Главная // Актуальные документы // ГОСТ Р (Государственный стандарт)СПРАВКА
Источник публикации
М.: Стандартинформ, 2019
Примечание к документу
Документ включен в
Перечень стандартов, содержащих правила и методы исследований (испытаний) и измерений, в том числе правила отбора образцов, необходимые для применения и исполнения требований технического
регламента Таможенного союза "О безопасности молока и молочной продукции" (ТР ТС 033/2013) и осуществления оценки соответствия объектов технического регулирования (
Решение Коллегии Евразийской экономической комиссии от 26.05.2014 N 80).
Документ
введен в действие с 01.01.2014.
Название документа
"ГОСТ Р 55282-2012. Национальный стандарт Российской Федерации. Молоко сырое. Колориметрический метод определения содержания мочевины"
(утв. и введен в действие Приказом Росстандарта от 29.11.2012 N 1446-ст)
"ГОСТ Р 55282-2012. Национальный стандарт Российской Федерации. Молоко сырое. Колориметрический метод определения содержания мочевины"
(утв. и введен в действие Приказом Росстандарта от 29.11.2012 N 1446-ст)
Утвержден и введен в действие
агентства по техническому
регулированию и метрологии
от 29 ноября 2012 г. N 1446-ст
НАЦИОНАЛЬНЫЙ СТАНДАРТ РОССИЙСКОЙ ФЕДЕРАЦИИ
МОЛОКО СЫРОЕ
КОЛОРИМЕТРИЧЕСКИЙ МЕТОД ОПРЕДЕЛЕНИЯ СОДЕРЖАНИЯ МОЧЕВИНЫ
Raw milk. The colorimetric method
of urea content determination
ГОСТ Р 55282-2012
Дата введения
1 января 2014 года
1 РАЗРАБОТАН Государственным научным учреждением "Всероссийский научно-исследовательский институт молочной промышленности" Российской академии сельскохозяйственных наук (ГНУ "ВНИМИ" Россельхозакадемии)
2 ВНЕСЕН Техническим комитетом по стандартизации ТК 470 "Молоко и продукты переработки молока"
3 УТВЕРЖДЕН И ВВЕДЕН В ДЕЙСТВИЕ
Приказом Федерального агентства по техническому регулированию и метрологии от 29 ноября 2012 г. N 1446-ст
4 ВВЕДЕН ВПЕРВЫЕ
5 ПЕРЕИЗДАНИЕ. Ноябрь 2019 г.
Правила применения настоящего стандарта установлены в статье 26 Федерального закона от 29 июня 2015 г. N 162-ФЗ "О стандартизации в Российской Федерации". Информация об изменениях к настоящему стандарту публикуется в ежегодном (по состоянию на 1 января текущего года) информационном указателе "Национальные стандарты", а официальный текст изменений и поправок -
в ежемесячном информационном указателе "Национальные стандарты". В случае пересмотра (замены) или отмены настоящего стандарта соответствующее уведомление будет опубликовано в ближайшем выпуске ежемесячного информационного указателя "Национальные стандарты". Соответствующая информация, уведомление и тексты размещаются также в информационной системе общего пользования -
на официальном сайте Федерального агентства по техническому регулированию и метрологии в сети Интернет (www.gost.ru)
Настоящий стандарт распространяется на сырое молоко (далее - молоко) и устанавливает колориметрический метод определения содержания мочевины.
