Главная // Актуальные документы // ГОСТ (Государственный стандарт)СПРАВКА
Источник публикации
М.: Стандартинформ, 2017
Примечание к документу
Текст данного документа приведен с учетом
поправки, опубликованной в "ИУС", N 12, 2021.
Документ
введен в действие с 01.01.2018.
Название документа
"ГОСТ 34017-2016. Межгосударственный стандарт. Краны грузоподъемные. Классификация режимов работы"
(введен в действие Приказом Росстандарта от 17.03.2017 N 150-ст)
"ГОСТ 34017-2016. Межгосударственный стандарт. Краны грузоподъемные. Классификация режимов работы"
(введен в действие Приказом Росстандарта от 17.03.2017 N 150-ст)
агентства по техническому
регулированию и метрологии
от 17 марта 2017 г. N 150-ст
МЕЖГОСУДАРСТВЕННЫЙ СТАНДАРТ
КРАНЫ ГРУЗОПОДЪЕМНЫЕ
КЛАССИФИКАЦИЯ РЕЖИМОВ РАБОТЫ
Cranes. Classification of operating modes
(ISO 4301-1:1986, NEQ)
(ISO 4301-2:2009, NEQ)
(ISO 4301-3:1993, NEQ)
(ISO 4301-4:1989, NEQ)
(ISO 4301-5:1991, NEQ)
ГОСТ 34017-2016
Дата введения
1 января 2018 года
Цели, основные принципы и основной порядок проведения работ по межгосударственной стандартизации установлены в
ГОСТ 1.0-2015 "Межгосударственная система стандартизации. Основные положения" и
ГОСТ 1.2-2015 "Межгосударственная система стандартизации. Стандарты межгосударственные, правила и рекомендации по межгосударственной стандартизации. Правила разработки, принятия, обновления и отмены".
1 РАЗРАБОТАН Акционерным обществом "РАТТЕ" (АО "РАТТЕ")
2 ВНЕСЕН Федеральным агентством по техническому регулированию и метрологии
3 ПРИНЯТ Межгосударственным советом по стандартизации, метрологии и сертификации (протокол от 22 ноября 2016 г. N 93-П)
За принятие проголосовали:
Краткое наименование страны по МК (ИСО 3166) 004-97 | Код страны по МК (ИСО 3166) 004-97 | Сокращенное наименование национального органа по стандартизации |
Армения | AM | Минэкономики Республики Армения |
Беларусь | BY | Госстандарт Республики Беларусь |
Грузия | GE | Грузстандарт |
Казахстан | KZ | Госстандарт Республики Казахстан |
Киргизия | KG | Кыргызстандарт |
Россия | RU | Росстандарт |
Таджикистан | TJ | Таджикстандарт |
Туркмения | TM | Главгосслужба "Туркменстандартлары" |
Узбекистан | UZ | Узстандарт |
4
Приказом Федерального агентства по техническому регулированию и метрологии от 17 марта 2017 г. N 150-ст межгосударственный стандарт ГОСТ 34017-2016 введен в действие в качестве национального стандарта Российской Федерации с 1 января 2018 г.
5 В настоящем стандарте учтены основные нормативные положения следующих международных стандартов: ISO 4301/1-86 "Краны и подъемные устройства. Классификация. Часть 1. Общие положения" ("Cranes and lifting appliances - Classification - Part 1: General", NEQ); ISO 4301-2:2009 "Краны грузоподъемные. Классификация. Часть 2. Самоходные краны" ("Cranes - Classification - Part 2: Mobile cranes", NEQ); ISO 4301-3:1993 "Краны грузоподъемные. Классификация. Часть 3. Башенные краны" ("Cranes - Classification - Part 3: Tower cranes", NEQ); ISO 4301-4:1989 "Краны и подъемные устройства. Классификация. Часть 4. Краны с поворотной стрелой" ("Cranes and related equipment - Classification - Part 4: Jib cranes", NEQ); ISO 4301-5:1991 "Краны. Классификация. Часть 5. Мостовые и козловые краны" ("Cranes - Classification - Part 5: Overhead travelling and portal bridge cranes", NEQ)
Информация об изменениях к настоящему стандарту публикуется в ежегодном информационном указателе "Национальные стандарты", а текст изменений и поправок - в ежемесячном информационном указателе "Национальные стандарты". В случае пересмотра (замены) или отмены настоящего стандарта соответствующее уведомление будет опубликовано в ежемесячном информационном указателе "Национальные стандарты". Соответствующая информация, уведомление и тексты размещаются также в информационной системе общего пользования - на официальном сайте Федерального агентства по техническому регулированию и метрологии в сети Интернет (www.gost.ru).
