Главная // Актуальные документы // ГОСТ (Государственный стандарт)СПРАВКА
Источник публикации
М.: ФГБУ "РСТ", 2021
Примечание к документу
Документ включен в
Перечень международных и региональных (межгосударственных) стандартов, а в случае их отсутствия - национальных (государственных) стандартов, в результате применения которых на добровольной основе обеспечивается соблюдение требований технического
регламента Таможенного союза "О безопасности машин и оборудования" (ТР ТС 010/2011), и в
Перечень международных и региональных (межгосударственных) стандартов, а в случае их отсутствия - национальных (государственных) стандартов, содержащих правила и методы исследований (испытаний) и измерений, в том числе правила отбора образцов, необходимые для применения и исполнения требований технического
регламента Таможенного союза "О безопасности машин и оборудования" (ТР ТС 010/2011) и осуществления оценки соответствия объектов технического регулирования (
Решение Коллегии Евразийской экономической комиссии от 09.03.2021 N 28).
Документ
введен в действие с 01.01.2022.
Название документа
"ГОСТ EN 1093-1-2018. Межгосударственный стандарт. Безопасность машин. Оценка выбросов загрязняющих веществ. Часть 1. Выбор методов испытаний"
(введен в действие Приказом Росстандарта от 25.08.2021 N 805-ст)
"ГОСТ EN 1093-1-2018. Межгосударственный стандарт. Безопасность машин. Оценка выбросов загрязняющих веществ. Часть 1. Выбор методов испытаний"
(введен в действие Приказом Росстандарта от 25.08.2021 N 805-ст)
агентства по техническому
регулированию и метрологии
от 25 августа 2021 г. N 805-ст
МЕЖГОСУДАРСТВЕННЫЙ СТАНДАРТ
БЕЗОПАСНОСТЬ МАШИН
ОЦЕНКА ВЫБРОСОВ ЗАГРЯЗНЯЮЩИХ ВЕЩЕСТВ
ЧАСТЬ 1
ВЫБОР МЕТОДОВ ИСПЫТАНИЙ
Safety of machinery. Evaluation of the emission of airborne
hazardous substances. Part 1. Selection of test methods
(EN 1093-1:2008, IDT)
ГОСТ EN 1093-1-2018
Дата введения
1 января 2022 года
Цели, основные принципы и общие правила проведения работ по межгосударственной стандартизации установлены
ГОСТ 1.0 "Межгосударственная система стандартизации. Основные положения" и
ГОСТ 1.2 "Межгосударственная система стандартизации. Стандарты межгосударственные, правила и рекомендации по межгосударственной стандартизации. Правила разработки, принятия, обновления и отмены"
1 ПОДГОТОВЛЕН Научно-производственным республиканским унитарным предприятием "Белорусский государственный институт стандартизации и сертификации" (БелГИСС) на основе собственного перевода на русский язык англоязычной версии стандарта, указанного в
пункте 5
2 ВНЕСЕН Государственным комитетом по стандартизации Республики Беларусь
3 ПРИНЯТ Межгосударственным советом по стандартизации, метрологии и сертификации по результатам голосования в АИС МГС (протокол от 27 июля 2018 г. N 110-П)
За принятие проголосовали:
Краткое наименование страны по МК (ИСО 3166) 004-97 | Код страны по МК (ИСО 3166) 004-97 | Сокращенное наименование национального органа по стандартизации |
Армения | AM | ЗАО "Национальный орган по стандартизации и метрологии" Республики Армения |
Беларусь | BY | Госстандарт Республики Беларусь |
Казахстан | KZ | Госстандарт Республики Казахстан |
Киргизия | KG | Кыргызстандарт |
Таджикистан | TJ | Таджикстандарт |
Узбекистан | UZ | Узстандарт |
4
Приказом Федерального агентства по техническому регулированию и метрологии от 25 августа 2021 г. N 805-ст межгосударственный стандарт ГОСТ EN 1093-1-2018 введен в действие в качестве национального стандарта Российской Федерации с 1 января 2022 г.
