Главная // Актуальные документы // ГОСТ (Государственный стандарт)СПРАВКА
Источник публикации
М.: Стандартинформ, 2017
Примечание к документу
Документ включен в
Перечень международных и региональных (межгосударственных) стандартов, а в случае их отсутствия - национальных (государственных) стандартов, содержащих правила и методы исследований (испытаний) и измерений, в том числе правила отбора образцов, необходимые для применения и исполнения требований технического
регламента Евразийского экономического союза "О безопасности алкогольной продукции" (ТР ЕАЭС 047/2018) и осуществления оценки соответствия объектов технического регулирования (
Решение Коллегии Евразийской экономической комиссии от 17.05.2022 N 80).
Текст данного документа приведен с учетом
поправки, опубликованной в "ИУС", N 4, 2020.
Документ
введен в действие с 1 января 2019 года.
Название документа
"ГОСТ 34165-2017. Межгосударственный стандарт. Зерновые, зернобобовые и продукты их переработки. Методы определения загрязненности насекомыми-вредителями"
(введен в действие Приказом Росстандарта от 31.10.2017 N 1599-ст)
"ГОСТ 34165-2017. Межгосударственный стандарт. Зерновые, зернобобовые и продукты их переработки. Методы определения загрязненности насекомыми-вредителями"
(введен в действие Приказом Росстандарта от 31.10.2017 N 1599-ст)
по техническому регулированию
и метрологии
от 31 октября 2017 г. N 1599-ст
МЕЖГОСУДАРСТВЕННЫЙ СТАНДАРТ
ЗЕРНОВЫЕ, ЗЕРНОБОБОВЫЕ И ПРОДУКТЫ ИХ ПЕРЕРАБОТКИ
МЕТОДЫ ОПРЕДЕЛЕНИЯ ЗАГРЯЗНЕННОСТИ НАСЕКОМЫМИ-ВРЕДИТЕЛЯМИ
Grains, legumes and products of their processing. Methods
for determination of contamination by insects-pests
ГОСТ 34165-2017
Дата введения
1 января 2019 года
Цели, основные принципы и основной порядок проведения работ по межгосударственной стандартизации установлены
ГОСТ 1.0-2015 "Межгосударственная система стандартизации. Основные положения",
ГОСТ 1.2-2015 "Межгосударственная система стандартизации. Стандарты межгосударственные, правила и рекомендации по межгосударственной стандартизации. Правила разработки, принятия, обновления и отмены"
1 РАЗРАБОТАН Федеральным государственным бюджетным научным учреждением "Всероссийский научно-исследовательский институт зерна и продуктов его переработки" (ФГБНУ "ВНИИЗ")
2 ВНЕСЕН Федеральным агентством по техническому регулированию и метрологии
3 ПРИНЯТ Межгосударственным советом по стандартизации, метрологии и сертификации (протокол от 7 мая 2017 г. N 99-П)
За принятие проголосовали:
Краткое наименование страны по МК (ИСО 3166) 004-97 | Код страны по МК (ИСО 3166) 004-97 | Сокращенное наименование национального органа по стандартизации |
Армения | AM | Минэкономики Республики Армения |
Беларусь | BY | Госстандарт Республики Беларусь |
Казахстан | KZ | Госстандарт Республики Казахстан |
Киргизия | KG | Кыргызстандарт |
Россия | RU | Росстандарт |
4
Приказом Федерального агентства по техническому регулированию и метрологии от 31 октября 2017 г. N 1599-ст межгосударственный стандарт ГОСТ 34165-2017 введен в действие в качестве национального стандарта Российской Федерации с 1 января 2019 г.
5 ВВЕДЕН ВПЕРВЫЕ
Информация об изменениях к настоящему стандарту публикуется в ежегодном информационном указателе "Национальные стандарты", а текст изменений и поправок - в ежемесячном информационном указателе "Национальные стандарты". В случае пересмотра (замены) или отмены настоящего стандарта соответствующее уведомление будет опубликовано в ежемесячном информационном указателе "Национальные стандарты". Соответствующая информация, уведомление и тексты размещаются также в информационной системе общего пользования - на официальном сайте Федерального агентства по техническому регулированию и метрологии в сети Интернет (www.gost.ru)
Настоящий стандарт распространяется на зерно злаковых, семена зернобобовых культур и продукты их переработки и устанавливает методы определения в них загрязненности насекомыми-вредителями, в том числе клещами.
В настоящем стандарте использованы нормативные ссылки на следующие межгосударственные стандарты:
ГОСТ 1770-74 (ИСО 1042-83, ИСО 4788-80) Посуда мерная лабораторная стеклянная. Цилиндры, мензурки, колбы, пробирки. Общие технические условия
ГОСТ 4328-77 Реактивы. Натрия гидроокись. Технические условия
ГОСТ 6613-86 Сетки проволочные тканые с квадратными ячейками. Технические условия
ГОСТ 12026-76 Бумага фильтровальная лабораторная. Технические условия
