Главная // Актуальные документы // ГОСТ (Государственный стандарт)СПРАВКА
Источник публикации
В данном виде документ опубликован не был.
Первоначальный текст документа опубликован в издании
М.: Стандартинформ, 2017.
Информацию о публикации документов, создающих данную редакцию, см. в справке к этим документам.
Примечание к документу
Название документа
"ГОСТ 34108-2017. Межгосударственный стандарт. Корма, комбикорма, комбикормовое сырье. Определение содержания микотоксинов прямым твердофазным конкурентным иммуноферментным методом"
(введен в действие Приказом Росстандарта от 15.09.2017 N 1137-ст)
(ред. от 01.09.2021)
"ГОСТ 34108-2017. Межгосударственный стандарт. Корма, комбикорма, комбикормовое сырье. Определение содержания микотоксинов прямым твердофазным конкурентным иммуноферментным методом"
(введен в действие Приказом Росстандарта от 15.09.2017 N 1137-ст)
(ред. от 01.09.2021)
по техническому регулированию
и метрологии
от 15 сентября 2017 г. N 1137-ст
МЕЖГОСУДАРСТВЕННЫЙ СТАНДАРТ
КОРМА, КОМБИКОРМА, КОМБИКОРМОВОЕ СЫРЬЕ
ОПРЕДЕЛЕНИЕ СОДЕРЖАНИЯ МИКОТОКСИНОВ ПРЯМЫМ ТВЕРДОФАЗНЫМ
КОНКУРЕНТНЫМ ИММУНОФЕРМЕНТНЫМ МЕТОДОМ
Feeds, mixed feeds and raw material. Determination
of mycotoxins content by direct solid-phase competitive
immunoenzymatic method
ГОСТ 34108-2017
| | Список изменяющих документов Росстандарта от 01.09.2021 N 908-ст) | |
Дата введения
1 января 2019 года
Цели, основные принципы и основной порядок проведения работ по межгосударственной стандартизации установлены в
ГОСТ 1.0-2015 "Межгосударственная система стандартизации. Основные положения" и
ГОСТ 1.2-2015 "Межгосударственная система стандартизации. Стандарты межгосударственные, правила и рекомендации по международной стандартизации. Правила разработки, принятия, обновления и отмены"
1 РАЗРАБОТАН Акционерным обществом "Всероссийский научно-исследовательский институт комбикормовой промышленности" (АО "ВНИИКП"), Обществом с ограниченной ответственностью "ЗИП-И" (ООО "ЗИП-И")
2 ВНЕСЕН Межгосударственным техническим комитетом по стандартизации МТК 4 "Комбикорма, белково-витаминные добавки, премиксы"
3 ПРИНЯТ Межгосударственным советом по стандартизации, метрологии и сертификации (протокол от 1 июня 2017 г. N 51)
За принятие проголосовали:
Краткое наименование страны по МК (ИСО 3166) 004-97 | Код страны по МК (ИСО 3166) 004-97 | Сокращенное наименование национального органа по стандартизации |
Армения | AM | Минэкономики Республики Армения |
Беларусь | BY | Госстандарт Республики Беларусь |
Казахстан | KZ | Госстандарт Республики Казахстан |
Киргизия | KG | Кыргызстандарт |
Россия | RU | Росстандарт |
Таджикистан | TJ | Таджикстандарт |
4
Приказом Федерального агентства по техническому регулированию и метрологии от 15 сентября 2017 г. N 1137-ст межгосударственный стандарт ГОСТ 34108-2017 введен в действие в качестве национального стандарта Российской Федерации с 1 января 2019 г.
5 ВВЕДЕН ВПЕРВЫЕ
Информация об изменениях к настоящему стандарту публикуется в ежегодном информационном указателе "Национальные стандарты", а текст изменений и поправок - в ежемесячном информационном указателе "Национальные стандарты". В случае пересмотра (замены) или отмены настоящего стандарта соответствующее уведомление будет опубликовано в ежемесячном информационном указателе "Национальные стандарты". Соответствующая информация, уведомление и тексты размещаются также в информационной системе общего пользования - на официальном сайте Федерального агентства по техническому регулированию и метрологии в сети Интернет (www.gost.ru)
Настоящий стандарт устанавливает прямой твердофазный конкурентный иммуноферментный метод (далее ИФА) определения содержания микотоксинов: суммы афлатоксинов B1, B2, G1, G2 (по афлатоксину B1), афлатоксина B1, дезоксиниваленола (далее ДОН), зеараленона, охратоксина A, T-2 токсина, суммы фумонизинов (по фумонизину B1) в кормах, комбикормах и комбикормовом сырье.
Данный метод не распространяется на продукцию минерального происхождения и органического синтеза.
В настоящем стандарте использованы нормативные ссылки на следующие межгосударственные стандарты.
ГОСТ 12.1.004-91 Система стандартов безопасности труда. Пожарная безопасность. Общие требования
ГОСТ 12.1.005-88 Система стандартов безопасности труда. Общие санитарно-гигиенические требования к воздуху рабочей зоны
ГОСТ 12.1.007-76 Система стандартов безопасности труда. Вредные вещества. Классификация и общие требования безопасности
ГОСТ 12.1.019-79 <*> Система стандартов безопасности труда. Электробезопасность. Общие требования и номенклатура видов защиты
--------------------------------
<*> В Российской Федерации действует
ГОСТ Р 12.1.019-2009 "Система стандартов безопасности труда. Электробезопасность. Общие требования и номенклатура видов защиты".
ГОСТ 12.2.007.0-75 Система стандартов безопасности труда. Изделия электротехнические. Общие требования безопасности
ГОСТ 12.4.009-83 Система стандартов безопасности труда. Пожарная техника для защиты объектов. Основные виды. Размещение и обслуживание
ГОСТ 12.4.021-75 Система стандартов безопасности труда. Системы вентиляционные. Общие требования
ГОСТ OIML R 76-1-2011 Государственная система обеспечения единства измерений. Весы неавтоматического действия. Часть 1. Метрологические и технические требования. Испытания
ГОСТ 1770-74 (ИСО 1042-83, ИСО 4788-80) Посуда мерная лабораторная стеклянная. Цилиндры, мензурки, колбы, пробирки. Общие технические условия
ГОСТ ИСО 5725-1-2003 <**> Точность (правильность и прецизионность) методов и результатов измерений. Часть 1. Основные положения и определения.
(в ред.
Изменения N 1, введенного в действие Приказом Росстандарта от 01.09.2021 N 908-ст)
--------------------------------
<**> В Российской Федерации действует
ГОСТ Р ИСО 5725-1-2002 "Точность (правильность и прецизионность) методов и результатов измерений. Часть 1. Основные положения и определения".
ГОСТ ИСО 5725-6-2003 <***> Точность (правильность и прецизионность) методов и результатов измерений. Часть 6. Использование значений точности на практике
(в ред.
Изменения N 1, введенного в действие Приказом Росстандарта от 01.09.2021 N 908-ст)
--------------------------------
<***> В Российской Федерации действует
ГОСТ Р ИСО 5725-6-2002 "Точность (правильность и прецизионность) методов и результатов измерений. Часть 6. Использование значений точности на практике".
(в ред.
Изменения N 1, введенного в действие Приказом Росстандарта от 01.09.2021 N 908-ст)
--------------------------------
(сноска введена
Изменением N 1, введенным в действие Приказом Росстандарта от 01.09.2021 N 908-ст)
(в ред.
Изменения N 1, введенного в действие Приказом Росстандарта от 01.09.2021 N 908-ст)
ГОСТ 12026-76 Бумага фильтровальная лабораторная. Технические условия
ГОСТ 13979.0-86 Жмыхи, шроты и горчичный порошок. Правила приемки и методы отбора проб
ГОСТ 16317-87 Приборы холодильные электрические бытовые. Общие технические условия
ГОСТ 25336-82 Посуда и оборудование лабораторные стеклянные. Типы, основные параметры и размеры
ГОСТ 21669-76 <***> Комбикорма. Термины и определения
--------------------------------
<***> В Российской Федерации действует
ГОСТ Р 51848-2001 "Продукция комбикормовая. Термины и определения".
ГОСТ 28311-89 Дозаторы медицинские лабораторные. Общие технические требования и методы испытаний
ГОСТ 29169-91 (ИСО 648-77) Посуда лабораторная стеклянная. Пипетки с одной отметкой.
(в ред.
Изменения N 1, введенного в действие Приказом Росстандарта от 01.09.2021 N 908-ст)
ГОСТ 29227-91 (ИСО 835-1-81) Посуда лабораторная стеклянная. Пипетки градуированные. Часть 1. Общие требования
Примечание - При пользовании настоящим стандартом целесообразно проверить действие ссылочных стандартов в информационной системе общего пользования - на официальном сайте Федерального агентства по техническому регулированию и метрологии в сети Интернет или по ежегодному информационному указателю "Национальные стандарты", который опубликован по состоянию на 1 января текущего года, и по выпускам ежемесячного информационного указателя "Национальные стандарты" за текущий год. Если ссылочный стандарт заменен (изменен), то при пользовании настоящим стандартом следует руководствоваться заменяющим (измененным) стандартом. Если ссылочный стандарт отменен без замены, то положение, в котором дана ссылка на него, применяется в части, не затрагивающей эту ссылку.
3.1 В настоящем стандарте применены термины и определения по ГОСТ 21669,
ГОСТ ISO 6498, а также следующие термины с соответствующими определениями:
3.1.1 тест-система: Набор (комплект) специально подобранных реактивов и составных частей, предназначенных для определения одного или нескольких конкретных веществ.
3.1.2 основной раствор: Раствор реактива, приготовляемый заблаговременно и необходимый для приготовления других растворов.
(раздел 4 в ред.
Изменения N 1, введенного в действие Приказом Росстандарта от 01.09.2021 N 908-ст)
Сущность метода заключается в извлечении микотоксинов из проб экстрагентом, проведении в ячейках планшета реакции, в результате которой образуются окрашенные комплексы, добавлении останавливающего реактива, измерении значений оптической плотности и вычислении результатов.
Для определения микотоксинов используют один из двух вариантов тест-систем.
Метод с использованием тест-системы N 1 с двумя планшетами предусматривает смешивание конъюгата и экстрактов проб или градуировочных растворов в первом планшете и проведение реакции во втором планшете с нанесенными (иммобилизованными) на поверхность ячеек планшета специфичными антителами (далее - АТ), после инкубации и отмывки носителя от несвязавшихся компонентов вносят субстрат, в результате реакции с которым образуются окрашенные комплексы.
Метод с использованием тест-системы N 2 с одним планшетом предусматривает дозирование экстрактов проб или градуировочных растворов, конъюгата и специфичных АТ в лунки планшета с иммобилизованными неспецифичными АТ. После инкубации и отмывки носителя от несвязавшихся компонентов вносят субстрат, в результате реакции с которым образуются окрашенные комплексы.
5 Требования безопасности
5.1 При выполнении испытаний необходимо соблюдать требования безопасности при работе с химическими реактивами по
ГОСТ 12.1.007, требования электробезопасности при работе с электроприборами по
ГОСТ 12.1.019 и
ГОСТ 12.2.007.0, требования, изложенные в технической документации на используемые приборы.
5.2 Работа с химическими реактивами должна проводиться в вытяжном шкафу.
5.4 Содержание вредных веществ в воздухе не должно превышать допустимых значений по
ГОСТ 12.1.005.
5.5 При работе с метанолом необходимо применять средства индивидуальной защиты (перчатки и очки) от попадания препарата на кожные покровы и слизистые оболочки, а также соблюдать правила личной гигиены. При попадании метанола на кожу или слизистые оболочки необходимо немедленно их промыть большим количеством воды.
Работы с метанолом проводят в вытяжном шкафу при непрерывно действующей приточно-вытяжной вентиляции. Все работы с метанолом следует проводить вдали от огня.
5.6 Останавливающий раствор тест-системы содержит серную кислоту, при работе с ним необходимо использовать средства индивидуальной защиты (перчатки и очки) (см.
12.2). При попадании на кожу или слизистые оболочки останавливающего раствора необходимо немедленно их промыть большим количеством воды.
6 Условия проведения испытаний
При подготовке и проведении испытаний должны быть соблюдены следующие условия:
- температура окружающей среды ......................... | от 18 °C до 25 °C; |
- относительная влажность воздуха ....................... | не более 80% при 25 °C; |
- напряжение в сети ................................................ | (220 +/- 10) В. |
7 Требования к квалификации оператора
К проведению работ по данной методике допускаются лица, имеющие высшее специальное или среднее специальное образование, прошедшие обучение приемам работы на оборудовании, освоившие выполнение всех операций, предусмотренных методикой, владеющие техникой выполнения ИФА и уложившиеся в нормативы оперативного контроля при выполнении испытаний.
Анализируемую пробу измельчают таким образом, чтобы 75% размола проходило через сито с размером стороны ячейки 0,85 мм, после чего тщательно перемешивают.
10 Средства измерений, вспомогательные устройства, материалы и реактивы
10.1 Применяемые при определении массовой доли микотоксинов средства измерений, программное обеспечение, вспомогательные устройства должны иметь свидетельства о поверке, свидетельства об аттестации, сертификаты градуировки, оформленные в соответствии с требованиями нормативных правовых актов в области обеспечения единства измерений, действующих на территории государства, принявшего стандарт.
10.2 Фотометры лабораторные медицинские или фотометры для микропланшетов автоматические, позволяющие проводить измерение оптической плотности растворов, находящихся в луночных планшетах, лунках стрипа или стандартных круглых кюветах 12 мм, в диапазоне длин волн 400 - 650 нм.
10.3 Тест-система для прямого твердофазного конкурентного ИФА
(в ред.
Изменения N 1, введенного в действие Приказом Росстандарта от 01.09.2021 N 908-ст)
Тест-система N 1 включает:
(абзац введен
Изменением N 1, введенным в действие Приказом Росстандарта от 01.09.2021 N 908-ст)
- планшет разборный микролуночный полистироловый без АТ для смешивания реагентов (12 или 6 стрипов голубого или зеленого цвета по 8 лунок);
- планшет разборный с микролунками с иммобилизованными АТ (12 или 6 бесцветных стрипов по 8 лунок), упакованный в фольгированный пакет с замком;
- флакон с раствором конъюгата;
- флакон с останавливающим раствором;
- флакон с раствором субстрата;
- флакон с буферным раствором;
- флакон с промывочным раствором;
- градуировочные растворы, содержащие микотоксины разной концентрации для градуировки тест-системы.
Примечание - Допускается вместо градуировочных растворов, входящих в состав тест-системы, использовать градуировочные растворы микотоксинов, приготовленные в соответствии с
А.2 -
А.7 (см. приложение А) из стандартных образцов и образца сравнения:
(в ред.
Изменения N 1, введенного в действие Приказом Росстандарта от 01.09.2021 N 908-ст)
- состава раствора афлатоксина B1 (бензол-ацетонитрил) массовой концентрации 10 мкг/см3;
- состава раствора ДОН (ацетонитрил) массовой концентрации 20 мкг/см3;
- состава раствора зеараленона (бензол) массовой концентрации 20 мкг/см3;
- состава раствора охратоксина (бензол-уксусная кислота) массовой концентрации 50 мкг/см3;
- состава раствора T-2 токсина (бензол) массовой концентрации 100 мкг/см3;
- фумонизин B1 с содержанием основного вещества не менее 98%.
Тест-система N 2 включает:
- планшет разборный с микролунками с иммобилизованными неспецифичными АТ;
- флакон с раствором конъюгата;
- флакон с раствором специфичных АТ;
- флакон с останавливающим раствором;
- флакон с раствором субстрата;
- флакон с разбавителем проб;
- флакон с промывочным раствором;
- градуировочные растворы, содержащие микотоксины разной концентрации для градуировки тест-системы N 2.
(абзац введен
Изменением N 1, введенным в действие Приказом Росстандарта от 01.09.2021 N 908-ст)
Примечание - Допускается вместо градуировочных растворов, входящих в состав тест-системы, использовать градуировочные растворы микотоксинов, приготовленные в соответствии с
А.9 -
А.14 (см. приложение А) из стандартных образцов:
- раствор афлатоксина B1 массовой концентрации 3 мкг/см3;
- раствор дезоксиниваленола массовой концентрации 200 мкг/см3;
- раствор зеараленона массовой концентрации 100 мкг/см3;
- раствор охратоксина A массовой концентрации 50 мкг/см3;
- раствор T-2 токсина массовой концентрации 100 мкг/см3;
- раствор фумонизина массовой концентрации 500 мкг/см3.
(примечание введено
Изменением N 1, введенным в действие Приказом Росстандарта от 01.09.2021 N 908-ст)
Срок и условия хранения всех реактивов, входящих в комплект тест-системы, устанавливает ее изготовитель. Не допускается замораживание реагентов.
Неиспользованные стрипы (лунки) хранят упакованными в плотно закрытом оригинальном фольгированном пакете вместе с имеющимся в нем осушителем в холодильнике при температуре от 2 °C до 8 °C.
Примечание - Допускается использование тест-систем различных производителей, позволяющих обеспечить необходимую точность результатов определений согласно
разделу 15. Применять рекомендованные ими способы подготовки проб и постановки иммуноферментного анализа следует в соответствии с инструкцией изготовителя.
(примечание введено
Изменением N 1, введенным в действие Приказом Росстандарта от 01.09.2021 N 908-ст)
10.4 Мельница лабораторная со скоростью вращения не менее 3000 об/мин, измельчающая продукт до размера частиц не более 0,85 мм.
10.5 Весы неавтоматического действия по
ГОСТ OIML R 76-1 с пределами допускаемой абсолютной погрешности +/- 0,001 г и весы с пределами допускаемой абсолютной погрешности не более +/- 0,02 мг.
10.6 Шкаф сушильный электрический вентилируемый, обеспечивающий поддержание температуры (130 +/- 5) °C.
10.7 Холодильник бытовой по
ГОСТ 16317, позволяющий поддерживать температуру от 2 °C до 8 °C в холодильной камере.
10.8 Компьютер с программным обеспечением для обработки результатов или калькулятор, или другое вычислительное устройство с логарифмической функцией.
10.9 Дозаторы пипеточные одноканальные переменного объема 10 - 100 мм
3, 100 - 1000 мм
3, 1 - 5 см
3 и восьмиканальные переменного объема 30 - 300 мм
3 или шаговая пипетка (далее - степпер) с шагом дозирования 50, 100 мм
3 с метрологическими характеристиками по
ГОСТ 28311 в комплекте с одноразовыми наконечниками.
(в ред.
Изменения N 1, введенного в действие Приказом Росстандарта от 01.09.2021 N 908-ст)
10.10 Устройство для смешивания, отвечающее следующим требованиям: траектория встряхивания - орбитальная; диаметр орбиты - не менее 4,0 мм; диапазон частоты вращения 800 об/мин.
10.11 pH-метр или иономер с диапазоном измерений активности водородных ионов от 0 до 14 ед. pH и пределом допускаемой абсолютной погрешности измерения не более 0,05 ед. pH.
10.12 Секундомер с пределом допускаемой основной абсолютной погрешности измерения в режиме секундомера не менее

