Главная // Актуальные документы // ГОСТ (Государственный стандарт)СПРАВКА
Источник публикации
М.: ФГБУ "Институт стандартизации", 2023
Примечание к документу
Текст данного документа приведен с учетом
поправки, опубликованной в "ИУС", N 4, 2024;
поправки, опубликованной в "ИУС", N 6, 2024.
Документ
введен в действие с 01.01.2024.
Название документа
"ГОСТ 34987-2023. Межгосударственный стандарт. Мясо и мясные продукты. Методы определения жирнокислотного состава"
(введен в действие Приказом Росстандарта от 05.10.2023 N 1068-ст)
"ГОСТ 34987-2023. Межгосударственный стандарт. Мясо и мясные продукты. Методы определения жирнокислотного состава"
(введен в действие Приказом Росстандарта от 05.10.2023 N 1068-ст)
по техническому регулированию
и метрологии
от 5 октября 2023 г. N 1068-ст
МЕЖГОСУДАРСТВЕННЫЙ СТАНДАРТ
МЯСО И МЯСНЫЕ ПРОДУКТЫ
МЕТОДЫ ОПРЕДЕЛЕНИЯ ЖИРНОКИСЛОТНОГО СОСТАВА
Meat and meat products. Methods for determination
of fatty acids composition
ГОСТ 34987-2023
Дата введения
1 января 2024 года
Цели, основные принципы и общие правила проведения работ по межгосударственной стандартизации установлены
ГОСТ 1.0 "Межгосударственная система стандартизации. Основные положения" и
ГОСТ 1.2 "Межгосударственная система стандартизации. Стандарты межгосударственные, правила и рекомендации по межгосударственной стандартизации. Правила разработки, принятия, обновления и отмены"
1 РАЗРАБОТАН Федеральным государственным бюджетным научным учреждением "Федеральный научный центр пищевых систем имени В.М. Горбатова" РАН (ФГБНУ "ФНЦ пищевых систем им. В.М. Горбатова" РАН)
2 ВНЕСЕН Федеральным агентством по техническому регулированию и метрологии
3 ПРИНЯТ Межгосударственным советом по стандартизации, метрологии и сертификации (протокол от 31 августа 2023 г. N 164-П)
За принятие проголосовали:
Краткое наименование страны по МК (ИСО 3166) 004-97 | Код страны по МК (ИСО 3166) 004-97 | Сокращенное наименование национального органа по стандартизации |
Армения | AM | ЗАО "Национальный орган по стандартизации и метрологии" Республики Армения |
Беларусь | BY | Госстандарт Республики Беларусь |
Киргизия | KG | Кыргызстандарт |
Россия | RU | Росстандарт |
Таджикистан | TJ | Таджикстандарт |
Узбекистан | UZ | Узстандарт |
4
Приказом Федерального агентства по техническому регулированию и метрологии от 5 октября 2023 г. N 1068-ст межгосударственный стандарт ГОСТ 34987-2023 введен в действие в качестве национального стандарта Российской Федерации с 1 января 2024 г.
5 ВВЕДЕН ВПЕРВЫЕ
Информация о введении в действие (прекращении действия) настоящего стандарта и изменений к нему на территории указанных выше государств публикуется в указателях национальных стандартов, издаваемых в этих государствах, а также в сети Интернет на сайтах соответствующих национальных органов по стандартизации.
В случае пересмотра, изменения или отмены настоящего стандарта соответствующая информация будет опубликована на официальном интернет-сайте Межгосударственного совета по стандартизации, метрологии и сертификации в каталоге "Межгосударственные стандарты"
Настоящий стандарт распространяется на продукты убоя (мясо, субпродукты) всех видов убойных животных и сельскохозяйственной птицы, а также мясную продукцию (включая мясные и мясосодержащие консервы), в том числе из мяса птицы (далее - мясная продукция), и устанавливает следующие методы определения жирнокислотного состава:
- метод определения массовой доли жирных кислот в виде метиловых эфиров с помощью газовой хроматографии с пламенно-ионизационным детектором (ГХ-ПИД) с диапазоном измерений от 0,1% до 100,0%;
- метод определения массовой доли насыщенных жирных кислот с применением спектроскопии в ближней инфракрасной области (БИК-спектроскопии) с диапазоном измерений от 0,4% до 80,0%.
В настоящем стандарте использованы нормативные ссылки на следующие межгосударственные стандарты:
ГОСТ 12.1.004 Система стандартов безопасности труда. Пожарная безопасность. Общие требования
ГОСТ 12.1.007 Система стандартов безопасности труда. Вредные вещества. Классификация и общие требования безопасности
ГОСТ 12.1.019 Система стандартов безопасности труда. Электробезопасность. Общие требования и номенклатура видов защиты
ГОСТ 12.4.009 Система стандартов безопасности труда. Пожарная техника для защиты объектов. Основные виды. Размещение и обслуживание
ГОСТ 1770 (ИСО 1042-83, ИСО 4788-80) Посуда мерная лабораторная стеклянная. Цилиндры, мензурки, колбы, пробирки. Общие технические условия
ГОСТ 2768 Ацетон технический. Технические условия
ГОСТ 3022 Водород технический. Технические условия
ГОСТ 4025 Мясорубки бытовые. Технические условия
ГОСТ 7269 Мясо. Методы отбора образцов и органолептические методы определения свежести
ГОСТ 8756.0 Продукты пищевые консервированные. Отбор проб и подготовка их к испытанию
ГОСТ 9293 (ИСО 2435-73) Азот газообразный и жидкий. Технические условия
ГОСТ 9792 Колбасные изделия и продукты из свинины, баранины, говядины и мяса других видов убойных животных и птиц. Правила приемки и методы отбора проб
ГОСТ 12026 Бумага фильтровальная лабораторная. Технические условия
ГОСТ 17433 Промышленная чистота. Сжатый воздух. Классы загрязненности
ГОСТ 20469 Электромясорубки бытовые. Технические условия
ГОСТ 24363 Реактивы. Калия гидроокись. Технические условия
ГОСТ 25336 Посуда и оборудование лабораторные стеклянные. Типы, основные параметры и размеры
ГОСТ 26678 Холодильники и морозильники бытовые электрические компрессионные параметрического ряда. Общие технические условия
ГОСТ 28311 Дозаторы медицинские лабораторные. Общие технические требования и методы испытаний
ГОСТ 28498 Термометры жидкостные стеклянные. Общие технические требования. Методы испытаний
ГОСТ 31467 Мясо птицы, субпродукты и полуфабрикаты из мяса птицы. Методы отбора проб и подготовка их к испытаниям
ГОСТ 31663-2012 Масла растительные и жиры животные. Определение методом газовой хроматографии массовой доли метиловых эфиров жирных кислот
ГОСТ 31665-2012 Масла растительные и жиры животные. Получение метиловых эфиров жирных кислот
ГОСТ OIML R 76-1 Государственная система обеспечения единства измерений. Весы неавтоматического действия. Часть 1. Метрологические и технические требования. Испытания
ГОСТ ИСО 5725-2 <*> Точность (правильность и прецизионность) методов и результатов измерений. Часть 2. Основной метод определения повторяемости и воспроизводимости стандартного метода измерений
--------------------------------
<*> В Российской Федерации действует
ГОСТ Р ИСО 5725-2-2002 "Точность (правильность и прецизионность) методов и результатов измерений. Часть 2. Основной метод определения повторяемости и воспроизводимости стандартного метода измерений".
ГОСТ ИСО 5725-6-2003 <**> Точность (правильность и прецизионность) методов и результатов измерений. Часть 6. Использование значений точности на практике
--------------------------------
<**> В Российской Федерации действует
ГОСТ Р ИСО 5725-6-2002 "Точность (правильность и прецизионность) методов и результатов измерений. Часть 6. Использование значений точности на практике".
Примечание - При пользовании настоящим стандартом целесообразно проверить действие ссылочных стандартов и классификаторов на официальном интернет-сайте Межгосударственного совета по стандартизации, метрологии и сертификации (www.easc.by) или по указателям национальных стандартов, издаваемым в государствах, указанных в
предисловии, или на официальных сайтах соответствующих национальных органов по стандартизации. Если на документ дана недатированная ссылка, то следует использовать документ, действующий на текущий момент, с учетом всех внесенных в него изменений. Если заменен ссылочный документ, на который дана датированная ссылка, то следует использовать указанную версию этого документа. Если после принятия настоящего стандарта в ссылочный документ, на который дана датированная ссылка, внесено изменение, затрагивающее положение, на которое дана ссылка, то это положение применяется без учета данного изменения. Если ссылочный документ отменен без замены, то положение, в котором дана ссылка на него, применяется в части, не затрагивающей эту ссылку.
