Главная // Актуальные документы // ГОСТ (Государственный стандарт)СПРАВКА
Источник публикации
М.: ФГБУ "РСТ", 2022
Примечание к документу
Документ
введен в действие с 01.03.2023.
Название документа
"ГОСТ 33169-2022. Межгосударственный стандарт. Краны грузоподъемные. Металлические конструкции. Подтверждение несущей способности"
(введен в действие Приказом Росстандарта от 22.09.2022 N 979-ст)
"ГОСТ 33169-2022. Межгосударственный стандарт. Краны грузоподъемные. Металлические конструкции. Подтверждение несущей способности"
(введен в действие Приказом Росстандарта от 22.09.2022 N 979-ст)
Приказом Федерального
агентства по техническому
регулированию и метрологии
от 22 сентября 2022 г. N 979-ст
МЕЖГОСУДАРСТВЕННЫЙ СТАНДАРТ
КРАНЫ ГРУЗОПОДЪЕМНЫЕ
МЕТАЛЛИЧЕСКИЕ КОНСТРУКЦИИ.
ПОДТВЕРЖДЕНИЕ НЕСУЩЕЙ СПОСОБНОСТИ
Cranes. Metal structures. Proof of competence
(ISO 20332:2016, NEQ)
ГОСТ 33169-2022
Дата введения
1 марта 2023 года
Цели, основные принципы и общие правила проведения работ по межгосударственной стандартизации установлены
ГОСТ 1.0 "Межгосударственная система стандартизации. Основные положения" и
ГОСТ 1.2 "Межгосударственная система стандартизации. Стандарты межгосударственные, правила и рекомендации по межгосударственной стандартизации. Правила разработки, принятия, обновления и отмены"
1 РАЗРАБОТАН Акционерным обществом "РАТТЕ" (АО "РАТТЕ")
2 ВНЕСЕН Федеральным агентством по техническому регулированию и метрологии
3 ПРИНЯТ Межгосударственным советом по стандартизации, метрологии и сертификации (протокол от 31 августа 2022 г. N 153-П)
За принятие проголосовали:
Краткое наименование страны по МК (ИСО 3166) 004-97 | Код страны по МК (ИСО 3166) 004-97 | Сокращенное наименование национального органа по стандартизации |
Армения | AM | ЗАО "Национальный орган по стандартизации и метрологии" Республики Армения |
Беларусь | BY | Госстандарт Республики Беларусь |
Киргизия | KG | Кыргызстандарт |
Россия | RU | Росстандарт |
Узбекистан | UZ | Узстандарт |
4 Приказом Федерального агентства по техническому регулированию и метрологии от 22 сентября 2022 г. N 979-ст межгосударственный стандарт ГОСТ 33169-2022 введен в действие в качестве национального стандарта Российской Федерации с 1 марта 2023 г.
5 Настоящий стандарт разработан с учетом основных нормативных положений международного стандарта ISO 20332:2016 "Краны. Подтверждение несущей способности металлоконструкций" ("Cranes - Proof of competence of steel structures", NEQ).
Информация о введении в действие (прекращении действия) настоящего стандарта и изменений к нему на территории указанных выше государств публикуется в указателях национальных стандартов, издаваемых в этих государствах, а также в сети Интернет на сайтах соответствующих национальных органов по стандартизации.
В случае пересмотра, изменения или отмены настоящего стандарта соответствующая информация будет опубликована на официальном интернет-сайте Межгосударственного совета по стандартизации, метрологии и сертификации в каталоге "Межгосударственные стандарты"
Целью разработки стандарта является совершенствование и унификация методов подтверждения работоспособности металлических конструкций кранов с учетом условий их эксплуатации. Стандарт базируется на принципах и методах международного стандарта ISO 20332:2016 "Краны. Подтверждение несущей способности металлоконструкций" ("Cranes - Proof of competence of steel structures"), а также отдельных положениях европейского стандарта EN 13001-3-1:2012 "Безопасность грузоподъемного крана. Общие требования к проектированию. Часть 3-1. Предельное состояние и подтверждение соответствия стальных конструкций" ("Cranes - General design - Part 3-1: Limit states and proof competence of steel structure") и FEM 1.001 (10.1998) "Правила проектирования подъемных устройств" ("Rules for the design of hoisting appliances"). При разработке проекта учтен опыт отечественного краностроения и действующие нормативные документы Российской Федерации.
Данный стандарт применяется совместно с межгосударственными стандартами серии ГОСТ 32579 "Краны грузоподъемные. Принципы формирования расчетных нагрузок и комбинаций нагрузок" (части 1 - 5).
Настоящий стандарт устанавливает общие условия, требования, методы и значения параметров, необходимые для подтверждения работоспособности металлических конструкций грузоподъемных кранов.
Настоящий стандарт распространяется на металлические конструкции грузоподъемных кранов всех типов и может быть использован при проектировании других подъемно-транспортных машин. Расчетные методы подтверждения работоспособности, представленные в настоящем стандарте, применимы для конструкций, температура которых в процессе эксплуатации не превышает 200 °C. Специальные вопросы подтверждения работоспособности металлических конструкций кранов отдельных типов или эксплуатируемых в особых условиях в настоящем стандарте не рассматриваются.
В настоящем стандарте использованы нормативные ссылки на следующие межгосударственные стандарты:
ГОСТ 2.106 Единая система конструкторской документации. Текстовые документы
ГОСТ 7805 Болты с шестигранной головкой класса точности А. Конструкция и размеры
ГОСТ 15150 Машины, приборы и другие технические изделия. Исполнения для различных климатических районов. Категории, условия эксплуатации, хранения и транспортирования в части воздействия климатических факторов внешней среды
ГОСТ 24705 (ИСО 724:1993) Основные нормы взаимозаменяемости. Резьба метрическая. Основные размеры
ГОСТ 25346 (ISO 286-1:2010) Основные нормы взаимозаменяемости. Характеристики изделий геометрические. Система допусков на линейные размеры. Основные положения, допуски, отклонения и посадки
ГОСТ 28870 Сталь. Методы испытания на растяжение толстолистового проката в направлении толщины
ГОСТ 32578 Краны грузоподъемные. Металлические конструкции. Требования к материалам
ГОСТ 32579.1-2013 Краны грузоподъемные. Принципы формирования расчетных нагрузок и комбинаций нагрузок. Часть 1. Общие положения
ГОСТ 32579.2 Краны грузоподъемные. Принципы формирования расчетных нагрузок и комбинаций нагрузок. Часть 2. Краны стреловые самоходные
ГОСТ 32579.3 Краны грузоподъемные. Принципы формирования расчетных нагрузок и комбинаций нагрузок. Часть 3. Краны башенные
ГОСТ 32579.4 Краны грузоподъемные. Принципы формирования расчетных нагрузок и комбинаций нагрузок. Часть 4. Краны стреловые
ГОСТ 32579.5 Краны грузоподъемные. Принципы формирования расчетных нагрузок и комбинаций нагрузок. Часть 5. Краны мостового типа
ГОСТ 34017 Краны грузоподъемные. Классификация режимов работы
Примечание - При пользовании настоящим стандартом целесообразно проверить действие ссылочных стандартов и классификаторов на официальном интернет-сайте Межгосударственного совета по стандартизации, метрологии и сертификации (www.easc.by) или по указателям национальных стандартов, издаваемым в государствах, указанных в предисловии, или на официальных сайтах соответствующих национальных органов по стандартизации. Если на документ дана недатированная ссылка, то следует использовать документ, действующий на текущий момент, с учетом всех внесенных в него изменений. Если заменен ссылочный документ, на который дана датированная ссылка, то следует использовать указанную версию этого документа. Если после принятия настоящего стандарта в ссылочный документ, на который дана датированная ссылка, внесено изменение, затрагивающее положение, на которое дана ссылка, то это положение применяется без учета данного изменения. Если ссылочный документ отменен без замены, то положение, в котором дана ссылка на него, применяется в части, не затрагивающей эту ссылку.
В настоящем стандарте применены термины по
ГОСТ 32579.1, а также следующие термины с соответствующими определениями:
3.1 работоспособность: Способность конструкции воспринимать нагрузки, предусмотренные проектом, без нарушения прочности, упругой устойчивости и сопротивления усталости.
3.2 условие работоспособности: Условие, записанное в форме неравенства, устанавливающего соотношения между расчетными и предельными напряжениями или силами, выполнение которого с высокой вероятностью гарантирует обеспечение работоспособности конструкции по одному из критериев.
3.3 упругая устойчивость: Способность конструкции под действием нагрузок, предусмотренных проектом, сохранять первоначальную форму равновесного деформированного состояния и упруго восстанавливать ее после малых отклонений.
3.4 сопротивление усталости: Способность конструкции выдержать заданное количество циклов нагружения с определенными параметрами без возникновения усталостных трещин.
3.5 предельная сила: Максимальное значение силы, действующей на элемент конструкции, при котором обеспечено выполнение одного из условий работоспособности.
3.6 предельное напряжение: Максимальное значение напряжения в элементе конструкции, при котором обеспечено выполнение одного из условий работоспособности.
3.7 долговечность: Количество циклов (или блоков) нагружения с определенными параметрами, которое выдерживает конструкция или ее узел без возникновения усталостных трещин.
3.8 расчетная сила: Значение силы, действующей на элемент конструкции, вычисленное по определенной комбинации нагрузок в соответствии с правилами расчета по методу предельных состояний или допускаемых напряжений.
3.9 расчетное напряжение: Максимальное по абсолютной величине значение напряжения в элементе конструкции, вычисленное по определенной комбинации нагрузок в соответствии с правилами расчета по методу предельных состояний или допускаемых напряжений.
3.10 срезное болтовое соединение: Болтовое соединение, в котором эксплуатационные нагрузки действуют перпендикулярно оси болта и передаются между соединяемыми деталями за счет контакта стержня болта с поверхностью отверстия.
3.11 фрикционное болтовое соединение: Болтовое соединение, в котором эксплуатационные нагрузки действуют перпендикулярно оси болта и передаются между соединяемыми деталями за счет сил трения, создаваемых в результате предварительной (монтажной) затяжки болтов.
В настоящем стандарте применены следующие обозначения:
Abs - площадь поперечного сечения стержня болта в плоскости сдвига;
Ab - минимальная площадь сечения болта по резьбе;
Ao - площадь сечения оси шарнирного соединения;
As - площадь среза проушины;
AБ - расчетная площадь сечения проушины;
CT - расчетное количество циклов работы крана за срок службы;
cz - приведенная ширина зоны распределения местной нагрузки;
d - размер пластины;
d0 - диаметр отверстия под болт;
ds - диаметр стержня болта на участке без резьбы;
FbpДН - предельная сдвигающая нагрузка на болт по условию смятия поверхности, вычисленная по методу допускаемых напряжений;
FbhПБ - предельное значение силы трения, создаваемой болтом между соединяемыми поверхностями, вычисленное по методу предельных состояний;
FbhДН - предельное значение силы трения, создаваемой болтом между соединяемыми поверхностями, вычисленное по методу допускаемых напряжений;
FbpПБ - предельная сдвигающая нагрузка на болт по условию смятия поверхности, вычисленная по методу предельных состояний;
FbsДН - предельная сдвигающая сила на болт по условию прочности на срез, вычисленная по методу допускаемых напряжений;
FbsПБ - предельная сдвигающая сила на болт по условию прочности на срез, вычисленная по методу предельных состояний;
FbtДН - предельное значение силы растяжения болта от внешней нагрузки, вычисленное по методу допускаемых напряжений;
FbtПС - предельное значение силы растяжения болта от внешней нагрузки, вычисленное по методу предельных состояний;
Jr - момент инерции сечения продольного ребра;
Jrp - момент инерции сечения поперечного ребра;
hw - расчетная высота сварного шва;
k - катет сварного шва;

- коэффициент концентрации напряжений;

- коэффициент приведения предела выносливости к расчетному количеству циклов при расчете по нормальным напряжениям;

- коэффициент приведения предела выносливости к расчетному количеству циклов при расчете по касательным напряжениям;
ks - коэффициент устойчивости пластины в условиях одноосного напряженного состояния;
ksz - коэффициент устойчивости пластины в условиях местного поперечного нагружения;

- коэффициент устойчивости пластины при чистом сдвиге;
Iwi - длина i-го участка углового сварного шва;
L - расчетная длина стержня;
Le - эффективная длина стержня;
m - показатель наклона усталостной кривой;
Ni - количество циклов до возникновения трещины при стационарном нагружении с размахом напряжений

;
nf - коэффициент запаса прочности;
ns - число поверхностей среза в болтовом соединении;
My, Mz - изгибающие моменты, приложенные к расчетному узлу;
Px, Py, Pz - силы, приложенные к расчетному узлу;
PbПС - расчетная сдвигающая сила, приходящаяся на один болт, вычисленная по методу предельных состояний;
PbДН - расчетная сдвигающая сила, приходящаяся на один болт, вычисленная по методу допускаемых напряжений;
R - коэффициент асимметрии цикла;

- расчетное сопротивление;

- расчетное сопротивление для сварного соединения стыковым швом;

- расчетное сопротивление для сварного соединения угловыми швами;
S0 - сила предварительной затяжки болта;
t - толщина элемента конструкции;
td - толщина диафрагмы;
tf - толщина пояса балки;
tw - толщина стенки балки;

- наименьшая суммарная толщина листов в болтовом соединении, сдвигаемых в одном направлении;
vyk и vzi - количество болтов в k-м (отсчитываемом вдоль оси y) и i-м (отсчитываемом вдоль оси z) ряду;
U - количество болтов в соединении;
Yi и Zj - координаты расположения болтов;
YK и Zl - координаты расположения болта, наиболее удаленного от оси раскрытия фланцев;
zi - количество циклов нагружения с размахом напряжений

;

- радиус инерции сечения стержня;

- коэффициент надежности по материалу;

- коэффициент условий работы;

- коэффициент ответственности, принимаемый по
таблице 10 ГОСТ 32579.1-2013;

- коэффициент надежности, принимаемый по
таблице 4 ГОСТ 32579.1-2013;

- коэффициент снижения допускаемых (предельных) напряжений при расчете на устойчивость;

- гибкость стержня;

- условная гибкость стержня;

- допустимая гибкость стержня;

- коэффициент, учитывающий условия закрепления стержня;

- коэффициент трения;

- коэффициент влияния пластичности;

- коэффициент защемления, учитывающий условия закрепления пластины по кромкам;

- параметр распределения нормальных напряжений по сечению пластины;

- коэффициент условий работы, учитывающий дополнительные особенности, конкретизируемые при расчетах отдельных элементов конструкций;

- параметр распределения нормальных напряжений по сечению панели пластины;

- допускаемое напряжение;

- допускаемое напряжение для сварного соединения;

- нормативное значение предела текучести материала;

- нормативное значение временного сопротивления металла сварного шва;

