Главная // Актуальные документы // ГОСТ (Государственный стандарт)
СПРАВКА
Источник публикации
М.: Издательство стандартов, 1994
Примечание к документу
Документ утратил силу с 1 января 2017 года в связи с изданием Приказа Росстандарта от 08.06.2016 N 572-ст. Взамен введен в действие ГОСТ 33534-2015.

С 1 июля 2003 года до вступления в силу технических регламентов акты федеральных органов исполнительной власти в сфере технического регулирования носят рекомендательный характер и подлежат обязательному исполнению только в части, соответствующей целям, указанным в пункте 1 статьи 46 Федерального закона от 27.12.2002 N 184-ФЗ.

Документ введен в действие с 1 января 1983 года.

Взамен ГОСТ 2456-75.
Название документа
"ГОСТ 2456-82. Государственный стандарт Союза ССР. Бруски шлифовальные. Технические условия"
(утв. и введен в действие Постановлением Госстандарта СССР от 18.02.1982 N 731)
(ред. от 01.02.1992)

"ГОСТ 2456-82. Государственный стандарт Союза ССР. Бруски шлифовальные. Технические условия"
(утв. и введен в действие Постановлением Госстандарта СССР от 18.02.1982 N 731)
(ред. от 01.02.1992)


Содержание


Утвержден и введен в действие
Постановлением Государственного
комитета СССР по стандартам
от 18 февраля 1982 г. N 731
ГОСУДАРСТВЕННЫЙ СТАНДАРТ СОЮЗА ССР
БРУСКИ ШЛИФОВАЛЬНЫЕ
ТЕХНИЧЕСКИЕ УСЛОВИЯ
Grinding stanes. Technical conditions
ГОСТ 2456-82
Список изменяющих документов
(в ред. Изменения N 1, утв. в июне 1986 г.,
Изменения N 2, утв. в апреле 1987 г.,
Изменения N 3, утв. в феврале 1992 г.)
Группа Г25
ОКП 39 8100
39 8200
Дата введения
1 января 1983 года
ИНФОРМАЦИОННЫЕ ДАННЫЕ
1. РАЗРАБОТАН И ВНЕСЕН Министерством станкостроительной и инструментальной промышленности СССР
РАЗРАБОТЧИКИ
Н.И. Григорьева; В.Н. Тырков, канд. техн. наук; М.И. Шаварина; Е.С. Плоткина
2. УТВЕРЖДЕН И ВВЕДЕН В ДЕЙСТВИЕ Постановлением Государственного комитета СССР по стандартам от 18.02.82 N 731
3. ВЗАМЕН ГОСТ 2456-75
4. Срок проверки - 1997 г., периодичность проверки 5 лет.
5. Стандарт полностью соответствует ИСО 2220-72, ИСО 3920-76, ИСО 3921-76
6. ССЫЛОЧНЫЕ НОРМАТИВНО-ТЕХНИЧЕСКИЕ ДОКУМЕНТЫ
Обозначение НТД, на который дана ссылка
Номер пункта
2.11
ГОСТ 18118-79
ГОСТ 19202-80
ГОСТ 25961-83
2.12; 5
7. Проверен в 1992 г. Ограничение срока действия отменено (Постановление Госстандарта от 18.02.92 N 165)
8. ПЕРЕИЗДАНИЕ (февраль 1994 г.) с Изменениями N 1, 2, 3, утвержденными в июне 1986 г., апреле 1987 г., феврале 1992 г. (ИУС 9-86, 8-87, 5-92)
Настоящий стандарт распространяется на шлифовальные бруски на керамической и бакелитовой связках.
Требования настоящего стандарта в части разд. 1, 2 (кроме п. 2.2), 4, 5 и пп. 3.4 и 3.5 являются обязательными, другие требования - рекомендуемыми.
(Измененная редакция, Изм. N 3).
1. ТИПЫ И РАЗМЕРЫ
1.1. Бруски должны изготовляться типов:
БКв - квадратные;
БП - прямоугольные;
БТ - треугольные;
БКр - круглые;
БПкр - полукруглые.
