Главная // Актуальные документы // ГОСТ (Государственный стандарт)СПРАВКА
Источник публикации
М.: Стандартинформ, 2017
Примечание к документу
Документ
введен в действие с 1 июля 2018 года.
Название документа
"ГОСТ 34201-2017. Межгосударственный стандарт. Сахар. Определение диоксида серы йодометрическим методом"
(введен в действие Приказом Росстандарта от 05.12.2017 N 1869-ст)
"ГОСТ 34201-2017. Межгосударственный стандарт. Сахар. Определение диоксида серы йодометрическим методом"
(введен в действие Приказом Росстандарта от 05.12.2017 N 1869-ст)
Введен в действие
Приказом Федерального
агентства по техническому
регулированию и метрологии
от 5 декабря 2017 г. N 1869-ст
МЕЖГОСУДАРСТВЕННЫЙ СТАНДАРТ
САХАР
ОПРЕДЕЛЕНИЕ ДИОКСИДА СЕРЫ ЙОДОМЕТРИЧЕСКИМ МЕТОДОМ
Sugar. Determination of sulphur dioxide content
by iodometric method
ГОСТ 34201-2017
Дата введения
1 июля 2018 года
Цели, основные принципы и основной порядок проведения работ по межгосударственной стандартизации установлены в
ГОСТ 1.0-2015 "Межгосударственная система стандартизации. Основные положения" и
ГОСТ 1.2-2015 "Межгосударственная система стандартизации. Стандарты межгосударственные, правила и рекомендации по межгосударственной стандартизации. Правила разработки, принятия, обновления и отмены"
1 РАЗРАБОТАН Федеральным государственным бюджетным научным учреждением "Российский научно-исследовательский институт сахарной промышленности" (ФГБНУ РНИИСП)
2 ВНЕСЕН Федеральным агентством по техническому регулированию и метрологии
3 ПРИНЯТ Межгосударственным советом по стандартизации, метрологии и сертификации (протокол от 14 июля 2017 г. N 101-П)
За принятие проголосовали:
Краткое наименование страны по МК (ИСО 3166) 004-97 | Код страны по МК (ИСО 3166) 004-97 | Сокращенное наименование национального органа по стандартизации |
Армения | AM | Минэкономики Республики Армения |
Беларусь | BY | Госстандарт Республики Беларусь |
Киргизия | KG | Кыргызстандарт |
Россия | RU | Росстандарт |
Узбекистан | UZ | Узстандарт |
4 Приказом Федерального агентства по техническому регулированию и метрологии от 5 декабря 2017 г. N 1869-ст межгосударственный стандарт ГОСТ 34201-2017 введен в действие в качестве национального стандарта Российской Федерации с 1 июля 2018 г.
5 ВВЕДЕН ВПЕРВЫЕ
Информация об изменениях к настоящему стандарту публикуется в ежегодном информационном указателе "Национальные стандарты", а текст изменений и поправок - в ежемесячном информационном указателе "Национальные стандарты". В случае пересмотра (замены) или отмены настоящего стандарта соответствующее уведомление будет опубликовано в ежемесячном информационном указателе "Национальные стандарты". Соответствующая информация, уведомление и тексты размещаются также в информационной системе общего пользования - на официальном сайте Федерального агентства по техническому регулированию и метрологии в сети Интернет (www.gost.ru)
Настоящий стандарт распространяется на белый и прочие виды сахара и устанавливает йодометрический метод определения массовой доли диоксида серы в сахаре в диапазоне измерений от 1 до 20 млн-1 (мг/кг).
В настоящем стандарте использованы нормативные ссылки на следующие межгосударственные стандарты:
ГОСТ 12.1.004-91 Система стандартов безопасности труда. Пожарная безопасность. Общие требования
ГОСТ 12.1.005-88 Система стандартов безопасности труда. Общие санитарно-гигиенические требования к воздуху рабочей зоны
