Главная // Актуальные документы // ГОСТ (Государственный стандарт)СПРАВКА
Источник публикации
М.: ФГБУ "РСТ", 2021
Примечание к документу
Отдельные положения данного документа включены в
Перечень международных и региональных (межгосударственных) стандартов, а в случае их отсутствия - национальных (государственных) стандартов, в результате применения которых на добровольной основе обеспечивается соблюдение требований технического
регламента Таможенного союза "О безопасности железнодорожного подвижного состава" (ТР ТС 001/2011) (
Решение Коллегии Евразийской экономической комиссии от 29.03.2022 N 48).
Текст данного документа приведен с учетом
поправки, введенной в действие с 01.10.2021, опубликованной в "ИУС", N 2, 2022; поправок, опубликованных в "ИУС",
N 8, 2022;
N 9, 2022.
Документ
введен в действие с 01.02.2022 с правом досрочного применения.
Название документа
"ГОСТ 34772-2021. Межгосударственный стандарт. Транспортеры железнодорожные. Требования к прочности и динамическим качествам"
(введен в действие Приказом Росстандарта от 06.10.2021 N 1067-ст)
"ГОСТ 34772-2021. Межгосударственный стандарт. Транспортеры железнодорожные. Требования к прочности и динамическим качествам"
(введен в действие Приказом Росстандарта от 06.10.2021 N 1067-ст)
по техническому регулированию
и метрологии
от 6 октября 2021 г. N 1067-ст
МЕЖГОСУДАРСТВЕННЫЙ СТАНДАРТ
ТРАНСПОРТЕРЫ ЖЕЛЕЗНОДОРОЖНЫЕ
ТРЕБОВАНИЯ К ПРОЧНОСТИ И ДИНАМИЧЕСКИМ КАЧЕСТВАМ
Transporter cars. Requirements to structural
straight and dynamic qualities
ГОСТ 34772-2021
Дата введения
1 февраля 2022 года
с правом досрочного применения
Цели, основные принципы и общие правила проведения работ по межгосударственной стандартизации установлены
ГОСТ 1.0 "Межгосударственная система стандартизации. Основные положения" и
ГОСТ 1.2 "Межгосударственная система стандартизации. Стандарты межгосударственные, правила и рекомендации по межгосударственной стандартизации. Правила разработки, принятия, обновления и отмены"
1 РАЗРАБОТАН Обществом с ограниченной ответственностью "Всесоюзный научно-исследовательский центр транспортных технологий" (ООО "ВНИЦТТ")
2 ВНЕСЕН Межгосударственным техническим комитетом по стандартизации МТК 524 "Железнодорожный транспорт"
3 ПРИНЯТ Межгосударственным советом по стандартизации, метрологии и сертификации (протокол от 26 августа 2021 г. N 142-П)
За принятие проголосовали:
Краткое наименование страны по МК (ИСО 3166) 004-97 | Код страны по МК (ИСО 3166) 004-97 | Сокращенное наименование национального органа по стандартизации |
Армения | AM | ЗАО "Национальный орган по стандартизации и метрологии" Республики Армения |
Беларусь | BY | Госстандарт Республики Беларусь |
Казахстан | KZ | Госстандарт Республики Казахстан |
Киргизия | KG | Кыргызстандарт |
Россия | RU | Росстандарт |
Таджикистан | TJ | Таджикстандарт |
Узбекистан | UZ | Узстандарт |
4
Приказом Федерального агентства по техническому регулированию и метрологии от 6 октября 2021 г. N 1067-ст межгосударственный стандарт ГОСТ 34772-2021 введен в действие в качестве национального стандарта Российской Федерации с 1 февраля 2022 г. с правом досрочного применения
5 ВВЕДЕН ВПЕРВЫЕ
6 Межгосударственный совет по стандартизации, метрологии и сертификации не несет ответственности за патентную чистоту настоящего стандарта. Патентообладатель может заявить о своих правах и направить в национальный орган по стандартизации своего государства аргументированное предложение о внесении в настоящий стандарт поправки для указания информации о наличии в стандарте объектов патентного права и патентообладателе
Информация о введении в действие (прекращении действия) настоящего стандарта и изменений к нему на территории указанных выше государств публикуется в указателях национальных стандартов, издаваемых в этих государствах, а также в сети Интернет на сайтах соответствующих национальных органов по стандартизации.
В случае пересмотра, изменения или отмены настоящего стандарта соответствующая информация будет опубликована на официальном интернет-сайте Межгосударственного совета по стандартизации, метрологии и сертификации в каталоге "Межгосударственные стандарты"
Настоящий стандарт распространяется на вагоны-транспортеры (далее - вагоны), предназначенные для перевозки крупногабаритных и тяжеловесных грузов по путям общего и необщего пользования железных дорог колеи 1520 мм.
Примечание - В стандарте учтены вагоны-транспортеры платформенного, площадочного, колодцевого, сцепного и сочлененного типов.
Настоящий стандарт устанавливает требования к прочности и динамическим качествам при выполнении расчетов и оценке результатов испытаний по
ГОСТ 33788 для несущей конструкции кузова вагона, грузов, установленных на вагоне и выполняющих функции несущих элементов, крепления подвесного оборудования вагона, несущей конструкции и крепления подвесного оборудования тележек, составных частей тормозной рычажной передачи, а также требования к автоматическому сцеплению вагонов и проходу сцепленными вагонами кривых участков пути.
В настоящем стандарте использованы нормативные ссылки на следующие межгосударственные стандарты:
ГОСТ 25.101-83 Расчеты и испытания на прочность. Методы схематизации случайных процессов нагружения элементов машин и конструкций и статистического представления результатов
ГОСТ 10791 Колеса цельнокатаные. Технические условия
ГОСТ 22235-2010 Вагоны грузовые магистральных железных дорог колеи 1520 мм. Общие требования по обеспечению сохранности при производстве погрузочно-разгрузочных и маневровых работ
ГОСТ 32885 Автосцепка модели СА-3. Конструкция и размеры
ГОСТ 33211-2014 Вагоны грузовые. Требования к прочности и динамическим качествам
ГОСТ 33434-2015 Устройство сцепное и автосцепное железнодорожного подвижного состава. Технические требования и правила приемки
ГОСТ 33788-2016 Вагоны грузовые и пассажирские. Методы испытаний на прочность и динамические качества
ГОСТ 34759 Железнодорожный подвижной состав. Нормы допустимого воздействия на путь и методы испытаний
ГОСТ 34763.1-2021 Тележки трех- и четырехосные грузовых вагонов железных дорог. Общие технические требования
Примечание - При пользовании настоящим стандартом целесообразно проверить действие ссылочных стандартов и классификаторов на официальном интернет-сайте Межгосударственного совета по стандартизации, метрологии и сертификации (www.easc.by) или по указателям национальных стандартов, издаваемым в государствах, указанных в
предисловии, или на официальных сайтах соответствующих национальных органов по стандартизации. Если на документ дана недатированная ссылка, то следует использовать документ, действующий на текущий момент, с учетом всех внесенных в него изменений. Если заменен ссылочный документ, на который дана датированная ссылка, то следует использовать указанную версию этого документа. Если после принятия настоящего стандарта в ссылочный документ, на который дана датированная ссылка, внесено изменение, затрагивающее положение, на которое дана ссылка, то это положение применяется без учета данного изменения. Если ссылочный документ отменен без замены, то положение, в котором дана ссылка на него, применяется в части, не затрагивающей эту ссылку.
В настоящем стандарте применены следующие термины с соответствующими определениями:
3.1
база вагона: Номинальное расстояние в продольном направлении между центрами наружных пятников кузова вагона. |
3.2
боковое направление: Перпендикулярное продольному направление в плоскости пути. |
3.3
вагон-транспортер: Грузовой вагон, предназначенный для перевозки крупногабаритных и тяжеловесных грузов. |
3.4
вертикальное направление: Направление, перпендикулярное к плоскости пути. |
3.5 водило: Элемент конструкции вагона-транспортера, предназначенного для перевозки самонесущего груза, обеспечивающий свободный поворот консоли с грузом относительно соединительных балок в случае прохождения кривых участков пути.
3.6
длина вагона по осям сцепления: Расстояние в продольном направлении между плоскостями зацепления автосцепки. |
3.7
зона влияния сосредоточенной нагрузки: Локальная зона в окрестности задания расчетной сосредоточенной (точечной) силы или реакции. |
3.8
конструкционная скорость: Наибольшая скорость движения, заявленная в технической документации на проектирование. |
Примечание - Вагон при движении со скоростями, вплоть до конструкционной, на прямом горизонтальном участке пути (с отступлениями, не требующими снижения скоростей движения в соответствии с национальным законодательством <1>) обеспечивает показатели прочности своих составных частей и показатели динамических качеств (с учетом изменения его массы от тары до брутто) в соответствии с нормативами, установленными в настоящем стандарте.
--------------------------------