В настоящем стандарте использованы нормативные ссылки на следующие стандарты:
ГОСТ 12.1.004 Система стандартов безопасности труда. Пожарная безопасность. Общие требования
ГОСТ 12.1.005 Система стандартов безопасности труда. Общие санитарно-гигиенические требования к воздуху рабочей зоны
ГОСТ 12.1.007 Система стандартов безопасности труда. Вредные вещества. Классификация и общие требования безопасности
ГОСТ 12.1.019 Система стандартов безопасности труда. Электробезопасность. Общие требования и номенклатура видов защиты
ГОСТ 12.4.009 Система стандартов безопасности труда. Пожарная техника для защиты объектов. Основные виды. Размещение и обслуживание
ГОСТ 12.4.021 Система стандартов безопасности труда. Системы вентиляционные. Общие требования
ГОСТ 618 Фольга алюминиевая для технических целей. Технические условия
ГОСТ 1770 (ИСО 1042-83, ИСО 4788-80) Посуда мерная лабораторная стеклянная. Цилиндры, мензурки, колбы, пробирки. Общие технические условия
ГОСТ 4147 Реактивы. Железо (III) хлорид 6-водный. Технические условия
ГОСТ 4204 Реактивы. Кислота серная. Технические условия
ГОСТ 5962 Спирт этиловый ректификованный из пищевого сырья. Технические условия
ГОСТ 6709 Вода дистиллированная. Технические условия
ГОСТ 12026 Бумага фильтровальная лабораторная. Технические условия
ГОСТ 25336 Посуда и оборудование лабораторные стеклянные. Типы, основные параметры и размеры
ГОСТ 26809.1 Молоко и молочная продукция. Правила приемки, методы отбора и подготовка проб к анализу. Часть 1. Молоко, молочные, молочные составные и молокосодержащие продукты
ГОСТ 27752 Часы электронно-механические кварцевые настольные. Настенные и часы-будильники. Общие технические условия
ГОСТ 28498 Термометры жидкостные стеклянные. Общие технические требования. Методы испытаний
ГОСТ 29227 (ИСО 835-1-81) Посуда лабораторная стеклянная. Пипетки градуированные. Часть 1. Общие требования
ГОСТ Р ИСО 5725-1-2002 Точность (правильность и прецизионность) методов и результатов измерений. Часть 1. Основные положения и определения
ГОСТ Р ИСО 5725-6-2002 Точность (правильность и прецизионность) методов и результатов измерений. Часть 6. Использование значений точности на практике
ГОСТ Р 52738 Молоко и продукты переработки молока. Термины и определения
Примечание - При пользовании настоящим стандартом целесообразно проверить действие ссылочных стандартов в информационной системе общего пользования - на официальном сайте Федерального агентства по техническому регулированию и метрологии в сети Интернет или по ежегодному информационному указателю "Национальные стандарты", который опубликован по состоянию на 1 января текущего года, и по выпускам ежемесячного информационного указателя "Национальные стандарты" за текущий год. Если заменен ссылочный стандарт, на который дана недатированная ссылка, то рекомендуется использовать действующую версию этого стандарта с учетом всех внесенных в данную версию изменений. Если заменен ссылочный стандарт, на который дана датированная ссылка, то рекомендуется использовать версию этого стандарта с указанным выше годом утверждения (принятия). Если после утверждения настоящего стандарта в ссылочный стандарт, на который дана датированная ссылка, внесено изменение, затрагивающее положение, на которое дана ссылка, то это положение рекомендуется применять без учета данного изменения. Если ссылочный стандарт отменен без замены, то положение, в котором дана ссылка на него, рекомендуется применять в части, не затрагивающей эту ссылку.
В настоящем стандарте применены термины, установленные нормативным правовым актом Российской Федерации
[1],
ГОСТ Р 52738, а также следующий термин с соответствующим определением:
3.1 колориметрический метод: Метод, основанный на измерении поглощения света окрашенными растворами в видимой части спектра с помощью фотоэлементов.
Метод основан на взаимодействии мочевины с диацетилмоноксимом в кислой среде в присутствии тиосемикарбазида и трехвалентного железа с образованием окрашенного комплекса. Количество мочевины определяют колориметрическим методом.
5 Средства измерений, вспомогательное оборудование, посуда и реактивы
Весы со значением СКО, не превышающим 0,3 мг, и с погрешностью от нелинейности не более 0,6 мг по документации изготовителя.
Колориметр фотоэлектрический спектральным диапазоном измерения от 315 до 980 нм, пределом допускаемого значения основной абсолютной погрешности при измерении коэффициента пропускания не более +/- 1%, с кюветами рабочей длиной 5 мм.
Термометр жидкостный диапазоном измерения температуры от 0 °C до 100 °C с ценой деления шкалы 1 °C по
ГОСТ 28498.
Баня водяная термостатируемая.
Центрифуга с частотой вращения не менее 1000 об/мин.
Колбы Кн-1-100-14/23 ТС, Кн-1-250-29/32 ТС по
ГОСТ 25336.
Фольга алюминиевая для технических целей по
ГОСТ 618.
Диацетилмоноксим массовой долей основного вещества не менее 99,98%.
Кислота трихлоруксусная.
Тиосемикарбазид гидрохлорид.
