Главная // Актуальные документы // ГОСТ (Государственный стандарт)СПРАВКА
Источник публикации
М.: Стандартинформ, 2016
Примечание к документу
Документ включен в
Перечень международных и региональных (межгосударственных) стандартов, а в случае их отсутствия - национальных (государственных) стандартов, в результате применения которых на добровольной основе обеспечивается соблюдение требований технического
регламента Таможенного союза "О безопасности машин и оборудования" (ТР ТС 010/2011) и в
Перечень международных и региональных (межгосударственных) стандартов, а в случае их отсутствия - национальных (государственных) стандартов, содержащих правила и методы исследований (испытаний) и измерений, в том числе правила отбора образцов, необходимые для применения и исполнения требований технического
регламента Таможенного союза "О безопасности машин и оборудования" (ТР ТС 010/2011) и осуществления оценки соответствия объектов технического регулирования (
Решение Коллегии Евразийской экономической комиссии от 09.03.2021 N 28).
Документ
введен в действие с 01.04.2017.
Название документа
"ГОСТ 33713-2015. Межгосударственный стандарт. Краны грузоподъемные. Регистраторы параметров работы. Общие требования"
(введен в действие Приказом Росстандарта от 08.06.2016 N 561-ст)
"ГОСТ 33713-2015. Межгосударственный стандарт. Краны грузоподъемные. Регистраторы параметров работы. Общие требования"
(введен в действие Приказом Росстандарта от 08.06.2016 N 561-ст)
агентства по техническому
регулированию и метрологии
от 8 июня 2016 г. N 561-ст
МЕЖГОСУДАРСТВЕННЫЙ СТАНДАРТ
КРАНЫ ГРУЗОПОДЪЕМНЫЕ
РЕГИСТРАТОРЫ ПАРАМЕТРОВ РАБОТЫ
ОБЩИЕ ТРЕБОВАНИЯ
Cranes. Registrars of operating parameters.
General requirements
ГОСТ 33713-2015
Дата введения
1 апреля 2017 года
Цели, основные принципы и основной порядок проведения работ по межгосударственной стандартизации установлены в
ГОСТ 1.0-2015 "Межгосударственная система стандартизации. Основные положения" и
ГОСТ 1.2-2015 "Межгосударственная система стандартизации. Стандарты межгосударственные, правила и рекомендации по межгосударственной стандартизации. Правила разработки, принятия, обновления и отмены"
1 РАЗРАБОТАН Обществом с ограниченной ответственностью "Научно-производственное предприятие "ЭГО" и Акционерным обществом "РАТТЕ" (АО "РАТТЕ")
2 ВНЕСЕН Федеральным агентством по техническому регулированию и метрологии
3 ПРИНЯТ Межгосударственным советом по стандартизации, метрологии и сертификации (протокол от 28 декабря 2015 г. N 83-П)
За принятие проголосовали:
Краткое наименование страны по МК (ИСО 3166) 004-97 | Код страны по МК (ИСО 3166) 004-97 | Сокращенное наименование национального органа по стандартизации |
Казахстан | KZ | Госстандарт Республики Казахстан |
Киргизия | KG | Кыргызстандарт |
Россия | RU | Росстандарт |
Таджикистан | TJ | Таджикстандарт |
Узбекистан | UZ | Узстандарт |
4
Приказом Федерального агентства по техническому регулированию и метрологии от 8 июня 2016 г. N 561-ст межгосударственный стандарт ГОСТ 33713-2015 введен в действие в качестве национального стандарта Российской Федерации с 1 апреля 2017 г.
5 ВВЕДЕН ВПЕРВЫЕ
Информация об изменениях к настоящему стандарту публикуется в ежегодном (по состоянию на 1 января текущего года) информационном указателе "Национальные стандарты", а текст изменений и поправок - в ежемесячном информационном указателе "Национальные стандарты". В случае пересмотра (замены) или отмены настоящего стандарта соответствующее уведомление будет опубликовано в ежемесячном информационном указателе "Национальные стандарты". Соответствующая информация, уведомление и тексты размещаются также в информационной системе общего пользования - на официальном сайте Федерального агентства по техническому регулированию и метрологии в сети Интернет (www.gost.ru)
Настоящий стандарт устанавливает общие требования к регистраторам параметров работы грузоподъемных кранов по классификации международного стандарта ISO 4306-1 Cranes - Vocabulary - Part 1: General (Краны - Словарь. Часть 1. Общие термины) с учетом нормативных положений, содержащихся в международном стандарте ISO 12482:2014 Cranes - Monitoring for crane design working period (Краны - Мониторинг проектного рабочего периода).
Применение регистраторов параметров позволяет получать объективную информацию о режимах работы кранов и данные для анализа причин отказов их узлов и механизмов; при проведении экспертизы промышленной безопасности продлевать срок службы кранов и снижать расходы на их обслуживание на основании оценки выработанного ресурса; проводить работы по техническому обслуживанию и ремонту в зависимости от фактической наработки крана; использовать информацию, как оперативную, так и долговременную, для оценки проектного рабочего периода крана (механизмов), в том числе при сдаче крана в аренду или лизинг.
Специальные требования к регистраторам параметров для различных типов кранов могут быть приведены в стандартах на эти краны.
Применение положений настоящего стандарта на добровольной основе может быть использовано при подтверждении и оценке соответствия грузоподъемных кранов требованиям Технического
регламента Таможенного союза "О безопасности машин и оборудования" (ТР ТС 010/2011).
Настоящий стандарт устанавливает общие требования к регистраторам параметров работы (далее - "РП") грузоподъемных кранов (далее - "краны") применительно к возможности получения РП необходимой информации с заданной достоверностью об условиях эксплуатации кранов и причинах их аварий и инцидентов.
Стандарт разработан с учетом основных нормативных положений
ГОСТ 32575.1 "Краны грузоподъемные. Ограничители и указатели. Часть 1. Общие положения".
РП являются универсальными экспертно-информационными устройствами, которые способствуют повышению безопасности на основе укрепления дисциплины эксплуатации крана путем адекватной оценки выработанного ресурса, соблюдения сроков проведения и содержания регламентных работ, а также объективного анализа возникновения и расследования аварийных ситуаций и инцидентов в соответствии с нормативными документами.
РП обеспечивают крановщика (оператора крана) или других лиц эксплуатационной информацией и не являются средствами измерений. При использовании в конструкции РП элементов, являющихся средствами измерений, информация об этом должна содержаться в эксплуатационной документации на соответствующее устройство.
