Главная // Актуальные документы // ГОСТ (Государственный стандарт)СПРАВКА
Источник публикации
М.: ИПК Издательство стандартов, 1998
Примечание к документу
Документ утратил силу с 1 марта 2019 года в связи с изданием
Приказа Росстандарта от 16.10.2018 N 770-ст. Взамен введен в действие
ГОСТ 5362-2018.
С 1 июля 2003 года до вступления в силу технических регламентов акты федеральных органов исполнительной власти в сфере технического регулирования носят рекомендательный характер и подлежат обязательному исполнению только в части, соответствующей целям, указанным в
пункте 1 статьи 46 Федерального закона от 27.12.2002 N 184-ФЗ.
Ограничение срока действия снято по Протоколу N 4-93 Межгосударственного Совета по стандартизации, метрологии и сертификации ("ИУС", N 4, 1994).
Документ
введен в действие с 1 января 1980 года.
Взамен ГОСТ 5362-50.
Название документа
"ГОСТ 5362-78*. Государственный стандарт Союза ССР. Полосы латунные. Технические условия"
(введен в действие Постановлением Госстандарта СССР от 24.11.1978 N 3096)
(ред. от 01.03.1989)
"ГОСТ 5362-78*. Государственный стандарт Союза ССР. Полосы латунные. Технические условия"
(введен в действие Постановлением Госстандарта СССР от 24.11.1978 N 3096)
(ред. от 01.03.1989)
Введен в действие
Постановлением Госстандарта СССР
от 24 ноября 1978 г. N 3096
ГОСУДАРСТВЕННЫЙ СТАНДАРТ СОЮЗА ССР
ПОЛОСЫ ЛАТУННЫЕ
ТЕХНИЧЕСКИЕ УСЛОВИЯ
Brass ribbons. Specifications
ГОСТ 5362-78*
| | Список изменяющих документов (в ред. Изменения N 1, утв. в марте 1984 г., Изменения N 2, утв. в августе 1986 г., Изменения N 3, утв. в марте 1989 г.) | |
Взамен ГОСТ 5362-50
Постановлением Государственного комитета СССР по стандартам от 24 ноября 1978 г. N 3096 дата введения установлена 01.01.1980.
Ограничение срока действия снято по протоколу N 4-93 Межгосударственного Совета по стандартизации, метрологии и сертификации (ИУС 4-94).
Переиздание (июль 1998 г.) с Изменениями N 1, 2, 3, утвержденными в марте 1984 г., августе 1986 г., марте 1989 г. (ИУС 7-84, 11-86, 7-89).
Настоящий стандарт распространяется на холоднокатаные латунные полосы, предназначенные для изготовления изделий способом глубокой вытяжки.
(Измененная редакция, Изм. N 1, 3.)
1.1. Толщина и ширина полос и предельные отклонения по ним должны соответствовать указанным в табл. 1.
Таблица 1
мм
────────────────────────────────┬─────────────────────────────────
Толщина полос │ Ширина полос
───────────────┬────────────────┼────────────────┬────────────────
Номин. │ Пред. откл. │ Номин. │ Пред. откл.
───────────────┼────────────────┼────────────────┼────────────────
2,20 │ -0,09 │ 120 │ -2
───────────────┼────────────────┼────────────────┼────────────────
2,63 │ -0,09 │ 116 │ -1
│ │ 120 │ -2
───────────────┼────────────────┼────────────────┼────────────────
3,90 │ -0,10 │ 129 │ -2
1.2. Полосы должны изготовляться длиной от 1 до 2 м.
Допускается изготовлять полосы длиной не менее 500 мм в количестве не более 15% массы партии.