5 Настоящий стандарт идентичен европейскому стандарту EN 1093-1:2008 "Безопасность машин. Оценка выбросов вредных веществ. Часть 1. Выбор методов испытаний" ("Safety of machinery - Evaluation of the emission of airborne hazardous substances - Part 1: Selection of test methods", IDT).
При применении настоящего стандарта рекомендуется использовать вместо ссылочных европейских стандартов соответствующие им межгосударственные стандарты, сведения о которых приведены в дополнительном
приложении ДА
6 ВВЕДЕН ВПЕРВЫЕ
Информация о введении в действие (прекращении действия) настоящего стандарта и изменений к нему на территории указанных выше государств публикуется в указателях национальных стандартов, издаваемых в этих государствах, а также в сети Интернет на сайтах соответствующих национальных органов по стандартизации.
В случае пересмотра, изменения или отмены настоящего стандарта соответствующая информация будет опубликована на официальном интернет-сайте Межгосударственного совета по стандартизации, метрологии и сертификации в каталоге "Межгосударственные стандарты"
Европейский стандарт разработан техническим комитетом по стандартизации CEN/TC 114 "Безопасность машин" Европейского комитета по стандартизации (CEN).
Европейский стандарт, на основе которого подготовлен настоящий стандарт, реализует существенные требования безопасности Директивы 98/37/ЕС и
Директивы 2006/42/ЕС, приведенные в
приложениях ZA и
ZB соответственно.
Ниже приведена структура стандартов в области безопасности машин, в соответствии с которой стандарты подразделяются на следующие типы:
- стандарты типа A - основные стандарты по безопасности, устанавливающие основные понятия, принципы конструирования и общие положения, которые могут быть применены ко всем машинам;
- стандарты типа B - общие стандарты по безопасности, рассматривающие один аспект безопасности или один тип защитного устройства, которое может использоваться для широкого класса машин:
- стандарты типа B1 - стандарты, рассматривающие конкретный аспект безопасности (например, безопасные расстояния, шум, безопасные температуры поверхности и т.п.);
- стандарты типа B2 - стандарты, устанавливающие требования к защитным устройствам (например, двуручным устройствам управления, устройствам блокировки, датчикам давления, защитным ограждениям и т.п.);
- стандарты типа C - стандарты по безопасности машин, устанавливающие конкретные требования безопасности к отдельной машине или группе машин.
Настоящий стандарт представляет собой стандарт типа B по EN ISO 12100-1.
Положения настоящего стандарта могут быть дополнены или изменены стандартом типа C.
Для машин, на которые распространяется действие стандарта типа C и которые сконструированы и изготовлены в соответствии с требованиями настоящего стандарта, положения стандарта типа C имеют приоритет над положениями стандарта типа B.
Уровень концентрации загрязняющих веществ в атмосфере, образующихся в результате выброса от машин, определяется следующими факторами:
- количеством попадающих в атмосферу загрязняющих веществ (в настоящем стандарте - "загрязняющие воздух вещества") от работы испытываемых машин, при этом количество веществ зависит от выполняемого машиной производственного процесса и производительности машины;
- эффективностью системы контроля загрязнения воздуха, встроенной в машину, а также, в случае рециркуляции воздуха, эффективностью системы очистки воздуха;
- окружающими условиями, особенно характеристиками воздушного потока, который может снизить (посредством эффективной общей вентиляции в помещении) или увеличить (препятствующий воздушный поток, поперечный поток) загрязнение воздуха;
- месторасположением персонала, обслуживающего машину, относительно машины и системы контроля загрязнения воздуха, а также областью рабочей зоны;
- качеством технического обслуживания (неудовлетворительное техническое обслуживание, как правило, оказывает неблагоприятное воздействие на эффективность системы контроля загрязнения воздуха и системы очистки воздуха).
