | <= 1,0% | |||
F2.0 | <= 2,0% | |||
F3.0 | <= 3,0% | |||
F4.0 | <= 4,0% | |||
F5.0 | <= 5,0% | |||
F6.0 | <= 6,0% | |||
F6.0+ | > 6,0% (указывают максимальное значение) | |||
Добавки (% спрессованной массы) <b> | Указывают тип и содержание добавок для прессования, ингибиторов шлакообразования и др. | |||
Насыпная плотность, BD (кг/м3 на рабочее состояние) по ГОСТ 32987 | ||||
BD550 | >= 550 кг/м3 | |||
BD580 | >= 580 кг/м3 | |||
BD600 | >= 600 кг/м3 | |||
BD625 | >= 625 кг/м3 | |||
BD650 | >= 650 кг/м3 | |||
BD700 | >= 700 кг/м3 | |||
BD750 | >= 750 кг/м3 | |||
BD800+ | > 800 кг/м3 (указывают минимальное значение) | |||
Низшая теплота сгорания, Q (МДж/кг или кВт·ч/кг на рабочее состояние) по ГОСТ 33106 | Указывают минимальное значение <c> | |||
Нормируемые/справочные характеристики | Содержание азота, N (% на сухое состояние) по ГОСТ 32985 | |||
N0.2 | <= 0,2% | Нормируемая: | ||
N0.3 | <= 0,3% | |||
N0.5 | <= 0,5% | |||
N0.6 | <= 0,6% | |||
N0.7 | <= 0,7% | |||
N1.0 | <= 1,0% | Справочная: для всех видов биомассы, не подвергнутых химической обработке (исключения см. выше) | ||
N1.5 | <= 1,5% | |||
N2.0 | <= 2,0% | |||
N3.0 | <= 3,0% | |||
N3.0+ | > 3,0% (указывают максимальное значение) | |||
Содержание серы, S (% на сухое состояние) по ГОСТ 33256 | ||||
S0.02 | <= 0,02% | Нормируемая: для химически обработанной биомассы (1.2.2; 1.3.2; 2.2.2; 3.2.2) или при использовании добавок, содержащих серу. Справочная: для всех видов биомассы, не подвергнутых химической обработке (исключения см. выше) | ||
S0.03 | <= 0,03% | |||
S0.04 | <= 0,04% | |||
S0.05 | <= 0,05% | |||
S0.08 | <= 0,08% | |||
S0.10 | <= 0,10% | |||
S0.20 | <= 0,20% | |||
S0.20+ | > 0,20% (указывают максимальное значение) | |||
Содержание хлора, Cl (% на сухое состояние) по ГОСТ 33256 | ||||
Cl0.01 | <= 0,01% | Нормируемая: Справочная: для всех видов биомассы, не подвергнутых химической обработке (исключения см. выше) | ||
Cl0.02 | <= 0,02% | |||
Cl0.03 | <= 0,03% | |||
Cl0.05 | <= 0,05% | |||
Cl0.07 | <= 0,07% | |||
Cl0.10 | <= 0,10% | |||
Cl0.20 | <= 0,20% | |||
Cl0.30 | <= 0,30% | |||
Cl0.30+ | > 0,30% (указывают максимальное значение) | |||
Содержание нелетучего углерода, C <d> (% на сухое состояние) | ||||
Указывают минимальное значение | Нормируют только для пеллет из термически обработанной биомассы | |||
Выход летучих веществ, VM (% на сухое состояние) по ГОСТ 32990 | ||||
Указывают максимальное значение | Нормируют только для пеллет из термически обработанной биомассы | |||
Гранулометрический состав пеллет (% на сухое состояние) по ISO 17830 [11] | Устанавливают для пеллет, предназначенных для промышленного использования | |||
Справочная характеристика | Следует указывать | |||
<a> Массовая доля пеллет длиной более 40 мм (или 50 мм) должна быть не более 5%. Максимальная длина пеллет классов D06, D08 и D10 должна составлять не более 45 мм. Считают, что длина пеллет превышает 3,15 мм, если они остаются на поверхности сита с размером отверстий 3,15 мм. <b> Максимальное количество добавок составляет 20% спрессованной массы. Иначе сырье, из которого изготовлены пеллеты, считают искусственной смесью. Указывают тип добавки (например, крахмал, кукурузная мука, картофельная мука, растительное масло, лигнин). <c> Минимальное значение для пеллет из высушенной или другим образом термически обработанной биомассы обычно составляет >= 18 МДж/кг. <d> Содержание нелетучего углерода (%) рассчитывают следующим образом: 100 - [содержание влаги (%) + зольность (%) + выход летучих веществ (%)]. Все показатели должны быть выражены на одинаковое содержание влаги. <e> Для некоторых видов биомассы (например, эвкалипт, тополь, низкоствольные породы с коротким оборотом ротации, солома, мискантус, оливковые косточки) следует особое внимание обращать на плавкость золы. Рекомендуется указывать все характерные температуры (начальную температуру усадки SST, температуру деформации DT, температуру полусферы HT и температуру растекания FT), определяемые в окислительной атмосфере. Если температура, при которой была получена зола, отличалась от 550 °C, это следует указать. | ||||
Нормируемые характеристики | Древесная биомасса (1) | ||||
Торговая форма | Древесная щепа и измельченное топливо <a> | ||||
Размеры, P (мм) по ГОСТ 32989.1 | |||||
Основной класс крупности <b> (минимум 60%), мм | Крупные классы, % (длина частиц, мм) | Макс. длина частиц <c>, мм | Макс площадь сечения крупной фракции <d>, см2 | ||
P16S | 3,15 мм < P <= 16 мм | <= 6% > 31,5 мм | <= 45 мм | <= 2 см2 | |
P16 | 3,15 мм < P <= 16 мм | <= 6% > 31,5 мм | <= 150 мм | ||
P31S | 3,15 мм < P <= 31,5 мм | <= 6% > 45 мм | <= 150 мм | <= 4 см2 | |
P31 | 3,15 мм < P <= 31,5 мм | <= 6% > 45 мм | <= 200 мм | ||
P45S | 3,15 мм < P <= 45 мм | <= 6% > 63 мм | <= 200 мм | <= 6 см2 | |
P45 | 3,15 мм < P <= 45 мм | <= 6% > 63 мм | <= 350 мм | ||
P63 | 3,15 мм < P <= 63 мм | <= 6% > 100 мм | <= 350 мм | ||
P100 | 3,15 мм < P <= 100 мм | <= 6% > 150 мм | <= 350 мм | ||
P200 | 3,15 мм < P <= 200 мм | <= 6% > 250 мм | <= 400 мм | ||
P300 | 3,15 мм < P <= 300 мм | устанавливают | устанавливают | ||
Содержание мелочи, F (% < 3,15 мм) по ГОСТ 32989.1 | |||||
F05 | <= 5% | ||||
F10 | <= 10% | ||||
F15 | <= 15% | ||||
F20 | <= 20% | ||||
F25 | <= 25% | ||||
F30 | <= 30% | ||||
F30+ | > 30% (указывают максимальное значение) | ||||
M10 | <= 10% | ||||
M15 | <= 15% | ||||
M20 | <= 20% | ||||
M25 | <= 25% | ||||
M30 | <= 30% | ||||
M35 | <= 35% | ||||
M40 | <= 40% | ||||
M45 | <= 45% | ||||
M50 | <= 50% | ||||
M55 | <= 55% | ||||
M55+ | > 55% (указывают максимальное значение) | ||||
Зольность, A (% на сухое состояние) по ГОСТ 32988 | |||||
A0.5 | <= 0,5% | ||||
A0.7 | <= 0,7% | ||||
A1.0 | <= 1,0% | ||||
A1.5 | <= 1,5% | ||||
A2.0 | <= 2,0% | ||||
A3.0 | <= 3,0% | ||||
A5.0 | <= 5,0% | ||||
A7.0 | <= 7,0% | ||||
A10.0 | <= 10,0% | ||||
A10.0+ | > 10,0% (указывают максимальное значение) | ||||
Нормируемые/справочные характеристики | Содержание азота, N (% на сухое состояние) по ГОСТ 32985 | ||||
N0.2 | <= 0,2% | Нормируемая: Справочная: для всех видов биомассы, не подвергнутых химической обработке (исключения см. выше) | |||
N0.3 | <= 0,3% | ||||
N0.5 | <= 0,5% | ||||
N1.0 | <= 1,0% | ||||
N1.5 | <= 1,5% | ||||
N2.0 | <= 2,0% | ||||
N3.0 | <= 3,0% | ||||
N3.0+ | > 3,0% (указывают максимальное значение) | ||||
Содержание серы, S (% на сухое состояние) по ГОСТ 33256 | |||||
S0.02 | <= 0,02% | Нормируемая: Справочная: для всех видов биомассы, не подвергнутых химической обработке (исключения см. выше) | |||
S0.03 | <= 0,03% | ||||
S0.04 | <= 0,04% | ||||
S0.05 | <= 0,05% | ||||
S0.08 | <= 0,08% | ||||
S0.10 | <= 0,10% | ||||
S0.10+ | > 0,10% (указывают максимальное значение) | ||||
Содержание хлора, Cl (% на сухое состояние) по ГОСТ 33256 | |||||
Cl0.02 | <= 0,02% | Нормируемая: Справочная: для всех видов биомассы, не подвергнутых химической обработке (исключения см. выше) | |||
Cl0.03 | <= 0,03% | ||||
Cl0.05 | <= 0,05% | ||||
Cl0.07 | <= 0,07% | ||||
Cl0.10 | <= 0,10% | ||||
Cl0.10+ | > 0,10% (указывают максимальное значение) | ||||
Справочные характеристики | Низшая теплота сгорания, Q (МДж/кг или кВт·ч/кг на рабочее состояние) или удельная энергоемкость, E (МДж/м3 или кВт·ч/м3) по ГОСТ 33106 | Указывают минимальное значение | |||
Насыпная плотность, BD (кг/м3 на рабочее состояние) по ГОСТ 32987 | |||||
BD150 | >= 150 кг/м3 | Указывают, если размеры поставок измеряют в объемных единицах. | |||
BD200 | >= 200 кг/м3 | ||||
BD250 | >= 250 кг/м3 | ||||
BD300 | >= 300 кг/м3 | ||||
BD350 | >= 350 кг/м3 | ||||
BD400 | >= 400 кг/м3 | ||||
BD450+ | > 450 кг/м3 (указывают минимальное значение) | ||||
Следует указывать. | |||||