- нормативное значение предела текучести материала болта;

- минимальное нормативное значение временного сопротивления материала болта;

- критическое напряжение для пластины, загруженной только продольным нормальным напряжением;

- критическое напряжение для
i-й панели пластины, загруженной только продольным нормальным напряжением;

- критическое напряжение для пластины, загруженной только поперечным нормальным напряжением

;

- критическое напряжение пластины из абсолютно упругого материала в условиях одноосного напряженного состояния;

- критическое напряжение пластины из абсолютно упругого материала в условиях местного поперечного нагружения;

- нормальное продольное напряжение в элементе конструкции;

- нормальное поперечное напряжение, например, в зоне местного нагружения;

- максимальное эквивалентное нормальное напряжение в элементе конструкции, вычисленное по методу предельных состояний;

- максимальное эквивалентное нормальное напряжение в элементе конструкции, вычисленное по методу допускаемых напряжений;

- максимальное эквивалентное нормальное напряжение в сварном соединении, вычисленное по методу предельных состояний;

- максимальное эквивалентное нормальное напряжение в сварном соединении, вычисленное по методу допускаемых напряжений;

- расчетный размах нормальных напряжений;

- расчетный предел выносливости по размаху нормальных напряжений, определенный на базе
N0 = 2·10
6;

- нормативный предел выносливости по размаху нормальных напряжений, определенный на базе
N0 = 2·10
6;

- расчетный предел выносливости по размаху касательных напряжений, определенный на базе
N0 = 2·10
6;

- нормативный предел выносливости по размаху касательных напряжений, определенный на базе
N0 = 2·10
6;

,

- касательное напряжение;

- критическое напряжение пластины при чистом сдвиге;

- критическое напряжение пластины из абсолютно упругого материала при чистом сдвиге;

- допускаемое касательное напряжение для сварного соединения;

- максимальное эквивалентное касательное напряжение в сварном соединении, вычисленное по методу предельных состояний;

- максимальное эквивалентное касательное напряжение в сварном соединении, вычисленное по методу допускаемых напряжений;

- расчетный размах касательных напряжений;

- расчетный предел выносливости по размаху касательных напряжений на базе
NR = 2·10
6.
Примечание - Индексы ПС и ДН означают, что данную величину вычисляют, соответственно, по методу предельных состояний или по методу допускаемых напряжений.
5.1.1 Подтверждение работоспособности выполняют для узлов, элементов и деталей, отказ которых может нарушить функционирование крана или создать опасность для людей или окружающей среды. Подтверждение работоспособности конструкции включает:
а) расчетное подтверждение работоспособности элементов и узлов конструкции с использованием методов, представленных в настоящем стандарте;
б) выполнение следующих конструктивных требований:
- поверхности элементов металлической конструкции, болтовых и шарнирных соединений защищены от коррозионного повреждения с учетом уровня агрессивности среды;
- соответствие качества изготовления конструкции установленным требованиям подтверждено результатами контроля;
- если температура конструкции в процессе эксплуатации превышает 100 °C, то в расчетах должно быть учтено изменение механических характеристик стали и, при необходимости, влияние местных тепловых воздействий на напряженно-деформированное состояние элементов конструкции.
Примечание - При использовании положений данного стандарта для подтверждения работоспособности конструкции, бывшей в эксплуатации и отремонтированной с применением сварки, в расчетах должны быть учтены влияние изменения механических свойств металла и, при необходимости, наличие дефектов или повреждений.
5.1.2 Расчетное подтверждение работоспособности элементов и соединений конструкции в общем случае включает:
- подтверждение прочности в соответствии с
разделом 6;
- подтверждение упругой устойчивости в соответствии с
разделом 7;
- подтверждение сопротивления усталости в соответствии с
разделом 8.
Для каждого элемента конструкции выполняют только те расчеты, которые необходимы для подтверждения его работоспособности с учетом условий эксплуатации конструкции и условий нагружения данного элемента.
Представленные в настоящем стандарте методики базируются на следующих положениях:
- расчетные напряжения в элементах конструкции вычисляют от действия внешних нагрузок по проектным размерам в предположении абсолютно упругой работы материала без учета концентрации напряжений, допусков на изготовление, остаточных напряжений и сварочных деформаций;
- расчетные напряжения в стержневых и балочных элементах конструкции вычисляют как номинальные, то есть с использованием технической теории изгиба стержней;
- при расчете узлов, подвергаемых местному нагружению (в области локального приложения нагрузки), учитывают максимальные местные напряжения;
- в случаях, когда перемещения (прогибы) конструкций приводят к существенному (более 10%) увеличению изгибающих моментов (как, например, в сжато-изогнутых элементах) вычисление внутренних усилий в элементах конструкций следует в соответствии с
7.3.
5.1.3 Для подтверждения работоспособности конструкций кроме методов, представленных в данном стандарте, могут быть использованы иные методы, адекватность которых должна быть подтверждена опытом применения, испытаниями или сопоставлением с известными нормативными подходами. Применение альтернативных методов должно обеспечивать надежность конструкции в условиях эксплуатации, соответствующих техническим требованиям заказчика.
Для анализа напряженно-деформированного состояния конструкции допускается применять метод конечных элементов.
5.2 Методы подтверждения работоспособности
5.2.1 Подтверждение работоспособности конструкции выполняют путем расчета по методу предельных состояний (limit state) или по методу допускаемых напряжений (allowable stress). Подтверждение сопротивления усталости в настоящем стандарте представлено только по методу допускаемых напряжений. Остальные условия работоспособности приведены для обоих методов расчета.
5.2.2 Для каждого вида расчетов указаны рекомендуемые значения коэффициентов надежности путем непосредственного задания или ссылкой на соответствующий пункт стандарта или нормативный документ. В обоснованных случаях в расчете используют значения коэффициентов запаса или надежности, отличные от приведенных в настоящем стандарте. В частности, могут быть снижены коэффициенты запаса или коэффициенты надежности по отдельным нагрузкам, если, например, имеются надежные гарантии качества изготовления конструкции или возможность превышения расчетных нагрузок исключена условиями эксплуатации или конструкцией машины.
5.2.3 Работоспособность конструкций или их элементов в дополнение к расчетам может быть подтверждена экспериментальными методами. Значения нагрузок при испытаниях должны соответствовать расчетным нагрузкам и комбинациям нагрузок для исследуемых предельных состояний. Для подтверждения работоспособности конструкций допускается применять метод конечных элементов при условии, что постановка задачи и методы анализа соответствуют положениям настоящего стандарта.
5.3 Содержание документации по подтверждению работоспособности конструкции
Материалы, подтверждающие работоспособность конструкции, должны быть представлены в документах "Пояснительная записка" и "Расчеты", соответствующих требованиям
ГОСТ 2.106 и содержащих:
- исходные данные, включая группы классификации режимов работы крана и механизмов по
ГОСТ 34017, тип системы управления приводами, параметры климатических воздействий и др.;
- расчетные допущения и используемые модели;
- расчетные схемы и геометрические характеристики рассчитываемых элементов;
- расчетные нагрузки и комбинации нагрузок, использованные для каждого вида расчетов;
- механические свойства выбранных материалов, болтов и сварных соединений, классы качества сварки;
- значения коэффициентов надежности или запаса прочности, предельных напряжений и/или сил, использованных в условиях работоспособности;
- результаты вычисления расчетных напряжений и/или сил;
- результаты проверки выполнения условий работоспособности элементов конструкции и соединений.
6 Подтверждение прочности
6.1.1 Расчетное подтверждение прочности элементов конструкции выполняют для предотвращения отказов конструкции в результате разрушения, чрезмерных пластических деформаций или проскальзывания фрикционных соединений.
6.1.2 Подтверждение прочности выполняют для элементов конструкции и соединений с учетом наиболее неблагоприятных комбинаций нагрузок из групп A, B и C по
ГОСТ 32579.2,
ГОСТ 32579.3,
ГОСТ 32579.4 или
ГОСТ 32579.5 в зависимости от типа крана.
6.2 Подтверждение прочности элементов конструкции
6.2.1 Технические требования и условия расчета
Пригодность выбранных сталей для металлической конструкции, сварных и шарнирных соединений, эксплуатируемых в условиях отрицательных температур, должна быть подтверждена согласно требованиям
ГОСТ 32578.
Для элементов, в которых действуют растягивающие напряжения в направлении перпендикулярно к плоскости проката
(рисунок 1), необходимо применять стали с контролируемыми свойствами в направлении толщины по
ГОСТ 28870.
Представленные методы расчета применимы к конструкциям, в которых отклонение срединных поверхностей листовых элементов от плоскости не более 0,004d и отклонение осей стержневых элементов от прямой не более 0,0015d. Здесь d - меньший размер листового элемента или длина стержня между закреплениями.
Штриховкой показано направление прокатки,
стрелками - направление нагрузки
Рисунок 1 - Растяжение перпендикулярно к плоскости прокатки
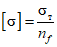
6.2.2 Условие прочности и предельные напряжения
Элементы конструкции рассчитывают на прочность по следующим условиям:
- по предельным состояниям:

; (1)
- по допускаемым напряжениям:

, (2)
где

- максимальное эквивалентное напряжение в элементе конструкции, вычисленное по методу предельных состояний, то есть с учетом частных коэффициентов надежности по нагрузкам;

- расчетное сопротивление;

- максимальное эквивалентное напряжение в элементе конструкции, вычисленное по методу допускаемых напряжений по номинальным значениям нагрузок;

- допускаемое напряжение.
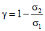
Расчетное сопротивление вычисляют по формуле

, (3)
где

- нормативное значение предела текучести материала конструкции;

- коэффициент надежности по материалу, принимаемый равным
(ГОСТ 32579.1);

- коэффициент условий работы: для отливок

, в остальных случаях, если не оговорено особо,

.
Допускаемое напряжение вычисляют по формуле

, (4)
где

- общий коэффициент запаса прочности;

- коэффициент ответственности, принимаемый по ГОСТ 32579.1-2013
(таблица 10);

- коэффициент надежности, принимаемый по ГОСТ 32579.1-2013
(таблица 4) в зависимости от используемой комбинации нагрузок.
6.2.3 Расчетные напряжения
6.2.3.2 Номинальные напряжения в элементах конструкции вычисляют с помощью технической теории изгиба стержней. В необходимых случаях следует учитывать местное напряженное состояние в зоне приложения локальных нагрузок, как, например, в балках, воспринимающих подвижные нагрузки от ходовых колес
(приложение А). Расчетные напряжения в сечении, ослабленном отверстиями, вычисляют по сечению брутто, если отверстия уменьшают площадь сечения не более чем на 10% и расстояние от края любого отверстия до края элемента конструкции составляет не менее 2
d0 (
d0 - диаметр отверстия). В противном случае расчетные напряжения вычисляют по сечению нетто.
6.2.3.3 В расчете на прочность используют эквивалентные напряжения по теории удельной энергии изменения формы (интенсивность напряжений). Для плоского напряженного состояния эквивалентное напряжение вычисляют по формуле

, (5)
где

- нормальное продольное напряжение в элементе конструкции;

- нормальное поперечное напряжение, например, в зоне местного нагружения
(приложение А);

- касательное напряжение.
Для изгибаемых элементов, не подверженных воздействию локальных поперечных нагрузок (то есть при

),
формула (5) примет вид

. (6)
6.2.3.4 При расчете на прочность стержней ферм допускается нормальные напряжения вычислять только от действия продольных сил без учета изгибающих моментов и перерезывающих сил. Для стержней, загруженных поперечными нагрузками (например, от ходовых колес), необходимо учитывать напряжения от изгибающего момента и местного приложения нагрузки.
6.2.3.5 При расчете напряженного состояния методом конечных элементов расчетное напряжение

в элементе толщиной
t принимают равным среднему значению интенсивности напряжений в зоне размером
t x 4
t x 4
t, расположенной в области действия наибольших напряжений.
6.3 Подтверждение прочности сварных соединений
6.3.1 Технические требования и условия расчета
6.3.1.1 В настоящем стандарте приведены методы расчета сварных соединений выполненных стыковыми швами, то есть с обеспечением проплавления всего сечения присоединяемого элемента (
рисунок 2 а -
д), и угловыми швами (
рисунок 2 е -
к). Методы расчета сварных соединений элементов и/или узлов распространяются на соединения:
- образованные путем сварки плавлением;
- с пределом текучести наплавленного металла не ниже, чем предел текучести основного металла;
- имеющие толщины соединяемых частей не менее 4 мм и не более 80 мм.
Рисунок 2 - Схемы сварных соединений
6.3.1.2 Качество сварных соединений основных конструкций, должно соответствовать требованиям уровня
B по нормам
[1]. Соответствие этим требованиям должно быть подтверждено проверкой с применением методов неразрушающего контроля. Уровень качества
C по нормам
[1] допускается в соединениях из сталей с пределом текучести менее 420 Н/мм
2, не подвергаемых интенсивному циклическому нагружению и не относящихся к конструкциям климатического исполнения ХЛ1 или УХЛ1 по
ГОСТ 15150. Уровень качества
D допускается только в неответственных слабо нагруженных соединениях, повреждение которых не приводит к отказу конструкции в целом или падению груза.
6.3.1.3 Катет углового шва в тавровом соединении должен удовлетворять условию k <= 1,2tmin, но не меньше 4 мм (tmin - толщина более тонкого элемента соединения). Сварное соединение с единственным угловым швом длиной менее 40 мм или менее 5k не может быть расчетным.
Примечание - Сварные соединения, выполненные точечной сваркой, а также стыковые соединения с неполным проплавлением корня шва в настоящем стандарте не рассматриваются.
6.3.2.1 Сварные соединения стыковыми швами (
рисунок 2 а -
д) рассчитывают на прочность по следующим условиям:
- по предельным состояниям:

; (7)
- по допускаемым напряжениям:

, (8)
где

и

- максимальные эквивалентные напряжения в сварном соединении, вычисленные по методу предельных состояний и по методу допускаемых напряжений;

- расчетное сопротивление для сварного соединения стыковыми швами;

- допускаемое напряжение для сварного соединения стыковыми швами.
6.3.2.2 Сварные соединения угловыми швами (
рисунок 2 е -
и) рассчитывают на прочность по касательным напряжениям по следующим условиям:
- по предельным состояниям

; (9)
- по допускаемым напряжениям

, (10)
где

и

- касательные напряжения в сварном соединении, вычисленные по методам предельных состояний и допускаемых напряжений (см.
6.3.4);

- расчетное сопротивление для сварного соединения с угловыми швами;

- допускаемое касательное напряжение для сварного соединения с угловыми швами.
6.3.3 Расчетные сопротивления и допускаемые напряжения
Расчетные сопротивления вычисляют следующим образом:

, (11)

, (12)
где

- меньшее из нормативных значений предела текучести металла шва и элемента конструкции.
Значение коэффициента