1.2. Размеры брусков должны соответствовать указанным на черт. 1 - 5 и в табл. 1 - 4.
Тип БКв
Черт. 1
Таблица 1
мм
B = C
L
2
25 <**>
2,5
(32) <**>
3
40 <**>
4
16; 40; 50 <**>
5
50; 80; (63) <**>
6
50; 80 <**>; 100 <*>
8
50; 100 <**>
10
50; 100 <*>; 125 <**>; 150
13
100; 125; 150 <*>; 160 <**>
16
100; 150 <*>; 200 <**>
18
100
20
50; 100; 150; 200 <*>; 250 <**>
22
100
25
100; 150; 200 <*>; (315) <**>
40
50
45
90
--------------------------------
<*> Размеры, соответствующие ИСО 2220-72 (см. приложение 3).
<**> Размеры, соответствующие ИСО 3920-76 (см. приложение 3).
Примечание. Размеры, заключенные в скобки, применять не рекомендуется.
Тип БП
Черт. 2
Таблица 2
мм
B
C
L
2
3
40
3
2
32 <**>
4
20
5
32 <**>
50
4
25; 50
3
40 <**>
5
4
50 <**>
6
3
100 <*>
5
15; 50; 63 <**>
25
70
8
4
25
5; 7; 10; 12
50
6
80 <**>
9
6
45
8
32; 63; 100
10
8
25; 100 <**>
5
50; 100 <*>
11
9
100; 125
12
4
50
5
32; 50
6; 8; 10
50
13
6
50; 125; 150 <*>
10
50; 125 <**>
14
8
25
10
50
15
5
75
6; 13
50
14
150
16
10
45
4
50
8
30; 150 <*>
12
25
13
160 <**>
20
8
25
10
100; 150; 200 <*>
11
50
13
150
16
80; 150
22
10
32
25
4
70
6
75; 100
8; 9
25; 100
13
200 <*>
10; 16
150
18
80
28
20
75
32
20
200
40
56
10; 12; 16; 20; 25
100
80
20
--------------------------------
<*> Размеры, соответствующие ИСО 2220-72.
<**> Размеры, соответствующие ИСО 3921-76.
Тип БТ
Черт. 3
Таблица 2а
мм
B
L
6; 10
100 <*>; 150
13; 16
150 <*>
20; 25
200 <*>
--------------------------------
<*> Размеры, соответствующие ИСО 2220-72.
Тип БКр
Черт. 4
Таблица 3
мм
D
L
6; 10
100
13; 16
150
20; 25
200
Тип БПкр
Черт. 5
Таблица 4
мм
D
L
6; 10
100 <*>
13; 16
150 <*>
20
150; 200 <*>
25
150; 200 <*>
--------------------------------
<*> Размеры, соответствующие ИСО 2220-72.
Пример условного обозначения шлифовального бруска типа БП с шириной B = 20 мм, высотой D = 16 мм, длиной L = 150 мм, из зеленого карбида кремния марки 63С, зернистостью 6-Н, степени твердости С2, со звуковым индексом 33, на бакелитовой связке Б, номера структуры 7, класса точности А:
БП 20 x 16 x 150 63С 6-Н С2-33 7 Б А ГОСТ 2456-82.
(Измененная редакция, Изм. N 3).
1.3. По заказу потребителя допускается изготовление обычных и комбинированных доводочных брусков по ИСО 2220-72 в соответствии с приложением 2.
(Введен дополнительно, Изм. 3).
2. ТЕХНИЧЕСКИЕ ТРЕБОВАНИЯ
2.1. Бруски должны изготовляться в соответствии с требованиями настоящего стандарта.
2.2. Бруски должны изготовляться из шлифовальных материалов видов и зернистостей, указанных в табл. 5.
(Измененная редакция, Изм. N 3).
2.3. Зерновой состав шлифовальных материалов - по ГОСТ 3647.
2.4. Бруски должны изготовляться классов точности А и Б.
