Главная // Актуальные документы // ГОСТ (Государственный стандарт)СПРАВКА
Источник публикации
В данном виде документ опубликован не был.
Первоначальный текст документа опубликован в издании
М.: Стандартинформ, 2014.
Информацию о публикации документов, создающих данную редакцию, см. в справке к этим документам.
Примечание к документу
Документ включен в Перечень стандартов, содержащих правила и методы исследований (испытаний) и измерений, в том числе правила отбора образцов, необходимые для применения и исполнения требований технического
регламента Таможенного союза "О безопасности молока и молочной продукции" (ТР ТС 033/2013) и осуществления оценки соответствия объектов технического регулирования (
Решение Коллегии Евразийской экономической комиссии от 26.05.2014 N 80).
Название документа
"ГОСТ 32255-2013. Межгосударственный стандарт. Молоко и молочная продукция. Инструментальный экспресс-метод определения физико-химических показателей идентификации с применением инфракрасного анализатора"
(введен в действие Приказом Росстандарта от 22.11.2013 N 1923-ст)
(ред. от 12.11.2019)
"ГОСТ 32255-2013. Межгосударственный стандарт. Молоко и молочная продукция. Инструментальный экспресс-метод определения физико-химических показателей идентификации с применением инфракрасного анализатора"
(введен в действие Приказом Росстандарта от 22.11.2013 N 1923-ст)
(ред. от 12.11.2019)
агентства по техническому
регулированию и метрологии
от 22 ноября 2013 г. N 1923-ст
МЕЖГОСУДАРСТВЕННЫЙ СТАНДАРТ
МОЛОКО И МОЛОЧНАЯ ПРОДУКЦИЯ
ИНСТРУМЕНТАЛЬНЫЙ ЭКСПРЕСС-МЕТОД ОПРЕДЕЛЕНИЯ
ФИЗИКО-ХИМИЧЕСКИХ ПОКАЗАТЕЛЕЙ ИДЕНТИФИКАЦИИ
С ПРИМЕНЕНИЕМ ИНФРАКРАСНОГО АНАЛИЗАТОРА
Milk and milk products. Instrumental express-method
for determination of physic-chemical identification
parameters by infrared analyzer
ГОСТ 32255-2013
| | Список изменяющих документов Росстандарта от 22.09.2016 N 1194-ст, Росстандарта от 12.11.2019 N 1119-ст) | |
Дата введения
1 июля 2015 года
Цели, основные принципы и основной порядок проведения работ по межгосударственной стандартизации установлены
ГОСТ 1.0-92 "Межгосударственная система стандартизации. Основные положения" и
ГОСТ 1.2-2009 "Межгосударственная система стандартизации. Стандарты межгосударственные, правила и рекомендации по межгосударственной стандартизации. Правила разработки, принятия, применения, обновления и отмены"
1 РАЗРАБОТАН Секретариатом ТК 470/МТК 532 "Молоко и продукты переработки молока", Российским союзом предприятий молочной отрасли, ООО "Научно-технический комитет "Молочная индустрия" при участии ООО "ФОСС-Электрик"
2 ВНЕСЕН Федеральным агентством по техническому регулированию и метрологии (ТК 470)
3 ПРИНЯТ Межгосударственным советом по стандартизации, метрологии и сертификации (протокол от 14 ноября 2013 г. N 44-2013)
За принятие проголосовали:
Краткое наименование страны по МК (ИСО 3166) 004-97 | Код страны по МК (ИСО 3166) 004-97 | Сокращенное наименование национального органа по стандартизации |
Армения | AM | Минторгэкономразвития |
Беларусь | BY | Госстандарт Республики Беларусь |
Молдова | MD | Молдова-стандарт |
Россия | RU | Росстандарт |
Узбекистан | UZ | Узстандарт |
4
Приказом Федерального агентства по техническому регулированию и метрологии от 22 ноября 2013 г. N 1923-ст межгосударственный стандарт ГОСТ 32255-2013 введен в действие в качестве национального стандарта Российской Федерации с 1 июля 2015 г.
5 ВВЕДЕН ВПЕРВЫЕ
Информация об изменениях к настоящему стандарту публикуется в ежегодном информационном указателе "Национальные стандарты", а текст изменений и поправок - в ежемесячном информационном указателе "Национальные стандарты". В случае пересмотра (замены) или отмены настоящего стандарта соответствующее уведомление будет опубликовано в ежемесячном информационном указателе "Национальные стандарты". Соответствующая информация, уведомление и тексты размещаются также в информационной системе общего пользования - на официальном сайте Федерального агентства по техническому регулированию и метрологии в сети Интернет
(раздел 1 в ред.
Изменения N 2, введенного в действие Приказом Росстандарта от 12.11.2019 N 1119-ст)
Настоящий стандарт распространяется на коровье молоко и молочную продукцию (из коровьего молока) и устанавливает количественный инструментальный экспресс-метод определения массовой доли белка, жира, лактозы, влаги, сухих веществ и содержание мочевины в коровьем молоке и молочной продукции из коровьего молока, установленных в
3.1, с применением инфракрасного анализатора методом инфракрасной спектроскопии.
Метод предназначен для оперативного производственного контроля.
Диапазоны измерения показателей: массовая доля белка - от 1,50% до 28,00%, жира - от 0,50% до 42,00%, лактозы - от 2,00% до 5,50%, влаги - от 25,00% до 85,00%, сухих веществ - от 9,00% до 55,00%, содержание мочевины - от 9,0 мг/100 см3 и более.
(раздел 2 в ред.
Изменения N 2, введенного в действие Приказом Росстандарта от 12.11.2019 N 1119-ст)
ГОСТ 12.1.004 Система стандартов безопасности труда. Пожарная безопасность. Общие требования
ГОСТ 12.1.005 Система стандартов безопасности труда. Общие санитарно-гигиенические требования к воздуху рабочей зоны
ГОСТ 12.1.007 Система стандартов безопасности труда. Вредные вещества. Классификация и общие требования безопасности
ГОСТ 12.1.019 Система стандартов безопасности труда. Электробезопасность. Общие требования и номенклатура видов защиты
ГОСТ 12.4.009 Система стандартов безопасности труда. Пожарная техника для защиты объектов. Основные виды. Размещение и обслуживание
ГОСТ 12.4.021 Система стандартов безопасности труда. Системы вентиляционные. Общие требования
ГОСТ 1770 (ИСО 1042-83, ИСО 4788-80) Посуда мерная лабораторная стеклянная. Цилиндры, мензурки, колбы, пробирки. Общие технические условия
ГОСТ 3118 Реактивы. Кислота соляная. Технические условия
ГОСТ 3626 <*> Молоко и молочные продукты. Методы определения влаги и сухого вещества
--------------------------------
<*> В Российской Федерации действуют:
ГОСТ Р 54668-2011 "Молоко и продукты переработки молока. Методы определения массовой доли влаги и сухого вещества",
ГОСТ Р 55063-2012 "Сыры и сыры плавленые. Правила приемки, отбор проб и методы контроля",
ГОСТ Р 55361-2012 "Жир молочный, масло и паста масляная из коровьего молока. Правила приемки, отбор проб и методы контроля".
