Главная // Актуальные документы // ГОСТ (Государственный стандарт)СПРАВКА
Источник публикации
М.: ФГБУ "РСТ", 2021
Примечание к документу
Документ включен в
Перечень международных и региональных (межгосударственных) стандартов, а в случае их отсутствия - национальных (государственных) стандартов, в результате применения которых на добровольной основе обеспечивается соблюдение требований технического
регламента Таможенного союза "О безопасности машин и оборудования" (ТР ТС 010/2011), и
Перечень международных и региональных (межгосударственных) стандартов, а в случае их отсутствия - национальных (государственных) стандартов, содержащих правила и методы исследований (испытаний) и измерений, в том числе правила отбора образцов, необходимые для применения и исполнения требований технического
регламента Таможенного союза "О безопасности машин и оборудования" (ТР ТС 010/2011) и осуществления оценки соответствия объектов технического регулирования (
Решение Коллегии Евразийской экономической комиссии от 09.03.2021 N 28).
Документ
введен в действие с 01.01.2022.
Название документа
"ГОСТ EN 1093-2-2018. Межгосударственный стандарт. Безопасность машин. Оценка выбросов загрязняющих веществ. Часть 2. Метод индикаторного газа для измерения уровня выбросов заданного загрязняющего вещества"
(введен в действие Приказом Росстандарта от 25.08.2021 N 806-ст)
"ГОСТ EN 1093-2-2018. Межгосударственный стандарт. Безопасность машин. Оценка выбросов загрязняющих веществ. Часть 2. Метод индикаторного газа для измерения уровня выбросов заданного загрязняющего вещества"
(введен в действие Приказом Росстандарта от 25.08.2021 N 806-ст)
по техническому регулированию
и метрологии
от 25 августа 2021 г. N 806-ст
МЕЖГОСУДАРСТВЕННЫЙ СТАНДАРТ
БЕЗОПАСНОСТЬ МАШИН
ОЦЕНКА ВЫБРОСОВ ЗАГРЯЗНЯЮЩИХ ВЕЩЕСТВ
ЧАСТЬ 2
МЕТОД ИНДИКАТОРНОГО ГАЗА ДЛЯ ИЗМЕРЕНИЯ УРОВНЯ
ВЫБРОСОВ ЗАДАННОГО ЗАГРЯЗНЯЮЩЕГО ВЕЩЕСТВА
Safety of machinery. Evaluation of the emission of airborne
hazardous substances. Part 2. Tracer gas method for
the measurement of the emission rate of a given pollutant
(EN 1093-2:2006+A1:2008, IDT)
ГОСТ EN 1093-2-2018
Дата введения
1 января 2022 года
Цели, основные принципы и общие правила проведения работ по межгосударственной стандартизации установлены
ГОСТ 1.0 "Межгосударственная система стандартизации. Основные положения" и
ГОСТ 1.2 "Межгосударственная система стандартизации. Стандарты межгосударственные, правила и рекомендации по межгосударственной стандартизации. Правила разработки, принятия, обновления и отмены"
1 ПОДГОТОВЛЕН Научно-производственным республиканским унитарным предприятием "Белорусский государственный институт стандартизации и сертификации" (БелГИСС) на основе собственного перевода на русский язык англоязычной версии стандарта, указанного в
пункте 5
2 ВНЕСЕН Государственным комитетом по стандартизации Республики Беларусь
3 ПРИНЯТ Межгосударственным советом по стандартизации, метрологии и сертификации по результатам голосования в АИС МГС (протокол от 27 июля 2018 г. N 110-П)
За принятие проголосовали:
Краткое наименование страны по МК (ИСО 3166) 004-97 | Код страны по МК (ИСО 3166) 004-97 | Сокращенное наименование национального органа по стандартизации |
Армения | AM | ЗАО "Национальный орган по стандартизации и метрологии" Республики Армения |
Беларусь | BY | Госстандарт Республики Беларусь |
Казахстан | KZ | Госстандарт Республики Казахстан |
Киргизия | KG | Кыргызстандарт |
Россия | RU | Росстандарт |
Таджикистан | TJ | Таджикстандарт |
Узбекистан | UZ | Узстандарт |
4
Приказом Федерального агентства по техническому регулированию и метрологии от 25 августа 2021 г. N 806-ст межгосударственный стандарт ГОСТ EN 1093-2-2018 введен в действие в качестве национального стандарта Российской Федерации с 1 января 2022 г.
