Главная // Актуальные документы // ГОСТ (Государственный стандарт)СПРАВКА
Источник публикации
М.: Стандартинформ, 2019
Примечание к документу
Документ
введен в действие с 1 июля 2019 года.
Название документа
"ГОСТ 34484-2018. Межгосударственный стандарт. Турбины паровые стационарные. Нормы расчета на прочность корпусов цилиндров и клапанов"
(введен в действие Приказом Росстандарта от 09.04.2019 N 124-ст)
"ГОСТ 34484-2018. Межгосударственный стандарт. Турбины паровые стационарные. Нормы расчета на прочность корпусов цилиндров и клапанов"
(введен в действие Приказом Росстандарта от 09.04.2019 N 124-ст)
агентства по техническому
регулированию и метрологии
от 9 апреля 2019 г. N 124-ст
МЕЖГОСУДАРСТВЕННЫЙ СТАНДАРТ
ТУРБИНЫ ПАРОВЫЕ СТАЦИОНАРНЫЕ
НОРМЫ РАСЧЕТА НА ПРОЧНОСТЬ КОРПУСОВ ЦИЛИНДРОВ И КЛАПАНОВ
Stationary steam turbine. Norms of calculation
for strength of cylinder and valve casings
ГОСТ 34484-2018
Дата введения
1 июля 2019 года
Цели, основные принципы и основной порядок проведения работ по межгосударственной стандартизации установлены в
ГОСТ 1.0-2015 "Межгосударственная система стандартизации. Основные положения" и
ГОСТ 1.2-2015 "Межгосударственная система стандартизации. Стандарты межгосударственные, правила и рекомендации по межгосударственной стандартизации. Правила разработки, принятия, обновления и отмены"
1 РАЗРАБОТАН Техническим комитетом по стандартизации ТК 244 "Оборудование энергетическое стационарное", Федеральным государственным унитарным предприятием "Всероссийский научно-исследовательский институт стандартизации и сертификации в машиностроении" (ВНИИНМАШ)
2 ВНЕСЕН Федеральным агентством по техническому регулированию и метрологии
3 ПРИНЯТ Межгосударственным советом по стандартизации, метрологии и сертификации (протокол от 29 ноября 2018 г. N 54)
За принятие проголосовали:
Краткое наименование страны по МК (ИСО 3166) 004-97 | Код страны по МК (ИСО 3166) 004-97 | Сокращенное наименование национального органа по стандартизации |
Армения | AM | Минэкономики Республики Армения |
Беларусь | BY | Госстандарт Республики Беларусь |
Киргизия | KG | Кыргызстандарт |
Россия | RU | Росстандарт |
Узбекистан | UZ | Узстандарт |
4
Приказом Федерального агентства по техническому регулированию и метрологии от 9 апреля 2019 г. N 124-ст межгосударственный стандарт ГОСТ 34484-2018 введен в действие в качестве национального стандарта Российской Федерации с 1 июля 2019 г.
5 ВВЕДЕН ВПЕРВЫЕ
Информация об изменениях к настоящему стандарту публикуется в ежегодном информационном указателе "Национальные стандарты", а текст изменений и поправок - в ежемесячном информационном указателе "Национальные стандарты". В случае пересмотра (замены) или отмены настоящего стандарта соответствующее уведомление будет опубликовано в ежемесячном информационном указателе "Национальные стандарты". Соответствующая информация, уведомление и тексты размещаются также в информационной системе общего пользования - на официальном сайте Федерального агентства по техническому регулированию и метрологии в сети Интернет (www.gost.ru)
Настоящий стандарт распространяется на паровые стационарные турбины для тепловых и атомных электростанций и приводные паровые турбины.
Настоящий стандарт устанавливает общие требования к расчету на прочность наружных и внутренних корпусов цилиндров высокого и среднего давления и корпусов регулирующих и стопорных клапанов на всех стадиях жизненного цикла, в том числе при проектировании и в ходе эксплуатации с целью продления срока службы турбины.
Стандарт не предъявляет требований к работам, связанным с контролем состояния металла корпусов цилиндров и клапанов в периоды ремонтов турбин, которые регламентируются техническими условиями на ремонт, инструкциями по контролю состояния металла и продлению срока службы элементов турбин и иными отраслевыми нормативными документами.
В настоящем стандарте использованы нормативные ссылки на следующие межгосударственные стандарты:
ГОСТ 25.502-79 Расчеты и испытания на прочность в машиностроении. Методы механических испытаний металлов. Методы испытаний на усталость
ГОСТ 25.504-82 Расчеты и испытания на прочность. Методы расчета характеристик сопротивления усталости
ГОСТ 25.506-85 Расчеты и испытания на прочность. Методы механических испытаний металлов. Определение характеристик трещиностойкости (вязкости разрушения) при статическом нагружении
ГОСТ 977-88 Отливки стальные. Общие технические условия
ГОСТ 3618-82 Турбины паровые стационарные для привода турбогенераторов. Типы и основные параметры
ГОСТ 9066-75 Шпильки для фланцевых соединений с температурой среды от 0 °C до 650 °C. Типы и основные размеры
ГОСТ 9064-75 Гайки для фланцевых соединений с температурой среды от 0 до 650 °C. Типы и основные размеры
ГОСТ 16093-2004 Основные нормы взаимозаменяемости. Резьба метрическая. Допуски. Посадки с зазором
ГОСТ 20689-80 Турбины паровые стационарные для привода компрессоров и нагнетателей. Типы, основные параметры и общие технические требования
ГОСТ 20700-75 Болты, шпильки, гайки и шайбы для фланцевых и анкерных соединений, пробки и хомуты с температурой среды от 0 до 650 °C. Технические условия
ГОСТ 23269-78 Турбины стационарные паровые. Термины и определения
ГОСТ 24277-91 Установки паротурбинные стационарные для атомных электростанций. Общие технические условия
ГОСТ 24278-89 Установки турбинные паровые стационарные для привода электрических генераторов ТЭС. Общие технические требования
ГОСТ 27625-88 Блоки энергетические для тепловых электростанций. Требования к надежности, маневренности и экономичности
ГОСТ 24705-2004 Основные нормы взаимозаменяемости. Резьба метрическая. Основные размеры
ГОСТ 28969-91 Турбины паровые стационарные малой мощности. Общие технические условия
Примечание - При пользовании настоящим стандартом целесообразно проверить действие ссылочных стандартов в информационной системе общего пользования - на официальном сайте Федерального агентства по техническому регулированию и метрологии в сети Интернет или по ежегодному информационному указателю "Национальные стандарты", который опубликован по состоянию на 1 января текущего года, и по выпускам ежемесячного информационного указателя "Национальные стандарты" за текущий год. Если ссылочный стандарт заменен (изменен), то при пользовании настоящим стандартом следует руководствоваться заменяющим (измененным) стандартом. Если ссылочный стандарт отменен без замены, то положение, в котором дана ссылка на него, применяется в части, не затрагивающей эту ссылку.
В настоящем стандарте использованы следующие сокращения:
АЭС - атомная электростанция;
К - конденсационные турбины;
КИН - коэффициент интенсивности напряжений;
КРТ - критическое раскрытие трещины;
ЛМЗ - Ленинградский металлический завод;
МУ - методические указания;
НД - нормативная документация;
ПНАЭ - правила и нормы в атомной энергетике;
ПТ - теплофикационные турбины с производственным и отопительным отбором пара;
Р - теплофикационные турбины с противодавлением, без регулируемого отбора пара;
Т - теплофикационные турбины с отопительным отбором пара;
УТЗ - Уральский турбинный завод;
ТУ - технические условия;
ТЭС - тепловая электростанция;
ХТЗ - Харьковский турбинный завод.
В настоящем стандарте применены термины в соответствии с ГОСТ 23269, а также следующие термины с соответствующими определениями:
4.1 цилиндр высокого давления; ЦВД: Первый по ходу пара цилиндр многоцилиндровой паровой турбины.
4.2 цилиндр среднего давления; ЦСД: Промежуточный по ходу пара цилиндр многоцилиндровой паровой стационарной турбины с конденсатором.
4.3 стопорный клапан; СК: Автоматический клапан, предназначенный для прекращения подачи пара в цилиндр паровой стационарной турбины в аварийной ситуации.
4.4 регулирующий клапан; РК: Клапан для регулирования расхода пара через проточную часть цилиндра паровой стационарной турбины.
5.1 Настоящий стандарт определяет общую методологию и порядок выполнения расчетов на прочность корпусов ЦВД, ЦСД, СК и РК основных типов паровых стационарных турбин:
- турбин для привода электрических генераторов ТЭС, соответствующих требованиям
ГОСТ 24278 и
ГОСТ 3618;
- турбин для атомных электростанций, соответствующих техническим условиям ГОСТ 24277;
- турбин малой мощности, соответствующих техническим условиям
ГОСТ 28969;
- турбин для привода компрессоров и нагнетателей, соответствующих требованиям ГОСТ 20689.
5.2 Требования стандарта в целях обеспечения безопасной работы паровых турбин обязаны выполнять эксплуатирующие организации, а также любые сторонние организации и физические лица, выполняющие работы (оказывающие услуги) в области его применения.
5.3 Назначенный срок службы турбины определяется требованиями нормативной документации, в том числе:
- турбин стационарных паровых для привода турбогенераторов ТЭС - в соответствии с
ГОСТ 24278,
ГОСТ 28969 не менее 40 лет (за исключением быстроизнашивающихся деталей);
- турбин стационарных паровых мощностью 30 МВт и выше с номинальной частотой вращения ротора 50 и 25 с-1, предназначенных для работы на АЭС, - в соответствии с ГОСТ 24277 не менее 30 лет (за исключением быстроизнашивающихся деталей);
- турбин стационарных паровых мощностью от 6 000 до 30 000 кВт с начальным абсолютным давлением пара от 3,4 до 10 МПа, предназначенных для привода воздушных компрессоров для доменных печей и воздухоразделительных установок, компрессоров и нагнетателей турбин для привода компрессоров и нагнетателей, - в соответствии с ГОСТ 27625 не менее 25 лет (за исключением быстроизнашивающихся деталей).
6 Методика расчета на статическую прочность
6.1 Расчет по выбору основных размеров
6.1.1 Расчет по выбору основных размеров корпусов выполняется на стадии эскизного проекта путем решения осесимметричной задачи теории упругости без учета патрубков, фланцев горизонтального разъема цилиндров, приливов.
При расчетах учитываются нагрузки на корпус от внутреннего давления, осевых усилий, передающихся от диафрагм, обойм, а также температурное поле корпуса при номинальном режиме эксплуатации.
6.1.2 Значения пределов текучести и прочности материала при рабочей температуре принимаются по нижнему значению механических свойств, приводимых в ТУ на отливки. Для корпусов, отливаемых из легированных сталей, при температурах более 420 °C следует учитывать снижение предела текучести материала из-за влияния длительной наработки при сроке эксплуатации свыше 100 тыс. ч.
Значительное уменьшение пределов текучести