ГОСТ 4207 Реактивы. Калий железистосинеродистый 3-водный. Технические условия
ГОСТ 4232 Реактивы. Калий йодистый. Технические условия
ГОСТ ИСО 5725-1-2003 <**> Точность (правильность и прецизионность) методов и результатов измерений. Часть 1. Основные положения и определения
--------------------------------
<**> В Российской Федерации действует
ГОСТ Р ИСО 5725-1-2002 "Точность (правильность и прецизионность) методов и результатов измерений. Часть 1. Основные положения и определения".
ГОСТ ИСО 5725-6-2003 <*> Точность (правильность и прецизионность) методов и результатов измерений. Часть 6. Использование значений точности на практике
--------------------------------
<*> В Российской Федерации действует
ГОСТ Р ИСО 5725-6-2002 "Точность (правильность и прецизионность) методов и результатов измерений. Часть 6. Использование значений точности на практике".
ГОСТ 5823 Реактивы. Цинк уксуснокислый 2-водный. Технические условия
ГОСТ 6709 Вода дистиллированная. Технические условия
ГОСТ 10163 Реактивы. Крахмал растворимый. Технические условия
ГОСТ 12026 Бумага фильтровальная лабораторная. Технические условия
ГОСТ 22760 Молочные продукты. Гравиметрический метод определения жира
ГОСТ 23327 Молоко и молочные продукты. Метод измерения массовой доли общего азота по Кьельдалю и определение массовой доли белка
ГОСТ 24104 <**> Весы лабораторные. Общие технические требования
--------------------------------
<**> В Российской Федерации действует
ГОСТ Р 53228-2008 "Весы неавтоматического действия. Часть 1. Метрологические и технические требования. Испытания".
ГОСТ 25336 Посуда и оборудование лабораторные стеклянные. Типы, основные параметры и размеры
ГОСТ 26809.1 Молоко и молочная продукция. Правила приемки, методы отбора и подготовка проб к анализу. Часть 1. Молоко, молочные, молочные составные и молокосодержащие продукты
ГОСТ 26809.2 Молоко и молочная продукция. Правила приемки, методы отбора и подготовка проб к анализу. Часть 2. Масло из коровьего молока, спреды, сыры и сырные продукты, плавленые сыры и плавленые сырные продукты
ГОСТ 27068 Реактивы. Натрий серноватистокислый (натрия тиосульфат) 5-водный. Технические условия
ГОСТ 27752 Часы электронно-механические кварцевые настольные, настенные и часы-будильники. Общие технические условия
ГОСТ 28498 Термометры жидкостные стеклянные. Общие технические требования. Методы испытаний
ГОСТ 29169 (ИСО 648-77) Посуда лабораторная стеклянная. Пипетки с одной отметкой
ГОСТ 34454 Продукция молочная. Определение массовой доли белка методом Кьельдаля
ГОСТ OIML R 76-1 Государственная система обеспечения единства измерений. Весы неавтоматического действия. Часть 1. Метрологические и технические требования. Испытания.
Примечание - При пользовании настоящим стандартом целесообразно проверить действие ссылочных стандартов и классификаторов на официальном интернет-сайте Межгосударственного совета по стандартизации, метрологии и сертификации (www.easc.by) или по указателям национальных стандартов, издаваемым в государствах, указанных в предисловии, или на официальных сайтах соответствующих национальных органов по стандартизации. Если на документ дана недатированная ссылка, то следует использовать документ, действующий на текущий момент, с учетом всех внесенных в него изменений. Если заменен ссылочный документ, на который дана датированная ссылка, то следует использовать указанную версию этого документа. Если после принятия настоящего стандарта в ссылочный документ, на который дана датированная ссылка, внесено изменение, затрагивающее положение, на которое дана ссылка, то это положение применяется без учета данного изменения. Если ссылочный документ отменен без замены, то положение, в котором дана ссылка на него, применяется в части, не затрагивающей эту ссылку.
(раздел 3 в ред.
Изменения N 2, введенного в действие Приказом Росстандарта от 12.11.2019 N 1119-ст)
В настоящем стандарте применены термины по
[1], а также следующие термины с соответствующими определениями:
3.1
продукты: Молоко (сырое и питьевое), сливки (сырые и питьевые), жидкие кисломолочные и сквашенные продукты, напитки на основе молока и молочной сыворотки, творог, творожные продукты и молокосодержащие продукты с заменителем молочного жира, произведенные по технологии творога; сметана, сметанные продукты и молокосодержащие продукты с заменителем молочного жира, произведенные по технологии сметаны; сыры и молокосодержащие продукты с заменителем молочного жира, произведенные по технологии сыра.
3.2 инфракрасный анализатор (ИК-анализатор): Прибор экспресс-анализа, предназначенный для определения показателей качества молока и молочной продукции методом инфракрасной спектроскопии поглощения в инфракрасной области спектра от 0,4 мкм до 11,0 мкм.
3.3 мочевина (карбамид): Диамид угольной кислоты, конечный продукт белкового обмена у млекопитающих, обязательный компонент сырого молока.
Метод основан на измерении интенсивности оптического излучения, отраженного от исследуемого образца или поглощенного исследуемым образцом, в инфракрасном диапазоне длин волн от 0,4 до 11,0 мкм и последующем пересчете полученной интенсивности в значения массовой доли белка, жира, лактозы, влаги и сухих веществ с помощью градуировочных моделей, полученных по набору образцов с известными значениями этих физико-химических показателей, установленных стандартизованными методами.
(в ред.
Изменения N 1, утв. Приказом Росстандарта от 22.09.2016 N 1194-ст)
5 Средства измерений, вспомогательное оборудование, посуда и материалы
(раздел 5 в ред.