с дискретностью времени не менее 0,01 и с диапазоном измерений интервалов времени от 0 до 9 ч 59 мин 59,99 с.
10.13 Колбы мерные 2-25(50, 100, 500, 1000)-2 по
ГОСТ 1770.
10.14 Пипетки 1(2)-1(1а, 2, 2а)-2-1(2, 5, 10, 25) по
ГОСТ 29227 или пипетки 1-2-1, 1-2-5, 1-2-10 по
ГОСТ 29169.
10.15 Цилиндры мерные 1(2)-25(50, 100, 250, 1000) по
ГОСТ 1770.
10.16 Колбы конические Кн-2-100(250, 500, 1000)-29/32(34/35) ТХС по
ГОСТ 25336.
10.19 Бумага фильтровальная лабораторная марки ФС по
ГОСТ 12026 или фильтры бумажные "красная лента".
10.21 Стандартные образцы кормов, комбикормов или комбикормового сырья с аттестованным содержанием микотоксинов для контроля правильности результатов.
10.22 Пластиковые емкости для хранения растворов.
10.23 Виалы вместимостью 5 - 10 см3 или пробирки типа Эппендорф для разбавления экстрактов.
(п. 10.23 в ред.
Изменения N 1, введенного в действие Приказом Росстандарта от 01.09.2021 N 908-ст)
10.25 Сито с размером ячеек не более 0,85 мм.
Примечания
1 Рекомендуется для увеличения производительности и повышения точности измерений использование следующего оборудования:
- инкубатор для планшетов, обеспечивающий поддержание температуры от 20 °C до 25 °C с точностью не более +/- 1 °C;
- устройство отмывки планшетов автоматическое с диапазоном объемов моющего раствора, заливаемого в каждую лунку от 100 до 350 мм3.
2 Допускается использование других средств измерений с метрологическими характеристиками не хуже указанных.
3 Допускается использование реактивов аналогичной или более высокой квалификации по качеству.
11 Подготовка к выполнению испытания
11.1 Подготовка лабораторной посуды
Лабораторную стеклянную посуду моют специальными моющими средствами, например раствором гипохлорита, многократно промывают водопроводной водой, ополаскивают дистиллированной водой и высушивают в сушильном шкафу.
Запрещается:
- многократное использование одноразовой лабораторной посуды;
- использование бытовых моющих средств для мойки лабораторной посуды.
11.2 Подготовка прибора к работе
Подготовку спектрофотометра проводят в соответствии с инструкцией по эксплуатации и техническим описанием.
11.3 Общие требования по работе с тест-системами
Перед использованием все составляющие тест-системы выдерживают при температуре от 18 °C до 25 °C не менее 30 мин.
Не допускается попадание прямых солнечных лучей на планшет и растворы, входящие в комплект тест-системы.
Рекомендуется помещать под планшет теплоизоляционный материал, например сложенное в несколько слоев бумажное полотенце, с целью устранения воздействия холодной поверхности стола.
Следует избегать воздействия на планшет сильных естественных или искусственных потоков воздуха, вызванных, например, принудительной вентиляцией.
Во время проведения испытаний при работе с субстратом следует избегать воздействия на него прямых солнечных лучей, т.к. он разлагается на свету.
Перед использованием жидкие реактивы перемешивают путем осторожного вращения или переворачивания флаконов. Не допускается переливать обратно в оригинальные флаконы остатки реагентов, используемых при проведении измерений.
Не допускается использование реактивов после истечения срока хранения. При выполнении измерений необходимо придерживаться определенного (указанного в методике) времени инкубации. Изменение времени инкубации может привести к неправильным результатам.
Рекомендуется использовать восьмиканальный пипеточный дозатор или степпер. В этом случае допускается проведение анализа не более 48 экстрактов и градуировочных растворов в сумме (6 стрипов микролунок). При использовании одноканального дозатора допускается анализировать не более 16 экстрактов и градуировочных растворов в сумме (2 стрипа микролунок) в одной постановке.
(в ред.
Изменения N 1, введенного в действие Приказом Росстандарта от 01.09.2021 N 908-ст)
Для каждого раствора предназначена отдельная лунка. Размечают координаты в планшете для внесения растворов и разбавленных экстрактов.
Схема расположения лунок в планшете приведена в приложении Б.
11.4 Приготовление растворов
11.4.1 Приготовление водного раствора метанола объемной долей 70% (раствора А)
В мерную колбу вместимостью 100 см3 помещают 70 см3 метанола, доводят объем раствора в колбе до метки дистиллированной водой и перемешивают.
Срок хранения раствора в плотно закрытой емкости при комнатной температуре - не более 3 мес.
11.4.2 Приготовление промывочного раствора
(в ред.
Изменения N 1, введенного в действие Приказом Росстандарта от 01.09.2021 N 908-ст)
Приготовление промывочного раствора для определения содержания ДОН для тест-системы N 1
(абзац введен
Изменением N 1, введенным в действие Приказом Росстандарта от 01.09.2021 N 908-ст)
В мерную колбу вместимостью 500 см3 помещают около 200 см3 дистиллированной воды и количественно переносят весь объем концентрированного промывочного раствора из комплекта реактивов к тест-системе. Объем раствора в колбе доводят до метки дистиллированной водой и перемешивают. Приготовленный промывочный раствор переносят в пластиковую емкость.
Раствор хранят при температуре от 2 °C до 8 °C в течение всего времени использования тест-системы.
Приготовление промывочного раствора для определения содержания микотоксинов для тест-системы N 2
(абзац введен
Изменением N 1, введенным в действие Приказом Росстандарта от 01.09.2021 N 908-ст)
В мерную колбу вместимостью 1000 см3 помещают 100 см3 концентрированного промывочного раствора из комплекта реактивов к тест-системе. Объем раствора в колбе доводят до метки дистиллированной водой и перемешивают.
(абзац введен
Изменением N 1, введенным в действие Приказом Росстандарта от 01.09.2021 N 908-ст)
Раствор хранят при комнатной температуре не более одной недели или при температуре от 2 °C до 8 °C не более 1 мес.
(абзац введен
Изменением N 1, введенным в действие Приказом Росстандарта от 01.09.2021 N 908-ст)
11.4.3 Приготовление градуировочных растворов микотоксинов
Для построения градуировочной характеристики каждого микотоксина используют входящие в соответствующий набор тест-системы градуировочные растворы различной концентрации: один раствор, не содержащий микотоксин (далее - нулевая точка), и четыре градуировочных раствора различной концентрации микотоксина для тест-системы N 1 или пять градуировочных растворов для тест-системы N 2. Содержание микотоксинов в градуировочных растворах тест-системы N 1 приведено в
таблице А.1, тест-системы N 2 - в
таблице А.2 (см. приложение А).
(в ред.
Изменения N 1, введенного в действие Приказом Росстандарта от 01.09.2021 N 908-ст)
Значения содержания микотоксинов, приписанные градуировочным растворам тест-системы, учитывают коэффициенты, включающие отношение навески к объему экстрагента, разбавления фильтрата и выражены в миллиграммах в килограмме.
Допускается готовить градуировочные растворы из стандартных образцов микотоксинов для тест-системы N 1 в соответствии с
А.2 -
А.7, для тест-системы N 2 - в соответствии с
А.9 -
А.14 (см. приложение А).
(в ред.
Изменения N 1, введенного в действие Приказом Росстандарта от 01.09.2021 N 908-ст)
Срок хранения градуировочных растворов микотоксинов при температуре от 2 °C до 8 °C - не более 1 мес.
12.1 Приготовление экстрактов микотоксинов
Экстрагирование
(абзац введен
Изменением N 1, введенным в действие Приказом Росстандарта от 01.09.2021 N 908-ст)
Взвешивают анализируемую пробу массой около 20 г, с записью результата до второго десятичного знака, помещают в коническую колбу вместимостью 250 см
3, добавляют 100 см
3 экстрагента (см.
таблицу 1). При использовании тест-системы N 2 для определения охратоксина A к пробе добавляют 50 см
3 экстрагента. Закрывают колбу пробкой и перемешивают в течение 30 мин на устройстве для смешивания. Полученный раствор фильтруют через бумажный складчатый фильтр.
(в ред.
Изменения N 1, введенного в действие Приказом Росстандарта от 01.09.2021 N 908-ст)
Примечания:
1 При экстракции необходимо соблюдать соотношение массы анализируемой пробы к объему растворителя.
(в ред.
Изменения N 1, введенного в действие Приказом Росстандарта от 01.09.2021 N 908-ст)
2 Допускается использование ультразвуковой обработки (мощность генератора 35 Вт, рабочая частота 22 кГц) в ультразвуковой бане в течение 30 мин или проведение экстракции в блендере в течение 3 мин с высокой скоростью.
3 Экстракт должен иметь значение pH в интервале 6 - 8 единиц pH. Излишняя щелочность или кислотность экстракта может повлиять на результаты анализа, поэтому ее необходимо корректировать. Увеличить значение pH раствора можно добавлением в него 1 М раствора гидроокиси калия (KOH), уменьшить значение pH можно добавлением 1 М растворов азотной кислоты (HNO3), серной кислоты (H2SO4) или ортофосфорной кислоты (H3PO4).
4 Допускается вместо фильтрации через бумажный фильтр проводить центрифугирование при 3000 g в течение 5 мин.
(примечание 4 введено
Изменением N 1, введенным в действие Приказом Росстандарта от 01.09.2021 N 908-ст)
Приказом Росстандарта от 01.09.2021 N 908-ст)
Наименование микотоксина | Экстрагент | Коэффициент разбавления f1 для тест-системы |
N 1 | N 2 |
Афлатоксин B1 | | 2 | 2 |
Сумма афлатоксинов | | 1 | 2 |
ДОН | Дистиллированная вода | 4 | 5 |
Зеараленон | | 5 | 2 |
Охратоксин A | | 1 | - |
Дистиллированная вода | - | 2 |
T-2 токсин | | 1 | 7 |
Сумма фумонизинов | | 20 | 15 |
Разбавление экстрактов для тест-системы N 1
(абзац введен
Изменением N 1, введенным в действие Приказом Росстандарта от 01.09.2021 N 908-ст)
Фильтрат для определения содержания суммы афлатоксинов, охратоксина A, T-2 токсина используют для дальнейшего проведения испытания по
12.2.
Фильтрат для определения содержания афлатоксина B
1 разбавляют буферным раствором в соответствии с
таблицей 1 и далее используют для дальнейшего проведения испытания по
12.2. Разбавление экстракта для определения содержания афлатоксина B
1 проводят следующим образом: в виалу дозатором помещают 1 см
3 буферного раствора, вносят 1 см
3 фильтрата, перемешивают.
Фильтрат для определения содержания ДОН, зеараленона, суммы фумонизинов разбавляют экстрагентом в соответствии с
таблицей 1 и далее используют для дальнейшего проведения испытания по
12.2.
Разбавление экстракта для определения содержания ДОН проводят следующим образом: в виалу дозатором помещают 3 см3 дистиллированной воды, вносят 1 см3 фильтрата, перемешивают.
Разбавление экстракта для определения содержания зеараленона проводят следующим образом: в виалу дозатором помещают 4 см3 раствора А, вносят 1 см3 фильтрата, перемешивают.
Разбавление экстракта для определения содержания суммы фумонизинов проводят следующим образом: в виалу дозатором помещают 1,9 см3 дистиллированной воды, вносят 0,1 см3 фильтрата, перемешивают.
Далее проводят градуировку и анализ экстрактов проб по
12.2.
(абзац введен
Изменением N 1, введенным в действие Приказом Росстандарта от 01.09.2021 N 908-ст)
Разбавление экстрактов для тест-системы N 2
(абзац введен
Изменением N 1, введенным в действие Приказом Росстандарта от 01.09.2021 N 908-ст)
Фильтраты для определения содержания разбавляют в соответствии с
таблицей 1 и далее используют для дальнейшего проведения испытания по
12.2.
(абзац введен
Изменением N 1, введенным в действие Приказом Росстандарта от 01.09.2021 N 908-ст)
Разбавление экстракта для определения содержания афлатоксина B1, суммы афлатоксинов, охратоксина A, зеараленона разбавителем проб проводят следующим образом: в пробирку типа Эппендорф дозатором помещают 500 мм3 разбавителя проб, вносят 500 мм3 фильтрата, перемешивают.