2.5. Предельные отклонения брусков класса точности А должны соответствовать следующим квалитетам:
IT14
бруски типов БКв; БП размерами до 30 мм ........ +/- ----
2
IT15
бруски типов БКв; БП размерами св. 30 мм ....... +/- ----
2
IT16
бруски прочих типов ............................ +/- ----
2
2.6. Предельные отклонения брусков класса точности Б должны соответствовать следующим квалитетам:
IT15
бруски типов БКв; БП размерами до 18 мм ........ +/- ----
2
IT16
бруски типов БКв; БП размерами св. 18 мм ....... +/- ----
2
IT17
бруски прочих типов ............................ +/- ----
2
2.7. Допуск параллельности, вогнутость или выпуклость плоских поверхностей или образующей цилиндрических поверхностей брусков не должны превышать значений, указанных в табл. 6.
2.8. На поверхности брусков класса точности А не допускаются повреждения и трещины, а также инородные включения длиной и шириной более 1 мм - для зернистости 16; 0,5 мм - для зернистости 12 и мельче.
Таблица 5
Вид абразивного материала
Зернистость
Электрокорунд
16-М5
Карбид кремния
16-М7
Таблица 6
мм
Длина бруска
Отклонения формы брусков типов
БКв; БП
БКр; БПкр; БТ
До 50
0,2
-
Св. 50 " 100
0,3
0,5
" 100 " 180
0,4
0,7
" 180
0,5
1,0
2.9. На поверхности брусков класса точности Б не допускаются трещины, а также повреждения длиной и шириной более 2 мм в количестве более одного на длине до 150 мм и более двух на длине свыше 150 мм, инородные включения длиной и шириной более 1,5 мм.
2.10. Твердость брусков - по ГОСТ 18118 или ГОСТ 19202 или ГОСТ 25961.
2.8 - 2.10. (Измененная редакция, Изм. N 2).
2.11. Показатели качества должны соответствовать указанным в табл. 6а, , при условиях обработки по табл. 6б и , .
Расчет показателей качества приведен в обязательном приложении.
2.12. На поверхности брусков с шириной грани или диаметром свыше 15 мм и длиной свыше 75 мм должны быть четко нанесены:
товарный знак предприятия-изготовителя;
условное обозначение бруска (тип бруска допускается не указывать).
Примечания:
1. При использовании акустического метода контроля физико-механических свойств инструмента допускается дополнительно маркировать звуковые индексы.
2. При применении смеси шлифовальных материалов, а также шлифовальных материалов разных марок или зернистостей маркировать основную марку или зернистость.
3. Твердость брусков, контроль которых не предусмотрен ГОСТ 18118 и ГОСТ 19202, маркировать в соответствии с рецептурой.
2.13. Остальные требования к маркировке, а также упаковка - по ГОСТ 27595.
2.12, 2.13. (Введены дополнительно, Изм. N 3).
Таблица 6а
Показатели качества брусков из зеленого карбида кремния
на керамической связке при режиме хонингования по табл. 6б
Зернистость
Режущая способность, QМ·102, мм3/мин·мм2, не менее, для брусков степени твердости
Коэффициент шлифования K, не менее, для брусков степени твердости
Параметр шероховатости обработанной поверхности по ГОСТ 2789-73, Ra, мкм, не более
СМ2
С2
СМ2
С2
16
14,5
16,0
1,8
3,0
2,60
12
12,3
14,0
1,6
2,8
2,00
10
8,8
10,6
1,3
2,1
1,60
8
6,0
7,8
1,0
1,7
1,25
6 (М63)
3,5
5,2
0,7
1,3
1,00
5 (М50)
2,9
4,0
0,7
1,1
0,80
4 (М40)
2,0
2,9
0,7
0,95
0,63
Примечания:
1. Для брусков на бакелитовой связке значение режущей способности должно быть умножено на 0,8, а значения параметра шероховатости Ra - на 0,5.
2. Для брусков из белого электрокорунда на керамической и бакелитовой связках значения режущей способности и коэффициента шлифования должны быть умножены на 1,1.