Изменения N 1, утв. Приказом Росстандарта от 22.09.2016 N 1194-ст)
ИК-анализатор, позволяющий проводить автоматизированное определение массовой доли белка, жира, лактозы, влаги и сухих веществ в молоке и молочной продукции в спектральном диапазоне от 0,4 мкм до 11,0 мкм, включающий программное обеспечение для установления градуировочной модели и обработки результатов измерений;
термометр жидкостной стеклянный диапазоном измерения от 0 °C до 100 °C, с ценой деления шкалы 1,0 °C по
ГОСТ 28498;
баня водяная термостатируемая;
гомогенизатор роторный с четырехлопастным ножом, угловой скоростью вращения ножей 1000 - 10000 мин-1, включающего емкость вместимостью 0,5 - 1,0 дм3;
устройство измельчающее с диаметром решетки 2 мм, позволяющее измельчать пробу без ее нагрева, потери или поглощения влаги, или терка металлическая бытовая с мелкой перфорацией;
сито с размером ячеек 0,2 мм;
ложка или шпатель;
консервант для проб молока в соответствии с инструкцией к прибору.
(перечисление введено
Изменением N 2, введенным в действие Приказом Росстандарта от 12.11.2019 N 1119-ст)
Допускается применение других средств измерения, вспомогательного оборудования с метрологическими и техническими характеристиками, не уступающих перечисленным выше и позволяющих проводить измерения в соответствии с положениями, установленными настоящим стандартом.
6 Условия проведения измерений
При выполнении измерений в лаборатории должны соблюдаться следующие условия:
температура окружающего воздуха .................. (25 +/- 10) °C;
относительная влажность воздуха .................. (55 +/- 25)%;
атмосферное давление ............................. (95 +/- 10) кПа;
частота переменного тока ......................... (50 +/- 5) Гц;
напряжение в сети ................................ (220 +/- 10) В.
7 Отбор проб исследуемого продукта
(раздел 7 в ред.
Изменения N 1, утв. Приказом Росстандарта от 22.09.2016 N 1194-ст)
Если определение не может быть проведено сразу после отбора проб, то пробы хранят в холодильнике при температуре (4 +/- 2) °C не более 48 ч.
При необходимости увеличения срока хранения пробы сырого молока для испытаний применяют консервант, разрешенный в установленном порядке для консервации проб в аналитической химии, а также рекомендуемый в соответствии с инструкцией к прибору.
(абзац введен
Изменением N 2, введенным в действие Приказом Росстандарта от 12.11.2019 N 1119-ст)
Срок хранения проб молока с консервантом при температуре (4 +/- 2) °C - не более 10 сут.
(абзац введен
Изменением N 2, введенным в действие Приказом Росстандарта от 12.11.2019 N 1119-ст)
Кислотность анализируемого сырого молока не должна превышать 21,0 °Т.
(абзац введен
Изменением N 2, введенным в действие Приказом Росстандарта от 12.11.2019 N 1119-ст)
8 Подготовка к проведению измерений
8.1 Подготовка проб
(подраздел 8.1 в ред.
Изменения N 1, утв. Приказом Росстандарта от 22.09.2016 N 1194-ст)
8.1.1 Молоко сырое и жидкие негомогенизированные продукты
Пробу продукта помещают в лабораторный стакан вместимостью 600 см3, нагревают для растворения жира на водяной бане до температуры (40 +/- 2) °C, после чего полностью переносят в стакан гомогенизатора и гомогенизируют в течение 1 мин при частоте вращения ножей не более 1000 мин-1 до получения однородной массы. Измерение проводят сразу же.
При этом возможна дополнительная подготовка проб молока в соответствии с инструкцией к прибору.
(абзац введен
Изменением N 2, введенным в действие Приказом Росстандарта от 12.11.2019 N 1119-ст)
8.1.2 Гомогенизированные молоко, сливки и жидкие молочные продукты
Пробу продукта помещают в лабораторный стакан вместимостью 600 см3, нагревают до температуры (40 +/- 2) °C, тщательно перемешивают и сразу же проводят измерение.
При этом возможна дополнительная подготовка проб молока в соответствии с инструкцией к прибору.
(абзац введен
Изменением N 2, введенным в действие Приказом Росстандарта от 12.11.2019 N 1119-ст)
8.1.3 Кисломолочные продукты без наполнителей
Пробу продукта помещают в лабораторный стакан вместимостью 600 см3, нагревают на водяной бане до температуры (40 +/- 2) °C, тщательно перемешивая круговыми движениями шпателем на всю глубину продукта, добиваясь полного освобождения от пузырьков воздуха, однородности, и сразу же проводят измерения.
8.1.4 Творог и творожные продукты
Пробу продукта помещают в лабораторный стакан вместимостью 600 см3, доводят до температуры (20 +/- 2) °C, переносят в стакан гомогенизатора вместимостью 500 - 1000 см3 и гомогенизируют в течение 1 - 3 мин при частоте вращения ножей от 1000 до 5000 мин-1 до получения однородной массы. Затем пробу переносят в колбу с притертой пробкой вместимостью 500 см3.
8.1.5 Сметана и сметанные продукты
Пробу продукта помещают в лабораторный стакан вместимостью 600 см3, нагревают на водяной бане до температуры (30 +/- 2) °C, тщательно перемешивая шпателем на всю глубину продукта, и охлаждают до температуры (20 +/- 2) °C. Измерение проводят сразу же, не допуская образования пузырьков воздуха.
8.1.6 Сыры и сырные продукты
Пробу продукта измельчают на мелкой терке и переносят в колбу с притертой пробкой вместимостью 500 см3.
8.1.7 Подготовку инфракрасного анализатора к измерениям проводят в соответствии с инструкцией по эксплуатации анализатора (далее - инструкция к прибору).
8.2 Подготовка ИК-анализатора к работе
(в ред.
Изменения N 1, утв. Приказом Росстандарта от 22.09.2016 N 1194-ст)
Перед началом работы ПК-анализатор прогревают не менее 1 ч. Подготовку ИК-анализатора, а также его предварительную градуировку и проверку градуировки проводят в соответствии с требованиями инструкции к прибору или в соответствии с
8.2.1 -
8.2.4.
(абзац введен
Изменением N 1, утв. Приказом Росстандарта от 22.09.2016 N 1194-ст)
8.2.1 Градуировка ИК-анализатора
Базовые градуировки ИК-анализатора для измерения показателей качества продукции являются частью программного обеспечения прибора и не требуют коррекции, если показания анализатора соответствуют требованиям, приведенным в
таблицах 1 -
13 в части показателей: "Предел повторяемости" и "Границы абсолютной погрешности измерений при указанных диапазонах измерения". Если показания ИК-анализатора не соответствуют требованиям, приведенным в
таблицах 1 -
13, проводят коррекцию базовых градуировок в соответствии с инструкцией к прибору.
(в ред.