(абзац введен
Изменением N 1, введенным в действие Приказом Росстандарта от 01.09.2021 N 908-ст)
Фильтрат для определения содержания ДОН, суммы фумонизинов разбавляют экстрагентом в соответствии с
таблицей 1 и далее используют для дальнейшего проведения испытания по
12.2.
(абзац введен
Изменением N 1, введенным в действие Приказом Росстандарта от 01.09.2021 N 908-ст)
Разбавление экстракта для определения содержания ДОН проводят следующим образом: в пробирку типа Эппендорф дозатором помещают 400 мм3 разбавителя проб, вносят 100 мм3 фильтрата, перемешивают.
(абзац введен
Изменением N 1, введенным в действие Приказом Росстандарта от 01.09.2021 N 908-ст)
Разбавление экстракта для определения содержания суммы фумонизинов проводят следующим образом: в пробирку типа Эппендорф дозатором помещают 700 мм3 разбавителя проб, вносят 50 мм3 фильтрата, перемешивают.
(абзац введен
Изменением N 1, введенным в действие Приказом Росстандарта от 01.09.2021 N 908-ст)
12.2 Проведение градуировки и анализа экстрактов проб
Проведение градуировки и анализа экстрактов проб для тест-системы N 1
(абзац введен
Изменением N 1, введенным в действие Приказом Росстандарта от 01.09.2021 N 908-ст)
Анализ градуировочных растворов и экстрактов проб проводят одновременно. В рамку первого планшета помещают необходимое количество стрипов зеленого (голубого) цвета для смешивания реактивов (схема расположения лунок приведена в
приложении Б). В рамку второго планшета помещают такое же количество бесцветных стрипов с иммобилизованными АТ.
(в ред.
Изменения N 1, введенного в действие Приказом Росстандарта от 01.09.2021 N 908-ст)
Примечание - Допускается помещать стрипы для смешивания реактивов и стрипы с иммобилизованными АТ в один планшет, при этом после смешивания реактивов и переноса растворов стрипы для смешивания удаляют из планшета.
Отмеряют необходимое количество раствора конъюгата из комплекта реактивов к тест-системе (примерно 240 мм3 на лунку или 2 см3 на стрип) и помещают в отдельную емкость (или в специальную кювету при использовании восьмиканального пипеточного дозатора). Используя восьмиканальный дозатор, осторожно, не касаясь лунок, вносят по 200 мм3 раствора конъюгата в каждую лунку стрипов зеленого (голубого) цвета первого планшета. Затем одноканальным дозатором вносят по 100 мм3 каждого градуировочного раствора или экстракта пробы, используя для каждого раствора новый наконечник.
(в ред.
Изменения N 1, введенного в действие Приказом Росстандарта от 01.09.2021 N 908-ст)
Примечание - Допускается уменьшать объем растворов, но при этом отношение объема конъюгата к объему экстракта (градуировочного раствора) должно быть 2:1. Объем жидкости, переносимый из лунок для смешивания в лунки с антителами, должен быть одинаковым (100 мм3).
Восьмиканальным дозатором с новыми наконечниками трижды смешивают содержимое лунок пипетированием (набирают и выпускают раствор) и быстро переносят по 100 мм
3 содержимого каждой лунки стрипа зеленого (голубого) цвета в соответствующую ей лунку бесцветного стрипа второго планшета. Инкубируют в течение времени, указанного в
таблице 2.
Примечание - Необходимо избегать встряхивания планшета с антителами, поскольку это может привести к разрушению сцепки между антигеном и антителом или к смешиванию содержимого разных лунок.
Приказом Росстандарта от 01.09.2021 N 908-ст)
Наименование микотоксина | Разбавляющий раствор | Время инкубации с раствором конъюгата, мин | Время инкубации с раствором конъюгата и раствором специфических АТ, мин | Время инкубации с раствором субстрата, мин | Промывочный раствор | Длина волны, нм |
тест-система N 1 | тест-система N 2 | тест-система N 1 | тест-система N 2 | тест-система N 1 | тест-система N 2 | тест-система N 1 | тест-система N 2 |
Афлатоксин B1 | | 10 | 10 | 10 | 5 | Дистиллированная вода | Промывочный раствор (см. 11.4.2) | | 620 |
Сумма афлатоксинов | | 15 | 5 | 5 | 5 | Дистиллированная вода | Промывочный раствор (см. 11.4.2) | 450 | 620 |
ДОН | Дистиллированная вода | 15 | 10 | 5 | 5 | Промывочный раствор (см. 11.4.2) | Промывочный раствор (см. 11.4.2) | 450 | 620 |
Зеараленон | | 10 | 10 | 10 | 5 | Дистиллированная вода | Промывочный раствор (см. 11.4.2) | | 620 |
Охратоксин A | | 10 | 10 | 10 | 5 | Дистиллированная вода | Промывочный раствор (см. 11.4.2) | | 620 |
T-2 токсин | | 10 | 10 | 5 | 5 | Дистиллированная вода | Промывочный раствор (см. 11.4.2) | | 620 |
Сумма фумонизинов | | 10 | 10 | 10 | 5 | Дистиллированная вода | Промывочный раствор (см. 11.4.2) | 450 | 620 |
<*> Допускается использование дифференциального фильтра на 630 нм. |
Удаляют содержимое микролунок, промывают лунки промывочным раствором (см.
таблицу 2). Процедуру промывки планшета рекомендуется проводить с помощью устройства для отмывки планшетов, задавая следующие параметры программы: количество циклов промывки - от трех до четырех, объем заливаемого промывочного раствора - 300 мм
3. Допускается ручная промывка с использованием многоканального дозатора. При этом в лунки планшета вносят 4 раза по 300 мм
3 промывочного раствора с последующим резким переворачиванием и встряхиванием планшета.
Планшет переворачивают лунками вниз на фильтровальную бумагу и окончательно удаляют из лунок остатки промывочного раствора легким постукиванием.
Отмеряют необходимое количество раствора субстрата из комплекта реактивов к тест-системе (примерно 120 мм
3 на лунку или 1 см
3 на стрип) и помещают в отдельную емкость. Используя восьмиканальный дозатор или степпер, вносят по 100 мм
3 раствора субстрата в каждую лунку. Инкубируют в течение времени, указанного в
таблице 2.
(в ред.
Изменения N 1, введенного в действие Приказом Росстандарта от 01.09.2021 N 908-ст)
Отмеряют необходимое количество останавливающего раствора из комплекта реактивов к тест-системе (примерно 120 мм3 на лунку или 1 см3 на стрип) и помещают в отдельную емкость. Используя восьмиканальный дозатор или степпер, вносят по 100 мм3 останавливающего раствора в каждую лунку. Цвет раствора изменяется с голубого на желтый.
(в ред.
Изменения N 1, введенного в действие Приказом Росстандарта от 01.09.2021 N 908-ст)
Измеряют оптическую плотность
D содержимого лунок при длине волны, указанной в
таблице 2. Значения оптической плотности записывают с точностью до второго десятичного знака и заносят в
форму для записи (см. приложение В).
Примечание - Перед фотометрией нужно избавиться от воздушных пузырьков в лунке, поскольку они могут повлиять на результат анализа.
Далее проводят построение и оценку градуировочной характеристики по
12.3.
(абзац введен
Изменением N 1, введенным в действие Приказом Росстандарта от 01.09.2021 N 908-ст)
Проведение градуировки и анализа экстрактов проб для тест-системы N 2
(абзац введен
Изменением N 1, введенным в действие Приказом Росстандарта от 01.09.2021 N 908-ст)
Анализ градуировочных растворов и экстрактов проб проводят одновременно. В рамку планшета помещают необходимое количество бесцветных стрипов с неспецифичными антителами.
(абзац введен
Изменением N 1, введенным в действие Приказом Росстандарта от 01.09.2021 N 908-ст)
Отмеряют необходимое количество раствора конъюгата и специфичных АТ (примерно 70 мм3 на лунку или 560 мм3 на стрип) и помещают в отдельные емкости (или в специальные кюветы при использовании восьмиканального пипеточного дозатора). В лунки планшета вносят по 100 мм3 каждого градуировочного раствора или экстракта пробы (по 50 мм3 для охратоксина и суммы афлатоксинов), используя для каждого раствора новый наконечник, добавляют с помощью степпера 50 мм3 конъюгата, 50 мм3 специфичных АТ.
(абзац введен
Изменением N 1, введенным в действие Приказом Росстандарта от 01.09.2021 N 908-ст)
Примечание - Следует строго соблюдать последовательность внесения реактивов.
(примечание введено
Изменением N 1, введенным в действие Приказом Росстандарта от 01.09.2021 N 908-ст)
Удаляют содержимое микролунок, промывают лунки промывочным раствором (см.
таблицу 2). Процедуру промывки планшета рекомендуется проводить с помощью устройства для отмывки планшетов, задавая следующие параметры программы: количество циклов промывки - от трех до четырех, объем заливаемого промывочного раствора - 300 мм
3. Допускается ручная промывка с использованием многоканального дозатора. При этом в лунки планшета вносят 4 раза по 300 мм
3 промывочного раствора с последующим резким переворачиванием и встряхиванием планшета.
(абзац введен
Изменением N 1, введенным в действие Приказом Росстандарта от 01.09.2021 N 908-ст)
Планшет переворачивают лунками вниз на фильтровальную бумагу и окончательно удаляют из лунок остатки промывочного раствора легким постукиванием.
(абзац введен
Изменением N 1, введенным в действие Приказом Росстандарта от 01.09.2021 N 908-ст)
Отмеряют необходимое количество раствора субстрата из комплекта реактивов к тест-системе (примерно 120 мм
3 на лунку или 1 см
3 на стрип) и помещают в отдельную емкость. Используя восьмиканальный дозатор или степпер, вносят по 100 мм
3 раствора субстрата в каждую лунку. Инкубируют в течение времени, указанного в
таблице 2.
(абзац введен
Изменением N 1, введенным в действие Приказом Росстандарта от 01.09.2021 N 908-ст)
Отмеряют необходимое количество останавливающего раствора из комплекта реактивов к тест-системе (примерно 120 мм3 на лунку или 1 см3 на стрип) и помещают в отдельную емкость. Используя восьмиканальный дозатор или степпер, вносят по 100 мм3 останавливающего раствора в каждую лунку. Цвет раствора изменяется с голубого на желтый.
(абзац введен
Изменением N 1, введенным в действие Приказом Росстандарта от 01.09.2021 N 908-ст)
Измеряют оптическую плотность
Di содержимого лунок при длине волны, указанной в
таблице 2. Значения оптической плотности записывают с точностью до второго десятичного знака и заносят в форму для записи (см.
приложение В).
(абзац введен
Изменением N 1, введенным в действие Приказом Росстандарта от 01.09.2021 N 908-ст)
Примечание - Перед фотометрией нужно избавиться от воздушных пузырьков в лунке, поскольку они могут повлиять на результат анализа.
(примечание введено
Изменением N 1, введенным в действие Приказом Росстандарта от 01.09.2021 N 908-ст)
12.3 Построение и оценка градуировочной характеристики
На основании полученных значений оптической плотности с помощью специального программного обеспечения рассчитывают массовую концентрацию микотоксина в экстракте пробы.
Примечание - Если в инструкции к тест-системе концентрация градуировочных растворов микотоксинов пересчитана на массу навески с учетом всех разведений, то программа рассчитывает содержание микотоксина в анализируемой пробе. В этом случае в приведенных ниже расчетах вместо массовой концентрации микотоксина в градуировочном растворе используют содержание микотоксина.
При отсутствии специального программного обеспечения построение градуировочного графика проводят с помощью программы Excel.
Для тест-системы N 1 вычисляют логарифм массовой концентрации (содержание) микотоксина LgCгр каждого градуировочного раствора. Полученные значения являются координатами точек градуировочной характеристики по оси X.
(в ред.
Изменения N 1, введенного в действие Приказом Росстандарта от 01.09.2021 N 908-ст)
Определяют процент связывания микотоксина для каждого градуировочного раствора относительно нулевой точки по формуле