Настоящий стандарт устанавливает классификацию режимов работы кранов и их механизмов по параметрам нагруженности и наработки в течение срока службы. Данная классификация предназначена для нормирования, прогнозирования и оценки долговечности указанных объектов на стадии заказа, проектирования и эксплуатации.
Применение положений данного стандарта на добровольной основе может быть использовано при подтверждении и оценке соответствия грузоподъемных кранов требованиям Технического
регламента Таможенного союза "О безопасности машин и оборудования" (ТР ТС 010/2011).
Настоящий стандарт устанавливает классификацию режимов работы кранов и их механизмов по параметрам нагруженности и наработки в течение срока службы. Настоящий стандарт распространяется на все виды грузоподъемных кранов в соответствии с
ГОСТ 33709.1, а также на плавучие и оффшорные краны.
Этот стандарт применим ко всем новым кранам, изготовленным после истечения одного года после его утверждения. Стандарт не имеет целью требовать замены или модернизации существующей документации.
В настоящем стандарте использованы нормативные ссылки на следующие межгосударственные стандарты:
ГОСТ 33713-2015 Краны грузоподъемные. Регистраторы параметров работы. Общие требования
Примечание - При пользовании настоящим стандартом целесообразно проверить действие ссылочных стандартов в информационной системе общего пользования - на официальном сайте Федерального агентства по техническому регулированию и метрологии в сети Интернет или по ежегодному информационному указателю "Национальные стандарты", который опубликован по состоянию на 1 января текущего года, и по выпускам ежемесячного информационного указателя "Национальные стандарты" за текущий год. Если ссылочный стандарт заменен (изменен), то при пользовании настоящим стандартом следует руководствоваться заменяющим (измененным) стандартом. Если ссылочный стандарт отменен без замены, то положение, в котором дана ссылка на него, применяется в части, не затрагивающей эту ссылку.
В настоящем стандарте применены термины по
ГОСТ 33709.1 и
ГОСТ 33713, а также следующий термин с соответствующим определением:
цикл работы крана: Фрагмент процесса работы крана, который начинается в момент возникновения на грузозахватном органе нагрузки, превышающей 5% номинальной грузоподъемности нетто, и заканчивается, когда нагрузка упадет до значения менее 5% этой величины.
4. Обозначения и сокращения
Обозначения, принятые в настоящем стандарте, приведены в таблице 1.
Таблица 1
Принятые обозначения
Обозначение | Определение |
A | Группа классификации режима работы крана |
Q | Класс нагружения крана |
U | Класс использования крана |
M | Группа классификации режима работы механизма |
L | Класс нагружения механизма |
T | Класс использования механизма |
P | Значение нагрузки на кран или механизм |
CT | Суммарное количество рабочих циклов крана за срок службы |
Kp | Коэффициент распределения масс перемещаемых грузов |
Km | Коэффициент распределения нагрузки механизма |
5. Цели применения классификации режимов работы кранов и механизмов
Классификация режимов работы кранов и механизмов базируется на показателях нагруженности и наработки соответствующих объектов. Классификация предназначена для использования в следующих ситуациях:
а) для формирования требований заказчика к долговечности крана или отдельных механизмов при оформлении заказа. В этом случае показатели нагруженности и наработки определяются исходя из предполагаемых условий эксплуатации машины;
б) при проектировании крана или механизма. При этом значения показателей нагруженности и наработки для установленного режима работы используются для расчетов на долговечность элементов крана или механизма;
в) при контроле процесса эксплуатации крана или механизмов. В данном случае фактические показатели нагруженности и наработки, полученные из регистратора параметров
(ГОСТ 33713) или других источников информации, сравниваются с показателями нормативного режима работы крана или механизма. На основании этого принимается решение о возможности дальнейшей эксплуатации или необходимости восстановительных мероприятий.