Изменения N 1, утв. Приказом Росстандарта от 22.09.2016 N 1194-ст,
Изменения N 2, введенного в действие Приказом Росстандарта от 12.11.2019 N 1119-ст)
Коррекция базовых градуировок ИК-анализатора заключается в следующем:
(в ред.
Изменения N 1, утв. Приказом Росстандарта от 22.09.2016 N 1194-ст)
- подготовка набора образцов для коррекции (набор 1, включающий не менее 10 образцов для коррекции одного параметра в одном продукте, из которых в процессе расчета следует использовать не менее 8);
- подготовка набора образцов для проверки откорректированной градуировки (набор 2, включающий не менее 10 образцов для проверки коррекции одного параметра в одном продукте, из которых в процессе расчета следует использовать не менее 8);
- анализ набора 1 и набора 2 стандартными методами по
8.2.2;
- анализ набора 1 на анализаторе;
- расчет поправочных коэффициентов для коррекции градуировочной модели, описывающих связь значений показателей, полученных стандартными методами, и показателей, полученных на анализаторе;
- внесение поправочных коэффициентов в градуировочную модель;
- проверка откорректированной градуировочной модели при помощи анализа набора 2 на анализаторе.
Если в результате проведенной коррекции градуировки показания прибора соответствуют требованиям, приведенным в
таблицах 1 -
13 в части показателей: "предел повторяемости" и "границы погрешности при указанных диапазонах измерения", градуировочная модель считается откорректированной, если не соответствуют - процедуру коррекции градуировок инфракрасного анализатора повторяют с новыми наборами образцов.
(в ред.
Изменения N 1, утв. Приказом Росстандарта от 22.09.2016 N 1194-ст,
Изменения N 2, введенного в действие Приказом Росстандарта от 12.11.2019 N 1119-ст)
8.2.2 Образцы для коррекции градуировки представляют собой образцы продукта с известными значениями измеряемых показателей, установленными следующими методами:
(в ред.
Изменения N 2, введенного в действие Приказом Росстандарта от 12.11.2019 N 1119-ст)
- определение массовой доли лактозы - в соответствии с методикой, установленной в
приложении А;
- определение массовой доли влаги и сухого вещества - по
ГОСТ 3626;
(п. 8.2.2 в ред.
Изменения N 1, утв. Приказом Росстандарта от 22.09.2016 N 1194-ст)
- определение содержания мочевины - по нормативным документам государства, принявшего настоящий стандарт <*>.
(перечисление введено
Изменением N 2, введенным в действие Приказом Росстандарта от 12.11.2019 N 1119-ст)
--------------------------------
<*> В Российской Федерации действует
ГОСТ Р 55282-2012 "Молоко сырое. Колориметрический метод определения содержания мочевины".
(сноска введена
Изменением N 2, введенным в действие Приказом Росстандарта от 12.11.2019 N 1119-ст)
8.2.3 Проверку градуировки ИК-анализатора проводят перед началом работы в соответствии с инструкцией к прибору. Проверка градуировки заключается в сравнении значений показателей прибора при анализах контрольных образцов. Перечень контрольных образцов приведен в инструкции к прибору. Если показания ИК-анализатора соответствуют требованиям, указанным в
таблицах 1 -
13 (значение предела повторяемости), ИК-анализатор считается готовым к работе. Если показания ИК-анализатора не соответствуют указанным требованиям, то проводят коррекцию градуировки согласно
8.2.2.
(в ред.
Изменения N 1, утв. Приказом Росстандарта от 22.09.2016 N 1194-ст,
Изменения N 2, введенного в действие Приказом Росстандарта от 12.11.2019 N 1119-ст)
8.2.4 При необходимости образцы для коррекции градуировки консервируют добавлением консерванта и хранят: молоко - не более 10 сут, сливки - не более 5 сут, другие жидкие продукты - не более 2 сут, вязкие продукты - не более 5 сут при температуре (4 +/- 2) °C. Если образцы для коррекции градуировки находятся в невскрытой заводской упаковке, то они хранятся при условиях и в течение сроков, определенных производителем.
(раздел 9 в ред.
Изменения N 1, утв. Приказом Росстандарта от 22.09.2016 N 1194-ст)
Проводят два параллельных измерения анализируемой пробы продукта в соответствии с инструкцией к прибору. Каждую параллельную пробу продукта загружают в измерительную ячейку и затем снимают показания прибора.
10 Обработка результатов измерений
(раздел 10 в ред.
Изменения N 1, утв. Приказом Росстандарта от 22.09.2016 N 1194-ст)
10.1 За окончательный результат измерения принимается среднее арифметическое значение результатов двух параллельных измерений, выполненных в условиях повторяемости (пункт 3.14 ГОСТ ИСО 5725-1-2003), если соблюдается условие приемлемости по
11.1.
(в ред.
Изменения N 2, введенного в действие Приказом Росстандарта от 12.11.2019 N 1119-ст)
10.2 Контроль точности результатов измерений
Приписанные характеристики погрешности и ее составляющих метода определения физико-химических показателей идентификации молока и молочной продукции при
P = 0,95 приведены в таблицах 1 -
13.
(в ред.
Изменения N 2, введенного в действие Приказом Росстандарта от 12.11.2019 N 1119-ст)
Таблица 1
Метрологические характеристики метода определения массовой
доли белка в молоке и молочных продуктах <*>
--------------------------------
<*> Метрологические характеристики в таблицах 1 -
4 были определены с применением ИК-анализатора "MilkoScan FT1 Advanced" фирмы "Foss Analytical A/S" (Дания).