и прочности

наблюдается при температурах 510 °C - 540 °C. Оно может быть оценено путем испытания образцов из вырезок металла корпусов после длительной наработки. Если такие данные отсутствуют, то допускается использовать результаты испытаний из банка данных для литых корпусов, представленные в таблице 1.
Таблица 1
Снижение пределов текучести и прочности корпусных
сталей по отношению к исходному состоянию
после длительной наработки
Марка стали | Температура испытания, °C | Наработка, тыс. ч | Снижение пределов, % |
текучести | прочности |
20ХМЛ | 510 | 200 | 16 - 20 | 10 - 13 |
20ХМФЛ | 535 | 100 - 200 | 20 - 25 | 15 - 20 |
15Х1М1ФЛ | 540 | 200 | 14 | 10 |
6.2 Поверочный расчет на прочность
6.2.1 Поверочный расчет корпуса выполняется при проектировании и наличии отклонений геометрических размеров корпуса от требований конструкторской документации, возникших при изготовлении, вследствие эрозионного размыва или выполненных ремонтных работ (например, выборки трещин), а также при продлении срока службы турбины для обоснования допускаемого времени дополнительной эксплуатации.
При поверочном расчете прочности следует использовать исполнительные размеры корпуса с учетом местных утонений стенок, размывов металла на внутренних поверхностях, выборок металла в зоне дефектов, трещин.
6.2.2 При расчете на прочность учитываются все возможные нагрузки. Весовые нагрузки допускается не учитывать из-за их незначительного влияния на напряженное состояние корпуса.
6.2.3 При расчете на прочность в соответствии с особенностями эксплуатации должны быть учтены все возможные механизмы разрушения:
- кратковременное вязкое или хрупкое разрушение;
- разрушение вследствие ползучести материалов;
- разрушение вследствие усталости материалов.
6.2.4 При оценке прочности должны быть выполнены следующие виды расчетов:
- расчет на статическую кратковременную и длительную прочность;
- расчет на сопротивляемость малоцикловому нагружению;
- расчет на сопротивляемость хрупкому разрушению;
- оценка плотности фланцев разъемных соединений корпусов цилиндров и клапанов и прочности шпилек, обеспечивающих герметичность корпусов.
6.3 Напряжения и запасы прочности
6.3.1 Упругое напряженное состояние
Механические свойства металла в упругом состоянии и модуль нормальной упругости при эксплуатационных температурах принимаются по справочным данным.
В качестве критерия напряженного состояния для упругой стадии применяется эквивалентное растягивающее напряжение

(6.1)
где

,

- главные нормальные напряжения

.
Коэффициенты запаса прочности определяются при номинальном режиме эксплуатации без учета термических напряжений, с учетом влияния рабочей температуры (
Tраб) и времени эксплуатации
t на предел текучести материала

(с использованием данных
таблицы 1) по зависимости:

(6.2)
Эквивалентные напряжения с учетом концентрации подсчитываются путем численного расчета на основе метода конечных элементов. Допускается определение эквивалентных напряжений в зонах концентрации при помощи формулы:

(6.3)
где

- коэффициент концентрации, определяемый по справочным данным;

- номинальное значение эквивалентного напряжения.
Коэффициент запаса прочности для корпусов из литых сталей
15Х1М1ФЛ, 20ХМФЛ, 25Л по
ГОСТ 977; 20ХМЛ по ТУ 24-1-12-182-75 составляет
nT >= 1,65.
6.3.2 Учет ползучести материала
Характеристики ползучести и длительной прочности при эксплуатационных температурах принимаются по справочным данным.
В качестве критерия статической прочности корпуса в условиях ползучести применяется эквивалентное напряжение

(6.4)
Коэффициент запаса прочности определяется при номинальном режиме эксплуатации с учетом влияния рабочей температуры и времени эксплуатации на предел длительной прочности

материала по зависимости

(6.5)
Эквивалентные напряжения с учетом концентрации должны быть определены для заданного ресурса t путем численного расчета с использованием метода конечных элементов. Допускается определение эквивалентных напряжений в зонах концентрации по формулам:

(6.6)
где m = m(Tраб) - показатель степенного закона ползучести стали;

- номинальное значение эквивалентного напряжения;
Коэффициент запаса по пределу длительной прочности должен удовлетворять условию nП >= 1,5.
7 Расчет сопротивляемости малоцикловому нагружению
7.1 Общие положения
7.1.1 Расчет на малоцикловую усталость является поверочным. Он выполняется с учетом всех нагрузок и температурных полей при всех расчетных режимах на срок службы, заданный техническими требованиями на турбину.
7.1.2 Основные режимы эксплуатации турбин ТЭС и АЭС определяются
ГОСТ 24278 и ГОСТ 24277.
7.1.3 Полный установленный срок службы турбинных установок для привода электрических генераторов ТЭС составляет не менее 40 лет. Ресурс корпусных деталей, работающих при температуре свыше 450 °C, устанавливается в ТУ на турбины конкретных типоразмеров.
Конденсационные турбины должны быть рассчитаны на общее число пусков за весь срок эксплуатации не менее 1000 из неостывшего состояния (остановы на 24 - 55 ч) и 2000 - из горячего состояния (останов на 5 - 8 ч). Продолжительность пусков из различных тепловых состояний указывается в ТУ на турбину.
Теплофикационные турбины должны быть рассчитаны на общее число пусков за весь срок эксплуатации не менее 1800 из различных тепловых состояний, в том числе не менее 100 пусков из холодного состояния.
Назначенный срок службы паротурбинных установок для атомных электростанций составляет не менее 30 лет. Турбины должны быть рассчитаны на общее число пусков 1500 за полный срок эксплуатации из любых тепловых состояний.
7.1.4 Для оценки допускаемого числа циклов нагружения рассматривается режим "пуск из теплового состояния - номинальный режим эксплуатации - останов - остывание" в течение некоторого времени до начала следующего пуска.
7.1.5 Температурные поля корпусов для каждого состояния следует определять по специальным методикам.
7.1.6 Суммарные напряжения от термических нагрузок и от действия давления определяются с учетом графика изменения давления пара и температурных полей в течение цикла.
На основании полученных результатов расчета определяются наиболее напряженные участки металла корпуса, в которых ожидается наибольшая усталостная повреждаемость.
7.2 Расчет сопротивляемости малоцикловому нагружению при упругом состоянии материала
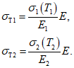
7.2.1 В качестве критерия усталостной прочности используется амплитуда интенсивности напряжений:

(7.1)
где

;

(7.2)
Здесь обозначено:
E1 - модуль нормальной упругости при температуре, соответствующей

,
E2 - модуль нормальной упругости при температуре, соответствующей

,
E - модуль упругости при максимальной температуре в цикле,

,

,

- напряжения, соответствующие

,

,

,

- напряжения, соответствующие

.
7.2.2 Максимальное и минимальное напряжения с учетом концентрации определяются в наиболее напряженной точке корпуса.
7.2.3 Определение амплитуды интенсивности деформаций без учета ползучести материала
7.2.3.1 При температурах ниже 420 °C для отливок из легированных сталей и 350 °C для отливок из углеродистых сталей, при которых можно не учитывать ползучесть, максимальные и минимальные напряжения определяются в соответствии с формулами:

(7.3)
7.2.3.2 Расчетный размах напряжений рассчитывается по формуле

(7.4)
7.2.3.3 Коэффициент асимметрии цикла напряжений вычисляется по выражению

(7.5)
где максимальное напряжение в цикле составляет

(7.6)
Здесь обозначено:

- предел текучести при температуре
T1, соответствующей

;

- предел текучести при температуре
T2, соответствующей

;

- среднее значение предела текучести в цикле,

(7.7)
7.2.3.4 Приведенная к симметричному циклу нагружения (r = -1) амплитуда напряжений определяется по зависимости:

(7.8)
где

- предел усталости при расчетной температуре по
ГОСТ 25.502,

- предел кратковременной прочности при растяжении.
| | ИС МЕГАНОРМ: примечание. В официальном тексте документа, видимо, допущена опечатка: пункт [2] отсутствует. Возможно, имеется в виду пункт [1]. | |
При отсутствии иных данных в соответствии с
[2] рекомендуется принимать

(7.9)
7.2.3.5 Число циклов до разрушения определяется по экспериментальным кривым усталости сталей для соответствующих температур испытаний.
7.2.3.6 Допускаемое число циклов нагружения определяется по формуле
Nдоп = min{[N1], [N2]}, (7.10)
где [N1] - число циклов до появления трещин по экспериментальным данным для разных температур испытаний в зависимости от амплитуды деформаций

(7.11)
с учетом коэффициента запаса по числу циклов nN = 5;
[N2] - число циклов до появления трещин для амплитуды

(7.12)
с коэффициентом запаса по деформации
.
Число циклов нагружения определяется как минимальное значение из [N1] и [N2].
Коэффициент запаса по деформации принимается:

- для корпусов турбин АЭС и для корпусов турбин ТЭС и приводных турбин, изготовленных методом литья;

- для корпусов ТЭС и приводных турбин, изготовленных методом ковки и проката.
7.2.3.7 На
рисунке 7.1 приведены экспериментальные кривые усталости стали 15Х1М1ФЛ при изотермическом симметричном цикле напряжений в виде зависимости амплитуды деформаций

от числа циклов
N до появления трещин при температурах 400 °C - 565 °C.
Кривая 1 - 400 °C; кривая 2 - 450 °C; кривая 3 - 500 °C;
кривая 4 - 525 °C; кривая 5 - 565 °C
Рисунок 7.1 - Экспериментальные кривые усталости стали
15Х1М1ФЛ при изотермическом симметричном цикле напряжений
7.2.3.8 При отсутствии экспериментальных данных по малоцикловой усталости допускается использовать для приближенных расчетов корреляционные зависимости числа циклов от характеристик материала при кратковременном разрушении при рабочей температуре в соответствии с ГОСТ 25.504 по следующим формулам:

(7.13)

(7.14)
где
z - относительное поперечное сужение сечения образца металла при разрыве, %,

- запас по числу циклов при использовании корреляционной зависимости

.
7.3 Расчет сопротивляемости малоцикловому нагружению с учетом ползучести материала
7.3.1 При температурах корпуса, когда следует учитывать ползучесть материала, из расчета корпуса при номинальном режиме эксплуатации с учетом ползучести материала определяются напряжения, соответствующие максимальной температуре

. Размах напряжений

принимается равным размаху для случая упругого деформирования в цикле нагружения.
7.3.2 Коэффициент асимметрии цикла напряжений
r* вычисляется, как для случая упругого нагружения с заменой

на

.
7.3.3 Максимальное напряжение в цикле вычисляется аналогично случаю упругого деформирования с заменой

на

.
7.3.4 Приведенная к симметричному циклу нагружения амплитуда напряжений вычисляется по формуле

(7.15)
где

.
7.3.5 Предварительное допускаемое число циклов нагружения

без учета влияния повреждаемости от исчерпания длительной прочности определяется по экспериментальным кривым усталости сталей аналогично варианту при упругом деформировании.
Допускаемое значение циклов нагружения до появления трещин с учетом влияния ползучести определяется по соотношению:

(7.16)
где

- интенсивность напряжений в рассматриваемой точке корпуса при состоянии установившейся ползучести;
q(T) - показатель степени в уравнении длительной прочности

в интервале времени (1 - 2)·10
5 ч эксплуатации.
7.3.6 При оценке ресурса корпуса нестационарность напряжений и температур при пусках из различных тепловых состояний учитывается на основе линейного суммирования повреждаемости по формуле

(7.17)
где Nk - число циклов нагружения на k-м режиме эксплуатации; n - число различных режимов пуска.
Нижняя граница разброса данных по длительной прочности образцов от среднего значения принимается равной общепринятому значению