ГОСТ OIML R 76-1-2011 Государственная система обеспечения единства измерений. Весы неавтоматического действия. Часть 1. Метрологические и технические требования. Испытания
ГОСТ 25706-83 Лупы. Типы, основные параметры. Общие технические требования
ГОСТ 26312.3-84 Крупа. Метод определения зараженности вредителями хлебных запасов
ГОСТ 27186-86 Зерно заготовляемое и поставляемое. Термины и определения
ГОСТ 27559-87 Мука и отруби. Метод определения зараженности и загрязненности вредителями хлебных запасов
Примечание - При пользовании настоящим стандартом целесообразно проверить действие ссылочных стандартов в информационной системе общего пользования - на официальном сайте Федерального агентства по техническому регулированию и метрологии в сети Интернет или по ежегодному информационному указателю "Национальные стандарты", который опубликован по состоянию на 1 января текущего года, и по выпускам ежемесячного информационного указателя "Национальные стандарты" за текущий год. Если ссылочный стандарт заменен (изменен), то при пользовании настоящим стандартом следует руководствоваться заменяющим (измененным) стандартом. Если ссылочный стандарт отменен без замены, то положение, в котором дана ссылка на него, применяется в части, не затрагивающей эту ссылку.
В настоящем стандарте применены термины по
ГОСТ 27186,
[1],
[2], а также следующие термины с соответствующими определениями:
3.1 загрязненность зерна, семян зернобобовых культур и продуктов их переработки мертвыми насекомыми-вредителями: Наличие в межзерновом пространстве мертвых насекомых-вредителей или их частей, а также продуктов их жизнедеятельности.
3.2 средняя плотность загрязненности каждым видом вредителя (Xс): Количество экземпляров одного вида вредителя в 1 кг зерна, семян зернобобовых культур и продуктов их переработки.
3.3 суммарная плотность загрязненности (СПЗг): Показатель, выражаемый количеством экземпляров всех видов вредителей с учетом коэффициента вредоносности каждого вида вредителя в 1 кг зерна, семян зернобобовых культур и продуктов их переработки.
3.4 коэффициент вредоносности каждого вида вредителя (Kв): Величина отношения вредоносности данного вида вредителя к вредоносности рисового долгоносика Sitophilus oryzae L.
4. Средства измерений, вспомогательное оборудование, реактивы
4.1 Весы неавтоматического действия - по
ГОСТ OIML R 76-1 или по нормативным документам, действующим на территории государств, принявших стандарт, с пределами допускаемой абсолютной погрешности не более +/- 1 г.
4.2 Рассев лабораторный.
4.3 Лабораторные сита из решетного полотна с круглыми отверстиями диаметром 1,0; 1,5; 2,5 мм; с продолговатыми отверстиями 1,2 x 20; 1,5 x 20 и 2,5 x 20 мм; сита из проволочной сетки N 056; 063; 08; 1 по
ГОСТ 6613.
4.4 Доска анализная (с черным и белым стеклом).
4.5 Стекло размером 20 x 30 см.
4.6 Лупа зерновая по
ГОСТ 25706 с кратностью увеличения 4
x - 5
x.
4.7 Часы сигнальные по нормативным документам, действующим на территории государств, принявших стандарт, с прямым и обратным отсчетом времени и звуковым сигналом окончания отсчета заданного временного интервала.
4.8 Шпатель.
4.9 Совочек.
4.10 Кисти или щетки-сметки.
4.11 Лабораторный делитель.
4.12 Скальпель или лезвие бритвы.
4.13 Сетка металлическая или капроновая.
4.14 Секундомер механический.
4.15 Бумага фильтровальная лабораторная марки ФНС - по
ГОСТ 12026.
4.16 Натрия гидроокись - по
ГОСТ 4328 или калия гидроокись - по
ГОСТ 24363, раствор с массовой долей 0,5%.
4.20 Колба мерная вместимостью 500 см
3 - по
ГОСТ 1770.
4.21 Раствор с массовой долей йода 1% в йодистом калии
Растворяют 10 г йодистого калия в небольшом количестве дистиллированной воды в мерной колбе вместимостью 500 см3, добавляют к полученному раствору 5 г кристаллического йода и доводят до полного растворения при последующем доведении до объема раствора дистиллированной водой до 500 см3.
Водный раствор с массовой долей йода 1% в йодистом калии хранят в стеклянной посуде с притертой пробкой в сухом, прохладном и темном месте не более 3 мес.
Примечание - Допускается использовать другие средства измерений, вспомогательное оборудование с такими же или лучшими характеристиками.
5. Отбор проб, упаковка и маркировка
Загрязненность вредителями зерна, зернобобовых культур и продуктов их переработки (крупы, муки и отрубей) определяют в средней пробе, масса которой в зависимости от вида продукции должна составлять 1,5 - 2,0 кг.
Примечание - Количество средних проб (
N) зависит от массы партий, их количества по видам продукции и определяется в соответствии с
ГОСТ 13586.3,