Вид продукта | Диапазон измерений массовой доли белка, % | Предел повторяемости r, % | Предел воспроизводимости R, % | Границы абсолютной погрешности  , % |
Молоко сырое | От 2,6 до 3,6 | 0,12 | 0,14 | 0,10 |
Молоко питьевое | От 2,6 до 3,6 | 0,12 | 0,14 | 0,09 |
Сливки сырые и питьевые | От 1,5 до 3,0 | 0,12 | 0,17 | 0,12 |
Жидкие кисломолочные продукты | От 2,6 до 4,0 | 0,12 | 0,14 | 0,09 |
Таблица 2
Метрологические характеристики метода определения массовой
доли жира в молоке и молочных продуктах
Вид продукта | Диапазон измерений массовой доли жира, % | Предел повторяемости r, % | Предел воспроизводимости R, % | Границы абсолютной погрешности  , % |
Молоко сырое | От 2,8 до 5,5 | 0,12 | 0,14 | 0,10 |
Молоко питьевое | От 0,5 до 6,0 | 0,12 | 0,14 | 0,10 |
Сливки сырые и питьевые | От 9,0 до 42,0 | 0,10 | 0,17 | 0,12 |
Жидкие кисломолочные продукты | От 0,5 до 5,0 | 0,12 | 0,15 | 0,10 |
Таблица 3
Метрологические характеристики метода определения массовой
доли лактозы в молоке и молочных продуктах
Вид продукта | Диапазон измерений массовой доли лактозы, % | Предел повторяемости r, % | Предел воспроизводимости R, % | Границы абсолютной погрешности  , % |
Молоко сырое | От 4,0 до 5,5 | 0,12 | 0,21 | 0,15 |
Молоко питьевое | От 4,0 до 5,5 | 0,12 | 0,20 | 0,14 |
Кисломолочные продукты | От 3,0 до 4,5 | 0,25 | 0,37 | 0,26 |
Таблица 4
Метрологические характеристики метода определения массовой
доли сухих веществ в молоке и молочных продуктах
Вид продукта | Диапазон измерений массовой доли сухих веществ, % | Предел повторяемости r, % | Предел воспроизводимости R, % | Границы абсолютной погрешности  , % |
Молоко сырое | От 9,0 до 14,0 | 0,25 | 0,50 | 0,35 |
Молоко питьевое | От 9,0 до 13,5 | 0,20 | 0,42 | 0,30 |
Сливки сырые и питьевые | От 20,0 до 55,0 | 0,20 | 0,42 | 0,30 |
Жидкие кисломолочные продукты | От 9,0 до 16,0 | 0,25 | 0,50 | 0,35 |
Таблица 5
Метрологические характеристики метода определения массовой
доли белка в молочной продукции <*>
Приказом Росстандарта от 12.11.2019 N 1119-ст)
--------------------------------
<*> Метрологические характеристики в таблицах 5 -
7 были определены с применением ИК-анализатора "FoodScan" фирмы "Foss Analytical" (Дания).
Вид продукта | Диапазон измерений массовой доли белка, % | Предел повторяемости r, % | Предел воспроизводимости R, % | Границы абсолютной погрешности  , % |
Творог | От 10,0 до 20,0 | 0,50 | 0,70 | 0,50 |
Творожные продукты и молокосодержащие продукты с заменителем молочного жира, произведенные по технологии творога | От 8,0 до 16,0 | 0,50 | 0,77 | 0,54 |
Сметана, сметанные продукты и молокосодержащие продукты с заменителем молочного жира, произведенные по технологии сметаны | От 1,5 до 3,5 | 0,12 | 0,20 | 0,15 |
Сыры | От 20,0 до 28,0 | 0,80 | 1,30 | 0,90 |
Молокосодержащие продукты с заменителем молочного жира, произведенные по технологии сыра | От 18,0 до 26,0 | 0,80 | 1,30 | 0.90 |
Таблица 6
Метрологические характеристики метода определения массовой
доли жира в молочной продукции
Приказом Росстандарта от 12.11.2019 N 1119-ст)
Вид продукта | Диапазон измерений массовой доли жира, % | Предел повторяемости r, % | Предел воспроизводимости R, % | Границы абсолютной погрешности  , % |
Творог | От 0,5 до 7,0 включ. | 0,14 | 0,16 | 0,12 |
Творожные продукты и молокосодержащие продукты с заменителем молочного жира, произведенные по технологии творога | Св. 7,0 до 20,0 | 0,30 | 0,50 | 0,35 |
Сметана, сметанные продукты и молокосодержащие продукты с заменителем молочного жира, произведенные по технологии сметаны | От 10,0 до 35,0 | 0,20 | 0,40 | 0,30 |
Сыры | От 18,0 до 30,0 | 0,25 | 0,60 | 0,40 |
Молокосодержащие продукты с заменителем молочного жира, произведенные по технологии сыра | От 20,0 до 35,0 | 0,30 | 0,75 | 0,53 |
Таблица 7
Метрологические характеристики метода определения массовой
доли влаги в молочной продукции
Приказом Росстандарта от 12.11.2019 N 1119-ст)
Вид продукта | Диапазон измерений массовой доли влаги, % | Предел повторяемости r, % | Предел воспроизводимости R, % | Границы абсолютной погрешности  , % |
Творог, творожные продукты и молокосодержащие продукты с заменителем молочного жира, произведенные по технологии творога | От 55,0 до 80,0 | 0,40 | 0,75 | 0,55 |
Сметана, сметанные продукты и молокосодержащие продукты с заменителем молочного жира, произведенные по технологии сметаны | От 60,0 до 85,0 | 0,30 | 0,55 | 0,40 |
Сыры | От 30,0 до 50,0 | 1,20 | 1,50 | 1,00 |
Молокосодержащие продукты с заменителем молочного жира, произведенные по технологии сыра | От 25,0 до 50,0 | 1,20 | 1,50 | 1,00 |
Таблица 8
Метрологические характеристики метода определения массовой
доли жира в молоке и молочных продуктах <*>
--------------------------------
<*> Метрологические характеристики в таблицах 8 -
11 были определены с применением ИК-анализатора "LactoScope FTIR Advanced" фирмы "Delta Instruments" (Нидерланды).