, (1)
где Dгр - измеренное значение оптической плотности для i-го градуировочного раствора;
D0 - измеренное значение оптической плотности для нулевой точки;
100 - коэффициент перевода в проценты.
Для каждого градуировочного раствора определяют

, (2)
где Dгр - измеренное значение оптической плотности для i-го градуировочного раствора;
D0 - измеренное значение оптической плотности для нулевой точки.
Полученные значения являются координатами точек градуировочной характеристики по оси Y.
По значениям
Xi и
Yi строят градуировочную характеристику, пример которой представлен на
рисунке 1.
Рисунок 1 - Пример градуировочной характеристики
для тест-системы N 1
Росстандарта от 01.09.2021 N 908-ст)
Полученная градуировочная характеристика описывается уравнением

, (3)
где Di - измеренное значение оптической плотности для i-го градуировочного раствора;
(в ред.
Изменения N 1, введенного в действие Приказом Росстандарта от 01.09.2021 N 908-ст)
D0 - измеренное значение оптической плотности для нулевой точки;
Ci - массовая концентрация (содержание) микотоксина i-го градуировочного раствора, мг/дм3 (мг/кг);
(в ред.
Изменения N 1, введенного в действие Приказом Росстандарта от 01.09.2021 N 908-ст)
a, b - коэффициенты линейного уравнения.
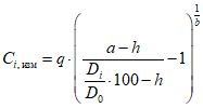
Для контроля градуировочной характеристики используют i-й градуировочный раствор. По градуировочной характеристике вычисляют массовую концентрацию (содержание) Ci, изм микотоксина в i-м градуировочном растворе, мг/дм3 (мг/кг)

(4)
где Di - измеренное значение оптической плотности для i-го градуировочного раствора;
(в ред.
Изменения N 1, введенного в действие Приказом Росстандарта от 01.09.2021 N 908-ст)
D0 - измеренное значение оптической плотности для нулевой точки;
Ci - массовая концентрация (содержание) микотоксина i-го раствора, мг/дм3 (мг/кг);
a, b - коэффициенты линейного уравнения.
Градуировочную характеристику признают стабильной, если выполняется условие

, (5)
где
Ci, изм - массовая концентрация (содержание) микотоксина в
i-м градуировочном растворе, вычисленная по
формуле (4), мг/дм
3 (мг/кг);
Ci - массовая концентрация (содержание) микотоксина в i-м градуировочном растворе, мг/дм3 (мг/кг);
g1 - норматив контроля при доверительной вероятности
P = 0,95 (см.
таблицу 3).
Приказом Росстандарта от 01.09.2021 N 908-ст)
В процентах
Наименование микотоксина | Норматив контроля |
g1 | g2 |
тест-система N 1 | тест-система N 2 |
Афлатоксин B1 | 10 | 2 | - |
Сумма афлатоксинов | 10 | 2 | - |
ДОН | 12 | 2 | - |
Зеараленон | 10 | 2 | - |
Охратоксин A | 18 | 2 | 97 |
T-2 токсин | 11 | 2 | - |
Сумма фумонизинов | 10 | 2 | 95 |
Для тест-системы N 2 определяют процент связывания микотоксина для каждого градуировочного раствора относительно нулевой точки по
формуле (1). Полученные значения являются координатами точек градуировочной характеристики по оси
Y. Значения массовой концентрации (содержание) микотоксина
Ci каждого градуировочного раствора являются координатами точек градуировочной характеристики по оси
X.
(абзац введен
Изменением N 1, введенным в действие Приказом Росстандарта от 01.09.2021 N 908-ст)
По значениям Xi и Yi методом наименьших квадратов строят градуировочную характеристику, которая описывается уравнением

(5а)
где Dгр - измеренное значение оптической плотности для i-го градуировочного раствора;
D0 - измеренное значение оптической плотности для нулевой точки;
Ci - массовая концентрация (содержание) микотоксина i-го градуировочного раствора, мг/дм3 (мг/кг);
a, b, h, q - коэффициенты градуировочного уравнения.
(абзац введен
Изменением N 1, введенным в действие Приказом Росстандарта от 01.09.2021 N 908-ст)
Примечание - Коэффициенты градуировочного
уравнения (5а) вычисляют с применением метода наименьших квадратов. Для поиска решения нелинейной задачи может использоваться, например, метод обобщенного приведенного градиента или симплекс-метод. Для автоматизации расчетов коэффициентов градуировочного уравнения допускается использовать надстройку "Поиск решения" в программе Microsoft Excel.
(примечание введено
Изменением N 1, введенным в действие Приказом Росстандарта от 01.09.2021 N 908-ст)
Пример градуировочной характеристики, описываемой
уравнением (5а), представлен на рисунке 2.
(абзац введен
Изменением N 1, введенным в действие Приказом Росстандарта от 01.09.2021 N 908-ст)
Рисунок 2 - Пример градуировочной характеристики
для тест-системы N 2
Приказом Росстандарта от 01.09.2021 N 908-ст)
Для контроля стабильности градуировочной характеристики используют i-й градуировочный раствор. По градуировочной характеристике вычисляют массовую концентрацию (содержание) микотоксина Ci, изм, мг/дм3 (мг/кг), в i-м градуировочном растворе по формуле

, (5б)
где Di - измеренное значение оптической плотности для раствора с массовой концентрацией (содержанием) микотоксина Ci.
(абзац введен
Изменением N 1, введенным в действие Приказом Росстандарта от 01.09.2021 N 908-ст)
Градуировочную характеристику признают стабильной, если выполняется
условие (5).
(абзац введен
Изменением N 1, введенным в действие Приказом Росстандарта от 01.09.2021 N 908-ст)
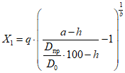
13.1 Обработка результатов для тест-системы N 1
Если концентрация градуировочных растворов микотоксинов тест-системы пересчитана на массу навески с учетом всех разведений, то содержание микотоксина X1, мг/кг (млн-1), в пробе вычисляют по формуле
(в ред.
Изменения N 1, введенного в действие Приказом Росстандарта от 01.09.2021 N 908-ст)