6. Классификация режимов работы кранов в целом
6.1 Группу классификации режима работы крана определяют два показателя, характеризующие условия эксплуатационного нагружения конструкции:
- класс использования, зависящий от количества циклов работы крана в течение назначенного срока службы;
- класс нагружения, который зависит от распределения относительных масс перемещаемых грузов.
6.2 Класс использования характеризуется показателем наработки - суммарным количеством циклов работы крана за срок службы Cт. Диапазон возможных значений Cт разбит на 10 интервалов, каждому из которых соответствует определенный класс использования (таблица 2). В таблице 2 также приведены примеры интенсивности работы крана, соответствующие каждому классу. Параметром, используемым для расчетов на долговечность, является верхняя граница интервала.
Таблица 2
Классы использования крана
Класс использования | Число циклов работы за срок службы, Cт | Примеры реализации |
U0 | До 1,6 x 104 включ. | Нерегулярное использование, в течение 10 лет не более 5 - 10 циклов работы в сутки |
U1 | Св. 1,6 x 104 до 3,2 x 104 включ. |
U2 | Св. 3,2 x 104 до 6,3 x 104 включ. | Нерегулярное использование в течение 10 лет не более 20 - 35 циклов работы в сутки |
U3 | Св. 6,3 x 104 до 1,25 x 105 включ. |
U4 | Св. 1,25 x 105 до 2,5 x 105 включ. | Регулярное использование в течение 10 лет не более 70 циклов работы в сутки |
U5 | Св. 2,5 x 105 до 5,0 x 105 включ. | Регулярное использование в течение 10 лет не более 140 циклов работы в сутки |
U6 | Св. 5,0 x 105 до 1,0 x 106 включ. | Регулярное использование в течение 20 лет не более 140 циклов работы в сутки |
U7 | Св. 1,0 x 106 до 2,0 x 106 включ. | Интенсивное использование в течение 20 лет более 140 циклов работы в сутки |
U8 | Св. 2,0 x 106 до 4,0 x 106 включ. |
U9 | Св. 4,0 x 106 |
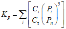
6.3 Класс нагружения характеризуется относительным показателем нагруженности - коэффициентом распределения нагрузки Kp, который вычисляется как

, (1)
где Ci - среднее количество циклов работы крана с грузом массой Pi;

;
Pn - номинальная грузоподъемность крана.
Значения коэффициента распределения нагрузки, соответствующие классам нагружения, и описание характера нагружения крана, соответствующее каждому классу, приведены в таблице 3.
Таблица 3
Классы нагружения
Класс нагружения | Коэффициент распределения нагрузки Kp | Примеры реализации |
Q1 - особо легкий | До 0,062 включ. | Кран всегда работает с грузами менее 50% грузоподъемности. В особых случаях (не более 4%) подъем больших грузов |
Q2 - легкий | Св. 0,062 до 0,125 включ. | Постоянная работа с грузами, значительно меньшими номинальной грузоподъемности крана (85% грузов менее 50% грузоподъемности) |
Q3 - средний | Св. 0,125 до 0,250 включ. | Работа с грузами, меньшими номинальной грузоподъемности крана, с периодическими подъемами грузов, близких к номинальной грузоподъемности (65% грузов менее 50% грузоподъемности) |
Q4 - тяжелый | Св. 0,25 до 0,50 включ. | Частая работа с грузами близкими к номинальной грузоподъемности (75% грузов более 50% грузоподъемности) |
Q5 - весьма тяжелый | Св. 0,50 до 1,00 включ. | Постоянная работа в основном с грузами, близкими к номинальной грузоподъемности крана |
Для кранов с переменной грузовой характеристикой в
формуле (1) следует принимать значение
Pn равным минимальной грузоподъемности, установленной в пределах зоны перемещения груза (
Pn(
R) на рисунке 1, а). Для кранов с несколькими грузовыми характеристиками коэффициент распределения нагрузки следует вычислять по
формуле (1), принимая в качестве
Pi/
Pn отношение максимального грузового момента в течение цикла работы крана к грузовому моменту на том же вылете по максимальной грузовой характеристике (
Pn =
Pn1 на рисунке 1, б)).