ГОСТ 26312.1,
ГОСТ 27668.
5.2 Средние пробы помещают в любую чистую, сухую, не зараженную, не загрязненную, плотно закрывающуюся тару, препятствующую нарушению целостности (повреждению) мертвых насекомых и клещей.
5.3 Для маркировки средних проб используют этикетки из бумаги, которые через имеющиеся в них отверстия прикрепляют к плотно закрывающейся упаковке с пробой.
На этикетке указывают, что данная средняя проба предназначена для определения загрязненности вредителями.
5.4 Отобранные для определения загрязненности вредителями средние пробы должны быть подвергнуты анализу не позднее чем через 48 ч после отбора.
5.5 Хранить средние пробы необходимо при температуре не ниже 15 °C и не выше 30 °C.
5.6 Для транспортировки средние пробы должны быть упакованы в защитную упаковку (металлические банки с плотно закрывающимися крышками, картонные коробки или тканевые мешочки с полиэтиленовыми вкладышами).
Примечание - Допускается одновременное проведение определения загрязненности вредителями зерновых и зернобобовых культур, крупы, муки и отрубей в тех же пробах с определением зараженности вредителями зерна и семян бобовых культур по
ГОСТ 13586.6, крупы - по
ГОСТ 26312.3, муки - по
ГОСТ 27559.
6. Методы определения загрязненности зерна насекомыми-вредителями
Сущность метода заключается в просеивании средней пробы зерновых и зернобобовых культур и продуктов их переработки на лабораторном рассеве или вручную, с применением набора сит, и подсчете обнаруженных мертвых насекомых-вредителей отдельно по видам, обнаруженных поврежденными вредителями зерен и установлении суммарной плотности загрязненности зерна (СПЗг).
6.2 Определение загрязненности зерна насекомыми-вредителями методом просеивания средних проб
6.2.1 Проведение испытаний
6.2.1.1 Просеивание средних проб на рассеве
Подготовку рассева к работе осуществляют в соответствии с требованиями и порядком, указанными в паспорте, инструкции или руководстве по эксплуатации данного оборудования.
Среднюю пробу взвешивают и помещают в бункер лабораторного рассева. Включают рассев и на реле времени рассева устанавливают необходимую экспозицию просеивания пробы. Просеивание проводят с частотой колебаний 120 об/мин в соответствии с инструкцией. По истечении установленного времени рассев автоматически отключается.
Из ситового пакета вынимают поддоны. Содержимое поддонов высыпают на стекло анализной доски и рассматривают с помощью лупы. Обнаруженных мертвых клещей и насекомых подсчитывают отдельно по видам.
Перечень основных видов насекомых-вредителей приведен в
приложении А.
Примечание - При выявлении в партии живых насекомых-вредителей партия признается зараженной и подлежит обеззараживанию.
6.2.1.2 Просеивание средних проб вручную на наборе сит
Среднюю пробу взвешивают и помещают на набор сит с отверстиями диаметром 2,5 и 1,5 мм. Просеивание пробы осуществляют в течение двух минут вручную при частоте круговых движений не менее 120 в минуту (см.
4.3).
Сход с сита с отверстиями диаметром 2,5 и 1,5 мм помещают раздельно на белое стекло анализной доски и разбирают вручную с помощью шпателя. Обнаруженных мертвых насекомых и клещей подсчитывают отдельно по видам.
Затем рассыпают тонким слоем на черном стекле анализной доски проход сита с отверстиями диаметром 1,5 мм и рассматривают его с помощью лупы (см.
4.6). Обнаруженных мертвых насекомых и клещей подсчитывают отдельно по видам.
6.2.1.3 При анализе зерна могут быть обнаружены не только целые мертвые насекомые, но и их отдельные фрагменты (головы, туловища, крылья, лапки, усики и т.п.).
Если по фрагментам насекомых возможно идентифицировать вид вредителя, то количество их определяют следующим образом.
При обнаружении только головы или только туловища их подсчитывают и учитывают полностью как целых вредителей. Когда обнаружены одновременно головы и туловища вредителей одного и того же вида, то количество целых вредителей устанавливают по наибольшему количеству одного из фрагментов. Например, если найдено пять голов и три туловища рисового долгоносика, то количество целых особей принимают равным пяти.
Если по отдельным фрагментам идентифицировать вид вредителя и установить количество особей невозможно, то эти фрагменты не учитывают и относят к сорной примеси.
6.2.1.4 После окончания определения проводят очистку сит и поддона кисточками или щетками-сметками.
6.2.2 Обработка результатов
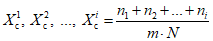
6.2.2.1 Среднюю плотность загрязненности зерна каждым видом вредителя