см. в
6.2.1. Значения коэффициента

приведены в
таблице 1.
Допускаемые напряжения для сварного соединения вычисляют по формулам:

, (13)

. (14)
Способ вычисления коэффициента

указан в
6.2.2. Значения коэффициента

приведены в таблице 1.
Таблица 1
Коэффициент

для сварного соединения
В условии прочности использован предел текучести материала | Коэффициент  |
Для соединений стыковыми швами при  , МПа | Для соединений угловыми швами при  , МПа |
<= 420 | > 420 | <= 420 | > 420 |
Элемента конструкции | 1,00 | 1,05 | | |
Сварного шва | 1,10 | 1,15 | | |
<*> Большее из приведенных значений принимают для соединений с фланговыми швами, кроме случаев, когда нагрузка распределена по всей длине шва (как в поясных швах). |
6.3.4 Расчетные напряжения
6.3.4.1 Расчетные напряжения

,

,

,

в сварных соединениях вычисляют по комбинациям нагрузок в соответствии с правилами используемого метода расчета (по предельным состояниям или допускаемым напряжениям).
6.3.4.2 Сварные соединения стыковыми швами рассчитывают на прочность по эквивалентным напряжениям, которые вычисляют как

, (15)
где

- эквивалентные напряжения, действующие в сечении Б-Б более тонкого из соединяемых элементов (
рисунок 3 а,
б), вычисленные по
формуле (5) или
(6);

, (16)
где
B - длина сварного соединения, равная ширине более узкого элемента (
рисунок 3 а);
Br - расчетная длина шва.
Если сварной шов (стыковой или угловой) выходит на кромки (кромку) листа, то расчетную длину шва при вычислении действующих напряжений принимают с учетом технологии выполнения шва. То есть, если сварку выполняют без выводных планок, то следует считать
Br =
B - 2
tmin (если только один конец шва выходит на кромку, то
Br =
B -
tmin), где
tmin - толщина более тонкого присоединяемого элемента. Если шов начинается и заканчивается на выводных планках, которые потом обрезают с последующей зачисткой торца, то
Br =
B. Для поясных соединений в балках, выполненных угловыми швами или с полным проплавлением корня

.
Рисунок 3 - Схемы сварных соединений
6.3.4.3 Сварные тавровые соединения угловыми швами (
рисунок 3 в) рассчитывают на прочность по касательным напряжениям, которые вычисляют по формуле

, (17)
где t - толщина присоединяемого элемента;

- показатель типа шва (для одностороннего шва

, для двустороннего шва

);
hw - расчетная высота шва, для швов, выполненных ручной и полуавтоматической сваркой (
рисунок 2 е -
и),
hw = 0,7
k; для швов, выполненных автоматической сваркой
hw =
k, при этом значение
hw принимают не более 0,7
tmin;
k - расчетный катет, равный меньшему катету углового шва (или катету равнобедренного треугольника, вписанного в сечение сварного шва);

и

- нормальное напряжение, действующее в направлении, перпендикулярном оси шва, и касательное напряжение в присоединяемом элементе (
рисунок 3 в,
г), вычисленные в наиболее нагруженном месте по длине шва.
6.3.4.4 Сварные нахлесточные соединения угловыми швами
(рисунок 4) рассчитывают на прочность по касательным напряжениям, которые вычисляют по формуле:

, (18)
где Px и Py - силы, действующие в плоскости сварного соединения и проходящие через его центр тяжести;
Mz - момент, действующий в плоскости сварного соединения;
lwi - длины участков углового шва, если lwi > 50k, то для данного участка следует принимать lwi = 50k;
Jwp - полярный момент инерции площади среза сварного шва относительно ее центра тяжести (ЦТ) Jwp = Jwx + Jwy;
Jwx, Jwy - моменты инерции площади среза сварного шва относительно центральных осей;
r - модуль радиус-вектора расчетной точки сварного шва (точки, наиболее удаленной от центра тяжести площади среза);

- угловая координата радиус-вектора расчетной точки сварного шва.
Рисунок 4 - Схема сварного нахлесточного соединения (
а)
и площадь среза шва (б)
6.3.4.5 Сварные соединения поясов со стенками в составных балках, выполненные угловыми швами и не загруженные местным давлением колеса, должны удовлетворять требованиям
6.3.2.2. При этом расчетные касательные напряжения вычисляют как:

, (19)
где t - толщина стенки;

- максимальное касательное напряжение в стенке от перерезывающей силы и крутящего момента.
Остальные обозначения приведены в пояснениях к
формуле (17).
6.3.4.6 Для ездовой балки с рельсом над стенкой сварное соединение пояса с подрельсовой стенкой, выполненного с проплавлением корня шва, должно удовлетворять требованиям
6.3.2.1. При этом эквивалентное напряжение вычисляют по формуле

, (20)
где

- максимальное поперечное нормальное напряжение сжатия в стенке от местной нагрузки, вычисляемое по
формуле (А.8);

- касательное напряжение в стенке от перерезывающей силы и крутящего момента, действующее вблизи сечения приложения местной нагрузки.
Соединение, выполненное двусторонним угловым швом без разделки кромок (
рисунок 2 ж), должно удовлетворять требованиям
6.3.2.2. При этом касательное напряжение

вычисляют по формуле

, (21)
где

- поперечное нормальное напряжение изгиба в стенке от местной нагрузки, вычисляемое по
формуле (А.9).
Односторонний угловой шов в соединении пояса с подрельсовой стенкой в ездовой балке недопустим.
6.4 Подтверждение прочности болтовых соединений
6.4.1 Технические требования и условия расчета
6.4.1.1 Общие требования
Для болтовых соединений необходимо применять стальные болты и гайки с характеристиками, соответствующими климатическому исполнению конструкции. Механические характеристики гаек и шайб должны соответствовать характеристикам болтов. Для конструкций категорий размещения 1, 2 и 5 по
ГОСТ 15150 необходимо использовать болты и гайки с защитным металлическим покрытием, соответствующим уровню коррозионной агрессивности среды.
В настоящем стандарте приведены методики расчета болтовых соединений, в которых:
- используют болты классов прочности 5.6, 8.8, 10.9, 12.9
(ГОСТ 24705);
- все болты одинаковые и имеют резьбу не менее М8;
- размещение болтов во фрикционных и срезных болтовых соединениях удовлетворяет следующим требованиям
(рисунок 5):
a1 >= 1,5d0 b1 >= 1,5d0 a2 >= 3d0 b2 >= 3d0,
где d0 - диаметр отверстия под болт.
Не рекомендуются и не рассматриваются соединения, в которых имеется только один болт.
Рисунок 5 - Размещение отверстий в болтовом соединении,
загруженном сдвигающей нагрузкой в направлении A
6.4.1.2 Срезные соединения
Соединение используют в случаях, когда смещение соединяемых деталей в результате выборки зазора не оказывает негативного влияние на работу конструкции. Не рекомендуется применять срезные болтовые соединения для восприятия реверсивной нагрузки. В срезных соединениях:
- используют болты класса точности A по
ГОСТ 7805;
- размеры и допуски отверстий для болтов должны быть установлены в проектной документации;
- суммарная толщина соединяемых элементов должна быть не более 6db (db - внешний диаметр резьбы);
- резьба не должна попадать в плоскость среза, а окончание нарезанной части болта должно отстоять от ближайшей плоскости среза на расстоянии не менее 5 мм или не менее половины толщины элемента, прилегающего к гайке;
- затяжка болтов обеспечивает плотное прилегание соединяемых деталей;
- должны быть предусмотрены меры против самоотвинчивания гаек.
6.4.1.3 Фрикционные (сдвигоустойчивые) соединения
Соединения применяют в узлах, для которых не допустим относительный сдвиг соединяемых элементов, воспринимающих статические и переменные, в том числе реверсивные, нагрузки.
Во фрикционных соединениях:
- при монтаже соединения должна быть обеспечена контролируемая затяжка болтов на заданное усилие;
- суммарная толщина соединяемых элементов должна быть не более 6db;
- контактные поверхности соединяемых деталей должны быть подготовлены таким образом, чтобы обеспечивалось хорошее прилегание, а также стабильный и высокий коэффициент трения;
- поверхности деталей, на которые опирается головка болта и шайба, должны быть параллельны друг другу и перпендикулярны оси болта.
6.4.1.4 Фланцевые соединения
Соединения этого типа применяют в узлах металлических конструкций при любых видах нагружения.
Во фланцевых соединениях:
- при монтаже соединения должна быть обеспечена контролируемая затяжка болтов на заданное усилие;
- расстояния от центра болта до поверхности присоединяемого элемента должны быть минимальными размеры
c1 и
c2 (
рисунок 6 а);
- контактные поверхности фланцев должны иметь плотное прилегание после затяжки болтов в области вокруг болта на расстоянии не менее 1,5db от оси болта;
- если предварительная затяжка болта не гарантирует защиту от самоотвинчивания, то должны быть предусмотрены специальные методы, исключающие самоотвинчивание болтов и гаек;
- сварное соединение элемента конструкции с фланцем должно быть рассчитано на прочность по требованиям
6.3.
В настоящем стандарте представлены методы подтверждения работоспособности фланцевых соединений, в которых фланец имеет толщину (1,1 - 2,0)db.
Рисунок 6 - Пример схемы размещения
болтов во фланцевом соединении
6.4.2 Условия прочности, предельные силы
6.4.2.1 Срезные соединения
Срезное соединение должно обеспечивать выполнение условий:
а) прочности болта на срез;
б) прочности присоединяемого элемента и болта на смятие;
в) прочности присоединяемого элемента по сечению нетто с учетом ослабления отверстиями.
Подтверждение выполнения условий прочности проводят следующим образом:
а) Условие прочности болта на срез:
- по предельным состояниям
- по допускаемым напряжениям
где
PbПС и
PbДН - расчетная сдвигающая сила, приходящаяся на один болт, которую вычисляют по комбинации нагрузок согласно
ГОСТ 32579.2,
ГОСТ 32579.3,
ГОСТ 32579.4 или
ГОСТ 32579.5 в зависимости от типа крана, соответственно, по предельным состояниям и допускаемым напряжениям;
FbsПС и FbsДН - предельная сдвигающая нагрузка на болт по условию прочности на срез, которую вычисляют по следующим формулам:
- по предельным состояниям

; (24)
- по допускаемым напряжениям

, (25)
где ns - число поверхностей среза;

- минимальное значение временного сопротивления материала болта;
Abs - площадь поперечного сечения стержня болта в плоскости среза;

;

.
Коэффициент запаса

, значения коэффициентов

и

приведены в
6.2.2.
б) Проверку присоединяемого элемента и/или болта на смятие проводят по условиям:
- по предельным состояниям
- по допускаемым напряжениям
где FbpПБ и FbpДН - предельная сдвигающая нагрузка на болт по условию смятия поверхности, вычисляемая по правилам расчетов по предельным состояниям и допускаемым напряжениям.
Предельную расчетную силу смятия в отверстии рассчитывают по формулам:
- по предельным состояниям

; (28)
- по допускаемым напряжениям

, (29)
где

- нормативное значение предела текучести менее прочного из материалов, соединяемых деталей или болта;
ds - диаметр стержня болта на участке без резьбы;

- меньшая суммарная толщина листов, сдвигаемых в одном направлении, контактирующих с ненарезанной частью стержня болта.
Коэффициент запаса

, значения коэффициентов

и

приведены в
6.2.2.
в) Проверку присоединяемого элемента на прочность проводят по сечению нетто по методике, изложенной в
6.2.
6.4.2.2 Фрикционные (сдвигоустойчивые) соединения
Подтверждение прочности фрикционного соединения осуществляют в форме проверки достаточности силы трения, создаваемой предварительной затяжкой болта, для восприятия максимальной сдвигающей нагрузки, приходящейся на один болт.
Проверку проводят по следующим условиям:
- по предельным состояниям
- по допускаемым напряжениям
где FbhПС и FbhДН - предельное значение силы трения, создаваемой болтом между соединяемыми поверхностями, которое вычисляют по правилам расчетов по предельным состояниям и допускаемым напряжениям.
Предельное значение силы трения в расчете на один болт вычисляют следующим образом:
- по предельным состояниям

; (32)
- по допускаемым напряжениям

, (33)
где
S0h - сила предварительной затяжки болта, для болтов классов прочности 8.8 и выше можно принимать

;

- минимальное значение временного сопротивления материала болта;
Ab - минимальная площадь сечения болта по резьбе;
ns - число стыков между соединяемыми частями;

- коэффициент трения, значение которого назначают в зависимости от способа подготовки поверхностей соединения (см.
таблицу 2).
Коэффициент

, значение

принимают по
таблице 3. Коэффициент запаса

, значения коэффициентов

и

приведены в
6.2.2.
Таблица 2
Значения коэффициента трения

для фрикционного соединения
Способ подготовки поверхностей | Коэффициент трения  |
Дробеструйная или пескоструйная обработка при отсутствии неровностей | 0,50 |
Дробеструйная или пескоструйная обработка и алюминизирование | 0,50 |
Дробеструйная или пескоструйная обработка и металлизирование с продуктом на основе цинка | 0,50 |
Дробеструйная или пескоструйная обработка с покрытием щелочно-цинковой силикатной керамикой толщиной 50 - 80 мкм | 0,40 |
Гальваническое покрытие поверхностей с погружением в горячий раствор и слегка подвергнутых дробеструйной или пескоструйной обработке | 0,40 |
Очистка проволочной щеткой, резаком или газовым пламенем до металлического блеска | 0,30 |
Очистка и травление поверхностей | 0,25 |
Очистка от слоев ржавчины, смазки и грязи (минимальное требование) | 0,20 |
Таблица 3
Коэффициент условий работы

для фрикционного соединения
Разность диаметров отверстия и болта  | Коэффициент условий работы  для случаев, в которых принимают значения коэффициента трения  |
Менее 0,25 | От 0,25 до 0,35 включ. | Более 0,35 |
| 1,30 | 1,20 | 1,10 |
| 1,60 | 1,30 | 1,20 |
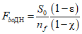
6.4.2.3 Фланцевые болтовые соединения
Подтверждение работоспособности фланцевого соединения требует проверки по следующим условиям:
а) нераскрытие стыка, то есть обеспечение сжатия фланцев при минимально возможном предварительном натяжении болта и максимальной внешней растягивающей нагрузке;
б) прочность болта при максимально возможном предварительном натяжении и максимальной внешней растягивающей нагрузке;
в) отсутствие сдвига в стыке при действии максимальной сдвигающей силы и момента.
Предельные силы растяжения болта вычисляют с учетом предварительного натяжения и взаимодействия его с фланцем, как указано в
Б.2.
Проверку нераскрытия стыка при максимальной нагрузке проводят по следующим условиям:
- по предельным состояниям
PbПС <= FboПС; (34)
- по допускаемым напряжениям
PbДН <= FboДН, (35)
где
PbПС и
PbДН - расчетная растягивающая сила, приходящаяся на один болт, которую вычисляют по комбинации нагрузок согласно
ГОСТ 32579.2,
ГОСТ 32579.3,
ГОСТ 32579.4 или
ГОСТ 32579.5 в зависимости от типа крана по предельным состояниям и допускаемым напряжениям;
FboПС и FboДН - предельное значение силы растяжения болта от внешней нагрузки, вычисляемое по правилам расчетов по предельным состояниям и допускаемым напряжениям.
Предельную растягивающую силу на один болт по условию нераскрытия стыка фланцев вычисляют как:
- по предельным состояниям