Допускается применение других средств измерений, вспомогательного оборудования, не уступающих вышеуказанным по метрологическим и техническим характеристикам и обеспечивающим необходимую точность измерения, а также реактивов и материалов по качеству не хуже вышеуказанных.
В случае, если анализ не может быть проведен сразу после отбора проб, их хранят при температуре (4 +/- 2) °C не более 3 сут.
7 Подготовка к выполнению измерений
7.1 Приготовление растворов
7.1.1 Приготовление спиртового раствора диацетилмоноксима массовой долей 1%
В мерную колбу вместимостью 100 см3 помещают (1,000 +/- 0,001) г диацетилмоноксима. Добавляют небольшое количество спирта, тщательно перемешивают. Объем раствора доводят спиртом до метки.
Срок хранения раствора при температуре (20 +/- 5) °C в темном месте в склянке из темного стекла - не более 1 мес.
7.1.2 Приготовление 25%-ного раствора (по объему) серной кислоты
В коническую колбу вместимостью 250 см3 помещают 75 см3 дистиллированной воды температурой (20 +/- 2) °C и 25 см3 серной кислоты. Раствор аккуратно перемешивают.
Срок хранения раствора при температуре (20 +/- 5) °C - не более 3 мес.
7.1.3 Приготовление раствора тиосемикарбазида гидрохлорида массовой концентрации 0,25 г/дм3 в растворе серной кислоты
В мерную колбу вместимостью 100 см
3 помещают (0,025 +/- 0,001) г тиосемикарбазида гидрохлорида. Добавляют небольшое количество раствора серной кислоты, подготовленного по
7.1.2, и тщательно перемешивают. Объем раствора доводят раствором серной кислоты до метки.
Срок хранения раствора в темном месте при температуре (20 +/- 5) °C в склянке из темного стекла - не более 1 мес.
7.1.4 Приготовление раствора трихлоруксусной кислоты массовой концентрации 50,0 г/дм3
В мерную колбу вместимостью 100 см3 помещают (5,000 +/- 0,001) г трихлоруксусной кислоты. Добавляют небольшое количество дистиллированной воды и тщательно перемешивают. Объем раствора доводят дистиллированной водой до метки.
Срок хранения раствора при температуре (20 +/- 5) °C - не более 1 мес.
7.1.5 Приготовление растворов мочевины молярной концентрации 8,33 ммоль/дм3
В мерную колбу вместимостью 100 см3 помещают (0,050 +/- 0,001) г мочевины. Добавляют небольшое количество дистиллированной воды и тщательно перемешивают. Объем раствора доводят дистиллированной водой до метки.
Срок хранения раствора при температуре (20 +/- 5) °C - не более 1 мес.
7.1.6 Приготовление раствора хлорида железа массовой концентрации 1,0 г/дм3
В мерную колбу вместимостью 100 см3 помещают (0,100 +/- 0,001) г хлорида железа (III) 6-водного. Добавляют небольшое количество дистиллированной воды и тщательно перемешивают. Объем раствора доводят дистиллированной водой до метки.
Срок хранения раствора при температуре (20 +/- 5) °C - не более 1 мес.
7.1.7 Приготовление рабочего раствора реактивов
Раствор готовят быстро. В конической колбе вместимостью 100 см
3 смешивают 10,0 см
3 спиртового раствора диацетилмоноксима по
7.1.1, 10,0 см
3 раствора серной кислоты по
7.1.2, 2,0 см
3 раствора тиосемикарбазида гидрохлорида по
7.1.3 и 0,4 см
3 раствора хлорида железа по
7.1.6. Немедленно добавляют 58,0 см
3 дистиллированной воды и перемешивают.
Срок хранения раствора при температуре (20 +/- 5) °C - не более 24 час.
7.2 Подготовка анализируемой пробы
В стеклянную пробирку пипеткой вносят 1,0 см
3 анализируемого молока и 10,0 см
3 раствора трихлоруксусной кислоты по
7.1.4. Содержимое пробирки тщательно перемешивают и центрифугируют при 1000 - 2000 об/мин в течение 3 - 5 мин. Затем надосадочную жидкость фильтруют через бумажный фильтр.
7.3 Подготовка контрольной пробы
7.3.1 Подготавливают контрольную пробу по
7.2, но вместо анализируемого молока берут 1,0 см
3 дистиллированной воды.