Таблица 6б
Оборудование
Образец для испытаний
Режим испытаний
СОЖ
материал, твердость
размеры
Хонинговальный станок модели ОФ-38А
Сталь 45 37 ... 39 HRCэ
D = 50 - 80 мм
l = 120 - 150 мм
Vок = 27 - 30 м/мин
Vвп = 9 - 10 м/мин
P <*> = 0,8 МПа
t = 60 с
Масло индустриальное 20 - 30% керосин 70%
Ra для брусков зернистостями:
6 - 10 не более 2,5 мкм
8; 6 (М63) не более 2,0 мкм
5 (М50); 4 (М40) не более 1,25 мкм
--------------------------------
<*> Для брусков зернистостями 16 - 8; 6 (М63); 5 (М50).
Для брусков зернистостями 4 (М40) P = 0,2 - 0,3 МПа.
Таблица 6в
Показатели качества брусков из зеленого карбида кремния
на керамической связке при режиме суперфиниширования
по табл. 6г
Зернистость
Режущая способность, QМ·102, мм3/мин·мм2, не менее, для брусков степени твердости
Коэффициент шлифования, K, не менее, для брусков степени твердости
Параметр шероховатости обработанной поверхности по ГОСТ 2789-73, Ra, мкм, не более
М3
СМ2
М3
СМ2
М40
1,2
1,4
0,11
0,28
0,50
М28
0,8
1,1
0,09
0,25
0,32
М20
0,6
0,9
0,08
0,18
0,16
М14
0,4
0,6
0,08
0,16
0,125
М10
0,3
0,6
0,05
0,14
0,10
М7
0,3
0,5
0,05
0,12
0,08
Примечание. Для брусков из электрокорундовых материалов значения режущей способности и коэффициента шлифования должны быть умножены на 1,1.
Таблица 6г
Оборудование
Образец для испытаний
Режим испытаний
СОЖ
материал, твердость
размеры
Суперфинишный станок модели 3871Б
Сталь 45 46,5 ... 51,5 HRCэ
D = 40 - 60 мм
l = 200 - 400 мм
Vок = 9 - 10 м/мин
nосц = 20 - 25 Гц
A = 3 мм
P = 0,2 МПа
t = 120 с
Масло индустриальное 20 - 15% керосин 80% олеиновая кислота 3 - 5% или низковязкое масло типа РЖ-8
Ra для брусков зернистостями:
М40; М28 не более 0,8 мкм;
М20; М14 не более 0,32 мкм;
М10; М7 не более 0,16 мкм
Таблица 6д
Показатели качества брусков из белого электрокорунда
на керамической связке при режиме предварительного
хонингования по табл. 6е
Типоразмер
Характеристика бруска
Коэффициент шлифования, не менее
Наработка комплектом брусков, шт., не менее
Параметр шероховатости обработанной поверхности по ГОСТ 2789-73, Ra, мкм, не более
БП 3 x 4 x 60
24А 6 К20
ЗИ 47-53
4
200
0,63
Таблица 6е
Типоразмер
Обрабатываемая деталь
Оборудование
Режимы обработки
материал
размеры, мм
Частота вращения хода, мин-1
Давление, МПа
Число двойных ходов, дв. ход/мин
БП 3 x 4 x 60
Сталь 45Х14 Н14В М2М
D = 8
l = 70
Хонинговальный станок модели МВС-1804
2000
1
32
БП 14 x 15 x 150
Сталь ОХНЗ МФА
D = 320
l = 1350
Хонинговальный станок модели ОС4818
25
1,5
20
(Введены дополнительно, Изм. N 2, 3).
3. ПРАВИЛА ПРИЕМКИ
3.1. Для контроля соответствия брусков требованиям настоящего стандарта проводят приемочный контроль и периодические испытания.
(Измененная редакция, Изм. N 2).
3.2. Приемочному контролю на соответствие требованиям пп. 1.2; 2.5 - 2.10 подвергаются 20% брусков от партии, но не менее 10 шт.