<a> Материал для производства измельченной древесины или щепы иногда содержит много камней, которые могут попадать например, вместе с пнями, корнями или деревьями из садов и парков. Максимальное содержание камней (%) рекомендуется указывать, поскольку одной информации о зольности недостаточно для описания влияния качества такого топлива на работу питателей и процессы сжигания. Содержание камней определяют путем сортировки вручную топлива класса крупности более 3,15 мм и взвешивания. Обращение с достаточно большими пробами дано в ISO 18135 [2]. Небольшие камни, песок и грунт определить не удается, они вносят свой вклад в зольность топлива. <b> Числовые значения данной технической характеристики (P-класса), означающие размеры частиц, относятся к частицам (не менее 60% по массе), проходящим через сита с круглыми отверстиями (ГОСТ 32989.1). Для щепы и дробленой древесины, используемой в качестве биотоплива для жилых домов и малых коммерческих предприятий, введен дополнительный класс S. При определении P-класса биотоплива из возможных классов выбирают класс с наименьшим значением данной характеристики. <c> Длину и площадь сечения определяют только в частицах топлива, находящихся в крупных классах топлива. При максимальной площади поперечного сечения < 0,5 см2 количество кусков на 10 дм3 топлива, превышающих указанную максимальную длину, должно составлять не более двух (2). <d> Для измерения площади поперечного сечения кусков топлива используют прозрачный шаблон с нанесенной на него сеткой, площадь клеток которой равна 1 см2. Кусок топлива помещают позади такого шаблона перпендикулярно его поверхности и оценивают площадь сечения куска. <e> Из возможных классов указывают класс с наименьшим значением технической характеристики. Некоторые типы бойлерных установок требуют топлива с малым содержанием влаги. Для них указывают минимальное содержание влаги. <f> Для некоторых видов биомассы (например, эвкалипт, тополь, низкоствольные породы с коротким оборотом ротации, солома, мискантус, оливковые косточки) следует особое внимание обращать на плавкость золы. Рекомендуется указывать все характерные температуры (начальную температуру усадки SST, температуру деформации DT, температуру полусферы HT и температуру растекания FT), определяемые в окислительной атмосфере. | |||||
Нормируемые характеристики | Указывают породу древесины | ||
Торговая форма | Ствол/круглый лес, поленья, дрова | ||
Размеры (см) | |||
Длина (L) (максимальная длина отдельных кусков), см <a> | |||
L20- | < 20 см | ![]() L - длина; D - диаметр Рисунок 4 - Примеры | |
L20 | (20 +/- 2) см | ||
L25 | (25 +/- 2) см | ||
L30 | (30 +/- 2) см | ||
L33 | (33 +/- 2) см | ||
L40 | (40 +/- 2) см | ||
L50 | (50 +/- 4) см | ||
L100 | (100 +/- 5) см | ||
L100+ | > 100 см (указывают максимальное значение) | ||
Диаметр (D) (максимальный диаметр отдельных кусков), см <a> | |||
D2- | < 2 см (древесина для растопки) | ||
D5 | 2 см <= D <= 5 см | ||
D10 | 5 см <= D <= 10 см | ||
D15 | 10 см <= D <= 15 см | ||
D20 | 10 см <= D <= 20 см | ||
D25 | 10 см <= D <= 25 см | ||
D35 | 20 см <= D <= 35 см | ||
D35+ | > 35 см (указывают максимальное значение) | ||
M10 | <= 10% | ||
M15 | <= 15% | ||
M20 | <= 20% | ||
M25 | <= 25% | ||
M30 | <= 30% | ||
M35 | <= 35% | ||
M40 | <= 40% | ||
M45 | <= 45% | ||
M55 | <= 55% | ||
M55+ | > 55% (указывают максимальное значение) | ||
Выход летучих веществ на 1 м3 (штабеля или свободно насыпанного топлива) или на 1 кг (на рабочее состояние) | При розничной торговле указывают информацию о единице измерения (м3 поленьев, уложенных в штабель, или свободно лежащих; кг) и/или вес продаваемой партии поленьев | ||
Справочные характеристики | Отношение влаги к сухой массе, U (%) <b> | ||
U10 | <= 10% | ||
U11 | <= 11% | ||
U15 | <= 15% | ||
U20 | <= 20% | ||
U25 | <= 25% | ||
U30 | <= 30% | ||
U50 | <= 50% | ||
U100 | <= 100% | ||
U100+ | > 100% (указывают максимальное значение) | ||
Удельная энергоемкость, E <c> (МДж/м3 или кВт·ч/м3 штабелированного или свободно насыпанного топлива) или низшая теплота сгорания, Q (мДж/кг или кВт·ч, кг на рабочее состояние) по ГОСТ 33106 | Рекомендуется указывать при розничной торговле | ||
Объемная доля расколотого материала (% кусков) | Отсутствуют (в основном круглая древесина) >= 90% >= 50% | ||
Поверхность срезов | Указывают качество поверхности срезов: ровная и гладкая <d> или неровная. | ||
Гниль и плесень | Видимых признаков гниения нет или присутствие плесени <= 5% кусков. При значительном количестве (более 10% кусков) гнили или плесени это должно быть указано | ||
Высушивание | Рекомендуется указывать, подвергались ли дрова естественной сушке на воздухе в теплый сезон или искусственной сушке горячим воздухом | ||
<a> 85% дров должны иметь диаметр, соответствующий указанному классу. В этом случае допускается наличие 15% дров меньшей длины, чем требуется, включая предельное значение. <b> В дровах, предназначенных для печного отопления, содержание общей влаги <c> Удельная энергоемкость может быть рассчитана в соответствии с приложением D с помощью насыпной плотности и низшей теплоты сгорания на сухое состояние топлива. Пример: Для дров с низшей теплотой сгорания на сухое состояние 5,3 кВт·ч/кг и содержанием общей влаги 15% низшая теплота сгорания на рабочее состояние будет равна 4,43 кВт·ч/кг. При насыпной плотности 410 кг/м3 (пакетированный) удельная энергоемкость составит 1800 кВт·ч/м3 (пакетированный). | |||
Нормируемые характеристики | Древесная биомасса (1) | |||
Торговая форма | Опилки | |||
M10 | <= 10% | |||
M15 | <= 15% | |||
M20 | <= 20% | |||
M25 | <= 25% | |||
M30 | <= 30% | |||
M35 | <= 35% | |||
M45 | <= 45% | |||
M50 | <= 50% | |||
M55 | <= 55% | |||
M60 | <= 60% | |||
M65 | <= 65% | |||
M65+ | > 65% (указывают максимальное значение) | |||
Зольность, A (% на сухое состояние) по ГОСТ 32988 | ||||
A0.5 | <= 0,5% | |||
A0.7 | <= 0,7% | |||
A1.0 | <= 1,0% | |||
A1.5 | <= 1,5% | |||
A2.0 | <= 2,0% | |||
A3.0 | <= 3,0% | |||
A5.0 | <= 5,0% | |||
A7.0 | <= 7,0% | |||
A10.0 | <= 10,0% | |||
A10.0+ | > 10,0% (указывают максимальное значение) | |||
Низшая теплота сгорания, Q (МДж/кг или кВт·ч/кг на рабочее состояние) или удельная энергоемкость, E (МДж/м3 или кВт·ч/м3 свободно насыпанных) по ГОСТ 33106 | Указывают минимальное значение. | |||
Нормируемые/справочные характеристики | Содержание азота, N (% на сухое состояние) по ГОСТ 32985 | |||
N0.2 | <= 0,2% | Нормируемая: Справочная: для всех видов биомассы, не подвергнутых химической обработке (исключения см. выше) | ||
N0.3 | <= 0,3% | |||
N0.5 | <= 0,5% | |||
N1.0 | <= 1,0% | |||
N2.0 | <= 2,0% | |||
N3.0 | <= 3,0% | |||
N3.0+ | > 3,0% (указывают максимальное значение) | |||
Содержание хлора, Cl (% на сухое состояние) по ГОСТ 33256 | ||||
Cl0.01 | <= 0,01% | Нормируемая: Справочная: для всех видов биомассы, не подвергнутых химической обработке (исключения см. выше) | ||
Cl0.02 | <= 0,02% | |||
Cl0.03 | <= 0,03% | |||
Cl0.07 | <= 0,07% | |||
Cl0.10 | <= 0,10% | |||
Cl0.10+ | > 0,10% (указывают максимальное значение) | |||
Справочные характеристики | Насыпная плотность, BD (кг/м3 на рабочее состояние) по ГОСТ 32987 | |||
BD100 | >= 100 кг/м3 | Указывают, если размеры поставок измеряют в объемных единицах. | ||
BD150 | >= 150 кг/м3 | |||
BD200 | >= 200 кг/м3 | |||
BD250 | >= 250 кг/м3 | |||
BD300 | >= 300 кг/м3 | |||
BD350 | >= 350 кг/м3 | |||
BD400+ | > 400 кг/м3 (указывают минимальное значение) | |||
Следует указывать. | ||||
Данные ситового анализа | Приводят данные ситового анализа и размеры отверстий сит. | |||
Нормируемые характеристики | Древесная биомасса (1) | ||
Торговая форма | Стружка | ||
Содержание влаги, M (% на рабочее состояние) по ISO 18134-1 [4], по ГОСТ 32975.2 | |||
M10 | <= 10% | ||
M15 | <= 15% | ||
M20 | <= 20% | ||
M30 | <= 30% | ||
M30+ | > 30% (указывают максимальное значение) | ||
Зольность, A (% на сухое состояние) по ГОСТ 32988 | |||
A0.5 | <= 0,5% | ||
A0.7 | <= 0,7% | ||
A1.0 | <= 1,0% | ||