; (36)
- по допускаемым напряжениям

, (37)
где
S0 - значение предварительного натяжения болта,

;

- коэффициент внешней нагрузки (см.
Б.2).
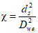
Если расчетная длина болта

и
l1/
tF >= 0,8
(рисунок 7), коэффициент

вычисляют как

, (38)
где
Dwe - эквивалентный диаметр зоны сжатия под болтом;
Dwe ~= 1,2
Dw, если сжимаемые болтом элементы конструкции имеют диаметр
Dw1 <
Dwe (
рисунок 7 в), то в расчетные формулы подставляют значение
Dwe =
Dw1;
Dw - диаметр опорной поверхности, передающей нагрузку от болта на фланец, то есть диаметр шайбы, или размер под ключ гайки или головки болта;
ds - диаметр стержня болта без резьбы;

- отношение минимальной допустимой силы сжатия фланцев к исходному сжатию от предварительного натяжения болта, меньшие значения допустимы для фланцев, снабженных элементами, воспринимающими сдвиг, и не подвергающихся существенному коррозионному воздействию;

.
Коэффициент запаса

находят согласно указаниям
6.2.2.
Проверку прочности болта при максимальной нагрузке проводят по следующим условиям:
- по предельным состояниям
PbПС <= FbtПС; (39)
- по допускаемым напряжениям
PbДН <= FbtДН. (40)
Рисунок 7 - Схемы установки болтов во фланцевом соединении
Предельную растягивающую силу от внешней нагрузки на один болт по условию прочности болта вычисляют как:
- по предельным состояниям

; (41)
- по допускаемым напряжениям

, (42)
где

- предел текучести материала болта;
Ab - минимальная площадь сечения болта;

.
При контроле затяжки по моменту или углу поворота

, при контроле по значению силы растяжения или удлинения болта

. В
формуле (42) следует принимать

.
Если фланцевое соединение, загруженное сдвигающими силами
Py,
Pz и/или крутящим моментом
Tx, снабжено дополнительными элементами, воспринимающими сдвиг (штифтами, втулками, упорными уступами и пр.), то они должны быть рассчитаны на действие максимальных сдвигающих сил и моментов на срез и смятие по методике
6.4.2.1. Если таких устройств нет, то должно быть выполнено условие отсутствия смещения фланцев под действием сдвигающих сил
Py и
Pz (
рисунок 6 б):
- по предельным состояниям

; (43)
- по допускаемым напряжениям

. (44)
Здесь v - общее количество болтов во фланцевом соединении;
PyT и PzT - компоненты сдвигающей силы, которая возникает в наиболее удаленном от центра тяжести соединения болте под действием момента Tx;
Px - сила, действующая перпендикулярно плоскости фланца, считается положительной, если создает растяжение фланцевого соединения;
y1 и x1 - координаты положения болта, расположенного на наибольшем расстоянии от центра тяжести соединения.
Коэффициент трения

выбирают по
таблице 2. Направления сил соответствуют системе координат на
рисунке 6.
6.4.3 Расчетные силы в болтовых соединениях
6.4.3.1 Срезные и фрикционные соединения
Нагрузки, действующие на болтовое соединение, вычисляют по расчетным комбинациям, найденным в соответствии с используемым методом расчета. Компонентами нагрузки являются сдвигающие силы
Px и
Py, приложенные в центре тяжести соединения, и момент
Mz (рисунок 8). При расчете по методу предельных состояний
Px =
PxПС,
Py =
PyПС и
Mz =
MzПС, при расчете по методу допускаемых напряжений
Px =
PxДН,
Py =
PyДН и
Mz =
MzДН.
Положение центра тяжести соединения относительно произвольной системы координат
XY определяется координатами
(рисунок 8)

, (45)
где U - количество болтов в соединении, u = 1, 2,..., U.
Остальные обозначения приведены на
рисунке 8.
Многоболтовое соединение является статически неопределимой системой. Для его расчета принимают следующие схемы распределения сил между болтами в соединении: сдвигающие силы Px и Py равномерно распределяются между всеми болтами, а сдвигающая сила от момента распределяется пропорционально модулю радиуса-вектора до болта ru, проведенному из центра тяжести сечений всех болтов в соединении (рисунок 8).
Указаны сдвигающие силы от момента Mz
Рисунок 8 - Схема нагружения болтов
в срезном или фрикционном соединении
Максимальную сдвигающую силу, действующую на болт, вычисляют как

, (46)
где

- угловая координата радиус-вектора расчетного болта (наиболее удаленного от центра тяжести соединения);
rb - модуль радиус-вектора расчетного болта;

.
Для случая регулярного размещения болтов на прямоугольном поле и размещении начала системы координат, x, y в центре тяжести

,
где
I - количество рядов болтов вдоль оси
x (на
рисунке 8 I = 6,
i = 1, 2, ..
I);
K - количество рядов болтов вдоль оси
y (на
рисунке 8 K = 4,
k = 1, 2, ..
K).
Расчет максимальных сдвигающих сил, действующих на болты в соединении балок на накладках, представлен в
Б.1.
6.4.3.2 Фланцевые соединения
Нагрузки, действующие на болтовое соединение, вычисляют по расчетным комбинациям, найденным в соответствии с используемым методом расчета. Компонентами нагрузки являются продольная сила
Px, приложенная в центре тяжести соединения, и моменты
My и
Mz. Направления нагрузок соответствуют системе координат на
рисунке 6. При расчете по методу предельных состояний
Px =
PxПС,
My =
MyПС и
Mz =
MzПС, при расчете по методу допускаемых напряжений
Px =
PxДН,
My =
MyДН и
Mz =
MzДН.
Для расчета фланцевого соединения принимают линейный закон распределения сил между болтами (
рисунок 9 а). Суммарную растягивающую силу от внешней нагрузки, приложенной к наиболее нагруженному болту, вычисляют следующим образом

, (47)
где

,

;
Yk и
Zi - координаты центров болтов (
рисунок 9 а);
YK = max(Yk) и Zl = max(Zi);
vyk и vzi - количество болтов в k-м (отсчитываемом вдоль оси y) и i-м (отсчитываемом вдоль оси z) ряду.
Сила Px считается положительной, если она растягивает фланцевое соединение.
В соединениях со сплошным прилеганием фланцев начало координат оси
Z лежит на уровне кромки присоединяемого элемента в зоне сжатия от момента
My (
рисунок 9 а), а оси
Y - на уровне кромки присоединяемого элемента в зоне сжатия от момента
Mz. Для болтов, у которых
Yk < 0, следует принимать
Yk = 0, при
Zi < 0 считать
Zi = 0.
Если контакт соединяемых деталей осуществляется только в зонах под болтами, то начало координат осей
YZ следует располагать в центре тяжести сечения A-A (
рисунок 9 б). При этом в расчете по
формуле (47) учитывают все болты, как с положительными, так и с отрицательными координатами
Yk и
Zi.
6.5 Подтверждение прочности шарнирных соединений
6.5.1 Технические требования и условия расчета
Шарнир должен быть снабжен удерживающим устройством, препятствующим осевому смещению оси.
В настоящем стандарте представлены методы подтверждения работоспособности шарнирных соединений, состоящих из нескольких проушин, соединенных осью и загруженных растягивающей силой
(рисунок 10), в которых:
- относительные повороты соединенных элементов, возникающие в процессе работы машины, весьма малы;
- ось и отверстие выполнены с допусками, обеспечивающими зазор в соединении не более чем при посадке
h12/
H12 по
ГОСТ 25346, в случае реверсивных нагрузок требуются более жесткие допуски.
Если перемещения соединяемых шарниром элементов существенны, то следует предусматривать конструктивные меры для снижения износа деталей шарнира.
Работоспособность ответственных шарнирных узлов целесообразно анализировать с помощью метода конечных элементов.
PbiMy - сила, создаваемая моментом My,
приходящаяся на i-й болт
Рисунок 9 - Схема нагружения болтов
во фланцевом соединении, загруженном моментом My
Рисунок 10 - Схема шарнира с проушиной
6.5.2 Условие прочности и предельные напряжения
Подтверждение прочности шарнирного соединения требует проверки прочности оси и присоединяемых элементов (проушин). Выполняют следующие проверки прочности:
а) оси на изгиб;
б) оси на срез;
в) оси и проушин на контактную прочность;
г) проушин на прочность с учетом ослабления отверстием (при нагружении соединения растягивающей нагрузкой).
6.5.2.1 Расчет оси на изгиб
Условие прочности оси имеет вид:
- при расчете по предельным состояниям

; (48)
- при расчете по допускаемым напряжениям

. (49)
Расчетное сопротивление вычисляют как

. (50)
Допускаемое напряжение вычисляют по формуле

, (51)
где

- нормативное значение предела текучести материала оси;

- для оси, изготовленной из поковки или проката;

- для литой оси;

.
Способ вычисления коэффициента

приведен в
6.2.2.
6.5.2.2 Расчет оси на срез
Условие прочности оси имеет вид:
- при расчете по предельным состояниям

; (52)
- при расчете по допускаемым напряжениям

. (53)
Расчетное сопротивление определяют как

. (54)
Допускаемое напряжение вычисляют по формуле

, (55)
где

.
6.5.2.3 Расчет оси и проушины на смятие
Условие прочности имеет вид:
- при расчете по предельным состояниям

; (56)
- при расчете по допускаемым напряжениям

. (57)
Расчетное сопротивление определяют как

. (58)
Допускаемое напряжение вычисляют по формуле

, (59)
где

- меньшее из нормативных значений пределов текучести материалов оси и проушин;

;

- если относительный поворот деталей в соединении под нагрузкой весьма мал (связан с упругими перемещениями и неточностями изготовления);

- в других случаях.
6.5.2.4 Расчет проушин на прочность
Расчет проушины, нагруженной растягивающей силой, на прочность рекомендуется выполнять методом конечных элементов с учетом упругопластических свойств материала и условий нагружения. Для расчета проушин допускается применять методику, приведенную в
приложении В.
6.5.3 Расчетные напряжения
6.5.3.1 Расчет оси на изгиб
Нормальное напряжение в оси вычисляют с использованием расчетных нагрузок соответствующего метода расчета по формулам

, (60)
где
Wo - момент сопротивления сечения оси; для сплошного круглого сечения

, для полого сечения

;
d - наружный диаметр оси;
d1 - внутренний диаметр полой оси;
PДН, PПС - сила, действующая на шарнирное соединение, вычисляемая с использованием расчетных нагрузок соответствующего метода расчета;
rP = 0,25(0,5
t1 +
t2 + 2
e) для двухопорной оси (
рисунок 10 а),
rP = 0,5
t1 + 0,5
t2 +
e для консольной оси (
рисунок 10 б).
Остальные обозначения показаны на
рисунке 10. Значения
rP могут быть уточнены с учетом результатов дополнительных исследований и анализа конструктивных особенностей шарнирного узла.
6.5.3.2 Расчет оси на срез
Касательное напряжение вычисляют с использованием расчетных нагрузок соответствующего метода расчета по формулам

, (61)
где
QДН или
QПС - максимальное значение перерезывающей силы в оси, вычисляют в зависимости от нагрузки, действующей на шарнир,
PДН или
PПС, и условий закрепления оси (
рисунок 10 а,
б);
Ao - площадь сечения оси;

- коэффициент формы, для круглого сплошного сечения

, для полого сечения

;

;
d и d1 - внешний и внутренний диаметры оси.
6.5.3.3 Расчет на смятие
Напряжение смятия вычисляют с использованием расчетных нагрузок соответствующего метода расчета по выражению

, (62)
где
PrДН или
PrПС - расчетная нагрузка, действующая на проушину, которую вычисляют в зависимости от нагрузки, действующей на шарнир,
PДН или
PПС и условий закрепления оси; расчетное значение силы
Pr следует вычислять с учетом возможных осевых смещений проушин в пределах зазоров
e;
tr - толщина рассчитываемой проушины, например,
tr =
t1 или
tr =
t2 (
рисунок 10 а,
б).
7 Подтверждение упругой устойчивости элементов конструкции
7.1.1 В расчете на упругую устойчивость предельным состоянием считается достижение нагрузкой значения критической силы. Поведение конструкции после потери устойчивости не рассматривают.
Выполнение условия упругой устойчивости следует проверять для сжатых стержней, балок открытого сечения, изгибаемых в плоскости наибольшей жесткости и элементов листовых конструкций.
7.1.2 Для сохранения формы условия работоспособности, в расчетах на устойчивость сжимающие напряжения и нагрузки считаются положительными.
7.1.3 Расчет внецентренно сжатых и сжато-изогнутых стержней выполняют по условию прочности по напряжениям, вычисленным с учетом деформации конструкции (по деформированной расчетной схеме) (см.
7.3).
7.1.4 Упругая устойчивость элементов конструкции может быть проверена методом конечных элементов путем моделирования геометрии конструкции в целом, условий ее опирания и действующих нагрузок. При этом должны быть рассмотрены все комбинации нагрузок, которые создают наибольшие усилия в ее элементах. При расчете внецентренно сжатых и сжато-изогнутых стержней следует учитывать упругопластические свойства материала.
7.2 Устойчивость сжатых стержней
7.2.1 Технические требования и условия расчета
Подтверждение упругой устойчивости сжатых стержневых элементов конструкции включает:
- расчет на устойчивость;
- ограничение гибкости стержней.
Представленная методика подтверждения упругой устойчивости применима к стержневым элементам постоянного сечения по длине, загруженных продольной сжимающей силой, эксцентриситет действия e которой относительно центра любого сечения не превышает e = L/650, где L - расстояние между закреплениями или длина консольного стержня. Эксцентриситет e может возникать в результате смещения точки приложения продольной силы, погрешности изготовления стержня или прогиба от действия поперечных нагрузок.
Условие ограничения гибкости направлено на предотвращение вибраций стержней, которые могут возникать при работе приводов крана и порывах ветра, а также повреждений при перевозке и монтаже.
7.2.2 Условия устойчивости, предельные напряжения
7.2.2.1 Условие устойчивости стержня имеет вид:
- при расчете по предельным состояниям

; (63)
- при расчете по допускаемым напряжениям

, (64)

- коэффициент снижения допускаемых (предельных) напряжений;
Fc - критическая сила;