,

, ...,

, выражаемую количеством экземпляров одного вида вредителя в 1 кг зерна (экз./кг), вычисляют по формуле

, (1)
где n1, n2, ..., ni - количество вредителей одного вида, обнаруженное в средних пробах, экз.;
m - масса средней пробы, кг;
N - количество средних проб, отобранных от партии, шт.
Xс вычисляют до второго десятичного знака и округляют до первого десятичного знака следующим образом: если первая из отбрасываемых цифр меньше 5, то последняя сохраняемая цифра не меняется, если равна или более 5, то увеличивается на единицу.
6.2.2.2 Xс зерна, хранящегося насыпью на площадках и в складах, вычисляют по формуле

, (2)
где 2 - коэффициент, учитывающий неравномерность распределения вредителей в насыпи зерна.
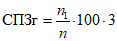
6.2.2.3 Суммарную плотность загрязненности СПЗг (экз./кг), вычисляют по формуле

, (3)
где

,

, ...,

- коэффициент вредоносности каждого вида вредителя.
Значения коэффициента вредоносности каждого вида вредителя приведены в таблице 1.
Таблица 1
Коэффициенты вредоносности насекомых и клещей Kв
N п/п | Наименование вредителя | Kв |
1 | Зерновой точильщик | 1,7 |
2 | Амбарный долгоносик | 1,5 |
3 | Бабочки (гусеницы), мавританская козявка | 1,1 |
4 | Рисовый долгоносик, зерновки | 1,0 |
5 | Мучные хрущаки, притворяшки, кожееды | 0,4 |
6 | Мукоеды, грибоеды | 0,3 |
7 | Блестянки, скрытники, скрытноеды | 0,2 |
8 | Сеноеды | 0,1 |
9 | Хлебные клещи | 0,05 |
СПЗг вычисляют до второго десятичного знака и округляют до первого десятичного знака.
Результаты определения СПЗг проставляют в документах о качестве (отчете) с точностью до первого десятичного знака при СПЗг менее 1 экз./кг и до целого числа при СПЗг более 1 экз./кг.
Округление полученных результатов анализа для проставления в документах о качестве зерна проводят: если первая из отбрасываемых цифр меньше 5, то последняя сохраняемая цифра не меняется, если равна или более 5, то увеличивается на единицу.
6.3 Определение загрязненности зерна насекомыми-вредителями методом визуального исследования поврежденных зерен
Определение загрязненности насекомыми-вредителями зерна путем визуального исследования поврежденных зерен проводят при условии, что анализ по
6.2 не выявил присутствия мертвых вредителей, но в средней пробе встречаются зерна с явными признаками повреждения насекомыми.
Отличительная сущность метода состоит в том, что из средней пробы (в соответствии с
разделом 5) выделяют навеску зерна, которую исследуют визуально, отбирая зерна, поврежденные насекомыми, и вычисляют СПЗг.
6.3.1 Проведение испытаний
Из средней пробы зерна, отобранной для определения загрязненности вредителями (в соответствии с
разделом 5), выделяют вручную или с помощью лабораторного делителя навеску массой, грамм:
100 - для кукурузы;
2 - для проса;
15 - для других зерновых культур.
Из навески удаляют сорную примесь и подсчитывают количество зерен в навеске.
Зерна распределяют на анализной доске и тщательно осматривают. При осмотре из массы зерна выделяют зерна со следующими признаками повреждения вредителями:
- имеющие отверстие с неровным краем, оставленное жуками долгоносиков;
- имеющие округлое отверстие с ровным краем, иногда с оставшейся округлой крышечкой, после вылета бабочки зерновой моли;
- с изъеденным снаружи в одном или нескольких местах эндоспермом зерновым точильщиком или другими насекомыми;