Рисунок 1 - К расчету коэффициента распределения нагрузки
для кранов с переменными грузовыми характеристиками (а)
и несколькими грузовыми характеристиками (б).
6.4 Группа классификации режима работы крана в целом определяется комбинацией класса использования и класса нагружения согласно таблице 4.
Таблица 4
Группа классификации режима работы крана
Класс нагружения и коэффициент распределения нагрузки | Класс использования и значения Cт·10-4 |
Qp | Kp | U0 1,6 | U1 3,2 | U2 6,3 | U3 12,5 | U4 25 | U5 50 | U6 100 | U7 200 | U8 400 | U9 > 400 |
Q1 | 0,062 | - | - | A0 | A1 | A2 | A3 | A4 | A5 | A6 | A7 |
Q2 | 0,125 | - | A0 | A1 | A2 | A3 | A4 | A5 | A6 | A7 | A8 |
Q3 | 0,250 | A0 | A1 | A2 | A3 | A4 | A5 | A6 | A7 | A8 | A9 |
Q4 | 0,500 | A1 | A2 | A3 | A4 | A5 | A6 | A7 | A8 | A9 | A10 |
Q5 | 1,000 | A2 | A3 | A4 | A5 | A6 | A7 | A8 | A9 | A10 | A11 |
Таблица 4 построена таким образом, что для всех комбинаций, обеспечивающих одну группу режима
A, значение произведения
KpCт одинаковое. Это связано с тем, что для элементов металлической конструкции, в которых размах изменения напряжений пропорционален массе груза, произведение
KpCт приближенно пропорционально усталостному повреждению. Если для крана задана только группа классификации
A и не заданы классы нагружения и использования, то в расчетах следует принимать класс
Q4 и находить соответствующий класс использования по
таблице 4.
Рекомендации по назначению групп классификации режима работы для кранов отдельных типов приведены в
приложении А.
7. Классификация режимов работы механизмов
7.1 Классификация режимов работы механизмов используется для нормирования, обеспечения и контроля ресурса механизмов в целом и их элементов. Условия эксплуатационного нагружения механизмов характеризуют три показателя:
- суммарная продолжительность работы механизма в течение назначенного срока службы;
- распределение относительных значений нагрузок;
- среднее количество включений механизма в час.
7.2 Класс использования механизма определяется суммарной продолжительностью работы механизма T в часах (моточасах) в течение срока его службы. Для целей классификации принято, что под временем использования принимается время, в течение которого механизм находится включенным (в движении).
Диапазон возможных значений T разбит на 10 интервалов, каждому из которых соответствует определенный класс использования (таблица 5). Параметром, используемым для расчетов на долговечность, является верхняя граница интервала.