ГОСТ 12.1.007-76 Система стандартов безопасности труда. Вредные вещества. Классификация и общие требования безопасности
ГОСТ 12.1.018-93 Система стандартов безопасности труда. Пожаровзрывобезопасность статического электричества. Общие требования
ГОСТ 12.1.019-79 Система стандартов безопасности труда. Электробезопасность. Общие требования и номенклатура видов защиты
ГОСТ 12.4.009-83 Система стандартов безопасности труда. Пожарная техника для защиты объектов. Основные виды. Размещение и обслуживание
| | ИС МЕГАНОРМ: примечание. Текст дан в соответствии с официальным текстом документа. | |
ГОСТ 12.4.009-83 Система стандартов безопасности труда. Пожарная техника для защиты объектов. Основные виды. Размещение и обслуживание
ГОСТ OIML R 76-1-2011 Государственная система обеспечения единства измерений. Весы неавтоматического действия. Часть 1. Метрологические и технические требования. Испытания
ГОСТ 83-79 Реактивы. Натрий углекислый. Технические условия
ГОСТ 1770-74 (ИСО 1042-83, ИСО 4788-80) Посуда мерная лабораторная стеклянная. Цилиндры, мензурки, колбы, пробирки. Общие технические условия
ГОСТ ISO 3696-2013 <*> Вода для лабораторного анализа. Технические требования и методы контроля
--------------------------------
<*> В Российской Федерации действует
ГОСТ Р 52501-2005 (ИСО 3696:1987) "Вода для лабораторного анализа. Технические условия".
ГОСТ 4220-75 Реактивы. Калий двухромовокислый. Технические условия
ГОСТ 4328-77 Реактивы. Натрия гидроокись. Технические условия
ГОСТ 9147-80 Посуда и оборудование лабораторные фарфоровые. Технические условия
ГОСТ 10733-98 Часы наручные и карманные механические. Общие технические условия
ГОСТ 14919-83 Электроплиты, электроплитки и жарочные электрошкафы бытовые. Общие технические условия
ГОСТ 23350-98 Часы наручные и карманные электронные. Общие технические условия
ГОСТ 25336-82 Посуда и оборудование лабораторные стеклянные. Типы, основные параметры и размеры
ГОСТ 25794.2-83 Реактивы. Методы приготовления титрованных растворов для окислительно-восстановительного титрования
ГОСТ 29169-91 (ИСО 648-77) Посуда лабораторная стеклянная. Пипетки с одной отметкой
ГОСТ 29227-91 (ИСО 835-1-81) Посуда лабораторная стеклянная. Пипетки градуированные. Часть 1. Общие требования
ГОСТ 29252-91 (ИСО 385-2-84) Посуда лабораторная стеклянная. Бюретки. Часть 2. Бюретки без установленного времени ожидания
Примечание - При пользовании настоящим стандартом целесообразно проверить действие ссылочных стандартов в информационной системе общего пользования - на официальном сайте Федерального агентства по техническому регулированию и метрологии в сети Интернет или по ежегодному информационному указателю "Национальные стандарты", который опубликован по состоянию на 1 января текущего года, и по выпускам ежемесячного информационного указателя "Национальные стандарты" за текущий год. Если ссылочный стандарт заменен (изменен), то при пользовании настоящим стандартом следует руководствоваться заменяющим (измененным) стандартом. Если ссылочный стандарт отменен без замены, то положение, в котором дана ссылка на него, применяется в части, не затрагивающей эту ссылку.
В настоящем стандарте применены термины по
ГОСТ 33222, а также следующие термины с соответствующими определениями:
3.1 свободный диоксид серы: Диоксид серы (SO
2) в форме неорганических сульфитов