- с выеденным зародышем.
Обнаруженные в навеске зерна с перечисленными признаками выделяют и подсчитывают.
6.3.2 Обработка результатов
СПЗг (экз./кг) вычисляют по формуле

, (4)
где n1 - количество выделенных поврежденных вредителями зерен, шт.;
n - количество зерен в навеске, шт.;
3 - коэффициент пересчета загрязненности зерна в процентах в СПЗг, экз./кг.
7. Методы определения загрязненности зерновками семян зернобобовых культур
7.1 Определение загрязненности фасолевой зерновкой семян фасоли методом просеивания средних проб
7.1.1 Сущность метода - по
6.1.
7.1.2 Проведение испытаний - по
6.2.
7.2 Определение загрязненности зерновками семян зернобобовых культур методом визуального исследования
7.2.1 Отличительная сущность метода состоит в том, что из средней пробы (в соответствии с
разделом 5) выделяют навеску семян бобовых культур, которую исследуют визуально, выделяя семена, загрязненные зерновками, и устанавливают СПЗг.
7.2.2 Проведение испытаний - по
6.3.
7.2.2.1 Из средней пробы семян бобовых культур, отобранной для определения загрязненности вредителями (в соответствии с
разделом 5), выделяют вручную или с помощью лабораторного делителя навеску массой, грамм:
100 - для гороха, чины, нута, люпина, вики;
200 - для чечевицы, фасоли, кормовых бобов.
Из навески удаляют сорную примесь и подсчитывают количество семян в навеске.
7.2.2.2 Семена распределяют на анализной доске и тщательно осматривают. При осмотре из массы семян выделяют семена:
- гороха, фасоли, вики, чечевицы с наличием в зерне полости с характерными округлыми отверстиями диаметром 2 - 3 мм;
- гороха, фасоли, вики, чечевицы, кормовых бобов с круглыми "окошечками" (летные отверстия жуков) в виде темных пятен, представляющих собой оболочку семян, под которой находится личинка, куколка или жук зерновки;
- фасоли со слабо заметными уколами, представляющими входные отверстия личинок диаметром 0,1 - 0,3 мм;
- фасоли, настолько изъеденные, что у них остались только оболочки, разрушающиеся при надавливании, под которыми могут находиться 1 - 5 и более личинок, куколок и жуков фасолевой зерновки;
- фасоли, на поверхности которых просматривается кладка яиц фасолевой зерновки, состоящая из нескольких удлиненно-овальных белых блестящих яиц, особенно заметных на семенах с цветной оболочкой.
Обнаруженные в навеске семена с перечисленными признаками выделяют и подсчитывают.
7.2.2.3 Семена зернобобовых культур, на которых при осмотре по
7.2.2.2 не выявлено признаков загрязненности, помещают на сетку. Сетку с семенами погружают в сосуд с раствором йода в йодистом калии и выдерживают 60 - 90 с. Затем переносят сетку с семенами в сосуд с раствором щелочи на 30 с. После окончания экспозиции сетку с семенами вынимают из раствора щелочи, а семена промывают водопроводной водой в течение 15 - 20 с для освобождения от щелочи.
Вынимают семена из сетки и быстро просматривают для обнаружения входных отверстий личинок насекомых или мест проколов оболочки, которые окрашиваются в черный цвет и становятся хорошо заметными (мелкие черные пятна диаметром 1 - 2 мм). Семена с пятнами вскрывают и устанавливают наличие в них мертвых личинок, куколок или жуков.
Семена с мертвыми вредителями подсчитывают.
7.2.3 Обработка результатов
СПЗг (экз./кг) определяют по формуле