Информация, содержащаяся в памяти РП, не является заменой регулярных технических осмотров, освидетельствований и обследований крана в соответствии с действующими нормативными актами.
Выводы о реальном состоянии крана можно делать только после тщательного визуально-измерительного контроля, а в некоторых случаях - после проведения диагностики с применением средств неразрушающего контроля.
Безопасная и надежная эксплуатация РП зависит от их регулярных осмотров и систематического технического обслуживания.
Специальные требования к РП для различных типов кранов приводятся в стандартах на эти краны.
В настоящем стандарте использованы ссылки на следующие межгосударственные стандарты:
ГОСТ 2.601-2013 Единая система конструкторской документации. Эксплуатационные документы
ГОСТ 9.032-74 Единая система защиты от коррозии и старения. Покрытия лакокрасочные. Группы, технические требования и обозначения
ГОСТ 9.104-79 Единая система защиты от коррозии и старения. Покрытия лакокрасочные. Группы условий эксплуатации
ГОСТ 9.301-86 Единая система защиты от коррозии и старения. Покрытия металлические и неметаллические неорганические. Общие требования
ГОСТ 14254-96 (МЭК 529-89) Степени защиты, обеспечиваемые оболочками (код IP)
ГОСТ 15150-69 Машины, приборы и другие технические изделия. Исполнения для различных климатических районов. Категории, условия эксплуатации, хранения и транспортирования в части воздействия климатических факторов внешней среды
ГОСТ 25546-82 (ISO 4301-1:1986) Краны грузоподъемные. Режимы работы
ГОСТ 25835-83 Краны грузоподъемные. Классификация механизмов по режимам работы
ГОСТ 28751-90 Электрооборудование автомобилей. Электромагнитная совместимость. Кондуктивные помехи по цепям питания. Требования и методы испытаний
ГОСТ 30631-99 Общие требования к машинам, приборам и другим техническим изделиям в части стойкости к механическим внешним воздействующим факторам при эксплуатации
ГОСТ 32575.1-2015 Краны грузоподъемные. Ограничители и указатели. Часть 1. Общие положения
Примечание - При пользовании настоящим стандартом целесообразно проверить действие ссылочных стандартов в информационной системе общего пользования - на официальном сайте Федерального агентства по техническому регулированию и метрологии в сети Интернет или по ежегодному информационному указателю "Национальные стандарты", который опубликован по состоянию на 1 января текущего года, и по выпускам ежемесячного информационного указателя "Национальные стандарты" за текущий год. Если ссылочный стандарт заменен (изменен), то при пользовании настоящим стандартом следует руководствоваться заменяющим (измененным) стандартом. Если ссылочный стандарт отменен без замены, то положение, в котором дана ссылка на него, применяется в части, не затрагивающей эту ссылку.
В настоящем стандарте применены термины по
ГОСТ 33709.1,
[1], а также следующие термины с соответствующими определениями:
3.1 автономный РП: Регистратор параметров работы крана, выполненный в виде отдельного (автономного) устройства. В составе автономного РП могут использоваться датчики других устройств безопасности (ограничителей, указателей) грузоподъемного крана.
3.2 встроенный РП: Регистратор параметров работы крана, входящий в состав другого устройства безопасности (ограничителя, указателя) и являющийся его неотъемлемой частью.
3.3 прибор считывания; ПРС: Устройство, предназначенное для вывода (считывания) информации, хранящейся в РП.
Примечание - ПРС является неотъемлемой составной частью РП. ПРС может выпускаться предприятием - изготовителем РП в качестве самостоятельного изделия, а также представлять собой унифицированный блок памяти в виде, например, дискового накопителя любого типа (USB-флеш-накопителя, SD-карты памяти и пр.).
3.4 первичная обработка информации: Обработка информации о параметрах работы крана, выполняемая непосредственно в РП.
3.5 вторичная обработка информации: Обработка информации, выведенной (считанной) из РП, выполненная с использованием программного модуля и компьютерного технического средства в целях получения необходимых данных о параметрах работы крана.
3.6 программный модуль для вторичной обработки информации: Специальная программа для обработки на компьютерных технических средствах информации, выведенной (считанной) из РП.
3.7 организация по считыванию и оформлению информации: Специализированная организация (юридическое лицо, индивидуальный предприниматель), имеющая возможность проведения работ по выводу (считыванию) информации из РП, выполнения обработки этой информации и оформления документов о параметрах работы кранов, а также имеющая возможность вносить данные о датах монтажа и проверок РП на кране, результатах этих проверок. Организация по считыванию и оформлению информации должна иметь специалистов, допущенных к проведению указанных работ в соответствии с требованиями изготовителей (разработчиков) РП и нормативно-правовых актов государств, упомянутых в предисловии как проголосовавшие за принятие настоящего стандарта, а также аппаратные и программные технические средства, необходимые для вывода (считывания) информации, хранящейся в РП, ее вторичной обработки и оформления документов о параметрах работы кранов, а также для внесения данных о датах монтажа и проверок РП на кране, результатах этих проверок.
3.8 проектный (нормативный) рабочий период (ПРП) крана (механизмов): Календарная продолжительность от начала эксплуатации крана (механизмов) до выполнения нормативной наработки (ресурса), соответствующей группе классификации (режима) работы крана по
ГОСТ 25546 (механизмов по
ГОСТ 25835), приведенной в паспорте крана. ПРП крана (механизма) считается достигнутым, когда фактическая наработка крана (механизма) будет соответствовать проектным (нормативным) ограничениям относительно заданной (паспортной) группы классификации (режима) работы крана (механизма). После окончания ПРП грузоподъемный кран должен быть выведен из эксплуатации и списан. Эксплуатация грузоподъемного крана может быть продолжена при наличии достаточной остаточной прочности металлической конструкции.
3.9 нормативное характеристическое число
Nн для крана: Безразмерная величина, являющаяся мерой ресурса крана, на который он рассчитан, определяемая с учетом параметров группы классификации как произведение коэффициента распределения нагрузок крана
Kр для соответствующего режима нагружения (
Q1 ...
Q4) на проектное предельное (максимальное) количество рабочих циклов
CT, соответствующих классам использования
U0 ...
U9 согласно
[1]:
где Pn - максимальное значение фактической нагрузки на грузозахватном органе крана в n-м рабочем цикле;
Pmax - номинальная грузоподъемность.