3 Требования безопасности
3.1 При подготовке и проведении измерений необходимо соблюдать требования техники безопасности при работе с химическими реактивами по
ГОСТ 12.1.007.
3.2 Помещение, в котором проводят измерения, должно быть оборудовано приточно-вытяжной вентиляцией. Работу необходимо проводить, соблюдая правила личной гигиены и противопожарной безопасности в соответствии с требованиями
ГОСТ 12.1.004, и иметь средства пожаротушения по
ГОСТ 12.4.009.
3.3 При работе с электроприборами необходимо соблюдать требования безопасности по
ГОСТ 12.1.019.
4 Требования к условиям проведения измерений
4.1 При подготовке и проведении измерений необходимо соблюдать условия, установленные в руководствах по эксплуатации или в паспортах средств измерений и вспомогательного оборудования.
4.2 При выполнении измерений в лаборатории должны быть соблюдены следующие условия:
- температура окружающего воздуха ................... | от 18 °C до 30 °C; |
- относительная влажность воздуха ..................... | не более 80%. |
4.3 К проведению измерений допускаются лица, владеющие техникой работы на приборах и изучившие инструкции по эксплуатации используемого оборудования.
6 Метод определения массовой доли метиловых эфиров жирных кислот с помощью газовой хроматографии с пламенно-ионизационным детектором
6.1 Сущность метода
Метод основан на предварительной экстракции жира из сырья и пищевой продукции, получении метиловых эфиров индивидуальных жирных кислот. Индивидуальные метиловые эфиры жирных кислот разделяются методом газовой хроматографии с пламенно-ионизационным детектором. Полученные сигналы (пики на хроматограмме) сравнивают со временами удерживания и значением сигнала стандартных веществ, с известной массовой концентрацией, полученных в тех же условиях хроматографирования.
6.2 Средства измерений, вспомогательное оборудование, материалы и реактивы
Хроматограф газовый лабораторный, включающий: инжектор для капиллярных колонок с делителем потока или вводом пробы непосредственно в колонку; термостат с программированием температуры, обеспечивающий нагрев колонки до температуры не менее 260 °C, поддерживающий температуру с точностью +/- 0,1 °C; колонку капиллярную длиной от 10 м, внутренним диаметром от 0,1 до 0,8 мм (рекомендуется использовать колонки на основе модифицированного полиэтиленгликоля <*>); детектор пламенно-ионизационный, обеспечивающий нагрев до температуры выше температуры колонки.
--------------------------------
<*> Рекомендуется использовать капиллярную колонку длиной 100 м, внутренним диаметром 0,25 мм и толщиной пленки 0,2 мкм (например, Supelco SPTM-2560 100 м x 0,25 мм x 0,2 мкм). Такие характеристики обладают оптимальным разрешением для разделения транс-изомеров метиловых эфиров жирных кислот.
Микрошприц вместимостью от 0,25 до 10 мм3 <**>.
--------------------------------
<**> Не рекомендуется использовать шприцы без плунжера, занимающего всю внутреннюю часть иглы шприца при вводе пробы в горячий инжектор.
Воздух по
ГОСТ 17433 класса 0 из безмасляного воздушного компрессора.
Водород технический по
ГОСТ 3022, марки А, или водород электролизный от генератора, с техническими характеристиками не ниже указанных:
- чистота водорода - 99,995%;
- максимальное выходное давление - 4 МПа.
Весы неавтоматического действия по
ГОСТ OIML R 76-1 специального или высокого класса точности или весы лабораторные по нормативным документам, действующим на территории государства, принявшего стандарт, с пределами допускаемой абсолютной погрешности не более +/- 1,0 мг.
Гомогенизатор (микроизмельчитель тканей).
Дозатор пипеточный переменного объема с объемом дозирования 0,1 - 1,0 см
3 по
ГОСТ 28311.
Дозатор пипеточный переменного объема с объемом дозирования 0,5 - 5,0 см
3 по
ГОСТ 28311.
Баня ультразвуковая лабораторная с регулятором времени.
Встряхиватель или вортекс.
Мешалка магнитная.
Центрифуга лабораторная с регулируемым числом оборотов до 4000 об./мин.
Испаритель роторный или вакуумирующий насос для отгона летучих компонентов.
Пробирки центрифужные пластиковые с крышкой объемом 15 см3.
Колба круглодонная К-1-50-29/32 ТХС по
ГОСТ 25336.
Колба коническая Кн-1-250-24/29 ТХС по
ГОСТ 25336.
Флаконы - виалы хроматографические вместимостью 2,0 см3.
Гексан для хроматографии, х.ч.
Метанол-яд для хроматографии, х.ч.
Ацетонитрил для ВЭЖХ.
Дихлорметан, х.ч.
Стандартный раствор смеси метиловых эфиров жирных кислот в дихлорметане массовой концентрации 10 мг/см3 <*> или стандартные образцы отдельных метиловых эфиров вышеуказанных жирных кислот, х.ч.
--------------------------------
<*> Используют стандартный раствор смеси метиловых эфиров C4 - C24 жирных кислот Supelco (CRM47885) в дихлорметане массовой концентрации 10 мг/см3 или смеси от Nu-Chek. Данная информация является рекомендуемой, приведена для удобства пользователей настоящего стандарта и не исключает возможность использования других стандартных растворов с аналогичными свойствами.
Допускается применение других средств измерений с метрологическими характеристиками и вспомогательного оборудования с техническими характеристиками не хуже, а также материалов и реактивов по качеству не ниже указанных в настоящем стандарте.
6.3 Подготовка к выполнению измерений
6.3.1 Приготовление насыщенного раствора гидроокиси калия в метаноле
22,4 г гидроокиси калия вносят в мерную колбу вместимостью 200 см3, добавляют объем метанола меньше объема мерной колбы, перемешивают до полного растворения, затем доводят до метки метанолом. Для ускорения процесса растворения допускается опускать в колбу магнитный якорь и ставить колбу на магнитную мешалку при 700 - 900 об/мин. Перед доведением объема до метки якорь необходимо извлечь из колбы и довести объем до метки метанолом.
Срок хранения раствора в герметично укупоренном сосуде при комнатной температуре - не более 6 мес.
6.3.2 Приготовление экстракционной смеси гексан-ацетон
В конической колбе со шлифом вместимостью 250 см3 смешивают 100 см3 гексана и 100 см3 ацетона.
Срок хранения раствора в герметично укупоренном сосуде при комнатной температуре - не более 6 мес.
6.3.3 Приготовление градуировочных растворов
Для определения жирных кислот рекомендуется готовить градуировочные растворы следующих массовых концентраций: 2 мг/см3 (раствор 1); 1 мг/см3 (раствор 2); 0,5 мг/см3 (раствор 3).
Для приготовления раствора 1 в хроматографическую виалу пипеточным дозатором переносят 0,2 см3 стандартного раствора смеси метиловых эфиров C4 - C24 жирных кислот и добавляют 0,8 см3 дихлорметана.
Для приготовления раствора 2 в хроматографическую виалу пипеточным дозатором переносят 0,4 см3 раствора 1 и добавляют 0,4 см3 дихлорметана.
Для приготовления раствора 3 в хроматографическую виалу пипеточным дозатором переносят 0,3 см3 раствора 2 и добавляют 0,3 см3 дихлорметана.
Растворы используют свежеприготовленными.
При использовании смеси разных метиловых эфиров C4 - C24 жирных кислот целесообразно для последующей хроматографической идентификации использовать стандартные растворы различной концентрации этих веществ. Оптимальное значение концентрации для достаточного сигнала регистрации устанавливают экспериментально для хроматографа конкретного типа. Для полной характеристики анализируемой пробы жира используют раствор смеси всех содержащихся в пробе стандартов метиловых эфиров жирных кислот.
Допускается хранение смеси метиловых эфиров или отдельных метиловых эфиров C4 - C24 жирных кислот в дихлорметане при температуре минус 20 °C в запаянной стеклянной ампуле в течение 12 мес для предотвращения количественных потерь низкомолекулярных жирных кислот C4 - C8.
6.4 Подготовка пробы
6.4.1 От представительной пробы продукта отбирают лабораторную пробу массой не менее 100 г и измельчают на гомогенизаторе до однородного состояния. Пробу допускается хранить в холодильнике при температуре (4 +/- 2) °C не более 24 ч.
Подготовленную пробу в замороженном состоянии допускается хранить при температуре не выше минус 18 °C не более 3 мес.
6.4.2 Приготовление экстракта пробы
6.4.2.1 Экстракция жиров