A1.5 | <= 1,5% | ||
A2.0 | <= 2,0% | ||
A3.0 | <= 3,0% | ||
A5.0 | <= 5,0% | ||
A7.0 | <= 7,0% | ||
A10.0 | <= 10,0% | ||
A10.0+ | > 10,0% (указывают максимальное значение) | ||
Низшая теплота сгорания, Q (МДж/кг или кВт·ч/кг на рабочее состояние) или удельная энергоемкость, E (МДж/м3 или кВт·ч/м3 свободно насыпанных) по ГОСТ 33106 | Указывают минимальное значение. | ||
Нормируемые/справочные характеристики | Содержание азота, N (% на сухое состояние) по ГОСТ 32985 | ||
N0.2 | <= 0,2% | Нормируемая: Справочная: для всех видов биомассы, не подвергнутых химической обработке (исключения см. выше) | |
N0.3 | <= 0,3% | ||
N0.5 | <= 0,5% | ||
N1.0 | <= 1,0% | ||
N2.0 | <= 2,0% | ||
N3.0 | <= 3,0% | ||
N3.0+ | > 3,0% (указывают максимальное значение) | ||
Содержание хлора, Cl (% на сухое состояние) по ГОСТ 33256 | |||
Cl0.01 | <= 0,01% | Нормируемая: Справочная: для всех видов биомассы, не подвергнутых химической обработке (исключения см. выше) | |
Cl0.02 | <= 0,02% | ||
Cl0.03 | <= 0,03% | ||
Cl0.07 | <= 0,07% | ||
Cl0.10 | <= 0,10% | ||
Cl0.10+ | > 0,10% (указывают максимальное значение) | ||
Справочные характеристики | Насыпная плотность, BD (кг/м3 на рабочее состояние) по ГОСТ 32987 | ||
BD100 | >= 100 кг/м3 | Указывают, если размеры поставок измеряют в объемных единицах | |
BD150 | >= 150 кг/м3 | ||
BD200 | >= 200 кг/м3 | ||
BD250 | >= 250 кг/м3 | ||
BD300 | >= 300 кг/м3 | ||
BD350+ | > 350 кг/м3 (указывают минимальное значение) | ||
Следует указывать | |||
Данные ситового анализа | Приводят данные ситового анализа и размеры отверстий сит | ||
Нормируемые характеристики | |||
Торговая форма | Кора | ||
Размеры (мм) по ГОСТ 32989.1 | |||
Максимальный размер частиц, мм <a> | Крупные классы (< 5%), максимальная длина частиц, мм | ||
P16 | P <= 16 мм | > 45 мм, все < 100 мм | |
P45 | P <= 45 мм | > 63 мм | |
P63 | P <= 63 мм | > 100 мм | |
P100 | P <= 100 мм | > 150 мм | |
P200 | P <= 200 мм | > 350 мм | |
M20 | <= 20% | ||
M25 | <= 25% | ||
M30 | <= 30% | ||
M35 | <= 35% | ||
M40 | <= 40% | ||
M45 | <= 45% | ||
M50 | <= 50% | ||
M55 | <= 55% | ||
M60 | <= 60% | ||
M65 | <= 65% | ||
M65+ | > 65% (указывают максимальное значение) | ||
Зольность, A (% на сухое состояние) по ГОСТ 32988 | |||
A1.0 | <= 1,0% | ||
A1.5 | <= 1,5% | ||
A2.0 | <= 2,0% | ||
A3.0 | <= 3,0% | ||
A5.0 | <= 5,0% | ||
A7.0 | <= 7,0% | ||
A10.0 | <= 10,0% | ||
A10.0+ | > 10,0% (указывают максимальное значение) | ||
Внешний вид (измельчение) | Указывают, разрезана кора на куски или нет. | ||
Низшая теплота сгорания, Q (МДж/кг или кВт·ч/кг на рабочее состояние) или удельная энергоемкость, E (МДж/м3 или кВт·ч/м3 свободно насыпанных) по ГОСТ 33106 | Указывают минимальное значение. | ||
Нормируемые/справочные характеристики | Содержание азота, N (% на сухое состояние) по ГОСТ 32985 | ||
N0.5 | <= 0,5% | Нормируемая: Справочная: для всех видов биомассы, не подвергнутых химической обработке (исключения см. выше) | |
N1.0 | <= 1,0% | ||
N2.0 | <= 2,0% | ||
N3.0 | <= 3,0% | ||
N3.0+ | > 3,0% (указывают максимальное значение) | ||
Содержание хлора, Cl (% на сухое состояние) по ГОСТ 33256 | |||
Cl0.02 | <= 0,02% | Нормируемая: Справочная: для всех видов биомассы, не подвергнутых химической обработке (исключения см. выше) | |
Cl0.03 | <= 0,03% | ||
Cl0.07 | <= 0,07% | ||
Cl0.10 | <= 0,10% | ||
Cl0.10+ | > 0,10% (указывают максимальное значение) | ||
Справочные характеристики | Насыпная плотность, BD (кг/м3 на рабочее состояние) по ГОСТ 32987 | ||
BD100 | >= 100 кг/м3 | Указывают, если размеры поставок измеряют в объемных единицах. | |
BD150 | >= 150 кг/м3 | ||
BD200 | >= 200 кг/м3 | ||
BD250 | >= 250 кг/м3 | ||
BD300 | >= 300 кг/м3 | ||
BD350+ | > 350 кг/м3 (указывают минимальное значение) | ||
Следует указывать | |||
<a> Значение технической характеристики (P-класса), выражающее максимальный размер частиц, относится к частицам (не менее 95% по массе), проходящим через сита с круглыми отверстиями (ГОСТ 32989.1). Если топливо соответствует критериям более чем одного класса, его относят к ближайшему классу с наименьшим значением технической характеристики. | |||
Нормируемые характеристики | 2.1.1.2 Солома зерновых культур; 2.1.2.1 Целые растения (канареечник тростниковидный и мискантус); 2.1.2.2 Солома трав; 2.1.3.2 Стебли и листья масличных культур. | |||
Торговая форма | Круглые и прямоугольные кипы | |||
Размеры (м) ![]() L1 - высота; L2 - ширина; L3 - длина; D - диаметр Рисунок 5 - Примеры кип | ||||
Круглая кипа | Диаметр (D) | Длина (L3) | ||
D1 | 1,2 м - 1,5 м | 1,2 м | ||
D2 | 1,6 м - 1,8 м | 1,5 м | ||
Прямоугольная кипа | Высота (L1) | Ширина (L2) | Длина (L3) | |
P1 | <= 0,35 м | <= 0,4 м | <= 0,5 м | |
P2 | <= 0,9 м | <= 1,2 м | 1,5 м - 2,8 м | |
P3 | <= 1,3 м | <= 1,2 м | 1,0 м - 3,0 м | |
P3+ | > 3 м (указывают максимальное значение) | |||
Плотность кипы, BD (кг/м3 на рабочее состояние) по ГОСТ 32987 | ||||
BD100 | >= 100 кг/м3 | |||
BD120 | >= 120 кг/м3 | |||
BD160 | >= 160 кг/м3 | |||
BD180 | >= 180 кг/м3 | |||
BD220 | >= 220 кг/м3 | |||
BD240+ | > 240 кг/м3 (указывают минимальное значение) | |||
Содержание влаги, M (% на рабочее состояние) по ISO 18134-1 [4], ГОСТ 32975.2 | ||||
M10 | <= 10% | |||
M15 | <= 15% | |||
M20 | <= 20% | |||
M25 | <= 25% | |||
M30 | <= 30% | |||
M30+ | > 30% (указывают максимальное значение) | |||
Зольность, A (% на сухое состояние) по ГОСТ 32988 | ||||
A4.0 | <= 4% | |||
A5.0 | <= 5% | |||
A6.0 | <= 6% | |||
A7.0 | <= 7% | |||
A8.0 | <= 8% | |||
A10.0 | <= 10% | |||
A10.0+ | > 10% (указывают максимальное значение) | |||
Содержание хлора, Cl (% на сухое состояние) по ГОСТ 33256 | ||||
Cl0.01 | <= 0,01% | |||
Cl0.02 | <= 0,02% | |||
Cl0.03 | <= 0,03% | |||
Cl0.07 | <= 0,07% | |||
Cl0.10 | <= 0,10% | |||
Cl0.10+ | > 0,10% (указывают максимальное значение) | |||
Вид биомассы | Следует указывать [Например: побеги канареечника тростниковидного (Phalaris arundinacea L.) или Мискантус (Miscanthus Giganteus)] | |||
Низшая теплота сгорания, Q (МДж/кг или кВт·ч/кг на рабочее состояние) или удельная энергоемкость, E (МДж/м3 или кВт·ч/м3 не утрамбованных) по ГОСТ 33106 | Указывают минимальное значение. | |||
Справочные характеристики | Способ производства | Рекомендуется указывать способ производства, от которого зависит длина соломы в кипе. Так, злак может быть обмолочен в ротационных или вибрационных машинах, либо путем приложения ударной силы. Для канареечника тростниковидного или мискантуса указывают: заготовка целых растений. | ||
Материал обвязки кип | Рекомендуется указывать материал, использованный для обвязывания кип (сетчатое полотно, пластиковый шнур) | |||
Следует указывать | ||||
Нормируемые характеристики | Травяная биомасса (2.1.1.3) | ||
Торговая форма | Зерна (указывают вид, например, пшеница) | ||
Размеры (мм), Диаметр (D) (5% зерен может иметь диаметр более высокого класса) по ГОСТ 32989.1, ГОСТ 32989.2 | |||
D05 | 1 мм <= D <= 5 мм | ||
D10 | 3,15 мм <= D <= 10 мм | ||
Содержание влаги, M (% на рабочее состояние) по ISO 18134-1 [4], ГОСТ 32975.2 | |||
M10 | <= 10% | ||
M15 | <= 15% | ||
Зольность, A (% на сухое состояние) по ГОСТ 32988 | |||
A2.0 | <= 2,0% | ||
A3.0 | <= 3,0% | ||
A5.0 | <= 5,0% | ||
A5.0+ | > 5,0% (указывают максимальное значение) | ||
Низшая теплота сгорания, Q (МДж/кг или кВт·ч/кг на рабочее состояние) по ГОСТ 33106 | Указывают минимальное значение. | ||
Содержание азота, N (% на сухое состояние) по ГОСТ 32985 | |||
N2.0 | <= 2,0% | ||
N2.0+ | > 2,0% (указывают максимальное значение) | ||
Содержание серы, S (% на сухое состояние) по ГОСТ 33256 | |||
S0.20 | <= 0,20% | ||
S0.20+ | > 0,20% (указывают максимальное значение) | ||
Содержание хлора, Cl (% на сухое состояние) по ГОСТ 33256 | |||
Cl0.05 | <= 0,05% | ||
Cl0.10 | <= 0,10% | ||
Cl0.15 | <= 0,15% | ||
Cl0.15+ | > 0,15% (указывают максимальное значение) | ||