и

, равновесие между которыми определяется величиной pH и температурой.
3.2 связанный диоксид серы: Диоксид серы, химически связанный с органическими соединениями, содержащими полярные карбонильные группы.
3.3 общий диоксид серы: Суммарное содержание свободного и связанного диоксида серы, в пересчете на SO2.
Общие требования к условиям отбора проб, оборудованию, установлению объема выборок и составлению объединенных проб сахара - по
ГОСТ 12569.
Метод основан на окислительно-восстановительном титровании сульфит-ионов в пробе раствора сахара раствором йода в кислой среде в присутствии индикатора крахмала после перевода связанного и свободного диоксида серы в соли сернистой кислоты путем выдерживания с раствором гидроксида натрия пробы сахара.
6. Средства измерений, вспомогательное оборудование,
реактивы, материалы
Весы неавтоматического действия по
ГОСТ OIML R 76-1 с пределами допускаемой абсолютной погрешности +/- 0,01 г.
Весы неавтоматического действия по
ГОСТ OIML R 76-1 с пределами допускаемой абсолютной погрешности +/- 0,001 г.
Шкаф сушильный, обеспечивающий поддержание температуры (105 +/- 1) °C с автоматическим регулированием.
Часы механические по ГОСТ 10733 или электронные по
ГОСТ 23350.
Плитка электрическая закрытого типа, обеспечивающая нагрев в диапазоне измерений температуры от 120 °C до 200 °C по
ГОСТ 14919.
Колбы мерные 2-100-1, 2-100-2, 2-250-2, 1(2)-500-2, 2-1000-2 по
ГОСТ 1770.
Цилиндры мерные 3-10-2, 3-25-2, 1-100-2 по
ГОСТ 1770.
Пипетки градуированные 1-1-2-2, 1-1-2-5 по
ГОСТ 29227.
Пипетки с одной отметкой 2-2-5, 2-2-10, 2-2-50 по
ГОСТ 29169.
Бюретки 1-2-2-10-0,02; 1-2-2-25-0,05 по
ГОСТ 29252.
Колбы конические вместимостью Кн-3-250-34, Кн-3-500-34 по
ГОСТ 25336.
Стекло часовое.
Кислота соляная, плотностью 1,19 г/см
3 по
ГОСТ 3118, х.ч.
Вода для лабораторного анализа по ГОСТ ISO 3696 или дистиллированная по
ГОСТ 6709.
Йод, стандарт-титр 0,1 моль/дм3.
Натрий серноватистокислый 5-водный, стандарт-титр 0,1 моль/дм3.
Допускается применение других средств измерений, вспомогательного оборудования и посуды с метрологическими и техническими характеристиками, не ниже приведенных.
7. Условия проведения измерений
При выполнении измерений, приготовлении растворов и подготовке проб к анализу соблюдают следующие условия:
- температура воздуха .................................. (20 +/- 5) °C;
- относительная влажность воздуха, не более ...................... 80%.
Частоту переменного тока и напряжение в сети поддерживают в соответствии с инструкциями по эксплуатации средств измерений и вспомогательного оборудования.
В помещениях, предназначенных для проведения измерений, не допускается загрязненность воздуха рабочей зоны пылью, агрессивными веществами, вибрация, электромагнитные помехи или другие факторы, влияющие на измерения.
8. Подготовка к проведению измерений
Перед выполнением измерений проводят подготовку посуды, приготовление растворов, реактивов, подготовку проб.
8.1 Подготовка посуды
Посуду промывают водой по ГОСТ ISO 3696 или
ГОСТ 6709, высушивают в сушильном шкафу при температуре 40 °C, охлаждают до температуры проведения измерений.
8.2 Приготовление реактивов
8.2.1 Приготовление раствора гидроксида натрия молярной концентрации
c (NaOH) = 1 моль/дм
3
Растворяют 40,0 г гидроксида натрия в химическом стакане при перемешивании, охлаждают и переносят в мерную колбу вместимостью 1000 см3, доводят объем раствора дистиллированной водой до метки и перемешивают.
Срок хранения раствора в закрытой емкости из полимерного материала при температуре проведения измерений - не более 6 мес.
При наличии видимого осадка или помутнении раствор применению не подлежит.
8.2.2 Приготовление раствора соляной кислоты молярной концентрации
c (HCl) = 3 моль/дм
3