Таблица 5
Классы использования механизма
Класс использования | Общая продолжительность работы T, ч | Примеры реализации |
T0 | До 200 включ. | Нерегулярное использование в течение 5 лет не более 0,25 ч в сутки |
T1 | Св. 200 до 400 включ. |
T2 | Св. 400 до 800 включ. | Нерегулярное использование в течение 10 лет не более 0,5 ч в сутки |
T3 | Св. 800 до 1600 включ. |
T4 | Св. 1600 до 3200 включ. | Регулярное использование в течение 10 лет по 1 - 2 ч в сутки |
T5 | Св. 3200 до 6300 включ. |
T6 | Св. 6300 до 12500 включ. | Регулярное достаточно интенсивное использование в течение 10 лет по 3 - 4 ч в сутки |
T7 | Св. 12500 до 25000 включ. | Весьма интенсивное использование в течение 10 лет по 7 - 14 ч в в сутки |
T8 | Св. 25000 до 50000 включ. |
T9 | Св. 50000 до 100000 включ. | Весьма интенсивное использование в течение 20 лет до 14 ч в сутки |
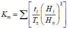
7.3 Класс нагружения механизма характеризуется коэффициентом распределения нагрузки Km, который вычисляется как

, (2)
где ti - средняя продолжительность использования механизма с нагрузкой Hi;

- суммарная продолжительность использования механизма;
Hi - нагрузка, действующая на механизм, в течение времени использования ti;
Hn - максимальное значение нагрузки на механизм в режиме нормальной эксплуатации согласно технической документации.
Значения нагрузок Hi, Hn определяют для концевого звена кинематической цепи механизма (канатный барабан, ходовое колесо, ведущее зубчатое колесо механизма поворота), с учетом всех факторов, включая и процессы неустановившегося движения.
В качестве значения нагрузки H в зависимости от типа и назначения механизма может использоваться момент на тихоходном валу, сила натяжения тягового каната, усилие в рейке и т.д.
Значения коэффициента распределения нагрузки, соответствующие классам нагружения, и примеры описания характера нагружения механизма, соответствующие каждому классу, приведены в таблице 6.
Таблица 6
Режим нагружения механизма
Класс нагружения | Коэффициент распределения нагрузки Km | Примеры реализации |
L1 - легкий | До 0,125 включ. | Постоянная работа с нагрузками, значительно меньшими номинальных значений |
L2 - средний | Св. 0,125 до 0,250 включ. | В основном работа с нагрузками, меньшими номинальных значений, до 30% времени с нагрузками, близкими к номинальным |
L3 - тяжелый | Св. 0,25 до 0,50 включ. | Частая работа (до 75% времени) с нагрузками, близкими к номинальным |
L4 - весьма тяжелый | Св. 0,50 до 1,00 включ. | Постоянная работа в основном с нагрузками, близкими к номинальным значениям |
7.4 Группа классификации режима работы механизма определяется комбинацией классов использования и нагружения согласно таблице 7.
Таблица 7
Группа классификации режима работы механизма
Класс нагружения и коэффициент распределения нагрузки | Класс использования и значение TT * 10-3, ч |
Lp | Km | T0 0,2 | T1 0,4 | T2 0,8 | T3 1,6 | T4 3,2 | T5 6,3 | T6 12,5 | T7 25,0 | T8 50,0 | T9 100 |
L1 | 0,125 | - | - | M1 | M2 | M3 | M4 | M5 | M6 | M7 | M8 |
L2 | 0,250 | - | M1 | M2 | M3 | M4 | M5 | M6 | M7 | M8 | M9 |
L3 | 0,500 | M1 | M2 | M3 | M4 | M5 | M6 | M7 | M8 | M9 | - |
L4 | 1,000 | M2 | M3 | M4 | M5 | M6 | M7 | M8 | M9 | - | - |
Рекомендуемые группы классификации режимов работы механизмов для отдельных типов кранов приведены в настоящем стандарте в
приложении А.
7.5 Среднее количество включений механизма в час z характеризует интенсивность использования механизма. Для удобства нормирования диапазон возможных значений z разбит на пять интервалов (таблица 8).
Таблица 8
Количество включений механизма в час z
Класс интенсивности использования | Количество включений механизма в час z | Примечание |
Z1 | До 40 включ. | Неинтенсивное использование |
Z2 | Св. 40 до 80 включ. |
Z3 | Св. 80 до 160 включ. | Интенсивное использование |
Z4 | Св. 160 до 320 включ. |
Z5 | Св. 320 до 640 включ. | Весьма интенсивное использование |
(рекомендуемое)
РЕЖИМОВ РАБОТЫ НЕКОТОРЫХ ТИПОВ КРАНОВ И ИХ МЕХАНИЗМОВ
А.1. Стреловые самоходные краны по классификации
ГОСТ 33709.2
Рекомендуемые группы классификации режима работы кранов стреловых самоходных в целом и их механизмов представлены в таблице А.1.