Навеску массой 10 - 15 г анализируемой пробы помещают в коническую колбу со шлифом вместимостью 250 см
3, заливают 50 см
3 экстракционной смеси гексан-ацетон по
6.3.2 и выдерживают при комнатной температуре для полного растворения липидов в течение не менее 30 мин. Для ускорения процесса экстракции допускается помещать колбу на ультразвуковую баню при температуре не более 40 °C на 15 мин.
Допускается проводить экстракцию жиров другими органическим растворителями, например диэтиловым эфиром, хлороформом или их смесями.
После экстракции жиров органический растворитель переносят в круглодонную колбу вместимостью 50 см3 через бумажный фильтр.
Круглодонную колбу помещают на ротационный испаритель для упаривания органического растворителя. Оставшийся после упаривания жир в круглодонной колбе используют для метилирования.
6.4.2.2 Метилирование
В центрифужную пробирку вместимостью 15 см
3 переносят 0,2 г жира, полученного после упаривания, и вносят 2 см
3 раствора гидроокиси калия по
6.3.1, закрывают пробирку крышкой и встряхивают в течение 1 - 2 мин.
Далее для экстракции метиловых эфиров жирных кислот в центрифужную пробирку вносят 4 см3 гексана, закрывают крышкой и активно встряхивают в течение 1 мин. Для более быстрого разделения слоев пробирку центрифугируют при 4000 об./мин не менее 2 мин.
После центрифугирования 0,2 см3 верхнего гексанового слоя переносят в хроматографическую виалу и добавляют 0,8 см3 гексана. Полученную смесь используют для хроматографического анализа.
Метилирование проводят в двух параллелях.
Допускается проводить метилирование пробы раствором метилата натрия в метаноле по ГОСТ 31665-2012
(подраздел 5.3).
6.5 Хроматографические условия измерений
6.5.1 В соответствии с инструкцией по эксплуатации газового хроматографа проводят его включение, устанавливая давление газа на входном манометре хроматографа согласно инструкции по эксплуатации оборудования, например не более 5 МПа. В зависимости от типа подвижной фазы, задачи идентификации конкретного жира (его состав) и состава смеси метиловых эфиров жирных кислот, типа инжектора подбирают программу хроматографического разделения.
Для хроматографа с пламенно-ионизационным детектором и капиллярной колонкой выставляют следующие параметры:
- объем вводимой пробы не более 1 мм3.
Объем пробы, вводимой в хроматограф, зависит от объема камеры испарителя (лайнера) и должен быть постоянным как для градуировочных растворов, так и для анализируемых проб. Оператор должен убедиться через программное обеспечение, что вводимый объем жидкого дихлорметана и гексана с учетом объема внутренней части канала иглы при выбранных условиях хроматографирования будет давать объем газообразного растворителя, не превышающего 3/4 объема лайнера.
Рекомендуется устанавливать циклы промывки иглы до и после ввода пробы в хроматограф органическими растворителями (например, гексан или этилацетат и ацетонитрил) не менее двух раз во избежание загрязнения иглы, которое может привести к контаминации проб или загрязнению шприца;
- испаритель (порт)
<*> - температура испарителя (порта) 250 °C, режим с делением потока 10:1;
- скорость потока газа-носителя
<*> - 1 мл/мин;
- пламенно-ионизационный детектор
<*> - температура 260 °C, поток водорода 30 мл/мин, поток воздуха 300 мл/мин;
--------------------------------
<*> Данная информация является рекомендуемой, приведена для удобства пользователей настоящего стандарта и не исключает возможность использования других режимов для испарителя (порта), потока газа-носителя, пламенно-ионизационного детектора, позволяющих добиться идентификации смеси метиловых эфиров жирных кислот.
- термостат колонки <*> - выдержка 5 мин при температуре 100 °C, затем повышение температуры в термостате от 100 °C до 240 °C со скоростью 4 °C/мин, выдержка 20 мин при температуре 240 °C. Общее время анализа при таких условиях составляет 60 мин.
--------------------------------
<*> Используют капиллярную колонку Supelco SPTM-2560 (100 м x 0,25 мм x 0,2 мкм). Данная информация является рекомендуемой, приведена для удобства пользователей настоящего стандарта и не исключает возможность использования капиллярных колонок, позволяющих добиться хроматографического разделения смеси метиловых эфиров жирных кислот.
Проводят два параллельных измерения.
6.5.2 Градуировка хроматографа
6.5.2.1 Градуировку системы ГХ-ПИД проводят в соответствии с инструкцией по эксплуатации прибора.
6.5.2.2 Для градуировки системы ГХ-ПИД используют градуировочные растворы, приготовленные по
6.3.3, измерения градуировочных растворов проводят в условиях, выбранных в соответствии с
6.5.1. Для каждой концентрации градуировочных растворов проводят по два параллельных измерения.
Полученные хроматограммы обрабатывают с использованием компьютерной системы обработки данных хроматографа.
Хроматограмма стандартного раствора метиловых эфиров C4 - C24 жирных кислот приведена на
рисунке А.1 приложения А.
Определяют абсолютное время удерживания метиловых эфиров жирных кислот. Время удерживания метиловых эфиров жирных кислот приведено в
таблице А.1 приложения А.
Применяя средства программного обеспечения, строят градуировочную зависимость площади пика метиловых эфиров жирных кислот от концентрации аналитов в растворе методом наименьших квадратов.
Коэффициент линейной корреляции полученной градуировочной зависимости должен быть не менее 0,98 для каждого аналита. При невыполнении этого условия выясняют причины, приводящие к неудовлетворительным результатам, и устраняют их.
Проведение градуировки обязательно при замене хроматографической колонки, замене или чистке составляющих используемой хроматографической системы.
6.5.3 Контроль градуировочной характеристики
Контроль выполняют периодически перед проведением серии измерений с использованием приготовленных по
6.3.3 градуировочных растворов.
Количество измерений в серии, после которых необходимо проведение процедуры контроля стабильности градуировочного графика - не более 500. Полученный результат измерений не должен отличаться от действительного значения концентрации определяемых веществ в градуировочном растворе более чем на 5%, относительное стандартное отклонение времени удерживания аналитов - не более чем на 5%. В случае невыполнения указанного критерия стабильности градуировочной характеристики проводят новую градуировку. Возможно проводить контроль градуировки по другим референтным смесям с учетом неопределенности их приготовления при условии правильно подобранного их разведения таким образом, чтобы измеренные значения метиловых эфиров жирных кислот находились в пределах градуировочного диапазона.
6.5.4 Выполнение измерений
В виалы вместимостью 2,0 см
3 вносят по 0,5 см
3 экстракта проб и проводят хроматографическое измерение двух параллельных проб при условиях, указанных в
6.5.1.
Идентификацию индивидуальных веществ осуществляют по абсолютным временам удерживания.
При выходе сигнала метиловых эфиров жирных кислот за верхнюю границу градуировочного диапазона следует дополнительно разбавить пробу гексаном так, чтобы в новом измерении сигналы метиловых эфиров жирных кислот были в пределах градуировочного диапазона.
По значению площади хроматографического пика с использованием установленной градуировочной характеристики и программы обработки данных находят массовую концентрацию метиловых эфиров жирных кислот в анализируемом растворе.
Вычисление массовой доли метиловых эфиров жирных кислот в анализируемой пробе проводят для каждого из двух параллельных определений.
6.6 Обработка результатов
Идентифицируют пики метиловых эфиров жирных кислот анализируемой пробы по хроматограммам градуировочных растворов, подготовленных по
6.3.3, с использованием компьютерной системы обработки данных хроматографа в соответствии с заданной градуировкой. Количественный анализ проводят методом внутренней нормализации, суммарную концентрацию пиков всех компонентов анализируемой пробы принимают за 100%.
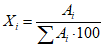
Массовую долю каждой жирной кислоты в виде метилового эфира Xi, %, вычисляют по формуле