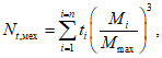
Примечание - Нормативное характеристическое число для механизмов
Nн,мех, измеряемое в часах, определяют как произведение коэффициента распределения нагрузок механизма
Km для соответствующего режима (
L2 ...
L4) на проектное предельное значение общей продолжительности работы механизма
tT при всех частных уровнях нагрузки, соответствующих классам использования
T0 ...
T9 согласно
[1]:
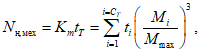
где Mi - значения частных нагрузок (уровни нагрузок), характерные для применения данного механизма в i-м рабочем цикле;
Mmax - значение наибольшей нагрузки, приложенной к механизму;
ti - средняя продолжительность использования механизма при частных уровнях нагрузки.
3.10 текущее характеристическое число Nt для крана: Безразмерная величина, являющаяся мерой ресурса крана на текущий момент, определяемая с учетом всех рабочих циклов, выполненных от начала эксплуатации и значений масс грузов, поднятых в каждом рабочем цикле 0 <= Nt <= Nн, определяемая с учетом всех рабочих циклов Ct, выполненных от начала эксплуатации до момента считывания информации РП, и значений масс грузов, поднятых в каждом n-м рабочем цикле, определяемая по формуле
Примечание - Текущее значение характеристического числа для механизма, определяемое с учетом общей продолжительности работы tn механизма от начала эксплуатации до момента считывания информации РП, рассчитывают по формуле
где n - число уровней регистрации нагрузки.
3.11 контрольная сумма Ks: Число, зависящее от значения записываемых в РП параметров и используемое для контроля правильности записи и считывания этих параметров.
3.12 период записи

: Интервал времени по часам РП между последовательными записями в его память набора параметров.
3.13 степень загрузки

крана (относительная нагрузка): Величина, определяемая по формуле:

или

,
где Qq (Mq) - фактическая величина груза (грузового момента);
Qn (Mn) - номинальная(-й) грузоподъемность крана (грузовой момент).
3.14 рабочий цикл: Период работы крана от начала подъема груза до готовности к подъему следующего груза.
Примечание - За начало рабочего цикла принимают действие нагрузки на грузозахватном органе не менее 5% номинальной грузоподъемности непрерывно, в течение не менее 8 с.
3.15 количество перегрузок: Число рабочих циклов крана, характеризующихся действием свыше значения номинальной грузоподъемности.
3.16 время работы механизма крана: Суммарное время работы механизма, затраченное на выполнение всех рабочих циклов крана с момента установки и подключения РП.
3.17 часы работы T: Общее время включенного состояния РП от момента установки его на кране (момента ввода в память РП даты его установки на кран) до события (записи или считывания данных из РП и т.п.).
4.1 Память РП должна быть разбита на три области:
- область для записи идентификационной информации крана и РП;
- область, запись данных в которую производится в режиме циклического обновления (оперативная память);
- область, запись данных в которую производится в режиме накопления (долговременная память).
4.2 Идентификационная информация должна содержать данные:
о кране:
- тип и индекс крана;
- наименование предприятия - изготовителя крана;
- заводской номер крана;
- год изготовления крана;
- грузоподъемность крана;
- группа классификации (режима) для крана и (при необходимости) механизмов (с указанием нормативного характеристического числа);
- дата ввода крана в эксплуатацию;
- нормативный срок службы крана;
о регистраторе параметров:
- тип и модификация РП;
- наименование предприятия - изготовителя РП;
- заводской номер РП;
- год изготовления РП;
- дата установки РП на кран;
- наименование организации, установившей РП на кран.
4.3 Сведения о кране вносятся предприятием - изготовителем крана или специализированной организацией, выполнившей монтаж РП на кране, и хранятся в течение всего срока работы РП на данном кране. Сведения о РП вносятся предприятием - изготовителем РП и хранятся на протяжении всего срока службы РП. Даты монтажа и проверок РП на кране, а также результаты этих проверок вносятся в РП организациями по считыванию и оформлению информации РП.
4.4 Оперативная информация должна содержать основные сведения о работе крана в определенный промежуток времени (не менее 10 циклов работы), в том числе, например:
- о календарной дате и текущем времени;
- о периодах записи;
- о нагрузках на грузозахватных органах;
- о давлениях (в поршневой и штоковой полостях) либо усилиях в гидроцилиндре подъема стрелы, нагрузках в грузовом канате (для стреловых гидравлических кранов) и пр.;
- о координатах груза относительно крана (вылете, углах наклона стрелы и крена платформы, азимуте крановой поворотной части и др.);
- о состоянии и работоспособности узлов и механизмов крана (срабатываниях ограничителей грузоподъемности, концевых выключателей, координатной защиты, защиты от приближения к ЛЭП и др.);
- об обозначении конфигурации крана: параметрах опорного контура; характеристиках противовеса; исполнении крана по виду грузозахватного органа и стрелового оборудования (например, о режиме работы с гуськом для стреловых кранов, запасовке полиспаста и др.);
- о температуре окружающей среды (в обоснованных случаях, если это предусмотрено техническим заданием);
- о скорости ветра (для кранов башенных, козловых, портальных, мостовых кранов-перегружателей и др.);
- о включениях линейного контактора (для кранов с электрическим приводом);
- о блокировках устройств безопасности, в том числе выполняемых с пульта управления крана;
- о режимах работы ("работа-настройка") ограничителя грузоподъемности со встроенным РП;
- о контрольной сумме;
- о других показателях, предусмотренных техническим заданием на проектирование РП и крана.
Примечание - Регистрация оперативной информации о перегрузках свыше 100% должна производиться с интервалом не более 1 с. Максимальный период записи информации для других диапазонов нагрузки принимают в соответствии с таблицей:
Степень загрузки  , % | Максимальный период записи  , с |
До 40 | 20 |
Св. 40 до 55 | 10 |
Св. 55 до 90 | 5 |
Св. 90 до 100 | 2 |
Св. 100 | 1 |
4.5 Долговременная информация должна содержать сведения о работе крана или его механизмов за весь срок службы:
- часах работы;
- общей наработке крана и (при необходимости) его механизмов в моточасах;
- суммарном числе рабочих циклов;
- распределении циклов по диапазонам нагрузки;
- суммарной массе поднятых грузов;
- количестве срабатываний ограничителя грузоподъемности;
- текущем характеристическом числе для крана;
- коэффициенте распределения нагрузок для крана;
- текущих характеристических числах для механизмов крана, коэффициенте распределения нагрузок для механизмов (если это предусмотрено техническим заданием (ТЗ) на проектирование крана и РП);
- датах внесения новой информации в РП (проверках РП, изменениях параметров крана, перенастройках устройств безопасности и др.);
- наименовании организации, внесшей новую информацию в РП;
- других показателях, предусмотренных техническим заданием на проектирование РП и крана.