Таблица А.1
Группы классификации режима работы кранов
стреловых самоходных
Назначение крана | Режим эксплуатации | Группа классификации режима работы крана в целом | Группы классификации режима работы механизмов |
Механизм подъема | Механизм поворота | Механизм подъема стрелы | Механизм телескопирования стрелы | Механизм передвижения (только при работе) |
Колесный | Гусеничный |
Кран общего назначения (не используется для непрерывной работы) | Легкий режим (например, монтажные работы) | A1 | M3 | M2 | M2 | M1 | M1 | M1 |
Эксплуатация со значительными перерывами в работе | A2 | M4 | M3 | M3 | M2 | M1 | M2 |
Интенсивная эксплуатация | A3 | M5 | M4 | M4 | M3 | M1 | M2 |
Кран оснащен грейфером, автоматическим захватом или магнитом | Регулярное использование с перерывами | A4 | M4 | M3 | M3 | M2 | M1 | M2 |
Интенсивная эксплуатация | A4 | M5 | M4 | M4 | M3 | M1 | M2 |
Кран используется для перегрузочных работ (например, для перегрузки контейнеров) | Регулярное использование с перерывами | A4 | M5 | M4 | M3 | | M1 | M2 |
Регулярное использование с перерывами | A4 | M5 | M4 | M3 | M3 | M1 | M2 |
Интенсивная эксплуатация | A5 | M6 | M5 | M4 | M4 | M1 | M2 |
<*> Телескопирование осуществляется только без груза. Примечание - Данная классификация не используется для выбора коэффициента использования каната и для выбора диаметров блоков и барабанов. |
Башенные краны в зависимости от их предполагаемого использования можно разделить на три категории:
- категория 1 - краны для редкого, нерегулярного использования (легкий режим нагружения);
- категория 2 - краны, используемые в строительстве;
- категория 3 - краны для регулярного применения (тяжелый режим нагружения).
Рекомендуемые группы классификации режима работы башенных кранов приведены в таблице А.2. Примеры классификации кранов приведены в
таблице А.3.
Таблица А.2
Группы классификации режима работы башенных кранов в целом
Категория крана | Группа классификации режима работы |
Класс использования | Класс нагружения | Группа классификации |
1 | U1 - U4 | Q1 и Q2 | A1 - A4 |
2 | U3 и U4 | Q2 | A3 - A4 |
3 | U4 и U5 | Q2 и Q3 | A4 - A6 |
Таблица А.3
Примеры классификации башенных кранов
Категория крана | Назначение крана | Группа классификации режима работы |
Класс использования | Класс нагружения | Группа классификации |
1 | Редко используемый кран | U1 | Q2 | A1 |
Кран, обслуживающий склад предприятия | U3 | Q1 | A2 |
Кран для технического обслуживания буровых платформ | U3 | Q2 | A3 |
Кран для ремонтных работ в доке | U4 | Q2 | A4 |
2 | Самомонтирующийся кран | U3 | Q2 | A3 |
Башенный кран, монтируемый частями | U4 | Q2 | A4 |
3 | Кран, используемый в доках для достройки судов | U4 | Q2 | A4 |
Кран для перегрузки контейнеров | U4 | Q2 | A4 |
Кран, используемый в судостроении | U4 | Q3 | A5 |
Кран, работающий с грейфером | U5 | Q4 | A5 |
Рекомендуемые группы классификации режима работы механизмов башенных кранов приведены в таблице А.4. Примеры классификации механизмов кранов приведены в
таблице А.5.