Настоящий стандарт распространяется на первые два фактора из вышеприведенного перечня и является одним из документов, касающихся оценки риска. Настоящий стандарт не содержит положений по оценке риска на рабочем месте. Определение параметров, приведенных в настоящем стандарте, способствует оценке эффективности машины и встроенной в нее системы контроля загрязнения воздуха.
Настоящий стандарт может частично применяться при испытаниях, проводимых в соответствии с EN 626-2.
Европейский стандарт EN 1093 под общим заголовком "Безопасность машин. Оценка выбросов загрязняющих веществ" содержит следующие части:
- часть 1. Выбор методов испытаний;
- часть 2. Метод индикаторного газа для измерения уровня выбросов заданного загрязняющего вещества;
- часть 3. Стендовый метод измерения уровня выбросов заданного загрязняющего вещества;
- часть 4. Эффективность улавливания системы выпуска отработавших газов. Метод изотопных индикаторов;
- часть 6. Эффективность очистки по массе без выходного канала;
- часть 7. Эффективность очистки по массе с выходным каналом;
- часть 8. Стендовый метод измерения параметра концентрации;
- часть 9. Лабораторный метод измерения параметра концентрации;
- часть 11. Индекс очистки.
Настоящий стандарт устанавливает параметры, используемые для оценки выбросов загрязняющих воздух веществ от машин или эффективности систем контроля загрязнения воздуха, встроенных в машины, а также рекомендации по выбору соответствующих методов испытаний в зависимости от области применения и типа машины, включая результаты мероприятий по снижению воздействия загрязняющих веществ. Методы испытаний приведены в дополнительных частях настоящего стандарта (см.
таблицу 1 и
приложение A).
В настоящем стандарте использованы нормативные ссылки на следующие стандарты. Для датированных ссылок применяют только указанное издание ссылочного стандарта, для недатированных - последнее издание (включая все изменения).
EN 626-2 <*>, Safety of machinery - Reduction of risks to health from hazardous substances emitted by machinery - Part 2: Methodology leading to verification procedures (Безопасность машин. Снижение риска для здоровья от вредных веществ, выделяющихся при эксплуатации машин. Часть 2. Методика оценки степени риска)
--------------------------------
<*> Действует EN ISO 14123-2:2015.
EN ISO 12100-1:2003 <**>, Safety of machinery - Basic concepts, general principles for design - Part 1. Basic terminology, methodology (ISO 12100-1:2003) (Безопасность оборудования. Основные понятия, общие принципы конструирования. Часть 1. Основные термины, методика)
--------------------------------
<**> Заменен на EN ISO 12100:2010. Однако для однозначного соблюдения требования настоящего стандарта, выраженного в датированной ссылке, рекомендуется использовать только указанное в этой ссылке издание.
В настоящем стандарте применены термины по EN ISO 12100-1:2003, а также следующие термины с соответствующими определениями:
3.1 неконтролируемый уровень выбросов заданного загрязняющего вещества mu [uncontrolled emission rate of a given pollutant (mu)]: Масса загрязняющего воздух вещества, выбрасываемого машиной в окружающее пространство за единицу времени.
Примечание - Любые меры по снижению загрязнения воздуха вокруг машины (например, улавливающие устройства, удерживающее оборудование, процесс увлажнения) не рекомендуется применять или приводить в действие.
3.2 контролируемый уровень выбросов заданного загрязняющего вещества mk [controlled emission rate of a given pollutant (mk)]: Масса загрязняющего воздух вещества, выбрасываемого машиной в окружающее пространство за единицу времени, с учетом мер по снижению загрязнения воздуха.
Примечание - Любые меры по снижению загрязнения воздуха вокруг машины (например, улавливающие устройства, удерживающее оборудование, процесс увлажнения) рекомендуется применять или приводить в действие.
3.3
эффективность улавливания 
[capture efficiency

]: Эффективность улавливания системы контроля загрязнения воздуха определяют как отношение массового потока заданного загрязняющего воздух вещества, непосредственно собранного системой контроля загрязнения воздуха, к неконтролируемому массовому потоку заданного загрязняющего воздух вещества, выделенного машиной.