Вид продукта | Диапазон измерений массовой доли жира, % | Предел повторяемости r, % | Предел воспроизводимости R, % | Границы абсолютной погрешности  , % |
Молоко сырое | От 2,8 до 5,5 | 0,10 | 0,14 | 0,10 |
Молоко питьевое | От 0,5 до 6,0 | 0,10 | 0,14 | 0,10 |
Сливки сырые и питьевые | От 9,0 до 42,0 | 0,12 | 0,17 | 0,12 |
Жидкие кисломолочные продукты | От 0,5 до 5,0 | 0,12 | 0,20 | 0,14 |
Таблица 9
Метрологические характеристики метода определения массовой
доли белка в молоке и молочных продуктах
Вид продукта | Диапазон измерений массовой доли белка, % | Предел повторяемости r, % | Предел воспроизводимости R, % | Границы абсолютной погрешности  , % |
Молоко сырое | От 2,6 до 3,6 | 0,12 | 0,14 | 0,10 |
Молоко питьевое | От 2,6 до 3,6 | 0,12 | 0,14 | 0,09 |
Сливки сырые и питьевые | От 1,5 до 3,0 | 0,12 | 0,17 | 0,12 |
Жидкие кисломолочные продукты | От 2,6 до 4,0 | 0,15 | 0,25 | 0,18 |
Таблица 10
Метрологические характеристики метода определения массовой
доли лактозы в молоке и молочных продуктах
Вид продукта | Диапазон измерений массовой доли лактозы, % | Предел повторяемости r, % | Предел воспроизводимости R, % | Границы абсолютной погрешности  , % |
Молоко сырое | От 4,0 до 5,5 | 0,14 | 0,24 | 0,17 |
Молоко питьевое | От 4,0 до 5,5 | 0,12 | 0,23 | 0,16 |
Кисломолочные продукты | От 3,0 до 4,5 | 0,25 | 0,37 | 0,26 |
Таблица 11
Метрологические характеристики метода определения массовой
доли сухих веществ в молоке и молочных продуктах
Вид продукта | Диапазон измерений массовой доли сухих веществ, % | Предел повторяемости r, % | Предел воспроизводимости R, % | Границы абсолютной погрешности  , % |
Молоко сырое | От 9,0 до 14,0 | 0,25 | 0,50 | 0,35 |
Молоко питьевое | От 9,0 до 13,5 | 0,22 | 0,45 | 0,32 |
Сливки сырые и питьевые | От 20,0 до 55,0 | 0,22 | 0,45 | 0,32 |
Жидкие кисломолочные продукты | От 9,0 до 16,0 | 0,25 | 0,50 | 0,35 |
Таблица 12
Метрологические характеристики измерений физико-химических
показателей идентификации молока и сливок <*>
Приказом Росстандарта от 12.11.2019 N 1119-ст)
--------------------------------
<*> Метрологические характеристики в таблице 12 были определены с применением ИК-анализатора "DairySpecFT" фирмы "Bentley Instruments (DS FT)" (США)".
Наименование показателя | Диапазон измерений, % | Предел повторяемости r, % | Предел воспроизводимости R, % | Границы абсолютной погрешности  , % |
Массовая доля жира | От 0,1 до 6,0 включ. | 0,08 | 0,15 | 0,10 |
От 6,1 до 42,0 включ. | 0,09 | 0,17 | 0,12 |
Массовая доля белка | От 1,5 до 15,0 | 0,08 | 0,15 | 0,10 |
Массовая доля лактозы | От 2,0 до 5,5 | 0,11 | 0,20 | 0,15 |
Массовая доля сухих веществ | От 8,0 до 50,0 | 0,22 | 0,41 | 0,35 |
Таблица 13
Метрологические характеристики измерений содержания мочевины
в сыром молоке <**>
Приказом Росстандарта от 12.11.2019 N 1119-ст)
--------------------------------
<**> Метрологические характеристики в таблице 13 были определены с применением ИК-анализаторов "MilkoScan FT1 Advanced" фирмы "Foss Analytical A/S" (Дания) и "DairySpecFT" фирмы "Bentley Instruments (DS FT)" (США)".
Наименование показателя | Диапазон измерений, мг/100 см3 | Предел повторяемости r, мг/100 см3 | Предел воспроизводимости R, мг/100 см3 | Границы абсолютной погрешности  , мг/100 см 3 |
Содержание мочевины | От 9,0 до 40,0 включ. | 2,5 | 2,8 | 2,0 |
Более 40,0 | 4,0 | 6,5 | 4,6 |
11 Проверка приемлемости результатов измерений
(раздел 11 в ред.
Изменения N 1, утв. Приказом Росстандарта от 22.09.2016 N 1194-ст)
11.1 Проверка приемлемости результатов измерений, полученных в условиях повторяемости
Проверку приемлемости результатов измерений, полученных в условиях повторяемости (два параллельных определения, n = 2), проводят с учетом требований ГОСТ ИСО 5725-6.
Результаты измерений считаются приемлемыми при условии:
|X1 - X2| <= r, (1)
где X1, X2 - значения двух параллельных определений массовой доли определяемого показателя, полученные в условиях повторяемости, %;
r - предел повторяемости (сходимости), %, значение которого приведено в
таблицах 1 -
13.
(в ред.
Изменения N 2, введенного в действие Приказом Росстандарта от 12.11.2019 N 1119-ст)
Если данное условие не выполняется, то проводят повторные измерения и проверку приемлемости результатов измерений в условиях повторяемости в соответствии с требованиями ГОСТ ИСО 5725-6-2003 (пункт 5.2.2).
(в ред.
Изменения N 2, введенного в действие Приказом Росстандарта от 12.11.2019 N 1119-ст)
11.2 Проверка приемлемости результатов измерений, полученных в условиях воспроизводимости
Проверку приемлемости результатов измерений анализируемых продуктов, полученных в условиях воспроизводимости (в двух лабораториях, n = 2), проводят с учетом требований ГОСТ ИСО 5725-6.
(в ред.
Изменения N 2, введенного в действие Приказом Росстандарта от 12.11.2019 N 1119-ст)
Результаты определений, выполненные в условиях воспроизводимости, считаются приемлемыми при условии:
|X'1 - X'2| <= R, (2)
где X'1, X'2 - значения двух параллельных определений массовой доли определяемого показателя, полученные в двух лабораториях в условиях воспроизводимости, %;
R - предел воспроизводимости, %, значение которого приведено в
таблицах 1 -
13.
(в ред.
Изменения N 2, введенного в действие Приказом Росстандарта от 12.11.2019 N 1119-ст)
Если данное условие не выполняется, то выполняют процедуры в соответствии с требованиями ГОСТ ИСО 5725-6-2003 (пункт 5.3.3).
(в ред.
Изменения N 2, введенного в действие Приказом Росстандарта от 12.11.2019 N 1119-ст)
12 Оформление результатов
Окончательный результат определения физико-химических показателей молочной продукции в документах, предусматривающих его использование, представляют в виде:
где Xср - среднеарифметическое значение результатов двух параллельных определений;

- границы абсолютной погрешности измерений, % (
таблицы 1 -
13).
(в ред.
Изменения N 1, утв. Приказом Росстандарта от 22.09.2016 N 1194-ст,
Изменения N 2, введенного в действие Приказом Росстандарта от 12.11.2019 N 1119-ст)
13 Требования, обеспечивающие безопасность
При выполнении работ необходимо соблюдать следующие требования:
- помещение лаборатории должно быть оборудовано общей приточно-вытяжной вентиляцией в соответствии с требованиями
ГОСТ 12.4.021. Содержание вредных веществ в воздухе рабочей зоны не должно превышать норм, установленных требованиями
ГОСТ 12.1.005;
- требования техники безопасности при работе с химическими реактивами в соответствии с требованиями
ГОСТ 12.1.007;
- требования техники безопасности при работе с электроустановками в соответствии с требованиями
ГОСТ 12.1.019.