Справочные характеристики | Содержание мелочи, F (%, < 1 мм для D05 и < 3,15 мм для D10) по ГОСТ 32989.1, ГОСТ 32989.2 | ||
F1.0 | <= 1,0% | ||
F1.0+ | > 1,0% (без уточнений) | ||
Насыпная плотность, BD (кг/м3 на рабочее состояние) по ГОСТ 32987 | |||
BD350 | >= 350 кг/м3 | ||
BD450 | >= 450 кг/м3 | ||
BD550 | >= 550 кг/м3 | ||
BD600 | >= 600 кг/м3 | ||
BD650+ | > 650 кг/м3 (указывают минимальное значение) | ||
Следует указывать | |||
Нормируемые характеристики | ||||
Торговая форма | Зерна или семечки, косточки | |||
Размеры (мм) | ||||
Диаметр (D) (5% материала может иметь диаметр более высокого класса) | ||||
D03 | 1 мм <= D <= 3,15 мм | |||
D05 | 1 мм <= D <= 5 мм | |||
D10 | 1 мм <= D <= 10 мм | |||
D10+ | > 10 мм (указывают максимальное значение) | |||
Содержание влаги, M (% на рабочее состояние) по ISO 18134-1 [4], ГОСТ 32975.2 | ||||
M10 | <= 10% | |||
M15 | <= 15% | |||
Зольность, A (% на сухое состояние) по ГОСТ 32988 | ||||
A1.5 | <= 1,5% | |||
A2.0 | <= 2,0% | |||
A3.0 | <= 3,0% | |||
A5.0 | <= 5,0% | |||
A7.0 | <= 7,0% | |||
A10.0 | <= 10,0% | |||
A10.0+ | > 10,0% (указывают максимальное значение) | |||
Добавки (%) | Указывают тип и количество добавок. | |||
Низшая теплота сгорания, Q <a> (МДж/кг или кВт·ч/кг на рабочее состояние) по ГОСТ 33106 | Указывают минимальное значение. | |||
Содержание азота, N (% на сухое состояние) по ГОСТ 32985 | ||||
N1.0 | <= 1,0% | |||
N1.5 | <= 1,5% | |||
N2.0 | <= 2,0% | |||
N3.0 | <= 3,0% | |||
N3.0+ | > 3,0% (указывают максимальное значение) | |||
Справочные характеристики | Содержание мелочи, F (%, < 1 мм) по ГОСТ 32989.2 | |||
F1.0 | <= 1,0% | |||
F1.0+ | > 1,0% (без уточнений) | |||
Насыпная плотность (BD) на рабочее состояние (кг/м3 свободно насыпанного) по ГОСТ 32987 | Указывают, если размеры поставок измеряют в объемных единицах. | |||
Содержание хлора, Cl (% на сухое состояние) по ГОСТ 33256 | ||||
Cl0.10 | <= 0,10% | |||
Cl0.15 | <= 0,15% | |||
Cl0.15+ | > 0,15% (указывают максимальное значение) | |||
Содержание серы, S (% на сухое состояние) по ГОСТ 33256 | ||||
S0.15 | <= 0,15% | |||
S0.20 | <= 0,20% | |||
S0.20+ | > 0,20% (указывают максимальное значение) | |||
Следует указывать | ||||
Нормируемые характеристики | |||
Торговая форма | Плодовые семечки и косточки | ||
Размеры (мм) по ГОСТ 32989.1, ГОСТ 32989.2 | |||
Диаметр (D) (5% материала может иметь диаметр более высокого класса) | |||
D03 | 1 мм <= D <= 3,15 мм | ||
D05 | 1 мм <= D <= 5 мм | ||
D10 | 1 мм <= D <= 10 мм | ||
D10+ | > 10 мм (указывают максимальное значение) | ||
Содержание влаги, M (% на рабочее состояние) по ISO 18134-1 [4], ГОСТ 32975.2 | |||
M10 | <= 10% | ||
M15 | <= 15% | ||
Зольность, A (% на сухое состояние) по ГОСТ 32988 | |||
A1.5 | <= 1,5% | ||
A2.0 | <= 2,0% | ||
A3.0 | <= 3,0% | ||
A5.0 | <= 5,0% | ||
A7.0 | <= 7,0% | ||
A10.0 | <= 10,0% | ||
A10.0+ | > 10,0% (указывают максимальное значение) | ||
Добавки (%) | Указывают тип и количество добавок. | ||
Низшая теплота сгорания, Q <a> (МДж/кг или кВт·ч/кг на рабочее состояние) по ГОСТ 33106 | Указывают минимальное значение. | ||
Содержание азота, N (% на сухое состояние) по ГОСТ 32985 | |||
N1.0 | <= 1,0% | ||
N1.5 | <= 1,5% | ||
N2.0 | <= 2,0% | ||
N3.0 | <= 3,0% | ||
N3.0+ | > 3,0% (указывают максимальное значение) | ||
Справочные характеристики | Содержание мелочи, F (%, < 1 мм) по ГОСТ 32989.2 | ||
F1.0 | <= 1,0% | ||
F1.0+ | > 1,0% (без уточнений) | ||
Насыпная плотность (BD) (кг/м3 на рабочее состояние) по ГОСТ 32987 | Указывают, если размеры поставок измеряют в объемных единицах. | ||
Содержание хлора, Cl (% на сухое состояние) по ГОСТ 33256 | |||
Cl0.10 | <= 0,10% | ||
Cl0.15 | <= 0,15% | ||
Cl0.15+ | > 0,15% (указывают максимальное значение) | ||
Содержание серы, S (% на сухое состояние) по ГОСТ 33256 | |||
S0.15 | <= 0,15% | ||
S0.20 | <= 0,20% | ||
S0.20+ | > 0,20% (указывают максимальное значение) | ||
Следует указывать | |||
Нормируемые характеристики | Плодовая биомасса (3) | |||
Торговая форма (см. таблицу 2) | Древесный уголь | |||
Размеры (мм) | ||||
Основной класс крупности (не менее 75% материала), мм | Мелкие классы крупности (< 10 мм), % | Крупные классы крупности, (%), максимальная длина кусков, мм | ||
P150 | 16 мм <= P <= 150 мм | <= 7% | <= 10% > 100 мм, все < 150 мм | |
Содержание влаги, M (% на рабочее состояние) по ISO 18134-1 [4], ГОСТ 32975.2 | ||||
M8 | <= 8% | |||
M10 | <= 10% | |||
Зольность, A (% на сухое состояние) по ГОСТ 32988 | ||||
A5.0 | <= 5,0% | |||
A8.0 | <= 8,0% | |||
A8.0+ | > 8,0% (указывают максимальное значение) | |||
Содержание нелетучего углерода, C <a> (% на сухое состояние) | ||||
C60 | >= 60% | |||
C75 | >= 75% | |||
Насыпная плотность (BD) (кг/м3 на рабочее состояние) по ГОСТ 32987 | ||||
BD130 | >= 130 кг/м3 | |||
BD150 | >= 150 кг/м3 | |||
Низшая теплота сгорания, Q (МДж/кг или кВт·ч/кг на рабочее состояние) по ГОСТ 33106 | Указывают минимальное значение. | |||
Нормируемые характеристики | Древесная биомасса (1) Травяная биомасса (2) Плодовая биомасса (3) Биомасса водных растений (4) Искусственные и непроизвольные смеси биомасс (5) | ||
Торговая форма (см. таблицу 2) | Термически обработанная биомасса | ||
Размеры (мм) | Указывают | ||
Содержание влаги, M (% на рабочее состояние) по ISO 18134-1 [4], ГОСТ 32975.2 | |||
M3 | <= 3% | ||
M5 | <= 5% | ||
M8 | <= 8% | ||
M10 | <= 10% | ||
M10+ | > 10% (указывают максимальное значение) | ||
Зольность, A (% на сухое состояние) по ГОСТ 32988 | |||
A0.5 | <= 0,5% | ||
A0.7 | <= 0,7% | ||
A1.0 | <= 1,0% | ||
A1.5 | <= 1,5% | ||
A2.0 | <= 2,0% | ||
A3.0 | <= 3,0% | ||
A5.0 | <= 5,0% | ||
A7.0 | <= 7,0% | ||
A10.0 | <= 10,0% | ||
A10.0+ | > 10,0% (указывают максимальное значение) | ||
Насыпная плотность (BD) (кг/м3 на рабочее состояние) по ГОСТ 32987 | |||
BD200 | >= 200 кг/м3 | ||
BD250 | >= 250 кг/м3 | ||
BD300 | >= 300 кг/м3 | ||
Низшая теплота сгорания, Q (МДж/кг или кВт·ч/кг на рабочее состояние) по ГОСТ 33106 | >= 17 МДж/кг (указывают минимальное значение) | ||
Содержание нелетучего углерода, C (% на сухое состояние) <a> | |||
C20 | >= 20% | ||
C25 | >= 25% | ||
C30 | >= 30% | ||
C35 | >= 35% | ||
C40 | >= 40% | ||
Выход летучих веществ, VM (% на сухое состояние) по ГОСТ 32990 | Указывают максимальное значение | ||
Нормируемые характеристики | Происхождение | Указывают в соответствии с 6.1 и таблицей 1 настоящего стандарта с требуемой детализацией | |
Торговая форма | Краткое описание торговой формы биотоплива (по таблице 2) | ||
Размеры (мм) | Если размеры нельзя указать в виде диаметра и длины, указывают измерения, которые возможны и четко их поясняют | ||
Dx | x - максимальный диаметр | ||
Ly | y - максимальная длина | ||
Содержание влаги, M (% на рабочее состояние) по ISO 18134-1 [4], ГОСТ 32975.2 | Рекомендуется указывать классы: M10, M15, M20, M25, M30, M35, M40, M45, M50, M55, M60, M65, M65+ (указывают максимальное значение) | ||
MXX | <= XX% | ||
Зольность, A (% на сухое состояние) по ГОСТ 32988 | Рекомендуется указывать классы: A0.5, A0.7, A1.0, A1.5, A2.0, A3.0, A5.0, A7.0, A10.0, A10.0+ (указывают максимальное значение) | ||
AXX.X | <= XX,X% | ||
Нормируемые/справочные характеристики | Добавки (% на сухое состояние) | Если в топливо введены какие-либо добавки, указывают их тип и содержание. Максимальное количество добавок в твердом биотопливе составляет 20%. Если добавок больше, то данное биотопливо представляет собой искусственную смесь. | |
Тип и содержание добавок | |||
Низшая теплота сгорания, Q (МДж/кг или кВт·ч/кг на рабочее состояние) или удельная энергоемкость, E (МДж/м3 или кВт·ч/м3) по ГОСТ 33106 | Указывают минимальное значение | ||
Насыпная плотность (BD) (кг/м3 на рабочее состояние) по ГОСТ 32987 | Рекомендуется указывать классы (по минимальному значению): BD200, BD250, BD300, BD350, BD400, BD450, BD500, BD550, BD600, BD650, BD750, BD850+. | ||