<1> В Российской Федерации применяют "
Правила технической эксплуатации железных дорог Российской Федерации", утвержденные приказом Министерства транспорта Российской Федерации от 21 декабря 2010 г. N 286.
3.9
коэффициент динамической добавки: Отношение амплитуды вертикальной динамической силы (напряжения от действия вертикальной динамической силы), действующей при движении вагона по рельсовому пути, к силе тяжести (напряжению от действия силы тяжести). |
3.10
максимальная расчетная масса вагона: Масса вагона брутто при максимальной расчетной статической осевой нагрузке. |
3.11
максимальная расчетная статическая осевая нагрузка: Максимальный вес вагона брутто, передаваемый на рельсы одной колесной парой. |
3.12 местное напряжение: Механическое напряжение, вызываемое внешней нагрузкой в несущей конструкции с учетом ее макрогеометрии и геометрических концентраторов напряжений.
Примечание - Местные напряжения определяют с учетом упругого деформирования материала аналитически или методом конечных элементов с применением трехмерных конечно-элементных моделей, либо измеряют с применением методов тензометрии. В местном напряжении не учитывают концентрацию, связанную с наличием сварных швов, дефектов сварных швов, поверхностных дефектов литых несущих конструкций, контактом между телами.
3.13
минимальная расчетная масса вагона: Номинальная масса порожнего вагона, указанная в конструкторской документации. |
3.14
необрессоренные части тележки: Составные части несущей конструкции тележки, не имеющие опоры на рессорное подвешивание, а также колесные пары. |
3.15 несущая конструкция кузова (вагона-транспортера): Составные части вагона, которые передают силы, возникающие при движении вагона в составе поезда и маневрах, воспринимают силы от действия на вагон груза, подвесного оборудования, тормозной системы вагона, установленных механизмов, служат опорой на ходовые части.
Примечание - К несущей конструкции вагона-транспортера в зависимости от его типа относят консоль, грузонесущую балку, соединительную балку, промежуточную балку и концевую балку.
3.16 несущая конструкция тележки: Составные части тележки, которые воспринимают силы от действия на тележку кузова вагона, тормозной системы вагона и передают их на подшипники колесных пар.
Примечание - К несущей конструкции двухосной трехэлементной тележки, применяемой в конструкции вагона-транспортера, как правило, относят надрессорную балку и боковую раму, буксу, адаптер, боковой скользун.
3.17
рамная сила: Боковая сила, действующая от несущей конструкции тележки на колесную пару. |
3.18
расчетный ресурс составной части несущей конструкции вагона: Ресурс составной части до достижения предельного состояния по сопротивлению усталости, установленный технической документацией. Примечание - Для несущей конструкции кузова вагона расчетный ресурс, как правило, соответствует назначенному ресурсу (сроку службы) вагона. Для составных частей вагона, подлежащих замене при ремонте, расчетный ресурс соответствует наработке между видами планового ремонта. |
3.19
расчетный статический прогиб: Статический прогиб упругих элементов рессорного подвешивания, эквивалентный подвешиванию с линейной зависимостью силы от деформации (постоянной жесткостью) без учета сил трения. |
3.20
обрессоренные части вагона (тележки): Составные части несущей конструкции вагона (тележки), расположенные выше рессорного подвешивания. |
3.21 общее напряжение: Механическое напряжение, вызываемое внешней нагрузкой в несущей конструкции с учетом ее основной геометрии.
Примечание - Общие напряжения определяют с учетом упругого деформирования материала аналитически или методом конечных элементов с применением трехмерных конечно-элементных моделей либо измеряют с применением методов тензометрии. В общем напряжении не учитывают концентрацию, связанную с геометрическими концентраторами напряжений.
3.22
опорный узел: Составная часть несущей конструкции вагона, которая включает в себя пятник и ответную поверхность к боковому скользуну тележки. |
3.23
подвесное оборудование вагона (тележки): Оборудование, закрепленное на несущей конструкции кузова вагона (на несущей конструкции тележки) посредством разъемного или неразъемного соединения. |
3.24
продольное направление: Направление в плоскости пути вдоль его оси. |
3.25 статический прогиб несущей конструкции вагона: Деформация несущей конструкции кузова вагона в вертикальном направлении под действием собственного веса, а также силы тяжести груза, отсчитываемая от горизонтальной плоскости, проходящей через центры пятников.
3.26 вагоны-транспортеры большой осности: Вагоны-транспортеры с количеством осей более шестнадцати, эксплуатирующиеся отдельными единицами.
4 Режимы для определения прочности, устойчивости сжатых конструкций и сопротивления усталости конструкции
4.1 Прочность несущей конструкции кузова вагона определяют при действии сил в
режимах I а,
I б,
I в,
I г, указанных в таблице 1.
Режим I в применяют для определения устойчивости сжатых составных частей несущей конструкции кузова вагона расчетными методами.
Примечание -
Режимам I а и
I б соответствует сочетание сил, действующих при трогании с места, осаживании или экстренном торможении груженого поезда при малых скоростях движения.
Режимам I в и
I г соответствует сочетание сил, действующих на вагон при торможении и разгоне состава, двигающегося в кривом участке пути.
Таблица 1
Силы, действующие на вагон, для определения прочности
несущей конструкции кузова
Силы | Значение силы в режиме I |
| | | |
Продольные | | | | |
Вагоны-транспортеры большой осности |
| | | |
Вертикальные: | | | | |
- сила тяжести; | | | | |
- составляющая силы инерции; | | | - | - |
- составляющая продольной силы; | | | | |
| | ИС МЕГАНОРМ: примечание. В официальном тексте документа, видимо, допущена опечатка: имеется в виду п. 4.1.10, а не 4.1.8. | |
|
- кососимметричные силы | - | - | | |
Боковые | - | - | | |
Примечание - Знак "-" в таблице означает отсутствие действия силы в указанном режиме. |
При определении прочности расчетными методами учитывают указанные в техническом задании схемы размещения груза. При определении прочности методами испытаний допускается уменьшать количество схем размещения груза при испытаниях на основании определения прочности расчетными методами. При этом не допускается исключать испытания по схеме нагружения с наихудшим для конструкции сочетанием нагрузок.
Действующие на несущую конструкцию кузова вагона вертикальные и боковые силы уравновешены реакциями в опорных узлах, зависящими от конструктивного устройства опорного узла.
4.1.1 Устанавливают следующие значения и схемы приложения продольных сил к кузову вагона по режиму I:
а) сила 3,0 МН, направленная внутрь вагона, приложена к опорной поверхности заднего упора автосцепного устройства с одной стороны вагона и уравновешена продольными силами инерции по
4.1.4 масс несущих конструкций кузова вагона, тележек, автосцепных устройств и груза;
б) сила 2,5 МН, направленная наружу вагона, приложена к опорной поверхности переднего упора автосцепного устройства с одной стороны вагона и уравновешена продольными силами инерции по
4.1.4 масс несущих конструкций кузова вагона, тележек, автосцепных устройств и груза;
в) силы 2,5 МН, направленные внутрь вагона, приложены к опорным поверхностям задних упоров автосцепного устройства с двух сторон вагона;
г) силы 2,0 МН, направленные наружу вагона, приложены к опорным поверхностям передних упоров автосцепного устройства с двух сторон вагона.
4.1.2 Устанавливают следующие значения и схемы приложения продольных сил к кузову вагона-транспортера большой осности по режиму I:
а) сила 1,5 МН, направленная внутрь вагона, приложена к опорной поверхности заднего упора автосцепного устройства с одной стороны вагона и уравновешена продольными силами инерции по
4.1.4 масс несущих конструкций кузова вагона, тележек, автосцепных устройств и груза;
б) сила 1,5 МН, направленная наружу вагона, приложена к опорной поверхности переднего упора автосцепного устройства с одной стороны вагона и уравновешена продольными силами инерции по
4.1.4 масс несущих конструкций кузова вагона, тележек, автосцепных устройств и груза;
в) силы 1,5 МН, направленные внутрь вагона, приложены к опорным поверхностям задних упоров автосцепного устройства с двух сторон вагона;
г) силы 1,5 МН, направленные наружу вагона, приложены к опорным поверхностям передних упоров автосцепного устройства с двух сторон вагона.
4.1.3 При приложении продольных сил дополнительно учитывают действие вертикальной силы,
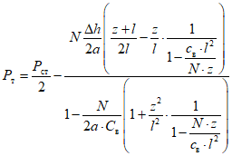
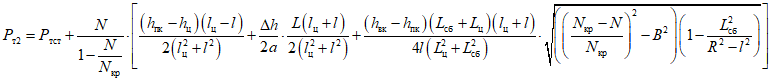
Pz, Н, приложенной к соответствующим упорам автосцепного устройства, определяемой по формуле