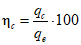
Примечание 1 - Эффективность улавливания в процентах рассчитывают по следующей формуле:

. (1)
Данная формула применяется только в том случае, если mu - mk выражает непосредственно зарегистрированный массовый поток загрязняющего воздух вещества. Если количество выбросов регулируется системой контроля, то данный параметр не применяется.
Примечание 2 - Если в качестве системы контроля загрязнения воздуха применяется система выпуска отработавших газов и методом изотопных индикаторов могут быть имитированы сопоставимый выход и режим потока фактического загрязняющего воздух вещества, то формула приобретает следующий вид:

, (2)
где qc - расход изотопного индикатора, собранного системой выпуска отработавших газов во время работы;
qe - расход эмитированного изотопного индикатора (измеренный при подаче изотопного индикатора непосредственно в систему выпуска отработавших газов при первой фазе).
Примечание 3 - Для получения дополнительной информации - см. EN 1093-4:1996+A1:2008 (раздел 5).
3.4
эффективность разделения по массе 
[separation efficiency by mass

]: Эффективность разделения по массе системы очистки воздуха определяют как отношение массы загрязняющего воздух вещества, задержанного системой очистки воздуха в течение определенного периода времени,
m3 к массе загрязняющего воздух вещества, поступившего в систему очистки воздуха,
m1.
Примечание 1 - В отдельных случаях вместо массы измеряется количество волокон или твердых частиц.
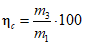
Примечание 2 - Эффективность разделения по массе системы очистки воздуха в процентах рассчитывают по следующей формуле:

. (3)
Примечание 3 - В некоторых случаях необходимо учитывать только ту часть загрязняющих воздух веществ (например, размер частиц), которые представляют действительную опасность для персонала, не обеспеченного средствами защиты. Например, эффективность разделения по массе системы отвода вредной пыли определяют как функцию размера частиц. В противном случае результаты могут не соответствовать целям по защите здоровья и обеспечению безопасности персонала.
3.5 параметр концентрации загрязняющего вещества Pc [pollutant concentration parameter (Pc)]: Концентрация заданного загрязняющего воздух вещества, рассчитанная в определенной(ых) точке(ах) вблизи машины.
3.6 индекс очистки IA [decontamination index (IA)]: Среднее значение отношения улучшения качества воздуха окружающего пространства, полученного в некоторых определенных точках вблизи машины, к средней концентрации фактического загрязняющего воздух вещества при нефункционирующей системе контроля загрязнения воздуха.
Примечание 1 - Для определения загрязнения воздуха, вызванного другими действиями ("фоновый уровень") могут потребоваться дополнительные меры.
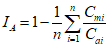
Примечание 2 - Индекс очистки (удаления загрязнений) рассчитывают по следующей формуле:

, (4)
где Cai - концентрация фактического загрязняющего воздух вещества, измеренная в определенной точке окружающего пространства при функционирующей машине и нефункционирующей системе контроля загрязнения воздуха;
Cmi - концентрация фактического загрязняющего воздух вещества, измеренная в определенной точке окружающего пространства при функционирующих машине и системе контроля загрязнения воздуха;
Cfi - концентрация фактического загрязняющего воздух вещества, измеренная в определенной точке окружающего пространства при нефункционирующих машине и системе контроля загрязнения воздуха;
n - количество заданных точек измерений.
Примечание 3 - Если фоновый уровень не учитывается, то индекс очистки (удаления загрязнений) рассчитывают по следующей формуле:

. (5)
4.1 Общие положения
Если одновременно с концентрацией загрязняющих воздух веществ определяется их гранулометрический состав, то для каждой фракции частиц могут быть определены параметры оценки. Для определения описанных в
разделе 3 параметров оценки могут рассматриваться различные методы испытаний. Методы испытаний следует выбирать по следующим критериям:
- вид используемого загрязняющего вещества;
- вид условий проведения испытаний.