Отмеренный цилиндром объем концентрированной соляной кислоты (247 см3 плотностью 1,19 г/см3) осторожно вливают в мерную колбу вместимостью 1000 см3, содержащую 200 - 300 см3 дистиллированной воды, охлаждают и доводят объем раствора до метки дистиллированной водой.
Срок хранения раствора в закрытой емкости при температуре проведения измерений - не более 6 мес.
8.2.3 Приготовление раствора йода молярной концентрации
c (1/2 I
2) = 0,1 моль/дм
3
Содержимое стандарт-титра 1/2 I2 = 0,1 моль/дм3 (0,1 Н) количественно переносят в мерную колбу вместимостью 1000 см3, доводят объем раствора до метки дистиллированной водой и перемешивают.
Примечание - При отсутствии стандарт-титра приготовление раствора допускается проводить по
ГОСТ 25794.2.
Срок хранения раствора в емкости из темного стекла с притертой пробкой - не более 6 мес.
Определение коэффициента поправки к номинальной молярной концентрации проводят по ГОСТ 25794.2
(пункт 2.3.3).
8.2.4 Приготовление раствора йода молярной концентрации c (1/2 I2) = 0,005 моль/дм3
В мерную колбу вместимостью 500 см
3 вносят 25 см
3 раствора, приготовленного по
8.2.3, доводят объем раствора до метки дистиллированной водой и тщательно перемешивают.
Раствор готовят в день проведения анализа.
8.2.5 Приготовление раствора серноватистокислого натрия молярной концентрации c (Na2S2O3·5H2O) = 0,1 моль/дм3
Содержимое стандарт-титра Na2S2O3·5H2O = 0,1 моль/дм3 (0,1 Н) количественно переносят в мерную колбу вместимостью 1000 см3, доводят объем раствора до метки дистиллированной водой и перемешивают.
Примечание - При отсутствии стандарт-титра приготовление раствора допускается проводить по
ГОСТ 25794.2.
Срок хранения раствора в емкости из темного стекла - не более одного месяца.
Определение коэффициента поправки к номинальной молярной концентрации проводят по ГОСТ 25794.2
(пункт 2.11.3).
8.2.6 Приготовление раствора двухромовокислого калия молярной концентрации c (1/6 K2Cr2O7) = 0,1 моль/дм3
Содержимое стандарт-титра 1/6 K2Cr2O7 = 0,1 моль/дм3 (0,1 Н) количественно переносят в мерную колбу вместимостью 1000 см3, доводят объем раствора до метки дистиллированной водой и перемешивают.
Срок хранения раствора в емкости из темного стекла - не более одного месяца.
Примечание - При отсутствии стандарт-титра приготовление раствора допускается проводить по
ГОСТ 25794.2.
8.2.7 Приготовление раствора крахмала массовой доли 1%
1 г растворимого крахмала смешивают с 10 см3 дистиллированной воды, добавляют при перемешивании к 90 см3 кипящей дистиллированной воды, охлаждают.
Раствор готовят в день проведения анализа.
8.3 Подготовка анализируемой пробы
50,0 г кристаллического сахара цветностью не более 195 ед. ICUMSA или 10,0 г сахара цветностью более 195 ед. ICUMSA (кусковой сахар предварительно измельчают в фарфоровой ступке пестиком) взвешивают в конической колбе вместимостью 500 см3, добавляют 150 см3 дистиллированной воды и перемешивают круговыми движениями до полного растворения сахара.
В коническую колбу с подготовленной по
8.3 анализируемой пробой сахара вносят 25 см
3 раствора гидроксида натрия по
8.2.1, отмеренного цилиндром, смесь взбалтывают, колбу накрывают часовым стеклом и оставляют на 15 мин. Затем прибавляют цилиндром 10 см
3 раствора соляной кислоты по
8.2.2, 2 см
3 раствора крахмала по
8.2.7 и незамедлительно титруют раствором йода молярной концентрации
c (1/2 I
2) = 0,005 моль/дм
3 до появления синего окрашивания, не исчезающего при перемешивании в течение 15 с.
Записывают объем раствора йода, израсходованный на титрование, V.
Проводят холостой опыт в тех же условиях, с использованием реактивов и дистиллированной воды, без сахара.
Записывают объем раствора йода, израсходованный на титрование в холостой пробе, V0.
10. Обработка результатов измерений
10.1 Массовую долю диоксида серы X, млн-1 (мг/кг), в анализируемой пробе вычисляют по формуле