, (1)
e - разность уровней осей автосцепок, при определении прочности расчетными методами; принимают e = 0,10 м, если иное не предусмотрено техническим заданием на вагон, при определении прочности методами испытаний допускается разность уровней осей автосцепок не более 0,05 м;
a - расчетная длина корпуса автосцепки (для корпуса автосцепки по
ГОСТ 32885 принимают 1,0 м при действии сил внутрь вагона; 0,9 м при действии сил наружу вагона).
В
формуле (1) знак "+" обозначает действие силы вверх, знак "-" обозначает действие силы вниз.
Примечание - Указанная вертикальная сила по
формуле (1) возникает за счет трения между поверхностями поглощающего аппарата и поверхностями упоров автосцепного устройства.
4.1.4 Продольную силу инерции составной части вагона или груза
NИ, Н, имеющей массу
m, кг, определяют по формуле

, (2)
mваг - максимальная расчетная масса вагона, кг.
Продольную силу инерции при использовании расчетных методов прикладывают к центру масс составной части вагона. Допускается учитывать продольную силу инерции массы составной части вагона приложением распределенного по ее объему ускорения. Передачу продольных сил инерции груза, автосцепных устройств и тележек на кузов вагона определяют с учетом устройства их крепления и соединения.
4.1.5 Действие силы тяжести на составную часть вагона учитывают при определении прочности расчетными методами приложением распределенного по ее объему ускорения свободного падения 9,81 м/с
2.
Действие на составную часть вагона силы тяжести от масс опертых на нее частей (кузова, груза и т.п.) определяют исходя из максимальной расчетной статической осевой нагрузки при ускорении свободного падения 9,81 м/с2.
4.1.6 При использовании расчетных методов вертикальную составляющую силы инерции, действующую на составную часть вагона от опертых на нее частей или груза,
Pв, Н, определяют по формуле

, (3)
h - высота центра масс составной массы вагона или груза от уровня плоскости опоры, м;
2l - расстояние в продольном направлении между опорами, м.
4.1.7 Боковую силу
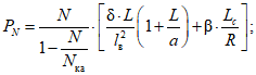
PN, Н, действующую на вагон через автосцепные устройства, определяют по формулам:

(4)

, (5)
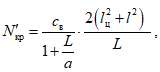
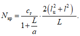
Nка - продольная критическая сила, приводящая к относительному перекосу вагонов и осей автосцепок в плане, определяют по формуле

(6)
где cг - горизонтальная жесткость рессорного подвешивания тележек (тележечной группы) с одного конца транспортера, Н/м;
L - расстояние между задними опорными поверхностями упоров автосцепных устройств, м;
a - расчетная длина корпуса автосцепки, м (для корпуса автосцепки по
ГОСТ 32885 принимают 1,0 м при действии сил внутрь вагона или 0,9 м при действии сил наружу вагона);
lв - база вагона, м;

- возможное одностороннее боковое перемещение шкворневого сечения кузова вагона за счет зазоров колесной пары в рельсовой колее, зазоров между буксой (адаптером) колесной пары и проемом для колесной пары в боковой раме, зазоров между пятником и подпятником, упругих боковых деформаций рессорного подвешивания, м. Значение принимают средним вероятным в соответствии с конструкторской документацией, эксплуатационными и ремонтными документами;

- коэффициент, учитывающий влияние продольных критических сил
Nка,
Nкб, определяемый по формуле

, (7)
где Nкб - продольная критическая сила, приводящая к относительному перекосу вагонов и осей автосцепок в плане, определяют по формуле
Nкб = a·cг, (8)
Lс - длина вагона по осям сцепления, м;
R - радиус кривой, принимают 250 м.
В
режиме I в боковые силы по
формуле (4) противоположных направлений приложены к задним опорным поверхностям упоров автосцепного устройства с двух сторон вагона.
В
режиме I г боковые силы по
формуле (5) одного направления приложены к передним опорным поверхностям упоров автосцепного устройства с двух сторон вагона.
Для вагонов сочлененного типа в
режиме I в боковые силы, действующие наружу кривой, приложены к задним опорным поверхностям упоров автосцепного устройства с двух сторон вагона. В
режиме I г боковые силы, действующие внутрь кривой, приложены к передним опорным поверхностям упоров автосцепного устройства с двух сторон вагона.
4.1.8 При наличии в конструкции вагона водила боковые силы для случая действия сжимающих сил рассчитывают с учетом возможных перекосов элементов кинематической схемы передачи продольной силы от соединительных балок к грузонесущей балке.
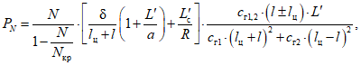
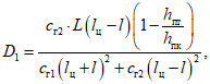
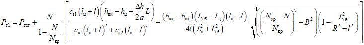
4.1.9 Боковую сжимающую силу для многоярусных вагонов определяют по формуле

(9)
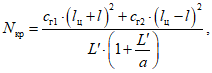
где Nкр - критическая сила, приводящая к относительному перекосу вагонов и осей автосцепок в плане, определяемая по формуле

(10)
где cг1, cг2 - горизонтальные жесткости тележек, объединенных концевой балкой;
lц - расстояние от центра подпятника концевой балки до середины ее базы;
l - база концевой балки, м;
L' - расстояние от центра подпятника концевой балки до задних опорных поверхностей упоров автосцепных устройств, м;
L'с - расстояние от центра подпятника концевой балки до оси сцепления автосцепки, м.
4.1.10 Действие вертикальной кососимметричной силы учитывают, если выполнено условие

, (11)
где 2lв - база вагона (база секции вагона для вагонов сочлененного типа), м;

- минимальное значение динамического прогиба бокового скользуна постоянного контакта при его применении или зазора при применении боковых скользунов зазорного типа, предусмотренное конструкторской документацией на тележку, м.
Примечание - Действию вертикальных кососимметричных сил соответствует движение вагона по переходным кривым с отводом возвышения наружного рельса, равным 3,2 мм/м, при условии замыкания боковых скользунов, расположенных по диагонали.
Вертикальную кососимметричную силу прикладывают вверх к ответным поверхностям боковых скользунов на кузове вагона, расположенным по диагонали вагона, таким образом, чтобы соответствующее перемещение составило

, м, с каждой стороны вагона.
Допускается задавать вертикальное перемещение ответных поверхностей боковых скользунов на кузове вагона, расположенных по диагонали вагона, равное

, м.
Для многоярусных вагонов
формулу (11) следует корректировать с учетом жесткости грузонесущих и концевых балок, различных зазоров в скользунах на различных уровнях конструкции.
4.2 Прочность несущей конструкции кузова вагона при ремонте определяют при действии силы тяжести по
4.1.5 (без учета силы тяжести груза), уравновешенной реакциями в зонах грузонесущей балки, предусмотренных для подъема на домкратах, расположенных по диагонали.
При наличии дополнительных схем подъема кузова вагона, предусмотренных техническим заданием, для них должна быть определена прочность несущей конструкции.
4.3 Вагоны, предназначенные для перевозки на паромах, проверяют расчетными методами на прочность при действии:
а) продольной силы, соответствующей действию на вагон и груз ускорения 1,96 м/с2, и вертикальной силы, соответствующей действию на вагон и груз ускорения 9,81 м/с2.
Примечание - Соответствует продольному (килевому) крену до 10°;
б) боковой силы, соответствующей действию на вагон и груз ускорения 9,81 м/с2, и вертикальной силы, соответствующей действию на вагон и груз ускорения 4,91 м/с2.
Примечание - Соответствует боковому крену до 30°.
Силы уравновешены реакциями в приспособлениях для закрепления вагона и груза. Допускается уточнять действующие силы в зависимости от характеристик парома.
При наличии дополнительных схем перевозки вагона, предусмотренных техническим заданием, для них, как и для средств крепления вагона на судне, должна быть определена прочность несущей конструкции в соответствии с действующими нормативными документами.
Несущую конструкцию кузова вагона проверяют на прочность при действии сил от применяемых механизмов при погрузке или выгрузке, от работы установленных механизмов, значения которых определяют в соответствии с конструкторской документацией на вагон и его условиями эксплуатации, а также
ГОСТ 22235.
4.4 Предохранительные устройства, предназначенные для предотвращения падения на путь оборудования, проверяют на прочность при действии двукратной силы тяжести предохраняемого оборудования по
4.1.5.
4.5 Составные части вагона, тормозную рычажную передачу и кронштейны ее крепления, воспринимающие действие сил в тормозной системе, проверяют расчетными методами на прочность при действии максимальной силы на штоке поршня тормозного цилиндра, определяемой без учета жесткости отпускной пружины и без учета потерь (при коэффициенте полезного действия, равном единице), а кронштейны, рычаги и тяги стояночного тормоза - при действии момента силы M = 100 Н·м, прикладываемого к штурвалу стояночного тормоза.
4.6 Составные части несущей конструкции кузова вагона, на которых закреплено подвесное оборудование, проверяют на прочность при действии:
- продольного ускорения aп, м/с2, определяемого по формуле