4.2 Виды используемых загрязняющих веществ
Для целей испытаний по возможности должно использоваться фактическое загрязняющее воздух вещество. Однако в некоторых случаях метод изотопных индикаторов является более подходящим для проведения испытаний. При добавлении изотопного индикатора к фактическому загрязняющему воздух веществу должны выполняться определенные условия, в частности, в отношении сопоставимого выхода и режима потока фактического загрязняющего воздух вещества и, соответственно, изотопного индикатора.
В зависимости от метода испытаний рассматривают два вида загрязняющих воздух веществ:
- фактическое загрязняющее воздух вещество, которым может быть аэрозоль (твердый или жидкий) или газ;
- изотопный индикатор, являющийся имитацией фактического загрязняющего воздух вещества.
При определении уровня выбросов фактического загрязняющего воздух вещества без измерения воздушного потока фактическое загрязняющее воздух вещество и изотопный индикатор используются одновременно.
Измерения концентрации могут быть проведены:
- в трубопроводах одновременно с измерениями воздушного потока;
- в местах, находящихся вблизи испытываемой машины.
4.3 Виды условий проведения испытаний
4.3.1 Общие положения
Рассматривают два основных вида условий проведения испытаний, и в некоторых случаях они могут привести к различным методам испытаний.
4.3.2 Лабораторные испытания
Испытания проводят в камере определенных размеров, специально предназначенной для таких испытаний или измерений.
В кабине устанавливают только одну испытываемую машину для предотвращения загрязнения воздуха окружающего пространства и воздушного потока, проходящего через систему контроля загрязнения, со стороны других машин.
Вокруг машины должна поддерживаться постоянная циркуляция воздушных потоков за счет установленной общей вентиляции испытательной камеры.
Примечание - В ходе данного метода испытаний устанавливают такие же условия общей вентиляции, как при эксплуатации машины, и они в некоторой степени являются произвольными. Следовательно, фактические условия, встречающиеся на практике, в течение большей части времени не будут соответствовать условиям испытаний.
4.3.2.2 Лабораторный метод
Испытания проводят в помещении, находящемся в лаборатории или промышленном здании, специально предназначенном для таких испытаний или измерений.
Во время проведения испытаний должна функционировать только одна машина. В этом случае обеспечивается более точная настройка общей вентиляции помещения и местной вентиляции, чем при эксплуатационных испытаниях. Так как расположение машины не фиксируется, следовательно, для определения влияния сквозного потока должна контролироваться циркуляция воздушного потока вокруг машины.
Примечание - В ходе данного метода испытаний устанавливают такие же условия общей вентиляции, как при эксплуатации машины, и они в некоторой степени являются произвольными. Следовательно, фактические условия, встречающиеся на практике, в течение большей части времени не будут соответствовать условиям испытаний.
4.3.3 Эксплуатационные испытания
Многие машины не могут быть испытаны в камере (см.
4.3.2.1) или в помещении (см.
4.3.2.2) из-за слишком больших размеров, сложности управления ими или если для них предусмотрены специальные требования к монтажу и эксплуатации. Испытания могут проводиться непосредственно на местах установки машин (эксплуатационные испытания).
Проведение эксплуатационных испытаний машин в стандартных рабочих условиях имеет особое значение, так как при этом учитываются нарушения, происходящие в реальной обстановке (например, сквозные потоки воздуха).
Следует соблюдать осторожность до и во время проведения испытаний по определению условий эксплуатации испытываемой машины и ее системы контроля загрязнения воздуха, а также условий эксплуатации других машин, загрязняющих воздух и оказывающих влияние на результаты испытаний.
Примечание - Данного влияния можно избежать за счет применения соответствующего метода изотопных индикаторов.
Условия эксплуатации испытываемой машины и другого вспомогательного оборудования должны регистрироваться.
Для оценки характеристик общей вентиляции, включая сквозные потоки, могут потребоваться дополнительные измерения. Эти сквозные потоки, например, вследствие открытия двери могут оказывать значительное воздействие на воздушные потоки вокруг машины.