7.3.2 В стеклянную пробирку пипеткой вносят 5 см
3 рабочего раствора реактивов по
7.1.7 и 0,25 или 0,5 см
3 контрольной пробы по
7.3.1. Объем раствора контрольной пробы должен совпадать с объемом фильтрата, взятого для анализа.
7.4 Подготовка калибровочной пробы
7.4.1 В стеклянную пробирку пипеткой вносят 1,0 см
3 раствора мочевины
(7.1.5) и 10,0 см
3 раствора трихлоруксусной кислоты
(7.1.4). Содержимое пробирки тщательно перемешивают.
7.4.2 В стеклянную пробирку пипеткой вносят 0,25 или 0,5 см
3 (в зависимости от предположительного содержания мочевины в молоке) раствора мочевины в трихлоруксусной кислоте
(7.4.1) и 5 см
3 рабочего раствора реактивов
(7.1.7). Объем раствора мочевины
(7.4.1) должен совпадать с объемом фильтрата, взятого для анализа.
8 Условия проведения измерений
При выполнении измерений в лаборатории должны соблюдаться следующие условия:
- температура окружающего воздуха ................ (20 +/- 5) °C;
- относительная влажность воздуха ................ (55 +/- 25)%;
- атмосферное давление ........................... (96 +/- 10) кПа;
- частота переменного тока ....................... (50 +/- 5) Гц;
- напряжение в сети .............................. (220 +/- 10) В.
9.1 Пробу анализируют два раза в условиях повторяемости в соответствии с требованиями ГОСТ Р ИСО 5725-1-2002
(подраздел 3.14).
В стеклянную пробирку вместимостью 10 см
3 пипеткой вносят в зависимости от содержания мочевины 0,25 или 0,5 см
3 фильтрата
(7.2) и 5 см
3 рабочего раствора реактивов
(7.1.7). Подготовленную анализируемую пробу тщательно перемешивают.
9.2 Пробирки с анализируемой пробой
(9.1), контрольной пробой
(7.3) и калибровочной пробой
(7.4) закрывают крышками из алюминиевой фольги и нагревают (выдерживают) на кипящей водяной бане в течение 10 мин. В результате в пробирках с анализируемой и калибровочной пробами появляется розовое окрашивание, стабильное в течение 15 мин.
9.3 По окончании нагрева пробы охлаждают под холодной проточной водой и измеряют оптическую плотность анализируемой пробы и калибровочной пробы относительно контрольной пробы.
Измерение оптической плотности проводят в кюветах рабочей длиной 5 мм при длине волны 540 нм не позднее чем через 15 мин после выдерживания на кипящей водяной бане.
10 Обработка результатов измерений
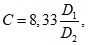
10.1 Молярную концентрацию мочевины в анализируемой пробе C, ммоль/дм3, определяют по формуле

(1)
где 8,33 - молярная концентрация мочевины в калибровочном растворе, ммоль/дм3;
D1 - оптическая плотность анализируемой пробы, отн. ед.;
D2 - оптическая плотность калибровочной пробы, отн. ед.
10.2 При необходимости вычисляют массовую долю мочевины в молоке M, мг%, по формуле
M = C·6, (2)
где 6 - коэффициент пересчета кубических миллимолей в миллиграммы проценты (6 мг% = 1 ммоль/дм3).
За окончательный результат принимают среднеарифметическое значение результатов двух параллельных определений, округленное до второго десятичного знака.
11 Контроль точности результатов измерений
11.1 Метрологические характеристики метода определения молярной концентрации мочевины
Приписанные характеристики погрешности и ее составляющих метода определения молярной концентрации мочевины в молоке представлены в
таблице 1.
Диапазон измерения молярной концентрации мочевины, ммоль/дм3 | Предел повторяемости r, ммоль/дм3 | Предел воспроизводимости R, ммоль/дм3 | Границы абсолютной погрешности  , ммоль/дм 3 |
0,03 - 2,00 | 0,02 | 0,05 | 0,03 |
2,00 - 10,00 | 0,05 | 0,1 | 0,07 |
10,00 - 20,00 | 0,50 | 0,80 | 0,60 |
Приписанные характеристики погрешности и ее составляющих метода определения массовой доли мочевины в молоке представлены в
таблице 2.