, (12)
Примечание - Принято значение ускорения, действующего на порожний вагон;
mт - минимальная расчетная масса порожнего вагона, кг;
- вертикального ускорения aв, м/с2, определяемого по формуле

, (13)
где
g - ускорение свободного падения по
4.1.5;
mк - масса несущих конструкций кузова вагона с минимальной расчетной массой, кг;
hв - расстояние в вертикальном направлении от центра масс несущих конструкций кузова вагона с минимальной расчетной массой до уровня оси автосцепки, м;
2lв - база вагона (база секции вагона для вагонов сочлененного типа), м;
x - расстояние в продольном направлении от среднего поперечного сечения кузова вагона до центра масс подвесного оборудования, м.
Продольную и вертикальную силу от действия ускорения по
формулам (12) и
(13) при использовании расчетных методов прикладывают к центру масс подвесного оборудования. Допускается прикладывать силы инерции массы подвесного оборудования приложением распределенного по объему ускорения. Передачу сил от подвесного оборудования на кузов вагона определяют с учетом устройства их соединения.
4.7 Для проверки отсутствия резонанса величины собственных частот колебаний подвесного и навесного оборудования, определенные расчетным методом, должны превышать значения собственных частот колебаний несущей конструкции кузова не менее чем в 1,5 раза и составлять не менее 20 Гц.
Примечание - Под собственной частотой колебаний несущей конструкции кузова понимают наименьшую частоту изгибных колебаний кузова в вертикальной плоскости.
4.8 Составные части автосцепного устройства, а также их крепление на вагоне проверяют на прочность при действии сил согласно ГОСТ 33434-2015 (
пункты 5.8,
5.9).
4.9 Прочность несущей конструкции тележки для случая установки в вагоне двухосных тележек рассчитывают согласно ГОСТ 33211-2014 (
подразделы 4.4,
4.5). Для тележек трехосных (четырехосных) прочность конструкции оценивают согласно ГОСТ 34763.1-2021
(подраздел 5.6).
4.9.1 Подвесное оборудование, закрепленное на необрессоренных составных частях тележки, и элементы его крепления проверяют расчетными методами на прочность при действии сил инерции их масс, возникающих при динамическом взаимодействии тележки и пути. Силы инерции, Н, определяют по формуле
FИ = mПО·jн, (14)
где mПО - масса подвесного оборудования, кг;
jн - ускорение неподрессоренных частей тележки, м/с2, определяемое по формуле

, (15)
где

- коэффициент инертности тела,

, принимаемый равным:
- 71 - для вертикального направления;
- 59 - для бокового направления;
mнк - масса необрессоренных частей тележки, приходящаяся на колесо, кг;
g - ускорение свободного падения, м/с2.
Продольное ускорение определяют по
формуле (12) для вагона с минимальной расчетной массой.
Для вагонов большой осности значение коэффициента инертности тела может быть уточнено, исходя из скорости движения вагона согласно техническому заданию на проектирование.
Силы прикладывают к центру масс подвесного оборудования. Передачу сил от подвесного оборудования на несущую конструкцию тележки определяют с учетом устройства их соединения.
4.9.2 Подвесное оборудование, закрепленное на обрессоренных составных частях несущей конструкции тележки, и элементы его крепления проверяют расчетными методами на прочность при действии сил по
4.6 для вагона с минимальной расчетной массой, базы тележки (тележечной группы) 2
lв, расстояния от плоскости пятника до плоскости осей колесных пар
hв, расстояния в продольном направлении от среднего поперечного сечения тележки (тележечной группы) до центра масс укрепленного на ней оборудования.
4.9.3 Площадку или прилив для размещения бокового скользуна на надрессорной балке тележки, а также несущие составные части бокового скользуна проверяют на прочность при действии вертикальной силы 370 кН и соответствующей продольной силы трения. Данная сила приведена для двухосной тележки с осевой нагрузкой 25 тс. Для тележек (тележечных групп) с количеством осей более двух, а также тележек двухосных с осевой нагрузкой, отличной от 25 тс, вертикальную силу для расчета вышеуказанных элементов следует умножать на коэффициент отношения осевых нагрузок.
4.10 Устройства крепления груза (отверстия, скобы, анкеры, кольца) вагонов проверяют на прочность расчетными методами при приложенной силе 150 кН.
4.11 Сочленения проушин консолей вагона и самонесущего груза (или дополнительных несущих конструкций) проверяют на прочность при действии продольной (сжимающей и растягивающей)
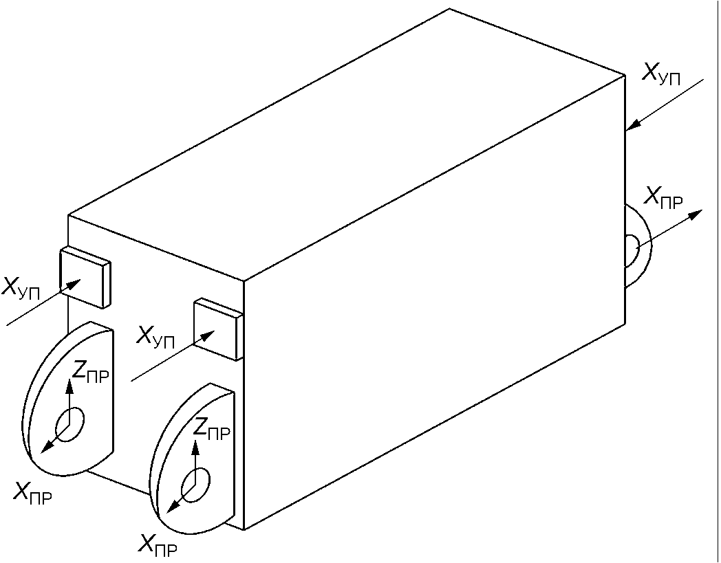
XПР и вертикальной
ZПР сил; зоны контакта груза и верхних упоров консолей вагона - при действии продольной силы
XУП (рисунок 1).
Рисунок 1 - Схема нагружения опорных узлов самонесущего
груза
Продольную силу, действующую в проушинах самонесущего груза и консоли вагона XПР, Н, определяют по формуле

, (16)
где Qгр - сила тяжести груза, H;
lк2 - расстояние по горизонтали от оси проушин до опорного устройства (пятника или каткового устройства водила), м (см.
рисунок 2);
Qк - сила тяжести одной консоли вагона, Н;
lк - расстояние по горизонтали от оси проушин до центра масс консоли вагона, м (см.
рисунок 2);
h - расстояние в вертикальном направлении между осями проушин и верхних упоров (см.
рисунок 2), м;
k' - количество проушин крепления самонесущего груза со стороны действия сжимающих сил (при ударе) и с противоположной стороны при действии растягивающих сил (при рывке).
а)
б)
а) для вагонов без водила; б) для вагонов с водилом
Рисунок 2 - Схема сил, действующих на систему
"консоль вагона - груз"
Продольную силу, действующую в верхних упорах самонесущего груза и консоли вагона, XУП, Н, определяют по формуле

(17)
hк - расстояние в вертикальном направлении от центра проушин до центра масс консоли вагона (см.
рисунок 2), м.
Вертикальную силу ZПР, Н, действующую в проушинах самонесущего груза и консоли, определяют по формуле

, (18)
где k - количество проушин крепления самонесущего груза.
4.12 Оценку сопротивления усталости несущей конструкции кузова вагона следует проводить согласно
6.3.
При определении сопротивления усталости расчетными методами учитывают указанные в техническом задании схемы размещения груза. При определении сопротивления усталости методами испытаний допускается уменьшать количество схем размещения груза при испытаниях на основании определения сопротивления усталости расчетными методами. При этом не допускается исключать испытания по схеме нагружения с наихудшим для конструкции сочетанием нагрузок.
4.12.1 Для случая установки в вагоне двухосных тележек сопротивление усталости несущей конструкции тележки определяют согласно
4.12.3. Для тележек трехосных (четырехосных) сопротивление усталости несущей конструкции оценивают согласно ГОСТ 34763.1-2021
(подраздел 5.7).
4.12.2 Динамические силы (динамические напряжения), действующие на несущую конструкцию кузова вагона при движении, и частоту их изменения определяют по ГОСТ 33211-2014
(пункт 4.6.2), где значение коэффициента
a принимают равным 1,1. Для грузонесущих балок вагонов платформенного и площадочного типов величину коэффициента динамической добавки корректируют с учетом упругих деформаций по формуле