(1)
где V - объем раствора йода молярной концентрации c (1/2 I2) = 0,005 моль/дм3, израсходованный при титровании анализируемой пробы, см3;
V0 - объем раствора йода молярной концентрации c (1/2 I2) = 0,005 моль/дм3, израсходованный при титровании в холостом опыте, см3;
32,03 - количество миллиграммов диоксида серы, соответствующее 1 см3 раствора йода молярной концентрации c (1/2 I2) = 0,005 моль/дм3;
C - молярная концентрация раствора йода, моль/дм3;
K - коэффициент поправки для раствора йода молярной концентрации c (1/2 I2) = 0,1 моль/дм3;
m - масса анализируемой пробы сахара, г;
1000 - коэффициент пересчета граммов в миллиграммы.
Вычисления проводят до второго десятичного знака, окончательный результат округляют до первого десятичного знака.
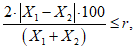
10.2 За результат измерений принимают среднее арифметическое значение результатов двух параллельных измерений, если выполняется условие приемлемости

(2)
где X1, X2 - результаты параллельных измерений массовой доли общего диоксида серы в сахаре, млн-1 (мг/кг);
10.3 Если
условие (2) не выполняется, получают еще два результата в соответствии с требованиями настоящего стандарта. За результат измерений принимают среднее арифметическое значение результатов четырех измерений, если выполняется условие

(3)
где Xmax, Xmin - максимальное и минимальное значения из полученных четырех результатов параллельных измерений массовой доли общего диоксида серы, млн-1 (мг/кг);
CR0,95 - значение критического диапазона для уровня вероятности P = 0,95 и n результатов определений

(4)
Для

,
Если
условие (3) не выполняется, выясняют причины превышения критического диапазона, устраняют их и повторяют определение в соответствии с требованиями настоящего стандарта.
10.4 Результат анализа в документах, предусматривающих его использование, представляют в виде

при
P = 0,95,
где

- среднее арифметическое значение результатов
n определений, признанных приемлемыми по
10.2,
10.3, млн
-1 (мг/кг);

- границы относительной погрешности измерений, %
(таблица 1).
В случае, если массовая доля диоксида серы ниже нижней (выше верхней) границы диапазона измерений, производят следующую запись: "массовая доля диоксида серы менее 1 мг/кг (более 20 мг/кг)".
11. Метрологические характеристики
Методика, изложенная в настоящем стандарте, обеспечивает получение результатов с погрешностью, не превышающей значений, представленных в таблице 1.
Диапазон измерений массовой доли диоксида серы, млн-1 (мг/кг) | Показатель точности (границы относительной погрешности)  , %, при P = 0,95 | Показатель повторяемости (относительное среднеквадратическое отклонение повторяемости)  , % | Показатель воспроизводимости (относительное среднеквадратическое отклонение воспроизводимости)  , % | Предел повторяемости r, %, P = 0,95, n = 2 | Предел воспроизводимости R, %, P = 0,95, n = 2 |
От 1,0 до 5,0 включ. | 30 | 10 | 15 | 28 | 42 |
Св. 5,0 до 10 включ. | 18 | 6 | 9 | 17 | 25,5 |
Св. 10 до 15 включ. | 12 | 4 | 6 | 11 | 16,5 |
Св. 15 до 20 включ. | 7 | 2 | 3 | 5,5 | 8 |
12. Требования безопасности
Требования электробезопасности при работе с приборами - по
ГОСТ 12.1.019 и в соответствии с инструкцией по эксплуатации прибора.
При работе с химическими реактивами соблюдают требования техники безопасности, установленные для работы с токсичными, едкими и легковоспламеняющимися веществами по
ГОСТ 12.1.007.
Содержание вредных веществ в воздухе не должно превышать допустимых значений по
ГОСТ 12.1.005.
Остатки проб утилизируют в порядке, установленном в лаборатории.
13. Требования к квалификации персонала
К выполнению измерений, обработке и оформлению результатов допускаются специалисты, имеющие высшее или специальное образование, имеющие опыт работы с лабораторным оборудованием и владеющие данным методом.