Таблица А.4
Группы классификации режима работы механизмов
Категория крана | Группа классификации режима работы |
Класс использования | Класс нагружения | Группа классификации |
Механизм | Механизм | Механизм |
Подъема | Поворота | Подъема стрелы | Телескопирования | Передвижения | Подъема | Поворота | Подъема стрелы | Телескопирования | Передвижения | Подъема | Поворота | Подъема стрелы | Телескопирования | Передвижения |
1 | T1 - T4 | T1 - T4 | T1 - T3 | T1 - T3 | T1 и T2 | L1 и L2 | L3 | L1 и L2 | L1 и L2 | L3 | M1 - M4 | M2 - M5 | M1 - M3 | M1 - M3 | M2 - M3 |
2 | T3 и T4 | T3 и T4 | T2 и T3 | T2 и T3 | T1 и T2 | L2 | L3 | L3 | L2 | L3 | M3 и M4 | M4 и M5 | M3 и M4 | M2 и M3 | M2 и M3 |
3 | T4 и T5 | T4 и T5 | T3 и T4 | T3 и T5 | T2 и T5 | L2 и L3 | L2 и L3 | L2 и L3 | L2 и L3 | L2 и L3 | M4 - M6 | M4 - M6 | M3 - M5 | M3 - M6 | M2 - M6 |
Таблица А.5
Примеры классификации режима работы механизмов
Категория крана | Назначение крана | Группа классификации режима работы |
Класс использования | Класс нагружения | Группа классификации |
Механизм | Механизм | Механизм |
Подъема | Поворота | Подъема стрелы | Телескопирования | Передвижения | Подъема | Поворота | Подъема стрелы | Телескопирования | Передвижения | Подъема | Поворота | Подъема стрелы | Телескопирования | Передвижения |
1 | Редко используемый кран | T1 | T1 | T1 | T1 | T1 | L2 | L3 | L2 | L2 | L3 | M1 | M2 | M1 | M1 | M2 |
Кран, обслуживающий склад предприятия | T3 | T3 | T2 | T2 | T1 | L1 | L3 | L1 | L1 | L3 | M2 | M4 | M1 | M1 | M2 |
Кран для технического обслуживания буровых платформ | T3 | T3 | T2 | T2 | T1 | L1 | L3 | L2 | L2 | L3 | M3 | M4 | M2 | M2 | M2 |
Кран для ремонтных работ в доке | T4 | - | T3 | T3 | T2 | L2 | L3 | L2 | L2 | L3 | M4 | M5 | M3 | M3 | M3 |
2 | Самомонтирующийся кран | T3 | T3 | T2 | T2 | T1 | L2 | L3 | L3 | L2 | L3 | M3 | M4 | M3 | M2 | M2 |
Башенный кран, монтируемый частями | T4 | T4 | T3 | T3 | T2 | L2 | L3 | L3 | L2 | L3 | M4 | M5 | M4 | M3 | M3 |
3 | Кран, используемый в доках для достройки судов | T4 | T4 | T3 | T3 | T5 | L2 | L3 | L2 | L2 | L3 | M4 | M5 | M3 | M3 | M6 |
Кран для перегрузки контейнеров | T4 | T4 | T3 | - | T2 | L2 | L2 | L2 | L2 | L2 | M4 | M4 | M3 | M4 | M2 |
Кран, используемый в судостроении | T4 | T4 | T3 | T3 | T4 | L3 | L3 | L3 | L3 | L3 | M5 | M5 | M4 | M4 | M5 |
Кран, работающий с грейфером | T5 | T5 | T4 | T5 | T2 | L3 | L3 | L3 | L3 | L3 | M6 | M6 | M5 | M6 | M3 |
Примеры групп классификации режима работы кранов стреловых в целом и их механизмов приведены в таблице А.6.