(7.18)
Условие прочности записывается в виде
d <= 1.
7.3.7 Для оценочных расчетов допускается использовать корреляционные зависимости для вычисления допускаемого числа циклов:

(7.19)

(7.20)
где zД.П - относительное поперечное сужение сечения образца металла при длительном разрыве, %.
Допускаемое число циклов составит:

(7.21)
8 Расчет сопротивляемости хрупкому разрушению
8.1 В качестве критериев оценки хрупкого разрушения в виде разрыва при растяжении используются:
- коэффициент интенсивности напряжений при отрыве K1 (КИН);
- глубина трещины

;
- вязкость разрушения материала при растяжении K1C;
- пороговое значение вязкости разрушения K1SCC;
- критическое раскрытие трещины (КРТ)

.
Критерий по критическому раскрытию трещины не используется на стадии проектирования.
8.2 Коэффициент интенсивности напряжений
8.2.1 Коэффициент интенсивности напряжений при отрыве подсчитывается по формуле

(8.1)
где

- коэффициент формы трещины, зависящий от геометрических размеров зоны трещины (толщины стенки, радиуса галтели и т.п.),

- номинальное растягивающее напряжение в перпендикулярном относительно оси трещины направлении.
Условие разрушения при отрыве записывается в виде равенства КИН и вязкости разрушения материала при растяжении K1C, зависящей от пластических свойств и температуры испытания
K1 = K1C. (8.2)
Вязкость разрушения определяется по результатам испытаний материала на статическую трещиностойкость в соответствии с требованиями
ГОСТ 25.506.
8.2.2 Условия разрушения при поперечном и продольном сдвигах записываются аналогично. Коэффициенты интенсивности определяются в виде:

(8.3)
где

и

- соответствующие коэффициенты формы трещины;

,

- напряжения при сдвигах.
8.2.3 Эквивалентный коэффициент интенсивности напряжений записывается в виде зависимости

(8.4)
где

- коэффициент Пуассона

.
8.2.4 При циклическом нагружении коэффициент асимметрии цикла определяется по формуле

(8.5)
8.2.5 Размах эквивалентного КИН рекомендуется приводить к нулевому коэффициенту асимметрии (rЭ = 0) в соответствии с формулой

(8.6)
8.2.6 Запас прочности (для исключения возможности хрупкого разрушения) при достижении КИН критического значения составляет

(8.7)
8.3 Глубина трещины
8.3.1 Величина "подрастания" глубины трещины за цикл определяется по зависимости

(8.8)
Пороговое значение вязкости разрушения K1SCC соответствует условию, когда подрастание глубины трещины при циклическом нагружении не наблюдается

(8.9)
8.3.2 Запас прочности при достижении

критического значения (по глубине трещины) составляет

(8.10)
где

определяется из условия

.
8.4 Критическое раскрытие трещины
8.4.1 Величина расчетного критического раскрытия поверхностной полуэллиптической трещины глубиной
b, длиной
2a в зависимости от геометрии трещины, уровня номинальных напряжений

и характеристик жаропрочности подсчитываются по соотношению:

(8.11)
Здесь обозначено:

- коэффициент Пуассона (

в упругой зоне,

в зоне ползучести),
E - модуль упругости стали,
E2 - полный эллиптический интеграл второго рода,
K - модуль эллиптического интеграла, причем

(8.12)
где
lср - средняя глубина трещины, равная

,
aср - средняя длина трещины, равная

,

- предел текучести

после длительной наработки.
8.4.2 Условие прочности при наличии трещины выполняется, если расчетное раскрытие больше допускаемого

(8.13)
где

- критическое раскрытие трещины при рабочей температуре (при ударном нагружении);

- коэффициент запаса по КРТ металла,

.
8.4.3 Критическое раскрытие трещин сталей 20ХМЛ, 20ХМФЛ и 15Х1М1ФЛ, полученное по результатам испытания на удар специальных образцов с двумя надрезами при рабочей температуре, составляет 0,25 мм.
9 Расчет прочности крепежа фланцевых соединений корпусов
9.1 Основные положения
9.1.1 Обозначения:
| - | расчетные напряжения на холодной турбине в шпильках после их окончательной затяжки; |
D | - | |
s | - | |
| - | длина рабочей части шпильки цилиндра; |
E | - | модуль нормальной упругости; |
| - | коэффициент, учитывающий упругую податливость промежуточных деталей фланцевого соединения при растяжении шпильки; |
d | - | диаметр средней части шпильки; |
dн | - | диаметр резьбы шпильки; |
E2 | - | модуль упругости материала шпильки при температуре T2; |
 ,  | - | коэффициенты линейного расширения материала фланца и шпильки; |
| - | напряжение с учетом релаксации за последний межремонтный период. |
9.1.3 Согласно
ГОСТ 24278 конструкция крепежных деталей турбин с регламентированной затяжкой обеспечивает возможность ее контроля.
Кроме того, турбины имеют системы обогрева фланцевых соединений корпусов ЦВД, а турбины с промежуточным перегревом пара - также и корпусов ЦСД с целью использования этих систем при пусковых режимах и расхолаживании. Это способствует снижению перепада температур между фланцем и шпилькой и, соответственно, термических напряжений в крепеже и фланцах.
9.1.4 Основными причинами неплотности (пропаривания) фланцевого соединения корпусов цилиндров и клапанов являются значительные раскрывающие усилия в наиболее горячей части разъема и ускоренная релаксация напряжений от затяга шпилек вследствие ползучести материала в этой же зоне в течение межремонтного периода.
9.1.5 Для устранения пропаривания фланцевых соединений корпусов цилиндров могут быть проведены по отдельности или одновременно следующие мероприятия:
- усиленная затяжка шпилек;
- понижение температуры шпилек с помощью специальных охладителей, устанавливаемых в их центральные отверстия.
Система охлаждения шпилек обеспечивает понижение температуры материала шпилек при номинальном режиме турбины на 35 - 50 °C и не требует регулировки в процессе ее эксплуатации, что позволяет обеспечивать плотность фланцев на протяжении всего межремонтного периода.
9.1.6 Напряжения в шпильках и корпусных элементах определяются на основании численных расчетов по методу конечных элементов с учетом всех действующих факторов (усилие затяга, податливость конструкции, рабочие температуры, эксплуатационные нагрузки, характеристики материала и пр.).
Допускается проводить расчет усилий в шпильках фланцевых соединений на основании приведенных ниже формул.
9.2 Требования к напряжениям в шпильках корпусов цилиндров
9.2.1 Средние по сечению расчетные растягивающие начальные напряжения

на холодной турбине в средней части шпилек после их окончательной затяжки перед началом эксплуатации должны удовлетворять следующему условию:

(9.1)
Дуга поворота гайки M0 при затяжке шпильки вычисляется по формуле

(9.2)
9.2.2 Для фланцев корпусов ЦВД и ЦСД паровых турбин коэффициент

, учитывающий упругую податливость промежуточных деталей фланцевого соединения при растяжении шпильки, определяется по формуле

(9.3)
Отсчет дуги поворота проводится после предварительной затяжки, при которой момент на ключе должен составлять:
500 - 800 Н·м для шпилек диаметром до 10 см;
1500 - 2000 Н·м для шпилек диаметром свыше 10 см.
9.2.3 Для фланцев корпусов регулирующих и стопорных клапанов рекомендуется принимать

(9.4)
9.2.4 Средние напряжения от затяжки для шпилек М85 - М160 составляют 240 - 330 МПа.
Для шпилек, расположенных на крутых радиусных переходах фланцев корпусов турбин ЦВД К-300-240 ЛМЗ, ЦВД К-800-240-3, ЦСД К-300-240 ХТЗ, начальное напряжение допускается увеличить до 350 - 410 МПа.
Для шпилек N 4 - 8 ЦВД турбины ПТ-60-130 разрешается по согласованию с заводом-изготовителем повышение напряжения затяжки

до 360 - 400 МПа. При использовании системы охлаждения шпилек максимальное значение начальных напряжений может быть уменьшено до 330 - 360 МПа.
9.2.5 Рекомендуемые напряжения и удлинения, необходимые при затяжке шпилек горизонтального разъема корпусов цилиндров для основных типов турбин, приведены в
приложении А.
Для турбин, не указанных в
приложении А, а также в случае изменения величины регламентированного начального напряжения затяжки

в средней части шпильки необходимое удлинение шпильки

следует определять по формуле

(9.5)
9.2.6 Для регулирующих и стопорных клапанов турбин ТЭС рекомендуемое напряжение в шпильках при затяжке составляет 100 и 80 МПа соответственно.
9.2.7 Средние по сечению расчетные растягивающие напряжения в шпильках корпусов цилиндров в процессе эксплуатации, вызываемые затяжкой шпилек и разностью средних температур шпильки T2 и фланца T1 вблизи разъема, должны удовлетворять следующему условию:

(9.6)
9.3 Требования к напряжениям в шпильках корпусов клапанов
9.3.1 Расчетная схема корпуса клапана приведена на
рисунке 9.1.
T - усилие в шпильке, a - расстояние от оси шпильки
до середины контактного пояска, b - ширина контактного
пояска, Dk - средний диаметр контактного пояска,
p - давление пара, D - диаметр гайки, P - усилие
в контактном пояске,

- длина рабочей
части шпилек клапана
Рисунок 9.1 - Расчетная схема фланцевого соединения
корпуса регулирующего клапана
9.3.2 Напряжения в шпильках корпусов клапанов должны удовлетворять условию

(9.7)
где коэффициент упругой, мм/Н, податливости вычисляется по следующим формулам:
для рабочей части шпильки

(9.8)
для резьбового соединения шпильки с колпачковой гайкой

(9.9)
для резьбового соединения шпильки с фланцем корпуса

(9.10)
Коэффициент податливости крышки клапана

от действия изгибающего момента
T·a определяется расчетным способом,
Ek - модуль упругости материала крышки.
9.4 Расчет прочности шпильки с учетом концентрации напряжений в резьбе и ползучести материала
9.4.1 Максимальное условное упругое напряжение в резьбе резьбового соединения рассчитывается с учетом коэффициента концентрации

, определяемого для метрической резьбы стандартной колпачковой гайки сжатия по
ГОСТ 9064 по формуле

(9.11)
где
R - радиус закругления в основании витка по
ГОСТ 16093.
9.4.2 Осевое напряжение с учетом концентрации составляет

(9.12)
9.4.3 Окружное напряжение в зоне концентратора для упругого состояния материала (коэффициент Пуассона

)

(9.13)
9.4.4 При расчетах на циклическую прочность следует в качестве эквивалентного напряжения использовать интенсивность напряжений.
Для циклов "заболчивание - разболчивание"

(9.14)
Допускаемое число циклов [
N1] определяется расчетом на малоцикловую усталость в соответствии с методикой, приведенной в
разделе 7.
Усталостное повреждение за N1 циклов будет равно

(9.15)
9.4.5 При оценке повреждаемости шпилек фланцевых соединений корпусов турбин, имеющих рабочую температуру, при которой в материале возникают деформации ползучести, необходимо учитывать релаксацию напряжений в шпильках и корпусных элементах. Расчет напряжений в шпильке с учетом релаксации следует проводить на базе метода конечных элементов с учетом всех деталей фланцевого соединения: средней части шпильки, участков резьбы, верхнего и нижнего фланцев, колпачковой гайки.
Запас по пределу длительной прочности для шпильки:

(9.16)
где

- напряжение с учетом релаксации за последний межремонтный период.
Допускается для оценок использовать имеющиеся данные по релаксации напряжений. Например, за первый межремонтный период продолжительностью 4 - 5 лет (около 30 тыс. ч) при температуре около 530 °C начальные напряжения в средней части шпильки 300 МПа снижаются на ~ 50% и после второй затяжки до 300 МПа на ~ 43% и аналогично за последующие периоды. Запас по пределу длительной прочности за суммарное время эксплуатации для шпильки из стали должен быть выше допускаемого значения 1,5.
9.4.6 Коэффициент концентрации в условиях ползучести материала

(9.17)
где m - показатель степенного закона ползучести.
9.4.7 Напряжения:
осевое напряжение

(9.18)
окружное напряжение


(9.19)
интенсивность напряжений
| | ИС МЕГАНОРМ: примечание. Формула дана в соответствии с официальным текстом документа. | |

(9.20)
9.4.8 Повреждение металла из-за ползучести в зоне концентратора за "
k"-й межремонтный период оценивается по деформационному критерию, где мерой повреждаемости является отношение деформации ползучести за "
k"-й период эксплуатации

к допускаемому значению равномерной длительной пластичности


(9.21)
В начале "
k"-го периода начальное напряжение с учетом концентрации

, в конце периода -

.
Величина

определяется на основании расчета или допускается для предварительной оценки использовать формулу

(9.22)
Допускаемое значение равномерной длительной пластичности

(9.23)
определяется на основании экспериментальной зависимости от параметра жаропрочности Pk с использованием запаса по долговечности nt = 2:
Pk = (Tм + 273)·[20 + lg(nt·tk)]·10-3, (9.24)
где Tм - температура металла, °C;

- относительное удлинение при длительном разрыве образца;
tk - суммарное время эксплуатации до "k"-го периода.
9.4.9 Суммарное повреждение по деформационному критерию

(9.25)
9.4.10 Общее повреждение металла шпильки должно удовлетворять условию
d = dу + dc <= [d] = 1. (9.26)
10 Расчет плотности фланцевых соединений корпусов
10.1 Плотность фланцевого соединения горизонтального разъема корпуса цилиндра
10.1.1 В качестве критерия нарушения плотности принимается равенство нулю расчетных контактных напряжений на внутренней поверхности фланца.
10.1.2 Расчетная схема фланца показана на рисунке 10.1. На схеме представлены силы, действующие на участок фланца длиной t, относящийся к одной шпильке, от затяжки шпилек и давления пара p.
| |
а - от затяжки шпилек | б - от давления пара |
Рисунок 10.1 - Силы, действующие на фланец корпуса цилиндра
Приняты следующие обозначения:
T - усилие в шпильке,
P - паровое раскрывающее усилие на одну шпильку,
P0 - окружное усилие в стенке в вертикальном сечении на одну шпильку,
2R - внутренний горизонтальный диаметр корпуса,
2R0 - внутренний вертикальный диаметр корпуса,
2
r - внутренний диаметр корпуса в сечении под углом

к горизонтальной плоскости,
b - ширина фланца,
h - высота фланца,

- толщина стенки корпуса в вертикальном сечении,

- толщина стенки корпуса в сечении под углом

к горизонтальной плоскости,
c1 - ширина внутреннего уплотнительного пояска,
c2 - ширина наружного уплотнительного пояска,
m - расстояние от оси шпильки до середины фланца,
n - расстояние от точки приложения силы P до середины упругого фланца,
n* - расстояние от точки приложения силы P до середины фланца в режиме установившейся ползучести,

- коэффициент затяжки фланцевого соединения,

- минимальные напряжения в шпильке, необходимые для обеспечения плотности,
K - коэффициент запаса плотности,
qв, qн - контактные давления на поверхностях уплотнительных поясков,
qф - контактные давления на фланце без обнизки,

- напряжения в шпильке при рабочей температуре перед ремонтом турбины,
t - длина шпилечного участка фланца
10.1.3 При предварительной оценке плотности фланца усилия
P и
P0 определяются из расчета корпуса как осесимметричной упругой оболочки произвольного меридиана радиуса
R с толщиной стенки

, находящейся под действием внутреннего давления, изменяющегося по длине корпуса, с учетом осесимметричных нагрузок от обойм. Овальность сечения, разнотолщинность стенки корпуса, наличие фланцев, патрубков и внутреннего корпуса не учитываются.
10.1.4 При выполнении поверочного расчета следует определять упругое напряженное состояние фланцевой зоны численными методами в трехмерной постановке с учетом фактической геометрии. Для определения координат приложения усилия P на каждом шпилечном участке фланца длиной t допускается с целью снижения трудоемкости не учитывать отверстия под шпильки, так как их влияние на окончательный результат невелико.
10.1.5 В результате расчета на каждом шпилечном участке находим значение расстояния n. Контактные давления на уплотнительных поверхностях разъема шириной c1 и c2 и для фланца без обнизки шириной b вычисляются по следующим зависимостям:
по внутреннему пояску

(10.1)
по наружному пояску

(10.2)
для фланца без обнизки

(10.3)
где

.
10.1.6 Расчетное контактное давление при всех режимах эксплуатации не должно превышать 75% от предела текучести материала фланца при температуре соответствующего режима:

(10.4)
10.1.7 Минимальное напряжение в шпильке, необходимое для обеспечения плотности разъема, определяется по формуле

(10.5)
где коэффициент затяжки фланцевого соединения, показывающий, во сколько раз усилие в шпильке T больше раскрывающего усилия P в момент нарушения плотности, составляет:

(10.6)
10.1.8 Расчетный коэффициент запаса плотности фланцевого соединения при напряжениях в шпильках при рабочей температуре перед ремонтом турбины

с учетом ослабления натяга из-за обмятия витков резьбы или релаксации напряжений равен

(10.7)
Коэффициент запаса плотности на каждом шпилечном участке фланца в течение всего срока службы между ремонтами должен быть не менее установленной величины
K <= [K]. (10.8)
Значение [K] принимается равным:
1,1 - для турбин ТЭС,
1,2 - для турбин АЭС.
10.1.9 При предварительной оценке плотности фланца из расчета корпуса как осесимметричной оболочки определяются паровое раскрывающее усилие P и изгибающий момент M относительно продольной оси, проходящей через середину фланца. Из условия M0 = M - P·n = 0 находим расстояние n = M/P.
При выполнении поверочного расчета определяем упругое напряженное состояние фланцевой зоны численными методами в трехмерной постановке. На середине каждого шпилечного участка n находим по формуле

(10.9)
где q(x) - контактные напряжения на поверхности сечения в поперечном относительно продольной оси фланца направлении -b/2 <= x <= b/2/.
При расчете плотности в состоянии установившейся ползучести поступаем аналогичным образом для определения n* по контактным напряжениям q*.
При выполнении расчета на плотность корпуса цилиндра в условиях ползучести материала следует учитывать переменное температурное поле стенки и фланца в меридианном и окружном направлениях при номинальном режиме в течение всего срока эксплуатации. При наступлении в металле режима установившейся ползучести определяется значение
n*. Для определения значений

и

используются вышеприведенные зависимости по
формулам (10.5) и
(10.6), полученные для упругого фланца, по которым производим оценку коэффициента запаса плотности
K*, используя
формулу (10.7).
10.1.10 После значительного срока эксплуатации высокотемпературных корпусов ЦВД и ЦСД наблюдается коробление фланцевых разъемов, проявляющееся в появлении зазоров между уплотнительными поясками при наложении верхней половины корпуса цилиндра на нижнюю и препятствующее затяжке разъема. Это приводит к снижению плотности разъема при рабочих режимах эксплуатации. Методика по уплотнению разъемов корпусов цилиндров приведена в
приложении А.
10.2 Плотность фланцевого соединения корпуса клапана
10.2.1 Усилия, приложенные к верхнему фланцу корпуса клапана, показаны на
рисунке 9.1: усилие от затяжки шпилек
T и усилие от давления пара на крышку
P (см.
9.3.1).
10.2.2 Силу уплотнения, необходимую для герметичности стыка, определяют по формуле

(10.10)
где m - прокладочный коэффициент (для стального пояска m = 5).
10.2.3 Контактное давление q0 на поверхность уплотнительного пояска определяется по формуле
q0 = mp (10.11)
и должно удовлетворять условию:
150 < q0 < 350 МПа.
10.2.4 Для обеспечения герметичности стыка уплотнительный поясок должен быть предварительно обжат под определенным давлением:
qобж = 250 МПа.
Необходимая сила обжатия определяется в соответствии с формулой

(10.12)
10.2.5 Силу затяжки для обеспечения герметичности при рабочих условиях выбирают из условия, используя
зависимости (10.10) и
(10.12):

(10.13)
с запасом k на снижение усилия затяжки.
Для металлического уплотнительного пояска при невысоких температурах принимают k = 1,2. При высоких температурах, когда имеют место ползучесть и действие повторных нагрузок, k = 1,4.
10.2.6 Максимальное давление на поверхность уплотнительного пояска

(10.14)
где сила от разности температурных удлинений шпилек и фланца

(10.15)
Здесь

и

- коэффициенты линейного расширения материалов фланца со средней температурой
T1 и шпильки с температурой
T2,
zш - число шпилек.
10.2.8 Коэффициент податливости крышки клапана

от действия изгибающего момента
T·
a определяется по результатам численного расчета методом конечных элементов. Расчетная схема приведена на
рисунке 9.1, где
a - расстояние от оси шпильки до середины контактного пояска шириной
b.
10.2.9 Средние по сечению расчетные растягивающие напряжения в шпильках в процессе эксплуатации, вызываемые затяжкой шпилек и неравномерным нагревом деталей соединения, не должны превышать 65% от предела текучести материала шпильки при соответствующей температуре

(10.16)
Fш - площадь поперечного сечения гладкой части шпилек.
10.2.10 После приложения внешней нагрузки сила на пояске уменьшается до величины

(10.17)
Напряжения начальной затяжки шпилек равны

(10.18)
10.2.11 При высоких температурах напряжения, действующие в шпильках на момент конца межремонтного периода, снизятся до значения

(10.19)
где

- коэффициент, учитывающий релаксацию напряжений за межремонтный период, который определяется при испытаниях на релаксацию гладких цилиндрических образцов, изготовленных из материала шпильки (см. справочные данные по металлам).
В конце межремонтного периода минимальное давление на поверхность уплотнительного пояска должно составлять

(10.20)
а запас для шпильки относительно предела длительной прочности за время эксплуатации


(10.21)
10.2.12 Затяжка гаек нормируется по допустимому удлинению шпильки

(10.22)
При отсутствии технической возможности затяжки гаек по удлинению допускается проводить затяжку гаек по дуге поворота M0 в соответствии с формулой