4.4 Методы испытаний
В
таблице 1 представлены методы испытаний, рассматриваемые в настоящем стандарте.
Каждый идентифицированный метод испытаний подробно описан в определенной части EN 1093, указанной в таблице 1. Дополнительная информация об определенных условиях проведения испытаний предусмотрена в новых стандартах типа C, распространяющихся на конкретные категории машин.
Таблица 1
Параметры оценки | Вид загрязняющего воздух вещества | Лабораторные испытания | Эксплуатационные испытания |
Стендовый метод | Лабораторный метод |
Выбросы | Уровень выбросов загрязняющего воздух вещества | Изотопный индикатор или фактическое загрязняющее воздух вещество | - | EN 1093-2 |
Фактическое загрязняющее воздух вещество | EN 1093-3 | - | - |
Улавливание | Эффективность | Изотопный индикатор | EN 1093-4 |
Фактическое загрязняющее воздух вещество | - | - | - |
Индекс очистки | Фактическое загрязняющее воздух вещество | - | ЕН 1093-11 |
Разделение | Эффективность | Фактическое загрязняющее воздух вещество | EN 1093-6 и EN 1093-7 | - | - |
5 Основания для выбора методов испытаний
5.1 Общие положения
Если испытания могут быть проведены несколькими методами, то выбор рекомендуется делать на основании рассмотрений, включая:
- определение параметров оценки для сравнения машин и систем контроля загрязнения воздуха;
- соответствие выбранных методов испытаний предполагаемым условиям эксплуатации машины.
5.2 Выбор в соответствии с параметрами оценки
Выбор соответствующего параметра оценки зависит от вида необходимой информации. Это требование может быть удовлетворено путем определения одного или нескольких параметров оценки.
a) Если требуется информация об общей оценке выбросов данного загрязняющего воздух вещества для конкретной машины, включая ее систему контроля загрязнения, то определяется:
- контролируемый уровень выбросов заданного загрязняющего воздух вещества mk; или
- параметр концентрации загрязняющего воздух вещества Pc.
b) Если требуется информация, касающаяся устройства улавливания, разделительного оборудования или всей системы контроля загрязнения воздуха, то для оценки эффективности достаточно одного параметра:
- эффективность улавливания

- для устройства улавливания;
- эффективность разделения по массе

- для разделительного оборудования;
- индекс очистки IA - для системы контроля загрязнения воздуха данной машины без рециркуляции воздуха.
c) Если требуется аналитический подход для определения влияния каждого компонента (непосредственно машины, устройства улавливания, разделительного оборудования), то необходим расчет двух или трех параметров:
- неконтролируемый уровень выбросов заданного загрязняющего воздух вещества mu;
- эффективность улавливания

;
- эффективность разделения по массе

.
5.3 Выбор в соответствии с условиями проведения испытаний
В соответствии с критериями, приведенными в
5.2, выбор может основываться на практическом опыте и имеющихся возможностях, таких как:
- размеры машины.
Примечание - Если используется испытательная камера, то предпочтительно, чтобы площадь поперечного сечения машины не превышала пятую часть площади поперечного сечения испытательной камеры;
- простота управления машиной;
- простота монтажа, включая систему контроля загрязнения воздуха;
- простота эксплуатации машины;
- вид загрязняющего воздух вещества (токсичность и сложность определения его концентрации).
Примечание - Некоторые из этих сложностей можно избежать, используя метод изотопных индикаторов.
5.4 Выбор в соответствии с видом загрязняющего вещества
Для определения уровня выбросов загрязняющего воздух вещества, эффективности разделения, параметра концентрации и индекса очистки существенное значение имеет применение фактического загрязняющего воздух вещества.
В некоторых случаях метод изотопных индикаторов является более подходящим для определения некоторых параметров из-за:
- отсутствия экспериментальных нарушений, обусловленных фоновой концентрацией;
- применения специального испытательного оборудования (оборудование для отбора проб, анализатор).