.
Для элементов конструкций, представляющих собой одиночный стержень (стрела, стойка козлового крана, подкос башни и т.п.), а также для поясов ферм

; для элементов из одиночных уголков и составных стержней

. В остальных случаях

.
7.2.2.2 Критическая сила может быть вычислена аналитически по формуле

. (65)
Коэффициент снижения допускаемых (предельных) напряжений при

вычисляют по формуле:

, (66)
где

, если

;
U = 7,6, если

;

;

- условная гибкость стержня;

- гибкость стержня;

- эффективная длина стержня;

- коэффициент, учитывающий условия закрепления стержня, значения которого для различных вариантов закрепления стержня приведены в
таблице 4, для поясов ферм

, для раскосов и стоек

, для раскосов и стоек, соединенных с поясами с помощью косынок без ребер, при потере устойчивости из плоскости косынки

;
L - расчетная длина стержня, определяемая как расстояние между узлами, образованными пересечением осей или связями в рассматриваемой плоскости потери устойчивости
(рисунок 11);

- радиус инерции сечения стержня;
J - момент инерции сечения стержня относительно оси, перпендикулярной плоскости, в которой происходит изгиб стержня при потере устойчивости;
A - площадь сечения стержня.
Значения коэффициента

и условной гибкости

принимают по
таблице 5 в зависимости от конфигурации сечения стержня. Если в
выражении (66) получается

, то следует принимать

.
При подтверждении устойчивости стержня следует рассмотреть все возможные направления его искривления при потере устойчивости и для расчета каждого из них определять соответствующие значения
J и
Le. Так, например, для нижнего пояса фермы на
рисунке 12 следует рассмотреть возможность потери устойчивости в плоскости
XZ на длине
L1 с использованием момента инерции
Jy, а также в плоскости
XY на длине
L2 с использованием момента инерции
Jz.
7.2.2.3 Расчет на устойчивость составных стержней, состоящих из двух или четырех ветвей (сплошных стержней), соединенных планками или ферменными решетками, включает проверки устойчивости составного стержня в целом и устойчивости одной ветви на длине между планками или узлами соединительной решетки. Рекомендации по расчету некоторых типов составных стержней на устойчивость приведены в
приложении Г. В других случаях следует использовать национальные нормы расчета строительных конструкций государств, принявших настоящий стандарт.
Таблица 4
Значение коэффициента расчетной длины

для различных условий закрепления стержня
Вид закрепления стержня | Коэффициент  |
| 2,0 |
| 1,0 |
| 0,7 |
| 0,5 |
| 1,0 |
Таблица 5
Значение параметров

и

для различных типов сечений
Тип сечения | Значение коэффициента  | |
a | | 0,06 | 3,8 |
b | | 0,09 | 4,4 |
c | | 0,14 | 5,8 |
Рисунок 11 - Схема к определению расчетных длин стержней
7.2.3 Расчетные напряжения
Расчетные напряжения

,

в сжатых стержнях вычисляют по расчетным комбинациям нагрузок, найденным, соответственно, по правилам метода предельных состояний или допускаемых напряжений по
ГОСТ 32579.2,
ГОСТ 32579.3,
ГОСТ 32579.4 или
ГОСТ 32579.5 в зависимости от типа крана. Вычисление напряжений проводят по проектной геометрии конструкции без учета эксцентриситетов как

. (67)
7.2.4 Условие ограничения гибкости стержня
Условие ограничения гибкости стержня записывается как

, (68)
где

- максимальная гибкость стержня
(7.2.2.2);

- допускаемая гибкость (таблица 6).
Таблица 6
Предельные гибкости элементов
Элементы конструкции | Сжатые элементы | Растянутые элементы |
Пояса главных ферм | 120 | 150 |
Одностержневые конструкции стрел, колонн, мачт | От 120 до 150 | От 150 до 180 |
Остальные стержни главных ферм и пояса вспомогательных ферм | 150 | От 200 до 250 |
Прочие стержни | От 200 до 250 | От 250 до 350 |
7.3 Устойчивость сжато-изогнутых стержней
Подтверждение упругой устойчивости сжато-изогнутых и внецентренно сжатых стержневых элементов конструкций, выполняют в форме проверки прочности по
6.2 с определением внутренних усилий по деформированной расчетной схеме. Методика этого расчета приведена в
приложении Д.
Расчет сжато-изогнутых элементов сложно нагруженных и статически неопределимых конструкций следует проводить методом конечных элементов с использованием алгоритмов, реализующих геометрически нелинейный или линеаризованный анализ деформирования конструкций.
7.4 Устойчивость изгибаемых балок
Подтверждение упругой устойчивости балок, изгибаемых в плоскости наибольшей жесткости, проводят с использованием метода конечных элементов или в соответствии с национальными нормами расчета строительных конструкций государств, принявших настоящий стандарт.
7.5 Местная устойчивость тонкостенных конструкций
7.5.1 Технические требования и условия расчета
Подтверждение упругой устойчивости сложных тонкостенных конструкций целесообразно проводить с использованием метода конечных элементов. Для расчета отдельных пластинчатых элементов конструкции используют аналитический расчет, представленный в данном разделе. Расчетные напряжения в пластине вычисляют по комбинациям нагрузок по
ГОСТ 32579.2,
ГОСТ 32579.3,
ГОСТ 32579.4 или
ГОСТ 32579.5 в зависимости от типа крана в соответствии с правилами используемого метода расчета (по предельным состояниям или допускаемым напряжениям).
Методика рассчитана на подтверждение упругой устойчивости пластин прямоугольной формы, опертых по трем или четырем кромкам. Закрепления характеризуют их связь с соседними элементами конструкции. Расчетная пластина загружается по кромкам распределенными нагрузками, действующими в ее срединной плоскости (
рисунок 12 а). Они моделируют распределение нормальных и касательных напряжений в конструкции. С пластиной связана локальная система координат
xy, в которой линия
y = 0 соответствует наиболее сжатой кромке.
Методика применима к пластинам, имеющим неплоскостность, при которой максимальное отклонение

срединной поверхности от плоскости не превышают следующих предельных значений:
- между закреплениями

;
- вдоль линии присоединения продольного ребра жесткости

,
где dmin - размер меньшей стороны пластины или ее отдельной панели;
a - расстояние между поперечными ребрами.
Поперечное ребро в двутавровой балке должно иметь момент инерции сечения
Jrp >= 3
dt3. Если пластина подкреплена продольным ребром, то момент инерции его сечения относительно срединной плоскости пластины должен быть таким, чтобы удовлетворялись
условия (73),
(74) и выполнялось требование
Jr >= 1,5
dt3. Здесь
d - ширина пластины;
t - толщина пластины (рисунок 12
а,
в).
а - общий случай нагружения пластины; б - примеры эпюр
распределения нормальных напряжений

;
в,
г,
д - обозначения
размеров пластин для расчета стенки коробчатой балки, пояса
коробчатой балки и стенки двутавровой балки
Рисунок 12 - Расчетные схемы пластин и условия нагружения
(штриховой линией показаны шарнирно-опертые кромки)
7.5.2 Условия местной устойчивости и критические напряжения
7.5.2.1 Пластина находится в условиях плоского напряженного состояния со следующими компонентами (
рисунок 12 а):
а) нормальные напряжения

, действующие вдоль оси
x, распределение которых по ширине пластины описывается уравнением

, (69)
где

- параметр нагружения, вычисляемый по формуле (
рисунок 12 а,
б)

; (70)
d - размер пластины вдоль оси y;

,

- значения нормальных напряжений, действующих на уровне
y = 0 и
y =
d, соответственно;
б) местные поперечные напряжения

, действующие вдоль оси
y, распределение которых рассмотрено в
Е.3;
в) касательные напряжения

, равномерно распределенные по кромкам пластины.
Условие устойчивости пластины имеет следующий вид:
- при расчете по предельным состояниям

; (71)
- при расчете по допускаемым напряжениям

, (72)
где

,

- расчетные значения нормальных напряжений

(
рисунок 12 а), вычисленные по методу предельных состояний и допускаемых напряжений;

,

- расчетные значения напряжений

, вычисленные по методу предельных состояний и допускаемых напряжений;

,

- расчетные значения касательных напряжений

, вычисленные по методу предельных состояний и допускаемых напряжений;

- критическое напряжение для пластины, загруженной только продольными нормальными напряжениями

. Для пластины, закрепленной по четырем кромкам,

рассчитывают в соответствии с
Е.1, а для пластины, закрепленной по трем кромкам - в соответствии с
Е.6;

- критическое напряжение для пластины, загруженной только поперечными нормальными напряжениями

, которое рассчитывают в соответствии с
Е.3;

- критическое напряжение для пластины, загруженной только касательными напряжениями

, которое рассчитывают в соответствии с
Е.2;
q - показатель степени, который определяют как

, (73)
если напряжение

, то
q = 1,6;

.
7.5.2.2 Если пластина, опертая по четырем кромкам и загруженная, как указано в
7.5.2.1, подкреплена продольными ребрами, то должны быть выполнены следующие условия
(рисунок 13):
а) Условие устойчивости пластины с ребрами в целом, которое в общем случае нагружения имеет следующий вид:
- при расчете по предельным состояниям

; (74)
- при расчете по допускаемым напряжениям

, (75)
где

- критическое нормальное напряжение для пластины с ребром, загруженной только продольными нормальными напряжениями

, которое рассчитывают по
формуле (Е.14);

- критическое касательное напряжение для пластины с ребром, загруженной только касательными напряжениями

, которое рассчитывают по
формуле (Е.17)
а - схема пластины с ребрами; б - эпюра распределения
нормальных напряжений

(

и

- расчетные напряжения
для панели 1;

и

- расчетные напряжения
для панели 2); в - параметры установки ребер открытого
сечения; г - параметры установки ребер замкнутого сечения;
д и е - расположение оси, относительно которой вычисляют
момент инерции ребра.
Пунктиром показаны закрепленные кромки пластины
Рисунок 13 - Схема и геометрические
параметры пластины с ребрами
б) Условие устойчивости панелей, на которые ребра разделяют пластину.
Для i-й панели в общем случае нагружения это условие имеет вид:
- при расчете по предельным состояниям

; (76)
- при расчете по допускаемым напряжениям

, (77)
где

,

- максимальное значение продольных нормальных (сжимающих) напряжений

в пределах
i-й панели (
рисунок 13 а,
б), вычисленное по методу предельных состояний и допускаемых напряжений;

- критическое напряжение для
i-й панели шириной
di, загруженной только продольными нормальными напряжениями

, которое рассчитывают в соответствии с
Е.1;

- критическое напряжение для
i-й панели шириной
di, загруженной только продольными касательными напряжениями

, которое рассчитывают в соответствии с
Е.2;

- критическое напряжение для
i-й панели, загруженной только поперечными нормальными напряжениями

, которое рассчитывают в соответствии с
Е.3;
qi - показатель степени
q, вычисляемый по
формуле (73) с использованием значения

.
Поперечные нормальные напряжения

, если они присутствуют, учитывают только в той панели, кромка которой загружена напряжениями

.
Для пластин с двусторонними ребрами

, с односторонними ребрами

.
7.5.2.3 Если пластина, опертая по трем кромкам, загружена нормальными напряжениями
(рисунок 14), то условие устойчивости имеет вид:
- при расчете по предельным состояниям

; (78)
- при расчете по допускаемым напряжениям

, (79)
где

- критическое нормальное напряжение, которое рассчитывают в соответствии с
Е.6.
7.5.3 Расчетные напряжения
7.5.3.1 Расчетные напряжения в пластине вычисляют по правилам соответствующего метода расчета по предельным состояниям (

,

,

) или допускаемым напряжениям (

,

,

). Для определения всех компонентов напряженного состояния пластины задают наиболее неблагоприятную комбинацию нагрузок и условия нагружения. При необходимости расчет на устойчивость последовательно проводят для нескольких комбинаций или вариантов нагружения пластины.
7.5.3.2 Для пластины, опертой по четырем кромкам, напряжение

равно максимальному сжимающему напряжению на кромке (
рисунок 12 а). Для определения параметра

по
формуле (70) вычисляют напряжения

и

на двух продольных кромках пластины. Напряжения

,

и

рассчитывают методами технической теории изгиба стержней. Расчетное поперечное нормальное напряжение

определяют как максимальное сжимающее напряжение в зоне местного приложения нагрузки. Методика вычисления для балок с рельсом над стенкой приведена в
А.3.
7.5.3.3 Для пластины, опертой по трем кромкам, напряжение

равно напряжению на свободной кромке (рисунок 14). Для определения параметра

по
формуле (70) вычисляют напряжения

и

на двух продольных кромках пластины. Вычисление напряжений

и

проводят методами технической теории изгиба стержней.
Рисунок 14 - Расчетная схема пластины
и эпюры распределения напряжений

8 Подтверждение сопротивления усталости
8.1.1 Расчетное подтверждение сопротивления усталости конструкции имеет целью показать, что при эксплуатации машины в штатном режиме в течение установленного ресурса в элементах металлической конструкции не появятся усталостные трещины. Усталостное повреждение является локальным, поэтому расчет выполняют для конкретных расчетных зон, то есть таких мест конструкции, в которых действуют достаточно высокие переменные во времени напряжения и присутствует существенная концентрация напряжений. Расчетными зонами обычно являются сварные или болтовые узлы, галтельные переходы, кромки вырезов и отверстий и пр.
Для подтверждения сопротивления усталости необходимо на основании анализа условий нагружения конструкции и опыта эксплуатации подобных сооружений установить перечень расчетных зон потенциально опасных с позиции усталостного повреждения. Для каждой из расчетных зон проводят расчет на сопротивление усталости.
8.1.2 Методика расчета на сопротивление усталости базируется на следующих допущениях:
а) Расчет узлов и элементов конструкции на сопротивление усталости проводится по номинальным нормальным напряжениям без учета касательных. Расчет угловых сварных швов ведут по номинальным касательным напряжениям без учета нормальных.
б) Характеристикой сопротивления усталости узла или элемента конструкции является предел выносливости по размаху нормальных

или касательных

напряжений. Эти характеристики для сварных узлов, не прошедших дополнительной термической обработки после сварки, не зависят от средних напряжений цикла.
в) Зависимость количества циклов нагружения элемента конструкции до возникновения усталостной трещины
N от размаха действующих напряжений

или

при регулярном нагружении характеризуется типовой усталостной кривой (
рисунок 15 а). Наклонная часть усталостной кривой описывается степенной функцией

, (80)
где
NR = 2·10
6 - базовое количество циклов нагружения, на котором определяют пределы выносливости

и

;
m - показатель наклона усталостной кривой,

(
рисунок 15 а);
N - количество циклов нагружения элемента до возникновения усталостной трещины.
г) Переход к горизонтальному участку в нижней части типовой усталостной кривой происходит в точке с абсциссой NR0 = 5·106 циклов.
д) Процесс накопления усталостного повреждения