(10.23)
(рекомендуемое)
РЕМОНТ ПОКОРОБЛЕННЫХ КОРПУСОВ ЦИЛИНДРОВ ПАРОВЫХ ТУРБИН ТЭС
Методика ремонта для восстановления плотности разъема распространяется на корпуса ЦВД и ЦСД паровых турбин с параметрами пара 90 кгс/см2, 535 °C и более.
Методика устанавливает предельные значения коробления корпусов, при которых ремонт проводится без шабрения горизонтальных разъемов.
Способ устранения коробления фланцев горизонтальных разъемов корпусов при ремонте турбины определяется величиной коробления и общим состоянием поверхностей разъемов.
Общее состояние поверхности разъема определяется визуальным контролем. На контактных поясках верхнего и нижнего фланцев отмечаются участки пропариваний и местных повреждений. Местные дефекты поверхности разъема (трещины, промоины) при необходимости устраняются наплавкой. Наплавленные участки шабрятся по линейке с использованием неповрежденных участков разъема в качестве базовых.
Величина коробления фланцев определяется путем измерения зазоров в разъеме по наружному и внутреннему пояскам при свободном наложении верхней половины корпуса на нижнюю. Расположение точек измерения зазоров указано в
приложении Б для корпусов турбин, приведенных в таблицах А.1 и
А.2.
Таблица А.1
Перечень турбин, для которых известны
допустимые значения зазоров в разъеме
Номер рисунка | Тип турбины | Завод-изготовитель | Наименование цилиндра |
| ПТ-60-130 | ЛМЗ | ЦВД |
| К-200-130 | ЛМЗ | ЦВД |
| К-200-130 | ЛМЗ | ЦСД |
| К-300-240 | ЛМЗ | ЦВД (наружный) |
| К-300-240 | ЛМЗ | ЦСД |
| К-160-130 | ХТЗ | ЦВД (наружный) |
| К-300-240 | ХТЗ | ЦВД (наружный) |
| К-300-240 | ХТЗ | ЦСД |
| Т-100-130, Р-40-130 | ТМЗ | ЦВД |
| ПТ-50-130, Т-50-130 | ТМЗ | ЦВД |
Таблица А.2
Перечень турбин, для которых допустимые значения
зазоров в разъеме определяются расчетом
Номер рисунка | Тип турбины | Завод-изготовитель | Наименование цилиндра |
| ПТ-80-130 | ЛМЗ | ЦВД |
| К-210-130-3 | ЛМЗ | ЦВД |
| К-800-240 | ЛМЗ | ЦВД (наружный) |
| К-800-240 | ЛМЗ | ЦСД (наружный) |
| К-300-240 | ХТЗ | ЦСД |
| Т-250/300-240 | ТМЗ | ЦВД |
| Т-250/300-240 | ТМЗ | ЦСД-1 |
| Р-100-130/15 | ТМЗ | ЦВД |
Для турбин типов, по которым накоплен большой опыт эксплуатации и ремонтов (см.
таблицу А.1), в
приложении Б на схемах измерения зазоров указаны допустимые значения зазоров в разъеме и ориентировочная форма продольного коробления разъема по наружному пояску.
Разность замеренных зазоров по наружному и внутреннему пояскам не должна превышать 0,5 мм.
Возможность закрытия цилиндра без шабровки определяется условием, что замеренные зазоры по наружному пояску не превышают допустимые.
Расположение точек измерения зазоров в разъеме турбин других типов (см.
таблицу А.2), не имеющих допустимых значений зазоров, приведено в
приложении Б вместе с расчетными формулами.
Для случаев, если замеренные зазоры по наружному пояску превышают допустимые значения для корпусов турбин, приведенных в
таблице А.1, а также для корпусов, приведенных в
таблице А.2, для которых не определены допустимые значения из-за отсутствия накопленных необходимых статистических данных, допустимый зазор по наружному пояску следует определять по формуле

(А.1)
где

- максимальный зазор в разъеме по наружному пояску, мм,
L0 - длина участка раскрытия, определяемая как расстояние между сечениями, где по наружному пояску в разъем не проходит щуп 0,05 мм, мм,
A - величина, постоянная для данного типа цилиндра, 1/мм3.
Определение величин

и
L0 показано на
рисунке А.1, а. Если кривая изменения зазора в разъеме вдоль оси цилиндра имеет несколько максимумов, как на
рисунке А.1, б,
соотношение (А.1) следует проверить отдельно для каждого из участков, при этом за
L0 следует принимать длину участка между двумя соседними минимумами зазоров, за

- максимальное значение зазора на этом участке.
Рисунок А.1 - Определение величин

и
L0
Примечание - Для цилиндров среднего давления выполняется проверка
соотношения (А.1) после предварительной затяжки мелкого крепежа выхлопной части.
Проверка
соотношения (А.1) производится для зазоров по наружному пояску. По внутреннему пояску при этом допускаются зазоры, отличающиеся от зазоров в тех же сечениях по наружному пояску не более чем на +/- 0,5 мм.
При выполнении условия

(А.2)
цилиндр может быть закрыт без шабровки.
Если это условие не выполняется, то с целью уменьшения зазора

рекомендуется устранить выборку металла из-за трещины или промоину наплавкой уплотнительного пояска. Наплавленные участки шабрятся по линейке с использованием неповрежденных участков разъема в качестве базовых. Шабрение разъема с целью увеличения длины участка
L0 не допускается, так как она искажает геометрию расточек корпуса и создает условия для дальнейшего коробления.
Значение A подсчитывается по формуле