Условные обозначения проставляются по схеме:
Полосы Д │ ПР │ Х │ М │ ... │ НД │ Л68 │ГОСТ 5362-78 │
Способ │ │ │ │ │ │ │ │
изготовления │ │ │ │ │ │ │ │
────────────────┘ │ │ │ │ │ │ │
Форма сечения │ │ │ │ │ │ │
─────────────────────┘ │ │ │ │ │ │
Точность │ │ │ │ │ │
изготовления │ │ │ │ │ │
──────────────────────────┘ │ │ │ │ │
Состояние │ │ │ │ │
────────────────────────────────┘ │ │ │ │
Размеры │ │ │ │
──────────────────────────────────────┘ │ │ │
Длина │ │ │
────────────────────────────────────────────┘ │ │
Марки │ │
───────────────────────────────────────────────────┘ │
Обозначение │
стандарта │
─────────────────────────────────────────────────────────────────┘
при следующих сокращениях:
способ изготовления: холоднокатаная - Д
форма сечения: прямоугольная - ПР
состояние: мягкое - М
длина: немерная - НД
Вместо отсутствующих данных ставится знак X.
Пример условного обозначения полосы толщиной 3,90 мм, шириной 129 мм:
Полоса ДПРХМ 3,90 х 129 НД Л68 ГОСТ 5362-78
(Измененная редакция, Изм. N 1.)
2. ТЕХНИЧЕСКИЕ ТРЕБОВАНИЯ
2.1. Полосы должны изготовляться в соответствии с требованиями настоящего стандарта по технологическому регламенту, утвержденному в установленном порядке из латуни марки Л68 с химическим составом, указанным в табл. 2.
Таблица 2
───────┬──────┬────────────────────────────────────────────────────────────
Наиме- │Обоз- │ Химический состав, %
нование│наче- ├───────────┬────────────────────────────────────────────────
сплава │ние │ Основной │ Примеси, не более
│марки │ элемент ├────┬────┬─────┬─────┬─────┬──────┬─────┬───────
│по на-├───────────┤Сви-│Же- │Сурь-│Вис- │Фос- │Мышьяк│Сера │Всего
│стоя- │ Медь │нец │лезо│ма │мут │фор │ │ │
│щему │ │ │ │ │ │ │ │ │
│стан- │ │ │ │ │ │ │ │ │
│дарту │ │ │ │ │ │ │ │ │
───────┼──────┼───────────┼────┼────┼─────┼─────┼─────┼──────┼─────┼───────
Латунь │ Л68 │67,0 - 70,0│0,03│0,07│0,002│0,002│0,005│0,005 │0,002│ 0,2
(Измененная редакция, Изм. N 1.)
2.2. Полосы должны изготовляться в мягком (отожженном) состоянии.
2.3. Поверхность полос должна быть гладкой и чистой, без плен, раковин, пузырей, трещин, разрывов, посторонних включений, глубоких отпечатков, царапин, расслоений. Поверхность с этими дефектами вырезают или закрашивают несмываемой краской. Допускается не более одной закрашенной поверхности площадью не более 4 см2 на 200 мм длины полосы.
На поверхности полос допускаются мелкие пузыри, плены, уколы, вмятины и отпечатки, не выводящие полосы при контрольной зачистке за предельные отклонения по толщине. Не должно быть более одного дефекта на каждые 300 мм длины полосы. Наличие таких полос допускается в количестве не более 25% массы партии.
2.4. Полосы должны быть обрезаны под прямым углом. Косина реза концов не должна превышать 10 мм.
2.5. Серповидность полос не должна превышать 4 мм на 1 м длины.
2.6. Неплоскостность полос в продольном направлении не должна превышать 10 мм на 1 м длины.
2.7. Механические свойства полос должны соответствовать:
временное сопротивление