, (19)
где
KД - коэффициент динамической добавки, определяемый по ГОСТ 33211-2014
(формула (Д.1)) без учета коэффициента, учитывающего влияние центробежной силы в кривых участках пути, где значение коэффициента A для ссылочной
формулы (4.12) принимают равным:
- для соединительных и грузонесущих балок - 0,05;
- для промежуточных и концевых балок, а также обрессоренных частей тележки - 0,10;
- для необрессоренных частей тележки - 0,15;

- коэффициент, учитывающий упругие деформации, принимаемый для четырехосных вагонов

; для восьмиосных вагонов

; для вагонов с числом осей более восьми -

.
При расчете грузонесущей, соединительной, промежуточной и концевой балок в величину статического прогиба включают прогибы этих и нижележащих балок под нагрузкой.
4.12.3 Динамические силы (динамические напряжения), действующие на тележку при движении вагона, и их частоты, за исключением среднего вероятного значения рамной силы

, определяют по ГОСТ 33211-2014
(пункт 4.7.2) с учетом наибольших износов деталей в рессорном подвешивании, допустимых эксплуатационными документами на тележку, где:
- коэффициент A в
формуле (4.12) ГОСТ 33211-2014 принимают для обрессоренных частей тележки - 0,10, для необрессоренных частей тележки - 0,15;
- коэффициент
a в
формуле (4.13) ГОСТ 33211-2014 принимают для обрессоренных частей тележки - 1,2, для необрессоренных частей тележки - 1,5.
Среднее вероятное значение рамной силы

, Н, определяют по формуле

, (20)
где

- коэффициент, принимаемый 0,003 с/м;
P0 - максимальная расчетная статическая осевая нагрузка, Н;
b - коэффициент, учитывающий влияние числа осей в тележке под одним концом вагона, определяют по
формуле (21);
V - конструкционная скорость вагона, м/с;
V1 - начальное значение скорости движения, принимают V1 = 5 м/с.
Коэффициент, учитывающий влияние числа осей, b; определяют по формуле

, (21)
где n - число осей тележки или группы сбалансированных тележек.
5 Режимы для определения показателей динамических качеств, динамических сил и устойчивости от выжимания и опрокидывания при движении
5.1 Показатели динамических качеств вагона и динамические силы (динамические напряжения), действующие на несущую конструкцию кузова вагона и тележки, определяют в соответствии с
5.2 -
5.14.
5.2 При определении показателей динамических качеств расчетными методами учитывают указанные в техническом задании схемы размещения груза. При определении показателей динамических качеств методами испытаний допускается уменьшать количество схем размещения груза при испытаниях на основании определения показателей динамических качеств расчетными методами. При этом не допускается исключать испытания по схеме нагружения с наихудшим для конструкции сочетанием нагрузок.
5.3 Показатели динамических качеств вагона определяют на участках пути со следующими характеристиками:
а) прямой участок пути протяженностью не менее 1000 м;
б) участок пути, состоящий из прямой, переходной кривой и круговой кривой проектного (среднего) радиуса в диапазоне от 300 до 400 м;
в) участок пути, состоящий из прямой, переходной кривой и круговой кривой проектного (среднего) радиуса в диапазоне от 600 до 800 м;
г) участок пути, включающий в себя стрелочный перевод на боковой путь с рельсами типа Р65 согласно требованиям национальных нормативных документов <1>, с крестовиной марки 1/11 или 1/9 согласно национальным нормативным документам <2>.
--------------------------------
<1> В Российской Федерации - по
ГОСТ Р 51685-2013 "Рельсы железнодорожные. Общие технические условия".
<2> На территории Российской Федерации применяют
Правила технической эксплуатации железных дорог Российской Федерации, утвержденные приказом Министерства транспорта Российской Федерации от 21 декабря 2010 г. N 286.
5.4 Кривые должны иметь протяженность участка постоянного радиуса не менее 200 м. Возвышение наружного рельса хотя бы в одной из кривых должно обеспечивать движение вагона с конструкционной скоростью и непогашенным ускорением 0,7 м/с2.
5.5 Устройство переходных кривых должно соответствовать требованиям национального законодательства
<2>.
5.6 На прямом участке пути по
5.3 [перечисление а)] показатели динамических качеств определяют со скоростями движения от 20 км/ч до скорости, соответствующей конструкционной скорости вагона с шагом от 10 до 20 км/ч.
5.7 При движении по кривым по
5.3 [перечисления б),
в)] показатели динамических качеств определяют со скоростями движения от 10 км/ч до скорости, соответствующей непогашенному ускорению 0,7 м/с
2, с шагом от 10 до 20 км/ч.
5.8 При движении по стрелочному переводу на боковой путь по
5.3 [перечисление г)] показатели динамических качеств определяют со скоростями движения от 10 км/ч до 40 км/ч, с шагом не более 10 км/ч.
5.9 На участках пути должны быть уложены рельсы типа Р65 согласно требованиям национальных нормативных документов
<1>.
Таблица 2
Характеристики неровностей рельсов для определения
показателей динамических качеств
Конструкционная скорость вагона, км/ч | Отступление, мм, не более |
по ширине колеи <1> | по уровню | по перекосу | по просадке | Разность смежных стрел <2> |
до 20 м включ. | более 20 м до 40 м включ. |
от 90 до 140 включ. | 6/14 | 16 | 12 | 15 | 15 | 25 |
<1> В числителе для сужения колеи, в знаменателе - для уширения колеи. <2> Измеренных от середины хорды длиной 20 м при длине неровности пути. |
5.11 Коэффициент трения между колесом и рельсом при определении показателей динамических качеств расчетным методом принимают равным 0,25 на поверхности катания колеса, 0,30 на гребне. Испытания проводят при существующем естественном значении коэффициента трения между колесом и рельсом.
5.12 Профиль поверхности катания колеса при определении показателей динамических качеств рекомендуется принимать новым и с износом по кругу катания от 1,3 до 2,0 мм.
5.13 Для вагонов со статическим прогибом несущей конструкции кузова более 25 мм при определении показателей динамических качеств расчетным методом учитывают изгибные колебания несущей конструкции кузова.
5.14 Устойчивость вагона от выжимания определяют расчетными методами для минимальной расчетной массы вагона в соответствии с
5.14.1 -
5.14.4.
Примечание - Устойчивость вагона от выжимания проверяют для случая сочетания большой боковой силы взаимодействия набегающего колеса с рельсом и малой вертикальной силы на это колесо, возникающего при экстренном торможении при прохождении составом кривого участка пути.
5.14.1 Вагон расположен на участке круговой кривой проектного (среднего) радиуса 250 м. Рассматривают случай круговой кривой с возвышением наружного рельса 0,15 м и без возвышения наружного рельса.
Для вагонов сочлененного типа дополнительно рассматривают прямой участок пути.
5.14.2 Боковые силы вычисляют по
формулам (4),
(9) для продольной силы, действующей на опорные поверхности задних упоров автосцепного устройства (при сжатии), приведенной в
таблице 3. Боковые силы противоположных направлений приложены к задним опорным поверхностям упоров автосцепного устройства с двух сторон вагона.
Таблица 3
Величины продольных сил для расчета на устойчивость вагона
от выжимания и опрокидывания
Расчетные параметры | Сжатие при осаживании и торможении в кривой R = 250 м | Растяжение при тяге в кривой R = 250 м | Сжатие при осаживании и торможении в кривой R = 250 м | Растяжение при тяге в кривой R = 250 м |
четырехосные груженые вагоны, а также шести- и восьмиосные порожние и груженые | четырехосные порожние вагоны, а также порожние и груженые вагоны с автосцепкой на грузонесущей балке |
Продольная сила, МН | 1,0 | 1,4 | 0,5 | 0,7 |
Скорость движения, м/с | 5,0 | 5,0 |
Для вагонов сочлененного типа для случая выжимания в кривом участке пути боковые силы, действующие наружу кривой, определяют согласно
4.1.7. Для случая выжимания на прямом участке пути боковые силы
PN, Н, определяют по ГОСТ 33211-2014
(формула (5.1)) с учетом продольной силы
N по
4.1.1 [перечисление в)],
4.1.2 [перечисление в)].
Для вагонов сочлененного типа боковые силы одного направления приложены к задним опорным поверхностям упоров автосцепного устройства с двух сторон вагона.
5.14.3 К опорным поверхностям задних упоров автосцепного устройства приложены вертикальные силы, определяемые по
формуле (1) для разности уровней осей автосцепок 0,08 м. Рассматривают случаи действия вертикальных сил вверх и вниз.
5.14.4 Коэффициент трения между колесом и рельсом принимают равным 0,25.
5.15 Устойчивость вагона от опрокидывания определяют расчетными методами как для порожнего (минимальной расчетной массы вагона), так и груженого (максимальной расчетной массы вагона) состояний.
При определении устойчивости вагона от опрокидывания расчетными методами учитывают указанные в техническом задании схемы размещения груза с учетом назначения вагона-транспортера. При определении устойчивости вагона от опрокидывания методами испытаний допускается уменьшать количество схем размещения груза при испытаниях на основании определения устойчивости вагона от опрокидывания расчетными методами. При этом не допускается исключать испытания по схеме нагружения с наихудшим для конструкции сочетанием нагрузок.
Примечание - Устойчивость вагона от опрокидывания наружу кривой проверяют для случая торможения вагона с наибольшей скоростью движения в кривой при действии ветровой нагрузки наружу кривой. Устойчивость вагона от опрокидывания внутрь кривой проверяют для случая движения вагона с малой скоростью в режиме тяги поезда при действии ветровой нагрузки внутрь кривой.
5.15.1 При опрокидывании наружу кривой рассматривают следующие условия движения:
а) вагон расположен на участке круговой кривой среднего радиуса 650 м;
б) на вагон наружу кривой действует непогашенное ускорение 0,7 м/с
2;
в) боковые силы вычисляют по
формуле (4) для продольной силы, действующей на опорные поверхности задних упоров автосцепного устройства, приведенной в
таблице 3 (для порожнего и груженого состояний). Промежуточные значения продольной силы определяют линейной интерполяцией. Боковые силы приложены к задним опорным поверхностям упоров автосцепного устройства с двух сторон вагона и действуют перпендикулярно к продольной оси вагона наружу кривой.
Для вагонов сочлененного типа боковые силы, действующие наружу кривой, определяют согласно
4.1.7;
г) к опорным поверхностям задних упоров автосцепного устройства приложены вертикальные силы, определяемые по
формуле (1) для разности уровней осей автосцепок 0,08 м. Рассматривают случаи действия вертикальных сил вверх и вниз;
д) удельное давление ветра, действующее наружу кривой, принимают равным 360 Па.
5.15.2 При опрокидывании внутрь кривой рассматривают следующие условия движения:
а) вагон расположен на участке круговой кривой среднего радиуса 300 м;
б) на вагон внутрь кривой действует непогашенное ускорение 0,9 м/с
2;
в) боковые силы вычисляют по
формуле (5) для продольной силы, действующей на опорные поверхности передних упоров автосцепного устройства, приведенной в
таблице 3 (для порожнего и груженого состояний). Промежуточные значения продольной силы определяют линейной интерполяцией. Боковые силы приложены к передним опорным поверхностям упоров автосцепного устройства с двух сторон вагона и действуют перпендикулярно к продольной оси вагона внутрь кривой.
Для вагонов сочлененного типа боковые силы, действующие внутрь кривой, определяют согласно
4.1.7;
г) к опорным поверхностям передних упоров автосцепного устройства приложены вертикальные силы, определяемые по
формуле (1) для разности уровней осей автосцепок 0,08 м. Рассматривают случаи действия вертикальных сил вверх и вниз;
д) удельное давление ветра, действующее внутрь кривой, принимают равным 360 Па.
5.15.3 При определении динамической вертикальной силы давления колеса на рельс учитывают:
| | ИС МЕГАНОРМ: примечание. В официальном тексте документа, видимо, допущена опечатка: имеются в виду перечисления б), в) и д) п. 5.15.2, а не п. 15.15.2. | |
Боковые перемещения определяют с учетом наибольших зазоров между составными частями вагона, допустимыми конструкторской документацией и эксплуатационными документами.
6 Требования к прочности, устойчивости сжатых конструкций и сопротивлению усталости
6.1 Прочность несущих конструкций оценивают в соответствии с
6.1.1 -
6.1.5.
6.1.1 При оценке прочности определяют общие и местные напряжения в сварных и литых составных частях несущих конструкций.
В сварных конструкциях местные напряжения определяют на расстоянии от 1,0t до 1,5t от границы сварного шва, где t - толщина листа.
В литых конструкциях местные напряжения определяют на расстоянии от 1,0t до 1,5t от локальных концентраторов напряжений (канавок, выступов) с характерным размером менее t, где t - толщина стенки.
Местные напряжения, полученные расчетными методами в зонах влияния сосредоточенных нагрузок, не оценивают.
6.1.2 При оценке прочности несущих конструкций определяют эквивалентные общие и местные напряжения по энергетической теории прочности (по Мизесу)