(А.3)
Если на длине участка раскрытия размеры фланца меняются, то расчет ведется для максимального сечения фланца. Значения A для основных типов турбин приведены в таблице А.3.
Таблица А.3
Исходные данные для обоснования необходимости шабровки
Номер рисунка | Тип турбины | Наименование цилиндра | b, мм | h, мм | d, мм | A·1012, 1/мм3 |
| ПТ-60-130 | ЦВД | 290 | 385 | 140 | 0,25 |
| К-200-130 | ЦВД | 400 | 385 | 160 | 0,21 |
| ЦСД | 400 | 225 | 100 | 0,66 |
| К-300-240 ЛМЗ | ЦВД | 360 | 370 | 140 | 0,23 |
| ЦСД | 260 | 300 | 120 | 0,48 |
| К-160-130 | ЦВД | 360 | 400 | 140 | 0,22 |
| К-300-240 ХТЗ | ЦВД | 450 | 500 | 140 | 0,08 |
| ЦСД | 300 | 425 | 120 | 0,16 |
| Т-100-130 Р-40-130 | ЦВД | 300 | 360 | 120 | 0,26 |
| ПТ-50-130/7 Т-50-130 | ЦВД | 340 | 350 | 120 | 0,25 |
| ПТ-80-130 | ЦВД | 280 | 300 | 140 | 0,54 |
| К-210-130-3 | ЦВД | 270 | 350 | 140 | 0,37 |
| К-800-240-3 | ЦВД | 370 | 410 | 140 | 0,16 |
| ЦСД | 240 | 385 | 100 | 0,22 |
| К-300-240-2 ХТЗ | ЦСД | 290 | 340 | 100 | 0,27 |
| Т-250/300-240 | ЦВД | 375 | 436 | 140 | 0,14 |
| ЦСД-1 | 250 | 380 | 100 | 0,22 |
| Р-100-130/15 ПТ-135/165-130/15 Т-175/210-130 | ЦВД | 260 | 350 | 90 | 0,24 |
Окончательная затяжка шпилек с диаметром резьбы 64 мм и более должна производиться с контролем их удлинений. Необходимые удлинения шпилек различных турбин указаны в таблице А.4, в которой приведены ориентировочные значения дуг поворота гаек, обеспечивающие наилучшее приближение к требуемым удлинениям шпилек.
Таблица А.4
Напряжения и удлинения, необходимые при затяжке шпилек
Тип турбины | Наименование цилиндра | Номер шпильки (отсчет со стороны регулятора) | Диаметр резьбы d, мм | Общая длина шпильки l0, мм | Высота стягиваемых фланцев l, мм | Наружный диаметр гайки D, мм | Ориентировочная дуга поворота гайки M0, мм | Требуемый уровень затяжки  , МПа |
Напряжение в шпильке  , кгс/см 2 | Удлинение шпильки  , мм |
ПТ-60-130 | ЦВД | 1 - 2, 7 - 10 | М120x4 | 685 | 380 | 180 | 175 | 280 - 330 | 0,75 - 0,89 |
3 - 6 | М140x4 | 730 | 380 | 210 | 221 | 280 - 330 | 0,80 - 0,94 |
11 - 15 | М100x4 | 545 | 300 | 150 | 118 | 280 - 330 | 0,60 - 0,71 |
16 - 23 | М76x4 | 400 | 200 | 115 | 65 | 280 - 330 | 0,41 - 0,48 |
24 | М120x4 | 515 | 200 | 180 | 137 | 280 - 330 | 0,52 - 0,61 |
ПТ-80-130 | ЦВД | 1 - 6 | М76x4 | 605 | 370 | 115 | 87 | 280 - 330 | 0,64 - 0,75 |
7 - 12 | М100x4 | 606 | 370 | 150 | 130 | 280 - 330 | 0,86 - 0,81 |
13 - 16, 18 - 19 | М140x4 | 815 | 420 | 210 | 231 | 280 - 330 | 0,85 - 1,0 |
17 | М140x4 | 745 | 350 | 210 | 214 | 280 - 330 | 0,75 - 0,89 |
20 - 21 | М100x4 | 710 | 420 | 150 | 138 | 280 - 330 | 0,75 - 0,89 |
К-200-130 | ЦВД | 1 - 8 | М76x4 | 420 | 220 | 115 | 68 | 280 - 330 | 0,44 - 0,52 |
9 - 10 | М100x4 | 530 | 280 | 150 | 114 | 280 - 330 | 0,57 - 0,67 |
11 - 12 | М120x4 | 590 | 280 | 180 | 154 | 280 - 330 | 0,61 - 0,72 |
13 - 17 | М160x4 | 795 | 380 | 235 | 269 | 280 - 330 | 0,84 - 0,98 |
18 | М140x4 | 740 | 380 | 210 | 221 | 280 - 330 | 0,80 - 0,94 |
| | 19 | М120x4 | 685 | 380 | 180 | 175 | 280 - 330 | 0,75 - 0,89 |
ЦСД | 1 - 7 | М100x4 | 475 | 240 | 150 | 108 | 280 - 330 | 0,52 - 0,61 |
8 - 10 | М76x4 | 365 | 180 | 115 | 62 | 280 - 330 | 0,39 - 0,46 |
К-200-130-3 | ЦВД | 1, 3 - 7 | М100x4 | 705 | 450 | 150 | 143 | 280 - 330 | 0,80 - 0,94 |
2 | М100x4 | 940 | 700 | 150 | 185 | 280 - 330 | 1,13 - 1,33 |
8 - 9 | М120x4 | 760 | 450 | 180 | 189 | 280 - 330 | 0,84 - 0,99 |
10 - 11, 13 - 14 | М140x4 | 810 | 450 | 210 | 238 | 280 - 330 | 0,89 - 1,05 |
12 | М140x4 | 710 | 350 | 210 | 214 | 280 - 330 | 0,75 - 0,89 |
15 | М100x4 | 940 | 700 | 150 | 185 | 280 - 330 | 1,13 - 1,33 |
К-300-240 ЛМЗ | ЦВД | 1 | М76x4 | 500 | 315 | 115 | 80 | 280 - 330 | 0,56 - 0,66 |
2 | М100x4 | 545 | 315 | 150 | 120 | 280 - 330 | 0,61 - 0,72 |
3 - 5 | М120x4 | 705 | 415 | 180 | 181 | 280 - 330 | 0,80 - 0,94 |
6 | М120x4 | 705 | 415 | 180 | 235 | 370 - 410 | 1,06 - 1,16 |
7, 15 - 16 | М120x4 | 775 | 470 | 180 | 250 | 370 - 410 | 1,15 - 1,27 |
8 | М140x4 | 820 | 470 | 210 | 315 | 370 - 410 | 1,21 - 1,34 |
К-300-240 ЛМЗ | ЦВД | 9 - 13 | М140x4 | 820 | 470 | 210 | 242 | 280 - 330 | 0,92 - 1,08 |
14 | М140x4 | 820 | 470 | 210 | 315 | 370 - 410 | 1,21 - 1,34 |
17 - 25 | М100x4 | 545 | 270 | 150 | 115 | 280 - 330 | 0,56 - 0,66 |
ЦСД | 2 - 7 | М120x4 | 705 | 400 | 180 | 179 | 280 - 330 | 0,78 - 0,91 |
8 - 10 | М76x4 | 395 | 205 | 115 | 66 | 280 - 330 | 0,42 - 0,50 |
К-800-240-3 | ЦВД | 1, 2, 19 | М120x4 | 690 | 350 | 180 | 168 | 280 - 330 | 0,71 - 0,84 |
3 - 5, 17, 18 | М120x4 | 790 | 450 | 180 | 188 | 280 - 330 | 0,84 - 0,99 |
6 - 8, 14 - 16 | М140x4 | 895 | 500 | 210 | 286 | 330 - 370 | 1,13 - 1,27 |
9 - 13 | М140x4 | 895 | 500 | 210 | 280 | 280 - 330 | 0,96 - 1,13 |
20 - 26 | М100x4 | 640 | 350 | 150 | 126 | 280 - 330 | 0,67 - 0,79 |
ЦСД | 1 | М76x4 | | 760 | 115 | 138 | 280 - 330 | 1,16 - 1,37 |
2 - 6, 20 - 24 | М76x4 | 610 | 380 | 115 | 88 | 280 - 330 | 0,66 - 0,77 |
7 - 12, 14 - 19 | М100x4 | 670 | 380 | 150 | 132 | 280 - 330 | 0,71 - 0,84 |
25 | М76x4 | | 760 | 115 | 138 | 280 - 330 | 1,16 - 1,37 |
К-160-130 | ЦВД | 1 - 2, 11 - 14 | М140x4 | 1255 | 790 | 210 | 302 | 26 - 310 | 1,27 - 1,51 |
3, 10 | М140x4 | 1280 | 790 | 210 | 302 | 260 - 310 | 1,27 - 1,51 |
4, 5, 7 - 9 | М140x4 | 1025 | 395 | 210 | 202 | 240 - 300 | 0,72 - 0,90 |
6 | М140x4 | 985 | 395 | 210 | 217 | 260 - 320 | 0,76 - 0,93 |
15, 16, 18, 19 | М85x4 | 955 | 650 | 115 | 113 | 240 - 290 | 0,91 - 1,10 |
17 | М85x4 | 967 | 650 | 115 | 113 | 240 - 290 | 0,91 - 1,10 |
20 - 22 | М64x4 | 550 | 354 | 95 | 52 | 210 - 270 | 0,46 - 0,59 |
К-300-240 ХТЗ | ЦВД | 1 - 5 | М76x4 | 1055 | 895 | 115 | 149 | 280 - 330 | 1,26 - 1,48 |
6 - 8 | М100x4 | 1210 | 894 | 150 | 219 | 280 - 330 | 1,39 - 1,64 |
9 - 10 | М160x4 | 1460 | 994 | 235 | 416 | 290 - 330 | 1,70 - 1,93 |
11 - 19 | М160x4 | 1480 | 994 | 235 | 445 | 290 - 330 | 1,72 - 1,96 |
ЦСД | 1 - 7 | М100x4 | 1150 | 830 | 150 | 228 | 310 - 350 | 1,45 - 1,64 |
8 - 12 | М64x4 | 710 | 530 | 95 | 85 | 280 - 330 | 0,83 - 0,98 |
К-300-240-2 ХТЗ | ЦСД | 1 - 9 | М100x4 | 1000 | 690 | 150 | 168 | 250 - 300 | 1,02 - 1,22 |
10 - 13 | М64x4 | 710 | 530 | 95 | 85 | 280 - 330 | 0,83 - 0,98 |
ПТ-50-130/7 Т-50-130 | ЦВД | 1 - 5 | М76x4 | 430 | 204 | 115 | 66 | 280 - 330 | 0,42 - 0,50 |
6 - 9 | М120x6 | 645 | 295 | 180 | 104 | 280 - 330 | 0,64 - 0,75 |
10 - 16 | М120x6 | 770 | 395 | 180 | 118 | 280 - 330 | 0,77 - 0,91 |
17 | М120x4 | 645 | 295 | 180 | 104 | 280 - 330 | 0,64 - 0,75 |
18 | М76x4 | 430 | 204 | 115 | 66 | 280 - 330 | 0,42 - 0,50 |
Т-100-130 Р-40-130 | ЦВД | 1 - 5 | М76x4 | 430 | 204 | 115 | 66 | 280 - 330 | 0,42 - 0,50 |
6 | М100x4 | 585 | 274 | 150 | 113 | 280 - 330 | 0,57 - 0,67 |
7 - 9, 18 | М120x6 | 645 | 295 | 180 | 104 | 280 - 330 | 0,64 - 0,75 |
10 - 17 | М120x6 | 770 | 395 | 180 | 118 | 280 - 330 | 0,77 - 0,91 |
Т-250/300-240 | ЦВД | 1, 16 - 22 | М90x4 | 560 | 280 | 135 | 97 | 280 - 330 | 0,55 - 0,65 |
2 - 5, 15 | М120x6 | 810 | 435 | 180 | 123 | 280 - 330 | 0,82 - 0,97 |
6 - 14 | М140x6 | 990 | 560 | 210 | 176 | 280 - 330 | 1,04 - 1,22 |
ЦСД-1 | 1 | М90x4 | - | 660 | 135 | 154 | 280 - 330 | 1,06 - 1,25 |
2 - 8 | М100x4 | 735 | 425 | 150 | 139 | 280 - 330 | 0,77 - 0,91 |
9 - 11 | М76x4 | 540 | 321 | 115 | 81 | 280 - 330 | 0,57 - 0,67 |
12 - 14 | М76x4 | 440 | 221 | 115 | 68 | 280 - 330 | 0,44 - 0,52 |
15 | М76x4 | - | 386 | 115 | 89 | 280 - 330 | 0,66 - 0,78 |
16 - 22 | М64x4 | 405 | 225 | 95 | 68 | 280 - 330 | 0,42 - 0,50 |
Р-100-130/15 ПТ-135/165-130/15 Т-175/210-130 | ЦВД | 1, 22 - 30 | М64x4 | 490 | 310 | 95 | 60 | 280 - 330 | 0,53 - 0,62 |
2, 31 | М90x4 | - | 450 | 135 | 123 | 280 - 330 | 0,78 - 0,92 |
3 - 4 | М90x4 | 525 | 250 | 135 | 92 | 280 - 330 | 0,51 - 0,60 |
5 - 7, 19 - 21 | М90x4 | 674 | 395 | 135 | 114 | 280 - 330 | 0,70 - 0,82 |
8 - 18 | М90x4 | 725 | 445 | 135 | 122 | 280 - 330 | 0,77 - 0,91 |
Примечание - По согласованию с заводом-изготовителем разрешается повышение напряжения  , до 360 - 400 МПа в шпильках N 4 - 8 ЦВД турбины ПТ-60-130. |
При использовании системы охлаждения шпилек N 5 - 7 в ЦВД турбины ПТ-60-130 при затяжке шпилек учитывают данные, приведенные в таблице А.5.
Таблица А.5
Напряжения и удлинения, необходимые при затяжке
шпилек N 5 - 7 в ЦВД турбины ПТ-60-130
при использовании системы охлаждения
Тип турбины | Наименование цилиндра | Номер шпильки (отсчет со стороны регулятора) | Диаметр резьбы d, мм | Общая длина шпильки l0, мм | Высота стягиваемых фланцев l, мм | Наружный диаметр гайки D, мм | Ориентировочная дуга поворота гайки M0, мм | Требуемый уровень затяжки  , МПа |
Напряжение в шпильке  , кгс/см 2 | Удлинение шпильки  , мм |
ПТ-60-130 | ЦВД | 5 - 6 | М140x4 | 730 | 380 | 210 | 255 | 330 - 360 | 0,95 - 1,05 |
7 | М120x4 | 685 | 380 | 180 | 200 | 330 - 360 | 0,90 - 1,00 |
Для турбин, не указанных в
таблице А.4, а также в случае изменения величины регламентированного начального напряжения затяжки необходимое удлинение шпильки следует определять по
формуле (9.5).
Ориентировочную дугу поворота гайки
M0 рекомендуется вычислять по
формуле (9.2).
(рекомендуемое)