, (5)
где n1 - количество загрязненных семян, обнаруженных при осмотре навески, шт.;
n2 - количество загрязненных семян, обнаруженных после обработки семян раствором йода, шт.;
n - количество семян в навеске, взятой для анализа, шт.;
3 - коэффициент пересчета загрязненности семян в процентах в СПЗг, экз./кг.
Примечание - При выявлении в партии живых насекомых-вредителей партия признается зараженной и подлежит обеззараживанию.
8. Метод определения загрязненности вредителями крупы
8.1 Сущность метода - по
6.1.
8.2 Проведение испытаний
8.2.1 Выделенную среднюю пробу крупы (в соответствии с
разделом 5) просеивают на наборе сит вручную без встряхивания в течение двух минут при 110 - 120 движениях в минуту или на лабораторном рассеве при частоте вращения 120 об/мин в соответствии с инструкцией работы на используемом оборудовании. При диаметре обечаек сита менее 30 см просеивание крупы проводят частями. Крупу (в зависимости от вида) просеивают на лабораторных ситах, указанных в таблице 2.
Таблица 2
Характеристика сит для просеивания круп
Группа крупы | Наименование крупы | Размер отверстий сит, мм |
1 | Горох шелушеный (лущеный), гороховая быстроразваривающаяся, гречневая ядрица, зародыш кукурузный, крупа из мягкой пшеницы, кукурузная крупная, овсяная недробленая, овсяные хлопья, перловая N 1 и 2, перловая N 1 и 2 с сокращенным временем варки, пшеничная N 1 и 2 быстроразваривающаяся, пшеничная Полтавская N 1 и 2, рисовая шлифованная, ячменная N 1 и 2 быстроразваривающаяся | диаметр 2,5; диаметр 1,5 |
2 | Гречневый продел, кукурузная шлифованная N 1 и 2, перловая N 3 и 4, перловая N 3 и 4 с сокращенным временем варки, пшеничная Полтавская N 3 и 4, пшеничная Полтавская, N 4 из мягкой пшеницы, пшено шлифованное, рисовая дробленая мелкая, рисовая дробленая шлифованная, ячменная N 3 быстроразваривающаяся, ячневая N 1 и 2 | 1,2 x 20; диаметр 1,0 |
3 | Крупка пшеничная дробленая, кукурузная дробленая, кукурузная мелкая, кукурузная шлифованная N 3, 4, 5, манная, перловая N 5, перловая N 5 с сокращенным временем варки, пшеничная "Артек", ячневая N 3 | 0,80; 0,63 |
4 | Крупы повышенной питательной ценности | 2,5 x 20; 1,5 x 20 |
8.2.2 По окончании просеивания просматривают раздельно сход верхнего сита и проходы верхнего и нижнего сит, размещенные тонким слоем на анализной доске, и устанавливают виды вредителей и количество мертвых экземпляров. Сход и проход верхнего сита просматривают на белом стекле анализной доски, проход нижнего сита - на черном, пользуясь лупой.
8.2.3 При обнаружении фрагментов насекомых их подсчитывают в соответствии с
6.2.1.3.
8.3 Обработка результатов
Примечание - При выявлении в партии живых насекомых-вредителей партия признается зараженной и подлежит обеззараживанию.
9. Метод определения загрязненности вредителями муки
9.1 Сущность метода - по
6.1.
9.2 Проведение испытаний
9.2.1 Из средней пробы, отобранной в соответствии с
разделом 5, выделяют навеску массой 1 кг. Навеску муки просеивают вручную на сите N 056 из проволочной сетки в течение одной минуты при 120 круговых движениях в минуту или механизированным способом в соответствии с описанием, приложенным к рассеву.
9.2.2 Для выявления загрязненности муки насекомыми остаток на сите высыпают на белое стекло анализной доски, который перебирают вручную с помощью шпателя. При этом выделяют мертвых особей насекомых (личинки, куколки, взрослые и их фрагменты) - вредителей хлебных запасов.
9.2.3 Проход через сито N 056 исследуют для выявления клещей. С этой целью из разных мест прохода сита отбирают совочком пять навесок по 20 г каждая.
Навески отдельно помещают на черное стекло анализной доски, разравнивают и слегка прессуют с помощью листа бумаги или стекла для получения гладкой поверхности толщиной слоя 1 - 2 мм.
Сняв бумагу или стекло, поверхность муки тщательно рассматривают. Имеющиеся на поверхности муки вздутия просматривают с помощью лупы для установления присутствия клещей.
Количество клещей подсчитывают по всем пяти 20-граммовым навескам. Полученную сумму умножают на число 10 для пересчета количества клещей на анализируемую навеску массой 1 кг.
9.3 Обработка результатов