Для отдельных типов кранов данный перечень может быть дополнен.
Долговременную информацию используют для оценки выработанного ресурса (ПРП) крана и механизмов от начала эксплуатации до достижения нормативной наработки, соответствующей группе классификации (режима) по
[1], приведенной в паспорте крана.
4.6 При первичной установке РП на новые краны долговременная информация (зафиксированная, например, при приемо-сдаточных испытаниях РП, предусмотренных
5.17) должна обнуляться. Указанная в
4.5 информация должна храниться в РП в течение всего срока его эксплуатации в составе крана. При перестановке ограничителя или указателя со встроенным РП либо автономного РП на другой кран должно быть осуществлено обнуление информации такого регистратора.
Примечание - Значения долговременных параметров при установке (перестановке) регистраторов параметров на краны, находящиеся в эксплуатации, могут быть внесены организацией, осуществившей монтаж РП, на основании результатов технического освидетельствования крана, проведенного специализированной организацией, с указанием методических материалов, на основании которых установлены эти параметры.
4.7 РП должны обеспечивать сохранность оперативной информации в течение не менее 30 дней, а информации длительного хранения - не менее 3 лет с момента последнего отключения электропитания.
4.8 Запись параметров должна осуществляться РП постоянно в течение всего времени работы механизмов крана. Данные в регистраторе параметров должны записываться независимо от действий крановщика (оператора крана) и окружающей обстановки. При отключении питания РП записанные параметры должны сохраняться в РП в течение сроков, установленных
4.7.
4.9 РП должны регистрировать параметры работы крана при проведении его испытаний и технических освидетельствований.
4.10 При перестановке (замене) ограничителя или указателя со встроенным РП либо автономного РП оформляют акт с внесением данных по ранее наработанным параметрам крана на день оформления акта и указанием организации, выполнившей это обновление. Данный акт должны хранить вместе с паспортом крана. В паспорте РП указывают дату обновления и организацию, выполнившую это обновление. В случае невозможности внесения данных специализированной организацией оформляют акт, содержащий данные по ранее наработанным краном параметрам.
4.11 РП должен быть рассчитан на весь срок службы крана, на котором он установлен, но не менее чем на 10 лет.
5. Требования к конструкции
5.1 Требования к конструкции РП (с указанием конкретного перечня регистрируемых параметров и алгоритмов их обработки для кранов мостового типа, стреловых, башенных, портальных, железнодорожных и др.) определяют в ТЗ с учетом типов и особенностей конструкций грузоподъемных кранов и их ограничителей и указателей. ТЗ должно быть разработано предприятием - изготовителем крана или изготовителями (либо разработчиками) РП (при обязательном согласовании с изготовителями кранов).
5.2 РП должны проектировать и изготавливать как в виде отдельных устройств (автономных РП) или узлов, так и встроенных в ограничители и указатели кранов (встроенных РП). Для встроенных РП допускается использование элементов (индикаторов, процессоров и т.п.) ограничителей и указателей, в состав которых они входят. В качестве датчиков РП допускается использование датчиков ограничителей и указателей, установленных на кране (например, концевых выключателей).
5.3 РП, в том числе приборы считывания (ПРС), должны:
- по климатическому исполнению соответствовать климатическому исполнению крана (блоки, устанавливаемые в отапливаемой и (или) кондиционируемой кабине - группе УХЛ3.1 (либо ХЛ3.1, У3.1, ТУ3.1, М3.1, ОМ3.1, В3.1) по
ГОСТ 15150);
- по устойчивости к воздействию пыли и влаги соответствовать исполнению не ниже IP54 по
ГОСТ 14254;
- по виброустойчивости и ударопрочности соответствовать группе М4 по
ГОСТ 30631;
- обеспечивать устойчивость к воздействию электромагнитных полей, возникающих при работе крана;
- обеспечивать возможность установки и коррекции календарной даты и времени либо временных интервалов, позволяющих установить календарную дату и время;
- обеспечивать функцию автоматической самопроверки при подаче питания на РП, при отказе в работе РП крановщик (оператор крана) должен получить соответствующее предупреждение.
5.4 Диапазон температур хранения РП и ПРС, при условии хранения последних в кабине крана, должен соответствовать диапазону температур хранения крана. Все элементы РП и ПРС должны сохранять работоспособность при оседании на них атмосферных осадков, в том числе инея и росы.
5.5 Электрическое питание автономных РП на кранах с электроприводом (мостового типа, башенных, портальных) должно осуществляться от трехфазной сети переменного тока напряжением 230/400 В (+/- 10%) частотой 50 Гц по
ГОСТ 29322. На кранах с частотным приводом с программируемым логическим контроллером (ПЛК) РП может быть подключен к блоку питания ПЛК напряжением 24 В (+40/-20%) постоянного тока.
5.6 Автономные РП, устанавливаемые на грузоподъемные краны, с питанием от бортовой сети с постоянным напряжением 12 или 24 В должны быть защищены от кондуктивных помех по ГОСТ 28751. Электронные датчики и блоки РП должны выдерживать перенапряжения в бортовой сети в соответствии с ГОСТ 28751, в том числе подключение источника питания обратной полярности.
5.7 РП, выполненные в виде самостоятельных изделий, могут быть оборудованы автономными источниками питания.
5.8 Включение РП должно осуществляться автоматически при подаче питания в электрические цепи управления крана.
5.9 Металлические и неметаллические неорганические покрытия автономных РП должны соответствовать
ГОСТ 9.301 и условиям эксплуатации по группе 3
ГОСТ 15150. Лакокрасочные покрытия должны соответствовать IV классу по
ГОСТ 9.032, условиям эксплуатации У1 по
ГОСТ 9.104.
5.10 Автономные РП должны быть устойчивы к механическим воздействиям при их транспортировании. Способ упаковывания, подготовка к упаковыванию, транспортная тара и материалы, применяемые при упаковывании, порядок размещения ограничителей в таре должны соответствовать чертежам предприятия-изготовителя.