, Па, по формуле

, (22)
где

,

,

- значения главных компонент поля напряжения, Па.
Допускается для материалов, прочность которых не оценивают по величине предела текучести или условного предела текучести, применять для определения эквивалентных напряжений специальные критерии.
Примечание - Специальные критерии применяют, например, для керамики, полимеров, композиционных материалов.
6.1.3 Для обеспечения прочности несущей конструкции напряжения не должны превышать допускаемого значения, определяемого по формулам

, (23)

, (24)

, (25)
где

- эквивалентные напряжения по энергетической теории прочности (по Мизесу), определяемые по
формуле (22);

- напряжения среза (если выполнен дополнительный расчет на срез), Па;

- напряжения смятия (если выполнен дополнительный расчет на смятие), Па;
Re - предел текучести материала или условный предел текучести материала, Па, при относительном остаточном удлинении 0,2% или при относительном остаточном удлинении 1% для аустенитных сталей;

,

,

- понижающие коэффициенты, определяемые по
таблице 4.
Примечание - Понижающие коэффициенты для болтов даны с учетом предварительной затяжки.
Таблица 4
Понижающие коэффициенты для оценки прочности составных
частей несущих конструкций вагона
Составная часть несущей конструкции | Понижающий коэффициент |
| | |
1 Грузонесущая, соединительная, промежуточная и концевая балки кузова: | | | |
- прокат, штамповки, поковки | 0,90 | 0,55 | 1,20 |
- литые детали | 0,85 | 0,50 | 1,00 |
- металл сварного шва | 0,85 | 0,50 | - |
| 0,60 | | 1,20 |
| | | |
- прокат, штамповки, поковки | 0,95 | 0,60 | 1,30 |
- литые детали | 0,90 | 0,55 | 1,20 |
- металл сварного шва | 0,90 | 0,60 | - |
| 0,65 | | 1,30 |
3 Составные части тележки: | | | |
- прокат, штамповки, поковки | 0,90 | 0,55 | 1,10 |
- литые детали | 0,85 | 0,50 | 1,00 |
- металл сварного шва | 0,80 | 0,50 | - |
| 0,55 | | 1,10 |
4 Составные части тормозной рычажной передачи и кронштейнов ее крепления <4>: | | | |
- прокат, штамповки, поковки | 0,60 | 0,35 | 0,70 |
- литые детали | 0,55 | 0,30 | 0,70 |
- металл сварного шва | 0,50 | 0,35 | - |
| 0,50 | | 1,00 |
<1> Применяют для болтов повышенной точности. <2> Допускается в режимах I а, I б и по 4.1 для составных частей кузова ( показатели 1 и 2 таблицы 4) принимать  для листового, фасонного, сортового проката, штамповок и поковок, литых деталей. Для металла сварного шва и болтов коэффициенты  ,  ,  допускается увеличивать на 10%. <3> При нахлесточном одностороннем соединении деталей, а также при соединении двух деталей через промежуточную деталь, коэффициенты  ,  ,  умножают на 0,90. <4> Для составных частей тормозной рычажной передачи и кронштейнов ее крепления при действии момента силы, прикладываемого к штурвалу стояночного тормоза по 4.5, понижающие коэффициенты  ,  ,  принимают в соответствии с перечислением 2 таблицы 4. Примечание - Напряжения, возникающие в конструкциях несущих элементов кузова, выполненных из сталей с соотношением предела текучести материала к пределу прочности менее 0,8, при испытаниях на соударение, проводимых согласно ГОСТ 33788-2016 (пункт 8.2), не должны превышать величины допускаемых напряжений, равных 0,8 от предела прочности. |
Напряжения, возникающие в конструкциях несущих элементов кузова, выполненных из сталей с соотношением предела текучести материала к пределу прочности менее 0,8, при испытаниях на удар, проводимых согласно
ГОСТ 33788, не должны превышать величины допускаемых напряжений, равных 0,8 от предела прочности.
При определении прочности методом испытаний требуется выполнить визуальный осмотр объекта испытаний на отсутствие остаточных деформаций и повреждений несущей конструкции.
При испытаниях оценку прочности вагона проводят по расчетным
режимам I а,
I в и
I г, а также при ремонте.