при произвольном циклическом нагружении описывается гипотезой линейного суммирования повреждений Пальмгрена-Майнера

, (81)
где
zi - количество циклов нагружения с размахом напряжений

;
Ni - количество циклов до возникновения трещины при стационарном нагружении с размахом напряжений

(
рисунок 15 б).
Моменту возникновения усталостной трещины соответствует значение

.
Рисунок 15 - Схемы усталостной кривой,
построенной в логарифмических координатах
8.1.3 Расчет на сопротивление усталости выполняют по методу допускаемых напряжений. Характеристикой нагруженности расчетной зоны является размах номинальных нормальных или касательных напряжений, действующих в расчетной зоне. Номинальное напряжение вычисляют от действия соответствующей комбинации эксплуатационных нагрузок без учета концентрации напряжений
(8.4).
8.1.4 Значения расчетных пределов выносливости

и

имеют вероятность обеспечения не менее 0,95.
Методика определения расчетных пределов выносливости
(8.3) распространяется на элементы толщинами не менее 6 мм и не более 60 мм, изготовленные из стали с временным сопротивлением

не более 1000 МПа, и качеством изготовления сварных узлов, соответствующим требованиям
6.3.1.2. Для конструкций с параметрами, выходящими за границы указанных интервалов, следует проводить дополнительные исследования.
Значения пределов выносливости отражают влияние следующих конструктивно-технологических факторов:
- концентрации напряжений, обусловленной формой и размерами рассчитываемого узла;
- наличия допустимых дефектов;
- остаточных сварочных напряжений;
- изменения свойств материала в районе сварного шва;
- технологии сварки и процедур обработки шва после сварки.
Применение настоящей методики для расчета на сопротивление усталости узлов, в которых нагружение происходит с отрицательными средними напряжениями, включая циклы с

, дает погрешность в запас долговечности.
8.2 Условие сопротивления усталости
Условие сопротивления усталости элемента конструкции имеет вид

. (82)
Условие сопротивления усталости сварного соединения с угловым швом

. (83)
Здесь

- расчетный размах нормальных напряжений;

- расчетный размах касательных напряжений;

- предел выносливости по размаху нормальных напряжений на базе
NR = 2·10
6;

- предел выносливости по размаху касательных напряжений на базе
NR = 2·10
6;

и

- коэффициенты приведения пределов выносливости к расчетному количеству циклов, соответственно, при расчете по нормальным и касательным напряжениям.
Методики анализа эксплуатационного нагружения и вычисления коэффициентов

и

приведены в
приложении И.
Значение коэффициента запаса прочности вычисляют как

, где

, а коэффициенты

и

принимают по
таблицам 4 и
10 ГОСТ 32579.1-2013.
Метод предварительной оценки необходимости выполнять расчет на сопротивление усталости представлен в
И.5.
8.3 Характеристики сопротивления усталости
Пределы выносливости и показатели наклона усталостной кривой для конкретных узлов определяют следующим образом:
а) для узлов без сварных соединений, или прошедших после сварки термообработку для снятия остаточных напряжений:

; (84)
б) для сварных узлов в состоянии после сварки при расчете по основному элементу:

; (85)
в) для сварных узлов с угловыми швами при расчете по сечению шва на срез:

. (86)
Здесь

- нормативный предел выносливости по размаху нормальных напряжений, определенный на базе
NR (приложение Ж);

- нормативный предел выносливости по размаху касательных напряжений, определенный на базе
NR (приложение Ж);

- временное сопротивление материала конструкции;

- временное сопротивление материала базового образца;

- коэффициент асимметрии цикла, который вычисляют по значениям напряжений от

и

, образующих размах
(И.3);

;
t0 = 20 мм - толщина базового образца.
8.4.1 Расчетные размахи напряжений

и

вычисляют по методике, изложенной в
приложении И.
Максимальные напряжения для расчета на сопротивление усталости

и

, как правило, вычисляют по комбинациям группы A по
ГОСТ 32579.2,
ГОСТ 32579.3,
ГОСТ 32579.4 или
ГОСТ 32579.5 в зависимости от типа крана. Для конструкций, нагруженность которых существенно зависит от ветровых воздействий, следует использовать комбинации нагрузок группы B (случайные нагрузки). При расчете напряжений конфигурация крана, направление и точки приложения нагрузки выбирают наиболее неблагоприятными для загружения расчетной зоны. Частные коэффициенты надежности по нагрузкам принимают равными единице.
Для вычисления

и

следует выбирать такие комбинации нагрузок, конфигурацию крана, направление и точки приложения нагрузки, при которых получаются максимальные значения расчетных размахов

и

. При необходимости, для этого следует создать специальную комбинацию нагрузок, без груза или с противоположным направлением инерционных нагрузок.
При расчете элементов ферм на сопротивление усталости следует учитывать изгиб стержней, если эксцентриситет их соединения в узле отличается от нуля на величину, большую, чем допуск на изготовление конструкции.
Для расчета на сопротивление усталости по основным сечениям элементов конструкций и сварных узлов вычисляют нормальные напряжения, действующие в направлении наибольшей концентрации напряжений. Для расчета сварных соединений с угловыми швами используют касательные напряжения, вычисляемые по указаниям
6.3.4.3 и
6.3.4.4.
Анализ напряженно-деформированного состояния конструкции для расчета на сопротивление усталости может быть выполнен с помощью метода конечных элементов.
8.4.2 Коэффициенты приведения пределов выносливости к расчетному количеству циклов вычисляют как

; (87)

. (88)
Здесь суммирование проводят по всем циклам нагружения, реализуемым за срок службы конструкции. Инженерная методика вычисления коэффициентов

и

приведена в
приложении И.
(рекомендуемое)
МЕСТНЫЕ НАПРЯЖЕНИЯ В ЕЗДОВЫХ БАЛКАХ
Представлены методики вычисления местных расчетных напряжений, действующих в ездовых балках в зонах местного влияния ходовых колес. Рассмотрены балки трех типов:
- коробчатые балки с рельсом, расположенным на верхнем поясе между стенками;
- двутавровые и коробчатые балки с опиранием колес на нижний пояс;
- двутавровые и коробчатые балки с рельсом, расположенным на верхнем поясе над стенкой.
А.1 Балки с рельсом между стенками
А.1.1 Подтверждение работоспособности балки в зоне местного влияния ходовых колес требует выполнения следующих расчетов:
б) Расчет узла соединения диафрагмы с поясом на прочность. Если использована конструкция по
рисунку А.1,
б, то рассчитывают сварное соединение по методике
6.3 при

. Если использована конструкция
в), на прочность рассчитывается диафрагма по
условию (1),
(2), где
(А.2).
А.1.2 Максимальное напряжение в рельсе при расположении колеса между диафрагмами (
рисунок А.1, положение колеса 1) вычисляют по формуле

, (А.1)
где Wry - момент сопротивления сечения рельса относительно главной оси y;
vr = 5, если рельс имеет или может иметь после ремонта незаваренные стыки;
vr = 6, если рельс не имеет стыков или они заварены.
А.1.3 Максимальные сжимающие напряжения на уровне верхней кромки диафрагмы от вертикальной нагрузки (
рисунок А.1, положение колеса 2) вычисляют по формуле

, (А.2)
где td - толщина диафрагмы;
czd = 0,7br + 2tf;
br - ширина подошвы рельса;
tf - толщина верхнего пояса.
Рисунок А.1 - Схемы к расчету
ездовой балки с рельсом между стенками
А.2 Балки с катанием колес по нижнему поясу
А.2.1 Приведена методика расчета балок двух типов:
- балок, нижняя часть которых представляет собой тавр, по поясу которого перемещаются колеса (
рисунок А.2,
а);
- коробчатых балок с увеличенными свесами нижнего пояса, по которым перемещаются колеса (
рисунок А.2,
б).
Подтверждение работоспособности балки в зоне местного влияния ходовых колес требует выполнения расчетов пояса на прочность в зонах 1, 2 и 3
(рисунок А.3). Если кран работает в режиме A6 или выше, то следует выполнить расчет на сопротивление усталости в зонах 1 и 3
(рисунок А.3).
Если соединение стенки коробчатой ездовой балки с нижним поясом выполнено угловыми швами или кран работает в режиме A6 и выше, то это сварное соединение (зона 4) должно быть рассчитано на прочность и сопротивление усталости (
рисунок А.3,
б).
Рисунок А.2 - Схемы ездовых балок
А.2.2 Подтверждение работоспособности ездовой балки в зоне местного влияния ходовых колес требует выполнения следующих расчетов:
а) Расчет нижнего пояса на прочность в зонах 1, 2 и 3
(рисунок А.3) по
условию (1),
(2), в котором расчетное напряжение вычисляют с учетом местных напряжений в
i-й расчетной зоне по
формуле (5), которая в данном случае имеет вид

. (А.3)
б) Расчет нижнего пояса в зонах 1 и 3 на сопротивление усталости проводят по методике, приведенной в
разделе 8. Расчетное напряжение в зоне 1

, в зоне 3

. Здесь

напряжение от общего изгиба балки в расчетной зоне, действующее одновременно с местным напряжением

.

- минимальное значение напряжения

в расчетной зоне, при расположении колеса вдали от расчетной зоны.
Предел выносливости по размаху нормальных напряжений в зоне 1 для прокатных двутавров вычисляют по
формуле (82) при нормативном пределе выносливости

. Для составных балок со сварным соединением пояса со стенкой следует использовать
формулу (82) при

. Предел выносливости для зоны 3 вычисляют по
формуле (82) при

.
Рисунок А.3 - Схема местного нагружения
ездовых балок с катанием по нижнему поясу
в) Расчет сварного соединения нижнего пояса со стенкой (если таковое имеется) на сопротивление усталости проводят по методике
8. Расчетное напряжение

(см. А.2.3,
А.2.4). Для ездового тавра

. Нормативный предел выносливости по размаху нормальных напряжений принимают по
таблице Ж.1 для сварного таврового соединения с учетом его конструкции.
А.2.3 Максимальные местные напряжения в
i-й точке пояса ездовой балки при симметричном приложении двух сил
P вычисляют следующим образом (
рисунок А.3,
i = 1, 2, 3):

, (А.4)
где P - нагрузка, создаваемая одним ходовым колесом;
tf - толщина пояса;
kxi, kyi - расчетные коэффициенты для i-й расчетной точки, зависящие от конструкции ездовой балки и положения точки контакта колеса с поясом.
Для ездового тавра (
рисунок А.3,
а) при

расчетные коэффициенты в указанных точках вычисляют по формулам:

(А.5)
Здесь

.
Для коробчатой балки (
рисунок А.3,
б) при

и 0,5 <=
rt <= 1,0 расчетные коэффициенты в
формуле (А.4) вычисляют по формулам:

(А.6)
Здесь

;

.
А.2.4 Нормальные напряжения от местного растяжения и изгиба стенки коробчатой ездовой балки в зоне соединения с нижним поясом (зона 4,
рисунок А.3)

и

могут быть вычислены по методике
[2].
А.2.5 Коэффициент

вычисляют по формуле

, (А.7)
где
km = 0,75 для сталей с

,
km = 0,85 для сталей с

,
km = 0,95 для сталей с

,
km = 1,0 для сталей с

;
t0 = 20 мм.
А.3 Балки с рельсом над стенкой
А.3.1 Подтверждение работоспособности балки в зоне местного влияния ходовых колес требует выполнения следующих расчетов
(рисунок А.4):
а) Расчет сварного соединения стенки с поясом на прочность по методике
6.3 при
(А.8);
| | ИС МЕГАНОРМ: примечание. В официальном тексте документа, видимо, допущена опечатка: таблица Г.1 отсутствует. | |
б) Расчет сварного соединения стенки с поясом на сопротивление усталости проводят по методике
8. Расчетное напряжение
(А.7),
(А.8),
(А.9). Нормативный предел выносливости по размаху нормальных напряжений

принимают по таблице Г.1 для сварного таврового соединения с учетом его конструкции.
в) Расчет стенки на местную устойчивость по
условию (71),
(72). Если ездовая балка выполнена из прокатного двутавра, то выполняют расчет на прочность стенки по методике
6.2.2 при
(А.8).
А.3.2 Максимальные напряжения в стенке от местной нагрузки
Местные сжимающие напряжения в стенке вычисляют по формуле (
рисунок А.4,
в)

, (А.8)
где tw - толщина стенки;

;

- суммарный момент инерции рельса и пояса.
Если рельс не приварен к поясу, то момент вычисляют как

, где
Jr - момент инерции рельса относительно оси
yr -
yr;

- момент инерции пояса. Для двутавровых балок следует считать
bfe =
b, а для коробчатых балок
bfe =
b1 + 10
tf, где
b1 ширина поясного свеса, но не более чем 10
tf. Если рельс приварен, то момент инерции

вычисляют относительно общей оси
y1 -
y1 (
рисунок А.4,
г).
А.3.3 Местные напряжения от изгиба стенки вычисляют по формуле

, (А.9)
где

- суммарный крутящий момент, приложенный к рельсу;

- суммарный момент инерции при кручении рельса и верхнего пояса.
Момент инерции при кручении пояса двутавровой балки вычисляют как

, для пояса коробчатой балки

для рельса прямоугольного сечения

(

, где
hr - большая сторона сечения рельса,
br - меньшая). Значения моментов инерции при кручении для крановых рельсов приведены в
таблице А.1.
Рисунок А.4 - Схемы к расчету
ездовых балок с рельсом над стенкой
Таблица А.1
Значения моментов инерции
при кручении JTr для крановых рельсов, мм4
Тип рельса | КР50 | КР60 | КР70 | КР80 | КР100 | КР120 | КР140 |
JTr | 78·104 | 137·104 | 253·104 | 387·104 | 765·104 | 1310·104 | 2130·104 |
(рекомендуемое)
СИЛЫ, ДЕЙСТВУЮЩИЕ В БОЛТОВЫХ СОЕДИНЕНИЯХ
Б.1 Распределение сил в болтовом соединении балок на накладках
Накладки должны быть размещены так, чтобы передавать нагрузки, действующие во всех элементах соединяемых балок. Для приближенного расчета соединения на накладках принимают допущения о том, что характер распределение усилий между болтами соответствует распределению напряжений в присоединяемом элементе.
В качестве примера представлена методика расчета болтового соединения коробчатых балок, сечение которых имеет две оси симметрии, загруженных изгибающим моментом My, продольной Px и перерезывающей Qz силами (рисунок Б.1).
Рисунок Б.1 - Схемы к расчету
болтового соединения на накладках
Продольная сила Px загружает сечение равномерно, поэтому нагрузка на болтовые соединения поясов Pxf и стенок Pxw распределяется пропорционально их площадям, то есть

.
В пределах одного элемента сила равномерно распределяется между всеми болтами, и на один болт приходится усилие