5.11 РП и программа обработки считываемой с него информации должны обеспечивать вычисление текущих значений характеристического числа, класса использования и группы классификации (режима) крана в целом и (при необходимости) его механизмов в соответствии с
[1], а также расчет значений текущих коэффициентов распределения нагрузки для крана и (при необходимости) механизмов за время эксплуатации по формулам:
Kр = Nt/Ct, Km = Nt,мех/tn.
5.12 В конструкции РП должна быть предусмотрена возможность считывания информации с помощью ПРС без вскрытия и демонтажа РП с использованием проводного или беспроводного интерфейсов передачи данных. Прибор считывания и программный модуль для вторичной обработки информации могут быть включены в комплект поставки РП.
5.13 РП должен обеспечивать подготовку первичной информации для алгоритмов вторичной обработки в компьютерных системах. Вывод информации на монитор ПЭВМ должен быть обеспечен в виде таблиц и (или) графиков, а также (в качестве опции) анимационных изображений. Алгоритмы, используемые при разработке программного обеспечения первичной и вторичной обработки РП, должны базироваться на научно обоснованных и прошедших необходимые проверки принципах. Примеры алгоритмов приведены в
приложениях А -
Д. Программное обеспечение должно предусматривать возможность распечатки документов (протоколов) результатов регистрации в форме, пример которой приведен в
приложении Е.
5.14 Электронные блоки РП должны быть защищены от несанкционированного доступа. Конструктивное исполнение РП должно исключать возможность искажения данных (перезаписи, удаления, дополнения). Места защиты и опломбирования РП должны быть указаны в эксплуатационных документах.
5.15 РП должны обеспечивать индикацию:
- наличия питания на РП;
- нахождения РП в режиме самопроверки;
- неисправности РП;
- готовности РП к работе.
При наличии в РП собственного информационного дисплея или связи РП с информационным дисплеем крана, на них может отображаться следующая дополнительная информация:
- нормативное характеристическое число крана;
- суммарное количество рабочих циклов крана;
- общее количество перегрузок;
- суммарное время работы механизмов (поворота, грузовой лебедки, изменения угла наклона стрелы, длины стрелы и пр.) крана;
- наработка крана в моточасах (функция счетчика моточасов);
- суммы масс поднятых грузов с момента установки РП на кран;
- суммы масс поднятых краном грузов за предыдущие рабочие сутки;
- суммы масс поднятых грузов с начала текущих суток;
- количества перегрузок в диапазоне 110 - 125%;
- количества перегрузок в диапазоне > 125%.
Требования к перечню отображаемых параметров для отдельных типов кранов приводятся в руководствах по эксплуатации и стандартах на данные краны и могут отличаться от приведенных выше.
Примечания - Информация, отображаемая на дисплее крана, не должна быть избыточной и создавать помехи крановщику (оператору крана) при управлении краном. Должна быть предусмотрена функция вызова на экран дополнительной информации.
5.16 При комплектовании РП из элементов и узлов, изготовленных несколькими предприятиями, за качество изготовления РП в целом, за соответствие его нормативным документам, а также за оформление эксплуатационных документов отвечает в установленном порядке предприятие, выпускающее РП в собранном виде.
5.17 Для проверки качества изготовления РП, соответствия его проекту, техническим условиям, настоящему стандарту и другим нормативным документам предприятие-изготовитель должно проводить предварительные (заводские), приемочные, периодические и приемо-сдаточные испытания. Приемо-сдаточные испытания встроенного РП, а также испытания для целей сертификации проводят в составе испытаний крана.
5.18 Каждый изготовленный автономный РП должен быть снабжен паспортом (формуляром) и руководством по эксплуатации, инструкциями по монтажу, наладке и ремонту, по считыванию и оформлению информации РП. Предприятие - изготовитель РП по заявкам специализированных организаций должно поставлять им инструкции по монтажу и наладке. Эксплуатационная документация на встроенные РП объединяется с соответствующей документацией устройства безопасности, в состав которого входит РП.
5.19 Руководство по эксплуатации РП должно быть разработано в соответствии с требованиями настоящего стандарта и
ГОСТ 2.601. В руководстве по эксплуатации наряду с другими требованиями должны быть указаны:
- периодичность и перечень работ по техническому обслуживанию РП;
- порядок проверки РП при технических обслуживаниях крана;
- порядок проверки РП в необходимых случаях, в том числе после ремонта РП, замены датчиков и др.;
- порядок считывания информации РП;
- другие указания по обслуживанию РП с учетом его конструктивного исполнения и взаимодействия с ограничителями и указателями крана.
5.20 Инструкция по монтажу и наладке РП должна содержать:
- порядок входного контроля РП;
- порядок установки и наладки РП;
- другие указания по монтажу и наладке РП, в том числе по оформлению документов, требования к техническому оснащению и квалификации персонала.
5.21 Руководство по ремонту РП должно содержать:
- порядок проверки поступающих в ремонт РП и указания по необходимому оборудованию и инструменту для ремонта РП;
- возможные неисправности и способы их устранения;
- оформление результатов ремонта с указанием гарантии ремонтного предприятия;
- другие указания по ремонту РП, в том числе требования к техническому оснащению и квалификации персонала.
5.22 Инструкция по считыванию и оформлению информации РП должна содержать:
- порядок подключения ПРС и считывания информации из РП;
- указания по обработке информации РП с применением компьютерных и программных технических средств;
- порядок оформления результатов обработки информации РП;
- другие указания по считыванию и оформлению результатов обработки информации РП, в том числе требования к квалификации персонала.
5.23 Указанные в
5.20 -
5.22 документы могут быть оформлены в виде разделов руководства по эксплуатации или в виде отдельных документов.
5.24 Каждый автономный РП должен иметь хорошо различимую четкую и нестираемую идентификационную надпись, содержащую:
- наименование изготовителя и (или) его товарный знак;
- наименование и (или) обозначение РП (тип, марка, модель (при наличии));
- месяц и год изготовления.
6.1 Монтаж и наладка РП должны выполняться в соответствии с инструкцией по монтажу и наладке РП, эксплуатационными документами крана.
6.2 Монтаж и наладка РП должны выполнять специалисты, прошедшие обучение по соответствующим программам и подтвердившие квалификацию в соответствии с требованиями изготовителей (разработчиков) РП, указанными в эксплуатационной документации РП, и нормативно-правовыми актами государств, упомянутых в предисловии, как проголосовавших за принятие данного межгосударственного стандарта.