6 Обработка статистических данных
6.1 Оценка среднего значения
После устранения всех результатов, в отношении которых возникали сомнения, серия n содержит измерения xi (где i = 1, 2, 3, ..., n), некоторые из которых могут иметь одинаковое значение.
Среднее значение
m определяют с учетом нормального распределения при помощи среднего арифметического значения

измерений:

. (6)
6.2 Доверительный интервал среднего значения
Доверительный интервал среднего значения в совокупности определяется из оценок среднего значения и стандартного отклонения.
Стандартное отклонение s рассчитывают по следующей формуле:

, (7)
где xi - измеренное значение (i = 1, 2, 3, ..., n);
n - общее количество измерений;
x - среднее арифметическое значение
n измерений, рассчитанное в соответствии с
6.1.
(справочное)
СТАНДАРТЫ, ПРИМЕНЯЕМЫЕ ДЛЯ ИЗМЕРЕНИЯ ОБЪЕМНОГО РАСХОДА ГАЗА
EN ISO 5167-1, Measurement of fluid flow by means of pressure differential devices inserted in circular cross-section conduits running full - Part 1: General principles and requirements (ISO 5167-1:2003) (Измерение расхода жидкости устройствами измерения дифференциального давления, помещенными в заполненные трубопроводы круглого сечения. Часть 1. Общие принципы и требования)
ISO 5168, Measurement of fluid flow - Procedures for the evaluation of uncertainties (Измерение расхода жидкости. Методики оценки неопределенностей)
(справочное)
ВЗАИМОСВЯЗЬ МЕЖДУ ЕВРОПЕЙСКИМ СТАНДАРТОМ
И СУЩЕСТВЕННЫМИ ТРЕБОВАНИЯМИ ДИРЕКТИВЫ 98/37/ЕС
Европейский стандарт, на основе которого подготовлен настоящий межгосударственный стандарт, разработан Европейским комитетом по стандартизации (CEN) по поручению Комиссии Европейского сообщества и Европейской ассоциации свободной торговли (EFTA) и реализует существенные требования Директивы 98/37/ЕС (с учетом изменений, внесенных
Директивой 98/79/ЕС).
Европейский стандарт размещен в Официальном журнале Европейского сообщества как взаимосвязанный с этой директивой и применен как национальный стандарт не менее чем в одной стране - члене сообщества. Соответствие требованиям европейского стандарта, приведенным в таблице ZA.1, обеспечивает в пределах его области применения презумпцию соответствия существенным требованиям этой директивы и соответствующих регламентирующих документов EFTA.
Таблица ZA.1
Соответствие между EN 1093-6 и Директивой 98/37/ЕС
Разделы EN 1093-6 | Основополагающие требования Директивы 98/37/ЕС | Примечания |
Все разделы | Приложение I, 1.5.13 | Опасность, обусловленная выбросами пыли, газов и т.д. |
ВНИМАНИЕ! К продукции, на которую распространяется европейский стандарт, могут применяться требования других стандартов и директив ЕС.
(справочное)
ВЗАИМОСВЯЗЬ МЕЖДУ ЕВРОПЕЙСКИМ СТАНДАРТОМ
И СУЩЕСТВЕННЫМИ ТРЕБОВАНИЯМИ ДИРЕКТИВЫ 2006/42/ЕС
Европейский стандарт, на основе которого подготовлен настоящий межгосударственный стандарт, разработан Европейским комитетом по стандартизации (CEN) по поручению Комиссии Европейского сообщества и Европейской ассоциации свободной торговли (EFTA) и реализует существенные требования
Директивы 2006/42/ЕС.
Европейский стандарт размещен в Официальном журнале Европейского сообщества как взаимосвязанный с этой
директивой и применен как национальный стандарт не менее чем в одной стране - члене сообщества. Соответствие требованиям европейского стандарта, приведенным в таблице ZB.1, обеспечивает в пределах его области применения презумпцию соответствия существенным требованиям этой
директивы и соответствующих регламентирующих документов EFTA.