ИЗМЕРЕНИЯ ЗАЗОРОВ В ГОРИЗОНТАЛЬНОМ РАЗЪЕМЕ
КОРПУСОВ ЦИЛИНДРОВ ПАРОВЫХ ТУРБИН
Схема измерения зазоров
в горизонтальном разъеме корпуса ЦВД
Расчет перемещений деталей проточной части
при затяжке корпуса ЦВД
Исходные данные
Зазоры в разъеме при свободном наложении крышки турбины | Левая сторона | Обозначение | A1 | A2 | A3 | a1 | a2 | a3 | a4 | a5 | a6 | a7 | a8 | a11 | A9 | A10 | A11 |
Величина | | | | | | | | | | | | | | | |
Правая сторона | Обозначение | B1 | B2 | B3 | b1 | b2 | b3 | b4 | b5 | b6 | b7 | b8 | b11 | B9 | B10 | B11 |
Величина | | | | | | | | | | | | | | | |
Полусумма зазоров правой и левой сторон  | Обозначение | | | | | | | | | | | | | | | |
Величина | | | | | | | | | | | | | | | |
Вычисление перемещений
<*>
Наименование детали | Расчетная формула | Результат |
Камин передний | | |
Обойма ПКУ N 3 | | |
Обойма ПКУ N 2 | | |
Обойма ПКУ N 1 | | |
Регулирующая ступень | | |
Обойма диафрагм 2 - 4-й ступеней | | |
Обойма диафрагм 5 - 9-й ступеней | | |
Обойма диафрагм 10 - 13-й ступеней | | |
Обойма диафрагм 14 - 17-й ступеней | | |
Обойма ЗКУ N 1 | | |
Камин задний | | |
<*> Положительный знак перемещения соответствует подъему детали при затяжке. |
Рисунок Б.1 - Турбина ПТ-60-130 (ЦВД)
Схема измерения зазоров
в горизонтальном разъеме корпуса ЦВД
Расчет перемещений деталей проточной части
при затяжке корпуса ЦВД
Исходные данные
Зазоры в разъеме при свободном наложении крышки турбины | Левая сторона | Обозначение | A1 | A2 | A3 | a1 | a2 | a4 | a5 | a6 | a9 | a10 | a11 | a12 | A10 | A12 |
Величина | | | | | | | | | | | | | | |
Правая сторона | Обозначение | B1 | B2 | B3 | b1 | b2 | b4 | b5 | b6 | b9 | b10 | b11 | b12 | B10 | B12 |
Величина | | | | | | | | | | | | | | |
Полусумма зазоров правой и левой сторон  | Обозначение | | | | | | | | | | | | | | |
Величина | | | | | | | | | | | | | | |
Вычисление перемещений
<*>
Наименование детали | Расчетная формула | Результат |
Камин задний | | |
Обойма ЗКУ N 2 | | |
Обойма ЗКУ N 1 | | |
Обойма диафрагм 10 - 12-й ступеней | | |
Обойма диафрагм 5 - 9-й ступеней | | |
Обойма диафрагм 2 - 4-й ступеней | | |
Обойма ПКУ N 1 | | |
Обойма ПКУ N 2 | | |
Обойма ПКУ N 3 | | |
Камин передний | | |
<*> Положительный знак перемещения соответствует подъему детали при затяжке. |
Рисунок Б.2 - Турбина К-200-130 (ЦВД)
Схема измерения зазоров
в горизонтальном разъеме корпуса ЦСД
Расчет перемещений деталей проточной части
при затяжке корпуса ЦСД
Исходные данные
Зазоры в разъеме при свободном наложении крышки турбины | Левая сторона | Обозначение | A1 | A2 | a1 | a2 | a4 | a5 | a6 | a8 | a9 | a14 | A13 | A14 |
Величина | | | | | | | | | | | | |
Правая сторона | Обозначение | B1 | B2 | b1 | b2 | b4 | b5 | b6 | b8 | b9 | b14 | B13 | B14 |
Величина | | | | | | | | | | | | |
Полусумма зазоров правой и левой сторон  | Обозначение | | | | | | | | | | | | |
Величина | | | | | | | | | | | | |
Вычисление перемещений
<*>
Наименование детали | Расчетная формула | Результат |
Обойма ПКУ N 3 | | |
Обойма ПКУ N 2 | | |
Обойма ПКУ N 1 | | |
Диафрагма 14-й ступени | | |
Диафрагма 15-й ступени | | |
Обойма диафрагм 16 - 18-й ступеней | | |
Обойма диафрагм 19 - 21-й ступеней | | |
Обойма диафрагм 22 - 23-й ступеней | | |
Обойма ЗКУ N 1 | | |
Обойма ЗКУ N 2 | | |
<*> Положительный знак перемещения соответствует подъему детали при затяжке. |
Рисунок Б.3 - Турбина К-200-130 (ЦСД)
Расчет перемещений деталей проточной части
при затяжке корпуса ЦВД
Исходные данные
Зазоры в разъеме при свободном наложении крышки турбины | Левая сторона | Обозначение | A1 | A2 | A3 | a1 | a1 | a2 | a6 | a8 | a9 | a11 | a12 | A10 | A11 | A12 |
Величина | | | | | | | | | | | | | | |
Правая сторона | Обозначение | B1 | B2 | B3 | b1 | b1 | b2 | b6 | b8 | b9 | b11 | b12 | B10 | B11 | B12 |
Величина | | | | | | | | | | | | | | |
Полусумма зазоров правой и левой сторон  | Обозначение | | | | | | | | | | | | | | |
Величина | | | | | | | | | | | | | | |
Вычисление перемещений
<*>
Наименование детали | Расчетная формула | Результат |
Камин передний | | |
Обойма ПКУ N 2 | | |
Обойма ПКУ N 1 | | |
Внутренний цилиндр | | |
Обойма диафрагм 7 - 9-й ступеней | | |
Обойма диафрагм 10 - 12-й ступеней | | |
Обойма ЗКУ N 1 | | |
Обойма ЗКУ N 2 | | |
Камин задний | | |
<*> Положительный знак перемещения соответствует подъему детали при затяжке. |
Рисунок Б.4 - Турбина К-200-240 ЛМЗ (ЦВД)
Расчет перемещений деталей проточной части
при затяжке корпуса ЦСД
Исходные данные
Зазоры в разъеме при свободном наложении крышки турбины | Левая сторона | Обозначение | A1 | A2 | A3 | a1 | a2 | a5 | a6 | a7 | a8 | a9 | a10 | A11 | A14 |
Величина | | | | | | | | | | | | | |
Правая сторона | Обозначение | B1 | B2 | B3 | b1 | b2 | b5 | b6 | b7 | b8 | b9 | b10 | B11 | B14 |
Величина | | | | | | | | | | | | | |
Полусумма зазоров правой и левой сторон  | Обозначение | | | | | | | | | | | | | |
Величина | | | | | | | | | | | | | |
Вычисление перемещений
<*>
Наименование детали | Расчетная формула | Результат |
Камин передний | | |
Обойма ПКУ N 2 | | |
Обойма ПКУ N 1 | | |
Обойма диафрагм 14 - 16-й ступеней | | |
Обойма диафрагм 17 - 18-й ступеней | | |
Обойма диафрагм 19 - 21-й ступеней | | |
Обойма диафрагм 22 - 24-й ступеней | | |
Обойма диафрагм 25 - 29-й ступеней | 0 | |
<*> Положительный знак перемещения соответствует подъему детали при затяжке. |
Рисунок Б.5 - Турбина К-200-240 ЛМЗ (ЦСД)
Расчет перемещений деталей проточной части
при затяжке корпуса ЦВД
Исходные данные
Зазоры в разъеме при свободном наложении крышки турбины | Левая сторона | Обозначение | A1 | A2 | A3 | a1 | a4 | a6 | a7 | a7 | a9 | a10 | a11 | a12 | a16 | A13 | A14 | A16 |
Величина | | | | | | | | | | | | | | | | |
Правая сторона | Обозначение | B1 | B2 | B3 | b1 | b4 | b6 | b7 | b7 | b9 | b10 | b11 | b12 | b16 | B13 | B14 | B16 |
Величина | | | | | | | | | | | | | | | | |
Полусумма зазоров правой и левой сторон  | Обозначение | | | | | | | | | | | | | | | | |
Величина | | | | | | | | | | | | | | | | |
Вычисление перемещений
<*>
Наименование детали | Расчетная формула | Результат |
Камин передний | | |
Обойма ПКУ N 1 | | |
Внутренний цилиндр | | |
Обойма диафрагм 6 - 7-й ступеней | | |
Разделительная диафрагма | | |
Диафрагма 8-й ступени | | |
Обойма диафрагм 9 - 11-й ступеней | | |
Обойма диафрагм 12 - 13-й ступеней | | |
Обойма диафрагм 14 - 15-й ступеней | | |
Заднее уплотнение | | |
Заднее уплотнение | | |
<*> Положительный знак перемещения соответствует подъему детали при затяжке. |
Рисунок Б.6 - Турбина К-160-130 (ЦВД)
Расчет перемещений деталей проточной части
при затяжке корпуса ЦВД
Исходные данные
Зазоры в разъеме при свободном наложении крышки турбины | Левая сторона | Обозначение | A1 | A2 | A3 | a1 | a3 | a4 | a5 | a6 | a8 | a10 | a11 | A9 | A10 | A12 |
Величина | | | | | | | | | | | | | | |
Правая сторона | Обозначение | B1 | B2 | B3 | b1 | b3 | b4 | b5 | b6 | b8 | b10 | b11 | B9 | B10 | B12 |
Величина | | | | | | | | | | | | | | |
Полусумма зазоров правой и левой сторон  | Обозначение | | | | | | | | | | | | | | |
Величина | | | | | | | | | | | | | | |
Вычисление перемещений
<*>
Наименование детали | Расчетная формула | Результат |
Обойма ПКУ N 2 | | |
Обойма ПКУ N 1 | | |
Обойма диафрагм 10 - 11-й ступеней | | |
Обойма диафрагм 6 - 9-й ступеней | | |
Внутренний цилиндр | | |
Внутренний цилиндр | | |
Обойма ЗКУ N 1 | | |
Обойма ЗКУ N 1 | | |
Обойма ЗКУ N 1 | | |
<*> Положительный знак перемещения соответствует подъему детали при затяжке. |
Рисунок Б.7 - Турбина К-300-240 ХТЗ (ЦВД)
Рисунок Б.8 - Турбина К-300-240 ХТЗ (ЦСД)
Расчет перемещений деталей проточной части
при затяжке корпуса ЦВД
Исходные данные
Зазоры в разъеме при свободном наложении крышки турбины | Левая сторона | Обозначение | A1 | A2 | A3 | a1 | a2 | a3 | a4 | a5 | a6 | a7 | a8 | a9 | a10 | a11 | A9 | A11 |
Величина | | | | | | | | | | | | | | | | |
Правая сторона | Обозначение | B1 | B2 | B3 | b1 | b2 | b3 | b4 | b5 | b6 | b7 | b8 | b9 | b10 | b11 | B9 | B11 |
Величина | | | | | | | | | | | | | | | | |
Полусумма зазоров правой и левой сторон  | Обозначение | | | | | | | | | | | | | | | | |
Величина | | | | | | | | | | | | | | | | |
Вычисление перемещений
<*>
Наименование детали | Расчетная формула | Результат |
Обойма ЗКУ N 3 | | |
Обойма ЗКУ N 2 | | |
Обойма ЗКУ N 1 | | |
Диафрагма 9-й ступени | | |
Диафрагма 5-й ступени | | |
Диафрагма 2-й ступени | | |
Направляющий аппарат | | |
Обойма ПКУ N 1 | | |
Обойма ПКУ N 2 | | |
Обойма ПКУ N 3 | | |
Камин передний | | |
<*> Положительный знак перемещения соответствует подъему детали при затяжке. |
Рисунок Б.9 - Турбины Т-100-130 и Р-40-130 (ЦВД)
Расчет перемещений деталей проточной части
при затяжке корпуса ЦВД
Исходные данные
Зазоры в разъеме при свободном наложении крышки турбины | Левая сторона | Обозначение | A1 | A2 | A3 | a1 | a2 | a3 | a4 | a5 | a6 | a7 | a8 | a9 | a10 | a11 | A9 | A11 |
Величина | | | | | | | | | | | | | | | | |
Правая сторона | Обозначение | B1 | B2 | B3 | b1 | b2 | b3 | b4 | b5 | b6 | b7 | b8 | b9 | b10 | b11 | B9 | B11 |
Величина | | | | | | | | | | | | | | | | |