Содержание азота, N (% на сухое состояние) по ГОСТ 32985 | Содержание азота является нормируемой характеристикой только для химически обработанной биомассы. Рекомендуется указывать классы: N0.5, N1.0, N1.5, N2.0, N3.0, N3.0+ (указывают максимальное значение) | ||
NX.X | <= X,X% | ||
Содержание серы, S (% на сухое состояние) по ГОСТ 33256 | Содержание серы является нормируемой характеристикой только для химически обработанной биомассы или в случае использования серосодержащих добавок. Рекомендуется указывать классы: S0.03, S0.05, S0.10, S0.20, S0.20+ (если S > 0,2%, указывают максимальное значение) | ||
SX.XX | <= X,XX% | ||
Содержание хлора, Cl (% на сухое состояние) по ГОСТ 33256 | Содержание хлора является нормируемой характеристикой только для химически обработанной биомассы. Рекомендуется указывать классы: Cl0.01, Cl0.02, Cl0.03, Cl0.07, Cl0.10, Cl0.10+ (если Cl > 0,10%, указывают максимальное значение) | ||
ClX.XX | <= X,XX% | ||
Дальнейшая характеристика размеров | Рекомендуется указывать максимальное количество мелочи и крупных классов. | ||
Указывают свойства, специфические для данного вида топлива, или дающие полезную информацию. | |||
Справочные характеристики | Следует указывать. | ||



Наименование показателя | Единица измерения | Хвойная древесина | Лиственная древесина | ||
Типичное значение | Типичный диапазон значений | Типичное значение | Типичный диапазон значений | ||
Зольность | % | 0,3 | 0,1 - 1,0 | 0,3 | 0,2 - 1,0 |
Высшая теплота сгорания | МДж/кг | 20,5 | 20,0 - 20,8 | 20,1 | 19,4 - 20,4 |
Низшая теплота сгорания | МДж/кг | 19,1 | 18,5 - 19,8 | 18,9 | 18,4 - 19,2 |
Углерод, C | % | 51 | 47 - 54 | 49 | 48 - 52 |
Водород, H | % | 6,3 | 5,6 - 7,0 | 6,2 | 5,9 - 6,5 |
Кислород, O | % | 42 | 40 - 44 | 44 | 41 - 45 |
Азот, N | % | 0,1 | < 0,1 - 0,5 | 0,1 | < 0,1 - 0,5 |
Сера, S | % | < 0,02 | < 0,01 - 0,02 | 0,02 | < 0,01 - 0,05 |
Хлор, Cl | % | 0,01 | < 0,01 - 0,03 | 0,01 | < 0,01 - 0,03 |
Фтор, F | % | < 0,0005 | < 0,0005 | < 0,0005 | < 0,0005 |
Алюминий, Al | мг/кг | 100 | 30 - 400 | 20 | < 10 - 50 |
Кальций, Ca | мг/кг | 900 | 500 - 1000 | 1200 | 800 - 20000 |
Железо, Fe | мг/кг | 25 | 10 - 100 | 25 | 10 - 100 |
Калий, K | мг/кг | 400 | 200 - 500 | 800 | 500 - 1500 |
Магний, Mg | мг/кг | 150 | 100 - 200 | 200 | 100 - 400 |
Марганец, Mn | мг/кг | 100 | 40 - 200 | 83 | - |
Натрий, Na | мг/кг | 20 | 10 - 50 | 50 | 10 - 200 |
Фосфор, P | мг/кг | 60 | 50 - 100 | 100 | 50 - 200 |
Кремний, Si | мг/кг | 150 | 100 - 200 | 150 | 100 - 200 |
Титан, Ti | мг/кг | < 20 | < 20 | < 20 | < 20 |
Мышьяк, As | мг/кг | < 0,1 | < 0,1 - 1,0 | < 0,1 | < 0,1 - 1,0 |
Кадмий, Cd | мг/кг | 0,10 | < 0,05 - 0,50 | 0,10 | < 0,05 - 0,50 |
Хром, Cr | мг/кг | 1,0 | 0,2 - 10,0 | 1,0 | 0,2 - 10,0 |
Медь, Cu | мг/кг | 2,0 | 0,5 - 10,0 | 2,0 | 0,5 - 10,0 |
Ртуть, Hg | мг/кг | 0,02 | < 0,02 - 0,05 | 0,02 | < 0,02 - 0,05 |
Никель, Ni | мг/кг | 0,5 | < 0,1 - 10,0 | 0,5 | < 0,1 - 10,0 |
Свинец, Pb | мг/кг | 2,0 | < 0,5 - 10,0 | 2,0 | < 0,5 - 10,0 |
Ванадий, V | мг/кг | < 2 | < 2 | < 2 | < 2 |
Цинк, Zn | мг/кг | 10 | 5 - 50 | 10 | 5 - 100 |
Данные получены в результате исследований, проведенных в Швеции, Финляндии, Дании, Голландии и Германии. | |||||
Наименование показателя | Единица измерения | Кора хвойных деревьев | Кора лиственных деревьев | ||
Типичное значение | Типичный диапазон значений | Типичное значение | Типичный диапазон значений | ||
Зольность | % | 1,5 | < 1 - 5 | 1,5 | 0,8 - 3,0 |
Высшая теплота сгорания | МДж/кг | 20,4 | 18,0 - 21,4 | 20 | 18,0 - 22,7 |
Низшая теплота сгорания | МДж/кг | 19,2 | 17,5 - 20,5 | 19 | 17,1 - 21,3 |
Углерод, C | % | 52 | 48 - 55 | 52 | 47 - 55 |
Водород, H | % | 5,9 | 5,5 - 6,4 | 5,8 | 5,3 - 6,4 |
Кислород, O | % | 38 | 34 - 42 | 38 | 32 - 42 |
Азот, N | % | 0,5 | 0,3 - 0,9 | 0,3 | 0,1 - 0,8 |
Сера, S | % | 0,03 | < 0,02 - 0,05 | 0,03 | < 0,02 - 0,20 |
Хлор, Cl | % | 0,02 | < 0,01 - 0,05 | 0,02 | < 0,01 - 0,05 |
Фтор, F | % | 0,001 | < 0,0005 - 0,002 | - | - |
Алюминий, Al | мг/кг | 800 | 400 - 1200 | 50 | 30 - 100 |
Кальций, Ca | мг/кг | 5000 | 1000 - 15000 | 15000 | 10000 - 20000 |
Железо, Fe | мг/кг | 500 | 100 - 800 | 100 | 50 - 200 |
Калий, K | мг/кг | 2000 | 1000 - 3000 | 2000 | 1000 - 3200 |
Магний, Mg | мг/кг | 1000 | 400 - 1500 | 500 | 400 - 1000 |
Марганец, Mn | мг/кг | 500 | 9 - 840 | 190 | - |
Натрий, Na | мг/кг | 300 | 70 - 2000 | 100 | 20 - 1000 |
Фосфор, P | мг/кг | 400 | 20 - 600 | 400 | 300 - 700 |
Кремний, Si | мг/кг | 2000 | 500 - 5000 | 2500 | 2000 - 20000 |
Мышьяк, As | мг/кг | 1,0 | 0,1 - 4,0 | 0,4 | 0,1 - 4,0 |
Кадмий, Cd | мг/кг | 0,5 | 0,2 - 1,0 | 0,5 | 0,2 - 1,2 |
Хром, Cr | мг/кг | 5 | 1 - 10 | 5 | 1 - 30 |
Медь, Cu | мг/кг | 5 | 3 - 30 | 5 | 2 - 20 |
Ртуть, Hg | мг/кг | 0,05 | 0,01 - 0,10 | < 0,05 | - |
Никель, Ni | мг/кг | 10 | 2 - 20 | 10 | 2 - 10 |
Свинец, Pb | мг/кг | 4 | 1 - 30 | 15 | 2 - 30 |
Ванадий, V | мг/кг | 1,0 | 0,7 - 2,0 | 2 | 1 - 4 |
Цинк, Zn | мг/кг | 100 | 70 - 200 | 50 | 7 - 200 |
Данные получены в результате исследований, проведенных в Швеции, Финляндии, Дании, Голландии и Германии. | |||||
Наименование показателя | Единица измерения | Хвойная древесина | Лиственная древесина | ||
Типичное значение | Типичный диапазон значений | Типичное значение | Типичный диапазон значений | ||
Зольность | % | 3,0 | < 1 - 10 | 5,0 | 2 - 10 |
Высшая теплота сгорания | МДж/кг | 20,5 | 19,5 - 21,5 | 19,7 | 19,5 - 20,0 |
Низшая теплота сгорания | МДж/кг | 19,2 | 18,5 - 20,5 | 18,7 | 18,3 - 18,5 |
Углерод, C | % | 51 | 48 - 52 | 51 | 50 - 51 |
Водород, H | % | 6,0 | 5,7 - 6,2 | 6,0 | 5,8 - 6,1 |
Кислород, O | % | 40 | 38 - 44 | 40 | 40 - 43 |
Азот, N | % | 0,5 | 0,3 - 0,8 | 0,5 | 0,3 - 0,8 |
Сера, S | % | < 0,02 | < 0,02 - 0,06 | 0,04 | 0,01 - 0,08 |
Хлор, Cl | % | 0,01 | < 0,01 - 0,04 | 0,01 | < 0,01 - 0,02 |
Фтор, F | % | 0,001 | - | 0,002 | 0,0 - 0,001 |
Алюминий, Al | мг/кг | - | - | 250 | 1 - 3000 |
Кальций, Ca | мг/кг | 5000 | 2000 - 8000 | 4000 | 3000 - 5000 |
Железо, Fe | мг/кг | 1500 | 500 - 2000 | 150 | 10 - 1500 |
Калий, K | мг/кг | 2000 | 1000 - 4000 | 1500 | 1000 - 4000 |
Магний, Mg | мг/кг | 800 | 400 - 2000 | 250 | 100 - 400 |
Марганец, Mn | мг/кг | 130 | 80 - 170 | 120 | 10 - 800 |
Натрий, Na | мг/кг | 200 | 75 - 300 | 100 | 20 - 200 |
Фосфор, P | мг/кг | 500 | - | 300 | 30 - 1000 |
Кремний, Si | мг/кг | 3000 | 200 - 10000 | 150 | 75 - 250 |
Титан, Ti | мг/кг | - | - | 7 | 1 - 40 |
Мышьяк, As | мг/кг | 0,6 | 0,2 - 1,0 | 1 | 0 - 2 |
Кадмий, Cd | мг/кг | 0,2 | 0,1 - 0,8 | 0,5 | 0 - 3 |
Хром, Cr | мг/кг | 1,0 | 0,7 - 1,2 | 8 | 1 - 40 |
Медь, Cu | мг/кг | 10,0 | 10 - 200 | 10 | 1 - 100 |
Ртуть, Hg | мг/кг | 0,03 | - | 0,02 | 0 - 2 |
Никель, Ni | мг/кг | 1,6 | 0,4 - 3,0 | 10 | 1 - 80 |
Свинец, Pb | мг/кг | 1,3 | 0,4 - 4,0 | 1,5 | 0,5 - 5 |
Ванадий, V | мг/кг | 0,6 | 0,1 - 1,0 | 0,5 | 0,1 - 3 |
Цинк, Zn | мг/кг | 20 | 8 - 30 | 50 | 2 - 100 |
Данные получены в результате исследований, проведенных в Швеции, Финляндии, Дании, Голландии, Испании и Германии. | |||||
Наименование показателя | Единица измерения | Ива (Salix) | Тополь | Эвкалипт | |||
Типичное значение | Типичный диапазон значений | Типичное значение | Типичный диапазон значений | Типичное значение | Типичный диапазон значений | ||
Зольность | % | 2,0 | 1,1 - 4,0 | 2,0 | 1,5 - 3,4 | 2,0 | 0,5 - 4,0 |
Высшая теплота сгорания | МДж/кг | 19,9 | 19,2 - 20,4 | 19,8 | 19,5 - 20,1 | 19,5 | 19,3 - 21,2 |
Низшая теплота сгорания | МДж/кг | 18,4 | 17,7 - 19,0 | 18,4 | 18,1 - 18,8 | 18,1 | 17,6 - 18,4 |
Углерод, C | % | 48 | 46 - 49 | 48 | 46 - 50 | 49 | 46,0 - 52,7 |
Водород, H | % | 6,1 | 5,7 - 6,4 | 6,2 | 5,7 - 6,5 | 5,8 | 4,8 - 6,2 |
Кислород, O | % | 43 | 40 - 44 | 43 | 39 - 45 | 42 | 42 - 43 |
Азот, N | % | 0,5 | 0,2 - 0,8 | 0,4 | 0,2 - 0,6 | 0,5 | 0,1 - 1,4 |