6.3 Проверка правильности монтажа и работы РП должна быть осуществлена в соответствии с эксплуатационными документами крана и РП, инструкцией по монтажу и наладке РП, инструкцией по считыванию и оформлению информации РП. Результаты проверки оформляют протоколом и прикладывают к приемочным документам крана.
6.4 Документы, подтверждающие качество монтажа РП на кран, находящийся в эксплуатации, должны хранить с паспортом крана. Сведения о произведенном монтаже должны быть занесены в паспорт (формуляр) РП специализированной организацией, проводившей монтаж и наладку.
7.1 РП кранов должны эксплуатироваться в соответствии с требованиями настоящего стандарта, эксплуатационных документов кранов, РП и устройств безопасности (для встроенных РП).
7.2 Техническое обслуживание и ремонт РП должны проводиться согласно руководству по эксплуатации РП и руководству по ремонту РП.
7.3 Контроль исправности и проверка работы РП в составе крана должны производиться при каждом техническом освидетельствовании крана и периодически, в соответствии с указаниями завода-изготовителя РП, но не реже, чем через каждые 6 мес эксплуатации с оформлением протокола проверки, пример которого приведен в
приложении Е, и внесением результата в паспорт крана в раздел "Запись результатов технического освидетельствования".
7.4 В ходе проверки РП производят подъем и перемещение краном контрольных грузов с регистрацией РП не менее десяти циклов работы крана с грузами. При этом специалист, проводящий проверку РП, должен записать в документации по проверке (рабочем журнале): календарную дату и время (ч, мин, с) начала и окончания проверки; количество выполненных циклов работы крана; массы поднятых грузов; наработку крана или его механизмов и т.п. При необходимости с использованием измерительных средств должно быть проведено выборочное определение координат груза относительно крана. Перечень, выполняемых в процессе проверки РП, операций определяется конкретным типом и конфигурацией крана, на котором установлен РП.
7.5 В процессе проверки РП в документации по проверке (рабочем журнале) производят фиксирование срабатывания ограничителей (ограничителя грузоподъемности и др.), а также их блокирования, выполняют фиксирование других параметров, предусмотренных руководством по эксплуатации.
7.6 Фактические данные сравниваются с результатами обработки материалов считывания.
7.7 Если при проверке установлены отклонения регистрируемых в РП данных от фактических более 3%, то производят настройку устройства и делают соответствующую отметку в его паспорте. В случае неисправности РП производят его ремонт или замену с последующей проверкой и оформлением протокола.
Примечание - До проведения настройки или ремонта встроенного РП должна быть проведена проверка устройства безопасности (ограничителя, указателя), частью которого является РП.
7.8 Корректировку регистрируемых в РП даты и времени, а также устранение других отклонений от нормальной работы и неисправностей РП выполняют согласно эксплуатационным документам РП.
7.9 Эксплуатирующие организации должны организовать считывание данных регистратора параметров не реже сроков, указанных в руководстве по эксплуатации РП, и обработку (расшифровку) этих данных с оформлением протокола, выявлять нарушения правил эксплуатации кранов с внесением результата в паспорт крана в раздел "Запись результатов технического освидетельствования".
7.10 При отсутствии в эксплуатационных документах регистраторов указаний о сроках считывания данных, необходимо выполнять такие операции при каждом техническом освидетельствовании крана, но не реже одного раза в 6 мес.
7.11 При авариях крана считывание и оформление информации РП должна осуществлять специализированная организация по решению комиссии по расследованию причины аварии.
7.12 Неисправности и другие дефекты РП, выявленные в процессе эксплуатации, необходимо отражать в журналах ремонта крана и ремонта ограничителей, указателей, регистраторов.
7.13 Внеочередную проверку РП должны проводить после его ремонта либо замены или ремонта датчиков, а также в других случаях, предусмотренных эксплуатационными документами.
7.14 В эксплуатационных документах РП должны быть инструкции по их защите при выполнении на кране дуговой сварки.
8.1 Монтаж, техническое обслуживание и ремонт РП, а также считывание информации из РП и оформление протокола проверки РП должны проводить специалисты (наладчики РП), обученные и подтвердившие квалификацию в соответствии с требованиями изготовителей (разработчиков) РП, изложенными в эксплуатационных документах РП и нормативно-правовыми актами государств, упомянутых в предисловии, как проголосовавших за принятие данного межгосударственного стандарта. Крановщики (операторы крана) могут проводить ежесменное техническое обслуживание РП.
8.2 В эксплуатационных документах каждого РП должны быть сведения, в том числе специальные ограничения и требования, достаточные для разработки соответствующих инструкций по обучению наладчиков РП, крановщиков (операторов крана), а также другого обслуживающего персонала.
(обязательное)
ЧИСЛО ДОПУСТИМЫХ РАБОЧИХ ЦИКЛОВ КРАНА
В ЗАВИСИМОСТИ ОТ МАССЫ ГРУЗА
Таблица А.1
Группа режима/характеристическое число Nн | Число допустимых рабочих циклов при средней относительной массе поднимаемого груза Pi/Pmax |
0,5 (kр = 0,125) | 0,63 (kр = 0,25) | 0,793 (kр = 0,5) | 1,00 (kр = 1) |
А1/8000 | 64 000 | 32 000 | 16 000 | 8 000 |
А2/16 000 | 128 000 | 64 000 | 32 000 | 16 000 |
А3/32 000 | 256 000 | 128 000 | 64 000 | 32 000 |
А4/63 000 | 504 000 | 256 000 | 128 000 | 64 000 |
А5/125 000 | 1 000 000 | 504 000 | 256 000 | 128 000 |
А6/250 000 | 2 000 000 | 1 000 000 | 504 000 | 256 000 |
А7/500 000 | 4 000 000 | 2 000 000 | 1 000 000 | 504 000 |
А8/1 000 000 | 8 000 000 | 4 000 000 | 2 000 000 | 1 000 000 |
(рекомендуемое)
ОЦЕНКА ПРОЕКТНОГО РАБОЧЕГО ПЕРИОДА ДЛЯ КРАНА
Для нахождения текущего характеристического числа следует накапливать сумму всех безразмерных значений

, постоянно сравнивая эту сумму со значением
Nн, до тех пор, пока она не станет равной нормативному характеристическому числу
Nн, выбранному для данного крана в соответствии с таблицей Б.1.