(6)
где Dпр - измеренное значение оптической плотности для экстракта пробы;
D0 - измеренное значение оптической плотности для нулевой точки;
a, b - коэффициенты линейного уравнения.
13.2 Вычисляют массовую концентрацию микотоксина в экстракте пробы Cпр, мг/дм3, по формуле

(7)
где Dпр - измеренное значение оптической плотности для экстракта пробы;
D0 - измеренное значение оптической плотности для нулевой точки;
a, b - коэффициенты линейного уравнения.
Если массовая концентрация микотоксина в экстракте превышает верхнюю границу диапазона массовых концентраций градуировочных растворов, то допускается дополнительное разбавление экстракта (f2) таким образом, чтобы концентрация микотоксина соответствовала диапазону массовых концентраций градуировочных растворов.
Содержание микотоксина в пробе X2, мг/кг (млн-1), вычисляют по формуле

, (8)
где
Cпр - массовая концентрация микотоксина в экстракте пробы, вычисленная по
формуле (7) или
(8б), мг/дм
3;
(в ред.
Изменения N 1, введенного в действие Приказом Росстандарта от 01.09.2021 N 908-ст)
V - объем экстрагента (см.
12.1), см
3;
f1 - коэффициент разбавления (см.
таблицу 1);
f2 - коэффициент дополнительного разбавления;
m - масса навески, г.
13.3 Обработка результатов для тест-системы N 2
(подраздел 13.3 введен
Изменением N 1, введенным в действие Приказом Росстандарта от 01.09.2021 N 908-ст)
Если концентрация градуировочных растворов микотоксинов тест-системы пересчитана на массу навески с учетом всех разведений, то содержание микотоксина X1, мг/кг (млн-1), в пробе вычисляют по формуле

, (8а)
где Dпр - измеренное значение оптической плотности для экстракта пробы;
D0 - измеренное значение оптической плотности для нулевой точки;
a, b, h, q - коэффициенты градуировочного уравнения.
13.4 Вычисляют массовую концентрацию микотоксина в экстракте пробы Cпр, мг/дм3, по формуле

, (8б)
где Dпр - измеренное значение оптической плотности для экстракта пробы;
D0 - измеренное значение оптической плотности для нулевой точки;
a, b, h, q - коэффициенты градуировочного уравнения.
Если массовая концентрация микотоксина в экстракте превышает верхнюю границу диапазона массовых концентраций градуировочных растворов, то допускается дополнительное разбавление экстракта (f2) таким образом, чтобы концентрация микотоксина соответствовала диапазону массовых концентраций градуировочных растворов.
Содержание микотоксина в пробе
X2, мг/кг (млн
-1), вычисляют по
формуле (8).
Обработка результатов может проводиться автоматически с помощью программного обеспечения.
(п. 13.4 введен
Изменением N 1, введенным в действие Приказом Росстандарта от 01.09.2021 N 908-ст)
14 Оформление результатов испытаний
За результат определения содержания микотоксина в пробе принимают среднеарифметическое значение результатов двух параллельных определений, для которых выполняется условие приемлемости (см.
15.1).
Результат определения содержания микотоксина в пробе, вычисленный по
формуле (6) или
(8), или
(8а), представляют в виде (
X +/-
U), мг/кг (млн
-1), при этом
U - показатель точности измерений (расширенная неопределенность с коэффициентом охвата 2). Значение
U рассчитывается по формуле
(в ред.
Изменения N 1, введенного в действие Приказом Росстандарта от 01.09.2021 N 908-ст)

, (9)
где 0,01 - коэффициент пересчета;

- среднеарифметическое значение содержания микотоксина для двух параллельных определений, вычисленных по
формуле (6) или
(8), или
(8а), мг/кг (млн
-1);
(в ред.
Изменения N 1, введенного в действие Приказом Росстандарта от 01.09.2021 N 908-ст)
U0 - относительная расширенная неопределенность с
k = 2, значение
U0 приведено в
таблице 4, %.
Допускается представление результатов в микрограммах в килограмме.
Числовое значение результата измерений должно оканчиваться цифрой того же разряда, что и значение расширенной неопределенности в абсолютных единицах, содержащее не более двух значащих цифр.
Показатели точности, повторяемости и прецизионности метода представлены в
таблице 4.
Наименование микотоксина | Диапазон измерений, мг/кг (млн-1) | Относительная расширенная неопределенность при k = 2, U0, % | Относительное стандартное отклонение повторяемости  , % | Относительное стандартное отклонение промежуточной прецизионности (время, оператор)  , % | Предел повторяемости rотн, % | Предел промежуточной прецизионности RI(TO), % |
Афлатоксин B1 | 0,002 - 0,050 | 40 | 5,6 | 18 | 15 | 50 |
Сумма афлатоксинов (по афлатоксину B1) | 0,004 - 0,040 | 40 | 15 | 18 | 41 | 50 |
ДОН | 0,250 - 5,000 | 30 | 10 | 13 | 27 | 36 |
Зеараленон | 0,025 - 1,000 | 35 | 6 | 14 | 16 | 40 |
Охратоксин A | 0,002 - 0,040 | 30 | 11 | - | 30 | - |
T-2 токсин | 0,020 - 0,500 | 40 | 8 | 18 | 23 | 50 |
(в ред. Изменения N 1, введенного в действие Приказом Росстандарта от 01.09.2021 N 908-ст) |
Сумма фумонизинов (по фумонизину B1) | 0,250 - 5,000 | 30 | 10 | 13 | 27 | 36 |
15 Контроль точности результатов определений
15.1 Контроль повторяемости результатов определений
Рекомендуется для каждой пробы проводить два параллельных испытания в условиях повторяемости. Если количество испытуемых проб больше 20, то допускается проведение параллельных испытаний для каждой двадцатой анализируемой пробы.
Расхождение между результатами двух параллельных испытаний X1 и X2, мг/кг (млн-1), полученными в одной лаборатории в условиях повторяемости по ГОСТ ИСО 5725-1-2003 (подраздел 3.14), должно соответствовать условию
(в ред.
Изменения N 1, введенного в действие Приказом Росстандарта от 01.09.2021 N 908-ст)

, (10)
где

- среднеарифметическое значение результатов определения содержания микотоксина, вычисленных по
формуле (6) или
(8), или
(8а), мг/кг (млн
-1);
(в ред.
Изменения N 1, введенного в действие Приказом Росстандарта от 01.09.2021 N 908-ст)
100 - коэффициент пересчета результата в проценты;
rотн - предел повторяемости при доверительной вероятности
P = 0,95 (см.
таблицу 4).
Если это условие не соблюдается, то используют методы проверки приемлемости результатов параллельных определений и установления окончательного результата согласно ГОСТ ИСО 5725-6-2003 (раздел 5).
(в ред.
Изменения N 1, введенного в действие Приказом Росстандарта от 01.09.2021 N 908-ст)
15.2 Контроль промежуточной прецизионности
Расхождение между результатами двух испытаний X1(TO) и X2(TO), мг/кг (млн-1), полученными в условиях промежуточной прецизионности (варьируемые факторы: время, оператор) на идентичной пробе, должно соответствовать условию

, (11)
где

- среднеарифметическое значение результатов определения содержания микотоксина (
X1(TO) и
X2(TO)), мг/кг (млн
-1);
100 - коэффициент пересчета результата в проценты;
RI(TO) - предел промежуточной прецизионности при доверительной вероятности
P = 0,95 (см.
таблицу 4).
15.3 Контроль правильности определения
Периодичность контроля показателя правильности измерений определяется планом внутрилабораторного контроля.
Контроль проводят с использованием стандартных образцов с известным содержанием микотоксина. Значение аттестованной характеристики должно находиться в диапазоне измерений, предусмотренном настоящим стандартом.
Результат считают удовлетворительным, если выполняется условие

, (12)
где

- среднеарифметическое значение двух параллельных определений содержания микотоксина в стандартном образце, мг/кг (млн
-1);
Xamm - аттестованное значение содержания микотоксина в стандартном образце с известным содержанием микотоксинов (см.
10.21), мг/кг (млн
-1);
100 - коэффициент пересчета результата в проценты;
0,7 - поправочный коэффициент, определяемый принятой доверительной вероятностью P = 0,90;
U0 - относительная расширенная неопределенность с
k = 2, значение приведено в
таблице 4, %.
При превышении норматива испытания повторяют. При повторном получении отрицательного результата выясняют причины, приводящие к неудовлетворительным результатам контроля, и устраняют их.
15.4 Контроль полноты экстракции
Контроль полноты экстракции проводят при внедрении методики, смене оборудования для экстракции или согласно плану внутрилабораторного контроля.
Контроль проводят с использованием анализируемой пробы с содержанием фумонизина в диапазоне от 1,0 до 5,0 мг/кг (млн-1), охратоксина A от 0,010 до 0,040 мг/кг (млн-1).
При проведении контроля проводится повторная экстракция навески анализируемой пробы с последующим анализом в соответствии с
разделом 13.
Результат контроля признается удовлетворительным, если выполняется условие

, (13)
где X1экстр - содержание микотоксина в анализируемой пробе, мг/кг (млн-1);
X2экстр - содержание микотоксина в анализируемой пробе при повторной экстракции, мг/кг (млн-1);
100 - коэффициент пересчета результата в проценты;
g2 - норматив контроля при доверительной вероятности
P = 0,95 (см.
таблицу 3).
Результаты испытаний оформляют в виде протокола испытаний, который должен включать следующее:
- информацию, необходимую для полной идентификации пробы;
- использованный метод отбора проб;
- использованный метод анализа со ссылкой на настоящий стандарт;
- обстоятельства, которые могли повлиять на результат испытания;
- полученный результат испытания.
(рекомендуемое)
ПРИГОТОВЛЕНИЕ ГРАДУИРОВОЧНЫХ РАСТВОРОВ МИКОТОКСИНОВ
ДЛЯ ТЕСТ-СИСТЕМЫ N 1 И ТЕСТ-СИСТЕМЫ N 2
Росстандарта от 01.09.2021 N 908-ст)
А.1 Для построения градуировочной характеристики для тест-системы N 1 используют разбавляющий раствор (см.
таблицу 2) в качестве нулевой точки и четыре градуировочных раствора, значения массовой концентрации микотоксинов в которых приведены в
таблице А.1. Порядок приготовления градуировочных растворов приведен в
А.2 -
А.7.
(в ред.
Изменения N 1, введенного в действие Приказом Росстандарта от 01.09.2021 N 908-ст)
Наименование показателя | Номер градуировочного раствора |
1 | 2 | 3 | 4 |
Номинальная массовая концентрация афлатоксина B1 в градуировочных растворах, мг/дм3 | 0,0002 | 0,0005 | 0,002 | 0,005 |
Содержание афлатоксина B1 в градуировочных растворах в пересчете на содержание афлатоксина B1 в пробе при массе навески 20 г и разбавлении экстракта 1:1, мкг/кг | 2,0 | 5,0 | 20,0 | 50,0 |
Номинальная массовая концентрация ДОН в градуировочных растворах, мг/дм3 | 0,0125 | 0,05 | 0,1 | 0,25 |
Содержание ДОН в градуировочных растворах в пересчете на содержание ДОН в пробе при массе навески 20 г и разбавлении экстракта 1:3, мкг/кг | 250 | 1000 | 2000 | 5000 |
Номинальная массовая концентрация зеараленона в градуировочных растворах, мг/дм3 | 0,001 | 0,004 | 0,012 | 0,04 |
Содержание зеараленона в градуировочных растворах в пересчете на содержание зеараленона в пробе при массе навески 20 г и разбавлении экстракта 1:4, мкг/кг | 25 | 100 | 300 | 1000 |
Номинальная массовая концентрация охратоксина A в градуировочных растворах, мг/дм3 | 0,0004 | 0,001 | 0,004 | 0,008 |
Содержание охратоксина A в градуировочных растворах в пересчете на содержание охратоксина A в пробе при массе навески 20 г, мкг/кг | 2,0 | 5,0 | 20,0 | 40,0 |
Номинальная массовая концентрация T-2 токсина в градуировочных растворах, мг/дм3 | 0,004 | 0,01 | 0,03 | 0,1 |
Содержание T-2 токсина в градуировочных растворах в пересчете на содержание T-2 токсина в пробе при массе навески 20 г, мкг/кг | 20,0 | 50,0 | 150,0 | 500,0 |
Номинальная массовая концентрация фумонизина B1 в градуировочных растворах, мг/дм3 | 0,0025 | 0,01 | 0,025 | 0,05 |
Содержание фумонизина в градуировочных растворах в пересчете на содержание фумонизина B1 в пробе при массе навески 20 г и разбавлении экстракта 1:19, мкг/кг | 0,25 | 1,0 | 2,5 | 5,0 |
Действительное значение массовой концентрации микотоксина Ciгр, мг/дм3, в i-м градуировочном растворе вычисляют по формуле