Помещение лаборатории должно соответствовать требованиям пожарной безопасности в соответствии с требованиями
ГОСТ 12.1.004 и быть оснащено средствами пожаротушения в соответствии с требованиями
ГОСТ 12.4.009.
14 Требования к оператору
Выполнение измерений должен проводить специалист, имеющий специальное образование, освоивший метод в соответствии с требованиями настоящего стандарта.
Инструктаж специалиста по работе с инфракрасным анализатором проводит представитель компании - производителя инфракрасных анализаторов.
(справочное)
РЕКОМЕНДУЕМЫЕ ИНФРАКРАСНЫЕ АНАЛИЗАТОРЫ ДЛЯ КОНТРОЛЯ МОЛОКА
И МОЛОЧНЫХ ПРОДУКТОВ
Приложение А исключено с 01.01.2017. -
Изменение N 1, утв. Приказом Росстандарта от 22.09.2016 N 1194-ст.
(обязательное)
ОПРЕДЕЛЕНИЯ МАССОВОЙ ДОЛИ ЛАКТОЗЫ ПОЛЯРИМЕТРИЧЕСКИМ
МЕТОДОМ ДЛЯ ГРАДУИРОВКИ ИНФРАКРАСНЫХ АНАЛИЗАТОРОВ
ПРИ ИЗМЕРЕНИИ МАССОВОЙ ДОЛИ ЛАКТОЗЫ В МОЛОКЕ
И МОЛОЧНЫХ ПРОДУКТАХ
Б.1 Сущность метода
Метод основан на поляриметрическом определении содержания лактозы после осаждения белков и жиров уксуснокислым цинком и железистосинеродистым калием.
Метод применяется для молока и молочных продуктов, не содержащих сахарозу.
Б.2 Средства измерений, вспомогательное оборудование, посуда, реактивы и материалы
Сахариметр универсальный диапазоном измерения угла вращения плоскости поляризации при длине волны 589,3 нм от минус 40 °S до плюс 130 °S, пределом абсолютной допускаемой погрешности не более +/- 0,05, со стеклянными кюветами длиной 200 и 400 мм.
Колбы 1-100-2, 2-100-2, 1-200-2, 2-200-2, 1-1000-2, 2-1000-2 по
ГОСТ 1770.
Пипетки 1-2-5, 2-2-5, 1-2-25, 2-2-25 по
ГОСТ 29169.
Воронки типа В, диаметром 36, 75, 100 мм, из химически стойкого стекла группы ХС по
ГОСТ 25336.
Калий железистосинеродистый 3-водный (желтая кровяная соль) по
ГОСТ 4207, х.ч. или ч.д.а., раствор массовой концентрации 150 г/дм
3.
Кислота соляная по
ГОСТ 3118, х.ч., раствор молярной концентрации
c(HCl) = 4,0 моль/дм
3.
Крахмал растворимый по
ГОСТ 10163, 1%-ный раствор.
Натрий серноватистокислый (тиосульфат натрия) 5-водный
ГОСТ 27068, х.ч., раствор молярной концентрации 0,1 моль/дм
3.
Цинк уксуснокислый 9-водный по
ГОСТ 5823, ч.д.а., раствор массовой концентрации 300 г/дм
3.
Допускается применение других средств измерения, вспомогательного оборудования, не уступающих вышеуказанным по метрологическим и техническим характеристикам и обеспечивающих необходимую точность измерения, а также реактивов и материалов по качеству не хуже вышеуказанных.
Б.3 Подготовка к проведению измерений
Б.3.1 Приготовление раствора уксуснокислого цинка массовой концентрации 300 г/дм3
В мерную колбу вместимостью 1000 см3 помещают (300,00 +/- 0,01) г уксуснокислого цинка, добавляют небольшое количество дистиллированной воды и тщательно перемешивают. Объем раствора доводят дистиллированной водой до метки.
Срок хранения раствора при температуре (20 +/- 5) °C - не более 3 мес.
Б.3.2 Приготовление раствора железистосинеродистого калия массовой концентрации 150 г/дм3
В мерную колбу вместимостью 1000 см3 помещают (150,000 +/- 0,001) г железистосинеродистого калия, добавляют небольшое количество дистиллированной воды и тщательно перемешивают. Объем раствора доводят дистиллированной водой до метки.
Срок хранения раствора в склянке из темного стекла в темном месте при температуре (20 +/- 5) °C - не более 3 мес.
Б.3.3 Приготовление раствора соляной кислоты молярной концентрации c(HCl) = 4 моль/дм3
В мерную колбу вместимостью 1000 см3 помещают 300 - 400 см3 дистиллированной воды и осторожно при перемешивании 340 см3 концентрированной соляной кислоты плотностью 1,188 г/см3. Объем раствора доводят дистиллированной водой до метки.
Срок хранения раствора при температуре (20 +/- 5) °C - не более 3 мес.
Б.3.4 Приготовление раствора серноватистокислого натрия (тиосульфата натрия) молярной концентрации c(Na2S2O3·
5H2O) = 0,1 моль/дм3
Б.3.4.1 В мерную колбу вместимостью 1000 см3 помещают (24,800 +/- 0,001) г тиосульфата натрия, растворяют в небольшом количестве бидистиллированной воды, прибавляют (0,200 +/- 0,001) г безводного углекислого натрия и перемешивают. Объем раствора доводят бидистиллированной водой до метки. Для приготовления раствора тиосульфата натрия используют также свежепрокипяченную дистиллированную воду. Охлаждают воду в колбе с закрытой пробкой, через которую проходит хлоркальциевая трубка, наполненная кусочками натронной извести.
Срок хранения раствора в склянке из темного стекла в темном месте при температуре (20 +/- 5) °C - не более 1 мес.
Б.3.4.2 Определение массовой концентрации раствора серноватистокислого натрия
В коническую колбу вместимостью 500 см
3 с притертой пробкой вносят 1 - 2 г йодистого калия, приливают 2 - 3 см
3 дистиллированной воды, затем прибавляют 5 см
3 соляной кислоты, полученной разбавлением с дистиллированной водой в соотношении 1:5, вносят 20 см
3 раствора двухромовокислого калия
(Б.3.6). Закрыв колбу пробкой, содержимое тщательно перемешивают, дают раствору постоять 5 мин, после чего титруют раствором серноватистокислого натрия (массовую концентрацию которого устанавливают), приливая его из бюретки вместимостью 25 см
3 постепенно при постоянном перемешивании. Когда коричневый цвет раствора перейдет в желтовато-зеленый, в колбу добавляют 1 см
3 1%-ного раствора крахмала
(Б.3.5) и 250 - 300 см
3 дистиллированной воды (для более точного определения окончания титрования). Затем титрование продолжают, приливая тиосульфат натрия по каплям до резкого перехода цвета раствора от синего до светло-зеленого, обусловленного ионами трехвалентного хрома.