5 Настоящий стандарт идентичен европейскому стандарту EN 1093-2:2006+A1:2008 "Безопасность машин. Оценка выбросов вредных веществ. Часть 2. Метод индикаторного газа для измерения уровня выбросов заданного загрязняющего вещества" ("Safety of machinery - Evaluation of the emission of airborne hazardous substances - Part 2: Tracer gas method for the measurement of the emission rate of a given pollutant", IDT).
При применении настоящего стандарта рекомендуется использовать вместо ссылочных европейских стандартов соответствующие им межгосударственные стандарты, сведения о которых приведены в дополнительном
приложении ДА
6 ВВЕДЕН ВПЕРВЫЕ
Информация о введении в действие (прекращении действия) настоящего стандарта и изменений к нему на территории указанных выше государств публикуется в указателях национальных стандартов, издаваемых в этих государствах, а также в сети Интернет на сайтах соответствующих национальных органов по стандартизации.
В случае пересмотра, изменения или отмены настоящего стандарта соответствующая информация будет опубликована на официальном интернет-сайте Межгосударственного совета по стандартизации, метрологии и сертификации в каталоге "Межгосударственные стандарты"
Европейский стандарт разработан техническим комитетом по стандартизации CEN/TC 114 "Безопасность машин" Европейского комитета по стандартизации (CEN).
Европейский стандарт, на основе которого подготовлен настоящий стандарт, реализует существенные требования безопасности Директивы 98/37/ЕС и
Директивы 2006/42/ЕС, приведенные в
приложениях ZA и
ZB соответственно.
Настоящий стандарт представляет собой стандарт типа B по EN ISO 12100-1.
Положения настоящего стандарта могут быть дополнены или изменены стандартом типа C.
Для машин, на которые распространяется действие стандарта типа C и которые сконструированы и изготовлены в соответствии с требованиями настоящего стандарта, положения стандарта типа C имеют приоритет над положениями стандарта типа B.
Европейский стандарт EN 1093 под общим заголовком "Безопасность машин. Оценка выбросов загрязняющих веществ" содержит следующие части:
- часть 1. Выбор методов испытаний;
- часть 2. Метод индикаторного газа для измерения уровня выбросов заданного загрязняющего вещества;
- часть 3. Стендовый метод измерения уровня выбросов заданного загрязняющего вещества;
- часть 4. Эффективность улавливания системы выпуска отработавших газов. Метод изотопных индикаторов;
- часть 6. Эффективность очистки по массе без выходного канала;
- часть 7. Эффективность очистки по массе с выходным каналом;
- часть 8. Стендовый метод измерения параметра концентрации;
- часть 9. Лабораторный метод измерения параметра концентрации;
- часть 11. Индекс очистки.
Настоящий стандарт устанавливает метод измерения уровня выбросов газообразных загрязняющих веществ от одной машины, работа которой может контролироваться, используя методику индикаторного газа.
Настоящий стандарт не распространяется на машины, которые были изготовлены до введения в действие настоящего стандарта.
В настоящем стандарте использованы нормативные ссылки на следующие стандарты. Для датированных ссылок применяют только указанное издание ссылочного стандарта, для недатированных - последнее издание (включая все изменения).
EN 1093-1, Safety of machinery - Evaluation of the emission of airborne hazardous substances - Part 1: Selection of test methods (Безопасность машин. Оценка выброса в атмосферу вредных веществ. Часть 1. Выбор методов испытаний)
EN ISO 12100-1:2003 <*>, Safety of machinery - Basic concepts, general principles for design - Part 1: Basic terminology, methodology (ISO 12100-1:2003) (Безопасность оборудования. Основные понятия, общие принципы конструирования. Часть 1. Основные термины, методика)
--------------------------------
<*> Заменен на EN ISO 12100:2010. Однако для однозначного соблюдения требования настоящего стандарта, выраженного в датированной ссылке, рекомендуется использовать только указанное по этой ссылке издание.