Диапазон измерения массовой доли мочевины, мг% | Предел повторяемости, r, мг% | Предел воспроизводимости, R, мг% | Границы абсолютной погрешности  , мг% |
0 - 9,9 | 0,1 | 0,3 | 0,2 |
10,0 - 49,9 | 0,3 | 0,6 | 0,4 |
50,0 - 100,0 | 3,0 | 5,0 | 2,0 |
11.2 Проверка приемлемости результатов измерений, полученных в условиях повторяемости
Проверку приемлемости результатов определения молярной концентрации (массовой доли) мочевины в анализируемом продукте, полученных в условиях повторяемости (два параллельных определения,
n = 2), проводят с учетом требований ГОСТ Р ИСО 5725-6-2002
(пункт 5.2.2).
Результаты измерений считаются приемлемыми при условии:
|X1 - X2| <= r, (3)
где X1, X2 - значения результатов двух параллельных определений массовой концентрации мочевины в анализируемом продукте, полученные в условиях повторяемости, ммоль/дм3 (мг%);
r - предел повторяемости (сходимости), значение которого приведено в
таблицах 1,
2, ммоль/дм
3 (мг%).
Если данное условие не выполняется, то проводят повторные измерения и проверку приемлемости результатов измерений в условиях повторяемости в соответствии с требованиями ГОСТ Р ИСО 5725-6-2002
(пункт 5.2.2).
При повторном превышении указанного норматива выясняют причины, приводящие к неудовлетворительным результатам анализа.
11.3 Проверка приемлемости результатов измерений, полученных в условиях воспроизводимости
Проверку приемлемости результатов определения молярной концентрации мочевины в анализируемом продукте, полученных в условиях воспроизводимости (в двух лабораториях,
m = 2), проводят с учетом требований ГОСТ Р ИСО 5725-6-2002
(пункт 5.3.2.1).
Результаты измерений, выполненные в условиях воспроизводимости, считаются приемлемыми при условии
|X'1 - X'2| <= R, (4)
где X'1, X'2 - значения двух определений молярной концентрации мочевины в анализируемом продукте, полученные в двух лабораториях в условиях воспроизводимости, ммоль/дм3 (мг%);
R - предел воспроизводимости, значение которого приведено в
таблицах 1,
2, ммоль/дм
3 (мг%).
Если данное условие не выполняется, то выполняют процедуры в соответствии с требованиями ГОСТ Р ИСО 5725-6-2002
(пункт 5.3.3).
12 Оформление результатов измерений
Результат определения молярной концентрации (массовой доли) мочевины в анализируемом продукте представляют в документах, предусматривающих его использование, в виде:

при
P = 0,95, (5)
где Xср - среднеарифметическое значение результатов двух параллельных определений, ммоль/дм3 (мг%);

- границы абсолютной погрешности измерений, ммоль/дм
3 (мг%) (см.
таблицы 1,
2).
13 Требования безопасности
13.1 При выполнении работ необходимо соблюдать следующие требования:
- помещение лаборатории должно быть оборудовано общей приточно-вытяжной вентиляцией в соответствии с требованиями
ГОСТ 12.4.021. Содержание вредных веществ в воздухе рабочей зоны не должно превышать норм, установленных требованиями
ГОСТ 12.1.005;
- требования техники безопасности при работе с химическими реактивами в соответствии с требованиями
ГОСТ 12.1.007;
- требования техники безопасности при работе с электроустановками в соответствии с требованиями
ГОСТ 12.1.019.
Помещение лаборатории должно соответствовать требованиям пожарной безопасности в соответствии с требованиями
ГОСТ 12.1.004 и быть оснащено средствами пожаротушения в соответствии с требованиями
ГОСТ 12.4.009.
13.2 Требования к оператору
Выполнение определений может проводить специалист, имеющий специальное образование, освоивший метод и уложившийся в норматив контроля точности при выполнении процедур контроля точности.
| Федеральный закон от 12 июня 2008 г. N 88-ФЗ <1> "Технический регламент на молоко и молочную продукцию" (с изменением) |
--------------------------------
УДК 637.12.04/07:576.8:006.354 | |
Ключевые слова: молоко сырое, мочевина, молярная концентрация, массовая доля, колориметрический метод, термины и определения, сущность метода, отбор проб, подготовка к проведению измерений, обработка результатов измерений, контроль точности результатов измерений, предел повторяемости, предел воспроизводимости, границы относительной погрешности, оформление результатов, требования безопасности |