Партия должна состоять из брусков одного типоразмера, одной характеристики, одновременно предъявленных к приемке по одному документу.
3.3. Если при приемочном контроле установлено несоответствие требованиям стандарта более чем по одному контролируемому показателю, то партию не принимают.
Если установлено несоответствие требованиям стандарта по одному из контролируемых показателей, то проводят повторный контроль на удвоенном количестве брусков по всем показателям.
При наличии дефектов в повторной выборке партию не принимают.
3.4. Периодическим испытаниям на соответствие требованиям п. 2.11 должны подвергаться бруски, прошедшие приемочный контроль, в количестве 0,5% от партии, но не менее восьми штук.
3.3, 3.4. (Измененная редакция, Изм. N 2).
3.5. Периодические испытания должны проводиться не реже одного раза в год.
Допускается проведение испытаний у потребителя в производственных условиях.
(Измененная редакция, Изм. N 3).
4. МЕТОДЫ ИСПЫТАНИЙ
4.1. Размеры брусков контролируют универсальными средствами измерения.
4.2. Наличие трещин, повреждений и других дефектов контролируют внешним осмотром.
4.3. Контроль твердости брусков - по ГОСТ 18118 или ГОСТ 19202 или ГОСТ 25961.
(Измененная редакция, Изм. N 2).
5. ТРАНСПОРТИРОВАНИЕ И ХРАНЕНИЕ
Транспортирование и хранение - по ГОСТ 27595.
(Измененная редакция, Изм. N 3).
Разд. 6. (Исключен, Изм. N 2).
Приложение 1
Обязательное
РАСЧЕТ РЕЖУЩЕЙ СПОСОБНОСТИ И КОЭФФИЦИЕНТА
ШЛИФОВАНИЯ ШЛИФОВАЛЬНЫХ БРУСКОВ
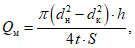
1. Режущую способность шлифовальных брусков QM, мм3/(мин·мм2), рассчитывают по формуле
где dн - начальный диаметр детали, мм;
dк - конечный диаметр детали, мм;
h - ширина обрабатываемой поверхности, мм;
t - время обработки (для суперфиниширования - время обработки на 1-й ступени), мин;
S - площадь рабочей поверхности бруска, мм2.
2. Коэффициент шлифования шлифовальных брусков (K) рассчитывается по формуле
где Qм - режущая способность, мм3/(мин·мм2);
Qа - износ шлифовального бруска, мм/мин;
где Lн - начальный размер бруска, мм;
Lк - конечный размер бруска, мм;
n - количество деталей, обработанных одним бруском (не менее 20).
Приложение 2
РАЗМЕРЫ ОБЫЧНЫХ И КОМБИНИРОВАННЫХ
ДОВОДОЧНЫХ БРУСКОВ ПО ИСО 2220-72
Обычный доводочный брусок
Комбинированный доводочный брусок
Черт. 6
Таблица 7
мм
B
C
L
25
13
100
50
25
150
50
25
200
Приложение 3
Справочное
СООТВЕТСТВИЕ НАСТОЯЩЕГО СТАНДАРТА СТАНДАРТАМ
ИСО 2220-72, ИСО 3920-76, ИСО 3921-76
Размеры брусков, установленные в настоящем стандарте, полностью охватывают номенклатуру размеров брусков по стандартам ИСО 2220-72, ИСО 3920-76, ИСО 3921-76.
Размеры брусков по стандарту ИСО 2220-76 приведены в табл. 3, приложении 2, а также отмечены в табл. 1; 2; ; 4 настоящего стандарта знаком <*>.
Размеры брусков по стандарту ИСО 3926-76 отмечены в табл. 1 настоящего стандарта знаком <**>.
Размеры брусков по стандарту ИСО 3921-76 отмечены в табл. 2 настоящего стандарта знаком <**>.
Дополнительно стандарт содержит технические требования, правила приемки, методы испытаний, а также требования к маркировке, упаковке, транспортированию и хранению.
Приложения 2, 3. (Введены дополнительно, Изм. N 3).