, (А.1)
где C0 - действительное значение массовой концентрации микотоксина в растворе, взятом для разбавления, мг/дм3;
V0 - объем раствора микотоксина, взятый для разбавления, см3;
Vi - объем приготовленного градуировочного раствора, см3.
А.2 Приготовление основного и градуировочных растворов афлатоксина B1
А.2.1 Приготовление основного раствора афлатоксина B1 массовой концентрации 0,05 мг/дм3
В мерную колбу вместимостью 100 см
3 наливают около 40 см
3 раствора А (см.
11.4.1), вносят 0,5 см
3 стандартного образца афлатоксина B
1 массовой концентрации 10 мкг/см
3. Содержимое колбы перемешивают, объем раствора в колбе доводят до метки раствором А и еще раз перемешивают.
А.2.2 Приготовление градуировочного раствора афлатоксина B1 N 4
В мерную колбу вместимостью 50 см
3 помещают около 20 см
3 раствора А (см.
11.4.1), вносят 5,0 см
3 основного раствора афлатоксина B
1 (см.
А.2.1). Содержимое колбы перемешивают, объем раствора в колбе доводят до метки раствором А и перемешивают.
Значение массовой концентрации афлатоксина B1 - 0,005 мг/дм3.
А.2.3 Приготовление градуировочного раствора афлатоксина B1 N 3
В мерную колбу вместимостью 100 см
3 помещают около 40 см
3 раствора А (см.
11.4.1), вносят 4,0 см
3 основного раствора афлатоксина B
1 (см.
А.2.1). Содержимое колбы перемешивают, объем раствора в колбе доводят до метки раствором А и перемешивают.
Значение массовой концентрации афлатоксина B1 - 0,002 мг/дм3
А.2.4 Приготовление градуировочного раствора афлатоксина B1 N 2
В мерную колбу вместимостью 50 см
3 помещают около 20 см
3 раствора А (см.
11.4.1), вносят 5,0 см
3 градуировочного раствора афлатоксина B
1 N 4 (см.
А.2.2). Содержимое колбы перемешивают, объем раствора в колбе доводят до метки раствором А и перемешивают.
Значение массовой концентрации афлатоксина B1 - 0,0005 мг/дм3.
А.2.5 Приготовление градуировочного раствора афлатоксина B1 N 1
В мерную колбу вместимостью 50 см
3 помещают около 20 см
3 раствора А (см.
11.4.1), вносят 2,5 см
3 градуировочного раствора афлатоксина B
1 N 4 (см.
А.2.2). Содержимое колбы перемешивают, объем раствора в колбе доводят до метки раствором А и перемешивают.
Значение массовой концентрации афлатоксина B1 - 0,0002 мг/дм3.
А.3 Приготовление основного и градуировочных растворов ДОН
А.3.1 Приготовление основного раствора ДОН массовой концентрации 2,0 мг/дм3
В мерную колбу вместимостью 25 см3 наливают около 10 см3 дистиллированной воды, вносят 2,5 см3 стандартного образца ДОН массовой концентрации 20 мкг/см3. Содержимое колбы перемешивают, объем раствора в колбе доводят до метки дистиллированной водой и перемешивают.
А.3.2 Приготовление градуировочного раствора ДОН N 4
В мерную колбу вместимостью 50 см
3 помещают около 20 см
3 дистиллированной воды, вносят 6,3 см
3 основного раствора ДОН (см.
А.3.1). Содержимое колбы перемешивают, объем раствора в колбе доводят до метки дистиллированной водой и перемешивают.
Значение массовой концентрации ДОН - 0,25 мг/дм3.
А.3.3 Приготовление градуировочного раствора ДОН N 3
В мерную колбу вместимостью 100 см
3 помещают около 40 см
3 дистиллированной воды, вносят 5,0 см
3 основного раствора ДОН (см.
А.3.1). Содержимое колбы перемешивают, объем раствора в колбе доводят до метки дистиллированной водой и перемешивают.
Значение массовой концентрации ДОН - 0,1 мг/дм3.
А.3.4 Приготовление градуировочного раствора ДОН N 2
В мерную колбу вместимостью 50 см
3 помещают около 20 см
3 дистиллированной воды, вносят 10,0 см
3 градуировочного раствора ДОН N 4 (см.
А.3.2). Содержимое колбы перемешивают, объем раствора в колбе доводят до метки дистиллированной водой и перемешивают.
Значение массовой концентрации ДОН - 0,05 мг/дм3.
А.3.5 Приготовление градуировочного раствора ДОН N 1
В мерную колбу вместимостью 50 см
3 помещают около 20 см
3 дистиллированной воды, вносят 2,5 см
3 градуировочного раствора ДОН N 4 (см.
А.3.2). Содержимое колбы перемешивают, объем раствора в колбе доводят до метки дистиллированной водой и перемешивают.
Значение массовой концентрации ДОН - 0,0125 мг/дм3.
А.4 Приготовление основного и градуировочных растворов зеараленона
А.4.1 Приготовление основного раствора зеараленона массовой концентрации 0,40 мг/дм3
В мерную колбу вместимостью 100 см
3 наливают около 40 см
3 раствора А (см.
11.4.1), вносят 2,0 см
3 стандартного образца зеараленона массовой концентрации 20 мкг/см
3. Содержимое колбы перемешивают, объем раствора в колбе доводят до метки раствором А и перемешивают.
А.4.2 Приготовление градуировочного раствора зеараленона N 4
В мерную колбу вместимостью 100 см
3 помещают около 40 см
3 раствора А (см.
11.4.1), вносят 10,0 см
3 основного раствора зеараленона (см.
А.4.1). Содержимое колбы перемешивают, объем раствора в колбе доводят до метки раствором А и перемешивают.
Значение массовой концентрации зеараленона - 0,04 мг/дм3.
А.4.3 Приготовление градуировочного раствора зеараленона N 3
В мерную колбу вместимостью 100 см
3 помещают около 40 см
3 раствора А (см.
11.4.1), вносят 3,3 см
3 основного раствора зеараленона (см.
А.4.1). Содержимое колбы перемешивают, объем раствора в колбе доводят до метки раствором А и перемешивают.
Значение массовой концентрации зеараленона - 0,012 мг/дм3.
А.4.4 Приготовление градуировочного раствора зеараленона N 2
В мерную колбу вместимостью 100 см
3 помещают около 40 см
3 раствора А (см.
11.4.1), вносят пипеткой 10 см
3 градуировочного раствора зеараленона N 4 (см.
А.4.2). Содержимое колбы перемешивают, объем раствора в колбе доводят до метки раствором А и перемешивают.
Значение массовой концентрации зеараленона - 0,004 мг/дм3.
А.4.5 Приготовление градуировочного раствора зеараленона N 1
В мерную колбу вместимостью 100 см
3 помещают около 40 см
3 раствора А (см.
11.4.1), вносят пипеткой 2,5 см
3 градуировочного раствора зеараленона N 4 (см.
А.4.2). Содержимое колбы перемешивают, объем раствора в колбе доводят до метки раствором А и перемешивают.
Значение массовой концентрации зеараленона - 0,001 мг/дм3.
А.5 Приготовление основного и градуировочных растворов охратоксина A
А.5.1 Приготовление основного раствора охратоксина A массовой концентрации 0,40 мг/дм3
В мерную колбу вместимостью 100 см
3 наливают около 40 см
3 раствора А (см.
11.4.1), вносят 0,80 см
3 стандартного образца охратоксина A массовой концентрации 50 мкг/см
3. Содержимое колбы перемешивают, объем раствора в колбе доводят до метки раствором А и перемешивают.
А.5.2 Приготовление градуировочного раствора охратоксина A N 4
В мерную колбу вместимостью 100 см
3 помещают около 40 см
3 раствора А, вносят 2,0 см
3 основного раствора охратоксина A (см.
А.5.1). Содержимое колбы перемешивают, объем раствора в колбе доводят до метки раствором А и перемешивают.
Значение массовой концентрации охратоксина A - 0,008 мг/дм3.
А.5.3 Приготовление градуировочного раствора охратоксина A N 3
В мерную колбу вместимостью 100 см
3 помещают около 40 см
3 раствора А (см.
11.4.1), вносят 1,0 см
3 основного раствора охратоксина A (см.
А.5.1). Содержимое колбы перемешивают, объем раствора в колбе доводят до метки раствором А и перемешивают.
Значение массовой концентрации охратоксина A - 0,004 мг/дм3.
А.5.4 Приготовление градуировочного раствора охратоксина A N 2
В мерную колбу вместимостью 25 см
3 помещают около 10 см
3 раствора А (см.
11.4.1), вносят 6,25 см
3 градуировочного раствора охратоксина A N 3 (см.
А.5.3). Содержимое колбы перемешивают, объем раствора в колбе доводят до метки раствором А и перемешивают.
Значение массовой концентрации охратоксина A - 0,001 мг/дм3.
А.5.5 Приготовление градуировочного раствора охратоксина A N 1
В мерную колбу вместимостью 25 см
3 помещают около 10 см
3 раствора А (см.
11.4.1), вносят 2,5 см
3 градуировочного раствора охратоксина A N 3 (см.
А.5.3). Содержимое колбы перемешивают, объем раствора в колбе доводят до метки растворителем А и перемешивают.
Значение массовой концентрации охратоксина A - 0,0004 мг/дм3.
А.6 Приготовление основного и градуировочных растворов фумонизина B1
А.6.1 Приготовление основного раствора фумонизина B1 массовой концентрации 1 мг/дм3
Основной раствор фумонизина B1 массовой концентрации 10 мг/дм3 готовят в два этапа.
Готовят раствор фумонизина B
1 массовой концентрации 100 мг/дм
3. Для этого в мерную колбу вместимостью 100 см
3 помещают (10,0 +/- 0,5) мг фумонизина B
1, добавляют около 40 см
3 раствора А (см.
11.4.1). Содержимое колбы перемешивают до полного растворения фумонизина B
1, объем раствора в колбе доводят до метки раствором А и перемешивают.
Действительное значение массовой концентрации фумонизина B1 Cф, мг/дм3, в приготовленном растворе вычисляют по формуле