Полусумма зазоров правой и левой сторон  | Обозначение | | | | | | | | | | | | | | | | |
Величина | | | | | | | | | | | | | | | | |
Вычисление перемещений
<*>
Наименование детали | Расчетная формула | Результат |
Обойма ЗКУ N 3 | | |
Обойма ЗКУ N 2 | | |
Обойма ЗКУ N 1 | | |
Диафрагма 9-й ступени | | |
Диафрагма 5-й ступени | | |
Диафрагма 2-й ступени | | |
Направляющий аппарат | | |
Обойма ПКУ N 1 | | |
Обойма ПКУ N 2 | | |
Обойма ПКУ N 3 | | |
Камин передний | | |
<*> Положительный знак перемещения соответствует подъему детали при затяжке. |
Рисунок Б.10 - Турбины ПТ-50-130/7 и Т-50-130 (ЦВД)
Расчет перемещений деталей проточной части
при затяжке корпуса ЦВД
Исходные данные
Зазоры в разъеме при свободном наложении крышки турбины | Левая сторона | Обозначение | A1 | A2 | A3 | a1 | a3 | a4 | a5 | a6 | a7 | a8 | a9 | a10 | a11 | a12 | A10 | A12 |
Величина | | | | | | | | | | | | | | | | |
Правая сторона | Обозначение | B1 | B2 | B3 | b1 | b3 | b4 | b5 | b6 | b7 | b8 | b9 | b10 | b11 | b12 | B10 | B12 |
Величина | | | | | | | | | | | | | | | | |
Полусумма зазоров правой и левой сторон  | Обозначение | | | | | | | | | | | | | | | | |
Величина | | | | | | | | | | | | | | | | |
Вычисление перемещений
<*>
Наименование детали | Расчетная формула | Результат |
Камин задний | | |
Обойма ЗКУ | | |
Обойма диафрагм 14 - 17-й ступеней | | |
Обойма диафрагм 10 - 13-й ступеней | | |
Обойма диафрагм 5 - 9-й ступеней | | |
Обойма диафрагм 2 - 4-й ступеней | | |
Уплотнение 1-й ступени | | |
Обойма ПКУ N 1 | | |
Обойма ПКУ N 2 | | |
Обойма ПКУ N 3 | | |
Камин передний | | |
<*> Положительный знак перемещения соответствует подъему детали при затяжке. |
Рисунок Б.11 - Турбина ПТ-80-130 (ЦВД)
Расчет перемещений деталей проточной части
при затяжке корпуса ЦВД
Исходные данные
Зазоры в разъеме при свободном наложении крышки турбины | Левая сторона | Обозначение | A1 | A2 | A3 | a1 | a2 | a4 | a5 | a6 | a7 | a8 | a9 | a10 | a11 | a12 | A9 | A11 |
Величина | | | | | | | | | | | | | | | | |
Правая сторона | Обозначение | B1 | B2 | B3 | b1 | b2 | b4 | b5 | b6 | b7 | b8 | b9 | b10 | b11 | b12 | B9 | B11 |
Величина | | | | | | | | | | | | | | | | |
Полусумма зазоров правой и левой сторон  | Обозначение | | | | | | | | | | | | | | | | |
Величина | | | | | | | | | | | | | | | | |
Вычисление перемещений
<*>
Наименование детали | Расчетная формула | Результат |
Камин задний | | |
Обойма ЗКУ N 2 | | |
Обойма ЗКУ N 1 | | |
Обойма диафрагм 10 - 12-й ступеней | | |
Обойма диафрагм 5 - 9-й ступеней | | |
Обойма диафрагм 2 - 4-й ступеней | | |
Направляющий аппарат | | |
Обойма ПКУ N 1 | | |
Обойма ПКУ N 2 | | |
Обойма ПКУ N 3 | | |
Камин передний | | |
<*> Положительный знак перемещения соответствует подъему детали при затяжке. |
Рисунок Б.12 - Турбина К-210-130-3 (ЦВД)
Расчет перемещений деталей проточной части
при затяжке корпуса ЦВД
Исходные данные
Зазоры в разъеме при свободном наложении крышки турбины | Левая сторона | Обозначение | A1 | A2 | A3 | a1 | a2 | a4 | a6 | a8 | a9 | a11 | a12 | A10 | A11 | A12 |
Величина | | | | | | | | | | | | | | |
Правая сторона | Обозначение | B1 | B2 | B3 | b1 | b2 | b4 | b6 | b8 | b9 | b11 | b12 | B10 | B11 | B12 |
Величина | | | | | | | | | | | | | | |
Полусумма зазоров правой и левой сторон  | Обозначение | | | | | | | | | | | | | | |
Величина | | | | | | | | | | | | | | |
Вычисление перемещений
<*>
Наименование детали | Расчетная формула | Результат |
Камин передний | | |
Обойма ПКУ N 1 | | |
Обойма ПКУ N 2 | | |
Внутренний цилиндр | | |
Внутренний цилиндр | | |
Обойма диафрагм 7 - 9-й ступеней | | |
Обойма диафрагм 10 - 12-й ступеней | | |
Обойма ЗКУ N 1 | | |
Обойма ЗКУ N 2 | | |
Камин передний | | |
<*> Положительный знак перемещения соответствует подъему детали при затяжке. |
Рисунок Б.13 - Турбина К-800-240-3 (ЦВД)
Расчет перемещений деталей проточной части
при затяжке корпуса ЦСД
Исходные данные
Зазоры в разъеме при свободном наложении крышки турбины | Левая сторона | Обозначение | A1 | A2 | A3 | a1 | a6 | a7 | a8 | a9 | a10 | a11 | a12 | a13 | a14 | a19 | A17 | A18 | A19 |
Величина | | | | | | | | | | | | | | | | | |
Правая сторона | Обозначение | B1 | B2 | B3 | b1 | b6 | b7 | b8 | b9 | b10 | b11 | b12 | b13 | b14 | b19 | B17 | B18 | B19 |
Величина | | | | | | | | | | | | | | | | | |
Полусумма зазоров правой и левой сторон  | Обозначение | | | | | | | | | | | | | | | | | |
Величина | | | | | | | | | | | | | | | | | |
Вычисление перемещений
<*>
Наименование детали | Расчетная формула | Результат |
Камин передний | | |
Переднее уплотнение | | |
Обойма 29 - 30-й ступеней | | |
Обойма 27 - 28-й ступеней | | |
Обойма 25 - 26-й ступеней | | |
Внутренний цилиндр | | |
Внутренний цилиндр | | |
Обойма 16 - 17-й ступеней | | |
Обойма 18 - 19-й ступеней | | |
Обойма 20 - 21-й ступеней | | |
Заднее уплотнение | | |
Камин задний | | |
<*> Положительный знак перемещения соответствует подъему детали при затяжке. |
Рисунок Б.14 - Турбина К-800-240-3 (ЦСД)
Расчет перемещений деталей проточной части
при затяжке корпуса ЦВД
Исходные данные
Зазоры в разъеме при свободном наложении крышки турбины | Левая сторона | Обозначение | A1 | A2 | A3 | a1 | a3 | a4 | a5 | a6 | a8 | a10 | a11 | a12 | A10 | A12 |
Величина | | | | | | | | | | | | | | |
Правая сторона | Обозначение | B1 | B2 | B3 | b1 | b3 | b4 | b5 | b6 | b8 | b10 | b11 | b12 | B10 | B12 |
Величина | | | | | | | | | | | | | | |
Полусумма зазоров правой и левой сторон  | Обозначение | | | | | | | | | | | | | | |
Величина | | | | | | | | | | | | | | |
Вычисление перемещений
<*>
Наименование детали | Расчетная формула | Результат |
Обойма ПКУ N 2 | | |
Обойма ПКУ N 1 | | |
Обойма диафрагм 10 - 11-й ступеней | | |
Обойма диафрагм 6 - 9-й ступеней | | |
Внутренний цилиндр | | |
Внутренний цилиндр | | |
Обойма ЗКУ N 1 | | |
Обойма ЗКУ N 2 | | |
Обойма ЗКУ N 3 | | |
<*> Положительный знак перемещения соответствует подъему детали при затяжке. |
Рисунок Б.15 - Турбина К-300-240-2 ХТЗ (ЦВД)
Расчет перемещений деталей проточной части
при затяжке корпуса ЦВД
Исходные данные
Зазоры в разъеме при свободном наложении крышки турбины | Левая сторона | Обозначение | A1 | A2 | A3 | a1 | a2 | a3 | a6 | a8 | a9 | a11 | a12 | A10 | A11 | A12 |
Величина | | | | | | | | | | | | | | |
Правая сторона | Обозначение | B1 | B2 | B3 | b1 | b2 | b3 | b6 | b8 | b9 | b11 | b12 | B10 | B11 | B12 |
Величина | | | | | | | | | | | | | | |
Полусумма зазоров правой и левой сторон  | Обозначение | | | | | | | | | | | | | | |
Величина | | | | | | | | | | | | | | |
Вычисление перемещений
<*>
Наименование детали | Расчетная формула | Результат |
Камин передний | | |
Обойма ПКУ N 3 | | |
Обойма ПКУ N 2 | | |
Обойма ПКУ N 1 | | |
Внутренний цилиндр | | |
Обойма диафрагм 7 - 10-й ступеней | | |
Обойма диафрагм 11 - 12-й ступеней | | |
Обойма ЗКУ N 1 | | |
Обойма ЗКУ N 2 | | |
Обойма ЗКУ N 3 | | |
<*> Положительный знак перемещения соответствует подъему детали при затяжке. |
Рисунок Б.16 - Турбина Т-250/300-240 (ЦВД)
Расчет перемещений деталей проточной части
при затяжке корпуса ЦСД-1
Исходные данные
Зазоры в разъеме при свободном наложении крышки турбины | Левая сторона | Обозначение | A1 | A3 | a1 | a2 | a3 | a4 | a5 | a6 | a7 | a11 | a13 | A11 | A12 | A13 |
Величина | | | | | | | | | | | | | | |
Правая сторона | Обозначение | B1 | B3 | b1 | b2 | b3 | b4 | b5 | b6 | b7 | b11 | b13 | B11 | B12 | B13 |
Величина | | | | | | | | | | | | | | |
Полусумма зазоров правой и левой сторон  | Обозначение | | | | | | | | | | | | | | |
Величина | | | | | | | | | | | | | | |
Вычисление перемещений
<*>
Наименование детали | Расчетная формула | Результат |
Обойма ПКУ N 3 | | |
Обойма ПКУ N 2 | | |
Обойма ПКУ N 1 | | |
Диафрагма 14-й ступени | | |
Обойма диафрагм N 1 | | |
Обойма диафрагм N 2 | | |
Обойма диафрагм N 3 | | |
Обойма ЗКУ N 1 | | |
Обойма ЗКУ N 2 | | |
<*> Положительный знак перемещения соответствует подъему детали при затяжке. |
Рисунок Б.17 - Турбина Т-250/300-240 (ЦСД-1)
Расчет перемещений деталей проточной части
при затяжке корпуса ЦВД
Исходные данные
Зазоры в разъеме при свободном наложении крышки турбины | Левая сторона | Обозначение | A1 | A2 | A3 | a1 | a2 | a4 | a6 | a7 | a8 | a9 | a11 | a12 | A11 | A12 |
Величина | | | | | | | | | | | | | | |
Правая сторона | Обозначение | B1 | B2 | B3 | b1 | b2 | b4 | b6 | b7 | b8 | b9 | b11 | b12 | B11 | B12 |
Величина | | | | | | | | | | | | | | |
Полусумма зазоров правой и левой сторон  | Обозначение | | | | | | | | | | | | | | |
Величина | | | | | | | | | | | | | | |
Вычисление перемещений
<*>
Наименование детали | Расчетная формула | Результат |
Обойма ПКУ N 3 | | |
Обойма ПКУ N 2 | | |
Обойма ПКУ N 1 | | |
Внутренний цилиндр | | |
Внутренний цилиндр | | |
Обойма диафрагм N 1 | | |
Обойма диафрагм N 2 | | |
Обойма диафрагм N 3 | | |
Обойма ЗКУ N 1 | | |
Обойма ЗКУ N 2 | | |
<*> Положительный знак перемещения соответствует подъему детали при затяжке. |
Рисунок Б.18 - Турбина Р-100-130/15 (ЦВД)
| | Нормы расчета на прочность оборудования и трубопроводов атомных энергетических установок |