, (1)
где Ai - концентрация метилового эфира отдельной жирной кислоты, мкг/см3;

- сумма концентраций всех пиков метиловых эфиров жирных кислот, мкг/см
3.
Допускается проводить расчет массовой доли метиловых эфиров жирных кислот по полученным площадям пиков в условных единицах, используя их в
формуле (1) вместо концентраций в соответствии с ГОСТ 31663-2012
(подпункт 7.2.2.1). При расчете массовой доли метиловых эфиров жирных кислот по полученным площадям пиков для особо точных измерений массовой доли метиловых эфиров жирных кислот с числом атомов углерода менее восьми или в присутствии метиловых эфиров жирных кислот со вторичными группами вводят поправочные коэффициенты согласно ГОСТ 31663-2012
(подпункт 7.2.2.2). Градуировка хроматографа при таком методе расчета не требуется.
Вычисление проводят автоматически с использованием компьютерной программы с точностью до второго десятичного знака, с последующим округлением до первого десятичного знака. При получении результата в диапазоне от 0,010% до 0,044% концентрация считается менее границы определения, и результат в таком случае выдается, как "менее 0,1%".
За окончательный результат измерения принимают среднее арифметическое значение двух параллельных измерений массовой доли жирной кислоты, определенных по результатам автоматического расчета хроматограмм.
6.7 Метрологические характеристики
6.7.1 Метрологические характеристики метода при доверительной вероятности
P = 0,95 приведены в
таблице 1.
Наименование показателя | Диапазон измерений, % | Показатели точности |
Граница интервала, в котором относительная погрешность находится с доверительной вероятностью P = 0,95,  , % | Предел повторяемости (сходимости) r, % | Предел воспроизводимости R, % |
Массовая доля жирной кислоты, % от суммы жирных кислот | От 0,1 до 0,5 включ. | 30 | 0,22xср | 0,34xср |
Св. 0,5 до 5,0 включ. | 25 | 0,18xср | 0,29xср |
Св. 5,0 до 100,0 включ. | 12 | 0,08xср | 0,14xср |
Примечание - Нижний предел обнаружения жирных кислот методом газовой хроматографии определяется индивидуальной чувствительностью детектора. Для пламенно-ионизационного детектора он соответствует концентрации 0,01 - 0,1 мг/см3 в анализируемом растворе. Справочная информация о жирнокислотном составе животных жиров приведена в приложении Б. |
6.7.2 Расхождение между результатами двух параллельных измерений, выполненных одним оператором при измерении одной и той же пробы с использованием одних и тех же средств измерений и реактивов, не должно превышать предела повторяемости (сходимости)
r, значения которого приведены в
таблице 1.
|x1 - x2| <= r, (2)
где x1 и x2 - результаты двух параллельных измерений, %;
r - предел повторяемости, %.
6.7.3 Расхождение между результатами двух измерений, выполненных в двух разных лабораториях, не должно превышать предела воспроизводимости
R, значения которого приведены в
таблице 1.
|X1 - X2| <= R, (3)
где X1 и X2 - результаты двух измерений, выполненных в разных лабораториях, %;
R - предел воспроизводимости, %.
6.7.4 Границы относительной погрешности результатов измерений