Сера, S | % | 0,05 | 0,02 - 0,10 | 0,03 | 0,02 - 0,10 | < 0,02 | < 0,01 - 0,11 |
Хлор, Cl | % | 0,03 | 0,01 - 0,05 | < 0,01 | < 0,01 - 0,05 | 0,1 | < 0,09 - 0,18 |
Фтор, F | % | 0,003 | 0 - 0,01 | - | - | < 0,01 | < 0,01 |
Алюминий, Al | мг/кг | 50 | 3 - 100 | 10 | - | 10 | 1 - 14 |
Кальций, Ca | мг/кг | 5000 | 2000 - 9000 | 5000 | 4000 - 6000 | 1200 | 900 - 3000 |
Железо, Fe | мг/кг | 100 | 30 - 600 | 30 | - | 7 | 3 - 14 |
Калий, K | мг/кг | 2500 | 1700 - 4000 | 2500 | 2000 - 4000 | 5000 | 1500 - 6000 |
Магний, Mg | мг/кг | 500 | 200 - 800 | 500 | 200 - 800 | 400 | 380 - 1500 |
Марганец, Mn | мг/кг | 97 | 79 - 160 | 20 | - | - | - |
Натрий, Na | мг/кг | - | 10 - 450 | 25 | 10 - 60 | 50 | 20 - 85 |
Фосфор, P | мг/кг | 800 | 500 - 1300 | 1000 | 800 - 1100 | 500 | 90 - 1000 |
Кремний, Si | мг/кг | 500 | 2 - 2000 | - | - | 30 | 28 - 46 |
Титан, Ti | мг/кг | 10 | < 10 - 50 | - | - | 0,3 | 0,2 - 1,7 |
Мышьяк, As | мг/кг | < 0,1 | < 0,1 | < 0,1 | < 0,1 - 0,2 | < 0,4 | < 0,4 |
Кадмий, Cd | мг/кг | 2,0 | 0,2 - 5,0 | 0,5 | 0,2 - 1,0 | 0,1 | < 0,2 |
Хром, Cr | мг/кг | 1,0 | 0,3 - 5,0 | 1 | 0,3 - 2,0 | 0,4 | < 1 |
Медь, Cu | мг/кг | 3 | 2 - 4 | 3 | 2 - 4 | 3 | 3 - 4 |
Ртуть, Hg | мг/кг | < 0,03 | < 0,03 | < 0,03 | < 0,03 | - | - |
Никель, Ni | мг/кг | 0,5 | 0,2 - 2,0 | 0,5 | 0,2 - 1,0 | 1 | 0,3 - 3,0 |
Свинец, Pb | мг/кг | 0,1 | 0,1 - 0,2 | 0,1 | 0,1 - 0,3 | 1 | 0,3 - 2,0 |
Ванадий, V | мг/кг | 0,3 | 0,2 - 0,6 | - | - | 0,3 | < 0,5 |
Цинк, Zn | мг/кг | 70 | 40 - 100 | 50 | 30 - 100 | 6 | < 10 |
Данные получены в результате исследований, проведенных в Швеции, Финляндии, Дании, Голландии, Испании, Франции и Германии. | |||||||
Наименование показателя | Единица измерения | Солома пшеницы, ржи, ячменя | Солома масличного рапса | ||
Типичное значение | Типичный диапазон значений | Типичное значение | Типичный диапазон значений | ||
Зольность | % | 5 | 2 - 10 | 5 | 2 - 10 |
Высшая теплота сгорания | МДж/кг | 18,8 | 16,6 - 20,1 | 18,8 | 16,6 - 20,1 |
Низшая теплота сгорания | МДж/кг | 17,6 | 15,8 - 19,1 | 17,6 | 15,8 - 19,1 |
Углерод, C | % | 47 | 41 - 50 | 48 | 42 - 52 |
Водород, H | % | 6,0 | 5,4 - 6,5 | 6,0 | 5,4 - 6,5 |
Кислород, O | % | 41 | 36 - 45 | 41 | 36 - 45 |
Азот, N | % | 0,5 | 0,2 - 1,5 | 0,8 | 0,3 - 1,6 |
Сера, S | % | 0,1 | < 0,05 - 0,20 | 0,3 | < 0,05 - 0,70 |
Хлор, Cl | % | 0,4 | < 0,1 - 1,2 | 0,5 | < 0,1 - 1,1 |
Фтор, F | % | 0,0005 | - | - | - |
Алюминий, Al | мг/кг | 50 | <= 700 | 50 | <= 700 |
Кальций, Ca | мг/кг | 4000 | 2000 - 7000 | 15000 | 8000 - 20000 |
Железо, Fe | мг/кг | 100 | <= 500 | 100 | <= 500 |
Калий, K | мг/кг | 10000 | 2000 - 26000 | 10000 | 2000 - 26000 |
Магний, Mg | мг/кг | 700 | 400 - 1300 | 700 | 300 - 2200 |
Марганец, Mn | мг/кг | 40 | 20 - 100 | - | - |
Натрий, Na | мг/кг | 500 | <= 3000 | 500 | <= 3000 |
Фосфор, P | мг/кг | 1000 | 300 - 2900 | 1000 | 300 - 2700 |
Кремний, Si | мг/кг | 10000 | 1000 - 20000 | 1000 | 100 - 3000 |
Титан, Ti | мг/кг | 70 | 5 - 200 | - | - |
Мышьяк, As | мг/кг | < 0,1 | < 0,1 - 2,0 | < 0,1 | < 0,1 - 0,5 |
Кадмий, Cd | мг/кг | 0,10 | < 0,05 - 0,30 | 0,10 | < 0,05 - 0,30 |
Хром, Cr | мг/кг | 10 | 1 - 60 | 10 | 1 - 60 |
Медь, Cu | мг/кг | 2 | 1 - 10 | 2 | 1 - 10 |
Ртуть, Hg | мг/кг | 0,02 | < 0,02 - 0,05 | 0,02 | < 0,02 - 0,05 |
Никель, Ni | мг/кг | 1,0 | 0,2 - 4,0 | 1,0 | 0,2 - 4,0 |
Свинец, Pb | мг/кг | 0,5 | 0,1 - 3,0 | 2,0 | 1,0 - 13,0 |
Ванадий, V | мг/кг | 3 | 1 - 6 | - | - |
Цинк, Zn | мг/кг | 10 | 3 - 60 | 10 | 5 - 20 |
Данные получены в результате исследований, проведенных в Швеции, Финляндии, Дании, Голландии и Германии. | |||||
Наименование показателя | Единица измерения | Зерно пшеницы, ржи, ячменя | Зерно рапса | ||
Типичное значение | Типичный диапазон значений | Типичное значение | Типичный диапазон значений | ||
Зольность | % | 2 | 1,2 - 4 | 4,3 | 3,75 - 5,5 |
Высшая теплота сгорания | МДж/кг | 18,0 | 16,5 - 19,6 | 28,1 | 27,5 - 29,0 |
Низшая теплота сгорания | МДж/кг | 16,5 | 15,0 - 18,1 | 26,6 | - |
Углерод, C | % | 45 | 42 - 50 | 60 | - |
Водород, H | % | 6,5 | 5,5 - 6,5 | 7,1 | - |
Кислород, O | % | 44 | 43 - 50 | 23 | - |
Азот, N | % | 2 | - | 3,8 | - |
Сера, S | % | 0,16 | 0,05 - 0,10 | 0,1 | - |
Хлор, Cl | % | 0,11 | 0,05 - 0,50 | 0,07 | 0,01 - 0,15 |
Алюминий, Al | мг/кг | - | < 20 | - | - |
Кальций, Ca | мг/кг | 600 | 100 - 1200 | 5000 | 3200 - 6400 |
Железо, Fe | мг/кг | 75 | 15 - 200 | 93 | - |
Калий, K | мг/кг | 5000 | 3700 - 6500 | 8400 | - |
Магний, Mg | мг/кг | 1400 | 1000 - 2100 | 2600 | - |
Марганец, Mn | мг/кг | 30 | 9 - 60 | 39 | - |
Натрий, Na | мг/кг | 100 | 50 - 120 | 100 | 50 - 120 |
Фосфор, P | мг/кг | 3400 | 2100 - 4300 | 7300 | - |
Кремний, Si | мг/кг | 50 | 10 - 200 | - | - |
Титан, Ti | мг/кг | - | < 50 - 100 | - | - |
Мышьяк, As | мг/кг | <= 0,5 | 0,0 - 0,7 | - | - |
Кадмий, Cd | мг/кг | 0,01 | 0,0 - 0,7 | - | - |
Хром, Cr | мг/кг | 0,5 | < 0,5 - 1,0 | - | - |
Медь, Cu | мг/кг | 5 | 1,5 - 12,0 | 2,6 | - |
Ртуть, Hg | мг/кг | < 0,02 | < 0,02 | - | - |
Никель, Ni | мг/кг | 1,0 | 0,2 - 2,0 | - | - |
Свинец, Pb | мг/кг | 0,9 | <= 0,1 - 1,0 | - | - |
Ванадий, V | мг/кг | - | - | - | - |
Цинк, Zn | мг/кг | 22 | 17 - 34 | - | - |
Данные получены в результате исследований, проведенных в Швеции, Финляндии, Дании, Голландии, Франции (включая рожь) и Германии. | |||||
Наименование показателя | Единица измерения | Собранный в летний период (июль - октябрь) | Собранный в более поздний период (март - май) | ||
Типичное значение | Типичный диапазон значений | Типичное значение | Типичный диапазон значений | ||
Зольность | % | 6,5 | 2,5 - 10 | 6,9 | 1,0 - 8,0 |
Высшая теплота сгорания | МДж/кг | 17,7 | - | 17,8 | 17,7 - 18,0 |
Низшая теплота сгорания | МДж/кг | 16,6 | - | 16,5 | 16,5 - 17,0 |
Углерод, C | % | 46 | - | 46 | 45 - 50 |
Водород, H | % | 5,7 | - | 5,8 | 5,7 - 6,2 |
Кислород, O | % | 40 | - | 42 | 40 - 43 |
Азот, N | % | 1,3 | - | 0,9 | 0,4 - 2,0 |
Сера, S | % | 0,1 | 0,1 - 0,2 | 0,13 | 0,04 - 0,17 |
Хлор, Cl | % | 0,5 | 0,2 - 0,6 | 0,025 | 0,01 - 0,09 |
Алюминий, Al | мг/кг | - | - | - | 20 |
Кальций, Ca | мг/кг | 3500 | 1300 - 5700 | 2000 | 800 - 3200 |
Железо, Fe | мг/кг | - | - | 140 | 60 - 220 |
Калий, K | мг/кг | 12000 | 3100 - 22000 | 2700 | < 800 - 6000 |
Магний, Mg | мг/кг | 1300 | 300 - 2300 | 500 | 100 - 900 |
Марганец, Mn | мг/кг | - | - | 160 | < 200 |
Натрий, Na | мг/кг | 200 | < 100 - 400 | 200 | < 20 - 400 |
Фосфор, P | мг/кг | 1700 | 500 - 3000 | 1100 | 300 - 2000 |
Кремний, Si | мг/кг | 12000 | < 1000 - 25000 | 18000 | 2300 - 30000 |
Мышьяк, As | мг/кг | 0,1 | < 0,1 - 0,2 | 0,2 | < 0,1 - 0,5 |
Кадмий, Cd | мг/кг | 0,04 | < 0,04 - 0,10 | 0,06 | < 0,04 - 0,20 |
Хром, Cr | мг/кг | - | - | - | - |
Медь, Cu | мг/кг | - | - | - | - |
Ртуть, Hg | мг/кг | 0,03 | < 0,02 - 0,05 | 0,03 | < 0,02 - 0,05 |
Никель, Ni | мг/кг | - | - | - | - |
Свинец, Pb | мг/кг | 1,0 | < 0,5 - 4,0 | 2,0 | < 0,5 - 5,0 |
Данные получены в результате исследований, проведенных в Швеции, Финляндии, Дании и Германии. | |||||
Наименование показателя | Единица измерения | Трава, любая | Мискантус (китайский тростник) | ||
Типичное значение | Типичный диапазон значений | Типичное значение | Типичный диапазон значений | ||
Зольность | % | 7 | 4 - 10 | 4 | 1 - 6 |
Высшая теплота сгорания | МДж/кг | 18 | 18 - 20 | 19,0 | 17 - 20 |
Низшая теплота сгорания | МДж/кг | 17,1 | 16 - 19 | 17,7 | 16 - 19 |
Углерод, C | % | 46 | 45 - 50 | 47 | 46 - 52 |
Водород, H | % | 5,9 | 5 - 7 | 6,1 | 5,0 - 6,5 |
Кислород, O | % | 40 | 38 - 48 | 42 | 40 - 45 |
Азот, N | % | 1,3 | 1 - 2 | 0,7 | 0,1 - 1,5 |
Сера, S | % | 0,2 | 0 - 0,5 | 0,2 | 0,02 - 0,60 |
Хлор, Cl | % | 0,7 | 0,02 - 1,3 | 0,2 | 0,02 - 0,60 |
Фтор, F | % | 0,001 | 0,001 - 0,003 | 0,002 | 0,001 - 0,003 |
Алюминий, Al | мг/кг | 200 | 20 - 300 | 100 | 50 - 200 |
Кальций, Ca | мг/кг | 3500 | 2500 - 5500 | 2000 | 900 - 3000 |