. (Б.1)
Здесь
vf,
vw - общее количество болтов с одной стороны стыка, соответственно, на одном поясе и на одной стенке (на
рисунке Б.1 vf = 12,
vw = 18);
A - площади сечения балки;
Af, Aw - площади сечения одного пояса и одной стенки.
Изгибающий момент My создает переменное распределение напряжений по высоте балки. Изгибающий момент My = 2Myf + 2Myw распределяется между поясами и стенками (Myf, Myw) пропорционально их погонным жесткостям на изгиб

.
Отсюда получим выражения для изгибающих моментов передаваемых одним поясом и одной стенкой

,
где Jyf, Jyw - моменты инерции одного пояса и одной стенки относительно оси y (в данном примере, приближенно Jyf = Af(h/2)2; Jyw = twh3/12.
Момент Myf загружает пояс равномерно, поэтому и усилия от него между болтами на поясе распределятся равномерно, то есть

. (Б.2)
Усилия между болтами на стенке распределяют подобно эпюре нормальных напряжений, то есть пропорционально расстоянию до нейтральной оси
(рисунок Б.1). Если количество болтов во всех рядах одинаково (
vwj =
vw1), то усилие, приходящееся на самый нагруженный болт на стенке (в
J-м ряду), вычисляют как

, (Б.3)
где

;
J - количество пар рядов болтов на стенке (на
рисунке Б.1 J = 3);
vw1 - количество болтов в одном ряду на стенке с одной стороны стыка (на
рисунке Б.1 vw1 = 3).
Перерезывающую силу Qz в основном воспринимают стенки, поэтому, полагая равномерное распределение усилий между болтами, найдем усилие на один болт в этих элементах, как

, (Б.4)
где
vw = 2
Jvw1 - количество болтов на стенке с одной стороны стыка (на
рисунке Б.1 vw = 18).
Делитель "2"
(Б.4) обусловлен тем, что данная балка имеет две стенки.
Суммируя все полученные решения, найдем наибольшее усилие, приходящееся на самый нагруженный болт в соединении пояса

(Б.5)
и стенки

. (Б.6)
Б.2 Нагружение болта во фланцевом соединении
При монтаже фланцевого соединения болт затягивают до начального усилия
S0. При этом болт удлиняется на

, а фланцы вокруг отверстия сжимаются под действием реактивного усилия
F0 =
S0 на

(
рисунок Б.2,
а). При приложении внешней нагрузки
P усилие растяжения болта
S возрастает на

(точка 2), а усилие сжатия фланцев
F падает на

(точка 3) (
рисунок Б.2,
б). При этом

,
где

- коэффициент внешней нагрузки;

и

- коэффициенты жесткости болта и фланца.
Расчетная сила растяжения болта

.
Размах силы в стержне болта при изменении силы
P по отнулевому циклу равен

. Сила сжатия фланцев при действии внешней нагрузки

.
Рисунок Б.2 - Схемы к расчету болтов во фланцевом соединении
(рекомендуемое)
РАСЧЕТ ПРОУШИН ШАРНИРНОГО СОЕДИНЕНИЯ НА ПРОЧНОСТЬ
В.1 Условия расчета
Расчет проушины на прочность по сечению Б-Б может быть выполнен по нижеприведенной методике, если:
- проушина нагружена растяжением без изгиба;
- ось и отверстие выполнены с допусками, обеспечивающими зазор в соединении не более чем при посадке
h12/
H12 по
ГОСТ 25346.
В.2 Расчет проушины на растяжение
Расчет проушины на растяжение по сечению Б-Б выполняют по следующим условиям:
- при расчете по предельным состояниям

; (В.1)
- при расчете по допускаемым напряжениям

. (В.2)
Расчетное сопротивление определяют как

. (В.3)
Допускаемое напряжение вычисляют по формуле

, (В.4)
где

- нормативное значение временного сопротивления материала проушины;

- для проушины, изготовленной из поковки или проката;

- для литой проушины;

.
Расчетное напряжение растяжения вычисляют по выражениям

, (В.5)
где
PrПС,
PrДН - растягивающая сила, действующая на проушину [см.
пояснения к формуле (62)];
AБ - площадь сечения проушины по Б-Б;

- коэффициент концентрации напряжений.
Если зазор между осью и проушиной не превышает зазор по посадке h11/H11 по
ГОСТ 25346, то при 0,5 <=
b/
d <= 1,0 и 1 <=
c/
b <= 2 коэффициент концентрации напряжений вычисляют как

, где коэффициент
k находят по графикам на
рисунке В.2. Коэффициент концентрации может быть также приближенно вычислен как

. (В.6)
Обозначения геометрических параметров приведены на
рисунке В.1.
В.3 Расчет проушин на срез
Условие прочности проушины на срез по сечениям В-В и Г-Г
(рисунок В.1) имеет вид:
- при расчете по предельным состояниям

; (В.7)
- при расчете по допускаемым напряжениям

. (В.8)
Расчетное сопротивление определяют как

. (В.9)
Рисунок В.1 - Схема проушины
Рисунок В.2 - Графики зависимости
коэффициента k от параметров b/d и c/b
Допускаемое напряжение вычисляют по формуле

. (В.10)
Значения

и

даны в
В.2.
Расчетное напряжение в проушине по сечениям В-В и Г-Г вычисляют как:

, (В.11)
где
As = 2
st - площадь среза проушины по сечениям В-В и Г-Г, определяемая по схеме на
рисунке В.1;
t - толщина проушины.
Приближенно можно считать s = c.
(рекомендуемое)
УСТОЙЧИВОСТЬ СОСТАВНЫХ СТЕРЖНЕЙ
Если составной стержень состоит из двух ветвей, представляющих собой прокатные профили, соединенные планками или решеткой, то он должен быть проверен на устойчивость по следующим условиям
(рисунок Г.1):
а) Условие устойчивости составного стержня в целом относительно оси
z, как сплошного стержня, состоящего из двух профилей, по методике
7.2.2.2. При этом
L равно длине стержня между закреплениями, а момент инерции
J = 2
Jz (
Jz - момент инерции одной ветви относительно оси
z).
б) Условие устойчивости составного стержня в целом относительно оси
y, по той же методике, но с заменой гибкости

на эквивалентную гибкость

. При этом используют значения

и

.
Эквивалентную гибкость

стержней, которые состоят из двух ветвей, соединенных планками (
рисунок Г.1,
а,
б,
в), вычисляют следующим образом:

, (Г.1)
где

- гибкость стержня относительно оси
y, вычисленная по суммарному сечению двух ветвей;

- гибкость одной ветви стержня относительно оси 1-1 на длине
l1, для стержней с планками следует обеспечивать

не более 40, а для стержней с решетками - не более 70;

;
Js - момент инерции одной планки относительно оси 2-2;
Jb - момент инерции одной ветви относительно оси 1-1;
b - расстояние между осями ветвей;
l0 - расстояние между центрами соединительных элементов;
l1 - расстояние между планками "в свету".
Для стержней, в которых соединение выполнено с помощью решетки (
рисунок Г.1,
г), эквивалентную гибкость вычисляют как

, (Г.2)
где A и Ad1 - площади сечений, соответственно, двух ветвей и раскоса решетки;

.
Остальные размеры показаны на
рисунке Г.1. При расчете составных стержней с планками по
рисунку Г.1,
б,
в, следует принимать
v = 0,2.
в) Условие устойчивости одной ветви на длине между планками или узлами соединительной решетки по методике
7.2.2.2.
Рисунок Г.1 - Схемы к определению расстояния между планками
(рекомендуемое)
РАСЧЕТНЫЕ НАПРЯЖЕНИЯ В СЖАТО-ИЗОГНУТОМ СТЕРЖНЕ
Данная методика предназначена для расчета конструкций, в которых упругие перемещения под влиянием нагрузок приводят к существенному увеличению моментов от действия сжимающих сил. При этом вычисление внутренних сил и, соответственно, напряжений проводят по деформированной расчетной схеме.
Расчет на прочность проводят по методике
6.2. При этом значения расчетных нормальных напряжений в поперечном сечении стержня от действия продольной сжимающей силы
P и изгибающих моментов
My и
Mz вычисляют по формуле

, (Д.1)
где A - площадь сечения;
Jy и Jz - моменты инерции сечения относительно главных осей;
y и z - координаты точки, в которой определяют напряжение;

;

и

- значения критической силы при потере устойчивости стержня с изгибом относительно осей
y и
z. Коэффициенты

и

для стержневых элементов постоянного сечения вычисляют по
формуле (66) с использованием соответствующих значений

, равных

или

.
Расчетную точку сечения и, соответственно, знаки и значения координат
y и
z в
выражении (Д.1) подбирают таким образом, чтобы получить максимальное по абсолютной величине напряжение или напряжение, необходимое для расчета конкретного узла. Для поиска максимальных напряжений в стержне сложного сечения следует проверять несколько точек.
Значения силы P и изгибающих моментов My и Mz вычисляют по комбинациям нагрузок в соответствии с используемым методом расчета, то есть предельных состояний или допускаемых напряжений.
(рекомендуемое)
КРИТИЧЕСКИЕ НАПРЯЖЕНИЯ ДЛЯ РАСЧЕТА
ПЛАСТИН НА МЕСТНУЮ УСТОЙЧИВОСТЬ
Е.1 Критические нормальные напряжения для пластины, закрепленной по четырем кромкам
Критическое напряжение для пластины в условиях одноосного напряженного состояния (действуют только продольные нормальные напряжения

) вычисляют как

, (Е.1)
где

- коэффициент влияния пластичности,
если
f <= 0,5, то

,
если f > 0,5, то

; (Е.2)

;

- критическое напряжение пластины из абсолютно упругого материала

, (Е.3)

, для стальных конструкций
Ks0 = 760000 МПа;
ks - коэффициент устойчивости, отражающий влияние условий закрепления кромок и распределения напряжений по ширине пластины.
При

и

коэффициент устойчивости вычисляют по формуле

, (Е.4)

- коэффициент защемления, учитывающий условия закрепления пластины по кромкам.
Для пластин с

можно считать

. (Е.5)
Значение коэффициента защемления

зависит от условий закрепления пластины по наиболее сжатой кромке. Если запас устойчивости смежного элемента (присоединенного к сжатой кромке) неизвестен или его поведение трудно предсказуемо, то следует принимать

. Если смежный элемент имеет больший запас устойчивости, чем рассчитываемая пластина, то эта связь повышает ее устойчивость, что учитывается коэффициентом

, который равен

, (Е.6)
где

;
d и t - размеры сечения рассчитываемой пластины;
b и
t1 - размеры сечения пластины, присоединенной к ее наиболее сжатой кромке (
рисунок 12 в,
г,
д).
Критическое нормальное напряжение

для
i-й панели пластины, подкрепленной ребрами, вычисляют, как

по формулам (
Е.1 -
Е.5), в которые следует подставлять
d =
di,
a =
ai,

, где
ai и
di - соответственно, продольный и поперечный размеры панели
(рисунок 13).
Если для панели

в
выражение (Е.3), вместо
di следует подставлять

, а коэффициент
ks вычислять по
формулам (Е.4) или
(Е.5), подставляя туда

(
рисунок 12 б). Если наиболее сжатая кромка панели является кромкой пластины, то

; если она связана с ребром открытого сечения, то следует считать

, если она связана с ребром замкнутого сечения, то

.
Е.2 Критическое касательное напряжение для пластины, закрепленной по четырем кромкам
Критическое касательное напряжение для пластины, находящейся в условиях чистого сдвига (действуют только касательные напряжения

) вычисляют как

, (Е.7)
где коэффициент влияния пластичности

, вычисляемый по
формуле (Е.2), в которой

. (Е.8)

- критическое напряжение пластины из абсолютно упругого материала,

. (Е.9)
При

коэффициент устойчивости вычисляют с помощью выражения

; (Е.10)

в зависимости от жесткости закрепления кромок пластины. Если оценить жесткость закрепления не представляется возможным, то следует принимать

.
Критическое касательное напряжение для
i-й панели пластины в условиях чистого сдвига (действуют только касательные напряжения

) вычисляют как

по формулам (
Е.7 -
Е.10), в которые следует подставлять
d =
di и
a =
ai.
Е.3 Критическое нормальное напряжение для пластины, загруженной местной поперечной нагрузкой
Критическое напряжение для пластины, закрепленной по четырем кромкам и загруженной местной поперечной нагрузкой (действуют только нормальные напряжения

) вычисляют по формуле

, (Е.11)

- критическое напряжение пластины из абсолютно упругого материала при локальном поперечном нагружении

; (Е.12)
ksz - коэффициент устойчивости, который при

вычисляют по формуле

, (Е.13)
где

;
cz - приведенная ширина зоны распределения местной нагрузки
(А.8) (приложение А).
Критическое напряжение для первой панели пластины в условиях местного сжатия (действуют только поперечные нормальные напряжения

) вычисляют, как

по формулам (
Е.11 -
Е.13), в которые следует подставлять
d =
d1 и
a =
a1.
Е.4 Критическое нормальное напряжение для пластины, закрепленной по четырем кромкам и укрепленной ребрами
Критическое нормальное напряжение для пластины, укрепленной
l продольными ребрами, находящейся в условиях одноосного напряженного состояния (действуют только продольные нормальные напряжения

) вычисляют как

, (Е.14)

- критическое напряжение пластины с ребрами из абсолютно упругого материала

. (Е.15)
Здесь коэффициент
ks вычисляют по
формулам (Е.4) или
(Е.5). Коэффициент
krs определяют по формуле

, (Е.16)
где

;
Jr - момент инерции ребра, который для двустороннего ребра вычисляют относительно оси
y, лежащей на срединной плоскости пластины, а одностороннего - относительно оси
y1, совпадающей с поверхностью пластины, к которой приварено ребро (см.
рисунок 13 д,
е);

;
i = 1, 2, 3..., l - порядковый номер ребра от наиболее сжатой кромки пластины.
Обозначение размера
hri для ребер открытого и замкнутого профиля показано на
рисунке 14 в,
г.
Е.5 Критическое касательное напряжение для пластины, закрепленной по четырем кромкам и укрепленной ребрами
Критическое касательное напряжение для пластины, укрепленной
l продольными ребрами, находящейся в условиях чистого сдвига (действуют только касательные напряжения

) вычисляют как

, (Е.17)

- критическое напряжение пластины с ребрами из абсолютно упругого материала

. (Е.18)

. (Е.19)
Е.6 Критическое нормальное напряжение для пластины, закрепленной по трем кромкам
Критическое напряжение для пластины, закрепленной по трем кромкам, в условиях одноосного напряженного состояния вычисляют по формулам (
Е.1 -
Е.3), в которых коэффициент устойчивости
ks при

находят следующим образом:
Е.7 Условия устойчивости пластины для частных случаев нагружения
Для предварительных оценок устойчивости пластин можно использовать условия, основанные на положении: если