В настоящем стандарте применены термины по EN 1093-1, EN ISO 12100-1:2003, а также следующий термин с соответствующим определением:
3.1 метод индикаторного газа (tracer gas technique): Применение газообразных веществ с аэродинамическими характеристиками, сопоставимыми с рассматриваемым газообразным веществом, загрязняющим воздух, для которых концентрации могут быть достоверно измерены.
Принцип основан на использовании индикаторного газа, созданного с известным и постоянным уровнем выбросов, для обеспечения наилучшего представления источника загрязняющего вещества. Среднее значение концентраций индикаторного газа и загрязняющего воздух вещества измеряют вблизи источника. Предполагая, что аэродинамические характеристики загрязняющего воздух вещества и индикаторного газа эквивалентны, определяют уровень выбросов загрязняющих веществ.
5.1 Общие положения
Метод предназначен для использования машины, расположенной в испытательном помещении (лаборатории) или на открытой рабочей площадке (в поле).
5.2 Лабораторные испытания
Для обеспечения более точной настройки общей и местной вентиляции следует определить общие характеристики воздушного потока в испытательном помещении (лаборатории). Машину рекомендуется размещать в центре испытательного помещения.
5.3 Эксплуатационные испытания
Многие машины не могут быть испытаны в испытательном помещении из-за слишком больших размеров, сложности управления ими, или для них предусмотрены специальные требования к монтажу и эксплуатации. Испытания могут проводиться непосредственно на местах установки машин, т.е. на рабочей площадке. Для этой цели должно быть обеспечено, чтобы загрязняющие вещества от других источников, присутствующих в помещении, не могли повлиять на измерения концентраций конкретного загрязняющего воздух вещества, выделенного из испытываемой машины.
6.1 Эмиттер (излучатель) индикаторного газа, способный обеспечить выброс индикаторного газа таким же образом, как и выброс загрязняющего воздух вещества.
Форма эмиттера должна быть аналогична форме реального источника загрязняющего вещества. Различие, как правило, допускается между:
- точечными источниками (например, сварочные операции, локализованные утечки из уплотнений, фланцев, локализованное распыление, такое как струя краски);
- плоскими источниками (например, открытый сосуд или резервуар, содержащие жидкое или расплавленное твердое вещество, способное испаряться или сублимироваться, такие как гальванические ванны, электролитические ванны);
- объемными источниками (например, закрытая машина с распределенными утечками, машина для изготовления резины, окрасочная машина, моечная машина, машина для химической чистки, диффузное распыление продуктов, таких как продукты для ухода за растениями в сельском хозяйстве).
Точечные источники рекомендуется имитировать открытыми трубками, создающими струи с переменными аэродинамическими характеристиками, или металлокерамическими материалами, рассеивающими индикаторный газ при низкой начальной скорости. Плоские и объемные источники рекомендуется имитировать сетью точечных источников или перфорированными трубками, которые распределены соответствующим образом.
6.2 Измерительное устройство расхода индикаторного газа, способное измерять расход индикаторного газа в соответствующем диапазоне.
Примечание - Расход индикаторного газа зависит от чувствительности анализатора индикаторного газа. В большинстве случаев пригодным для применения является устройство, калиброванное для измерения расхода в диапазоне от 1 до 10 л/мин.
6.3 Устройство регулирования расхода индикаторного газа, например клапан.
6.4 Газоанализатор(ы), предпочтительно с непосредственным считыванием показаний.
Альтернативным методом измерения концентрации загрязняющего воздух вещества является сбор газа на паровых абсорбционных трубках для последующего анализа в лаборатории с использованием газоанализатора(ов).
Газоанализатор(ы) рекомендуется выбирать во избежание всякого взаимодействия с любыми другими химическими веществами, кроме загрязняющего воздух вещества и индикаторного газа, присутствующими в испытательном помещении или на рабочей площадке, где находится испытываемая машина. Калибровки выполняют в соответствии с европейскими и международными стандартами.