Примечание - При выявлении в партии живых насекомых-вредителей партия признается зараженной и подлежит обеззараживанию.
10. Требования к квалификации операторов
К выполнению процедуры по определению загрязненности должны допускаться лица с образованием не ниже среднего специального, имеющие профессиональную подготовку, опыт работы и обученные работе с соответствующими средствами измерений, оборудованием и реактивами.
11. Требования к условиям проведения испытаний
Определение загрязненности вредителями зерна, семян зернобобовых культур и продуктов их переработки проводят при следующих условиях окружающей среды:
- температура воздуха .............................................................. | от 10 до 35 °C; |
- относительная влажность воздуха ....................................... | не более 80%. |
12.1 Отчет об испытании должен включать следующую информацию:
- всю информацию, необходимую для полной идентификации пробы;
- используемый метод отбора проб, если известен;
- используемый метод проведения испытания со ссылкой на конкретный пункт настоящего стандарта;
- все подробности работы, не указанные в настоящем стандарте, или те, которые рассматриваются как дополнительные, но могут повлиять на результат(ы);
- полученный(ые) результат(ы) испытания;
- среднюю плотность загрязненности каждым видом вредителя;
- суммарную плотность загрязненности (СПЗг).
12.2 При возникновении разногласий в оценке определения наличия насекомых-вредителей в анализируемых зерновых, зернобобовых и продуктах их переработки проводят повторный анализ в присутствии заказчика. При его несогласии с результатами повторного анализа пробу в суточный срок направляют для контрольного анализа в независимую испытательную лабораторию, заключение которой является окончательным.
(справочное)
ОСНОВНЫЕ ВРЕДИТЕЛИ ХЛЕБНЫХ ЗАПАСОВ
Русское название | Латинское название |
1 | Зерновой точильщик | Rliizopertha dominica F. |
2 | Амбарный долгоносик | Sitophilus granarius L. |
3 | Бабочки (гусеницы), мавританская козявка | |
3.1 | Мавританская козявка | Tenebrioides mauritanicus L. |
3.2 | Зерновая моль | Sitotroga cerealella Oliv. |
3.3 | Южная огневка | Plodia interpunctella bib. |
3.4 | Зерновая (шоколадная, какаовая) огневка | Ephestia elutella Hb. |
3.5 | Амбарная (хлебная) моль | Nemapogon granellus L. |
3.6 | Мельничная огневка | Ephestia kuchniella Zell. |
3.7 | Мучная огневка | Pyralis farinalis L. |
3.8 | Сухофруктовая огневка | Ephestia cautella Wik. |
4 | Рисовый долгоносик, зерновки | |
4.1 | Рисовый долгоносик | Sitophilus oryzae L. |
4.2 | Гороховая зерновка | Bitichus pisomm L. |
4.3 | Фасолевая зерновка | Acanthoscelides obtectus Say. |
5 | Мучные хрущаки, притворяшки, кожееды | |
5.1 | Булавоусый хрущак | Tribolium castaneum Hrbst. |
5.2 | Малый мучной хрущак | Tribolium confusuv Duv. |
5.3 | Хрущак гладкий | Palorus subdepressus Woll. |
5.4 | Смоляно-бурый хрущак | Alphitobius diaperinus Panz. |
5.5 | Малый черный хрущак | Tribolium destructor Uytt. |
5.6 | Хрущак двуполосый | Alphitophagus bifasciatus Say. |
5.7 | Кожееды | Dermestidae |
5.8 | Притворяшки | Ptinidae |
6 | Мукоеды, грибоеды | |
6.1 | Короткоусый мукоед | Laemophloeus ferrugineus St. |
6.2 | Суринамский мукоед | Oryzaephilus surinamensis L. |
6.3 | Малый мукоед | Laemopliloeus pusillus Schohn. |
6.4 | Масличная плоскотелка | Aliasverus advena Waltl. |
6.5 | Бархатистый грибоед | Typhea stercorea L. |
7 | Блестянки, скрытники, скрытноеды | |
7.1 | Блестянки | Nitidulidae |
7.2 | Скрытники | Lathridiidae |
7.3 | Скрытноеды | Cryptophagidae |
8 | Сеноеды | Psocoptera |
9 | Хлебные клещи | |
9.1 | Мучной клещ | Acaras siro L. |
9.2 | Удлиненный клещ | Tyrophagus noxius A. Zach. |
(справочное)
ПРИМЕРЫ РАСЧЕТОВ СУММАРНОЙ ПЛОТНОСТИ ЗАГРЯЗНЕННОСТИ
ЗЕРНА И МУКИ НАСЕКОМЫМИ-ВРЕДИТЕЛЯМИ
Б.1 Пример расчета суммарной плотности загрязненности зерна
От партии отобрана для определения загрязненности одна средняя проба зерна массой 2 кг.
После просеивания зерна в пробе обнаружены и идентифицированы следующие мертвые вредители: рисовый долгоносик - 6 экз. и зерновой точильщик - 18 экз.
Определяем среднюю плотность загрязненности зерна каждым видом вредителя по
формуле (1):