Железо, Fe | мг/кг | 600 | 100 - 1200 | 100 | 40 - 400 |
Калий, K | мг/кг | 15000 | 4900 - 24000 | 7000 | 1000 - 11000 |
Магний, Mg | мг/кг | 1700 | 800 - 2300 | 600 | 300 - 900 |
Марганец, Mn | мг/кг | 1000 | 200 - 2600 | 20 | 10 - 100 |
Натрий, Na | мг/кг | 3000 | 1400 - 6300 | 70 | 20 - 100 |
Фосфор, P | мг/кг | 15000 | 3000 - 25000 | 500 | 200 - 800 |
Кремний, Si | мг/кг | - | - | 8000 | 2000 - 10000 |
Титан, Ti | мг/кг | - | - | 5 | 3 - 10 |
Мышьяк, As | мг/кг | 0,1 | < 0,1 - 1,4 | 0,2 | < 0,1 - 0,2 |
Кадмий, Cd | мг/кг | 0,20 | 0,03 - 0,60 | 0,10 | 0,05 - 0,20 |
Хром, Cr | мг/кг | 1,0 | 0,2 - 3,0 | 1 | 0,4 - 6 |
Медь, Cu | мг/кг | 5 | 2 - 10 | 2 | 1 - 6 |
Ртуть, Hg | мг/кг | < 0,02 | < 0,02 - 0,03 | 0,03 | < 0,02 - 0,10 |
Никель, Ni | мг/кг | 2,0 | 0,5 - 5,0 | 2 | 0,5 - 5,0 |
Свинец, Pb | мг/кг | 1,0 | < 0,5 - 2,0 | 2 | < 0,5 - 5,0 |
Ванадий, V | мг/кг | 3 | - | < 1 | - |
Цинк, Zn | мг/кг | 25 | 10 - 60 | 10 | 3 - 30 |
Данные получены в результате исследований, проведенных в Швеции, Финляндии, Дании, Голландии и Германии. | |||||
Наименование показателя | Единица измерения | Оливковый жмых | Виноградный жмых | |||
Сырой (3.2.1.4) | Истощенный (3.2.2.4) | Оливковые косточки (3.2.1.2) | Сырой (3.2.1.1) | |||
Зольность | % | 10 | 3,4 - 11,3 | 1,2 - 4,4 | 4,5 - 11,2 | 6 - 13 |
Высшая теплота сгорания | МДж/кг | 19,4 - 21,4 | 18,1 - 21,6 | 18,6 - 20,8 | 19,3 - 22,0 | - |
Низшая теплота сгорания | МДж/кг | 18,1 - 20,7 | 13,9 - 19,2 | 17,3 - 19,3 | 16,7 | 19,0 |
Углерод, C | % | 50 | 48 - 52 | 45,7 - 52,3 | 54 | 46,0 - 54,4 |
Водород, H | % | 6,9 | 4,6 - 6,3 | 6,1 - 6,8 | 6,8 | 5,8 - 7,5 |
Кислород, O | % | 30 | 33 | 38,5 - 42,1 | - | - |
Азот, N | % | 1,5 | 1,4 - 2,7 | 0,8 - 1,6 | 1,5 | 1,9 - 2,4 |
Сера, S | % | 0,2 | 0,0 - 0,5 | 0,0 - 0,5 | 0,20 | 0,03 - 0,18 |
Хлор, Cl | % | 0,2 | 0,1 - 0,4 | 0,1 - 0,4 | - | < 0,05 |
Алюминий, Al | мг/кг | 1250 | 2700 | 559 | - | - |
Кальций, Ca | мг/кг | 6900 | 17200 | 968 | - | - |
Железо, Fe | мг/кг | 1000 | 1900 | 391 | - | - |
Калий, K | мг/кг | 6000 - 16000 | 17500 | 6950 | - | 12500 - 35700 |
Магний, Mg | мг/кг | 3400 | 4000 | 316 | - | - |
Марганец, Mn | мг/кг | < 26 | 17 - 44 | 12 | - | 14 - 36 |
Натрий, Na | мг/кг | 44 - 1000 | 250 - 450 | 120 | - | 34 - 180 |
Фосфор, P | мг/кг | 2450 | 30 - 1750 | 590 | - | - |
Кремний, Si | мг/кг | 14 - 6600 | 20 - 11850 | 9 - 3500 | - | - |
Титан, Ti | мг/кг | 53 | 145 | 39 | - | - |
Мышьяк, As | мг/кг | 0,4 | 4 | 0,8 | - | - |
Кадмий, Cd | мг/кг | < 0,1 | < 0,5 | 0,2 | - | 0,05 - 0,18 |
Хром, Cr | мг/кг | 3 | 3 - 13 | 3 | - | 0,73 - 1,54 |
Медь, Cu | мг/кг | 14 | 10 - 20 | 9 | - | 48 - 190 |
Ртуть, Hg | мг/кг | - | 0,1 | - | - | - |
Никель, Ni | мг/кг | 2 | 2 - 17 | 0,05 | - | 0,66 - 1,64 |
Свинец, Pb | мг/кг | 2 | 15 | 2,1 | - | 0,35 - 2,70 |
Ванадий, V | мг/кг | - | 5 | - | - | - |
Цинк, Zn | мг/кг | 19 | 19 | 7 | - | - |
Кобальт, Co | мг/кг | - | 1 | - | - | - |
Серебро, Ag | мг/кг | - | 4 | - | - | - |
Олово, Sn | мг/кг | - | 4 | - | - | - |
Данные получены в результате исследований, проведенных в Австрии, Голландии, Италии, Греции и Испании. Примечания 1 Сырой оливковый жмых - это побочный продукт промышленной первичной экстракции оливкового масла. Химический состав может варьироваться в зависимости от используемого метода отжима. 2 Истощенный оливковый жмых - это остаток после промышленной вторичной экстракции оливкового масла, проводимой путем химической обработки сырого оливкового жмыха. 3 Оливковые косточки - это побочный продукт промышленной первичной экстракции оливкового масла, в результате которой жмых и косточки частично отделяются друг от друга. 4 Сырой виноградный жмых - это побочный продукт, образующийся после отжима винограда. 5 Истощенный виноградный жмых - это остаток после водной или химической обработки сырого виноградного жмыха. | ||||||
Наименование показателя | Единица измерения | Плодовые косточки и скорлупа | ||
Косточки абрикоса, персика, вишни | Скорлупа миндаля, фундука, кедрового ореха | Скорлупа, волокна и ядра плодов масличной пальмы | ||
Зольность | % | 0,2 - 1,0 | 0,95 - 3,00 | 1,4 - 7,4 |
Высшая теплота сгорания | МДж/кг | - | 19 - 20 | - |
Низшая теплота сгорания | МДж/кг | 19,5 - 22,9 | 17,5 - 19,0 | 18,0 - 24,8 |
Углерод, C | % | 51 - 55 | 44 - 50 | 46,3 - 58,5 |
Водород, H | % | 5 - 7 | 5 - 6 | 5,9 - 12,6 |
Кислород, O | % | 43 | 40 - 45 | 43,0 - 50,2 |
Азот, N | % | 0,2 - 0,3 | 0,1 - 1,2 | 0,04 - 0,5 |
Сера, S | % | 0,05 - 0,50 | 0,04 - 0,22 | 0,03 - 0,09 |
Хлор, Cl | % | 0,04 | 0,004 - 0,09 | 0,10 - 0,25 |
Алюминий, Al | мг/кг | - | 65 | 600 - 16500 |
Кальций, Ca | мг/кг | - | 300 - 1200 | 1200 - 4500 |
Железо, Fe | мг/кг | - | 58 - 66 | 2000 - 13400 |
Калий, K | мг/кг | - | 1500 - 1750 | 2800 - 21000 |
Магний, Mg | мг/кг | - | 175 - 300 | 1300 - 2300 |
Марганец, Mn | мг/кг | - | 3 - 12 | 30 - 45 |
Натрий, Na | мг/кг | - | 62 - 73 | 30 - 40 |
Фосфор, P | мг/кг | - | 79 - 82 | 500 - 2000 |
Кремний, Si | мг/кг | - | 580 - 4200 | 2200 - 34000 |
Титан, Ti | мг/кг | - | 1 - 6 | 20 - 400 |
Цинк, Zn | мг/кг | - | 2,3 - 5,3 | 500 - 1600 |
Данные получены в результате исследований, проведенных в Австрии, Голландии, Италии, Греции, Испании и Малайзии. | ||||
Наименование показателя | Единица измерения | Рисовая шелуха | Стебли хлопка | Отходы после очистки хлопка | Лузга подсолнечника | Мальва пенсильванская |
Зольность | % | 13 - 23 | 6,0 - 6,7 | 1,6 - 9,4 | 1,9 - 7,6 | 2,8 |
Высшая теплота сгорания | МДж/кг | 14,7 - 6,6 | 15,8 - 18,3 | 16,4 - 17,5 | 18 - 23 | 19,0 |
Низшая теплота сгорания | МДж/кг | 14,5 - 16,2 | - | - | 17 - 22 | 17,7 |
Углерод, C | % | 38 - 43 | 39,5 - 47,0 | 39,6 - 43,7 | 51,5 - 52,9 | - |
Водород, H | % | 4,3 - 5,1 | 5,1 - 5,8 | 5,3 - 6,1 | 5,0 - 6,6 | 5,9 |
Кислород, O | % | 35 - 47 | - | - | 36 - 43 | - |
Азот, N | % | 0,1 - 0,8 | 0,65 - 1,25 | 0,2 - 2,9 | 0,6 - 1,4 | - |
Сера, S | % | 0,02 - 0,10 | 0,02 - 0,21 | - | 0 | 0,05 |
Хлор, Cl | % | 0,03 - 0,3 | 0,08 | - | 0 - 0,1 | 0,02 |
Калий, K | мг/кг | 2800 - 4300 | - | - | - | - |
Натрий, Na | мг/кг | 33 - 38 | - | - | - | - |
Данные получены в результате исследований, проведенных в Италии, Греции и Финляндии. | ||||||
Техническая характеристика (на сухое состояние) | Отклонение | Возможные причины |
Зольность | Увеличение | Загрязнение почвой/песком. Содержание коры больше установленного (только для древесины). Неорганические добавки. Химическая обработка, например, покраска или консервация (только для древесины) |
Низшая теплота сгорания | Снижение | Высокая зольность. Наличие горючих примесей с более низкой теплотой сгорания, например, клеящих веществ (только для древесины) |
Низшая теплота сгорания | Увеличение | Наличие горючих примесей с более высокой теплотой сгорания, например, смола, растительные или минеральные масла, пластмасса |
N | Увеличение | Содержание коры больше установленного (только для древесины). Наличие клеящих веществ (только для древесины). Слоистый пластик (ламинат) |
S | Увеличение | Содержание коры больше установленного (только для древесины). Органические добавки типа кукурузного или картофельного крахмала. Добавки, содержащие соединения серы. Обработка серосодержащими химикатами, типа серной кислоты |
Cl | Увеличение | Содержание коры больше установленного (только для древесины). Происхождение биомассы с морского побережья, где она находилась рядом или подвергалась воздействию морской воды. Загрязнение при хранении, при транспортировке по дорогам, обработанным солью. Химическая консервация (только для древесины) |
Si | Увеличение | Загрязнение почвой/песком. Содержание коры/хвои/листьев больше установленного (только для древесины) |
Ti | Увеличение | Покраска (только для древесины) |
As | Увеличение | Обработка химикатами для консервации |
Cr | Увеличение | Обработка химикатами для консервации. Загрязнение почвой/песком |