Примечание - Выбор газоанализатора зависит от индикаторного газа и измеряемого вещества, загрязняющего воздух. Подходящие анализаторы включают инфракрасный захват электронов, FID-анализаторы (пламенно-ионизационные анализаторы) или масс-спектрометр. Перед использованием рекомендуется проверять их характеристики. Используемые анализаторы не должны быть восприимчивыми к изменению условий окружающей среды, таких как температура и относительная влажность.
6.5 Соединительный трубопровод для соединения выбранного индикаторного газа и загрязняющего воздух вещества к анализаторам.
Длину трубопровода рекомендуется выбирать как можно короче, а выбранный материал - для ограничения адсорбции на стенках трубопровода, например PTFE (политетрафторэтилен). Если машина расположена на рабочей площадке в условиях загрязненной окружающей среды, рекомендуется устанавливать фильтры твердых частиц. Для адсорбционных труб длину трубопровода до анализатора рекомендуется выбирать короче.
6.6 Индикаторный газ, который должен быть выбран в соответствии со следующими критериями:
a) нулевая или очень низкая токсичность;
b) химическая стойкость при предполагаемой температуре процесса;
c) легкоизмеряемый при низких концентрациях;
d) отсутствие взаимодействия с загрязняющими веществами, присутствующими в помещении;
e) низкий фоновый уровень.
Рекомендуется, чтобы выбранный индикаторный газ имел относительную плотность, близкую к 1. Индикаторный газ допускается смешивать с соответствующим газом.
Примечание - Выбор индикаторного газа и соответствующего анализатора зависит, в частности, от требуемой точности, диапазона измерений и стоимости. Обычно используемыми газами являются гелий, гексафторид серы и оксид азота.
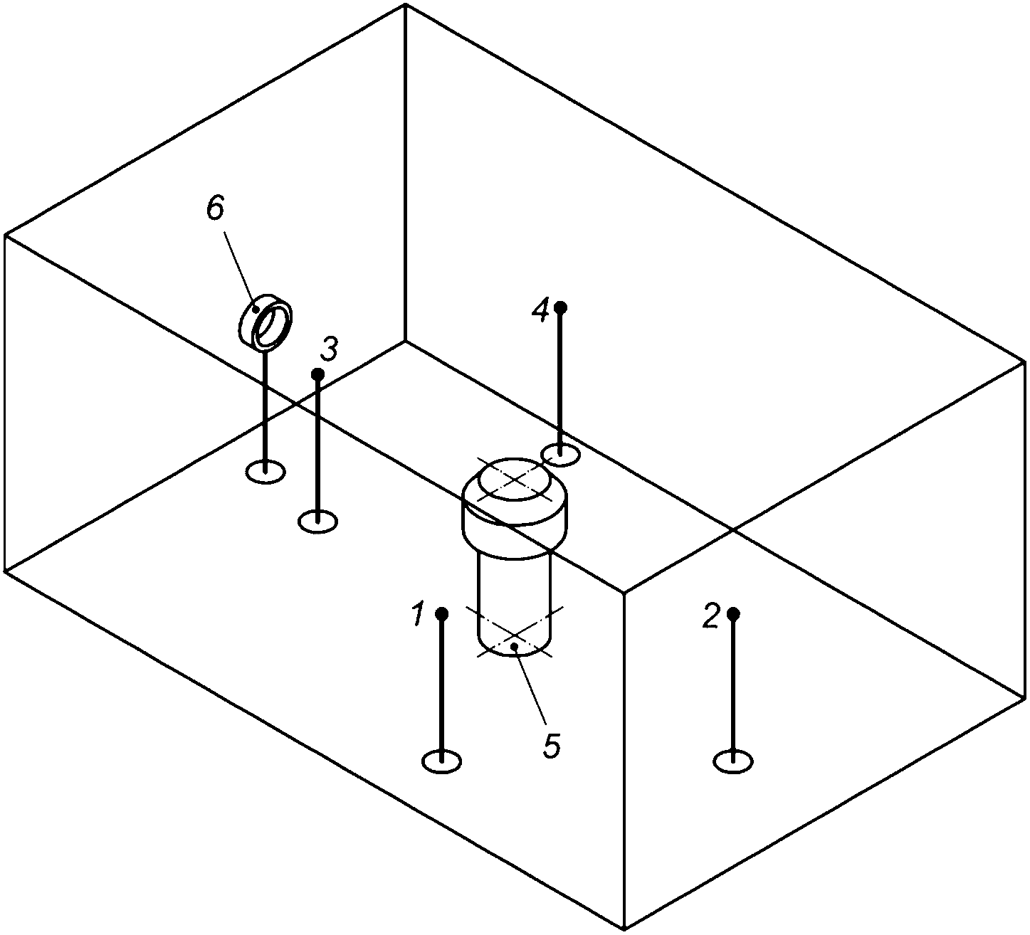
Вокруг машины рекомендуется выбрать не менее трех измерительных точек (см.