, МПа (кгс/мм2) - 290 - 340 (30 - 35);
относительное удлинение после разрыва

, %, не менее - 50.
(Измененная редакция, Изм. N 1.)
2.8. Микроструктура металла полос должна состоять из равноосных зерен альфалатуни с величиной зерна 0,02 - 0,09 мм.
2.9. Полосы должны выдерживать испытание на вырубку и свертку колпачков. Количество дефектных колпачков не должно превышать 1% общего количества вырубленных колпачков. Дефектными считаются колпачки с расслоением и с разрывом стенки или дна.
Примечание. Колпачки, полученные из заготовок, вырубленных из закрашенных мест полосы, в число дефектных не засчитываются.
3.1. Полосы принимают партиями. Масса партии не должна превышать 2500 кг. Партия должна состоять из полос одного размера и отожженных в одной садке последнего отжига.
Примечание. При отжиге в печах непрерывного действия за осадку принимается количество полос, отожженных в одну смену.
Для полос толщиной 2,20 - 2,63 мм партия должна состоять из полос с колебаниями по толщине не более 0,05 мм.
Полосы длиной от 0,5 до 1 м комплектуются отдельно от полос длиной 1 м и более.
Партия должна сопровождаться одним документом о качестве, содержащим:
товарный знак или товарный знак и наименование предприятия-изготовителя;
условное обозначение полос;
результаты механических испытаний;
размер зерна;
результаты контроля на вырубку и свертку колпачков;
номер партии;
массу нетто партии.
(Измененная редакция, Изм. N 1.)
3.2. Контролю качества поверхности, размеров (кроме толщины и серповидности) подвергают каждую полосу.
Для измерения серповидности отбирают две полосы от партии.
Для контроля толщины полосы от партии отбирают полосы "вслепую" методом наибольшей объективности по
ГОСТ 18321-73. Планы контроля - по
ГОСТ 18242-72. Количество контролируемых полос отбирают в соответствии с табл. 3.
Таблица 3
шт.
────────────────────────────────┬─────────────────────────────────
Количество полос в партии │ Количество контролируемых полос
────────────────────────────────┼─────────────────────────────────
2 - 8 │ 2
9 - 15 │ 3
16 - 25 │ 5
26 - 50 │ 8
51 - 90 │ 18
91 - 150 │ 20
151 - 280 │ 32
281 - 500 │ 50
501 - 1200 │ 80
1201 - 3200 │ 125
Количество контролируемых точек на каждой отобранной полосе определяют в зависимости от общего количества участков длиной 100 мм по периметру полосы в соответствии с табл. 4.
Таблица 4
шт.
─────────────────────┬─────────────────────────┬──────────────────
Количество участков │Количество контролируе- │Браковочное число
в полосе │мых точек в полосе │
─────────────────────┼─────────────────────────┼──────────────────
10 - 15 │ 5 │ 1
16 - 25 │ 8 │ 2
26 - 50 │ 8 │ 2
51 - 90 │ 13 │ 2
91 - 150 │ 20 │ 3
151 - 280 и более│ 32 │ 4
При периметре некратном 100 мм конечный участок длиной менее 100 мм принимается за один участок.
Отобранные полосы считают годными, если число результатов измерений, не соответствующих
табл. 1, менее браковочного числа, указанного в
табл. 4.
Допускается на предприятии-изготовителе по результатам контроля проводить проверку толщины каждой полосы партии.
Допускается на предприятии-изготовителе проводить контроль толщины полосы в процессе производства.
По требованию потребителя контроль толщины проводят на каждой полосе партии.
(Измененная редакция, Изм. N 3.)
3.3. Для контроля механических свойств, микроструктуры от каждой полной и неполной тонны полос отбирают две полосы. Контроль микроструктуры проводится по требованию потребителя.
3.4. Для контроля на вырубку и свертку колпачков от каждой полной и неполной тонны полос отбирают одну полосу. Контроль на вырубку и свертку колпачков проводится по требованию потребителя.
3.5. Для определения химического состава отбирают две полосы от партии. На предприятии-изготовителе отбор проб для определения химического состава допускается проводить от жидкого металла.
3.6. При получении неудовлетворительных результатов испытаний хотя бы по одному из показателей (кроме толщины) по нему проводят повторное испытание на удвоенном количестве полос, взятых от той же партии. Результаты повторного испытания распространяются на всю партию.
(Измененная редакция, Изм. N 3.)
4.1. Качество поверхности полос проверяют без применения увеличительных приборов.
4.2. Толщину полосы измеряют микрометром по
ГОСТ 6507-90. Изменение толщины полосы проводят на расстоянии не менее 100 мм от конца и не менее 10 мм от кромки.
Контроль толщины полос проводят с заданной вероятностью 96%. Толщину полосы на каждой отобранной полосе измеряют в точках, расположенных равномерно-случайно по периметру полосы.
Количество полос в партии (М) вычисляют по формуле

,
где Р - масса партии, кг;

- плотность материала, г/см3;
Н - толщина полосы, мм;
b - ширина полосы, мм;
l - длина полосы, мм.
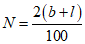
Количество контролируемых участков в полосе (N) вычисляют по формуле

.
Результаты измерения толщины полосы, не соответствующие значениям, приведенным в
табл. 1, не должны отличаться от допускаемых более чем на половину поля предельного отклонения, кроме полос толщиной 2,20 и 2,63 мм, для которых их допускаемое отличие не должно быть более 0,05 мм.
Допускается на предприятии-изготовителе в процессе производства контролировать толщину полосы другими средствами измерения, обеспечивающими необходимую точность.
(Измененная редакция, Изм. N 3.)
Допускается ширину полос определять другими средствами измерения, обеспечивающими необходимую точность измерения.
Измерение ширины полосы проводят на трех участках: с обоих концов и в средней части.
(Введен дополнительно, Изм. N 3.)
4.3. Проверку косины реза проводят с помощью поверочного угольника по
ГОСТ 3749-77.
4.4. Измерение серповидности полос проводят по
ГОСТ 26877-91. Допускается измерять серповидность другими методами, обеспечивающими требуемую точность измерения.
При возникновении разногласий в определении серповидности измерение проводят по
ГОСТ 26877-91.
(Измененная редакция, Изм. N 3.)
4.5. Для проверки коробоватости полосу свободно кладут на плиту и измеряют с помощью щупов по ТУ 2-034-225-87 или линейки по
ГОСТ 427-75 максимальное отклонение полосы от плоскости плиты в направлении прокатки.
(Измененная редакция, Изм. N 3.)
4.6. Для контроля микроструктуры полос из каждой полосы, отобранной для испытаний, вырезают вдоль направления прокатки на расстоянии не менее 15 мм от кромки один образец.
Контроль микроструктуры проводят по
ГОСТ 21073.0-75,
ГОСТ 21073.1-75. Величина зерна должна быть не менее 8 баллов и не крупнее 4 баллов (при линейном увеличении