, (26)
где

- напряжения от действия вертикальной нагрузки, Па;
Напряжения от действия вертикальной нагрузки определяют по формуле

, (27)
где

- напряжения от веса тары вагона, Па;

- напряжения от веса груза, Па.

, (28)

- напряжения при действии поперечной составляющей продольной силы согласно
4.1.7, Па;

- напряжения при эксцентричном действии продольной силы согласно
4.1.3, Па.

, (29)
Условие прочности при ремонте имеет вид

, (30)
где

- напряжения от действия ремонтных режимов нагружения по
4.3, Па.
6.1.4 Прочность заклепочных соединений оценивают по ГОСТ 33211-2014
(пункт 6.1.4).
6.1.5 Прочность составных частей автосцепного устройства оценивают согласно ГОСТ 33211-2014
(пункт 6.1.6).
6.2 Устойчивость сжатых конструкций оценивают расчетными методами в соответствии с
4.1,
6.2.1,
6.2.2.
6.2.1 При расчете устойчивости несущей конструкции вагона необходимо учитывать начальные прогибы от действия силы тяжести.
6.2.2 Собственные значения (масштабные множители приложенных нагрузок), полученные в результате расчета на устойчивость, должны составлять не менее 1,1 для рамы вагона при расчете по
4.1 (режим I в).
6.3 Сопротивление усталости металлических несущих конструкций вагона оценивают в соответствии с
6.3.1 -
6.3.8.
6.3.1 Сопротивление усталости оценивают в многоцикловой постановке, когда амплитуды действующих напряжений лежат в диапазоне не менее 10 МПа для сталей, не менее 3 МПа для алюминиевых сплавов и не более 75% от значения предела текучести (условного предела текучести) материала. Положение настоящего раздела применяют к сталям и алюминиевым сплавам, предел текучести (условный предел текучести) которых не превышает 960 МПа.
6.3.2 Коэффициент запаса сопротивления усталости составной части вагона n определяют по формуле

, (31)
где

- предел выносливости по амплитуде, Па, составной части при базовом числе циклов
N0 = 10
7, определяемый согласно
6.3.3;

- расчетная эквивалентная величина амплитуды эксплуатационных динамических напряжений, Па, эквивалентная по повреждающему действию распределению амплитуд напряжений за расчетный ресурс составной части, определяемая по
6.3.4.
6.3.3 Значение предела выносливости по амплитуде несущих конструкций

определяют по ГОСТ 33211-2014
[формула (6.8)], где предел выносливости базового материала

для литых стальных конструкций принимают 58 МПа. Коэффициенты снижения предела выносливости, определяемые для различных зон литых деталей, назначают согласно ГОСТ 33211-2014
(таблица 11); для сварных соединений - согласно ГОСТ 33211-2014
(таблица 10). Также допускается определение предела выносливости по амплитуде

, Па, для сварных составных частей несущих конструкций методом испытаний в соответствии с
ГОСТ 33788.
6.3.4 При наличии данных о распределении амплитудных значений эксплуатационных напряжений величину

определяют по методике ГОСТ 33211-2014
(пункт 6.3.6), где среднюю техническую скорость движения вагона

в
формуле (6.12) ГОСТ 33211-2014 принимают равной:
- для вагонов с числом осей до 16 включ. - 17 м/с;
- для вагонов с числом осей более 16 - 2/3 конструкционной скорости.
6.3.5 При отсутствии данных о распределении величину

определяют расчетным путем по формуле

, (32)
| | ИС МЕГАНОРМ: примечание. В официальном тексте документа, видимо, допущены опечатки: имеются в виду п.п. 4.12.2, 4.12.3 и 6.3.7, а не 4.12.3, 4.12.4 и 6.3.6 соответственно. | |
где

,

,

,

- величины напряжений в детали от нормативных нагрузок при движении груженого вагона, соответственно от вертикальной динамической силы, определяемой по
4.12.3,
4.12.4; боковой горизонтальной силы, определяемой по
6.3.6; вертикальной кососимметричной силы, определяемой по
4.1.10, и от силы инерции массы вагона при торможении, определяемой исходя из замедления 0,2
g.
При данной оценке среднюю техническую скорость движения

вагона принимают равной:
- для вагонов с числом осей до 16 включ. - 25 м/с;
- для вагонов с числом осей более 16 - 3/4 конструкционной скорости.
6.3.6 Среднюю техническую скорость движения

вагона с числом осей до 16 включ. принимают равной 25 м/с и равной 3/4 конструкционной скорости для вагонов с числом осей более 16.
6.3.7 Боковую силу, равную разности центробежной силы и горизонтальной составляющей силы тяжести, возникающей вследствие возвышения наружного рельса, если в технических требованиях не оговорены особые условия движения в кривых, принимают равной 7,5% от силы тяжести брутто, если в технических требованиях не оговорены особые условия движения в кривых. При расчете рекомендуется отдельно учитывать центробежные силы кузова и тележки.
6.3.8 Амплитуду динамического напряжения при действии сил по
4.12.2 определяют методом экстремумов в соответствии с ГОСТ 25.101-83 (пункт 3.2.1), при действии сил по
4.12.3 - методом полных циклов или методом "дождя" по ГОСТ 25.101-83 (пункт 3.3.3).
Напряжения при действии сил по
4.1.1 и
4.1.2 при испытаниях на соударение регистрируют и обрабатывают без фильтрации.
6.3.9 Допускаемые коэффициенты запаса сопротивления усталости
n приведены в
таблице 5.
Таблица 5
Допускаемые коэффициенты запаса сопротивления усталости
несущей конструкции
Вариант | Метод определения предела выносливости по амплитуде | Метод определения приведенной амплитуды | Коэффициент запаса сопротивления усталости несущей конструкции, не менее |
кузова вагона | тележки, сцепных устройств |
А | Испытания или расчет по 6.3.3 | | 1,15 | 1,30 |
Б | | 1,20 | 1,40 |
В | | 1,50 | 1,80 |
<1> Под расчетом понимают математическое моделирование динамического состояния экипажа в прикладных программных комплексах с учетом особенностей верхнего строения пути. |
7 Требования к показателям динамических качеств и устойчивости к выжиманию и опрокидыванию при движении
7.1 Требования к показателям динамических качеств и устойчивости к выжиманию и опрокидыванию определяют согласно ГОСТ 33211-2014
(раздел 7), за исключением положений, приведенных в 7.1 -
7.5.
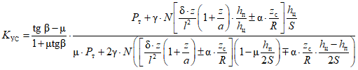
7.2 Мгновенное значение коэффициента запаса устойчивости от схода колеса с рельса Kус определяют по формуле

, (33)
где

- угол наклона образующей гребня колеса к горизонту, для колес без износа по
ГОСТ 10791 принимают

;

- коэффициент трения между гребнем колеса и рельсом, принимают по ГОСТ 33211-2014
(пункт 5.1.6) для определения показателей динамических качеств и ГОСТ 33211-2014
(пункт 5.2.4) для расчета устойчивости от выжимания;
Pв - вертикальная сила, Н, действующая от колеса на рельс в диапазоне частот от 0,1 Гц до 20 Гц (положительное направление вниз);
Pб - боковая сила, Н, действующая от колеса на рельс в диапазоне частот от 0 Гц до 20 Гц;
( ) - оператор, который обозначает определение скользящего среднего с шириной окна 2 м.
7.3 Уровни оценки и допустимые значения показателей динамических качеств приведены в
таблице 6.
Таблица 6
Уровни оценки и допустимые значения показателей
динамических качеств
Показатель | Уровень оценки | Допустимое значение |
для вагона с минимальной расчетной массой | для вагона с максимальной статической осевой нагрузкой |
Максимальный коэффициент динамической добавки обрессоренных частей, не более: | Допустимый | | |
- грузонесущая балка | 0,70 | 0,65 |
- промежуточные, соединительные, и концевые балки; обрессоренные части тележек | 0,75 | 0,70 |
Максимальный коэффициент динамической добавки необрессоренных частей тележек, не более | 0,95 | 0,80 |
Минимальный коэффициент запаса устойчивости колеса от схода с рельса, не менее | 1,50 |
Коэффициент запаса устойчивости от опрокидывания, не менее: | |
- внутрь кривой | 1,2 |
- наружу кривой | 1,3/1,4 <1> |
<1> Вагоны с водилом. |
7.4 Пример метода расчета коэффициента запаса устойчивости от схода колеса с рельса при выжимании приведен в
приложении А.
| | ИС МЕГАНОРМ: примечание. В официальном тексте документа, видимо, допущены опечатки: имеются в виду перечисления б), в) и д) п. 5.15.1, перечисления б), в) и д) п. 5.15.2 и п. 5.15.3, а не перечисления п.п. 5.16.1, 5.16.2 и п. 5.16.3 соответственно. | |
7.5 Устойчивость вагона от опрокидывания оценивают по коэффициенту запаса устойчивости от опрокидывания, определяемому по ГОСТ 33211-2014
(формула (7.3)), где динамическую вертикальную силу
Pдин, действующую от колеса на рельс, определяют с учетом действия сил по
5.16.1 [перечисления б),
в) и
д)] или
5.16.2 [перечисления б),
в) и
д)] и перемещений центров тяжести кузова вагона и тележек по
5.16.3.
8 Требования к автоматическому сцеплению вагонов и проходу сцепленными вагонами кривых участков пути
8.1 Требования к проходу сцепленными вагонами кривых участков пути принимают согласно ГОСТ 33211-2014
(раздел 8).
8.2 Автоматическая сцепляемость проверке не подлежит, так как сцепление вагонов проводят под контролем сцепщика.
8.3 В случае, если техническим заданием не предусмотрен проход вагона по аппарельному съезду, указанный расчет допускается не проводить.
8.4 Для обеспечения свободного перемещения деталей тележки относительно кузова при проходе одиночного вагона по круговой кривой малого радиуса необходимо, чтобы при угле