Таблица Б.1
Группа классификации (режима) | Nн |
А1 | 8000 |
А2 | 16000 |
А3 | 32000 |
А4 | 63000 |
А5 | 125000 |
А6 | 250000 |
А7 | 500000 |
А8 | 1000000 |
Проектный рабочий период крана будет выработан, когда текущее значение характеристического числа
Nt для крана окажется равным нормативному характеристическому числу
Nн для данной группы классификации (режима) согласно
[1]. Физический смысл величины состоит в том, что она характеризует выработку ресурса крана за один рабочий цикл
(рекомендуемое)
ОЦЕНКА ПРОЕКТНОГО РАБОЧЕГО ПЕРИОДА ДЛЯ МЕХАНИЗМОВ
Проектный рабочий период (нормативный ресурс) механизма крана будет исчерпан, когда наступит момент равенства нормативного характеристического числа механизма крана его текущему значению
Nн.мех =
Nt,мех, где значения нормативных характеристических чисел
Nн.мех для механизмов различных групп классификации (режима) по
[1] представлены в таблице В.1.
Таблица В.1
Группа классификации (режима) | Nн.мех, ч |
М1 | 100 |
М2 | 200 |
М3 | 400 |
М4 | 800 |
М5 | 1600 |
М6 | 3200 |
М7 | 6300 |
М8 | 12500 |
(рекомендуемое)
ПРИМЕР МЕТОДИКИ ОПРЕДЕЛЕНИЯ СУММАРНОГО ЗНАЧЕНИЯ
ХАРАКТЕРИСТИЧЕСКОГО ЧИСЛА ДЛЯ СТРЕЛОВЫХ САМОХОДНЫХ КРАНОВ,
НАХОДЯЩИХСЯ РАНЕЕ В ЭКСПЛУАТАЦИИ БЕЗ РП
Для оценки характеристического числа, соответствующего времени работы крана без РП, может быть выдвинуто достаточно общее предположение о том, что эксплуатация крана представляет собой случайный, стационарный в широком смысле, эргодический процесс и известно календарное время работы крана до установки РП. Предположение о стационарности в широком смысле процесса эксплуатации крана позволяет считать теоретически все статистики этого процесса независящими от времени постоянными величинами. Сделанное предположение позволяет также считать, что процессы эксплуатации крана до установки РП и после его установки не изменяются. Кроме того, предположение об эргодичности процесса позволяет определять все свойства процесса по одному его отрезку достаточной продолжительности.
В данном случае может быть применим метод последовательных приближений. В качестве первого приближения принимают значение характеристического числа

, определенное по величине характеристического числа

, зафиксированной в первый месяц эксплуатации крана после установки РП по формуле

(Г.1)
где 12 - число месяцев в году;
T- - известное календарное время работы крана до установки РП, в годах.
Второе приближение характеристического числа

определяют по значению характеристического числа

, зафиксированному в первые 2 мес эксплуатации крана после установки РП, по формуле

(Г.2)
Затем определяют расхождение в процентах между

и

по формуле

(Г.3)
Если это расхождение не превышает допустимое значение, в частности 5%, то дальнейшие вычисления можно не проводить. Если это условие не соблюдено, необходимо измерения продолжить до тех пор, пока расхождение между предыдущим и последующим приближениями не станет равным или менее 5%.
Значение характеристического числа за срок эксплуатации крана с момента пуска определяют как сумму характеристических чисел до N- и после N+ установки РП на грузоподъемный кран
N = N+ + N-. (Г.4)
Допускается при отсутствии на кране, ранее находящемся в эксплуатации, регистратора параметров работы, наработку крана до установки РП определять по формуле
N- = C x [QСР/Qмакс]3, (Г.5)
где QСР - среднее значение массы поднимаемого груза;
Qмакс - номинальная грузоподъемность.
Число рабочих циклов C, выполненных от начала эксплуатации, следует определять исходя из календарного срока службы крана по формуле
C = knT, (Г.6)
где n - число циклов, выполняемых за смену;
T - общее число смен, выработанных краном от начала эксплуатации;
k - коэффициент запаса.
Значения n и T определяют на основании записей в журнале регистрации работ, нарядов и других отчетных документов. При отсутствии документированных сведений о работе крана принимают: n = 10, если нет оснований для другой экспертной оценки; T = 300·М, где М - число лет эксплуатации крана.
Значение k принимают равным:
- при наличии документированных сведений о работе крана k = 1,5;
- при отсутствии документированных сведений о работе крана k = 2,0.
Значение массы поднимаемого груза при расчете N- определяют на основании записей в журнале регистрации работ, нарядов и других отчетных документов. При отсутствии документированных данных по статистике поднятых грузов, если нет оснований для другой экспертной оценки, среднее значение массы поднимаемого груза следует принимать в зависимости от характера работ, выполняемых краном, по таблице Г.4.1.
Таблица Г.4.1
Среднее значение массы поднимаемого груза
Характер работ, выполняемых краном | Среднее значение массы поднимаемого груза QСР |
Регулярный, на перегрузочных работах | 0,5Qмакс |
Нерегулярный, на разных работах | 0,4Qмакс |
Вспомогательный, на обслуживании оборудования | 0,3Qмакс |
Пример - определить наработку стрелового крана группы режима работы А1, грузоподъемностью Qмакс = 100m за 10 лет при неустановленном регистраторе работы крана и отсутствии документированных сведений о работе крана, используемого регулярно на перегрузочных работах.
C = knT = 2·10·300М = 6000·10; (М = 10)
QСР = 0,5Qмакс;
N- = C(QСР/Qмакс)3 = C·(0,5)3 = 60000·(0,5)3 = 7500.
(рекомендуемое)
МЕТОДИКА ОПРЕДЕЛЕНИЯ МОМЕНТОВ ВРЕМЕНИ
ПРОВЕДЕНИЯ РЕГЛАМЕНТНЫХ РАБОТ
Получаемые значения наработки крана целесообразно использовать для определения моментов времени проведения регламентных работ (технических обслуживаний, освидетельствований, ППР, экспертных обследований и т.п.), с целью обеспечения безопасной эксплуатации грузоподъемных кранов.
Допустим, что при календарной оценке наработки кран должен останавливаться для проведения технического обслуживания (ТО1) один раз в квартал. Тогда, при календарном сроке службы крана, равном 10 годам, и принятом допущении, ТО1 должно быть проведено 40 раз. При оценке наработки крана с помощью текущего значения характеристического числа Nt останавливать кран для проведения ТО1, очевидно, придется каждый раз, когда текущее значение характеристического числа станет равным или кратным Nн/40. Аналогично определяют все другие значения Nt для проведения операций по техническому контролю и обслуживанию.