, находящиеся с доверительной вероятностью
P = 0,95, при соблюдении условий настоящего стандарта не должны превышать значений, приведенных в
таблице 1.
6.8 Контроль точности результатов измерений
6.8.1 Контроль стабильности результатов измерений (повторяемости, промежуточной прецизионности и погрешности) проводят в соответствии с порядком, установленным в лаборатории, по ГОСТ ИСО 5725-6-2003 (подраздел 6.2).
6.8.2 Проверку приемлемости результатов измерений, полученных в условиях повторяемости (сходимости), осуществляют в соответствии с требованиями ГОСТ ИСО 5725-2. Расхождение между результатами измерений не должно превышать предела повторяемости
r. Значения
r приведены в
таблице 1.
6.8.3 Проверку приемлемости результатов измерений, полученных в условиях воспроизводимости, проводят с учетом требований ГОСТ ИСО 5725-2. Расхождение между результатами измерений, полученными двумя лабораториями, не должно превышать предела воспроизводимости
R. Значения
R приведены в
таблице 1.
7 Метод определения массовой доли насыщенных жирных кислот с применением спектроскопии в ближней инфракрасной области (БИК-спектроскопии)
7.1 Сущность метода
Метод основан на измерении относительной интенсивности инфракрасного излучения и регистрации спектров поглощения анализируемых проб в ближней инфракрасной области в двух спектральных диапазонах длин волн: от 400 до 700 нм и от 850 до 1100 нм - с последующим пересчетом полученных спектральных данных на значения массовой доли насыщенных жирных кислот по предварительно разработанным градуировочным моделям на основе искусственных нейронных сетей с помощью программного обеспечения анализатора.
7.2 Средства измерений, вспомогательное оборудование
Анализатор в ближней инфракрасной области (далее - анализатор <*>), работающий в двух спектральных диапазонах длин волн от 400 до 700 нм и от 850 до 1100 нм, с диапазоном измерений массовой доли насыщенных жирных кислот от 0,4% до 80,0%, укомплектованный специализированным программным обеспечением, содержащим базовые градуировки на основе искусственных нейронных сетей фирмы-изготовителя для определения массовой доли насыщенных жирных кислот в мясной продукции.
--------------------------------
<*> Примером анализатора может быть FoodScan 2TM (производитель Foss), Государственный реестр N 72990-18. Данная информация является рекомендуемой, приведена для удобства пользователей настоящего стандарта и не исключает возможность использования другой аппаратуры с аналогичными свойствами.
Термометр по
ГОСТ 28498 с диапазоном измерений от 0 °C до 100 °C и ценой деления 1 °C.
Гомогенизатор с частотой вращения от 8000 до 24 000 об/мин или мясорубка бытовая по
ГОСТ 4025, или электромясорубка бытовая по
ГОСТ 20469.
Банка стеклянная или пластмассовая с крышкой вместимостью 200 - 500 см3.
Допускается применение других средств измерений с метрологическими характеристиками и вспомогательного оборудования с техническими характеристиками не хуже указанных в настоящем стандарте.
7.3 Подготовка проб
Пробу измельчают на гомогенизаторе или дважды пропускают через мясорубку с диаметром отверстий решетки 2 - 4 мм и тщательно перемешивают.
Подготовленную пробу помещают в стеклянную или пластмассовую банку вместимостью 200 - 500 см3, закрывают крышкой и хранят в холодильнике при температуре (4 +/- 2) °C не более 24 ч.
Испытания проводят в течение 24 ч после измельчения.
7.4 Подготовка к измерению
7.4.1 Подготовка анализатора
Подготовку анализатора к проведению измерений: включение анализатора и проведение обязательного тестирования для проверки его работы осуществляют в соответствии с руководством по эксплуатации.
7.4.2 Градуировка анализатора
7.4.2.1 Базовые градуировки на основе искусственных нейронных сетей анализатора для измерений массовой доли насыщенных жирных кислот в мясной продукции являются частью программного обеспечения прибора и не требуют коррекции, если показания анализатора соответствуют требованиям, приведенным в
таблице 2 в части показателей прецизионности при указанных диапазонах измерений.
7.4.2.2 Проверку правильности градуировки на основе искусственной нейронной сети анализатора проводят сравнением с градуировочными образцами с известными значениями массовой доли насыщенных жирных кислот. Возможно использование смесей масел и жиров с известными значениями массовой доли насыщенных жирных кислот, а также смесей масел и жиров, проанализированных методом ГХ-ПИД по
разделу 6.
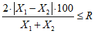
Расхождение между показаниями анализатора и значениями массовой доли насыщенных жирных кислот при анализе одного и того же образца не должно превышать следующего значения:

, (4)
где XA - результат измерений массовой доли насыщенных жирных кислот с применением анализатора, %;
XC - результат измерений массовой доли насыщенных жирных кислот, полученный методом газовой хроматографии в соответствии с
разделом 6, %;
0,8 - коэффициент, характеризующий вклад градуировки в погрешность методики;

- показатель точности методики измерений, приведенный в
таблице 2, %.
Периодичность проверки устанавливает лаборатория в зависимости от объема измерений.
7.5.1 Измерения проводят в соответствии с руководством по эксплуатации анализатора.
7.5.2 При проведении измерений необходимо соблюдать следующие условия:
- температура анализируемой пробы должна быть в интервале от 4 °C до 22 °C;
- пробу для анализа необходимо измельчить до мелкодисперсного состояния;
- анализируемая проба должна быть равномерно распределена на измерительной чаше и уплотнена (наличие пустот не допускается).
7.5.3 Для выполнения измерений чашку с измельченным образцом помещают в прибор, с помощью программного обеспечения (ПО) выбирают программу анализа в зависимости от вида продукта. Проводят два параллельных измерения.
7.6 Обработка результатов
7.6.1 Результат измерений получают для определяемого показателя при помощи ПО системой обработки данных в автоматическом режиме.
7.6.2 За окончательный результат принимают среднее арифметическое значение результатов двух параллельных измерений
Xср, %, полученных в условиях повторяемости:

, (5)
где x1, x2 - результаты параллельных измерений массовой доли определяемого компонента, полученных в условиях повторяемости, %; и удовлетворяющих условию приемлемости

, (6)
где
r - предел повторяемости, приведенный в
таблице 3, %.
7.6.3 Результат измерений массовой доли определяемого компонента при P = 0,95 представляют в виде:

, %,
где
Xср - среднее арифметическое значение результатов двух измерений, признанных приемлемыми по
7.6.2, %;