Массовую концентрацию (титр раствора) раствора серноватистокислого натрия C1, в пересчете на сахарозу, г/см3, вычисляют по формуле

(Б.1)
где 0,0171 - массовая концентрация сахарозы, соответствующая 1 см3 раствора тиосульфата натрия молярной концентрации 0,1 моль/дм3, г/см3;
20 - объем раствора двухромовокислого калия молярной концентрации 0,1 моль/дм3, см3;
V1 - объем раствора тиосульфата натрия, израсходованный на титрование 20 см3 раствора двухромовокислого калия молярной концентрации 0,1 моль/дм3, см3.
Вычисления проводят до четвертого десятичного знака.
Б.3.5 Приготовление 1%-ного раствора крахмала
(1,000 +/- 0,001) г крахмала растворяют в 10 см3 холодной дистиллированной воды. Полученную смесь приливают тонкой струйкой при непрерывном помешивании в 90 см3 кипящей дистиллированной воды. Горячий готовый крахмал отфильтровывают в бутылку и закрывают ее пробкой.
Приготовленный крахмал может быть пастеризован при температуре (85 +/- 2) °C.
Срок хранения пастеризованного раствора крахмала при температуре (6 +/- 2) °C - не более 1 мес.
Б.3.6 Приготовление раствора двухромовокислого калия молярной концентрации c(K2Cr2O7) = 0,017 моль/дм3
В мерную колбу вместимостью 1000 см3 помещают 4,9038 г двухромовокислого калия, предварительно перекристаллизованного и высушенного при температуре (158 +/- 2) °C, растворяют в небольшом количестве дистиллированной воды. Объем раствора доводят дистиллированной водой до метки.
Срок хранения раствора в склянке из темного стекла в темном месте при температуре (20 +/- 5) °C - не более 1 мес.
Б.4 Проведение измерений
Б.4.1 Приготовление фильтрата
В стакан вместимостью 100 см
3 помещают (33,000 +/- 0,001) г продукта, подготовленного в соответствии с
разделом 7, и количественно переносят в мерную колбу вместимостью 200 см
3, омывая стакан несколько раз дистиллированной водой, при этом объем дистиллированной воды должен составлять не более половины объема колбы.
Для осаждения белков и жиров в колбу прибавляют по 3 см
3 для сыворотки и сывороточных напитков и по 5 см
3 для остальных продуктов растворов уксуснокислого цинка
(Б.3.1) и железистосинеродистого калия
(Б.3.2).
После добавления каждого раствора содержимое колбы осторожно перемешивают, не допуская образования пузырьков. Объем раствора доводят дистиллированной водой до метки, тщательно перемешивают и оставляют на 10 мин при температуре (20 +/- 2) °C.
Через 10 мин содержимое колбы фильтруют через сухой складчатый бумажный фильтр в сухую колбу.
Фильтраты должны быть прозрачные.
Б.4.2 Фильтрат поляризуют без светофильтра в поляриметрической кювете длиной 400 мм.
Кювету заполняют раствором дважды и каждый раз делают по три - пять отсчетов по шкале сахариметра. Среднеарифметическое значение результатов показаний шкалы сахариметра (Р) находят из 6 - 10 отсчетов.
Б.5 Обработка результатов измерений
Б.5.1 Массовую долю лактозы в твороге и творожных продуктах Xлак1, %, при использовании кюветы длиной 400 мм, вычисляют по формуле:
Xлак1 = P3·K4, (Б.2)
где P3 - среднеарифметическое значение показаний шкалы сахариметра, °S;
K4 - поправка на объем осадка.
При использовании кюветы длиной 200 мм полученное значение массовой доли лактозы умножают на коэффициент 2.
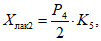
Б.5.2 Массовую долю лактозы в других молочных продуктах Xлак2, %, при использовании кюветы длиной 400 мм, вычисляют по формуле:

(Б.3)
где P4 - среднеарифметическое значение показаний шкалы сахариметра, °S;
K5 - поправка на объем осадка.
При использовании кюветы длиной 200 мм полученное значение массовой доли лактозы умножают на коэффициент 2.
Б.5.3 Определение поправки на объем осадка
В коническую колбу вместимостью 250 см
3 пипеткой приливают 25 см
3 фильтрата
(Б.4.1). Добавляют (0,600 +/- 0,001) г йодистого калия и 5 см
3 раствора соляной кислоты молярной концентрации 4 моль/дм
3 (Б.3.3). Содержимое колбы перемешивают и титруют раствором серноватистокислого натрия молярной концентрации 0,1 моль/дм
3 (Б.3.4). После перехода цвета титруемого раствора из бурого в желтоватый в колбу прибавляют 1 см
3 1%-ного раствора крахмала
(Б.3.5) и титруют до исчезновения синей окраски. Поправку на объем образовавшегося осадка (
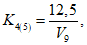
K4(5)) в мерной колбе при осветлении раствора вычисляют до четвертого десятичного знака и округляют до первого десятичного знака по формуле

(Б.4)
где 12,5 - эмпирический коэффициент пересчета;
V9 - количество раствора серноватистокислого натрия молярной концентрации 0,1 моль/дм3, пошедшее на титрование, см3.
За окончательный результат принимают среднеарифметическое значение результатов двух параллельных определений, округленное до первого десятичного знака, если выполняется условие приемлемости по
разделу 11.
Б.5.4 Приписанные характеристики погрешности и ее составляющих метода определения содержания лактозы при P = 0,95 приведены в таблице Б.1.
Таблица Б.1
Диапазон измерений массовой доли лактозы, % | Предел повторяемости r, % | Предел воспроизводимости R, % | Границы абсолютной погрешности  , % |
0,5 - 2,0 | 0,2 | 0,4 | 0,3 |
2,0 - 50,0 | 0,4 | 0,9 | 0,7 |
Приказом Росстандарта от 12.11.2019 N 1119-ст)
| Технический регламент Таможенного союза | О безопасности молока и молочной продукции |
УДК 637.12.04/.07:006.354 | |
Ключевые слова: молоко, продукция молочная, инфракрасный анализатор, инструментальный экспресс-метод анализа, массовая доля белка, массовая доля жира, массовая доля лактозы, массовая доля сухого обезжиренного вещества |
(в ред.
Изменения N 1, утв. Приказом Росстандарта от 22.09.2016 N 1194-ст)