).
(Измененная редакция, Изм. N 1.)
4.7. Для испытаний на растяжение от каждой отобранной полосы вырезают по одному образцу вдоль направления прокатки. Отбор образцов для испытаний на растяжение проводят по
ГОСТ 24047-80.
Испытание на растяжение полос толщиной не более 3 мм проводят на образцах типа I, шириной 20 мм (

) с начальной расчетной длиной

по
ГОСТ 11701-84.
Испытание на растяжение полос толщиной 3 мм и более проводят на образцах типа I, шириной 20 мм с начальной расчетной длиной

по
ГОСТ 1497-84.
(Измененная редакция, Изм. N 2.)
4.8. (Исключен, Изм. N 1.)
4.9. Колпачки вырубают и свертывают на прессе: из полосы длиной не менее 1000 мм вырубают и свертывают колпачки по всей ширине полосы. Это испытание проводится также и на предприятии-потребителе перед запуском металла в производство.
4.10. Отбор и подготовку проб для определения химического состава проводят по
ГОСТ 24231-80.
Химический состав полос определяют по
ГОСТ 25086-87, ГОСТ 1652.1-77 - ГОСТ 1652.13-77, ГОСТ 9716.1-79 - ГОСТ 9716.3-79.
(Измененная редакция, Изм. N 1.)
5. МАРКИРОВКА, УПАКОВКА, ТРАНСПОРТИРОВАНИЕ И ХРАНЕНИЕ
5.1. На каждую полосу должны быть нанесены несмываемой краской номер партии и штамп ОТК.
Краска по цвету должна отличаться от краски, которой закрашены дефектные места полос.
5.2. Полосы должны быть упакованы в пачки.
5.3. Пачки полос должны быть обернуты бумагой по
ГОСТ 8273-75,
ГОСТ 2228-81 или другими материалами, не ухудшающими качество поверхности полос, по нормативно-технической документации. Пачки должны быть защищены с двух сторон (снизу и сверху) досками или деревянными щитами, размеры которых соответствуют ширине и длине пачки.
Упакованные пачки полос перевязывают не менее чем в трех местах лентой размерами не менее 0,3 x 20 мм по
ГОСТ 3560-73 или проволокой толщиной не менее 2 мм по
ГОСТ 3282-74. Концы обвязочной ленты скрепляются в замок, проволоки - скруткой не менее пяти витков.
Масса пачки не должна превышать 80 кг, а при механизированной погрузке и выгрузке - не более 1000 кг.
Формирование грузовых мест в транспортные пакеты должно проводиться в соответствии с правилами перевозки грузов, утвержденными соответствующими ведомствами. Масса и габаритные размеры пакетов - по
ГОСТ 24597-81.
Пакетирование должно осуществляться на поддонах по
ГОСТ 9557-87 или без поддонов с использованием брусков размером не менее 50 x 50 мм и длиной, равной ширине пакета.
Транспортные пакеты должны быть обвязаны не менее чем в двух местах или крестообразно проволокой диаметром не менее 3 мм по
ГОСТ 3282-74 или лентой размером не менее 0,5 x 30 мм по
ГОСТ 3560-73.
Концы обвязочной проволоки скрепляются скруткой не менее пяти витков, ленты - в замок.
Допускается при вагонной отправке в один адрес или при отправке в контейнерах по
ГОСТ 18477-79 пачки полос транспортировать без защиты деревянными досками или щитами.
Упаковка полос, отправляемых в районы Крайнего Севера и приравненные к ним, должна проводиться по ГОСТ 15846-79, по
группе "Металлы и металлические изделия".
(Измененная редакция, Изм. N 1, 3.)
5.4. Масса грузового места не должна превышать 1000 кг.
5.5. К каждой пачке полос должен быть прочно прикреплен ярлык по
ГОСТ 14192-96 с указанием:
товарного знака или товарного знака и наименования предприятия-изготовителя;
условного обозначения полос;
массы нетто партии;
номера партии.
Транспортная маркировка грузовых мест, место и способ ее нанесения - по
ГОСТ 14192-96 с указанием номера партии и манипуляционного знака "Беречь от влаги". Допускается наносить маркировку непосредственно на доски и щиты.
5.4, 5.5. (Измененная редакция, Изм. N 1.)
5.6. (Исключен, Изм. N 1.)
5.7. Транспортирование полос проводится транспортом всех видов в крытых транспортных средствах в соответствии с правилами перевозки грузов, действующими на транспорте данного вида.
Транспортирование полос железнодорожным транспортом проводится мелкими и повагонными отправками.
(Измененная редакция, Изм. N 1.)
5.8. Полосы должны храниться в закрытых помещениях, в условиях, исключающих их механическое повреждение и попадание на них влаги и активных химических веществ.