- границы абсолютной погрешности измерений, рассчитанные по формуле

, (7)
где

- показатель точности методики измерений, приведенный в
таблице 2, %.
7.6.4 Границы абсолютной погрешности измерений округляют до двух значащих цифр. Числовое значение результата измерения должно оканчиваться цифрой того же разряда, что и значение погрешности.
7.7 Метрологические характеристики
7.7.1 Метрологические характеристики метода при доверительной вероятности
P = 0,95 приведены в
таблицах 2 и
3.
Таблица 2
Значения показателей точности, повторяемости
и воспроизводимости
Наименование показателя | Диапазон измерений, % | Показатель повторяемости (относительное среднее квадратическое отклонение повторяемости),  , % | Показатель воспроизводимости (относительное среднее квадратическое отклонение воспроизводимости),  , % | Показатель точности (границы относительной погрешности измерения при P = 0,95),  , % |
Массовая доля насыщенных жирных кислот | От 0,4 до 15,0 включ. | 20 | 30 | 30 |
Св. 15,0 до 80,0 включ. | 10 | 15 | 15 |
Таблица 3
Пределы повторяемости и воспроизводимости
при P = 0,95 (n = 2)
Наименование показателя | Диапазон измерений, % | Относительный предел повторяемости r, % | Относительный предел воспроизводимости R, % |
Массовая доля насыщенных жирных кислот | От 0,4 до 15,0 включ. | 10 | 20 |
Св. 15,0 до 80,0 включ. | 5 | 10 |
Если относительное расхождение превышает предел повторяемости
r, выясняют причины превышения, устраняют их и повторяют выполнение измерений в соответствии с требованиями
7.4 и
7.5.
По мере накопления информации в процессе внутреннего контроля показатели точности результатов измерений по настоящей методике измерений могут быть уточнены с учетом фактически обеспечиваемых значений.
7.7.2 Проверку приемлемости результатов измерений, полученных в условиях воспроизводимости в соответствии с требованиями ГОСТ ИСО 5725-6, проводят в следующей последовательности.
Проверку проводят при получении результатов измерений в условиях воспроизводимости, получая результаты измерений в разных лабораториях. При этом образцы для выполнения измерений должны быть однородны, их количество должно быть подготовлено с необходимым для возможных повторных измерений резервом.
Каждая лаборатория получает результаты двух параллельных определений и проводит проверку приемлемости по
7.6.2.
Совместимость результатов измерений проверяют, сравнивая относительное расхождение между двумя результатами измерений, полученными в разных лабораториях, с пределом воспроизводимости:

, (8)
где X1 - результат измерений массовой доли определяемого компонента, полученный в первой лаборатории, %;
X2 - результат измерений массовой доли определяемого компонента, полученный во второй лаборатории, %;
R - предел воспроизводимости, приведенный в
таблице 3, %.
При невыполнении
условия (8) процедуру измерений повторяют. При повторном невыполнении
условия (8) выясняют причины, приводящие к неудовлетворительным результатам, и устраняют их.
7.8 Контроль точности результатов измерений
7.8.1 Контроль повторяемости результатов измерений
Процедура контроля повторяемости предусматривает сравнение относительного расхождения между двумя результатами параллельных определений с пределом повторяемости по
7.7.2.
7.8.2 Контроль погрешности результатов измерений
Контроль погрешности результатов измерений массовой доли определяемого компонента проводят с применением контрольной методики (метод газовой хроматографии в соответствии с
разделом 6).
Контроль погрешности результатов измерений массовой доли насыщенных жирных кислот с применением контрольной методики состоит в сравнении результатов контрольных измерений одной и той же пробы на анализаторе XA и по контрольной методике XC.
Результат контрольной процедуры KK рассчитывают по формуле
KK = XA - XC, (9)
где XA - результат измерений массовой доли насыщенных жирных кислот, полученный на анализаторе, %;
XC - результат измерений массовой доли насыщенных жирных кислот, полученный по контрольной методике, %.
Процедуру проведения контрольного измерения признают удовлетворительной, если

, (10)
где

- границы абсолютной погрешности измерений, рассчитанные по
формуле (7), %;