Cu | Увеличение | Обработка химикатами для консервации. Загрязнение почвой/песком |
Hg | Увеличение | Загрязнение почвой/песком |
Cd | Увеличение | Покраска (только для древесины). Наличие пластмассы. Попадание удобрений, например, золы, осадков сточных вод (из сточных вод или в результате химических процессов) |
Ni | Увеличение | Загрязнения от работающего оборудования. Минеральные масла |
Pb | Увеличение | Загрязнение окружающей среды (например, выхлопными газами). Покраска (только для древесины). Наличие пластмассы. Попадание удобрений, например, золы, осадков сточных вод (из сточных вод или в результате химических процессов) |
Фактор | Возможные последствия |
Проведение каких-либо действий, хранение или транспортировка | Повышение зольности и содержания кремния вследствие загрязнения почвой/песком (может также привести к снижению температуры плавкости золы DT, особенно в присутствии щелочных металлов - Na, K). Повышение содержания хлора вследствие загрязнения материалами, которыми обрабатывают дороги |
Механическое загрязнение | Повышение содержания таких металлов, как Fe, Cr и Ni вследствие загрязнений от работающих машин и инструментов |
Загрязнение окружающей среды | Повышение содержания Cl вследствие попадания морской воды или загрязнений из воздуха. Повышение содержания тяжелых металлов, таких как Pb и Zn, связанное с деятельностью человека, например, с движением автотранспорта. Повышение содержания Cd, Pb вследствие применения удобрений (например, осадков сточных вод) |
Добавки (пеллеты и брикеты) | Возможны последствия |
Неорганические добавки: Известняк Каолин | Повышение зольности и содержания Ca. Повышение зольности и содержания Si и Al |
Органические добавки: Другая твердая биомасса Растительные масла | Изменения, зависящие от типа и количества добавки. Большие количества кукурузной или картофельной муки могут привести к повышению зольности и содержания S. Увеличение теплоты сгорания |
Химическая обработка | Возможны последствия |
Присутствие клея | Повышение содержания N. Снижение теплоты сгорания |
Присутствие щелочей | Повышение содержания Na |
Краски | Повышение зольности. Повышение содержания металлов, таких как Pb, Ti и Zn, в зависимости от присутствующего пигмента |
Слоистый пластик (ламинат) <a> | Увеличение теплоты сгорания. Повышение содержания N (в присутствии АБС или целлулоидного пластика). Повышение содержания Cl или F (в присутствии поливинилхлорида или политетрафторэтилена). Повышение содержания металлов, таких как Cd, Pb, Zn, в зависимости от добавок, содержащихся в пластике |
Наличие защитных покрытий <a> | Повышение зольности. Повышение содержания As, B, Cl, Cr, Cu, F, P или Zn в зависимости от типа использованного консерванта |
Серная кислота | Повышение содержания S |
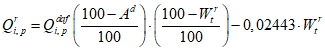
, (D.3)Содержание общей влаги влажного биотоплива M, % | Отношение общей влаги к массе сухого вещества U, % |
12 | 13,6 |
13 | 14,9 |
14 | 16,3 |
15 | 17,6 |
16 | 19,0 |
17 | 20,5 |
18 | 22,0 |
19 | 23,5 |
20 | 25,0 |
21 | 26,6 |
22 | 28,2 |
23 | 29,9 |
24 | 31,6 |
25 | 33,3 |
26 | 35,1 |
27 | 37,0 |
28 | 38,9 |
29 | 40,9 |
30 | 42,9 |
31 | 44,9 |
32 | 47,1 |
33 | 49,5 |
34 | 51,5 |
35 | 53,9 |
36 | 56,3 |
37 | 58,7 |
Отношение общей влаги к массе сухого вещества U, % | Содержание общей влаги влажного биотоплива M, % |
12 | 10,7 |
13 | 11,5 |
14 | 12,3 |
15 | 13,0 |
16 | 13,8 |
17 | 14,5 |
18 | 15,2 |
19 | 16,0 |
20 | 16,7 |
21 | 17,4 |
22 | 18,0 |
23 | 18,7 |
24 | 19,4 |
25 | 20,0 |
26 | 20,6 |
27 | 21,3 |
28 | 21,9 |
29 | 22,5 |
30 | 23,1 |
31 | 23,7 |
32 | 24,2 |
33 | 24,8 |
34 | 25,4 |
35 | 25,9 |
36 | 26,5 |
37 | 27,0 |
38 | 27,5 |
39 | 28,1 |
40 | 28,6 |
41 | 29,1 |
42 | 29,6 |
43 | 30,1 |
44 | 30,6 |
45 | 31,1 |
46 | 31,5 |
47 | 32,0 |
48 | 32,4 |
49 | 32,9 |
50 | 33,3 |
51 | 33,8 |
52 | 34,2 |
53 | 34,6 |
54 | 35,1 |
, (E.1)
. (E.2)Обозначение ссылочного межгосударственного стандарта | Степень соответствия | Обозначение и наименование ссылочного международного стандарта |
- | ||
MOD | EN 14774-2:2009 "Топливо биологическое твердое. Определение содержания влаги. Метод сушильной печи. Часть 2. Полная влажность. Упрощенный метод" | |
MOD | EN 15104:2011 "Биотопливо твердое. Определение общего содержания углерода, водорода и азота. Инструментальный метод" | |
MOD | EN 15103:2009 "Биотопливо твердое. Определение объемной плотности" | |
MOD | EN 14775:2009 "Топливо биологическое твердое. Определение содержания золы" | |
MOD | EN 15149-1:2010 "Биотопливо твердое. Определение распределения размера частиц. Часть 1. Метод вибрирующего сита с размером ячеек 1 мм и больше" | |
MOD | EN 15149-2:2010 "Биотопливо твердое. Определение распределения размера частиц. Часть 1. Метод вибрирующего сита с размером ячеек 3,15 мм и меньше" | |
MOD | EN 15148:2009 "Биотопливо твердое. Определение содержания летучего материала" | |
MOD | EN 14588:2010 "Топлива биологические твердые. Терминология, определения и описания" | |
MOD | EN 14918:2009 "Биотопливо твердое. Определение теплотворной способности" | |
MOD | EN 14780:2011 "Твердое биотопливо. Приготовление проб" | |
MOD | EN 15289:2011 "Биотопливо твердое. Определение общего содержания серы и хлора" | |
Примечание - В настоящей таблице использовано следующее условное обозначение степени соответствия стандартов: - MOD - модифицированные стандарты. | ||
EN 13556:2003 | Round and sawn timber - Nomenclature of timbers used in Europe (Круглый и пиленый лес. Номенклатура лесоматериалов, используемых в Европе) | |
ISO 18135 <*> | Solid Biofuels - Sampling (Твердые биотоплива. Отбор проб) | |
ISO 16993:2015 | Solid biofuels - Conversion of analytical results from one basis to another (Твердые биотоплива. Пересчет результатов анализа с одного состояния топлива на другое) | |
ISO 18134-1:2015 | Solid biofuels - Determination of moisture content - Oven dry method - Part 1. Total moisture - Reference method (Твердые биотоплива. Определение содержания влаги. Метод высушивания в сушильном шкафу. Часть 1: Общая влага. Стандартный метод) | |
ISO 18847 <*> | Solid biofuels - Determination of particle density (Твердые биотоплива. Определение плотности частиц) | |
ISO 17831-2 <**> | Solid biofuels - Determination of mechanical durability of pellets and briquettes - Part 2: Briquettes (Твердые биотоплива. Определение механической прочности пеллет и брикетов. Часть 2: Брикеты) | |
CEN/TS 15370-1:2006 | Solid Biofuels - Method for the determination of ash melting behaviour - Part 1: Characteristic temperatures method (Твердые биотоплива. Метод определения плавкости золы. Часть 1: Метод характерных температур) | |
ISO 17829 <**> | Solid biofuels - Determination of length and diameter of pellets (Твердые биотоплива. Определение длины и диаметра пеллет) | |
ISO 17831-1 <**> | Solid biofuels - Determination of mechanical durability of pellets and briquettes - Part 1. Pellets (Твердые биотоплива. Определение механической прочности пеллет и брикетов. Часть 1. Пеллеты) | |
ISO 18846 <*> | Solid biofuels - Determination of fines content in quantities of pellets - Manual sieve method using 3,15 mm sieve aperture (Твердые биотоплива. Определение содержания мелочи для оценки качества пеллет. Метод ручного рассева с использованием сита с размером отверстий 3,15 мм) | |
ISO 17830 <*> | Solid biofuels - Determination of particle size distribution of disintegrated pellets (Твердые биотоплива. Определение гранулометрического состава дезинтегрированных пеллет) | |
ISO 16967:2015 | Solid biofuels - Determination of major elements - Al, Ca, Fe, Mg, P, K, Si, Na and Ti (Твердые биотоплива. Определение макроэлементов. Al, Ca, Fe, Mg, P, K, Si, Na и Ti) | |
ISO 16968:2015 | Solid biofuels - Determination of minor elements (Твердые биотоплива. Определение микроэлементов) |