Таблица А.6
Группы классификации режима работы кранов
стреловых и их механизмов
Назначение, тип крана | Режим эксплуатации | Группа классификации режима работы крана в целом | Группы классификации режима заботы механизмов |
Механизм подъема | Механизм изменения вылета | Механизм передвижения тележки | Механизм поворота | Механизм передвижения |
Кран с ручным приводом | Легкий режим | A1 | M1 | M1 | M1 | M1 | M1 |
Монтажный кран в цеху | Эксплуатация со значительными перерывами в работе | A2 | M2 | M1 | M1 | M2 | M2 |
Судовой кран в крюковом режиме | Эксплуатация с перерывами в работе | A4 | M3 | M3 | - | M3 | - |
Судовой кран с грейфером или магнитом | Интенсивная эксплуатация | A6 | M5 | M3 | - | M3 | - |
Кран, используемый при постройке судов | Эксплуатация с перерывами в работе | A4 | M5 | M4 | M4 | M4 | M5 |
Кран, используемый на складе в крюковом режиме | Регулярное использование с перерывами в работе | A4 | M4 | M3 | M4 | M4 | M4 |
Кран, используемый на складе с грейфером или магнитом | Регулярное использование | A6 | M6 | M6 | M6 | M6 | M5 |
Кран, используемый на складе с грейфером или магнитом | Интенсивная эксплуатация | A8 | M8 | M7 | M7 | M7 | M6 |
Портальный кран при работе в крюковом режиме | Регулярное использование с перерывами в работе | A6 | M5 | M4 | - | M5 | M3 |
Портальный кран при работе в крюковом режиме | Интенсивная эксплуатация | A7 | M7 | M5 | - | M6 | M4 |
Портальный кран при работе с грейфером или магнитом | Регулярное использование с перерывами в работе | A7 | M7 | M6 | - | M6 | M4 |
Портальный кран при работе с грейфером или магнитом | Интенсивная эксплуатация | A8 | M8 | M7 | - | M7 | M4 |
А.4. Краны мостовые и козловые по классификации
ГОСТ 33709.5
Примеры групп классификации режима работы мостовых и козловых кранов в целом и их механизмов приведены в таблице А.7.
Таблица А.7
Группы классификации режима работы мостовых
и козловых кранов и их механизмов
Назначение, тип крана | Режим эксплуатации | Группа классификации режима работы крана в целом | Группы классификации режима работы механизмов |
Механизм подъема | Механизм передвижения тележки | Механизм передвижения |
Кран с ручным приводом | Легкий режим эксплуатации | A1 | M1 | M1 | M1 |
Монтажный кран в цеху | A1 | M2 | M1 | M2 |
Кран для обслуживания электростанций | A1 | M2 | M1 | M3 |
Кран, используемый для технического обслуживания | A1 | M3 | M1 | M2 |
Кран, используемый для работы в цеху | A2 | M3 | M2 | M3 |
Кран, используемый для работы в цеху | Регулярное использование с перерывами в работе | A3 | M4 | M3 | M4 |
Кран, используемый для работы в цеху | Регулярная интенсивная эксплуатация | A4 | M5 | M3 | M5 |
Кран, используемый на открытом складе | Регулярное использование с перерывами в работе в крюковом режиме | A3 | M3 | M2 | M4 |
Кран, используемый на открытом складе | Регулярное использование с перерывами в работе с использованием грейфера или магнита | A6 | M6 | M6 | M6 |
Кран, используемый на складе металлолома | Регулярное использование с перерывами в работе в крюковом режиме | A3 | M4 | M3 | M4 |
Кран, используемый на складе металлолома | Регулярное использование с перерывами в работе с использованием грейфера или магнита | A6 | M6 | M5 | M6 |
Кран, используемый для разгрузки судов | Интенсивная эксплуатация | A7 | M8 | M6 | M7 |
Мостовой контейнерный перегружатель | A5 | M6 | M6 | M6 |
Береговой контейнерный перегружатель | A5 | M6 | M6 | M4 |
Краны, используемые на металлургических производствах |
- для замены валков | Легкий режим эксплуатации | A2 | M4 | M3 | M4 |
- разливочный | Интенсивная эксплуатация | A7 | M8 | M6 | M7 |
- колодцевый | A7 | M8 | M7 | M7 |
- стрипперный | A8 | M8 | M8 | M8 |
- загрузочный | A8 | M8 | M8 | M8 |
- литейный кран | A5 | M5 | M4 | M5 |