- рисовый долгоносик - 6 экз. : 2 = 3 экз./кг;

- зерновой точильщик - 18 экз. : 2 = 9 экз./кг.
Определяем суммарную плотность загрязненности зерна по
формуле (3):
3 экз.·1,0 + 9 экз.·1,7 = 18,3 экз./кг,
где величины 1,0 и 1,7 - коэффициенты вредоносности указанных насекомых.
Вывод: зерно непригодно для продовольственных целей, так как значение показателя безопасности "загрязненность вредителями" превышает требования
ТР ТС 015/2011 и МДУ = 15 экз./кг.
Б.2 Пример расчета суммарной плотности загрязненности муки
От партии отобрана для определения загрязненности одна средняя проба муки массой 2 кг.
После просеивания муки в пробе обнаружены и идентифицированы следующие мертвые вредители: булавоусый хрущак - 6 экз. и короткоусый мукоед - 15 экз.
Определяем среднюю плотность загрязненности муки каждым видом вредителя по
формуле (1):

- булавоусый хрущак - 6 экз. : 2 = 3 экз./кг;

- короткоусый мукоед - 15 экз. : 2 = 7,5 экз./кг.
Определяем суммарную плотность загрязненности муки вредителями по
формуле (3):
3 экз.·0,4 + 7,5 экз.·0,3 = 3,45 экз./кг,
где величины 0,4 и 0,3 - коэффициенты вредоносности указанных насекомых.
Вывод: мука не соответствует требованиям
ТР ТС 021/2011 по показателю "загрязненность вредителями".
| | Технический регламент Таможенного союза "О безопасности зерна" |
| | Технический регламент Таможенного союза "О безопасности пищевой продукции" |