Таблица ZB.1
Соответствие между EN 1093-7 и
Директивой 2006/42/ЕС
Разделы EN 1093-7 | Основополагающие требования Директивы 2006/42/ЕС | Примечания |
Все разделы | | Опасность, обусловленная выбросами загрязняющих веществ и материалов |
ВНИМАНИЕ! К продукции, на которую распространяется европейский стандарт, могут применяться требования других стандартов и директив ЕС.
(справочное)
СВЕДЕНИЯ О СООТВЕТСТВИИ ССЫЛОЧНЫХ ЕВРОПЕЙСКИХ СТАНДАРТОВ
МЕЖГОСУДАРСТВЕННЫМ СТАНДАРТАМ
Таблица ДА.1
Обозначение ссылочного европейского стандарта | Степень соответствия | Обозначение и наименование соответствующего межгосударственного стандарта |
EN 626-2 | - | |
EN ISO 12100-1:2003 | - | |
<*> Соответствующий межгосударственный стандарт отсутствует. Действует ГОСТ ИСО 14123-2-2001 (ISO 14123-2:1998, IDT). <**> Соответствующий межгосударственный стандарт отсутствует. Действует ГОСТ ISO 12100-2013 (ISO 12100:2010, IDT). |
[1] | EN 1093-2 | Safety of machinery - Evaluation of the emission of airborne hazardous substances - Part 2: Tracer gas method for the measurement of the emission rate of a given pollutant |
(Безопасность машин. Оценка выброса в атмосферу вредных веществ. Часть 2. Метод измерения скорости выброса загрязнителя с использованием индикаторного газа) |
[2] | EN 1093-3 | Safety of machinery - Evaluation of the emission of airborne hazardous substances - Part 3: Test bench method for the measurement of the emission rate of a given pollutant |
(Безопасность машин. Оценка выброса в атмосферу вредных веществ. Часть 3. Стендовый метод испытания для измерения интенсивности выброса вредного вещества с использованием определенного загрязняющего вещества) |
[3] | EN 1093-6 | Safety of machinery - Evaluation of the emission of airborne hazardous substances - Part 6: Separation efficiency by mass, unducted outlet |
(Безопасность машин. Оценка выброса в атмосферу вредных веществ. Часть 6. Измерение эффективности сепарации по массе, диффузный выпуск) |
[4] | EN 1093-7 | Safety of machinery - Evaluation of the emission of airborne hazardous substances - Part 7: Separation efficiency by mass, ducted outlet |
(Безопасность машин. Оценка выброса в атмосферу вредных веществ. Часть 7. Измерение эффективности сепарации по массе, выпуск без трубопроводов) |
[5] | EN 1093-8 | Safety of machinery - Evaluation of the emission of airborne hazardous substances - Part 8: Pollutant concentration parameter, test bench method |
(Безопасность машин. Оценка выброса в атмосферу вредных веществ. Часть 8. Параметры концентрации вредных веществ. Стендовый метод испытания) |
[6] | EN 1093-9 | Safety of machinery - Evaluation of the emission of airborne hazardous substances - Part 9: Pollutant concentration parameter, room method |
(Безопасность машин. Оценка выброса в атмосферу вредных веществ. Часть 9. Параметры концентрации вредных веществ. Стендовый метод испытания) |
[7] | EN 1093-11 | Safety of machinery - Evaluation of the emission of airborne hazardous substances - Part 11: Decontamination index |
(Безопасность машин. Оценка выброса в атмосферу вредных веществ. Часть 11. Индекс очистки |
[8] | EN 1093-4 | Safety of machinery - Evaluation of the emission of airborne hazardous substances - Part 4: Capture efficiency of an exhaust system - Tracer method |
(Безопасность машин. Оценка выброса в атмосферу вредных веществ. Часть 4. Эффективность задержки системы выпуска. Радиоизотопный метод) |
УДК 621.43.06(083.74)(476) | | IDT |
Ключевые слова: оценка выбросов загрязняющих веществ, системы контроля загрязнения воздуха, методы испытаний |