На рисунке Д.1 показаны два отрезка прямых, из которых верхний соответствует нормативному характеристическому числу, а нижний - текущему характеристическому числу. Крестиками обозначены условия, при которых выполняют операции технического контроля и обслуживания крана.
Рисунок Д.1 - Определение условий, при которых выполняют
операции технического контроля и обслуживания кранов
На рисунке Д.2 показана кривая изменения значения характеристического числа Nt в функции времени t.
Рисунок Д.2 - Функциональная зависимость Nt(t)
Как и на
рисунке Д.1, по оси ординат на рисунке Д.2 отложены равные отрезки
Nti, соответствующие условиям, при которых выполняют операции контроля и технического обслуживания крана. Несмотря на равенство отрезков
Nti, отрезки времени
ti в общем случае не равны между собой. Это свидетельствует о том, что планирование технического обслуживания по времени и по текущим значениям характеристического числа не эквивалентны. Поскольку планирование по характеристическому числу учитывает реальную наработку крана, его следует считать более адекватным практическому использованию крана.
(рекомендуемое)
ПРИМЕРЫ ИНФОРМАЦИОННЫХ КАРТ
Информационная карта стрелового крана ________ (тип, марка)
по данным регистратора параметров _________________
на "___" _______ 20___ г., "___" ч "___" мин
1. Информация о кране и регистраторе параметров
Марка крана: __________________________________________________________
Заводской номер крана: ________________________________________________
Изготовитель крана: ___________________________________________________
Владелец крана: _______________________________________________________
Регистрационный номер крана: __________________________________________
Год изготовления: _____________________________________________________
Группа классификации крана в целом: ___________________________________
Нормативное характеристическое число: _________________________________
Регистратор параметров (РП): ___________ версия программы _____________
Изготовитель РП: ______________________________________________________
Заводской номер РП: ___________________________________________________
Дата установки РП на кран: ____________________________________________
2. Оценка наработки и режима работы крана в целом по
ГОСТ 25546
Текущий класс использования крана _____________________________________
Текущий режим нагружения крана ________________________________________
Текущий коэффициент распределения нагрузок ____________________________
Текущая группа классификации крана в целом ____________________________
Общая наработка крана в моточасах _____________________________________
Общая масса грузов, поднятых за время эксплуатации ____________________
Текущее характеристическое число ______________________________________
3. Оценка наработки отдельных механизмов крана
Наработка механизмов грузовой лебедки _________________________________
Наработка механизмов изменения угла наклона стрелы ____________________
Наработка механизмов изменения длины стрелы ___________________________
Наработка механизмов поворота _________________________________________
4. Сведения о наладчике РП
Ф.И.О. ________________________________________________________________
Место работы __________________________________________________________
Номер удостоверения _________________ действительно по ________________
Подпись _______________________________________________________________
Представитель организации
по считыванию и оформлению информации ___________________ (Ф.И.О., подпись)
М.П.
Информационная карта башенного крана _________ (тип, марка)
по данным регистратора параметров _________________
на "___" _______ 20___ г., "___" ч "___" мин
1. Информация о кране и регистраторе параметров
Марка крана: __________________________________________________________
Заводской номер крана: ________________________________________________
Изготовитель крана: ___________________________________________________
Владелец крана: _______________________________________________________
Регистрационный номер крана: __________________________________________
Год изготовления: _____________________________________________________
Группа классификации крана в целом ____________________________________
Нормативное характеристическое число __________________________________
Регистратор параметров (РП): ___________ версия программы _____________
Изготовитель РП: ______________________________________________________
Заводской номер РП: ___________________________________________________
Дата установки РП на кран: ____________________________________________
Дата изменения параметров крана: ______________________________________
2. Оценка наработки и режима работы крана в целом по
ГОСТ 25546
Текущий класс использования крана _____________________________________
Текущий режим нагружения крана ________________________________________
Текущий коэффициент распределения нагрузок ____________________________
Текущая группа классификации крана в целом ____________________________
Общая наработка крана в моточасах _____________________________________
Общая масса грузов, поднятых за время эксплуатации ____________________
Текущее характеристическое число ______________________________________
3. Оценка наработки отдельных механизмов крана
Наработка механизмов грузовой лебедки (суммарная) _____________________
Наработка механизмов грузовой лебедки (нагруженная) __________________
Наработка механизмов изменения вылета _________________________________
Наработка механизмов передвижения _____________________________________
Наработка механизмов поворота _________________________________________
4. Сведения о наладчике РП
Ф.И.О. ________________________________________________________________
Место работы __________________________________________________________
Номер удостоверения _________________ действительно по ________________
Подпись _______________________________________________________________
Представитель организации
по считыванию и оформлению информации ___________________ (Ф.И.О., подпись)
М.П.
Информационная карта крана мостового
типа ________ (марка, обозначение)
по данным регистратора параметров _________________
на "___" _______ 20___ г., "___" ч "___" мин
1. Информация о кране и регистраторе параметров
Владелец крана: _______________________________________________________
Регистрационный номер крана: __________________________________________
Дата ввода крана в эксплуатацию: ______________________________________
Год окончания срока службы: ___________________________________________
Группа классификации крана в целом ____________________________________
Нормативное характеристическое число __________________________________
Регистратор параметров (РП): ______________ версия программы __________
Изготовитель РП: ______________________________________________________
Заводской номер РП: ___________________________________________________
Дата установки РП на кран _____________________________________________
2. Оценка наработки и режима работы крана в целом по
ГОСТ 25546
Текущий класс использования крана _____________________________________
Текущий режим нагружения крана ________________________________________
Текущий коэффициент распределения нагрузок ____________________________
Текущая группа классификации крана в целом ____________________________
Общая наработка крана в моточасах _____________________________________
3. Оценка наработки отдельных механизмов крана
Наработка электродвигателя передвижения тележки в моточасах ___________
Наработка электродвигателя передвижения крана в моточасах _____________
4. Сведения о наладчике РП
Ф.И.О. ________________________________________________________________
Место работы __________________________________________________________
Номер удостоверения _________________ действительно по ________________
Подпись _______________________________________________________________
Представитель организации
по считыванию и оформлению информации ___________________ (Ф.И.О., подпись)
М.П.
| ISO 4301-1:1986 | Cranes and lifting appliances; Classification; Part 1: General Краны и подъемные устройства. Классификация. Часть 1. Общие положения |