поворота тележки вокруг ее центра имели место зазоры между деталями тележки и кузова, достаточные для компенсации других возможных относительных смещений (за счет забегания боковин тележек с нежесткой рамой, смещений кузова в центральном подвешивании и в зазорах пятника). Величину угла

, рад, в этом случае определяют по формуле

, (34)
где l - половина базы одноярусного вагона, половина базы концевой балки двух- и трехъярусного вагона, м;
R - радиус кривой согласно ГОСТ 22235-2010
(пункт 6.1), м;
lт - половина базы тележки, м;
e - максимальное односторонне смещение рамы тележек поперек пути в сечении, проходящем через ось колесной пары; принимают равным 0,03 м.
9 Требования к воздействию вагона на железнодорожный путь
Вагон должен обеспечить показатели воздействия на железнодорожный путь, установленные
ГОСТ 34759.
(справочное)
РАСЧЕТ УСТОЙЧИВОСТИ ПОРОЖНИХ ВАГОНОВ ОТ ВЫЖИМАНИЯ
ПРОДОЛЬНЫМИ СИЛАМИ
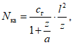
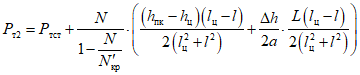
А.1 Устойчивость вагонов с числом осей n <= 6, у которых автосцепные устройства установлены непосредственно на грузонесущих балках, определяют по формуле

, (А.1)
где

- угол, образованный прямолинейной частью контура профиля гребня колеса и плоскостью пути, градус;

- коэффициент трения гребня о выкружку головки рельса;
Pт - вертикальная нагрузка от тележки на путь с учетом обезгруживания под действием продольной силы, Н; определяют по формуле

, (А.2)
где Pст - вес порожнего вагона, Н;
N - продольная сжимающая сила, на автосцепку; принимают по
таблице 3, Н;

- разность уровней осей автосцепок в соединении двух вагонов; принимают

;
a - длина корпуса автосцепки (от оси сцепления до конца хвостовика), м;
z - расстояние между упорными плитами автосцепок, м;
2l - база вагона, м;
cв - вертикальная жесткость рессорного подвешивания одной тележки, Н/м;

- коэффициент перехода; определяют по формуле

(А.3)
где Nка - продольная критическая сила, приводящая к относительному перекосу вагонов и осей сцепок в плане, Н; определяют по формуле

(А.4)
где cг - горизонтальная (поперечная) жесткость рессорного подвешивания одной тележки, Н/м;

- полный поперечный разбег рамы вагона относительно оси пути в сечении по пятнику; при ориентировочных расчетах со среднеизношенными гребнями колес допускается принимать

при буксах с подшипниками качения;
hп, hц - соответственно высоты рабочей плоскости пятника и оси автосцепки над уровнем головок рельсов, м;

- коэффициент перехода; определяют по формуле

, (А.5)
где Nкв - продольная критическая сила, приводящая к относительному перекосу вагонов и осей сцепок в плане, Н; определяют по формуле
Nкв = a·cг, (А.6)
zс - длина вагона по осям сцепления автосцепок, м;
R - радиус кривой; при расчете принимают R = 250 м;
2S - расстояние между кругами катания колес, м.
В
формуле (А.1) верхние математические знаки соответствуют первой тележке, нижние - второй.
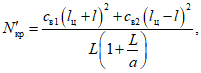
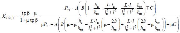
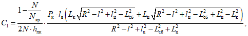
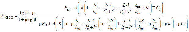
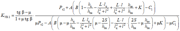
А.2 Устойчивость двухъярусных вагонов, у которых сжимающие силы передаются на грузонесущие балки через подпятник или водило, определяют по формулам:
- для первой по ходу тележки при установках I и II:

(А.7)
Примечание - Знак "+" для KУВ 1 I, знак "-" для KУВ 1 II.
- для второй по ходу тележки:

(А.8)
где Pт1, Pт2 - вертикальные нагрузки, Н, от соответственно первой и второй тележек на путь с учетом перераспределения вертикальных нагрузок под действием продольных сил; вычисляют по формулам:

, (А.9)

, (А.10)
где Pтст - статическая нагрузка от каждой из тележек, объединенных концевой балкой, на путь, Н;
N - продольная сжимающая сила на автосцепку, Н; принимают по
таблице 3. В случаях, когда устойчивость вагонов при этой силе недостаточна, необходимо в технических условиях на вагон указать предельно допускаемую массу поезда, в который вагон может быть поставлен;

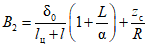
- вертикальная критическая сила, приводящая к относительному перекосу элементов транспортера и осей сцепок в плане, Н; определяют по формуле

(А.11)
где cв1, cв2 - вертикальные жесткости рессорного подвешивания первой и второй тележек, объединенных концевой балкой, Н/м;
lц - расстояние от центра поворота грузонесущей балки до полубазы концевой балки, м;
l - база концевой балки, м;
L - расстояние от хвостовика автосцепки до центра поворота грузонесущей балки, м;
hпк, hпт, hц - соответственно высоты рабочей плоскости пятника или водила, пятников концевой балки и оси автосцепки над уровнем головок рельсов, м;

- разность уровней осей автосцепок в соединении транспортера с вагонами; принимают

;

(А.12)

. (А.13)
Примечание - Знак "+" для KУВ 1 I, знак "-" для KУВ 1 II.

(А.14)

(А.15)

(А.16)
E = cг1(lц + l)2 + cг2(lц - l)2, (А.17)

, (А.18)
где Nкр - продольная критическая сила, приводящая к относительному перекосу элементов транспортера и осей сцепок в плане, Н; определяют по формуле

(А.19)
cг1, cг2 - горизонтальные (поперечные) жесткости рессорного подвешивания первой и второй тележек, объединенных концевой балкой, Н/м;
S - расстояние между кругами катания колес, м;

- полный поперечный разбег концевой балки вагона относительно оси пути в сечении по пятнику; при ориентировочных расчетах для вагонов со среднеизношенными гребнями величину

допускается принимать 0,05 м при буксах с подшипниками качения;
R - радиус кривой; при расчете принимают R = 250 м;
Pг.б. - вес грузонесущей балки, Н;
lв - длина водила, м;
Lгл - база вагона, м.
Верхние математические знаки соответствуют первой установке, нижние - второй.

, (А.20)

, (А.21)
где

, (А.22)

, (А.23)

(А.24)

(А.25)
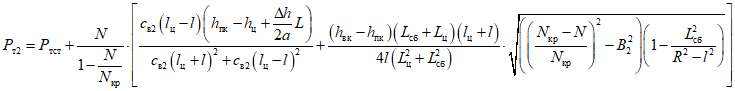
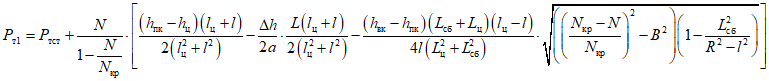
А.4 Устойчивость трехъярусных вагонов определяют по формулам:

(А.26)

(А.27)
где

, (А.28)

, (А.29)
где

, (А.30)

(А.31)

(А.32)

, (А.33)
где Lц - расстояние от центра поворота консоли до полубазы соединительной балки;
Lсб - база соединительной балки, м;
lв - длина водила, м;
Pк - вес консоли, Н;
Lк - база вагона, м;
hвк - высота рабочей плоскости подпятника или водила соединительной балки, м.

, (А.34)

, (А.35)
где

, (А.36)

. (А.37)
УДК 656.4.027.11.354:006.354 | |
Ключевые слова: вагон, вагон-транспортер, несущая конструкция, кузов, тележка, грузовые вагоны, прочность, сопротивление усталости, динамические качества |