рисунок 1). Располагать их рекомендуется рядом с машиной, например, на расстоянии от 1 до 3 м и на высоте, где образуется загрязняющее воздух вещество. В каждой точке измеряют концентрации как индикаторного газа, так и загрязняющего воздух вещества. Измерительные точки рекомендуется определять путем предварительного тестирования, чтобы убедиться, что они находятся в зонах измеряемых выбросов.
1 - 4 - измерительные точки; 5 - источник загрязняющего
воздух вещества; 6 - смесительный вентилятор
Рисунок 1 - Пример расположения четырех измерительных точек
в испытательном помещении
8 Методика проведения измерений
8.1 Подготавливают машину в соответствии с инструкциями изготовителя.
8.2 Устанавливают эмиттер индикаторного газа как можно ближе к источнику загрязняющего вещества из машины так, чтобы индикаторный газ смешивался с загрязняющим воздух веществом до выброса в атмосферу.
8.3 Обеспечивают, чтобы воздух, выходящий из помещения, не был рециркулирован.
8.4 Включают газоанализаторы и обеспечивают возможность стабилизации в соответствии с руководством по эксплуатации.
8.5 Подсоединяют баллон индикаторного газа к его расходомеру, регулирующему устройству, а также к эмиттеру индикаторного газа.
8.6 Устанавливают измерительные точки индикаторного газа и загрязняющего воздух вещества. Обеспечивают, чтобы каждая измерительная точка пробоотборника индикаторного газа и загрязняющего воздух вещества располагалась как можно ближе друг к другу. Если измерения будут проводиться в загрязненной атмосфере, следует установить фильтры твердых частиц к пробоотборным линиям индикаторного газа и загрязняющего воздух вещества.
8.7 Измеряют фоновые концентрации загрязняющего воздух вещества и индикаторного газа до и после проведения испытания.
8.8 Включают машину и источник питания индикаторного газа. Рекомендуется провести предварительное испытание для обеспечения того, чтобы концентрации загрязняющего воздух вещества и индикаторного газа находились в пределах калиброванного диапазона анализаторов. Если это не достигнуто, то необходимо или переместить измерительную точку в пределах ее диапазона измерения, или (в случае анализатора загрязняющего газа) отрегулировать диапазон. При регулировании расхода индикаторного газа он должен находиться в пределах калиброванного диапазона анализатора индикаторного газа.
8.9 Выключают машину и индикаторный газ и обеспечивают возможность концентрациям индикаторного газа вернуться к стабильному уровню (нулю или фоновому уровню).
8.10 Регистрируют концентрации индикаторного газа и загрязняющего воздух вещества.
8.11 Включают машину и источник индикаторного газа.
8.12 Регистрируют расход индикаторного газа.
8.13 Регистрируют увеличение концентрации индикаторного газа в измерительных точках до достижения стабильных концентраций.
Примечание - Продолжительность при этом зависит от постоянной времени испытательного помещения (равна обратной величине интенсивности воздухообмена). Типичный период выборки составляет порядка трех постоянных времени испытательного помещения.
8.14 Когда достигнуты стабильные концентрации, проводят регистрацию концентраций загрязняющего воздух вещества и индикаторного газа в течение подходящего времени.