, (А.2)
где mф - масса навески фумонизина B1, мг;
wф - массовая доля основного вещества, %;
10 - коэффициент согласования единиц измерения;
Vф - объем приготовленного градуировочного раствора, см3.
Далее приготовленный раствор разбавляют в 100 раз. Для этого в мерную колбу вместимостью 100 см3 наливают около 40 см3 раствора А, добавляют 1 см3 раствора фумонизина B1 массовой концентрации 100 мг/дм3, перемешивают, объем раствора в колбе доводят до метки раствором А и еще раз перемешивают.
А.6.2 Приготовление градуировочного раствора фумонизина B1 N 4
В мерную колбу вместимостью 50 см
3 помещают около 20 см
3 раствора А (см.
11.4.1), вносят 2,5 см
3 основного раствора фумонизина B
1 (см.
А.6.1). Содержимое колбы перемешивают, объем раствора в колбе доводят до метки раствором А и перемешивают.
Значение массовой концентрации фумонизина B1 - 0,05 мг/дм3.
А.6.3 Приготовление градуировочного раствора фумонизина B1 N 3
В мерную колбу вместимостью 100 см
3 помещают около 40 см
3 раствора А (см.
11.4.1), вносят 2,5 см
3 основного раствора фумонизина B
1 (см.
А.6.1). Содержимое колбы перемешивают, объем раствора в колбе доводят до метки раствором А и перемешивают.
Значение массовой концентрации фумонизина B1 - 0,025 мг/дм3.
А.6.4 Приготовление градуировочного раствора фумонизина B1 N 2
В мерную колбу вместимостью 25 см
3 помещают около 10 см
3 раствора А (см.
11.4.1), вносят 5,0 см
3 градуировочного раствора фумонизина B
1 N 4 (см.
А.6.2). Содержимое колбы перемешивают, объем раствора в колбе доводят до метки раствором А и перемешивают.
Значение массовой концентрации фумонизина B1 - 0,01 мг/дм3.
А.6.5 Приготовление градуировочного раствора фумонизина B1 N 1
В мерную колбу вместимостью 50 см
3 помещают около 20 см
3 раствора А (см.
12.4.1), вносят 2,5 см
3 градуировочного раствора фумонизина B
1 N 4 (см.
А.6.2). Содержимое колбы перемешивают, объем раствора в колбе доводят до метки раствором А и перемешивают.
Значение массовой концентрации фумонизина B1 - 0,0025 мг/дм3.
А.7 Приготовление основного и градуировочных растворов T-2 токсина
А.7.1 Приготовление основного раствора T-2 токсина массовой концентрации 1,0 мг/дм3
В мерную колбу вместимостью 100 см
3 наливают около 40 см
3 раствора А (см.
11.4.1), вносят 1,0 см
3 стандартного образца T-2 токсина массовой концентрации 100 мкг/см
3. Содержимое колбы перемешивают, объем раствора в колбе доводят до метки раствором А и перемешивают.
А.7.2 Приготовление градуировочного раствора T-2 токсина N 4
В мерную колбу вместимостью 50 см
3 помещают около 20 см
3 раствора А (см.
11.4.1), вносят 5,0 см
3 основного раствора T-2 токсина (см.
А.7.1). Содержимое колбы перемешивают, объем раствора в колбе доводят до метки раствором А и перемешивают.
Значение массовой концентрации T-2 токсина - 0,1 мг/дм3.
А.7.3 Приготовление градуировочного раствора T-2 токсина N 3
В мерную колбу вместимостью 100 см
3 помещают около 40 см
3 раствора А (см.
11.4.1), вносят 3,33 см
3 основного раствора T-2 токсина (см.
А.7.1). Содержимое колбы перемешивают, объем раствора в колбе доводят до метки раствором А и перемешивают.
Значение массовой концентрации T-2 токсина - 0,03 мг/дм3.
А.7.4 Приготовление градуировочного раствора T-2 токсина N 2
В мерную колбу вместимостью 25 см
3 помещают около 10 см
3 раствора А (см.
11.4.1), вносят 2,5 см
3 градуировочного раствора T-2 токсина N 4 (см.
А.7.2). Содержимое колбы перемешивают, объем раствора в колбе доводят до метки раствором А и перемешивают.
Значение массовой концентрации T-2 токсина - 0,01 мг/дм3.
А.7.5 Приготовление градуировочного раствора T-2 токсина N 1
В мерную колбу вместимостью 50 см
3 помещают около 10 см
3 раствора А (см.
11.4.1), вносят 2,0 см
3 градуировочного раствора T-2 токсина N 4 (см.
А.7.2). Содержимое колбы перемешивают, объем раствора в колбе доводят до метки раствором А и перемешивают.
Значение массовой концентрации T-2 токсина - 0,004 мг/дм3.
А.8 Для построения градуировочной характеристики для тест-системы N 2 используют разбавляющий раствор (см.
таблицу 2) в качестве нулевой точки и пять градуировочных растворов, значения массовой концентрации микотоксинов в которых приведены в таблице А.2. Порядок приготовления градуировочных растворов приведен в
А.9 -
А.14.
Наименование показателя | Номер градуировочного раствора |
1 | 2 | 3 | 4 | 5 |
Номинальная массовая концентрация афлатоксина B1 в градуировочных растворах, мг/дм3 | 0,00015 | 0,0003 | 0,0006 | 0,0012 | 0,0024 |
Содержание афлатоксина B1 в градуировочных растворах в пересчете на содержание афлатоксина B1 в пробе при массе навески 20 г и разбавлении экстракта 1 : 1, мкг/кг | 1,5 | 3,0 | 6,0 | 12,0 | 24,0 |
Номинальная массовая концентрация ДОН в градуировочных растворах, мг/дм3 | 0,008 | 0,02 | 0,04 | 0,08 | 0,2 |
Содержание ДОН в градуировочных растворах в пересчете на содержание ДОН в пробе при массе навески 20 г и разбавлении экстракта 1 : 4, мкг/кг | 200 | 500 | 1000 | 2000 | 5000 |
Номинальная массовая концентрация зеараленона в градуировочных растворах, мг/дм3 | 0,001 | 0,0025 | 0,0075 | 0,02 | 0,05 |
Содержание зеараленона в градуировочных растворах в пересчете на содержание зеараленона в пробе при массе навески 20 г и разбавлении экстракта 1 : 1, мкг/кг | 10 | 25 | 75 | 200 | 500 |
Номинальная массовая концентрация охратоксина A в градуировочных растворах, мг/дм3 | 0,0004 | 0,001 | 0,002 | 0,004 | 0,01 |
Содержание охратоксина A в градуировочных растворах в пересчете на содержание охратоксина A в пробе при массе навески 20 г и разбавлении экстракта 1:1, мкг/кг | 2 | 5 | 10 | 20 | 50 |
Номинальная массовая концентрация T-2 токсина в градуировочных растворах, мг/дм3 | 0,0005 | 0,0025 | 0,01 | 0,025 | 0,05 |
Содержание T-2 токсина в градуировочных растворах в пересчете на содержание T-2 токсина в пробе при массе навески 20 г и разбавлении экстракта 1:6, мкг/кг | 17,5 | 87,5 | 350 | 875 | 1750 |
Номинальная массовая концентрация фумонизина B1 в градуировочных растворах, мг/дм3 | 0,00067 | 0,002 | 0,0067 | 0,02 | 0,0667 |
Содержание фумонизина в градуировочных растворах в пересчете на содержание фумонизина B1 в пробе при массе навески 20 г и разбавлении экстракта 1 : 14, мкг/кг | 0,05 | 0,15 | 0,5 | 1,5 | 5 |
Действительное значение массовой концентрации микотоксина Ciгр, мг/дм3, в i-м градуировочном растворе вычисляют по формуле