- границы абсолютной погрешности контрольной методики, %.
При невыполнении
условия (10) повторяют измерения с использованием другой пробы. При повторном невыполнении
условия (10) выясняют причины, приводящие к неудовлетворительным результатам, и устраняют их.
7.8.3 Результаты измерений, полученные при контроле погрешности результатов измерений, могут быть использованы при реализации контроля стабильности результатов измерений массовых долей насыщенных жирных кислот.
7.8.4 Периодичность контроля стабильности результатов выполняемых измерений регламентируют в руководстве по качеству лаборатории.
При неудовлетворительных результатах контроля выясняют причины этих отклонений, в том числе проверяют работу оборудования и оператора.
(справочное)
ХРОМАТОГРАММА СТАНДАРТНОГО РАСТВОРА МЕТИЛОВЫХ ЭФИРОВ
C4 - C24 ЖИРНЫХ КИСЛОТ
А.1 Хроматограмма стандартного раствора метиловых эфиров C4 - C24 жирных кислот приведена на
рисунке А.1.
А.2 Время удерживания метиловых эфиров C4 - C24 жирных кислот приведено в
таблице А.1.
Наименование кислоты | Время удерживания, мин |
Масляная C4:0 | 12.54 |
Капроновая C6:0 | 16.66 |
Каприловая C8:0 | 18.00 |
Каприновая C10:0 | 22.32 |
Ундециловая C11:0 | 24.41 |
Лауриновая C12:0 | 26.55 |
Тридекановая C13:0 | 28.61 |
Миристиновая C14:0 | 30.57 |
Миристолеиновая C14:1 | 32.17 |
Пентадекановая C15:0 | 32.43 |
цис-10-Пентадеценовая C15:1 | 33.98 |
Пальмитиновая C16:0 | 34.22 |
Пальмитолеиновая C16:1 | 35.39 |
Маргариновая C17:0 | 35.89 |
Гептадеценовая C17:1 | 36.96 |
Стеариновая C18:0 | 37.61 |
Элаидиновая C18:1 | 38.33 |
Олеиновая C18:1 | 38.66 |
Линолелаидиновая  | 39.44 |
Линолевая  | 40.10 |
Арахиновая C20:0 | 40.48 |
| 41.39 |
Гондоиновая  | 41.48 |
| 41.74 |
Генэйкозановая C21:0 | 41.94 |
Эйкозадиеновая  | 43.01 |
Бегеновая C22:0 | 43.47 |
| 44.21 |
Эруковая  | 44.65 |
Эйкозатриеновая  | 45.08 |
Трикозановая C23:0 | 45.18 |
Арахидоновая  | 45.37 |
Докозадиеновая  | 46.39 |
Лигноцериновая C24:0 | 47.76 |
Тимнодоновая  | 47.55 |
Нервоновая  | 48.09 |
Докозагексаеновая  | 53.16 |
(справочное)
ЖИРНОКИСЛОТНЫЙ СОСТАВ ЖИВОТНЫХ ЖИРОВ
Б.1 Жирнокислотный состав животных жиров приведен в
таблице Б.1.
Наименование жирной кислоты | Содержание жирных кислот, % от суммы |
Баранина | Свинина | Говядина | Мясо птицы |
Масляная C4:0 | До 0,05 | До 0,05 | До 0,05 | До 0,02 |
Капроновая C6:0 | До 0,10 | До 0,10 | До 0,10 | До 0,02 |
Каприловая C8:0 | До 0,06 | До 0,30 | До 0,10 | До 0,02 |
Каприновая C10:0 | До 0,16 | До 0,20 | До 0,20 | До 0,02 |
Ундециловая C11:0 | До 0,30 | До 0,10 | До 0,15 | До 0,02 |
Лауриновая C12:0 | 0,36 - 0,60 | 0,21 - 0,30 | 0,67 - 1,70 | До 0,1 |
Тридекановая C13:0 | До 0,24 | До 0,10 | До 0,90 | До 0,02 |
Миристиновая C14:0 | 2,28 - 3,14 | 0,80 - 1,40 | 3,00 - 3,60 | 0,05 - 0,9 |
Миристолеиновая C14:1 | 0,32 - 0,59 | До 0,10 | До 0,20 | До 0,5 |
Пентадекановая C15:0 | 0,39 - 0,64 | До 0,10 | До 0,15 | До 0,2 |
цис-10-Пентадеценовая C15:1 | 0,40 - 0,77 | До 0,05 | До 0,15 | Следы |
Пальмитиновая C16:0 | 22,0 - 26,03 | 25,40 - 27,00 | 22,60 - 28,25 | 17,6 - 25,2 |
Пальмитолеиновая C16:1 | 2,60 - 4,21 | 1,80 - 3,00 | 2,10 - 3,10 | 2,5 - 4,2 |
Маргариновая C17:0 | 1,45 - 2,46 | 0,22 - 0,34 | До 0,70 | До 0,02 |
Гептадеценовая C17:1 | 0,53 - 0,98 | До 0,15 | 0,70 - 1,10 | До 0,02 |
Стеариновая C18:0 | 16,90 - 21,33 | 13,08 - 13,35 | 19,14 - 23,00 | 4,2 - 6,90 |
Элаидиновая C18:1 | До 2,80 | До 1,50 | До 3,0 | До 2,0 |
Олеиновая C18:1 | 7,0 - 21,30 | 28,48 - 31,40 | 14,50 - 40,30 | 20,6 - 35,2 |
Линолелаидиновая  | До 0,50 | До 0,50 | До 0,50 | - |
Линолевая  | 3,5 - 4,0 | 7,50 - 22,00 | 2,00 - 7,00 | 28,0 - 39,0 |
Арахиновая C20:0 | 0,16 - 0,28 | 0,21 - 0,30 | До 0,25 | До 0,1 |
| 0,24 - 0,46 | 0,78 - 1,29 | 0,37 - 0,47 | - |
Гондоиновая  | 0,48 - 0,62 | 0,40 - 0,55 | 0,60 - 0,70 | До 0,5 |
| 0,41 - 0,68 | 0,55 - 0,64 | 0,20 - 0,39 | До 0,2 |
Генэйкозановая C21:0 | До 0,10 | До 0,05 | До 0,05 | - |
Эйкозадиеновая  | До 0,10 | До 0,30 | До 0,15 | До 0,02 |
Бегеновая C22:0 | До 0,30 | До 0,10 | До 0,10 | До 0,02 |
| До 0,10 | До 0,10 | До 0,10 | До 0,02 |
Эруковая  | До 0,20 | До 0,90 | До 0,05 | До 0,02 |
Эйкозатриеновая  | До 0,15 | До 0,15 | До 0,15 | - |
Трикозановая C23:0 | До 0,20 | До 0,20 | До 0,20 | - |
Арахидоновая  | 0,40 - 2,0 | До 0,90 | 1,00 - 1,85 | До 0,02 |
Докозадиеновая  | До 0,10 | До 0,10 | До 0,10 | - |
Лигноцериновая C24:0 | До 1,70 | До 1,10 | До 5,50 | До 0,02 |
Тимнодоновая  | До 0,10 | До 0,10 | До 0,90 | До 0,02 |
Нервоновая  | До 0,40 | До 0,20 | До 0,15 | До 0,02 |
Докозагексаеновая  | До 0,40 | До 0,25 | До 0,40 | До 0,02 |
УДК 637.5.04.07:006.354 | |
Ключевые слова: мясо, мясо птицы, субпродукты, мясные продукты, мясосодержащие продукты, жирнокислотный состав, насыщенные жирные кислоты, газовая хроматография, спектроскопия в ближней инфракрасной области, метод, определение, пламенно-ионизационный детектор |