Время измерения должно быть достаточным для сбора данных о концентрации, представляющих нормальные рабочие циклы машин. Данные о концентрации, подлежащие обработке для определения уровня выбросов (усредненные значения, пиковые значения), устанавливаются в стандартах типа C. Если стандарт типа C отсутствует, то условия испытаний должны быть зарегистрированы в протоколе испытаний.
8.15 Регистрируют температуру
t в градусах Цельсия (°C), атмосферное давление
p в гектопаскалях (гПа) и относительную влажность в процентах (%) в испытательном помещении или на рабочем месте.
8.16 Испытание (
8.11 -
8.15) повторяют два раза.
Рассчитывают средние значения концентраций индикаторного газа и загрязняющего воздух вещества для каждой измерительной точки и для каждого испытания.
Примечание - Если используется адсорбционная трубка, то применяется одно значение, эквивалентное среднему значению.
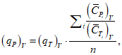
10.1 Уровень выбросов загрязняющих воздух веществ qP выражается в единицах объема за единицу времени (л/мин) или в единицах массы за единицу времени (мг/с).
10.2 Объемный уровень выбросов загрязняющих воздух веществ (qP)V, выраженный в литрах в минуту (л/мин), определяют для каждого испытания по формуле

(1)
где (qT)V - объемный расход индикаторного газа, л/мин;

- средняя концентрация загрязняющего вещества (объемная доля) в измерительной точке
i;

- средняя концентрация индикаторного газа (объемная доля) в измерительной точке
i;
n - количество измерительных точек.
Окончательным результатом является среднее значение объемного уровня выбросов загрязняющих воздух веществ при каждом испытании.
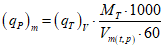
10.3 Массовый уровень выбросов загрязняющих воздух веществ (qP)m, выраженный в миллиграммах в секунду (мг/с), определяют при каждом испытании по аналогичной формуле

(2)
где (qP)m - массовый расход индикаторного газа, мг/с, рассчитанный по формуле

, (3)
где MT - молярная масса индикаторного газа, г/мол;
Vm(t,p) - молярный объем газа при температуре t и давлении p, л/мол;

- средняя массовая концентрация загрязняющего вещества в измерительной точке
i, мг/м
3;

- средняя массовая концентрация индикаторного газа в измерительной точке
i, мг/м
3;
n - количество измерительных точек.
Эти две концентрации измеряют в объемных показателях с помощью анализатора с прямым считыванием. Затем их преобразуют в массовые концентрации, используя формулы:

, (4)

, (5)
где MP - молярная масса загрязняющего вещества, г/мол.
Для протокола испытаний массовый уровень выбросов загрязняющих веществ рассчитывают непосредственно по формуле

(6)
Окончательным результатом является среднее значение массового уровня выбросов загрязняющих воздух веществ при каждом испытании.
Протокол испытаний должен содержать следующую информацию:
a) ссылку на настоящий стандарт и соответствующие стандарты типа C, при наличии;
b) описание испытываемой машины (например, изготовитель, модель, тип, модификация, конструкция, размер, год выпуска, серийный номер машины и каждой единицы дополнительного оборудования);
c) эксплуатационные параметры при испытаниях (например, параметры работы машины, настройки машины), включая используемые с машиной рабочие органы и материалы, обрабатываемые машиной;
d) описание системы контроля загрязнения воздуха (например, тип, конструкция, эксплуатационные данные);
e) идентификацию загрязняющих веществ, излучаемых машиной;
f) используемый индикаторный газ;
g) объемный расход индикаторного газа, л/мин;
h) количество и расположение измерительных точек;
i) среднее значение массовой концентрации индикаторного газа, мг/м3, и время измерения, мин;
j) среднее значение массовой концентрации загрязняющего вещества, мг/м3, и время измерения, мин;
k) атмосферное давление, гПа, температуру, °C, и относительную влажность, %, в испытательном помещении или на рабочем месте при испытании;
l) описание испытательного помещения или рабочего места, схему с размерами и расположением машины;
m) рассчитанный уровень выбросов загрязняющего вещества, л/мин или мг/с;
n) имя лица, ответственного за проведение испытаний;
o) дату проведения испытаний;
p) информацию об отступлениях от соответствующих стандартов;
q) дополнительную информацию, при необходимости.