или

, то выполнение условия прочности гарантирует устойчивость пластины. Их можно применять как для всей пластины, так и для отдельных ее панелей. Если эти условия не выполняются, то следует выполнить подтверждение устойчивости по полной методике.
Если пластина, закрепленная по четырем кромкам, загружена в основном продольными нормальными напряжениями, а касательные и поперечные нормальные напряжения пренебрежимо малы, то ее устойчивость будет гарантировано обеспечена при следующих условиях:
- при равномерном сжатии

, если

;
- при чистом изгибе

, если

,
t - толщина пластины;

;

;

- предел текучести материала конструкции.
Если пластина, закрепленная по четырем кромкам, загружена в основном касательными напряжениями, а остальные компоненты напряженного состояния пренебрежимо малы, то ее устойчивость будет гарантированно обеспечена при условии, если

.
(рекомендуемое)
ПРЕДЕЛЫ ВЫНОСЛИВОСТИ УЗЛОВ МЕТАЛЛИЧЕСКИХ КОНСТРУКЦИЙ
Таблица Ж.1
Классификация узлов металлических конструкций
по уровням концентрации напряжений
Эскиз узла | Описание узла | Технические условия |  , МПа |
| Кромка прокатного листа или профиля после термической резки | Газовая резка | 125 |
Автоматическая плазменная или лазерная резка | 140 |
| Кромка прокатного листа, обрезанная ножницами или гильотиной | | 100 |
| Высверленное отверстие или несколько отверстий | Напряжения по сечению нетто. d <= 0,1B; a > 2d; c > 2d | 125 |
| Болтовое соединение на высокопрочных болтах с контролируемой затяжкой (фрикционное соединение) | Расчет по сечению брутто основного листа или накладки. Двусторонние накладки (а, в) и односторонние в сечении с подкреплением (г) | 160 |
Плоское одностороннее соединение (б) | 140 |
Болтовое соединение на болтах, работающих на срез. Знакопостоянный цикл нагружения | Расчет основной пластины или накладки по сечению нетто. Узлы типа а, в, г | 100 |
То же. Плоское одностороннее соединение (б), соединение с одним рядом болтов (д) | 80 |
Расчет болта на срез  | 112 |
| Стыковое соединение листов или тавровое с разделкой кромок при продольном нагружении | Ручная или полуавтоматическая сварка, уровень качества C | 125 |
То же, уровень качества B | 140 |
Автоматическая сварка, уровень качества B | 160 |
| Продольное соединение листов угловыми швами без разделки кромок. Нагружение нормальными напряжениями по всему сечению | Сварка прерывистым швом | 70 |
Непрерывный шов, уровень качества C | 125 |
| Соединение листов угловыми швами без разделки кромок. Нагружение сдвигом при равномерном распределении касательных напряжений по длине шва | Непрерывная сварка угловым швом. Расчет по касательным напряжениям в шве  . | 90 |
| Продольное соединение гнутых профилей стыковыми швами без разделки кромок | Расчет по нормальным напряжениям в основном сечении | 100 |
| Стыковое соединение листов стыковым швом, с симметричным расположением листов по толщине | Уровень качества B, C, более толстый лист с уклоном не более 1:2 | 125 |
Уровень качества B, более толстый лист с уклоном не более 1:3 | 140 |
| Стыковое соединение листов на остающейся подкладке | | 80 |
| Стыковое соединение листов разной толщины с односторонним скосом, подкрепленных продольным элементом | При t1/t <= 2 с уклоном не более 1:2 | 90 |
При t1/t <= 1,4, с уклоном не более 1:3, уровень качества C | 100 |
То же, при уровне качества сварного шва B | 112 |
| Стыковое соединение листов разной толщины без скоса, подкрепленных продольным элементом | При t1/t <= 1,2 | 80 |
| Пересечение продольных и поперечных стыковых швов, при нагружении поперек стыкового шва | При уровне качества сварного шва C | 90 |
При уровне качества сварного шва B | 100 |
| Стыковое соединение элементов из фасонного проката, двусторонняя сварка стыковым швом | Относительное смещение кромок у шва не более 0,2t | 90 |
| Стыковое соединение круглых труб на подкладном кольце | | 80 |
| Стыковое соединение труб с помощью муфты (сплошной или из двух половин) | | 80 |
| Присоединение круглой трубы к поковке | | 50 |
| Накладка, приваренная лобовыми и фланговыми швами. Расчет по нормальным напряжениям в основном элементе | Уровень качества C, t1/t > 1 | 63 |
Уровень качества B, t1/t > 1 | 70 |
Уровень качества B, t1/t <= 1 | 80 |
Обварка торца накладки с увеличенным продольным катетом или механическая обработка шва в торцевой части | 90 |
| Нахлесточное соединение лобовыми швами | | 63 |
| Двустороннее нахлесточное соединение листов | Расчет шва на срез с учетом только фланговых швов  | 63 |
Расчет по суммарному сечению элементов 1 | 50 |
Расчет по сечению элемента 2 | 71 |
| Поперечное ребро или соединение диафрагмы с поясом и стенкой балки угловыми швами | t1 > t, сварной шов идет до кромки листа толщиной t, уровень качества B, C | 63 |
t1 <= t, сварной шов до кромки листа толщиной t, уровень качества B, C | 70 |
t1 > t, сварной шов на расстоянии не менее 10 мм от кромки листа толщиной t, уровень качества C | 80 |
t1 <= t, сварной шов на расстоянии не менее 10 мм от кромки листа толщиной t, уровень качества B | 90 |
| Тавровое соединение с разделкой. Нагружение поперек шва | Шов с односторонней разделкой на подкладке, уровень качества C | 70 |
То же с подваркой корня, уровень качества B | 80 |
Шов с двусторонней разделкой, уровень качества B | 90 |
| Тавровое соединение, двустороннее без разделки кромок. Нагружение поперек шва | Расчет шва на срез  | 45 |
Расчет по основному металлу, уровень качества C | 63 |
То же, уровень качества B | 70 |
| Окончание продольного ребра с обваркой торца | При длине ребра более 50 мм | 63 |
При длине ребра не более 50 мм | 80 |
При механической обработке торца ребра и сварного шва | 90 |
| Листовой элемент 2 вставлен в отверстие элемента 1 и обварен по контуру. Расчет по нормальным напряжениям в элементе 1 | Односторонний угловой шов (а) | 40 |
Двусторонний угловой шов (б) | 50 |
Двусторонний шов с полным проплавлением (в) | 80 |
| Косынка, приваренная к кромке нагруженной полосы стыковым швом | Прямой угол | 56 |
Скос косынки с углом  не более 60° или закругление с радиусом не менее 50 мм | 70 |
| Приварка стержня к листу | d/t <= 2 | 80 |
| Стержень, вваренный в отверстие в пластине. Нагрузка передается через шов | Расчет по шву  | 63 |
Расчет по сечению стержня | 80 |
| Присоединение фасонных профилей к косынке фланговыми или комбинированными швами | Расчет по шву  | 63 |
Расчет по сечению профиля | 56 |
| Присоединение трубы с прямым обрезом к косынке. Косынка вставлена в разрез трубы. Толщина стенки трубы  | Соединение угловым швом. Расчет по сечению трубы | 45 |
Шов с разделкой и полным проплавлением стенки трубы. Расчет по сечению трубы | 56 |
| Присоединение трубы к гнутой косынке или проушине. Толщина стенки трубы  | Соединение угловым швом. Расчет по сечению трубы | 80 |
| Присоединение косынки к трубе | Расчет по сечению трубы | 70 |
(рекомендуемое)
КОЭФФИЦИЕНТ ПРИВЕДЕНИЯ ПРЕДЕЛА ВЫНОСЛИВОСТИ
К РАСЧЕТНОМУ КОЛИЧЕСТВУ ЦИКЛОВ
И.1.1 Интенсивность нагруженности металлической конструкции крана характеризует группа классификации (режима) крана по
ГОСТ 34017. Каждой группе классификации соответствует несколько вариантов сочетания класса использования и класса нагружения.
Процесс работы крана состоит из рабочих циклов. Создаваемый ими процесс изменения напряжений в расчетной зоне (см.
8.1.1) обусловлен массой груза, значениями динамических нагрузок и структурой цикла (набором и последовательностью совершаемых краном движений). Поэтому количество циклов нагружения элементов конструкции, как правило, больше, чем количество циклов работы крана.
И.1.2 Для расчета на сопротивление усталости крановых конструкций, в которых размах напряжений пропорционален или в значительной степени зависит от массы поднимаемого груза, целесообразно в запас надежности считать, что работа крана происходит всегда с номинальным грузом (то есть соответствует классу нагружения
Q5 по
ГОСТ 34017). При этом класс использования выбирают в соответствии с заданной группой классификации режима работы крана по
ГОСТ 34017. По классу использования определяют общее количество циклов работы крана за срок службы
CT.
И.1.3 Структура циклов работы крана имеет случайный характер, но для расчета на сопротивление усталости может быть смоделирована с помощью нескольких типовых схем. Каждая типовая схема рабочего цикла представляет собой последовательность движений, которую выполняет кран от начала подъема груза до момента, когда он готов поднять следующий груз. Реализация типовой схемы рабочего цикла с определенным грузом представляет собой модель рабочего цикла крана и называется характерным технологическим циклом (ХТЦ).
Набор ХТЦ формируется на основе опыта эксплуатации подобных машин, анализа грузопотоков или результатов наблюдений. Если нет данных для обоснованного назначения схем, то в запас надежности может быть использована одна или несколько схем, при которых в расчетной зоне возникает наибольший размах напряжений.
Если особые нагрузки (группа комбинаций С по
ГОСТ 32579.2,
ГОСТ 32579.3,
ГОСТ 32579.4 или
ГОСТ 32579.5 в зависимости от типа крана) создают размахи напряжений в расчетной зоне, превышающие размахи от комбинаций нагрузок групп A и B, то для их учета могут быть дополнительно созданы один или несколько ХТЦ.
Для каждого из
J штук ХТЦ устанавливают частоту

его реализации в процессе эксплуатации машины. Это значит, что
j-й ХТЦ в течение срока службы повторяется

раз. При этом

и, соответственно,

.
И.2 Моделирование эксплуатационного нагружения конструкции
В соответствии со структурой каждого ХТЦ последовательно рассчитывают значения номинальных напряжений, возникающих в расчетной зоне при тех комбинациях нагрузок, которые соответствуют движениям, выполняемым краном. При этом определяют не только максимальные, но и минимальные напряжения (рисунок И.1). Для этого следует анализировать также "холостую" часть цикла работы крана, где возможны большие углы отклонения канатов или повышенные ускорения при пусках и торможениях.
Рисунок И.1 - Примеры графиков изменения напряжений
в расчетной зоне при выполнении краном нескольких ХТЦ
И.3 Схематизация циклического нагружения
График изменения напряжений в пределах одного ХТЦ схематизируют методом полных циклов. Возможно использование метода "потоков дождя" ("rain flow") с корректировкой последующих формул с учетом того, что в этом случае выделяются полуциклы.
Для каждого ХТЦ определяют наибольший размах напряжений

и находят максимальный размах напряжений как

. Для расчета углового шва на срез для каждого ХТЦ вычисляют

и

.
Для каждого ХТЦ вычисляют коэффициент циклического нагружения, который характеризует усталостное повреждение расчетной зоны, создаваемое дополнительными циклами с размахом

при выполнении одного ХТЦ

, (И.1)
где
zji - количество циклов нагружения с размахом

, выявленных при схематизации.
При суммировании учитывают все циклы с размахом напряжений

или

, превышающие порог усталостного повреждения

или

(
рисунок 15 б). Здесь

и

- предел неограниченной выносливости, соответствующий горизонтальному участку усталостной кривой, который вычисляют на базе
NR0 = 5·10
6 циклов как
(рисунок 15)

. (И.2)
Для ездовых балок при расчете по местным напряжениям коэффициент циклического нагружения можно принимать как

, (И.3)
где

;
PC и PQ - нагрузка на колесо при движении без груза и с номинальным грузом;
uk - количество колес, проходящих через расчетную зону за один проход.
Приближенные оценки значений коэффициента циклического нагружения для типовых конструкций приведены в таблице И.1.
Таблица И.1
Значения коэффициента циклического
нагружения

для различных конструкций
Описание конструкции и РЗ | |
Главные балки мостовых и козловых кранов без консолей (большие значения для кранов с большими динамическими нагрузками, жестким подвесом груза) | 1,1 - 1,3 |
Главные балки козловых кранов с консолями (большие значения для кранов с большими динамическими нагрузками) | 1,2 - 1,4 |
Стрелы и хоботы портальных грейферных кранов <1> | 1,4 - 1,6 |
Стрелы и хоботы портальных монтажных кранов <1> | 1,1 - 1,2 |
Колонны портальных грейферных кранов <1> | 1,4 - 1,5 |
Узлы соединения главных и концевых балок мостовых кранов, узлы соединения жестких опор с пролетным строением козловых кранов <2> | 1,4 - 1,7 |
<1> Если максимальные напряжения определены с учетом раскачивания груза. <2> Меньшие значения принимают, если в приводах передвижения использованы частотные системы управления с синхронизацией. |
И.4 Коэффициенты приведения пределов выносливости
По результатам обработки совокупности всех ХТЦ вычисляют коэффициенты приведения пределов выносливости к расчетному количеству циклов

; (И.4)

. (И.5)
Здесь суммирование проводят по всем J ХТЦ.
И.5 Оценка необходимости выполнения расчета на сопротивление усталости
Для предварительной оценки возможности возникновения усталостного повреждения в узле можно воспользоваться следующим условием

, (И.6)
где

- максимальный размах напряжений в расчетной зоне;
CT - количество циклов работы крана за срок службы, найденное по классу использования, который обусловлен заданной группой режима работы крана и режимом нагружения Q4.
Остальные обозначения даны выше. Если
условие (И.6) выполнено, то долговечность узла в течение назначенного ресурса обеспечена, и более подробный расчет можно не делать. Если условие не выполнено, то следует провести расчет на сопротивление усталости по методике, приведенной в
разделе 8.
| ISO 5817:2003 | Welding - Fusion-welded joints in steel, nickel, titanium and their alloys (beam welding excluded) - Quality levels for imperfections (Сварка. Сварные соединения из стали, никеля, титана и их сплавов, полученные сваркой плавлением (исключая лучевые способы сварки). Уровни качества) |
| ISO 16881-1 | Cranes - Design calculation for rail wheels and associated trolley track supporting structure - Part 1: General (Краны. Проектный расчет рельсовых путей и поддерживающих их конструкций. Часть 1. Общие положения) |
УДК 621.873:624.014 | | NEQ |
Ключевые слова: краны грузоподъемные, металлические конструкции, расчет по предельным состояниям, допускаемое напряжение, прочность, упругая устойчивость, сопротивление усталости, сварное соединение, болтовое соединение, шарнирное соединение |