, (А.3)
где C0 - действительное значение массовой концентрации микотоксина в растворе, взятом для разбавления, мг/дм3;
V0 - объем раствора микотоксина, взятый для разбавления, см3;
Vi - объем приготовленного градуировочного раствора, см3.
(подраздел А.8 введен
Изменением N 1, введенным в действие Приказом Росстандарта от 01.09.2021 N 908-ст)
А.9 Приготовление градуировочных растворов афлатоксина B1
(подраздел А.9 введен
Изменением N 1, введенным в действие Приказом Росстандарта от 01.09.2021 N 908-ст)
А.9.1 Приготовление разбавителя стандартов
В мерную колбу вместимостью 100 см3 помещают 35 см3 метанола, объем раствора в колбе доводят до метки разбавителем проб.
А.9.2 Приготовление градуировочного раствора афлатоксина B1 N 5
В мерную колбу вместимостью 100 см
3 наливают около 40 см
3 разбавителя стандартов (см.
А.9.1), вносят 80 мм
3 раствора афлатоксина B
1 массовой концентрации 3 мкг/см
3. Содержимое колбы перемешивают, объем раствора в колбе доводят до метки разбавителем стандартов и перемешивают.
Значение массовой концентрации афлатоксина B1 - 0,0024 мг/дм3.
А.9.3 Приготовление градуировочного раствора афлатоксина B1 N 4
В мерную колбу вместимостью 25 см
3 помещают 12,5 см
3 градуировочного раствора афлатоксина B
1 N 5 (см.
А.9.2), объем раствора в колбе доводят до метки разбавителем стандартов (см.
А.9.1) и перемешивают.
Значение массовой концентрации афлатоксина B1 - 0,0012 мг/дм3.
А.9.4 Приготовление градуировочного раствора афлатоксина B1 N 3
В мерную колбу вместимостью 25 см
3 помещают 12,5 см
3 градуировочного раствора афлатоксина B
1 N 4 (см.
А.9.3), объем раствора в колбе доводят до метки разбавителем стандартов (см.
А.9.1) и перемешивают.
Значение массовой концентрации афлатоксина B1 - 0,0006 мг/дм3.
А.9.5 Приготовление градуировочного раствора афлатоксина B1 N 2
В мерную колбу вместимостью 25 см
3 помещают 12,5 см
3 градуировочного раствора афлатоксина B
1 N 3 (см.
А.9.4), объем раствора в колбе доводят до метки разбавителем стандартов (см.
А.9.1) и перемешивают.
Значение массовой концентрации афлатоксина B1 - 0,0003 мг/дм3.
А.9.6 Приготовление градуировочного раствора афлатоксина B1 N 1
В мерную колбу вместимостью 25 см
3 помещают 12,5 см
3 градуировочного раствора афлатоксина B
1 N 2 (см.
А.9.5), объем раствора в колбе доводят до метки разбавителем стандартов (см.
А.9.1) и перемешивают.
Значение массовой концентрации афлатоксина B1 - 0,00015 мг/дм3.
А.10 Приготовление градуировочных растворов ДОН
(подраздел А.10 введен
Изменением N 1, введенным в действие Приказом Росстандарта от 01.09.2021 N 908-ст)
А.10.1 Приготовление основного раствора ДОН массовой концентрации 2 мг/дм3
В мерную колбу вместимостью 100 см3 наливают около 40 см3 разбавителя стандартов из набора реактивов для тест-системы N 2, вносят 1 см3 раствора ДОН массовой концентрации 200 мкг/см3. Содержимое колбы перемешивают, объем раствора в колбе доводят до метки разбавителем стандартов и перемешивают.
А.10.2 Приготовление градуировочного раствора ДОН N 5
В мерную колбу вместимостью 25 см
3 наливают около 10 см
3 разбавителя стандартов, вносят 2,5 см
3 основного раствора ДОН (см.
А.10.1). Содержимое колбы перемешивают, объем раствора в колбе доводят до метки разбавителем стандартов и перемешивают.
Значение массовой концентрации ДОН - 0,2 мг/дм3.
А.10.3 Приготовление градуировочного раствора ДОН N 4
В мерную колбу вместимостью 25 см
3 помещают 10 см
3 градуировочного раствора ДОН N 5 (см.
А.10.2), объем раствора в колбе доводят до метки разбавителем стандартов и перемешивают.
Значение массовой концентрации ДОН - 0,08 мг/дм3.
А.10.4 Приготовление градуировочного раствора ДОН N 3
В мерную колбу вместимостью 25 см
3 помещают 12,5 см
3 градуировочного раствора ДОН N 4 (см.
А.10.3), объем раствора в колбе доводят до метки разбавителем стандартов и перемешивают.
Значение массовой концентрации ДОН - 0,04 мг/дм3.
А.10.5 Приготовление градуировочного раствора ДОН N 2
В мерную колбу вместимостью 25 см
3 помещают 12,5 см
3 градуировочного раствора ДОН N 3 (см.
А.10.4), объем раствора в колбе доводят до метки разбавителем стандартов и перемешивают.
Значение массовой концентрации ДОН - 0,02 мг/дм3.
А.10.6 Приготовление градуировочного раствора ДОН N 1
В мерную колбу вместимостью 25 см
3 помещают 10 см
3 градуировочного раствора ДОН N 2 (см.
А.10.5), объем раствора в колбе доводят до метки разбавителем стандартов и перемешивают.
Значение массовой концентрации ДОН - 0,008 мг/дм3.
А.11 Приготовление основного и градуировочных растворов зеараленона
(подраздел А.11 введен
Изменением N 1, введенным в действие Приказом Росстандарта от 01.09.2021 N 908-ст)
А.11.1 Приготовление разбавителя стандартов
В мерную колбу вместимостью 100 см3 помещают 35 см3 метанола, объем раствора в колбе доводят до метки разбавителем проб.
А.11.2 Приготовление основного раствора зеараленона массовой концентрации 1 мг/дм3
В мерную колбу вместимостью 100 см
3 наливают около 40 см
3 разбавителя стандартов (см.
А.11.1), вносят 1 см
3 раствора зеараленона массовой концентрации 100 мг/см
3. Содержимое колбы перемешивают, объем раствора в колбе доводят до метки разбавителем стандартов и перемешивают.
А.11.3 Приготовление градуировочного раствора зеараленона N 5
В мерную колбу вместимостью 100 см
3 наливают около 40 см
3 разбавителя стандартов (см.
А.11.1) вносят 5 см
3 основного раствора зеараленона (см.
А.11.2). Содержимое колбы перемешивают, объем раствора в колбе доводят до метки разбавителем стандартов и перемешивают.
Значение массовой концентрации зеараленона - 0,05 мг/дм3.
А.11.4 Приготовление градуировочного раствора зеараленона N 4
В мерную колбу вместимостью 25 см
3 помещают 10 см
3 градуировочного раствора зеараленона N 5 (см.
А.11.3), объем раствора в колбе доводят до метки разбавителем стандартов (см.
А.11.1) и перемешивают.
Значение массовой концентрации зеараленона - 0,02 мг/дм3.
А.11.5 Приготовление градуировочного раствора зеараленона N 3
В мерную колбу вместимостью 10 см
3 помещают 3,75 см
3 градуировочного раствора зеараленона N 4 (см.
А.11.4), объем раствора в колбе доводят до метки разбавителем стандартов (см.
А.11.1) и перемешивают.
Значение массовой концентрации зеараленона - 0,0075 мг/дм3.
А.11.6 Приготовление градуировочного раствора зеараленона N 2
В мерную колбу вместимостью 10 см
3 помещают 3,33 см
3 градуировочного раствора зеараленона N 3 (см.
А.11.5), объем раствора в колбе доводят до метки разбавителем стандартов (см.
А.11.1) и перемешивают.
Значение массовой концентрации зеараленона - 0,0025 мг/дм3.
А.11.7 Приготовление градуировочного раствора зеараленона N 1
В мерную колбу вместимостью 25 см
3 помещают 10 см
3 градуировочного раствора зеараленона N 2 (см.
А.11.6), объем раствора в колбе доводят до метки разбавителем стандартов (см.
А.11.1) и перемешивают.
Значение массовой концентрации зеараленона - 0,001 мг/дм3.
А.12 Приготовление основного и градуировочных растворов охратоксина A
(подраздел А.12 введен
Изменением N 1, введенным в действие Приказом Росстандарта от 01.09.2021 N 908-ст)
А.12.1 Приготовление разбавителя стандартов
В мерную колбу вместимостью 100 см3 помещают 35 см3 метанола, объем раствора в колбе доводят до метки дистиллированной водой.
А.12.2 Приготовление основного раствора охратоксина A массовой концентрации 0,5 мг/дм3
В мерную колбу вместимостью 100 см
3 наливают около 40 см
3 разбавителя стандартов (см.
А.12.1), вносят 1 см
3 раствора охратоксина A массовой концентрации 50 мкг/см
3. Содержимое колбы перемешивают, объем раствора в колбе доводят до метки разбавителем стандартов и перемешивают.
А.12.3 Приготовление градуировочного раствора охратоксина A N 5
В мерную колбу вместимостью 100 см
3 помещают около 40 см
3 разбавителя стандартов (см.
А.12.1), вносят 2 см
3 основного раствора охратоксина A (см.
А.12.2). Содержимое колбы перемешивают, объем раствора в колбе доводят до метки разбавителем стандартов и перемешивают.
Значение массовой концентрации охратоксина A - 0,01 мг/дм3.
А.12.4 Приготовление градуировочного раствора охратоксина A N 4
В мерную колбу вместимостью 25 см
3 помещают 10 см
3 градуировочного раствора охратоксина A N 5 (см.
А.12.3), объем раствора в колбе доводят до метки разбавителем стандартов (см.
А.12.1) и перемешивают.
Значение массовой концентрации охратоксина A - 0,004 мг/дм3.
А.12.5 Приготовление градуировочного раствора охратоксина A N 3
В мерную колбу вместимостью 25 см
3 помещают 12,5 см
3 градуировочного раствора охратоксина A N 4 (см.
А.12.4), объем раствора в колбе доводят до метки разбавителем стандартов (см.
А.12.1) и перемешивают.
Значение массовой концентрации охратоксина A - 0,002 мг/дм3.
А.12.6 Приготовление градуировочного раствора охратоксина A N 2
В мерную колбу вместимостью 25 см
3 помещают 10 см
3 градуировочного раствора охратоксина A N 3 (см.
А.12.5), объем раствора в колбе доводят до метки разбавителем стандартов (см.
А.12.1) и перемешивают.
Значение массовой концентрации охратоксина A - 0,001 мг/дм3.
А.12.7 Приготовление градуировочного раствора охратоксина A N 1
В мерную колбу вместимостью 25 см
3 помещают 10 см
3 градуировочного раствора охратоксина A N 2 (см.
А.12.6), объем раствора в колбе доводят до метки разбавителем стандартов (см.
А.12.1) и перемешивают.
Значение массовой концентрации охратоксина A - 0,0004 мг/дм3.
А.13 Приготовление основного и градуировочных растворов фумонизина B1
(подраздел А.13 введен
Изменением N 1, введенным в действие Приказом Росстандарта от 01.09.2021 N 908-ст)
А.13.1 Приготовление разбавителя стандартов
В мерную колбу вместимостью 100 см3 помещают 5 см3 метанола, объем раствора в колбе доводят до метки разбавителем проб.
А.13.2 Приготовление основного раствора фумонизина B1 массовой концентрации 0,5 мг/дм3
В мерную колбу вместимостью 100 см
3 наливают около 40 см
3 разбавителя стандартов (см.
А.13.1), вносят 1 см
3 раствора фумонизина B
1 массовой концентрации 50 мкг/см
3. Содержимое колбы перемешивают, объем раствора в колбе доводят до метки разбавителем стандартов и перемешивают.
А.13.3 Приготовление градуировочного раствора фумонизина B1 N 5
В мерную колбу вместимостью 100 см
3 наливают около 40 см
3 разбавителя стандартов (см.
А.13.1), вносят 13,34 см
3 основного раствора фумонизина B
1 (см.
А.13.2). Содержимое колбы перемешивают, объем раствора в колбе доводят до метки разбавителем стандартов и перемешивают.
Значение массовой концентрации фумонизина B1 - 0,0667 мг/дм3.
А.13.4 Приготовление градуировочного раствора фумонизина B1 N 4
В мерную колбу вместимостью 100 см
3 вносят около 30 см
3 градуировочного раствора фумонизина B
1 N 5 (см.
А.13.3), объем раствора в колбе доводят до метки разбавителем стандартов (см.
А.13.1) и перемешивают.
Значение массовой концентрации фумонизина B1 - 0,02 мг/дм3.
А.13.5 Приготовление градуировочного раствора фумонизина B1 N 3
В мерную колбу вместимостью 100 см
3 помещают 33,3 см
3 градуировочного раствора фумонизина B
1 N 4 (см.
А.13.4), объем раствора в колбе доводят до метки разбавителем стандартов (см.
А.13.1) и перемешивают.
Значение массовой концентрации фумонизина B1 - 0,0067 мг/дм3.
А.13.6 Приготовление градуировочного раствора фумонизина B1 N 2
В мерную колбу вместимостью 100 см
3 вносят около 30 см
3 градуировочного раствора фумонизина B
1 N 3 (см.
А.13.5), объем раствора в колбе доводят до метки разбавителем стандартов (см.
А.13.1) и перемешивают.
Значение массовой концентрации фумонизина B1 - 0,002 мг/дм3.
А.13.7 Приготовление градуировочного раствора фумонизина B1 N 1
В мерную колбу вместимостью 100 см
3 вносят около 30 см
3 градуировочного раствора фумонизина B
1 N 2 (см.
А.13.6), объем раствора в колбе доводят до метки разбавителем стандартов (см.
А.13.1) и перемешивают.
Значение массовой концентрации фумонизина B1 - 0,00067 мг/дм3.
А.14 Приготовление основного и градуировочных растворов T-2 токсина
(подраздел А.14 введен
Изменением N 1, введенным в действие Приказом Росстандарта от 01.09.2021 N 908-ст)
А.14.1 Приготовление разбавителя стандартов
В мерную колбу вместимостью 100 см3 помещают 10 см3 метанола, объем раствора в колбе доводят до метки разбавителем проб.
А.14.2 Приготовление основного раствора T-2 токсина массовой концентрации 1 мкг/см3
В мерную колбу вместимостью 100 см
3 наливают около 40 см
3 разбавителя стандартов (см.
А.14.1), вносят 1 см
3 раствора T-2 токсина массовой концентрации 100 мкг/см
3. Содержимое колбы перемешивают, объем раствора в колбе доводят до метки разбавителем стандартов и перемешивают.
А.14.3 Приготовление градуировочного раствора T-2 токсина N 5
В мерную колбу вместимостью 100 см
3 наливают около 10 см
3 разбавителя стандартов (см.
А.14.1), вносят 5 см
3 основного раствора T-2 токсина (см.
А.14.2). Содержимое колбы перемешивают, объем раствора в колбе доводят до метки разбавителем стандартов и перемешивают.
Значение массовой концентрации T-2 токсина - 0,05 мг/дм3.
А.14.4 Приготовление градуировочного раствора T-2 токсина N 4
В мерную колбу вместимостью 25 см
3 вносят 12,5 см
3 градуировочного раствора T-2 токсина N 5 (см.
А.14.3), объем раствора в колбе доводят до метки разбавителем стандартов и перемешивают.
Значение массовой концентрации T-2 токсина - 0,025 мг/дм3.
А.14.5 Приготовление градуировочного раствора T-2 токсина N 3
В мерную колбу вместимостью 25 см
3 вносят 10 см
3 градуировочного раствора T-2 токсина N 4 (см.
А.14.4), объем раствора в колбе доводят до метки разбавителем стандартов и перемешивают.
Значение массовой концентрации T-2 токсина - 0,01 мг/дм3.
А.14.6 Приготовление градуировочного раствора T-2 токсина N 2
В мерную колбу вместимостью 100 см
3 вносят 25 см
3 градуировочного раствора T-2 токсина N 3 (см.
А.14.5), объем раствора в колбе доводят до метки разбавителем стандартов и перемешивают.
Значение массовой концентрации T-2 токсина - 0,0025 мг/дм3.
А.14.7 Приготовление градуировочного раствора T-2 токсина N 1
В мерную колбу вместимостью 100 см
3 вносят 20 см
3 градуировочного раствора T-2 токсина N 2 (см.
А.14.6), объем раствора в колбе доводят до метки разбавителем стандартов и перемешивают.
Значение массовой концентрации T-2 токсина - 0,0005 мг/дм3.
(рекомендуемое)
СХЕМА РАСПОЛОЖЕНИЯ ЛУНОК В ПЛАНШЕТЕ
Таблица Б.1
| 1 | 2 | 3 | 4 | 5 | 6 | 7 | 8 | 9 | 10 | 11 | 12 |
A | C0 | П 4 | П 12 | П 20 | | | | | | | | |
B | C1 | П 5 | П 13 | П 21 | | | | | | | | |
C | C2 | П 6 | П 14 | П 22 | | | | | | | | |
D | C3 | П 7 | П 15 | П 23 | | | | | | | | |
E | C4 | П 8 | П 16 | П 24 | | | | | | | | |
F | П 1 | П 9 | П 17 | П 25 | | | | | | | | |
J | П 2 | П 10 | П 18 | | | | | | | | | |
G | П 3 | П 11 | П 19 | | | | | | | | | |
1 - 12 - номера стрипов в планшете;
A - G - обозначения лунок в стрипах;
C0 - лунка для нулевой точки;
C1 - C4 - лунки для градуировочных растворов, содержащий разные концентрации микотоксина;
П 1 - П 25 - лунки для экстрактов проб.
(рекомендуемое)
ТАБЛИЦА ДЛЯ ЗАПИСИ РЕЗУЛЬТАТОВ ИЗМЕРЕНИЙ
Таблица В.1
Маркировка лунки | Значение оптической плотности, Di | Процент связывания микотоксина  , % | Логарифм массовой концентрации микотоксина LgCi | Массовая концентрация микотоксина Ci, мг/дм3 | Содержание микотоксина в пробе Xi, мг/кг (млн-1) |
по ячейкам | среднее |
A1 | | D0 | | | | |
B1 | | D1гр | | | | |
C1 | | D2гр | | | | |
D1 | | D3гр | | | | |
E1 | | D4гр | | | | |
F1 | | D1к | | | | |
J1 | | D2к | | | | |
G1 | | D1а | | | | |
A2 | | D2а | | | | |
B2 | | D3а | | | | |
УДК 636.085.3:006.354 | | |
Ключевые слова: корма, комбикорма, комбикормовое сырье, сумма афлатоксинов, афлатоксин B1, ДОН, зеараленон, охратоксин A, T-2 токсин, фумонизин, тест-система, конкурентный прямой твердофазный иммуноферментный метод |