(справочное)
ВЗАИМОСВЯЗЬ МЕЖДУ ЕВРОПЕЙСКИМ СТАНДАРТОМ
И СУЩЕСТВЕННЫМИ ТРЕБОВАНИЯМИ ДИРЕКТИВЫ 98/37/ЕС
Европейский стандарт, на основе которого подготовлен настоящий межгосударственный стандарт, разработан Европейским комитетом по стандартизации (CEN) по поручению Комиссии Европейского сообщества и Европейской ассоциации свободной торговли (EFTA) и реализует существенные требования Директивы 98/37/ЕС (с учетом изменений, внесенных
Директивой 98/79/ЕС).
Европейский стандарт размещен в Официальном журнале Европейского сообщества как взаимосвязанный с этой директивой и применен как национальный стандарт не менее чем в одной стране - члене сообщества. Соответствие требованиям европейского стандарта, приведенным в
таблице ZA.1, обеспечивает в пределах его области применения презумпцию соответствия существенным требованиям этой директивы и соответствующих регламентирующих документов EFTA.
Таблица ZA.1
Соответствие между EN 1093-6 и Директивой 98/37/ЕС
Разделы EN 1093-6 | Основополагающие требования Директивы 98/37/ЕС | Примечания |
Все разделы | Приложение I, 1.5.13 | Опасность, обусловленная выбросами пыли, газов и т.д. |
ВНИМАНИЕ! К продукции, на которую распространяется европейский стандарт, могут применяться требования других стандартов и директив ЕС.
(справочное)
ВЗАИМОСВЯЗЬ МЕЖДУ ЕВРОПЕЙСКИМ СТАНДАРТОМ
И СУЩЕСТВЕННЫМИ ТРЕБОВАНИЯМИ ДИРЕКТИВЫ 2006/42/ЕС
Европейский стандарт, на основе которого подготовлен настоящий межгосударственный стандарт, разработан Европейским комитетом по стандартизации (CEN) по поручению Комиссии Европейского сообщества и Европейской ассоциации свободной торговли (EFTA) и реализует существенные требования
Директивы 2006/42/ЕС.
Европейский стандарт размещен в Официальном журнале Европейского сообщества как взаимосвязанный с этой
директивой и применен как национальный стандарт не менее чем в одной стране - члене сообщества. Соответствие требованиям европейского стандарта, приведенным в
таблице ZB.1, обеспечивает в пределах его области применения презумпцию соответствия существенным требованиям этой
директивы и соответствующих регламентирующих документов EFTA.
Таблица ZB.1
Соответствие между EN 1093-7 и
Директивой 2006/42/ЕС
Разделы EN 1093-7 | Основополагающие требования Директивы 2006/42/ЕС | Примечания |
Все разделы | | Опасность, обусловленная выбросами загрязняющих веществ и материалов |
ВНИМАНИЕ! К продукции, на которую распространяется европейский стандарт, могут применяться требования других стандартов и директив ЕС.
(справочное)
СВЕДЕНИЯ О СООТВЕТСТВИИ ССЫЛОЧНЫХ ЕВРОПЕЙСКИХ СТАНДАРТОВ
МЕЖГОСУДАРСТВЕННЫМ СТАНДАРТАМ
Таблица ДА.1
Обозначение ссылочного европейского стандарта | Степень соответствия | Обозначение и наименование соответствующего межгосударственного стандарта |
EN 1093-1 | IDT | ГОСТ EN 1093-1-2018 "Безопасность машин. Оценка выбросов загрязняющих веществ. Часть 1. Выбор методов испытаний (EN 1093-1:2008)" |
EN ISO 12100-1:2003 | - | <*> |
<*> Соответствующий межгосударственный стандарт отсутствует. Примечание - В настоящей таблице использовано следующее условное обозначение степени соответствия стандарта: - IDT - идентичный стандарт. |
УДК 621.43.06:53.085.3(083.74)(476):006.354 | | IDT |
Ключевые слова: оценка выбросов загрязняющих веществ, метод индикаторного газа |